BALANCE DEL PROYECTO DE FORMALIZACION
JUNTA DE PROPIETARIOS DEL CONDOMINIO LOS INKAS GOLF
Total Dptos considerados en el proyecto 59
Dptos Aprueban 50
Dptos No asistieron 8
Dptos No habilitados 1
* No se incluye a Dptos de Adm.del Comercio
a1. Cuotas emitidas S/.250 14,750.00
b1. Cuotas cobradas 13,700.00
a1-b1 Cuotas por cobrar de S/.250 1,050.00
a2. Cuotas emitidas S/.100 5,900.00
b2. Cuotas cobradas 4,900.00
a2-b2 Cuotas por cobrar de S/.100 1,000.00
a3. Cuotas S/.10 Propietario firmante 360.00
b3. Cuotas cobradas 240.00
a3-b3 Cuotas por cobrar 120.00
c31. Pago a cuenta a Notaría Pacora Bazalar BV 001-
026639 180.00
c32. Pago por toma de firma al Sr. Manuel Sanchez
en la clínica 100.00
c33. Pago saldo a Notaría Pacora Bazalar BV 001-
028946 189.00
b3-c31-c32-c33 Saldo Cuotas Cobradas de S/.10 -229.00
a4. Total cuotas emitidas del proyecto 20,650.00
b4. Total cuotas cobradas del proyecto 18,600.00
c4. Total de cuotas por cobrar del proyecto 2,050.00
d4. Pagos Realizados 18,225.62
e4. Saldo Cuotas Cobradas de S/.10 229.00
b4-d4-e4 Saldo cuotas cobradas 145.38
a5. Pagos por realizar después 08-11 1,800.00
a4-b4-e4-a5 Saldo final con Cuotas Cobradas -1,654.62
a4-d4-e4-a5 Saldo final con Cuotas Emitidas 624.38
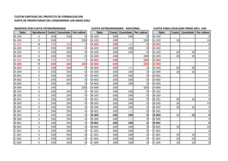
CUOTAS EMITIDAS DEL PROYECTO DE FORMALIZACION
JUNTA DE PROPIETARIOS DEL CONDOMINIO LOS INKAS GOLF
INGRESOS POR CUOTA EXTRAORDINARIA CUOTA EXTRAORDINARIA - ADICIONAL CUOTA PARA LEGALIZAR FIRMA DECL. JUR.
Dpto Aprobaron Cuota Cancelado Por cobrar Dpto Cuota Cancelado Por cobrar Dpto Cuota Cancelado Por cobrar
A-102 S 250 250 0 A-102 100 100 0 A-102 0
A-103 S 250 250 A-103 100 100 A-103 10 10
A-201 N 250 250 0 A-201 100 100 0 A-201 0
A-202 S 250 250 0 A-202 100 100 0 A-202 0
A-203 S 250 250 0 A-203 100 100 0 A-203 20 20 0
A-204 S 250 250 0 A-204 100 100 A-204 20 20 0
A-301 N 250 250 0 A-301 100 100 A-301 0
A-302 N 250 100 150 A-302 100 100 A-302 0
A-303 S 250 250 0 A-303 100 100 0 A-303 20 20 0
A-304 S 250 250 0 A-304 100 100 0 A-304 10 10 0
A-401 S 250 250 0 A-401 100 100 0 A-401 0
A-402 S 250 250 0 A-402 100 100 0 A-402 0
A-403 S 250 250 0 A-403 100 100 0 A-403 0
A-404 S 250 250 A-404 100 100 A-404 0
B-102 S 250 250 0 B-102 100 100 0 B-102 0
B-103 S 250 250 0 B-103 100 100 0 B-103 0
B-201 S 250 250 0 B-201 100 100 0 B-201 20 20 0
B-203 S 250 250 0 B-203 100 100 0 B-203 10 10
B-204 S 250 250 0 B-204 100 100 0 B-204 10 10 0
B-301 S 250 250 0 B-301 100 100 0 B-301 0
B-303 S 250 250 0 B-303 100 100 0 B-303 10 10 0
B-304 S 250 250 0 B-304 100 100 0 B-304 0
B-401 S 250 250 0 B-401 100 100 0 B-401 0
B-402 S 250 250 0 B-402 100 100 0 B-402 10 10
C-201 S 250 250 0 C-201 100 100 0 C-201 0
C-301 S 250 250 0 C-301 100 100 0 C-301 10 10 0
C-302 S 250 250 0 C-302 100 100 0 C-302 10 10 0
C-304 S 250 250 0 C-304 100 100 0 C-304 10 10 0
D-102 (*) P 250 250 0 D-102 (*) 100 100 D-102 (*) 0
D-103 S 250 250 0 D-103 100 100 0 D-103 0
D-201 N 250 250 0 D-201 100 100 0 D-201 0
D-202 S 250 250 0 D-202 100 100 D-202 20 20
D-204 S 250 250 D-204 100 100 D-204 0
D-302 S 250 250 0 D-302 100 100 0 D-302 20 20
D-303 S 250 250 0 D-303 100 100 0 D-303 20 20
D-401 S 250 250 0 D-401 100 100 0 D-401 10 10
D-402 S 250 250 0 D-402 100 100 0 D-402 0
D-403 S 250 250 0 D-403 100 100 0 D-403 0
D-404 por 304 S 250 250 0 D-404 por 304 100 100 0 D-404 por 304 0
E-101 S 250 250 0 E-101 100 100 0 E-101 0
E-102 S 250 250 0 E-102 100 100 0 E-102 0
E-103 S 250 250 0 E-103 100 100 0 E-103 20 20 0
E-104 S 250 250 0 E-104 100 100 0 E-104 0
E-202 S 250 250 0 E-202 100 100 0 E-202 10 10 0
E-301 N 250 250 0 E-301 100 100 0 E-301 0
E-302 S 250 250 0 E-302 100 100 0 E-302 0
E-304 S 250 250 0 E-304 100 100 0 E-304 0
E-401 N 250 250 0 E-401 100 100 0 E-401 0
E-402 S 250 250 0 E-402 100 100 0 E-402 20 20 0
E-403 N 250 250 0 E-403 100 100 0 E-403 0
F-103 S 250 250 0 F-103 100 100 0 F-103 0
F-104 S 250 250 0 F-104 100 100 0 F-104 10 10
F-204 S 250 250 0 F-204 100 100 0 F-204 0
F-301 S 250 100 150 F-301 100 100 F-301 0
F-304 S 250 250 0 F-304 100 100 0 F-304 10 10 0
F-401 S 250 250 0 F-401 100 100 0 F-401 20 20 0
F-402 S 250 250 0 F-402 100 100 0 F-402 20 20 0
F-403 S 250 250 0 F-403 100 100 0 F-403 10 10
F-404 N 250 250 0 F-404 100 100 F-404 0
Total 14750 13700 1050 Total 5900 4900 1000 Total 360 240 120
RELACION DE GASTOS DEL PROYECTO DE FORMALIZACION
JUNTA DE PROPIETARIOS DEL CONDOMINIO LOS INKAS GOLF
PAGOS REALIZADOS
RUC Proveedor Recibo Concepto Fecha Recibo Monto S/.
20524693250 2L Soluciones SAC RH-012-000373 364 Copias a Informes Entregados en reunión de coordinación
en Club ACENESPAR
13-06-2013 36.40
10237088510 Copias Flores K & M BV-001-001980 230 Copias a expedientes de propietarios 21-09-2013 23.00
10078730141 Carlos Enrique Cieza Vela RH-001-000570 50% de gastos a ser sufragados en las gestiones conducentes a
la formación de la Junta de Propietarios del Condominio Los
Incas Golf
23-09-2013 1,905.00
10097510950 José Luis Godoy Martínez RH-002-000406 50% de gastos a ser sufragados en las gestiones conducentes a
la formación de la Junta de Propietarios del Condominio Los
Incas Golf
23-09-2013 1,905.00
10078730141 Carlos Enrique Cieza Vela RH-001-000571 Pago a cuenta de honorarios (50%) por concepto de
regularización de Junta de Propietarios, Condominio Los Incas
Golf
23-09-2013 2,600.00
10078730141 Carlos Enrique Cieza Vela RH-001-000588 Pago de honorarios profesionales para actualizar la dirección
del Condominio en Registros Públicos.
21-01-2014 600.00
20524693250 2 L Copias 008-000412 40 copias de reglamento, 40 copias de Acta y 40 copias de
Informe Económico
19-02-2014 36.00
20524693250 2 L Copias 008-000413 40 copias de reglamento, 40 copias de Acta y 40 copias de
Informe Económico
19-02-2014 4.00
20505729278 Copias Express 007-003629 50 copias de reglamento y 40 copias de Informe Económico 25-03-2014 50.00
10078730141 Carlos Enrique Cieza Vela 001-000600 Asesoría legal en reunión sostenida con propietarios con fecha
26-03 : 3ra reunión de coordinación de propietarios
26-03-2014 400.00
ACENESPAR 14239 Atención en Club ACENESPAR - 3ra reunión de coordinación de
propietarios
26-03-2014 440.00
10413720848 CopiCielo 001-002049 Impresión de Convocatoria y Carta de Convocatoria (230
dctos) + Archivador
23-04-2014 69.00
Luis Tomas Talaverano Servicio de Taxi para llevar y traer documentos de la Sra.
Haydee Aybar
23-04-2014 40.00
40.00
10078730141 Carlos Enrique Cieza Vela 001-000644 Asesoría en Junta de Propietarios de fecha 08-11-2014.
Emitido 10-11-2014
26-09-2014 450.00
10413720848 CopiCielo BV-001-02506 421 hojas impresas + 842 copias 07-10-2014 188.40
20100049181 Tai Loy SA 4 archivadores de palanca y 4 bolígrafos color negro 07-10-2014 26.63
2L Soluciones SAC 71 copias a hoja por reemplazar en convocatoria 15-10-2014 7.10
10413720848 CopiCielo BV-001-02553 1 impresión y 97 copias al Reglamento Interno 18-10-2014 203.50
10413720848 CopiCielo 1 impresión y 195 copias al Reglamento Interno 21-10-2014 358.80
10096713873 Notaría Becerra & Sosaya 0002-147808 Derechos Notariales - Poder de Administradora del Comercio 24-10-2014 100.00
10096713873 Notaría Becerra & Sosaya 68067 Trámites y Derechos Registrales - Poder de Administradora del
Comercio
24-10-2014 82.00
Gastos de diligenciamiento de Cartas Notariales del
Condominio sito en Av. Circunvalación Club Golf Los Incas 292
y gestión de publicación de aviso de convocatoria: Emitido 10-
11-2014
Gastos Notariales para la legalización del Libro de Actas de la
Junta de Propietarios
23-10-2014 55.00
Convocatoria por Carta Notarial a la Junta que acuerde la
Adecuación del Reglamento Interno y designe al Presidente
23-10-2014 2,940.00
Publicación de aviso sobre la convocatoria de la Junta de
Propietarios en un diario de mayor circulación
23-10-2014 300.00
20505729278 Copias Express BV-007-004469 40 copias Convocatoria General 29-10-2014 4.00
10094753118 Casa Fotográfica Dany BV-002-011668 1 cinta para pegar publicación de convocatorias 24-10-2014 4.00
Tipeos por computadora N° 000881 Copias de publicación de convocatorias 28-10-2014 2.00
20107840266 Oficentro SAC N° 0014-0079869 3 juegos de Micas transparente para publicar Convocatoria
General
23-10-2014 8.10
20261604991 Impresat BV-007-05672 4 folder con fastener 08-11-2014 6.00
Contreras Eventos Contrato Un Toldo + 4 luces 08-11-2014 380.00
100 sillas 08-11-2014 100.00
1 mesa 08-11-2014 30.00
1 mantel con tapete 08-11-2014 10.00
20524923352 Chubbi SAC Presupuesto N°1042 Alquiler de equipo de sonido con 2 parlantes, 2 micrófonos, 2
camaras de vides y entrega de dos DVD's con filmación del
evento
08-11-2014 500.00
520.00
3,295.0010078730141 Carlos Enrique Cieza Vela 001-000645
Flor Paz sin recibo Taxi - recoger representante Adm.de Comercio 08-11-2014 35.00
20100049181 Tai Loy SA s/n Cartulina y etiquetas de colores 08-11-2014 13.30
20492092313 Makro Supermayorista SA s/n Gaseosa, Agua, Galletas y Vasos 08-11-2014 71.39
10078730141 Carlos Enrique Cieza Vela 001-000646 Elaboración de Carta Notarial de respuesta a Carta Notarial del
Sr. Fernández Tito Dpto E203 y E204
13-11-2014 240.00
10078730141 Carlos Enrique Cieza Vela 001-000643 2do pago honorarios: Tràmite y asesoría legal en la aprobación
del acta de Junta de Propietarios. Emitido 10-11-2014
13-11-2014 1,500.00
Gastos en la Realización de trámites registrales y Notariales
para la formalización de la Junta de Propietarios. Emitido 05-
03-2015: Inscripción del Nuevo Reglamento y la designación
del Presidente
28-11-2014 770.00
Depósito en cta de ahorros Banco Scotiabank - Trámite cambio
de dirección
24-01-2014 50.00
Depósito en cta de ahorros Banco Scotiabank - Trámite cambio
de dirección
03-02-2014 37.00
10078730141 Carlos Enrique Cieza Vela Reinscripción del Reglamento Interno y designación del
Presidente
06-03-2015 680.00
10078730141 Carlos Enrique Cieza Vela Modificación de la matriz 06-03-2015 965.00
18,225.62
PAGOS A REALIZAR DESPUÉS DE LA INSCRIPCION DE LA JUNTA DE PROPIETARIOS EN RRPP
Estudio de Abogados Cieza
& Godoy
3er pago honorarios 1,500.00
Estudio de Abogados Cieza
& Godoy
Saldo por Modificación de la matriz
300.00
1,800.00
20,025.62
1,645.00
857.00
TOTAL DE PAGOS A REALIZAR PARA DESPUES 08-11
TOTAL DE EGRESOS DEL PROYECTO
TOTAL EGRESOS
10078730141 Carlos Enrique Cieza Vela E001-7
CUOTA EMITIDAS POR COBRAR DEL PROYECTO DE FORMALIZACION
JUNTA DE PROPIETARIOS DEL CONDOMINIO LOS INKAS GOLF
Dpto Aprobarón Cuota N° 1 Cuota N ° 2 Cuota Total
Total
Cancelado
Por cancelar
A-103 S 250 100 350 0 350
A-204 S 250 100 350 250 100
A-301 N 250 100 350 250 100
A-302 N 250 100 350 100 250
A-404 S 250 100 350 0 350
D-102 (*) P 250 100 350 250 100
D-202 S 250 100 350 250 100
D-204 S 250 100 350 0 350
F-301 S 250 100 350 100 250
F-404 N 250 100 350 250 100

Informe Económico Proyecto de Formalizacion Junta de Propietarios

  • 1.
    BALANCE DEL PROYECTODE FORMALIZACION JUNTA DE PROPIETARIOS DEL CONDOMINIO LOS INKAS GOLF Total Dptos considerados en el proyecto 59 Dptos Aprueban 50 Dptos No asistieron 8 Dptos No habilitados 1 * No se incluye a Dptos de Adm.del Comercio a1. Cuotas emitidas S/.250 14,750.00 b1. Cuotas cobradas 13,700.00 a1-b1 Cuotas por cobrar de S/.250 1,050.00 a2. Cuotas emitidas S/.100 5,900.00 b2. Cuotas cobradas 4,900.00 a2-b2 Cuotas por cobrar de S/.100 1,000.00 a3. Cuotas S/.10 Propietario firmante 360.00 b3. Cuotas cobradas 240.00 a3-b3 Cuotas por cobrar 120.00 c31. Pago a cuenta a Notaría Pacora Bazalar BV 001- 026639 180.00 c32. Pago por toma de firma al Sr. Manuel Sanchez en la clínica 100.00 c33. Pago saldo a Notaría Pacora Bazalar BV 001- 028946 189.00 b3-c31-c32-c33 Saldo Cuotas Cobradas de S/.10 -229.00 a4. Total cuotas emitidas del proyecto 20,650.00 b4. Total cuotas cobradas del proyecto 18,600.00 c4. Total de cuotas por cobrar del proyecto 2,050.00 d4. Pagos Realizados 18,225.62 e4. Saldo Cuotas Cobradas de S/.10 229.00 b4-d4-e4 Saldo cuotas cobradas 145.38 a5. Pagos por realizar después 08-11 1,800.00 a4-b4-e4-a5 Saldo final con Cuotas Cobradas -1,654.62 a4-d4-e4-a5 Saldo final con Cuotas Emitidas 624.38
  • 2.
    CUOTAS EMITIDAS DELPROYECTO DE FORMALIZACION JUNTA DE PROPIETARIOS DEL CONDOMINIO LOS INKAS GOLF INGRESOS POR CUOTA EXTRAORDINARIA CUOTA EXTRAORDINARIA - ADICIONAL CUOTA PARA LEGALIZAR FIRMA DECL. JUR. Dpto Aprobaron Cuota Cancelado Por cobrar Dpto Cuota Cancelado Por cobrar Dpto Cuota Cancelado Por cobrar A-102 S 250 250 0 A-102 100 100 0 A-102 0 A-103 S 250 250 A-103 100 100 A-103 10 10 A-201 N 250 250 0 A-201 100 100 0 A-201 0 A-202 S 250 250 0 A-202 100 100 0 A-202 0 A-203 S 250 250 0 A-203 100 100 0 A-203 20 20 0 A-204 S 250 250 0 A-204 100 100 A-204 20 20 0 A-301 N 250 250 0 A-301 100 100 A-301 0 A-302 N 250 100 150 A-302 100 100 A-302 0 A-303 S 250 250 0 A-303 100 100 0 A-303 20 20 0 A-304 S 250 250 0 A-304 100 100 0 A-304 10 10 0 A-401 S 250 250 0 A-401 100 100 0 A-401 0 A-402 S 250 250 0 A-402 100 100 0 A-402 0 A-403 S 250 250 0 A-403 100 100 0 A-403 0 A-404 S 250 250 A-404 100 100 A-404 0 B-102 S 250 250 0 B-102 100 100 0 B-102 0 B-103 S 250 250 0 B-103 100 100 0 B-103 0 B-201 S 250 250 0 B-201 100 100 0 B-201 20 20 0 B-203 S 250 250 0 B-203 100 100 0 B-203 10 10 B-204 S 250 250 0 B-204 100 100 0 B-204 10 10 0 B-301 S 250 250 0 B-301 100 100 0 B-301 0 B-303 S 250 250 0 B-303 100 100 0 B-303 10 10 0 B-304 S 250 250 0 B-304 100 100 0 B-304 0 B-401 S 250 250 0 B-401 100 100 0 B-401 0 B-402 S 250 250 0 B-402 100 100 0 B-402 10 10 C-201 S 250 250 0 C-201 100 100 0 C-201 0 C-301 S 250 250 0 C-301 100 100 0 C-301 10 10 0 C-302 S 250 250 0 C-302 100 100 0 C-302 10 10 0 C-304 S 250 250 0 C-304 100 100 0 C-304 10 10 0
  • 3.
    D-102 (*) P250 250 0 D-102 (*) 100 100 D-102 (*) 0 D-103 S 250 250 0 D-103 100 100 0 D-103 0 D-201 N 250 250 0 D-201 100 100 0 D-201 0 D-202 S 250 250 0 D-202 100 100 D-202 20 20 D-204 S 250 250 D-204 100 100 D-204 0 D-302 S 250 250 0 D-302 100 100 0 D-302 20 20 D-303 S 250 250 0 D-303 100 100 0 D-303 20 20 D-401 S 250 250 0 D-401 100 100 0 D-401 10 10 D-402 S 250 250 0 D-402 100 100 0 D-402 0 D-403 S 250 250 0 D-403 100 100 0 D-403 0 D-404 por 304 S 250 250 0 D-404 por 304 100 100 0 D-404 por 304 0 E-101 S 250 250 0 E-101 100 100 0 E-101 0 E-102 S 250 250 0 E-102 100 100 0 E-102 0 E-103 S 250 250 0 E-103 100 100 0 E-103 20 20 0 E-104 S 250 250 0 E-104 100 100 0 E-104 0 E-202 S 250 250 0 E-202 100 100 0 E-202 10 10 0 E-301 N 250 250 0 E-301 100 100 0 E-301 0 E-302 S 250 250 0 E-302 100 100 0 E-302 0 E-304 S 250 250 0 E-304 100 100 0 E-304 0 E-401 N 250 250 0 E-401 100 100 0 E-401 0 E-402 S 250 250 0 E-402 100 100 0 E-402 20 20 0 E-403 N 250 250 0 E-403 100 100 0 E-403 0 F-103 S 250 250 0 F-103 100 100 0 F-103 0 F-104 S 250 250 0 F-104 100 100 0 F-104 10 10 F-204 S 250 250 0 F-204 100 100 0 F-204 0 F-301 S 250 100 150 F-301 100 100 F-301 0 F-304 S 250 250 0 F-304 100 100 0 F-304 10 10 0 F-401 S 250 250 0 F-401 100 100 0 F-401 20 20 0 F-402 S 250 250 0 F-402 100 100 0 F-402 20 20 0 F-403 S 250 250 0 F-403 100 100 0 F-403 10 10 F-404 N 250 250 0 F-404 100 100 F-404 0 Total 14750 13700 1050 Total 5900 4900 1000 Total 360 240 120
  • 4.
    RELACION DE GASTOSDEL PROYECTO DE FORMALIZACION JUNTA DE PROPIETARIOS DEL CONDOMINIO LOS INKAS GOLF PAGOS REALIZADOS RUC Proveedor Recibo Concepto Fecha Recibo Monto S/. 20524693250 2L Soluciones SAC RH-012-000373 364 Copias a Informes Entregados en reunión de coordinación en Club ACENESPAR 13-06-2013 36.40 10237088510 Copias Flores K & M BV-001-001980 230 Copias a expedientes de propietarios 21-09-2013 23.00 10078730141 Carlos Enrique Cieza Vela RH-001-000570 50% de gastos a ser sufragados en las gestiones conducentes a la formación de la Junta de Propietarios del Condominio Los Incas Golf 23-09-2013 1,905.00 10097510950 José Luis Godoy Martínez RH-002-000406 50% de gastos a ser sufragados en las gestiones conducentes a la formación de la Junta de Propietarios del Condominio Los Incas Golf 23-09-2013 1,905.00 10078730141 Carlos Enrique Cieza Vela RH-001-000571 Pago a cuenta de honorarios (50%) por concepto de regularización de Junta de Propietarios, Condominio Los Incas Golf 23-09-2013 2,600.00 10078730141 Carlos Enrique Cieza Vela RH-001-000588 Pago de honorarios profesionales para actualizar la dirección del Condominio en Registros Públicos. 21-01-2014 600.00 20524693250 2 L Copias 008-000412 40 copias de reglamento, 40 copias de Acta y 40 copias de Informe Económico 19-02-2014 36.00 20524693250 2 L Copias 008-000413 40 copias de reglamento, 40 copias de Acta y 40 copias de Informe Económico 19-02-2014 4.00 20505729278 Copias Express 007-003629 50 copias de reglamento y 40 copias de Informe Económico 25-03-2014 50.00 10078730141 Carlos Enrique Cieza Vela 001-000600 Asesoría legal en reunión sostenida con propietarios con fecha 26-03 : 3ra reunión de coordinación de propietarios 26-03-2014 400.00 ACENESPAR 14239 Atención en Club ACENESPAR - 3ra reunión de coordinación de propietarios 26-03-2014 440.00 10413720848 CopiCielo 001-002049 Impresión de Convocatoria y Carta de Convocatoria (230 dctos) + Archivador 23-04-2014 69.00 Luis Tomas Talaverano Servicio de Taxi para llevar y traer documentos de la Sra. Haydee Aybar 23-04-2014 40.00 40.00
  • 5.
    10078730141 Carlos EnriqueCieza Vela 001-000644 Asesoría en Junta de Propietarios de fecha 08-11-2014. Emitido 10-11-2014 26-09-2014 450.00 10413720848 CopiCielo BV-001-02506 421 hojas impresas + 842 copias 07-10-2014 188.40 20100049181 Tai Loy SA 4 archivadores de palanca y 4 bolígrafos color negro 07-10-2014 26.63 2L Soluciones SAC 71 copias a hoja por reemplazar en convocatoria 15-10-2014 7.10 10413720848 CopiCielo BV-001-02553 1 impresión y 97 copias al Reglamento Interno 18-10-2014 203.50 10413720848 CopiCielo 1 impresión y 195 copias al Reglamento Interno 21-10-2014 358.80 10096713873 Notaría Becerra & Sosaya 0002-147808 Derechos Notariales - Poder de Administradora del Comercio 24-10-2014 100.00 10096713873 Notaría Becerra & Sosaya 68067 Trámites y Derechos Registrales - Poder de Administradora del Comercio 24-10-2014 82.00 Gastos de diligenciamiento de Cartas Notariales del Condominio sito en Av. Circunvalación Club Golf Los Incas 292 y gestión de publicación de aviso de convocatoria: Emitido 10- 11-2014 Gastos Notariales para la legalización del Libro de Actas de la Junta de Propietarios 23-10-2014 55.00 Convocatoria por Carta Notarial a la Junta que acuerde la Adecuación del Reglamento Interno y designe al Presidente 23-10-2014 2,940.00 Publicación de aviso sobre la convocatoria de la Junta de Propietarios en un diario de mayor circulación 23-10-2014 300.00 20505729278 Copias Express BV-007-004469 40 copias Convocatoria General 29-10-2014 4.00 10094753118 Casa Fotográfica Dany BV-002-011668 1 cinta para pegar publicación de convocatorias 24-10-2014 4.00 Tipeos por computadora N° 000881 Copias de publicación de convocatorias 28-10-2014 2.00 20107840266 Oficentro SAC N° 0014-0079869 3 juegos de Micas transparente para publicar Convocatoria General 23-10-2014 8.10 20261604991 Impresat BV-007-05672 4 folder con fastener 08-11-2014 6.00 Contreras Eventos Contrato Un Toldo + 4 luces 08-11-2014 380.00 100 sillas 08-11-2014 100.00 1 mesa 08-11-2014 30.00 1 mantel con tapete 08-11-2014 10.00 20524923352 Chubbi SAC Presupuesto N°1042 Alquiler de equipo de sonido con 2 parlantes, 2 micrófonos, 2 camaras de vides y entrega de dos DVD's con filmación del evento 08-11-2014 500.00 520.00 3,295.0010078730141 Carlos Enrique Cieza Vela 001-000645
  • 6.
    Flor Paz sinrecibo Taxi - recoger representante Adm.de Comercio 08-11-2014 35.00 20100049181 Tai Loy SA s/n Cartulina y etiquetas de colores 08-11-2014 13.30 20492092313 Makro Supermayorista SA s/n Gaseosa, Agua, Galletas y Vasos 08-11-2014 71.39 10078730141 Carlos Enrique Cieza Vela 001-000646 Elaboración de Carta Notarial de respuesta a Carta Notarial del Sr. Fernández Tito Dpto E203 y E204 13-11-2014 240.00 10078730141 Carlos Enrique Cieza Vela 001-000643 2do pago honorarios: Tràmite y asesoría legal en la aprobación del acta de Junta de Propietarios. Emitido 10-11-2014 13-11-2014 1,500.00 Gastos en la Realización de trámites registrales y Notariales para la formalización de la Junta de Propietarios. Emitido 05- 03-2015: Inscripción del Nuevo Reglamento y la designación del Presidente 28-11-2014 770.00 Depósito en cta de ahorros Banco Scotiabank - Trámite cambio de dirección 24-01-2014 50.00 Depósito en cta de ahorros Banco Scotiabank - Trámite cambio de dirección 03-02-2014 37.00 10078730141 Carlos Enrique Cieza Vela Reinscripción del Reglamento Interno y designación del Presidente 06-03-2015 680.00 10078730141 Carlos Enrique Cieza Vela Modificación de la matriz 06-03-2015 965.00 18,225.62 PAGOS A REALIZAR DESPUÉS DE LA INSCRIPCION DE LA JUNTA DE PROPIETARIOS EN RRPP Estudio de Abogados Cieza & Godoy 3er pago honorarios 1,500.00 Estudio de Abogados Cieza & Godoy Saldo por Modificación de la matriz 300.00 1,800.00 20,025.62 1,645.00 857.00 TOTAL DE PAGOS A REALIZAR PARA DESPUES 08-11 TOTAL DE EGRESOS DEL PROYECTO TOTAL EGRESOS 10078730141 Carlos Enrique Cieza Vela E001-7
  • 7.
    CUOTA EMITIDAS PORCOBRAR DEL PROYECTO DE FORMALIZACION JUNTA DE PROPIETARIOS DEL CONDOMINIO LOS INKAS GOLF Dpto Aprobarón Cuota N° 1 Cuota N ° 2 Cuota Total Total Cancelado Por cancelar A-103 S 250 100 350 0 350 A-204 S 250 100 350 250 100 A-301 N 250 100 350 250 100 A-302 N 250 100 350 100 250 A-404 S 250 100 350 0 350 D-102 (*) P 250 100 350 250 100 D-202 S 250 100 350 250 100 D-204 S 250 100 350 0 350 F-301 S 250 100 350 100 250 F-404 N 250 100 350 250 100