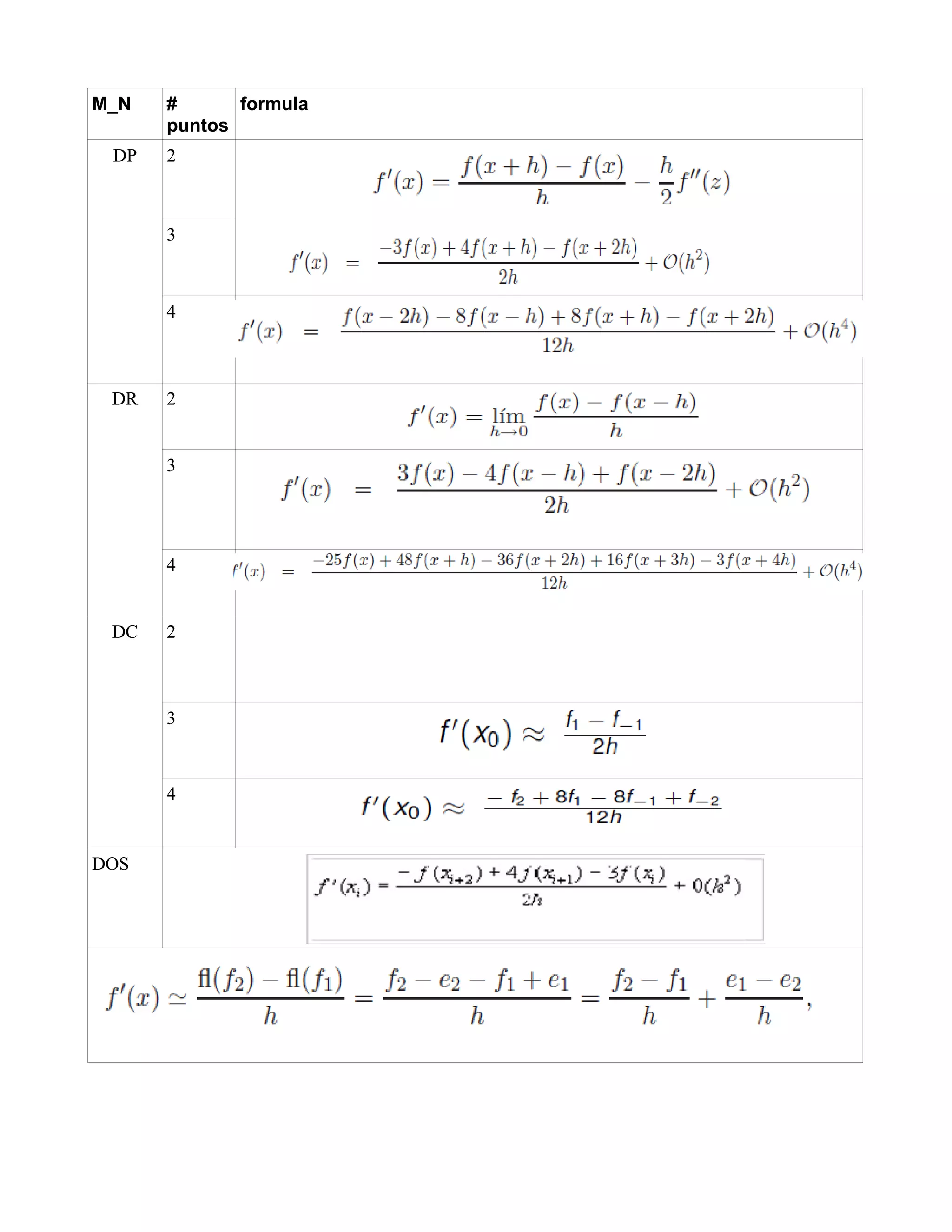
M_N   #      formula
      puntos
 DP   2



      3



      4



 DR   2


      3




      4


 DC   2



      3



      4


DOS

Criisss

  • 1.
    M_N # formula puntos DP 2 3 4 DR 2 3 4 DC 2 3 4 DOS