Incrustar presentación
Descargar para leer sin conexión



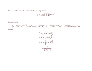
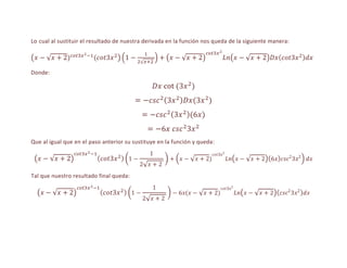
El documento explica cómo calcular la diferencial de una función logarítmica. En primer lugar, se deriva la función para obtener su diferencial. Luego, se sustituye el resultado de la derivada en la función original para hallar su diferencial en términos de dx. Finalmente, se presenta la diferencial de la función logarítmica evaluada.


