Más contenido relacionado
PDF
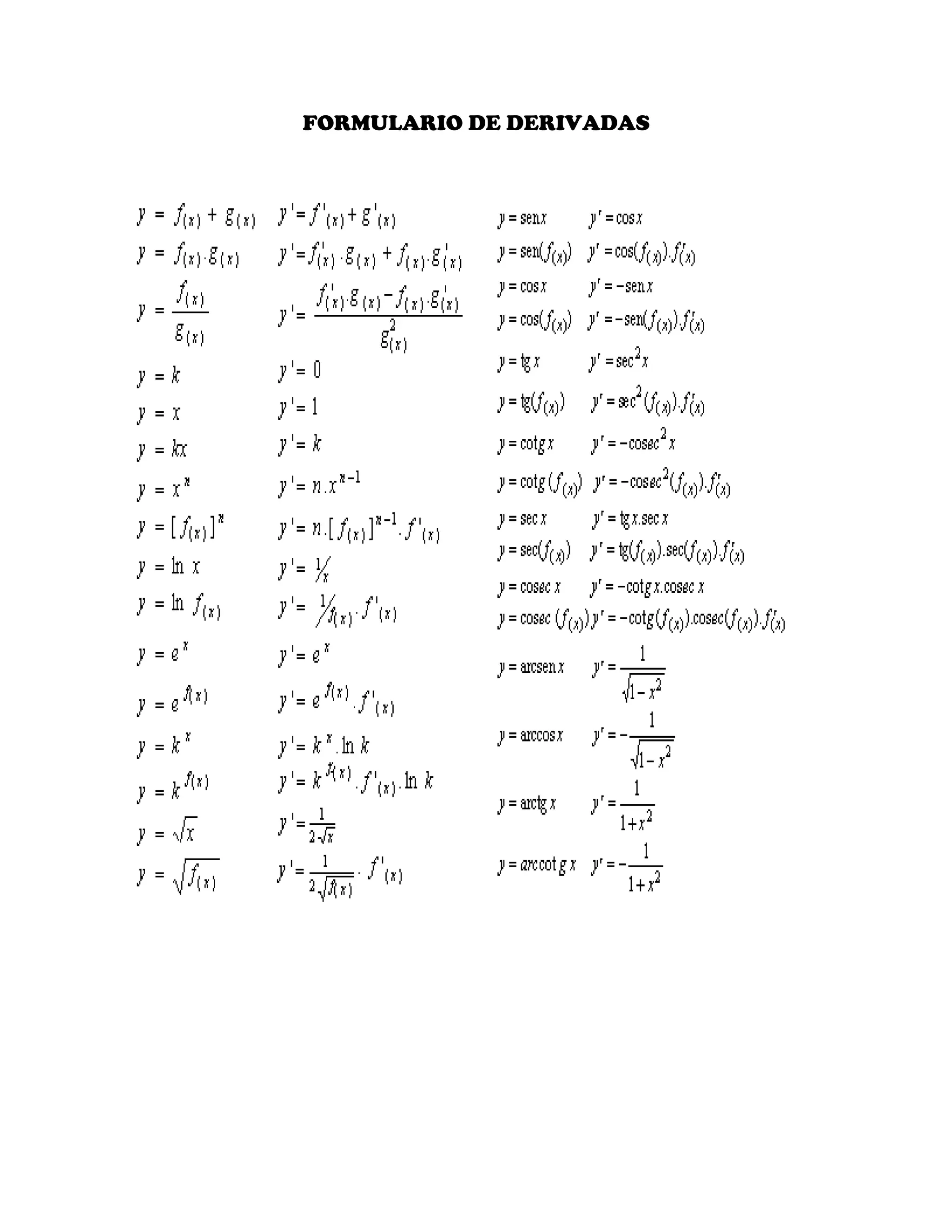
Tabela completa de derivadas e integrais PDF
PDF
Tabela de identidades trigonometricas DOCX
Relatorio metrologia experimento pratico PDF
Tabela derivadas e integrais DOC
Fórmulas de Eletromagnetismo PDF
PPT
Proporcionalidade inversa-funcao La actualidad más candente
PDF
Tabela de identidades trigonometricas PDF
Exercícios Resolvidos: Equação da reta tangente PPTX
PDF
Aceleração normal e tangencial PDF
Lógica matemática (exercícios resolvidos) PDF
PPT
Representar um conjunto por extensão e por compreensão e diagrama de venus PDF
Estatística (exercícios resolvidos - Gráficos, amplitude, médio, desvio padrã... PPTX
PDF
Física 2 relatório Circuito RC PPT
PPT
18 series de taylor e de maclaurin PPTX
PPT
DOC
Fórmulas de Eletrostática PPT
Simetrias no plano e no Espaço DOCX
Relatório experimental modelo DOCX
Resumo Probabilidades | Matemática A 12º Ano PPTX
PDF