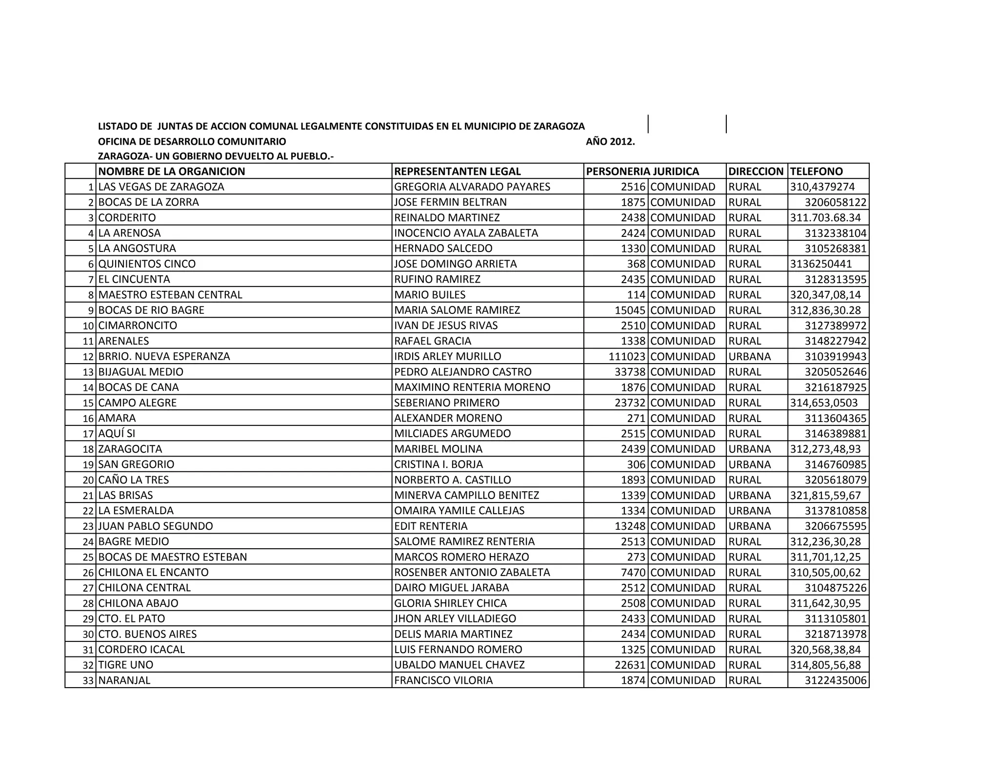
LISTADO DE JUNTAS DE ACCION COMUNAL LEGALMENTE CONSTITUIDAS EN EL MUNICIPIO DE ZARAGOZA
     OFICINA DE DESARROLLO COMUNITARIO                                                       AÑO 2012.
     ZARAGOZA- UN GOBIERNO DEVUELTO AL PUEBLO.-
     NOMBRE DE LA ORGANICION                              REPRESENTANTEN LEGAL               PERSONERIA JURIDICA    DIRECCION   TELEFONO
 1   LAS VEGAS DE ZARAGOZA                                GREGORIA ALVARADO PAYARES                2516 COMUNIDAD   RURAL       310,4379274
 2   BOCAS DE LA ZORRA                                    JOSE FERMIN BELTRAN                      1875 COMUNIDAD   RURAL          3206058122
 3   CORDERITO                                            REINALDO MARTINEZ                        2438 COMUNIDAD   RURAL       311.703.68.34
 4   LA ARENOSA                                           INOCENCIO AYALA ZABALETA                 2424 COMUNIDAD   RURAL          3132338104
 5   LA ANGOSTURA                                         HERNADO SALCEDO                          1330 COMUNIDAD   RURAL          3105268381
 6   QUINIENTOS CINCO                                     JOSE DOMINGO ARRIETA                      368 COMUNIDAD   RURAL       3136250441
 7   EL CINCUENTA                                         RUFINO RAMIREZ                           2435 COMUNIDAD   RURAL          3128313595
 8   MAESTRO ESTEBAN CENTRAL                              MARIO BUILES                              114 COMUNIDAD   RURAL       320,347,08,14
 9   BOCAS DE RIO BAGRE                                   MARIA SALOME RAMIREZ                    15045 COMUNIDAD   RURAL       312,836,30.28
10   CIMARRONCITO                                         IVAN DE JESUS RIVAS                      2510 COMUNIDAD   RURAL          3127389972
11   ARENALES                                             RAFAEL GRACIA                            1338 COMUNIDAD   RURAL          3148227942
12   BRRIO. NUEVA ESPERANZA                               IRDIS ARLEY MURILLO                    111023 COMUNIDAD   URBANA         3103919943
13   BIJAGUAL MEDIO                                       PEDRO ALEJANDRO CASTRO                  33738 COMUNIDAD   RURAL          3205052646
14   BOCAS DE CANA                                        MAXIMINO RENTERIA MORENO                 1876 COMUNIDAD   RURAL          3216187925
15   CAMPO ALEGRE                                         SEBERIANO PRIMERO                       23732 COMUNIDAD   RURAL       314,653,0503
16   AMARA                                                ALEXANDER MORENO                          271 COMUNIDAD   RURAL          3113604365
17   AQUÍ SI                                              MILCIADES ARGUMEDO                       2515 COMUNIDAD   RURAL          3146389881
18   ZARAGOCITA                                           MARIBEL MOLINA                           2439 COMUNIDAD   URBANA      312,273,48,93
19   SAN GREGORIO                                         CRISTINA I. BORJA                         306 COMUNIDAD   URBANA         3146760985
20   CAÑO LA TRES                                         NORBERTO A. CASTILLO                     1893 COMUNIDAD   RURAL          3205618079
21   LAS BRISAS                                           MINERVA CAMPILLO BENITEZ                 1339 COMUNIDAD   URBANA      321,815,59,67
22   LA ESMERALDA                                         OMAIRA YAMILE CALLEJAS                   1334 COMUNIDAD   URBANA         3137810858
23   JUAN PABLO SEGUNDO                                   EDIT RENTERIA                           13248 COMUNIDAD   URBANA         3206675595
24   BAGRE MEDIO                                          SALOME RAMIREZ RENTERIA                  2513 COMUNIDAD   RURAL       312,236,30,28
25   BOCAS DE MAESTRO ESTEBAN                             MARCOS ROMERO HERAZO                      273 COMUNIDAD   RURAL       311,701,12,25
26   CHILONA EL ENCANTO                                   ROSENBER ANTONIO ZABALETA                7470 COMUNIDAD   RURAL       310,505,00,62
27   CHILONA CENTRAL                                      DAIRO MIGUEL JARABA                      2512 COMUNIDAD   RURAL          3104875226
28   CHILONA ABAJO                                        GLORIA SHIRLEY CHICA                     2508 COMUNIDAD   RURAL       311,642,30,95
29   CTO. EL PATO                                         JHON ARLEY VILLADIEGO                    2433 COMUNIDAD   RURAL          3113105801
30   CTO. BUENOS AIRES                                    DELIS MARIA MARTINEZ                     2434 COMUNIDAD   RURAL          3218713978
31   CORDERO ICACAL                                       LUIS FERNANDO ROMERO                     1325 COMUNIDAD   RURAL       320,568,38,84
32   TIGRE UNO                                            UBALDO MANUEL CHAVEZ                    22631 COMUNIDAD   RURAL       314,805,56,88
33   NARANJAL                                             FRANCISCO VILORIA                        1874 COMUNIDAD   RURAL          3122435006
34   VEGAS DE SEGOVIA            ANUARIO A. CASTILLO                    2442   COMUNIDAD   RURAL    313.711.02.11
35   ESMERALDA PARTE ALTA        EUCLIDES BEJARANO                      1331   COMUNIDAD   URBANA     3133721004
36   EL VEINTE                   RAFAEL ALFREDO MIRANDA                 2110   COMUNIDAD   RURAL      3137665953
37   EL SALTILLO                 VILMA RUTH ZULETA                      2429   COMUNIDAD   RURAL      3147000241
38   EL TIGRE 2                  ANDRES FRANCISO CASTILLO              22638   COMUNIDAD   RURAL    314,702,80,29
39   EL DOCE                     ADRIANO CHAVEZ DE HOYOS                1328   COMUNIDAD   RURAL    310,834,72,05
40   EL AGUACATE                 CALIXTO JIMENEZ LOPEZ                  2366   COMUNIDAD   RURAL    310,529,81,93
41   EL RETIRO                   AQUILEO LLOREDA CORDOBA                1332   COMUNIDAD   RURAL      3113424964
42   JALA JALA                   LUIS ENRIQUE CASTELLANOS               2436   COMUNIDAD   RURAL      3104975536
43   LA CLARITA                  OSCAR HUMBERTO AGUDELO                 2432   COMUNIDAD   RURAL    311.302.03.10
44   LA CIENAGA                  CESAR MANUEL BASILIO                   2427   COMUNIDAD   RURAL    312.747.26.64
45   LA DIECIOCHO                MANUEL ADRIANO MEDINA                  2437   COMUNIDAD   RURAL    312,861,98,41
46   NARANJAL LA TOLVA           FRNACISCO ARRIOLA                      2517   COMUNIDAD   RURAL    314,730,80,55
47   LA MATURANA                 KATY VIVIANA RAMIREZ                   2430   COMUNIDAD   RURAL      3127904234
48   LA OCHO                     MANUEL SALVADOR BARBAS                 2508   COMUNIDAD   RURAL    313,706,40,31
49   LA PAJUILA                  JOSE SANTANDER PEREZ                   1327   COMUNIDAD   RURAL      3128606569
50   LA PORQUERA                 DAVID MONTES                            298   COMUNIDAD   RURAL      3122479549
51   LAS BLANQUITAS              JOSE AGAMES                            1894   COMUNIDAD   RURAL    311,450,48,60
52   LAS PARCELAS                CEILA BEATRIZ LOPEZ                    2428   COMUNIDAD   RURAL      3128437898
53   LIMON AFUERA                YORLAY MONTALVO                          25   COMUNIDAD   RURAL    320.721.37.34
54   LOS COCOS                   EDUARDO MONTES                         2818   COMUNIDAD   RURAL    310,406,87,31
55   LIMON ADENTRO               YENNI BENAVIDES                        2443   COMUNIDAD   RURAL      3122663625
56   MAESTRO ESTEBAN OCIDENTAL   ANGEL LEOVIGILDO ORTEGA                       COMUNIDAD   RURAL    310,411,37,26
57   PUEBLO NUEVO                NICOMEDES IZQUERDO                      986   COMUNIDAD   RURAL    838,97,37
58   PUERTO JOBO                 JOSE RAFAEL SOLANO                     2509   COMUNIDAD   RURAL      3108937597
59   QUEBRADA PATO               MIRIAM ALVAREZ                         1326   COMUNIDAD   RURAL    312,762,96,82
60   QUEBRADONA 2                RAFAEL VELASQUEZ                         17   COMUNIDAD   RURAL    313,645,21,54
61   RIO VIEJO                   LUIS DIAZ FERNANDEZ                    2514   COMUNIDAD   RURAL    311,782,72,78
62   SAN ACEVEDO                 NELSON SERPA                           1333   COMUNIDAD   RURAL      3145557087
63   SAN ANTONIO                 DEYANIRA DEL CARMEN MONTIEL            2423   COMUNIDAD   RURAL      3127170809
64   SAN JUAN DE PELUZAS         APOLINAR EDUARDO FLOREZ                1877   COMUNIDAD   RURAL      3113061277
65   SAN JUAN DE POPALES         OSCAR MANUEL VILORIA                   1329   COMUNIDAD   RURAL      3127840259
66   TIGRE DOS                   ANDRES CASTILLO                       22638   COMUNIDAD   RURAL    314,702,80,29
67   TOSNOVAN                    NANCY MONTERROSA                       2511   COMUNIDAD   RURAL    310.525.97.73
68   ASOCOMUNAL                   MANUEL ADRIANO MEDINA                 3191   COMUNIDAD   URBANA     3128619841
69   JVC LAS PALMAS              ANGELA MARIA DUQUE                       68   COMUNIDAD   URBANA     3136250207




     VEREDA RIO VIEJO            SOL MARIA CAHVEZ              LIDER           COMUNIDAD   RURAL         3108341686
     COREGIMIENTO PALIZADA       CARLOS ROBLES                 LIDER           COMUNIDAD   RURAL       3116311806
COOPERATIVAS
 1   Cooptiva de tranPrtes Unidos COOTRASUNIDOS            RAMIRO ZAPATA                             COMUNIDAD   URBANA   311,335,24,40
 2   Cooperativa de Tansporte rio Nechi COTRANECHI         VICTOR DEDE                               COMUNIDAD   URBANA   310,358,5724
 3   Cooperativa de Mineros del Nordeste COOMINAS          WILSON MARSCGLIA                          COMUNIDAD   URBANA   838,95,42
 4   Cooperativa de trabajo Integral Moto taxi COTRIANZA   JAVIER GAVIRIA                            COMUNIDAD   URBANA   838,81,65




                          ASOCIACIONES
 1   Asociacion de Mujres organizadas ASOMUORZA            MARIBEL MOLINA                            COMUNIDAD   URBANA   312,273,48,93
 2   Asociancion de Mujeres Emprendedoras                  HILDA PALACIO                             COMUNIDAD   URBANA   312,238,36,00
 3   Asociacion de Mujeres de ZaragozaASOMUZA              ANA ZULMA RIVERA                          COMUNIDAD   URBANA   312,221,36,78
 4   Asociacion de mujeres cabezas de familias ASOMUCAFALUFUZA
                                                           BEATRIZ BOLAÑOS PEREZ                     COMUNIDAD   URBANA   313,679,50,42
 5   Asociacion de Cultivadores de Escarralao ASOCESCAR    JOSE BENITO FLOREZ                        COMUNIDAD   RURAL    312,744,55,58
 6   Asociancion de lideres de Zaragoza LIDEREZA           ANTOLINA MENDOZA                          COMUNIDAD   RURAL    310,506,38,93
 7   Asociacion de Negritudes de Zaragoza ANEXA            JAVIER MORENO                             COMUNIDAD   URBANA   312,238,3600
 8   Asociacion Mutual sol WAPIDA                          MANUEL PALACIO                            COMUNIDAD   URBANA   312,730,0316
 9   Aosciacion de Usuarios Antena Parabolca AUSPAZA       PABLO EMILIO SANCHEZ                      COMUNIDAD   URBANA   311,317,41,15
10   Asociacion pequeños ecologos                          JOSE MANUEL PALACIO                       COMUNIDAD   URBANA   311,340,70,34
11   Asociacion de mineros del porce ASOMIPOSA             GABRIEL CAICEDO                           COMUNIDAD   URBANA   313,686,60,94
12   Asociacin Indigena de antioquia                       ISAISA SUAREZ                             COMUNIDAD   URBANA   312,801,67,22
13  Asociacion de Transportadores de Madera                 JAVIER MAZO                              COMUNIDAD URBANA   314,680,31,65
    Asociacion de Madres comunitarias ASOMACOZA             YANET MERCEDES PALACIN
14 Asociacion de Madres Comunitarias ASOMACOZA -YANET MERCEDES PALACIN.                    COMUNIDAD COMUNIDAD URBANA
                                                                                                                URBANA 3127661281
 15 Asociacion Pisicola de Naranjal Asopisnar               MANUEL MORALES                           COMUNIDAD RURAL     3114392518
 16 Fibrarte                                                ELIECER NISPERUZA                        COMUNIDAD RURAL      3117297961
 17 Asociacion de victimas de zaragoza," Asovicdeza"        CARLOS IGNACIO ROMAN                     COMUNIDAD URBANA     3116063092
 18 CORPORACION INTERNACIONAL EL NEGRO VILLA                KAREN MARGARITA DIT MONSALVE             COMUNIDAD URBANA       3116186656
COMUNIDAD
COMUNIDAD
COMUNIDAD
COMUNIDAD
COMUNIDAD
COMUNIDAD
COMUNIDAD
COMUNIDAD
COMUNIDAD
COMUNIDAD
COMUNIDAD
COMUNIDAD
COMUNIDAD
COMUNIDAD
COMUNIDAD
COMUNIDAD
COMUNIDAD
COMUNIDAD
COMUNIDAD
COMUNIDAD
COMUNIDAD
COMUNIDAD
COMUNIDAD
COMUNIDAD
COMUNIDAD
COMUNIDAD
COMUNIDAD
COMUNIDAD
COMUNIDAD
COMUNIDAD
COMUNIDAD
COMUNIDAD
COMUNIDAD
COMUNIDAD
COMUNIDAD
COMUNIDAD
COMUNIDAD
COMUNIDAD
COMUNIDAD
COMUNIDAD
COMUNIDAD
COMUNIDAD
COMUNIDAD
COMUNIDAD
COMUNIDAD
COMUNIDAD
COMUNIDAD
COMUNIDAD
COMUNIDAD
COMUNIDAD
COMUNIDAD
COMUNIDAD
COMUNIDAD
COMUNIDAD
COMUNIDAD
COMUNIDAD
COMUNIDAD
COMUNIDAD
COMUNIDAD
COMUNIDAD
COMUNIDAD
COMUNIDAD
COMUNIDAD
COMUNIDAD
COMUNIDAD
COMUNIDAD
COMUNIDAD
COMUNIDAD
COMUNIDAD
COMUNIDAD
COMUNIDAD
COMUNIDAD
COMUNIDAD
COMUNIDAD
COMUNIDAD
COMUNIDAD
COMUNIDAD
COMUNIDAD
COMUNIDAD
COMUNIDAD
COMUNIDAD
COMUNIDAD
COMUNIDAD
COMUNIDAD
COMUNIDAD
COMUNIDAD
COMUNIDAD
COMUNIDAD
COMUNIDAD
COMUNIDAD
COMUNIDAD
COMUNIDAD
COMUNIDAD
COMUNIDAD
COMUNIDAD
COMUNIDAD
COMUNIDAD
COMUNIDAD
COMUNIDAD
COMUNIDAD
COMUNIDAD
COMUNIDAD
COMUNIDAD
COMUNIDAD
COMUNIDAD
COMUNIDAD
COMUNIDAD
COMUNIDAD
COMUNIDAD
COMUNIDAD
COMUNIDAD
COMUNIDAD
COMUNIDAD
COMUNIDAD
COMUNIDAD
COMUNIDAD
COMUNIDAD
COMUNIDAD
COMUNIDAD
COMUNIDAD
COMUNIDAD
COMUNIDAD
COMUNIDAD
COMUNIDAD
COMUNIDAD
COMUNIDAD
COMUNIDAD
COMUNIDAD
COMUNIDAD
COMUNIDAD
COMUNIDAD
COMUNIDAD
COMUNIDAD
COMUNIDAD
COMUNIDAD
COMUNIDAD
COMUNIDAD
COMUNIDAD
COMUNIDAD
COMUNIDAD
COMUNIDAD
COMUNIDAD
COMUNIDAD
COMUNIDAD
COMUNIDAD
COMUNIDAD
COMUNIDAD
COMUNIDAD
COMUNIDAD
COMUNIDAD
COMUNIDAD
COMUNIDAD
COMUNIDAD
COMUNIDAD
COMUNIDAD
COMUNIDAD
COMUNIDAD
COMUNIDAD
COMUNIDAD
COMUNIDAD
COMUNIDAD
COMUNIDAD
COMUNIDAD
COMUNIDAD
COMUNIDAD
COMUNIDAD
COMUNIDAD
COMUNIDAD
COMUNIDAD
COMUNIDAD
COMUNIDAD
COMUNIDAD
COMUNIDAD
COMUNIDAD
COMUNIDAD
COMUNIDAD
COMUNIDAD
COMUNIDAD
COMUNIDAD
COMUNIDAD
COMUNIDAD
COMUNIDAD
COMUNIDAD
COMUNIDAD
COMUNIDAD
COMUNIDAD
COMUNIDAD
COMUNIDAD
COMUNIDAD
COMUNIDAD
COMUNIDAD
COMUNIDAD
COMUNIDAD
COMUNIDAD
COMUNIDAD
COMUNIDAD
COMUNIDAD
COMUNIDAD
COMUNIDAD
COMUNIDAD
COMUNIDAD
COMUNIDAD
COMUNIDAD
COMUNIDAD
COMUNIDAD
COMUNIDAD
COMUNIDAD
COMUNIDAD
COMUNIDAD
COMUNIDAD
COMUNIDAD
COMUNIDAD
COMUNIDAD
COMUNIDAD
COMUNIDAD
COMUNIDAD
COMUNIDAD
COMUNIDAD
COMUNIDAD
COMUNIDAD
COMUNIDAD
COMUNIDAD
COMUNIDAD
COMUNIDAD
COMUNIDAD
COMUNIDAD
COMUNIDAD
COMUNIDAD
COMUNIDAD
COMUNIDAD
COMUNIDAD
COMUNIDAD
COMUNIDAD
COMUNIDAD
COMUNIDAD
COMUNIDAD
COMUNIDAD
COMUNIDAD
COMUNIDAD
COMUNIDAD
COMUNIDAD
COMUNIDAD
COMUNIDAD
COMUNIDAD
COMUNIDAD
COMUNIDAD
COMUNIDAD
COMUNIDAD
COMUNIDAD
COMUNIDAD
COMUNIDAD
COMUNIDAD
COMUNIDAD
COMUNIDAD
COMUNIDAD
COMUNIDAD
COMUNIDAD
COMUNIDAD
COMUNIDAD
COMUNIDAD
COMUNIDAD
COMUNIDAD
COMUNIDAD
COMUNIDAD
COMUNIDAD
COMUNIDAD
COMUNIDAD
COMUNIDAD
COMUNIDAD
COMUNIDAD
COMUNIDAD
COMUNIDAD
COMUNIDAD
COMUNIDAD
COMUNIDAD
COMUNIDAD
COMUNIDAD
COMUNIDAD
COMUNIDAD
COMUNIDAD
COMUNIDAD
COMUNIDAD
COMUNIDAD
COMUNIDAD
COMUNIDAD
COMUNIDAD
COMUNIDAD
COMUNIDAD
COMUNIDAD
COMUNIDAD
COMUNIDAD
COMUNIDAD
COMUNIDAD
COMUNIDAD
COMUNIDAD
COMUNIDAD
COMUNIDAD
COMUNIDAD
COMUNIDAD
COMUNIDAD
COMUNIDAD
COMUNIDAD
COMUNIDAD
COMUNIDAD
COMUNIDAD
COMUNIDAD
COMUNIDAD
COMUNIDAD
COMUNIDAD
COMUNIDAD
COMUNIDAD
COMUNIDAD
COMUNIDAD
COMUNIDAD
COMUNIDAD
COMUNIDAD
COMUNIDAD
COMUNIDAD
COMUNIDAD
COMUNIDAD
COMUNIDAD
COMUNIDAD
COMUNIDAD
COMUNIDAD
COMUNIDAD
COMUNIDAD
COMUNIDAD
COMUNIDAD
COMUNIDAD
COMUNIDAD
COMUNIDAD
COMUNIDAD
COMUNIDAD
COMUNIDAD
COMUNIDAD
COMUNIDAD
COMUNIDAD
COMUNIDAD
COMUNIDAD
COMUNIDAD
COMUNIDAD
COMUNIDAD
COMUNIDAD
COMUNIDAD
COMUNIDAD
COMUNIDAD
COMUNIDAD
COMUNIDAD
COMUNIDAD
COMUNIDAD
COMUNIDAD
COMUNIDAD
COMUNIDAD
COMUNIDAD
COMUNIDAD
COMUNIDAD
COMUNIDAD
COMUNIDAD
COMUNIDAD
COMUNIDAD
COMUNIDAD
COMUNIDAD
COMUNIDAD
COMUNIDAD
COMUNIDAD
COMUNIDAD
COMUNIDAD
COMUNIDAD
COMUNIDAD
COMUNIDAD
COMUNIDAD
COMUNIDAD
COMUNIDAD
COMUNIDAD
COMUNIDAD
COMUNIDAD
COMUNIDAD
COMUNIDAD
COMUNIDAD
COMUNIDAD
COMUNIDAD
COMUNIDAD
COMUNIDAD
COMUNIDAD
COMUNIDAD
COMUNIDAD
COMUNIDAD
COMUNIDAD
COMUNIDAD
COMUNIDAD
COMUNIDAD
COMUNIDAD
COMUNIDAD
COMUNIDAD
COMUNIDAD
COMUNIDAD
COMUNIDAD
COMUNIDAD
COMUNIDAD
COMUNIDAD
COMUNIDAD
COMUNIDAD
COMUNIDAD
COMUNIDAD
COMUNIDAD
COMUNIDAD
COMUNIDAD
COMUNIDAD
COMUNIDAD
COMUNIDAD
COMUNIDAD
COMUNIDAD
COMUNIDAD
COMUNIDAD
COMUNIDAD
COMUNIDAD
COMUNIDAD
COMUNIDAD
COMUNIDAD
COMUNIDAD
COMUNIDAD
COMUNIDAD
COMUNIDAD
COMUNIDAD
COMUNIDAD
COMUNIDAD
COMUNIDAD
COMUNIDAD
COMUNIDAD
COMUNIDAD
COMUNIDAD
COMUNIDAD
COMUNIDAD
COMUNIDAD
COMUNIDAD
COMUNIDAD
COMUNIDAD
COMUNIDAD
COMUNIDAD
COMUNIDAD
COMUNIDAD
COMUNIDAD
COMUNIDAD
COMUNIDAD
COMUNIDAD
COMUNIDAD
COMUNIDAD
COMUNIDAD
COMUNIDAD
COMUNIDAD
COMUNIDAD
COMUNIDAD
COMUNIDAD
COMUNIDAD
COMUNIDAD
COMUNIDAD
COMUNIDAD
COMUNIDAD
COMUNIDAD
COMUNIDAD
COMUNIDAD
COMUNIDAD
COMUNIDAD
COMUNIDAD
COMUNIDAD
COMUNIDAD
COMUNIDAD
COMUNIDAD
COMUNIDAD
COMUNIDAD
COMUNIDAD
COMUNIDAD
COMUNIDAD
COMUNIDAD
COMUNIDAD
COMUNIDAD
COMUNIDAD
COMUNIDAD
COMUNIDAD
COMUNIDAD
COMUNIDAD
COMUNIDAD
COMUNIDAD
COMUNIDAD
COMUNIDAD
COMUNIDAD
COMUNIDAD
COMUNIDAD
COMUNIDAD
COMUNIDAD
COMUNIDAD
COMUNIDAD
COMUNIDAD
COMUNIDAD
COMUNIDAD
COMUNIDAD
COMUNIDAD
COMUNIDAD
COMUNIDAD
COMUNIDAD
COMUNIDAD
COMUNIDAD
COMUNIDAD
COMUNIDAD
COMUNIDAD
COMUNIDAD
COMUNIDAD
COMUNIDAD
COMUNIDAD
COMUNIDAD
COMUNIDAD
COMUNIDAD
COMUNIDAD
COMUNIDAD
COMUNIDAD
COMUNIDAD
COMUNIDAD
COMUNIDAD
COMUNIDAD
COMUNIDAD
COMUNIDAD
COMUNIDAD
COMUNIDAD
COMUNIDAD
COMUNIDAD
COMUNIDAD
COMUNIDAD
COMUNIDAD
COMUNIDAD
COMUNIDAD
COMUNIDAD
COMUNIDAD
COMUNIDAD
COMUNIDAD
COMUNIDAD
COMUNIDAD
COMUNIDAD
COMUNIDAD
COMUNIDAD
COMUNIDAD
COMUNIDAD
COMUNIDAD
COMUNIDAD
COMUNIDAD
COMUNIDAD
COMUNIDAD
COMUNIDAD
COMUNIDAD
COMUNIDAD
COMUNIDAD
COMUNIDAD
COMUNIDAD
COMUNIDAD
COMUNIDAD
COMUNIDAD
COMUNIDAD
COMUNIDAD
COMUNIDAD
COMUNIDAD
COMUNIDAD
COMUNIDAD
COMUNIDAD
COMUNIDAD
COMUNIDAD
COMUNIDAD
COMUNIDAD
COMUNIDAD
COMUNIDAD
COMUNIDAD
COMUNIDAD
COMUNIDAD
COMUNIDAD
COMUNIDAD
COMUNIDAD
COMUNIDAD
COMUNIDAD
COMUNIDAD
COMUNIDAD
COMUNIDAD
COMUNIDAD
COMUNIDAD
COMUNIDAD
COMUNIDAD
COMUNIDAD
COMUNIDAD
COMUNIDAD
COMUNIDAD
COMUNIDAD
COMUNIDAD
COMUNIDAD
COMUNIDAD
COMUNIDAD
COMUNIDAD
COMUNIDAD
COMUNIDAD
COMUNIDAD
COMUNIDAD
COMUNIDAD
COMUNIDAD
COMUNIDAD
COMUNIDAD
COMUNIDAD
COMUNIDAD
COMUNIDAD
COMUNIDAD
COMUNIDAD
COMUNIDAD
COMUNIDAD
COMUNIDAD
COMUNIDAD
COMUNIDAD
COMUNIDAD
COMUNIDAD
COMUNIDAD
COMUNIDAD
COMUNIDAD
COMUNIDAD
COMUNIDAD
COMUNIDAD
COMUNIDAD
COMUNIDAD
COMUNIDAD
COMUNIDAD
COMUNIDAD
COMUNIDAD
COMUNIDAD
COMUNIDAD
COMUNIDAD
COMUNIDAD
COMUNIDAD
COMUNIDAD
COMUNIDAD
COMUNIDAD
COMUNIDAD
COMUNIDAD
COMUNIDAD
COMUNIDAD
COMUNIDAD
COMUNIDAD
COMUNIDAD
COMUNIDAD
COMUNIDAD
COMUNIDAD
COMUNIDAD
COMUNIDAD
COMUNIDAD
COMUNIDAD
COMUNIDAD
COMUNIDAD
COMUNIDAD
COMUNIDAD
COMUNIDAD
COMUNIDAD
COMUNIDAD
COMUNIDAD
COMUNIDAD
COMUNIDAD
COMUNIDAD
COMUNIDAD
COMUNIDAD
COMUNIDAD
COMUNIDAD
COMUNIDAD
COMUNIDAD
COMUNIDAD
COMUNIDAD
COMUNIDAD
COMUNIDAD
COMUNIDAD
COMUNIDAD
COMUNIDAD
COMUNIDAD
COMUNIDAD
COMUNIDAD
COMUNIDAD
COMUNIDAD
COMUNIDAD
COMUNIDAD
COMUNIDAD
COMUNIDAD
COMUNIDAD
COMUNIDAD
COMUNIDAD
COMUNIDAD
COMUNIDAD
COMUNIDAD
COMUNIDAD
COMUNIDAD
COMUNIDAD
COMUNIDAD
COMUNIDAD
COMUNIDAD
COMUNIDAD
COMUNIDAD
COMUNIDAD
COMUNIDAD
COMUNIDAD
COMUNIDAD
COMUNIDAD
COMUNIDAD
COMUNIDAD
COMUNIDAD
COMUNIDAD
COMUNIDAD
COMUNIDAD
COMUNIDAD
COMUNIDAD
COMUNIDAD
COMUNIDAD
COMUNIDAD
COMUNIDAD
COMUNIDAD
COMUNIDAD
COMUNIDAD
COMUNIDAD
COMUNIDAD
COMUNIDAD
COMUNIDAD
COMUNIDAD
COMUNIDAD
COMUNIDAD
COMUNIDAD
COMUNIDAD
COMUNIDAD
COMUNIDAD
COMUNIDAD
COMUNIDAD
COMUNIDAD
COMUNIDAD
COMUNIDAD
COMUNIDAD
COMUNIDAD
COMUNIDAD
COMUNIDAD
COMUNIDAD
COMUNIDAD
COMUNIDAD
COMUNIDAD
COMUNIDAD
COMUNIDAD
COMUNIDAD
COMUNIDAD
COMUNIDAD
COMUNIDAD
COMUNIDAD
COMUNIDAD
COMUNIDAD
COMUNIDAD
COMUNIDAD
COMUNIDAD
COMUNIDAD
COMUNIDAD
COMUNIDAD
COMUNIDAD
COMUNIDAD
COMUNIDAD
COMUNIDAD
COMUNIDAD
COMUNIDAD
COMUNIDAD
COMUNIDAD
COMUNIDAD
COMUNIDAD
COMUNIDAD
COMUNIDAD
COMUNIDAD
COMUNIDAD
COMUNIDAD
COMUNIDAD
COMUNIDAD
COMUNIDAD
COMUNIDAD
COMUNIDAD
COMUNIDAD
COMUNIDAD
COMUNIDAD
COMUNIDAD
COMUNIDAD
COMUNIDAD
COMUNIDAD
COMUNIDAD
COMUNIDAD
COMUNIDAD
COMUNIDAD
COMUNIDAD
COMUNIDAD
COMUNIDAD
COMUNIDAD
COMUNIDAD
COMUNIDAD
COMUNIDAD
COMUNIDAD
COMUNIDAD
COMUNIDAD
COMUNIDAD
COMUNIDAD
COMUNIDAD
COMUNIDAD
COMUNIDAD
COMUNIDAD
COMUNIDAD
COMUNIDAD
COMUNIDAD
COMUNIDAD
COMUNIDAD
COMUNIDAD
COMUNIDAD
COMUNIDAD
COMUNIDAD
COMUNIDAD
COMUNIDAD
COMUNIDAD
COMUNIDAD
COMUNIDAD
COMUNIDAD
COMUNIDAD
COMUNIDAD
COMUNIDAD
COMUNIDAD
COMUNIDAD
COMUNIDAD
COMUNIDAD
COMUNIDAD
COMUNIDAD
COMUNIDAD
COMUNIDAD
COMUNIDAD
COMUNIDAD
COMUNIDAD
COMUNIDAD
COMUNIDAD
COMUNIDAD
COMUNIDAD
COMUNIDAD
COMUNIDAD
COMUNIDAD
COMUNIDAD
COMUNIDAD
COMUNIDAD
COMUNIDAD
COMUNIDAD
COMUNIDAD
COMUNIDAD
COMUNIDAD
COMUNIDAD
COMUNIDAD
COMUNIDAD
COMUNIDAD
COMUNIDAD
COMUNIDAD
COMUNIDAD
COMUNIDAD
COMUNIDAD
COMUNIDAD
COMUNIDAD
COMUNIDAD
COMUNIDAD
COMUNIDAD
COMUNIDAD
COMUNIDAD
COMUNIDAD
COMUNIDAD
COMUNIDAD
COMUNIDAD
COMUNIDAD
COMUNIDAD
COMUNIDAD
COMUNIDAD
COMUNIDAD
COMUNIDAD
COMUNIDAD
COMUNIDAD
COMUNIDAD
COMUNIDAD
COMUNIDAD
COMUNIDAD
COMUNIDAD
COMUNIDAD
COMUNIDAD
COMUNIDAD
COMUNIDAD
COMUNIDAD
COMUNIDAD
COMUNIDAD
COMUNIDAD
COMUNIDAD
COMUNIDAD
COMUNIDAD
COMUNIDAD
COMUNIDAD
COMUNIDAD
COMUNIDAD
COMUNIDAD
COMUNIDAD
COMUNIDAD
COMUNIDAD
COMUNIDAD
COMUNIDAD
COMUNIDAD
COMUNIDAD
COMUNIDAD
COMUNIDAD
COMUNIDAD
COMUNIDAD
COMUNIDAD
COMUNIDAD
COMUNIDAD
COMUNIDAD
COMUNIDAD
COMUNIDAD
COMUNIDAD
COMUNIDAD
COMUNIDAD
COMUNIDAD
COMUNIDAD
COMUNIDAD
COMUNIDAD
COMUNIDAD
COMUNIDAD
COMUNIDAD
COMUNIDAD
COMUNIDAD
COMUNIDAD
COMUNIDAD
COMUNIDAD
COMUNIDAD
COMUNIDAD
COMUNIDAD
COMUNIDAD
COMUNIDAD
COMUNIDAD
COMUNIDAD
COMUNIDAD
COMUNIDAD
COMUNIDAD
COMUNIDAD
COMUNIDAD
COMUNIDAD
COMUNIDAD
COMUNIDAD
COMUNIDAD
COMUNIDAD
COMUNIDAD
COMUNIDAD
COMUNIDAD
COMUNIDAD
COMUNIDAD
COMUNIDAD
COMUNIDAD
COMUNIDAD
COMUNIDAD
COMUNIDAD
COMUNIDAD
COMUNIDAD
COMUNIDAD
COMUNIDAD
COMUNIDAD
COMUNIDAD
COMUNIDAD
COMUNIDAD
COMUNIDAD
COMUNIDAD
COMUNIDAD
COMUNIDAD
COMUNIDAD
COMUNIDAD
COMUNIDAD
COMUNIDAD
COMUNIDAD
COMUNIDAD
COMUNIDAD
COMUNIDAD
COMUNIDAD
COMUNIDAD
COMUNIDAD
COMUNIDAD
COMUNIDAD
COMUNIDAD
COMUNIDAD
COMUNIDAD
COMUNIDAD
COMUNIDAD
COMUNIDAD
COMUNIDAD
COMUNIDAD
COMUNIDAD
COMUNIDAD
COMUNIDAD
COMUNIDAD
COMUNIDAD
COMUNIDAD
COMUNIDAD
COMUNIDAD
COMUNIDAD
COMUNIDAD
COMUNIDAD
COMUNIDAD
COMUNIDAD
COMUNIDAD
COMUNIDAD
COMUNIDAD
COMUNIDAD
COMUNIDAD
COMUNIDAD
COMUNIDAD
COMUNIDAD
COMUNIDAD
COMUNIDAD
COMUNIDAD
COMUNIDAD
COMUNIDAD
COMUNIDAD
COMUNIDAD
COMUNIDAD
COMUNIDAD
COMUNIDAD
COMUNIDAD
COMUNIDAD
COMUNIDAD
COMUNIDAD
COMUNIDAD
COMUNIDAD
COMUNIDAD
COMUNIDAD
COMUNIDAD
COMUNIDAD
COMUNIDAD
COMUNIDAD
COMUNIDAD
COMUNIDAD
COMUNIDAD
COMUNIDAD
COMUNIDAD
COMUNIDAD
COMUNIDAD
COMUNIDAD
COMUNIDAD
COMUNIDAD
COMUNIDAD
COMUNIDAD
COMUNIDAD
COMUNIDAD
COMUNIDAD
COMUNIDAD
COMUNIDAD
COMUNIDAD
COMUNIDAD
COMUNIDAD
COMUNIDAD
COMUNIDAD
COMUNIDAD
COMUNIDAD
COMUNIDAD
COMUNIDAD
COMUNIDAD
COMUNIDAD
COMUNIDAD
COMUNIDAD
COMUNIDAD
COMUNIDAD
COMUNIDAD
COMUNIDAD
COMUNIDAD
COMUNIDAD
COMUNIDAD
COMUNIDAD
COMUNIDAD
COMUNIDAD
COMUNIDAD
COMUNIDAD
COMUNIDAD
COMUNIDAD
COMUNIDAD
COMUNIDAD
COMUNIDAD
COMUNIDAD
COMUNIDAD
COMUNIDAD
COMUNIDAD
COMUNIDAD
COMUNIDAD
COMUNIDAD
COMUNIDAD
COMUNIDAD
COMUNIDAD
COMUNIDAD
COMUNIDAD
COMUNIDAD
COMUNIDAD
COMUNIDAD
COMUNIDAD
COMUNIDAD
COMUNIDAD
COMUNIDAD
COMUNIDAD
COMUNIDAD
COMUNIDAD
COMUNIDAD
COMUNIDAD
COMUNIDAD
COMUNIDAD
COMUNIDAD
COMUNIDAD
COMUNIDAD
COMUNIDAD
COMUNIDAD
COMUNIDAD
COMUNIDAD
COMUNIDAD
COMUNIDAD
COMUNIDAD
COMUNIDAD
COMUNIDAD
COMUNIDAD
COMUNIDAD
COMUNIDAD
COMUNIDAD
COMUNIDAD
COMUNIDAD
COMUNIDAD
COMUNIDAD
COMUNIDAD
COMUNIDAD
COMUNIDAD
COMUNIDAD
COMUNIDAD
COMUNIDAD
COMUNIDAD
COMUNIDAD
COMUNIDAD
COMUNIDAD
COMUNIDAD
COMUNIDAD
COMUNIDAD
COMUNIDAD
COMUNIDAD
COMUNIDAD
COMUNIDAD
COMUNIDAD
COMUNIDAD
COMUNIDAD
COMUNIDAD
COMUNIDAD
COMUNIDAD
COMUNIDAD
COMUNIDAD
COMUNIDAD
COMUNIDAD
COMUNIDAD
COMUNIDAD
COMUNIDAD
COMUNIDAD
COMUNIDAD
COMUNIDAD
COMUNIDAD
COMUNIDAD
COMUNIDAD
COMUNIDAD
COMUNIDAD
COMUNIDAD
COMUNIDAD
COMUNIDAD
COMUNIDAD
COMUNIDAD
COMUNIDAD
COMUNIDAD
COMUNIDAD
COMUNIDAD
COMUNIDAD
COMUNIDAD
COMUNIDAD
COMUNIDAD
COMUNIDAD
COMUNIDAD
COMUNIDAD
COMUNIDAD
COMUNIDAD
COMUNIDAD
COMUNIDAD
COMUNIDAD
COMUNIDAD
COMUNIDAD
COMUNIDAD
COMUNIDAD
COMUNIDAD
COMUNIDAD
COMUNIDAD
COMUNIDAD
COMUNIDAD
COMUNIDAD
COMUNIDAD
COMUNIDAD
COMUNIDAD
COMUNIDAD
COMUNIDAD
COMUNIDAD
COMUNIDAD
COMUNIDAD
COMUNIDAD
COMUNIDAD
COMUNIDAD
COMUNIDAD
COMUNIDAD
COMUNIDAD
COMUNIDAD
COMUNIDAD
COMUNIDAD
COMUNIDAD
COMUNIDAD
COMUNIDAD
COMUNIDAD
COMUNIDAD
COMUNIDAD
COMUNIDAD
COMUNIDAD
COMUNIDAD
COMUNIDAD
COMUNIDAD
COMUNIDAD
COMUNIDAD
COMUNIDAD
COMUNIDAD
COMUNIDAD
COMUNIDAD
COMUNIDAD
COMUNIDAD
COMUNIDAD
COMUNIDAD
COMUNIDAD
COMUNIDAD
COMUNIDAD
COMUNIDAD
COMUNIDAD
COMUNIDAD
COMUNIDAD
COMUNIDAD
COMUNIDAD
COMUNIDAD
COMUNIDAD
COMUNIDAD
COMUNIDAD
COMUNIDAD
COMUNIDAD
COMUNIDAD
COMUNIDAD
COMUNIDAD
COMUNIDAD
COMUNIDAD
COMUNIDAD
COMUNIDAD
COMUNIDAD
COMUNIDAD
COMUNIDAD
COMUNIDAD
COMUNIDAD
COMUNIDAD
COMUNIDAD
COMUNIDAD
COMUNIDAD
COMUNIDAD
COMUNIDAD
COMUNIDAD
COMUNIDAD
COMUNIDAD
COMUNIDAD
COMUNIDAD
COMUNIDAD
COMUNIDAD
COMUNIDAD
COMUNIDAD
COMUNIDAD
COMUNIDAD
COMUNIDAD
COMUNIDAD
COMUNIDAD
COMUNIDAD
COMUNIDAD
COMUNIDAD
COMUNIDAD
COMUNIDAD
COMUNIDAD
COMUNIDAD
COMUNIDAD
COMUNIDAD
COMUNIDAD
COMUNIDAD
COMUNIDAD
COMUNIDAD
COMUNIDAD
COMUNIDAD
COMUNIDAD
COMUNIDAD
COMUNIDAD
COMUNIDAD
COMUNIDAD
COMUNIDAD
COMUNIDAD
COMUNIDAD
COMUNIDAD
COMUNIDAD
COMUNIDAD
COMUNIDAD
COMUNIDAD
COMUNIDAD
COMUNIDAD
COMUNIDAD
COMUNIDAD
COMUNIDAD
COMUNIDAD
COMUNIDAD
COMUNIDAD
COMUNIDAD
COMUNIDAD
COMUNIDAD
COMUNIDAD
COMUNIDAD
COMUNIDAD
COMUNIDAD
COMUNIDAD
COMUNIDAD
COMUNIDAD
COMUNIDAD
COMUNIDAD
COMUNIDAD
COMUNIDAD
COMUNIDAD
COMUNIDAD
COMUNIDAD
COMUNIDAD
COMUNIDAD
COMUNIDAD
COMUNIDAD
COMUNIDAD
COMUNIDAD
COMUNIDAD
COMUNIDAD
COMUNIDAD
COMUNIDAD
COMUNIDAD
COMUNIDAD
COMUNIDAD
COMUNIDAD
COMUNIDAD
COMUNIDAD
COMUNIDAD
COMUNIDAD
COMUNIDAD
COMUNIDAD
COMUNIDAD
COMUNIDAD
COMUNIDAD
COMUNIDAD
COMUNIDAD
COMUNIDAD
COMUNIDAD
COMUNIDAD
COMUNIDAD
COMUNIDAD
COMUNIDAD
COMUNIDAD
COMUNIDAD
COMUNIDAD
COMUNIDAD
COMUNIDAD
COMUNIDAD
COMUNIDAD
COMUNIDAD
COMUNIDAD
COMUNIDAD
COMUNIDAD
COMUNIDAD
COMUNIDAD
COMUNIDAD
COMUNIDAD
COMUNIDAD
COMUNIDAD
COMUNIDAD
COMUNIDAD
COMUNIDAD
COMUNIDAD
COMUNIDAD
COMUNIDAD
COMUNIDAD
COMUNIDAD
COMUNIDAD
COMUNIDAD
COMUNIDAD
COMUNIDAD
COMUNIDAD
COMUNIDAD
COMUNIDAD
COMUNIDAD
COMUNIDAD
COMUNIDAD
COMUNIDAD
COMUNIDAD
COMUNIDAD
COMUNIDAD
COMUNIDAD
COMUNIDAD
COMUNIDAD
COMUNIDAD
COMUNIDAD
COMUNIDAD
COMUNIDAD
COMUNIDAD
COMUNIDAD
COMUNIDAD
COMUNIDAD
COMUNIDAD
COMUNIDAD
COMUNIDAD
COMUNIDAD
COMUNIDAD
COMUNIDAD
COMUNIDAD
COMUNIDAD
COMUNIDAD
COMUNIDAD
COMUNIDAD
COMUNIDAD
COMUNIDAD
COMUNIDAD
COMUNIDAD
COMUNIDAD
COMUNIDAD
COMUNIDAD
COMUNIDAD
COMUNIDAD
COMUNIDAD
COMUNIDAD
COMUNIDAD
COMUNIDAD
COMUNIDAD
COMUNIDAD
COMUNIDAD
COMUNIDAD
COMUNIDAD
COMUNIDAD
COMUNIDAD
COMUNIDAD
COMUNIDAD
COMUNIDAD
COMUNIDAD
COMUNIDAD
COMUNIDAD
COMUNIDAD
COMUNIDAD
COMUNIDAD
COMUNIDAD
COMUNIDAD
COMUNIDAD
COMUNIDAD
COMUNIDAD
COMUNIDAD
COMUNIDAD
COMUNIDAD
COMUNIDAD
COMUNIDAD
COMUNIDAD
COMUNIDAD
COMUNIDAD
COMUNIDAD
COMUNIDAD
COMUNIDAD
COMUNIDAD
COMUNIDAD
COMUNIDAD
COMUNIDAD
COMUNIDAD
COMUNIDAD
COMUNIDAD
COMUNIDAD
COMUNIDAD
COMUNIDAD
COMUNIDAD
COMUNIDAD
COMUNIDAD
COMUNIDAD
COMUNIDAD
COMUNIDAD
COMUNIDAD
COMUNIDAD
COMUNIDAD
COMUNIDAD
COMUNIDAD
COMUNIDAD
COMUNIDAD
COMUNIDAD
COMUNIDAD
COMUNIDAD
COMUNIDAD
COMUNIDAD
COMUNIDAD
COMUNIDAD
COMUNIDAD
COMUNIDAD
COMUNIDAD
COMUNIDAD
COMUNIDAD
COMUNIDAD
COMUNIDAD
COMUNIDAD
COMUNIDAD
COMUNIDAD
COMUNIDAD
COMUNIDAD
COMUNIDAD
COMUNIDAD
COMUNIDAD
COMUNIDAD
COMUNIDAD
COMUNIDAD
COMUNIDAD
COMUNIDAD
COMUNIDAD
COMUNIDAD
COMUNIDAD
COMUNIDAD
COMUNIDAD
COMUNIDAD
COMUNIDAD
COMUNIDAD
COMUNIDAD
COMUNIDAD
COMUNIDAD
COMUNIDAD
COMUNIDAD
COMUNIDAD
COMUNIDAD
COMUNIDAD
COMUNIDAD
COMUNIDAD
COMUNIDAD
COMUNIDAD
COMUNIDAD
COMUNIDAD
COMUNIDAD
COMUNIDAD
COMUNIDAD
COMUNIDAD
COMUNIDAD
COMUNIDAD
COMUNIDAD
COMUNIDAD
COMUNIDAD
COMUNIDAD
COMUNIDAD
COMUNIDAD
COMUNIDAD
COMUNIDAD
COMUNIDAD
COMUNIDAD
COMUNIDAD
COMUNIDAD
COMUNIDAD
COMUNIDAD
COMUNIDAD
COMUNIDAD
COMUNIDAD
COMUNIDAD
COMUNIDAD
COMUNIDAD
COMUNIDAD
COMUNIDAD
COMUNIDAD
COMUNIDAD
COMUNIDAD
COMUNIDAD
COMUNIDAD
COMUNIDAD
COMUNIDAD
COMUNIDAD
COMUNIDAD
COMUNIDAD
COMUNIDAD
COMUNIDAD
COMUNIDAD
COMUNIDAD
COMUNIDAD
COMUNIDAD
COMUNIDAD
COMUNIDAD
COMUNIDAD
COMUNIDAD
COMUNIDAD
COMUNIDAD
COMUNIDAD
COMUNIDAD
COMUNIDAD
COMUNIDAD
COMUNIDAD
COMUNIDAD
COMUNIDAD
COMUNIDAD
COMUNIDAD
COMUNIDAD
COMUNIDAD
COMUNIDAD
COMUNIDAD
COMUNIDAD
COMUNIDAD
COMUNIDAD
COMUNIDAD
COMUNIDAD
COMUNIDAD
COMUNIDAD
COMUNIDAD
COMUNIDAD
COMUNIDAD
COMUNIDAD
COMUNIDAD
COMUNIDAD
COMUNIDAD
COMUNIDAD
COMUNIDAD
COMUNIDAD
COMUNIDAD
COMUNIDAD
COMUNIDAD
COMUNIDAD
COMUNIDAD
COMUNIDAD
COMUNIDAD
COMUNIDAD
COMUNIDAD
COMUNIDAD
COMUNIDAD
COMUNIDAD
COMUNIDAD
COMUNIDAD
COMUNIDAD
COMUNIDAD
COMUNIDAD
COMUNIDAD
COMUNIDAD
COMUNIDAD
COMUNIDAD
COMUNIDAD
COMUNIDAD
COMUNIDAD
COMUNIDAD
COMUNIDAD
COMUNIDAD
COMUNIDAD
COMUNIDAD
COMUNIDAD
COMUNIDAD
COMUNIDAD
COMUNIDAD
COMUNIDAD
COMUNIDAD
COMUNIDAD
COMUNIDAD
COMUNIDAD
COMUNIDAD
COMUNIDAD
COMUNIDAD
COMUNIDAD
COMUNIDAD
COMUNIDAD
COMUNIDAD
COMUNIDAD
COMUNIDAD
COMUNIDAD
COMUNIDAD
COMUNIDAD
COMUNIDAD
COMUNIDAD
COMUNIDAD
COMUNIDAD
COMUNIDAD
COMUNIDAD
COMUNIDAD
COMUNIDAD
COMUNIDAD
COMUNIDAD
COMUNIDAD
COMUNIDAD
COMUNIDAD
COMUNIDAD
COMUNIDAD
COMUNIDAD
COMUNIDAD
COMUNIDAD
COMUNIDAD
COMUNIDAD
COMUNIDAD
COMUNIDAD
COMUNIDAD
COMUNIDAD
COMUNIDAD
COMUNIDAD
COMUNIDAD
COMUNIDAD
COMUNIDAD
COMUNIDAD
COMUNIDAD
COMUNIDAD
COMUNIDAD
COMUNIDAD
COMUNIDAD
COMUNIDAD
COMUNIDAD
COMUNIDAD
COMUNIDAD
COMUNIDAD
COMUNIDAD
COMUNIDAD
COMUNIDAD
COMUNIDAD
COMUNIDAD
COMUNIDAD
COMUNIDAD
COMUNIDAD
COMUNIDAD
COMUNIDAD
COMUNIDAD
COMUNIDAD
COMUNIDAD
COMUNIDAD
COMUNIDAD
COMUNIDAD
COMUNIDAD
COMUNIDAD
COMUNIDAD
COMUNIDAD
COMUNIDAD
COMUNIDAD
COMUNIDAD
COMUNIDAD
COMUNIDAD
COMUNIDAD
COMUNIDAD
COMUNIDAD
COMUNIDAD
COMUNIDAD
COMUNIDAD
COMUNIDAD
COMUNIDAD
COMUNIDAD
COMUNIDAD
COMUNIDAD
COMUNIDAD
COMUNIDAD
COMUNIDAD
COMUNIDAD
COMUNIDAD
COMUNIDAD
COMUNIDAD
COMUNIDAD
COMUNIDAD
COMUNIDAD
COMUNIDAD
COMUNIDAD
COMUNIDAD
COMUNIDAD
COMUNIDAD
COMUNIDAD
COMUNIDAD
COMUNIDAD
COMUNIDAD
COMUNIDAD
COMUNIDAD
COMUNIDAD
COMUNIDAD
COMUNIDAD
COMUNIDAD
COMUNIDAD
COMUNIDAD
COMUNIDAD
COMUNIDAD
COMUNIDAD
COMUNIDAD
COMUNIDAD
COMUNIDAD
COMUNIDAD
COMUNIDAD
COMUNIDAD
COMUNIDAD
COMUNIDAD
COMUNIDAD
COMUNIDAD
COMUNIDAD
COMUNIDAD
COMUNIDAD
COMUNIDAD
COMUNIDAD
COMUNIDAD
COMUNIDAD
COMUNIDAD
COMUNIDAD
COMUNIDAD
COMUNIDAD
COMUNIDAD
COMUNIDAD
COMUNIDAD
COMUNIDAD
COMUNIDAD
COMUNIDAD
COMUNIDAD
COMUNIDAD
COMUNIDAD
COMUNIDAD
COMUNIDAD
COMUNIDAD
COMUNIDAD
COMUNIDAD
COMUNIDAD
COMUNIDAD
COMUNIDAD
COMUNIDAD
COMUNIDAD
COMUNIDAD
COMUNIDAD
COMUNIDAD
COMUNIDAD
COMUNIDAD
COMUNIDAD
COMUNIDAD
COMUNIDAD
COMUNIDAD
COMUNIDAD
COMUNIDAD
COMUNIDAD
COMUNIDAD
COMUNIDAD
COMUNIDAD
COMUNIDAD
COMUNIDAD
COMUNIDAD
COMUNIDAD
COMUNIDAD
COMUNIDAD
COMUNIDAD
COMUNIDAD
COMUNIDAD
COMUNIDAD
COMUNIDAD
COMUNIDAD
COMUNIDAD
COMUNIDAD
COMUNIDAD
COMUNIDAD
COMUNIDAD
COMUNIDAD
COMUNIDAD
COMUNIDAD
COMUNIDAD
COMUNIDAD
COMUNIDAD
COMUNIDAD
COMUNIDAD
COMUNIDAD
COMUNIDAD
COMUNIDAD
COMUNIDAD
COMUNIDAD
COMUNIDAD
COMUNIDAD
COMUNIDAD
COMUNIDAD
COMUNIDAD
COMUNIDAD
COMUNIDAD
COMUNIDAD
COMUNIDAD
COMUNIDAD
COMUNIDAD
COMUNIDAD
COMUNIDAD
COMUNIDAD
COMUNIDAD
COMUNIDAD
COMUNIDAD
COMUNIDAD
COMUNIDAD
COMUNIDAD
COMUNIDAD
COMUNIDAD
COMUNIDAD
COMUNIDAD
COMUNIDAD
COMUNIDAD
COMUNIDAD
COMUNIDAD
COMUNIDAD
COMUNIDAD
COMUNIDAD
COMUNIDAD
COMUNIDAD
COMUNIDAD
COMUNIDAD
COMUNIDAD
COMUNIDAD
COMUNIDAD
COMUNIDAD
COMUNIDAD
COMUNIDAD
COMUNIDAD
COMUNIDAD
COMUNIDAD
COMUNIDAD
COMUNIDAD
COMUNIDAD
COMUNIDAD
COMUNIDAD
COMUNIDAD
COMUNIDAD
COMUNIDAD
COMUNIDAD
COMUNIDAD
COMUNIDAD
COMUNIDAD
COMUNIDAD
COMUNIDAD
COMUNIDAD
COMUNIDAD
COMUNIDAD
COMUNIDAD
COMUNIDAD
COMUNIDAD
COMUNIDAD
COMUNIDAD
COMUNIDAD
COMUNIDAD
COMUNIDAD
COMUNIDAD
COMUNIDAD
COMUNIDAD
COMUNIDAD
COMUNIDAD
COMUNIDAD
COMUNIDAD
COMUNIDAD
COMUNIDAD
COMUNIDAD
COMUNIDAD
COMUNIDAD
COMUNIDAD
COMUNIDAD
COMUNIDAD
COMUNIDAD
COMUNIDAD
COMUNIDAD
COMUNIDAD
COMUNIDAD
COMUNIDAD
COMUNIDAD
COMUNIDAD
COMUNIDAD
COMUNIDAD
COMUNIDAD
COMUNIDAD
COMUNIDAD
COMUNIDAD
COMUNIDAD
COMUNIDAD
COMUNIDAD
COMUNIDAD
COMUNIDAD
COMUNIDAD
COMUNIDAD
COMUNIDAD
COMUNIDAD
COMUNIDAD
COMUNIDAD
COMUNIDAD
COMUNIDAD
COMUNIDAD
COMUNIDAD
COMUNIDAD
COMUNIDAD
COMUNIDAD
COMUNIDAD
COMUNIDAD
COMUNIDAD
COMUNIDAD
COMUNIDAD
COMUNIDAD
COMUNIDAD
COMUNIDAD
COMUNIDAD
COMUNIDAD
COMUNIDAD
COMUNIDAD
COMUNIDAD
COMUNIDAD
COMUNIDAD
COMUNIDAD
COMUNIDAD
COMUNIDAD
COMUNIDAD
COMUNIDAD
COMUNIDAD
COMUNIDAD
COMUNIDAD
COMUNIDAD
COMUNIDAD
COMUNIDAD
COMUNIDAD
COMUNIDAD
COMUNIDAD
COMUNIDAD
COMUNIDAD
COMUNIDAD
COMUNIDAD
COMUNIDAD
COMUNIDAD
COMUNIDAD
COMUNIDAD
COMUNIDAD
COMUNIDAD
COMUNIDAD
COMUNIDAD
COMUNIDAD
COMUNIDAD
COMUNIDAD
COMUNIDAD
COMUNIDAD
COMUNIDAD
COMUNIDAD
COMUNIDAD
COMUNIDAD
COMUNIDAD
COMUNIDAD
COMUNIDAD
COMUNIDAD
COMUNIDAD
COMUNIDAD
COMUNIDAD
COMUNIDAD
COMUNIDAD
COMUNIDAD
COMUNIDAD
COMUNIDAD
COMUNIDAD
COMUNIDAD
COMUNIDAD
COMUNIDAD
COMUNIDAD
COMUNIDAD
COMUNIDAD
COMUNIDAD
COMUNIDAD
COMUNIDAD
COMUNIDAD
COMUNIDAD
COMUNIDAD
COMUNIDAD
COMUNIDAD
COMUNIDAD
COMUNIDAD
COMUNIDAD
COMUNIDAD
COMUNIDAD
COMUNIDAD
COMUNIDAD
COMUNIDAD
COMUNIDAD
COMUNIDAD
COMUNIDAD
COMUNIDAD
COMUNIDAD
COMUNIDAD
COMUNIDAD
COMUNIDAD
COMUNIDAD
COMUNIDAD
COMUNIDAD
COMUNIDAD
COMUNIDAD
COMUNIDAD
COMUNIDAD
COMUNIDAD
COMUNIDAD
COMUNIDAD
COMUNIDAD
COMUNIDAD
COMUNIDAD
COMUNIDAD
COMUNIDAD
COMUNIDAD
COMUNIDAD
COMUNIDAD
COMUNIDAD
COMUNIDAD
COMUNIDAD
COMUNIDAD
COMUNIDAD
COMUNIDAD
COMUNIDAD
COMUNIDAD
COMUNIDAD
COMUNIDAD
COMUNIDAD
COMUNIDAD
COMUNIDAD
COMUNIDAD
COMUNIDAD
COMUNIDAD
COMUNIDAD
COMUNIDAD
COMUNIDAD
COMUNIDAD
COMUNIDAD
COMUNIDAD
COMUNIDAD
COMUNIDAD
COMUNIDAD
COMUNIDAD
COMUNIDAD
COMUNIDAD
COMUNIDAD
COMUNIDAD
COMUNIDAD
COMUNIDAD
COMUNIDAD
COMUNIDAD
COMUNIDAD
COMUNIDAD
COMUNIDAD
COMUNIDAD
COMUNIDAD
COMUNIDAD
COMUNIDAD
COMUNIDAD
COMUNIDAD
COMUNIDAD
COMUNIDAD
COMUNIDAD
COMUNIDAD
COMUNIDAD
COMUNIDAD
COMUNIDAD
COMUNIDAD
COMUNIDAD
COMUNIDAD
COMUNIDAD
COMUNIDAD
COMUNIDAD
COMUNIDAD
COMUNIDAD
COMUNIDAD
COMUNIDAD
COMUNIDAD
COMUNIDAD
COMUNIDAD
COMUNIDAD
COMUNIDAD
COMUNIDAD
COMUNIDAD
COMUNIDAD
COMUNIDAD
COMUNIDAD
COMUNIDAD
COMUNIDAD
COMUNIDAD
COMUNIDAD
COMUNIDAD
COMUNIDAD
COMUNIDAD
COMUNIDAD
COMUNIDAD
COMUNIDAD
COMUNIDAD
COMUNIDAD
COMUNIDAD
COMUNIDAD
COMUNIDAD
COMUNIDAD
COMUNIDAD
COMUNIDAD
COMUNIDAD
COMUNIDAD
COMUNIDAD
COMUNIDAD
COMUNIDAD
COMUNIDAD
COMUNIDAD
COMUNIDAD
COMUNIDAD
COMUNIDAD
COMUNIDAD
COMUNIDAD
COMUNIDAD
COMUNIDAD
COMUNIDAD
COMUNIDAD
COMUNIDAD
COMUNIDAD
COMUNIDAD
COMUNIDAD
COMUNIDAD
COMUNIDAD
COMUNIDAD
COMUNIDAD
COMUNIDAD
COMUNIDAD
COMUNIDAD
COMUNIDAD
COMUNIDAD
COMUNIDAD
COMUNIDAD
COMUNIDAD
COMUNIDAD
COMUNIDAD
COMUNIDAD
COMUNIDAD
COMUNIDAD
COMUNIDAD
COMUNIDAD
COMUNIDAD
COMUNIDAD
COMUNIDAD
COMUNIDAD
COMUNIDAD
COMUNIDAD
COMUNIDAD
COMUNIDAD
COMUNIDAD
COMUNIDAD
COMUNIDAD
COMUNIDAD
COMUNIDAD
COMUNIDAD
COMUNIDAD
COMUNIDAD
COMUNIDAD
COMUNIDAD
COMUNIDAD
COMUNIDAD
COMUNIDAD
COMUNIDAD
COMUNIDAD
COMUNIDAD
COMUNIDAD
COMUNIDAD
COMUNIDAD
COMUNIDAD
COMUNIDAD
COMUNIDAD
COMUNIDAD
COMUNIDAD
COMUNIDAD
COMUNIDAD
COMUNIDAD
COMUNIDAD
COMUNIDAD
COMUNIDAD
COMUNIDAD
COMUNIDAD
COMUNIDAD
COMUNIDAD
COMUNIDAD
COMUNIDAD
COMUNIDAD
COMUNIDAD
COMUNIDAD
COMUNIDAD
COMUNIDAD
COMUNIDAD
COMUNIDAD
COMUNIDAD
COMUNIDAD
COMUNIDAD
COMUNIDAD
COMUNIDAD
COMUNIDAD
COMUNIDAD
COMUNIDAD
COMUNIDAD
COMUNIDAD
COMUNIDAD
COMUNIDAD
COMUNIDAD
COMUNIDAD
COMUNIDAD
COMUNIDAD
COMUNIDAD
COMUNIDAD
COMUNIDAD
COMUNIDAD
COMUNIDAD
COMUNIDAD
COMUNIDAD
COMUNIDAD
COMUNIDAD
COMUNIDAD
COMUNIDAD
COMUNIDAD
COMUNIDAD
COMUNIDAD
COMUNIDAD
COMUNIDAD
COMUNIDAD
COMUNIDAD
COMUNIDAD
COMUNIDAD
COMUNIDAD
COMUNIDAD
COMUNIDAD
COMUNIDAD
COMUNIDAD
COMUNIDAD
COMUNIDAD
COMUNIDAD
COMUNIDAD
COMUNIDAD
COMUNIDAD
COMUNIDAD
COMUNIDAD
COMUNIDAD
COMUNIDAD
COMUNIDAD
COMUNIDAD
COMUNIDAD
COMUNIDAD
COMUNIDAD
COMUNIDAD
COMUNIDAD
COMUNIDAD
COMUNIDAD
COMUNIDAD
COMUNIDAD
COMUNIDAD
COMUNIDAD
COMUNIDAD
COMUNIDAD
COMUNIDAD
COMUNIDAD
COMUNIDAD
COMUNIDAD
COMUNIDAD
COMUNIDAD
COMUNIDAD
COMUNIDAD
COMUNIDAD
COMUNIDAD
COMUNIDAD
COMUNIDAD
COMUNIDAD
COMUNIDAD
COMUNIDAD
COMUNIDAD
COMUNIDAD
COMUNIDAD
COMUNIDAD
COMUNIDAD
COMUNIDAD
COMUNIDAD
COMUNIDAD
COMUNIDAD
COMUNIDAD
COMUNIDAD
COMUNIDAD
COMUNIDAD
COMUNIDAD
COMUNIDAD
COMUNIDAD
COMUNIDAD
COMUNIDAD
COMUNIDAD
COMUNIDAD
COMUNIDAD
COMUNIDAD
COMUNIDAD
COMUNIDAD
COMUNIDAD
COMUNIDAD
COMUNIDAD
COMUNIDAD
COMUNIDAD
COMUNIDAD
COMUNIDAD
COMUNIDAD
COMUNIDAD
COMUNIDAD
COMUNIDAD
COMUNIDAD
COMUNIDAD
COMUNIDAD
COMUNIDAD
COMUNIDAD
COMUNIDAD
COMUNIDAD
COMUNIDAD
COMUNIDAD
COMUNIDAD
COMUNIDAD
COMUNIDAD
COMUNIDAD
COMUNIDAD
COMUNIDAD
COMUNIDAD
COMUNIDAD
COMUNIDAD
COMUNIDAD
COMUNIDAD
COMUNIDAD
COMUNIDAD
COMUNIDAD
COMUNIDAD
COMUNIDAD
COMUNIDAD
COMUNIDAD
COMUNIDAD
COMUNIDAD
COMUNIDAD
COMUNIDAD
COMUNIDAD
COMUNIDAD
COMUNIDAD
COMUNIDAD
COMUNIDAD
COMUNIDAD
COMUNIDAD
COMUNIDAD
COMUNIDAD
COMUNIDAD
COMUNIDAD
COMUNIDAD
COMUNIDAD
COMUNIDAD
COMUNIDAD
COMUNIDAD
COMUNIDAD
COMUNIDAD
COMUNIDAD
COMUNIDAD
COMUNIDAD
COMUNIDAD
COMUNIDAD
COMUNIDAD
COMUNIDAD
COMUNIDAD
COMUNIDAD
COMUNIDAD
COMUNIDAD
COMUNIDAD
COMUNIDAD
COMUNIDAD
COMUNIDAD
COMUNIDAD
COMUNIDAD
COMUNIDAD
COMUNIDAD
COMUNIDAD
COMUNIDAD
COMUNIDAD
COMUNIDAD
COMUNIDAD
COMUNIDAD
COMUNIDAD
COMUNIDAD
COMUNIDAD
COMUNIDAD
COMUNIDAD
COMUNIDAD
COMUNIDAD
COMUNIDAD
COMUNIDAD
COMUNIDAD
COMUNIDAD
COMUNIDAD
COMUNIDAD
COMUNIDAD
COMUNIDAD
COMUNIDAD
COMUNIDAD
COMUNIDAD
COMUNIDAD
COMUNIDAD
COMUNIDAD
COMUNIDAD
COMUNIDAD
COMUNIDAD
COMUNIDAD
COMUNIDAD
COMUNIDAD
COMUNIDAD
COMUNIDAD
COMUNIDAD
COMUNIDAD
COMUNIDAD
COMUNIDAD
COMUNIDAD
COMUNIDAD
COMUNIDAD
COMUNIDAD
COMUNIDAD
COMUNIDAD
COMUNIDAD
COMUNIDAD
COMUNIDAD
COMUNIDAD
COMUNIDAD
COMUNIDAD
COMUNIDAD
COMUNIDAD
COMUNIDAD
COMUNIDAD
COMUNIDAD
COMUNIDAD
COMUNIDAD
COMUNIDAD
COMUNIDAD
COMUNIDAD
COMUNIDAD
COMUNIDAD
COMUNIDAD
COMUNIDAD
COMUNIDAD
COMUNIDAD
COMUNIDAD
COMUNIDAD
COMUNIDAD
COMUNIDAD
COMUNIDAD
COMUNIDAD
COMUNIDAD
COMUNIDAD
COMUNIDAD
COMUNIDAD
COMUNIDAD
COMUNIDAD
COMUNIDAD
COMUNIDAD
COMUNIDAD
COMUNIDAD
COMUNIDAD
COMUNIDAD
COMUNIDAD
COMUNIDAD
COMUNIDAD
COMUNIDAD
COMUNIDAD
COMUNIDAD
COMUNIDAD
COMUNIDAD
COMUNIDAD
COMUNIDAD
COMUNIDAD
COMUNIDAD
COMUNIDAD
COMUNIDAD
COMUNIDAD
COMUNIDAD
COMUNIDAD
COMUNIDAD
COMUNIDAD
COMUNIDAD
COMUNIDAD
COMUNIDAD
COMUNIDAD
COMUNIDAD
COMUNIDAD
COMUNIDAD
COMUNIDAD
COMUNIDAD
COMUNIDAD
COMUNIDAD
COMUNIDAD
COMUNIDAD
COMUNIDAD
COMUNIDAD
COMUNIDAD
COMUNIDAD
COMUNIDAD
COMUNIDAD
COMUNIDAD
COMUNIDAD
COMUNIDAD
COMUNIDAD
COMUNIDAD
COMUNIDAD
COMUNIDAD
COMUNIDAD
COMUNIDAD
COMUNIDAD
COMUNIDAD
COMUNIDAD
COMUNIDAD
COMUNIDAD
COMUNIDAD
COMUNIDAD
COMUNIDAD
COMUNIDAD
COMUNIDAD
COMUNIDAD
COMUNIDAD
COMUNIDAD
COMUNIDAD
COMUNIDAD
COMUNIDAD
COMUNIDAD
COMUNIDAD
COMUNIDAD
COMUNIDAD
COMUNIDAD
COMUNIDAD
COMUNIDAD
COMUNIDAD
COMUNIDAD
COMUNIDAD
COMUNIDAD
COMUNIDAD
COMUNIDAD
COMUNIDAD
COMUNIDAD
COMUNIDAD
COMUNIDAD
COMUNIDAD
COMUNIDAD
COMUNIDAD
COMUNIDAD
COMUNIDAD
COMUNIDAD
COMUNIDAD
COMUNIDAD
COMUNIDAD
COMUNIDAD
COMUNIDAD
COMUNIDAD
COMUNIDAD
COMUNIDAD
COMUNIDAD
COMUNIDAD
COMUNIDAD
COMUNIDAD
COMUNIDAD
COMUNIDAD
COMUNIDAD
COMUNIDAD
COMUNIDAD
COMUNIDAD
COMUNIDAD
COMUNIDAD
COMUNIDAD
COMUNIDAD
COMUNIDAD
COMUNIDAD
COMUNIDAD
COMUNIDAD
COMUNIDAD
COMUNIDAD
COMUNIDAD
COMUNIDAD
COMUNIDAD
COMUNIDAD
COMUNIDAD
COMUNIDAD
COMUNIDAD
COMUNIDAD
COMUNIDAD
COMUNIDAD
COMUNIDAD
COMUNIDAD
COMUNIDAD
COMUNIDAD
COMUNIDAD
COMUNIDAD
COMUNIDAD
COMUNIDAD
COMUNIDAD
COMUNIDAD
COMUNIDAD
COMUNIDAD
COMUNIDAD
COMUNIDAD
COMUNIDAD
COMUNIDAD
COMUNIDAD
COMUNIDAD
COMUNIDAD
COMUNIDAD
COMUNIDAD
COMUNIDAD
COMUNIDAD
COMUNIDAD
COMUNIDAD
COMUNIDAD
COMUNIDAD
COMUNIDAD
COMUNIDAD
COMUNIDAD
COMUNIDAD
COMUNIDAD
COMUNIDAD
COMUNIDAD
COMUNIDAD
COMUNIDAD
COMUNIDAD
COMUNIDAD
COMUNIDAD
COMUNIDAD
COMUNIDAD
COMUNIDAD
COMUNIDAD
COMUNIDAD
COMUNIDAD
COMUNIDAD
COMUNIDAD
COMUNIDAD
COMUNIDAD
COMUNIDAD
COMUNIDAD
COMUNIDAD
COMUNIDAD
COMUNIDAD
COMUNIDAD
COMUNIDAD
COMUNIDAD
COMUNIDAD
COMUNIDAD
COMUNIDAD
COMUNIDAD
COMUNIDAD
COMUNIDAD
COMUNIDAD
COMUNIDAD
COMUNIDAD
COMUNIDAD
COMUNIDAD
COMUNIDAD
COMUNIDAD
COMUNIDAD
COMUNIDAD
COMUNIDAD
COMUNIDAD
COMUNIDAD
COMUNIDAD
COMUNIDAD
COMUNIDAD
COMUNIDAD
COMUNIDAD
COMUNIDAD
COMUNIDAD
COMUNIDAD
COMUNIDAD
COMUNIDAD
COMUNIDAD
COMUNIDAD
COMUNIDAD
COMUNIDAD
COMUNIDAD
COMUNIDAD
COMUNIDAD
COMUNIDAD
COMUNIDAD
COMUNIDAD
COMUNIDAD
COMUNIDAD
COMUNIDAD
COMUNIDAD
COMUNIDAD
COMUNIDAD
COMUNIDAD
COMUNIDAD
COMUNIDAD
COMUNIDAD
COMUNIDAD
COMUNIDAD
COMUNIDAD
COMUNIDAD
COMUNIDAD
COMUNIDAD
COMUNIDAD
COMUNIDAD
COMUNIDAD
COMUNIDAD
COMUNIDAD
COMUNIDAD
COMUNIDAD
COMUNIDAD
COMUNIDAD
COMUNIDAD
COMUNIDAD
COMUNIDAD
COMUNIDAD
COMUNIDAD
COMUNIDAD
COMUNIDAD
COMUNIDAD
COMUNIDAD
COMUNIDAD
COMUNIDAD
COMUNIDAD
COMUNIDAD
COMUNIDAD
COMUNIDAD
COMUNIDAD
COMUNIDAD
COMUNIDAD
COMUNIDAD
COMUNIDAD
COMUNIDAD
COMUNIDAD
COMUNIDAD
COMUNIDAD
COMUNIDAD
COMUNIDAD
COMUNIDAD
COMUNIDAD
COMUNIDAD
COMUNIDAD
COMUNIDAD
COMUNIDAD
COMUNIDAD
COMUNIDAD
COMUNIDAD
COMUNIDAD
COMUNIDAD
COMUNIDAD
COMUNIDAD
COMUNIDAD
COMUNIDAD
COMUNIDAD
COMUNIDAD
COMUNIDAD
COMUNIDAD
COMUNIDAD
COMUNIDAD
COMUNIDAD
COMUNIDAD
COMUNIDAD
COMUNIDAD
COMUNIDAD
COMUNIDAD
COMUNIDAD
COMUNIDAD
COMUNIDAD
COMUNIDAD
COMUNIDAD
COMUNIDAD
COMUNIDAD
COMUNIDAD
COMUNIDAD
COMUNIDAD
COMUNIDAD
COMUNIDAD
COMUNIDAD
COMUNIDAD
COMUNIDAD
COMUNIDAD
COMUNIDAD
COMUNIDAD
COMUNIDAD
COMUNIDAD
COMUNIDAD
COMUNIDAD
COMUNIDAD
COMUNIDAD
COMUNIDAD
COMUNIDAD
COMUNIDAD
COMUNIDAD
COMUNIDAD
COMUNIDAD
COMUNIDAD
COMUNIDAD
COMUNIDAD
COMUNIDAD
COMUNIDAD
COMUNIDAD
COMUNIDAD
COMUNIDAD
COMUNIDAD
COMUNIDAD
COMUNIDAD
COMUNIDAD
COMUNIDAD
COMUNIDAD
COMUNIDAD
COMUNIDAD
COMUNIDAD
COMUNIDAD
COMUNIDAD
COMUNIDAD
COMUNIDAD
COMUNIDAD
COMUNIDAD
COMUNIDAD
COMUNIDAD
COMUNIDAD
COMUNIDAD
COMUNIDAD
COMUNIDAD
COMUNIDAD
COMUNIDAD
COMUNIDAD
COMUNIDAD
COMUNIDAD
COMUNIDAD
COMUNIDAD
COMUNIDAD
COMUNIDAD
COMUNIDAD
COMUNIDAD
COMUNIDAD
COMUNIDAD
COMUNIDAD
COMUNIDAD
COMUNIDAD
COMUNIDAD
COMUNIDAD
COMUNIDAD
COMUNIDAD
COMUNIDAD
COMUNIDAD
COMUNIDAD
COMUNIDAD
COMUNIDAD
COMUNIDAD
COMUNIDAD
COMUNIDAD
COMUNIDAD
COMUNIDAD
COMUNIDAD
COMUNIDAD
COMUNIDAD
COMUNIDAD
COMUNIDAD
COMUNIDAD
COMUNIDAD
COMUNIDAD
COMUNIDAD
COMUNIDAD
COMUNIDAD
COMUNIDAD
COMUNIDAD
COMUNIDAD
COMUNIDAD
COMUNIDAD
COMUNIDAD
COMUNIDAD
COMUNIDAD
COMUNIDAD
COMUNIDAD
COMUNIDAD
COMUNIDAD
COMUNIDAD
COMUNIDAD
COMUNIDAD
COMUNIDAD
COMUNIDAD
COMUNIDAD
COMUNIDAD
COMUNIDAD
COMUNIDAD
COMUNIDAD
COMUNIDAD
COMUNIDAD
COMUNIDAD
COMUNIDAD
COMUNIDAD
COMUNIDAD
COMUNIDAD
COMUNIDAD
COMUNIDAD
COMUNIDAD
COMUNIDAD
COMUNIDAD
COMUNIDAD
COMUNIDAD
COMUNIDAD
COMUNIDAD
COMUNIDAD
COMUNIDAD
COMUNIDAD
COMUNIDAD
COMUNIDAD
COMUNIDAD
COMUNIDAD
COMUNIDAD
COMUNIDAD
COMUNIDAD
COMUNIDAD
COMUNIDAD
COMUNIDAD
COMUNIDAD
COMUNIDAD
COMUNIDAD
COMUNIDAD
COMUNIDAD
COMUNIDAD
COMUNIDAD
COMUNIDAD
COMUNIDAD
COMUNIDAD
COMUNIDAD
COMUNIDAD
COMUNIDAD
COMUNIDAD
COMUNIDAD
COMUNIDAD
COMUNIDAD
COMUNIDAD
COMUNIDAD
COMUNIDAD
COMUNIDAD
COMUNIDAD
COMUNIDAD
COMUNIDAD
COMUNIDAD
COMUNIDAD
COMUNIDAD
COMUNIDAD
COMUNIDAD
COMUNIDAD
COMUNIDAD
COMUNIDAD
COMUNIDAD
COMUNIDAD
COMUNIDAD
COMUNIDAD
COMUNIDAD
COMUNIDAD
COMUNIDAD
COMUNIDAD
COMUNIDAD
COMUNIDAD
COMUNIDAD
COMUNIDAD
COMUNIDAD
COMUNIDAD
COMUNIDAD
COMUNIDAD
COMUNIDAD
COMUNIDAD
COMUNIDAD
COMUNIDAD
COMUNIDAD
COMUNIDAD
COMUNIDAD
COMUNIDAD
COMUNIDAD
COMUNIDAD
COMUNIDAD
COMUNIDAD
COMUNIDAD
COMUNIDAD
COMUNIDAD
COMUNIDAD
COMUNIDAD
COMUNIDAD
COMUNIDAD
COMUNIDAD
COMUNIDAD
COMUNIDAD
COMUNIDAD
COMUNIDAD
COMUNIDAD
COMUNIDAD
COMUNIDAD
COMUNIDAD
COMUNIDAD
COMUNIDAD
COMUNIDAD
COMUNIDAD
COMUNIDAD
COMUNIDAD
COMUNIDAD
COMUNIDAD
COMUNIDAD
COMUNIDAD
COMUNIDAD
COMUNIDAD
COMUNIDAD
COMUNIDAD
COMUNIDAD
COMUNIDAD
COMUNIDAD
COMUNIDAD
COMUNIDAD
COMUNIDAD
COMUNIDAD
COMUNIDAD
COMUNIDAD
COMUNIDAD
COMUNIDAD
COMUNIDAD
COMUNIDAD
COMUNIDAD
COMUNIDAD
COMUNIDAD
COMUNIDAD
COMUNIDAD
COMUNIDAD
COMUNIDAD
COMUNIDAD
COMUNIDAD
COMUNIDAD
COMUNIDAD
COMUNIDAD
COMUNIDAD
COMUNIDAD
COMUNIDAD
COMUNIDAD
COMUNIDAD
COMUNIDAD
COMUNIDAD
COMUNIDAD
COMUNIDAD
COMUNIDAD
COMUNIDAD
COMUNIDAD
COMUNIDAD
COMUNIDAD
COMUNIDAD
COMUNIDAD
COMUNIDAD
COMUNIDAD
COMUNIDAD
COMUNIDAD
COMUNIDAD
COMUNIDAD
COMUNIDAD
COMUNIDAD
COMUNIDAD
COMUNIDAD
COMUNIDAD
COMUNIDAD
COMUNIDAD
COMUNIDAD
COMUNIDAD
COMUNIDAD
COMUNIDAD
COMUNIDAD
COMUNIDAD
COMUNIDAD
COMUNIDAD
COMUNIDAD
COMUNIDAD
COMUNIDAD
COMUNIDAD
COMUNIDAD
COMUNIDAD
COMUNIDAD
COMUNIDAD
COMUNIDAD
COMUNIDAD
COMUNIDAD
COMUNIDAD
COMUNIDAD
COMUNIDAD
COMUNIDAD
COMUNIDAD
COMUNIDAD
COMUNIDAD
COMUNIDAD
COMUNIDAD
COMUNIDAD
COMUNIDAD
COMUNIDAD
COMUNIDAD
COMUNIDAD
COMUNIDAD
COMUNIDAD
COMUNIDAD
COMUNIDAD
COMUNIDAD
COMUNIDAD
COMUNIDAD
COMUNIDAD
COMUNIDAD
COMUNIDAD
COMUNIDAD
COMUNIDAD
COMUNIDAD
COMUNIDAD
COMUNIDAD
COMUNIDAD
COMUNIDAD
COMUNIDAD
COMUNIDAD
COMUNIDAD
COMUNIDAD
COMUNIDAD
COMUNIDAD
COMUNIDAD
COMUNIDAD
COMUNIDAD
COMUNIDAD
COMUNIDAD
COMUNIDAD
COMUNIDAD
COMUNIDAD
COMUNIDAD
COMUNIDAD
COMUNIDAD
COMUNIDAD
COMUNIDAD
COMUNIDAD
COMUNIDAD
COMUNIDAD
COMUNIDAD
COMUNIDAD
COMUNIDAD
COMUNIDAD
COMUNIDAD
COMUNIDAD
COMUNIDAD
COMUNIDAD
COMUNIDAD
COMUNIDAD
COMUNIDAD
COMUNIDAD
COMUNIDAD
COMUNIDAD
COMUNIDAD
COMUNIDAD
COMUNIDAD
COMUNIDAD
COMUNIDAD
COMUNIDAD
COMUNIDAD
COMUNIDAD
COMUNIDAD
COMUNIDAD
COMUNIDAD
COMUNIDAD
COMUNIDAD
COMUNIDAD
COMUNIDAD
COMUNIDAD
COMUNIDAD
COMUNIDAD
COMUNIDAD
COMUNIDAD
COMUNIDAD
COMUNIDAD
COMUNIDAD
COMUNIDAD
COMUNIDAD
COMUNIDAD
COMUNIDAD
COMUNIDAD
COMUNIDAD
COMUNIDAD
COMUNIDAD
COMUNIDAD
COMUNIDAD
COMUNIDAD
COMUNIDAD
COMUNIDAD
COMUNIDAD
COMUNIDAD
COMUNIDAD
COMUNIDAD
COMUNIDAD
COMUNIDAD
COMUNIDAD
COMUNIDAD
COMUNIDAD
COMUNIDAD
COMUNIDAD
COMUNIDAD
COMUNIDAD
COMUNIDAD
COMUNIDAD
COMUNIDAD
COMUNIDAD
COMUNIDAD
COMUNIDAD
COMUNIDAD
COMUNIDAD
COMUNIDAD
COMUNIDAD
COMUNIDAD
COMUNIDAD
COMUNIDAD
COMUNIDAD
COMUNIDAD
COMUNIDAD
COMUNIDAD
COMUNIDAD
COMUNIDAD
COMUNIDAD
COMUNIDAD
COMUNIDAD
COMUNIDAD
COMUNIDAD
COMUNIDAD
COMUNIDAD
COMUNIDAD
COMUNIDAD
COMUNIDAD
COMUNIDAD
COMUNIDAD
COMUNIDAD
COMUNIDAD
COMUNIDAD
COMUNIDAD
COMUNIDAD
COMUNIDAD
COMUNIDAD
COMUNIDAD
COMUNIDAD
COMUNIDAD
COMUNIDAD
COMUNIDAD
COMUNIDAD
COMUNIDAD
COMUNIDAD
COMUNIDAD
COMUNIDAD
COMUNIDAD
COMUNIDAD
COMUNIDAD
COMUNIDAD
COMUNIDAD
COMUNIDAD
COMUNIDAD
COMUNIDAD
COMUNIDAD
COMUNIDAD
COMUNIDAD
COMUNIDAD
COMUNIDAD
COMUNIDAD
COMUNIDAD
COMUNIDAD
COMUNIDAD
COMUNIDAD
COMUNIDAD
COMUNIDAD
COMUNIDAD
COMUNIDAD
COMUNIDAD
COMUNIDAD
COMUNIDAD
COMUNIDAD
COMUNIDAD
COMUNIDAD
COMUNIDAD
COMUNIDAD
COMUNIDAD
COMUNIDAD
COMUNIDAD
COMUNIDAD
COMUNIDAD
COMUNIDAD
COMUNIDAD
COMUNIDAD
COMUNIDAD
COMUNIDAD
COMUNIDAD
COMUNIDAD
COMUNIDAD
COMUNIDAD
COMUNIDAD
COMUNIDAD
COMUNIDAD
COMUNIDAD
COMUNIDAD
COMUNIDAD
COMUNIDAD
COMUNIDAD
COMUNIDAD
COMUNIDAD
COMUNIDAD
COMUNIDAD
COMUNIDAD
COMUNIDAD
COMUNIDAD
COMUNIDAD
COMUNIDAD
COMUNIDAD
COMUNIDAD
COMUNIDAD
COMUNIDAD
COMUNIDAD
COMUNIDAD
COMUNIDAD
COMUNIDAD
COMUNIDAD
COMUNIDAD
COMUNIDAD
COMUNIDAD
COMUNIDAD
COMUNIDAD
COMUNIDAD
COMUNIDAD
COMUNIDAD
COMUNIDAD
COMUNIDAD
COMUNIDAD
COMUNIDAD
COMUNIDAD
COMUNIDAD
COMUNIDAD
COMUNIDAD
COMUNIDAD
COMUNIDAD
COMUNIDAD
COMUNIDAD
COMUNIDAD
COMUNIDAD
COMUNIDAD
COMUNIDAD
COMUNIDAD
COMUNIDAD
COMUNIDAD
COMUNIDAD
COMUNIDAD
COMUNIDAD
COMUNIDAD
COMUNIDAD
COMUNIDAD
COMUNIDAD
COMUNIDAD
COMUNIDAD
COMUNIDAD
COMUNIDAD
COMUNIDAD
COMUNIDAD
COMUNIDAD
COMUNIDAD
COMUNIDAD
COMUNIDAD
COMUNIDAD
COMUNIDAD
COMUNIDAD
COMUNIDAD
COMUNIDAD
COMUNIDAD
COMUNIDAD
COMUNIDAD
COMUNIDAD
COMUNIDAD
COMUNIDAD
COMUNIDAD
COMUNIDAD
COMUNIDAD
COMUNIDAD
COMUNIDAD
COMUNIDAD
COMUNIDAD
COMUNIDAD
COMUNIDAD
COMUNIDAD
COMUNIDAD
COMUNIDAD
COMUNIDAD
COMUNIDAD
COMUNIDAD
COMUNIDAD
COMUNIDAD
COMUNIDAD
COMUNIDAD
COMUNIDAD
COMUNIDAD
COMUNIDAD
COMUNIDAD
COMUNIDAD
COMUNIDAD
COMUNIDAD
COMUNIDAD
COMUNIDAD
COMUNIDAD
COMUNIDAD
COMUNIDAD
COMUNIDAD
COMUNIDAD
COMUNIDAD
COMUNIDAD
COMUNIDAD
COMUNIDAD
COMUNIDAD
COMUNIDAD
COMUNIDAD
COMUNIDAD
COMUNIDAD
COMUNIDAD
COMUNIDAD
COMUNIDAD
COMUNIDAD
COMUNIDAD
COMUNIDAD
COMUNIDAD
COMUNIDAD
COMUNIDAD
COMUNIDAD
COMUNIDAD
COMUNIDAD
COMUNIDAD
COMUNIDAD
COMUNIDAD
COMUNIDAD
COMUNIDAD
COMUNIDAD
COMUNIDAD
COMUNIDAD
COMUNIDAD
COMUNIDAD
COMUNIDAD
COMUNIDAD
COMUNIDAD
COMUNIDAD
COMUNIDAD
COMUNIDAD
COMUNIDAD
COMUNIDAD
COMUNIDAD
COMUNIDAD
COMUNIDAD
COMUNIDAD
COMUNIDAD
COMUNIDAD
COMUNIDAD
COMUNIDAD
COMUNIDAD
COMUNIDAD
COMUNIDAD
COMUNIDAD
COMUNIDAD
COMUNIDAD
COMUNIDAD
COMUNIDAD
COMUNIDAD
COMUNIDAD
COMUNIDAD
COMUNIDAD
COMUNIDAD
COMUNIDAD
COMUNIDAD
COMUNIDAD
COMUNIDAD
COMUNIDAD
COMUNIDAD
COMUNIDAD
COMUNIDAD
COMUNIDAD
COMUNIDAD
COMUNIDAD
COMUNIDAD
COMUNIDAD
COMUNIDAD
COMUNIDAD
COMUNIDAD
COMUNIDAD
COMUNIDAD
COMUNIDAD
COMUNIDAD
COMUNIDAD
COMUNIDAD
COMUNIDAD
COMUNIDAD
COMUNIDAD
COMUNIDAD
COMUNIDAD
COMUNIDAD
COMUNIDAD
COMUNIDAD
COMUNIDAD
COMUNIDAD
COMUNIDAD
COMUNIDAD
COMUNIDAD
COMUNIDAD
COMUNIDAD
COMUNIDAD
COMUNIDAD
COMUNIDAD
COMUNIDAD
COMUNIDAD
COMUNIDAD
COMUNIDAD
COMUNIDAD
COMUNIDAD
COMUNIDAD
COMUNIDAD
COMUNIDAD
COMUNIDAD
COMUNIDAD
COMUNIDAD
COMUNIDAD
COMUNIDAD
COMUNIDAD
COMUNIDAD
COMUNIDAD
COMUNIDAD
COMUNIDAD
COMUNIDAD
COMUNIDAD
COMUNIDAD
COMUNIDAD
COMUNIDAD
COMUNIDAD
COMUNIDAD
COMUNIDAD
COMUNIDAD
COMUNIDAD
COMUNIDAD
COMUNIDAD
COMUNIDAD
COMUNIDAD
COMUNIDAD
COMUNIDAD
COMUNIDAD
COMUNIDAD
COMUNIDAD
COMUNIDAD
COMUNIDAD
COMUNIDAD
COMUNIDAD
COMUNIDAD
COMUNIDAD
COMUNIDAD
COMUNIDAD
COMUNIDAD
COMUNIDAD
COMUNIDAD
COMUNIDAD
COMUNIDAD
COMUNIDAD
COMUNIDAD
COMUNIDAD
COMUNIDAD
COMUNIDAD
COMUNIDAD
COMUNIDAD
COMUNIDAD
COMUNIDAD
COMUNIDAD
COMUNIDAD
COMUNIDAD
COMUNIDAD
COMUNIDAD
COMUNIDAD
COMUNIDAD
COMUNIDAD
COMUNIDAD
COMUNIDAD
COMUNIDAD
COMUNIDAD
COMUNIDAD
COMUNIDAD
COMUNIDAD
COMUNIDAD
COMUNIDAD
COMUNIDAD
COMUNIDAD
COMUNIDAD
COMUNIDAD
COMUNIDAD
COMUNIDAD
COMUNIDAD
COMUNIDAD
COMUNIDAD
COMUNIDAD
COMUNIDAD
COMUNIDAD
COMUNIDAD
COMUNIDAD
COMUNIDAD
COMUNIDAD
COMUNIDAD
COMUNIDAD
COMUNIDAD
COMUNIDAD
COMUNIDAD
COMUNIDAD
COMUNIDAD
COMUNIDAD
COMUNIDAD
COMUNIDAD
COMUNIDAD
COMUNIDAD
COMUNIDAD
COMUNIDAD
COMUNIDAD
COMUNIDAD
COMUNIDAD
COMUNIDAD
COMUNIDAD
COMUNIDAD
COMUNIDAD
COMUNIDAD
COMUNIDAD
COMUNIDAD
COMUNIDAD
COMUNIDAD
COMUNIDAD
COMUNIDAD
COMUNIDAD
COMUNIDAD
COMUNIDAD
COMUNIDAD
COMUNIDAD
COMUNIDAD
COMUNIDAD
COMUNIDAD
COMUNIDAD
COMUNIDAD
COMUNIDAD
COMUNIDAD
COMUNIDAD
COMUNIDAD
COMUNIDAD
COMUNIDAD
COMUNIDAD
COMUNIDAD
COMUNIDAD
COMUNIDAD
COMUNIDAD
COMUNIDAD
COMUNIDAD
COMUNIDAD
COMUNIDAD
COMUNIDAD
COMUNIDAD
COMUNIDAD
COMUNIDAD
COMUNIDAD
COMUNIDAD
COMUNIDAD
COMUNIDAD
COMUNIDAD
COMUNIDAD
COMUNIDAD
COMUNIDAD
COMUNIDAD
COMUNIDAD
COMUNIDAD
COMUNIDAD
COMUNIDAD
COMUNIDAD
COMUNIDAD
COMUNIDAD
COMUNIDAD
COMUNIDAD
COMUNIDAD
COMUNIDAD
COMUNIDAD
COMUNIDAD
COMUNIDAD
COMUNIDAD
COMUNIDAD
COMUNIDAD
COMUNIDAD
COMUNIDAD
COMUNIDAD
COMUNIDAD
COMUNIDAD
COMUNIDAD
COMUNIDAD
COMUNIDAD
COMUNIDAD
COMUNIDAD
COMUNIDAD
COMUNIDAD
COMUNIDAD
COMUNIDAD
COMUNIDAD
COMUNIDAD
COMUNIDAD
COMUNIDAD
COMUNIDAD
COMUNIDAD
COMUNIDAD
COMUNIDAD
COMUNIDAD
COMUNIDAD
COMUNIDAD
COMUNIDAD
COMUNIDAD
COMUNIDAD
COMUNIDAD
COMUNIDAD
COMUNIDAD
COMUNIDAD
COMUNIDAD
COMUNIDAD
COMUNIDAD
COMUNIDAD
COMUNIDAD
COMUNIDAD
COMUNIDAD
COMUNIDAD
COMUNIDAD
COMUNIDAD
COMUNIDAD
COMUNIDAD
COMUNIDAD
COMUNIDAD
COMUNIDAD
COMUNIDAD
COMUNIDAD
COMUNIDAD
COMUNIDAD
COMUNIDAD
COMUNIDAD
COMUNIDAD
COMUNIDAD
COMUNIDAD
COMUNIDAD
COMUNIDAD
COMUNIDAD
COMUNIDAD
COMUNIDAD
COMUNIDAD
COMUNIDAD
COMUNIDAD
COMUNIDAD
COMUNIDAD
COMUNIDAD
COMUNIDAD
COMUNIDAD
COMUNIDAD
COMUNIDAD
COMUNIDAD
COMUNIDAD
COMUNIDAD
COMUNIDAD
COMUNIDAD
COMUNIDAD
COMUNIDAD
COMUNIDAD
COMUNIDAD
COMUNIDAD
COMUNIDAD
COMUNIDAD
COMUNIDAD
COMUNIDAD
COMUNIDAD
COMUNIDAD
COMUNIDAD
COMUNIDAD
COMUNIDAD
COMUNIDAD
COMUNIDAD
COMUNIDAD
COMUNIDAD
COMUNIDAD
COMUNIDAD
COMUNIDAD
COMUNIDAD
COMUNIDAD
COMUNIDAD
COMUNIDAD
COMUNIDAD
COMUNIDAD
COMUNIDAD
COMUNIDAD
COMUNIDAD
COMUNIDAD
COMUNIDAD
COMUNIDAD
COMUNIDAD
COMUNIDAD
COMUNIDAD
COMUNIDAD
COMUNIDAD
COMUNIDAD
COMUNIDAD
COMUNIDAD
COMUNIDAD
COMUNIDAD
COMUNIDAD
COMUNIDAD
COMUNIDAD
COMUNIDAD
COMUNIDAD
COMUNIDAD
COMUNIDAD
COMUNIDAD
COMUNIDAD
COMUNIDAD
COMUNIDAD
COMUNIDAD
COMUNIDAD
COMUNIDAD
COMUNIDAD
COMUNIDAD
COMUNIDAD
COMUNIDAD
COMUNIDAD
COMUNIDAD
COMUNIDAD
COMUNIDAD
COMUNIDAD
COMUNIDAD
COMUNIDAD
COMUNIDAD
COMUNIDAD
COMUNIDAD
COMUNIDAD
COMUNIDAD
COMUNIDAD
COMUNIDAD
COMUNIDAD
COMUNIDAD
COMUNIDAD
COMUNIDAD
COMUNIDAD
COMUNIDAD
COMUNIDAD
COMUNIDAD
COMUNIDAD
COMUNIDAD
COMUNIDAD
COMUNIDAD
COMUNIDAD
COMUNIDAD
COMUNIDAD
COMUNIDAD
COMUNIDAD
COMUNIDAD
COMUNIDAD
COMUNIDAD
COMUNIDAD
COMUNIDAD
COMUNIDAD
COMUNIDAD
COMUNIDAD
COMUNIDAD
COMUNIDAD
COMUNIDAD
COMUNIDAD
COMUNIDAD
COMUNIDAD
COMUNIDAD
COMUNIDAD
COMUNIDAD
COMUNIDAD
COMUNIDAD
COMUNIDAD
COMUNIDAD
COMUNIDAD
COMUNIDAD
COMUNIDAD
COMUNIDAD
COMUNIDAD
COMUNIDAD
COMUNIDAD
COMUNIDAD
COMUNIDAD
COMUNIDAD
COMUNIDAD
COMUNIDAD
COMUNIDAD
COMUNIDAD
COMUNIDAD
COMUNIDAD
COMUNIDAD
COMUNIDAD
COMUNIDAD
COMUNIDAD
COMUNIDAD
COMUNIDAD
COMUNIDAD
COMUNIDAD
COMUNIDAD
COMUNIDAD
COMUNIDAD
COMUNIDAD
COMUNIDAD
COMUNIDAD
COMUNIDAD
COMUNIDAD
COMUNIDAD
COMUNIDAD
COMUNIDAD
COMUNIDAD
COMUNIDAD
COMUNIDAD
COMUNIDAD
COMUNIDAD
COMUNIDAD
COMUNIDAD
COMUNIDAD
COMUNIDAD
COMUNIDAD
COMUNIDAD
COMUNIDAD
COMUNIDAD
COMUNIDAD
COMUNIDAD
COMUNIDAD
COMUNIDAD
COMUNIDAD
COMUNIDAD
COMUNIDAD
COMUNIDAD
COMUNIDAD
COMUNIDAD
COMUNIDAD
COMUNIDAD
COMUNIDAD
COMUNIDAD
COMUNIDAD
COMUNIDAD
COMUNIDAD
COMUNIDAD
COMUNIDAD
COMUNIDAD
COMUNIDAD
COMUNIDAD
COMUNIDAD
COMUNIDAD
COMUNIDAD
COMUNIDAD
COMUNIDAD
COMUNIDAD
COMUNIDAD
COMUNIDAD
COMUNIDAD
COMUNIDAD
COMUNIDAD
COMUNIDAD
COMUNIDAD
COMUNIDAD
COMUNIDAD
COMUNIDAD
COMUNIDAD
COMUNIDAD
COMUNIDAD
COMUNIDAD
COMUNIDAD
COMUNIDAD
COMUNIDAD
COMUNIDAD
COMUNIDAD
COMUNIDAD
COMUNIDAD
COMUNIDAD
COMUNIDAD
COMUNIDAD
COMUNIDAD
COMUNIDAD
COMUNIDAD
COMUNIDAD
COMUNIDAD
COMUNIDAD
COMUNIDAD
COMUNIDAD
COMUNIDAD
COMUNIDAD
COMUNIDAD
COMUNIDAD
COMUNIDAD
COMUNIDAD
COMUNIDAD
COMUNIDAD
COMUNIDAD
COMUNIDAD
COMUNIDAD
COMUNIDAD
COMUNIDAD
COMUNIDAD
COMUNIDAD
COMUNIDAD
COMUNIDAD
COMUNIDAD
COMUNIDAD
COMUNIDAD
COMUNIDAD
COMUNIDAD
COMUNIDAD
COMUNIDAD
COMUNIDAD
COMUNIDAD
COMUNIDAD
COMUNIDAD
COMUNIDAD
COMUNIDAD
COMUNIDAD
COMUNIDAD
COMUNIDAD
COMUNIDAD
COMUNIDAD
COMUNIDAD
COMUNIDAD
COMUNIDAD
COMUNIDAD
COMUNIDAD
COMUNIDAD
COMUNIDAD
COMUNIDAD
COMUNIDAD
COMUNIDAD
COMUNIDAD
COMUNIDAD
COMUNIDAD
COMUNIDAD
COMUNIDAD
COMUNIDAD
COMUNIDAD
COMUNIDAD
COMUNIDAD
COMUNIDAD
COMUNIDAD
COMUNIDAD
COMUNIDAD
COMUNIDAD
COMUNIDAD
COMUNIDAD
COMUNIDAD
COMUNIDAD
COMUNIDAD
COMUNIDAD
COMUNIDAD
COMUNIDAD
COMUNIDAD
COMUNIDAD
COMUNIDAD
COMUNIDAD
COMUNIDAD
COMUNIDAD
COMUNIDAD
COMUNIDAD
COMUNIDAD
COMUNIDAD
COMUNIDAD
COMUNIDAD
COMUNIDAD
COMUNIDAD
COMUNIDAD
COMUNIDAD
COMUNIDAD
COMUNIDAD
COMUNIDAD
COMUNIDAD
COMUNIDAD
COMUNIDAD
COMUNIDAD
COMUNIDAD
COMUNIDAD
COMUNIDAD
COMUNIDAD
COMUNIDAD
COMUNIDAD
COMUNIDAD
COMUNIDAD
COMUNIDAD
COMUNIDAD
COMUNIDAD
COMUNIDAD
COMUNIDAD
COMUNIDAD
COMUNIDAD
COMUNIDAD
COMUNIDAD
COMUNIDAD
COMUNIDAD
COMUNIDAD
COMUNIDAD
COMUNIDAD
COMUNIDAD
COMUNIDAD
COMUNIDAD
COMUNIDAD
COMUNIDAD
COMUNIDAD
COMUNIDAD
COMUNIDAD
COMUNIDAD
COMUNIDAD
COMUNIDAD
COMUNIDAD
COMUNIDAD
COMUNIDAD
COMUNIDAD
COMUNIDAD
COMUNIDAD
COMUNIDAD
COMUNIDAD
COMUNIDAD
COMUNIDAD
COMUNIDAD
COMUNIDAD
COMUNIDAD
COMUNIDAD
COMUNIDAD
COMUNIDAD
COMUNIDAD
COMUNIDAD
COMUNIDAD
COMUNIDAD
COMUNIDAD
COMUNIDAD
COMUNIDAD
COMUNIDAD
COMUNIDAD
COMUNIDAD
COMUNIDAD
COMUNIDAD
COMUNIDAD
COMUNIDAD
COMUNIDAD
COMUNIDAD
COMUNIDAD
COMUNIDAD
COMUNIDAD
COMUNIDAD
COMUNIDAD
COMUNIDAD
COMUNIDAD
COMUNIDAD
COMUNIDAD
COMUNIDAD
COMUNIDAD
COMUNIDAD
COMUNIDAD
COMUNIDAD
COMUNIDAD
COMUNIDAD
COMUNIDAD
COMUNIDAD
COMUNIDAD
COMUNIDAD
COMUNIDAD
COMUNIDAD
COMUNIDAD
COMUNIDAD
COMUNIDAD
COMUNIDAD
COMUNIDAD
COMUNIDAD
COMUNIDAD
COMUNIDAD
COMUNIDAD
COMUNIDAD
COMUNIDAD
COMUNIDAD
COMUNIDAD
COMUNIDAD
COMUNIDAD
COMUNIDAD
COMUNIDAD
COMUNIDAD
COMUNIDAD
COMUNIDAD
COMUNIDAD
COMUNIDAD
COMUNIDAD
COMUNIDAD
COMUNIDAD
COMUNIDAD
COMUNIDAD
COMUNIDAD
COMUNIDAD
COMUNIDAD
COMUNIDAD
COMUNIDAD
COMUNIDAD
COMUNIDAD
COMUNIDAD
COMUNIDAD
COMUNIDAD
COMUNIDAD
COMUNIDAD
COMUNIDAD
COMUNIDAD
COMUNIDAD
COMUNIDAD
COMUNIDAD
COMUNIDAD
COMUNIDAD
COMUNIDAD
COMUNIDAD
COMUNIDAD
COMUNIDAD
COMUNIDAD
COMUNIDAD
COMUNIDAD
COMUNIDAD
COMUNIDAD
COMUNIDAD
COMUNIDAD
COMUNIDAD
COMUNIDAD
COMUNIDAD
COMUNIDAD
COMUNIDAD
COMUNIDAD
COMUNIDAD
COMUNIDAD
COMUNIDAD
COMUNIDAD
COMUNIDAD
COMUNIDAD
COMUNIDAD
COMUNIDAD
COMUNIDAD
COMUNIDAD
COMUNIDAD
COMUNIDAD
COMUNIDAD
COMUNIDAD
COMUNIDAD
COMUNIDAD
COMUNIDAD
COMUNIDAD
COMUNIDAD
COMUNIDAD
COMUNIDAD
COMUNIDAD
COMUNIDAD
COMUNIDAD
COMUNIDAD
COMUNIDAD
COMUNIDAD
COMUNIDAD
COMUNIDAD
COMUNIDAD
COMUNIDAD
COMUNIDAD
COMUNIDAD
COMUNIDAD
COMUNIDAD
COMUNIDAD
COMUNIDAD
COMUNIDAD
COMUNIDAD
COMUNIDAD
COMUNIDAD
COMUNIDAD
COMUNIDAD
COMUNIDAD
COMUNIDAD
COMUNIDAD
COMUNIDAD
COMUNIDAD
COMUNIDAD
COMUNIDAD
COMUNIDAD
COMUNIDAD
COMUNIDAD
COMUNIDAD
COMUNIDAD
COMUNIDAD
COMUNIDAD
COMUNIDAD
COMUNIDAD
COMUNIDAD
COMUNIDAD
COMUNIDAD
COMUNIDAD
COMUNIDAD
COMUNIDAD
COMUNIDAD
COMUNIDAD
COMUNIDAD
COMUNIDAD
COMUNIDAD
COMUNIDAD
COMUNIDAD
COMUNIDAD
COMUNIDAD
COMUNIDAD
COMUNIDAD
COMUNIDAD
COMUNIDAD
COMUNIDAD
COMUNIDAD
COMUNIDAD
COMUNIDAD
COMUNIDAD
COMUNIDAD
COMUNIDAD
COMUNIDAD
COMUNIDAD
COMUNIDAD
COMUNIDAD
COMUNIDAD
COMUNIDAD
COMUNIDAD
COMUNIDAD
COMUNIDAD
COMUNIDAD
COMUNIDAD
COMUNIDAD
COMUNIDAD
COMUNIDAD
COMUNIDAD
COMUNIDAD
COMUNIDAD
COMUNIDAD
COMUNIDAD
COMUNIDAD
COMUNIDAD
COMUNIDAD
COMUNIDAD
COMUNIDAD
COMUNIDAD
COMUNIDAD
COMUNIDAD
COMUNIDAD
COMUNIDAD
COMUNIDAD
COMUNIDAD
COMUNIDAD
COMUNIDAD
COMUNIDAD
COMUNIDAD
COMUNIDAD
COMUNIDAD
COMUNIDAD
COMUNIDAD
COMUNIDAD
COMUNIDAD
COMUNIDAD
COMUNIDAD
COMUNIDAD
COMUNIDAD
COMUNIDAD
COMUNIDAD
COMUNIDAD
COMUNIDAD
COMUNIDAD
COMUNIDAD
COMUNIDAD
COMUNIDAD
COMUNIDAD
COMUNIDAD
COMUNIDAD
COMUNIDAD
COMUNIDAD
COMUNIDAD
COMUNIDAD
COMUNIDAD
COMUNIDAD
COMUNIDAD
COMUNIDAD
COMUNIDAD
COMUNIDAD
COMUNIDAD
COMUNIDAD
COMUNIDAD
COMUNIDAD
COMUNIDAD
COMUNIDAD
COMUNIDAD
COMUNIDAD
COMUNIDAD
COMUNIDAD
COMUNIDAD
COMUNIDAD
COMUNIDAD
COMUNIDAD
COMUNIDAD
COMUNIDAD
COMUNIDAD
COMUNIDAD
COMUNIDAD
COMUNIDAD
COMUNIDAD
COMUNIDAD
COMUNIDAD
COMUNIDAD
COMUNIDAD
COMUNIDAD
COMUNIDAD
COMUNIDAD
COMUNIDAD
COMUNIDAD
COMUNIDAD
COMUNIDAD
COMUNIDAD
COMUNIDAD
COMUNIDAD
COMUNIDAD
COMUNIDAD
COMUNIDAD
COMUNIDAD
COMUNIDAD
COMUNIDAD
COMUNIDAD
COMUNIDAD
COMUNIDAD
COMUNIDAD
COMUNIDAD
COMUNIDAD
COMUNIDAD
COMUNIDAD
COMUNIDAD
COMUNIDAD
COMUNIDAD
COMUNIDAD
COMUNIDAD
COMUNIDAD
COMUNIDAD
COMUNIDAD
COMUNIDAD
COMUNIDAD
COMUNIDAD
COMUNIDAD
COMUNIDAD
COMUNIDAD
COMUNIDAD
COMUNIDAD
COMUNIDAD
COMUNIDAD
COMUNIDAD
COMUNIDAD
COMUNIDAD
COMUNIDAD
COMUNIDAD
COMUNIDAD
COMUNIDAD
COMUNIDAD
COMUNIDAD
COMUNIDAD
COMUNIDAD
COMUNIDAD
COMUNIDAD
COMUNIDAD
COMUNIDAD
COMUNIDAD
COMUNIDAD
COMUNIDAD
COMUNIDAD
COMUNIDAD
COMUNIDAD
COMUNIDAD
COMUNIDAD
COMUNIDAD
COMUNIDAD
COMUNIDAD
COMUNIDAD
COMUNIDAD
COMUNIDAD
COMUNIDAD
COMUNIDAD
COMUNIDAD
COMUNIDAD
COMUNIDAD
COMUNIDAD
COMUNIDAD
COMUNIDAD
COMUNIDAD
COMUNIDAD
COMUNIDAD
COMUNIDAD
COMUNIDAD
COMUNIDAD
COMUNIDAD
COMUNIDAD
COMUNIDAD
COMUNIDAD
COMUNIDAD
COMUNIDAD
COMUNIDAD
COMUNIDAD
COMUNIDAD
COMUNIDAD
COMUNIDAD
COMUNIDAD
COMUNIDAD
COMUNIDAD
COMUNIDAD
COMUNIDAD
COMUNIDAD
COMUNIDAD
COMUNIDAD
COMUNIDAD
COMUNIDAD
COMUNIDAD
COMUNIDAD
COMUNIDAD
COMUNIDAD
COMUNIDAD
COMUNIDAD
COMUNIDAD
COMUNIDAD
COMUNIDAD
COMUNIDAD
COMUNIDAD
COMUNIDAD
COMUNIDAD
COMUNIDAD
COMUNIDAD
COMUNIDAD
COMUNIDAD
COMUNIDAD
COMUNIDAD
COMUNIDAD
COMUNIDAD
COMUNIDAD
COMUNIDAD
COMUNIDAD
COMUNIDAD
COMUNIDAD
COMUNIDAD
COMUNIDAD
COMUNIDAD
COMUNIDAD
COMUNIDAD
COMUNIDAD
COMUNIDAD
COMUNIDAD
COMUNIDAD
COMUNIDAD
COMUNIDAD
COMUNIDAD
COMUNIDAD
COMUNIDAD
COMUNIDAD
COMUNIDAD
COMUNIDAD
COMUNIDAD
COMUNIDAD
COMUNIDAD
COMUNIDAD
COMUNIDAD
COMUNIDAD
COMUNIDAD
COMUNIDAD
COMUNIDAD
COMUNIDAD
COMUNIDAD
COMUNIDAD
COMUNIDAD
COMUNIDAD
COMUNIDAD
COMUNIDAD
COMUNIDAD
COMUNIDAD
COMUNIDAD
COMUNIDAD
COMUNIDAD
COMUNIDAD
COMUNIDAD
COMUNIDAD
COMUNIDAD
COMUNIDAD
COMUNIDAD
COMUNIDAD
COMUNIDAD
COMUNIDAD
COMUNIDAD
COMUNIDAD
COMUNIDAD
COMUNIDAD
COMUNIDAD
COMUNIDAD
COMUNIDAD
COMUNIDAD
COMUNIDAD
COMUNIDAD
COMUNIDAD
COMUNIDAD
COMUNIDAD
COMUNIDAD
COMUNIDAD
COMUNIDAD
COMUNIDAD
COMUNIDAD
COMUNIDAD
COMUNIDAD
COMUNIDAD
COMUNIDAD
COMUNIDAD
COMUNIDAD
COMUNIDAD
COMUNIDAD
COMUNIDAD
COMUNIDAD
COMUNIDAD
COMUNIDAD
COMUNIDAD
COMUNIDAD
COMUNIDAD
COMUNIDAD
COMUNIDAD
COMUNIDAD
COMUNIDAD
COMUNIDAD
COMUNIDAD
COMUNIDAD
COMUNIDAD
COMUNIDAD
COMUNIDAD
COMUNIDAD
COMUNIDAD
COMUNIDAD
COMUNIDAD
COMUNIDAD
COMUNIDAD
COMUNIDAD
COMUNIDAD
COMUNIDAD
COMUNIDAD
COMUNIDAD
COMUNIDAD
COMUNIDAD
COMUNIDAD
COMUNIDAD
COMUNIDAD
COMUNIDAD
COMUNIDAD
COMUNIDAD
COMUNIDAD
COMUNIDAD
COMUNIDAD
COMUNIDAD
COMUNIDAD
COMUNIDAD
COMUNIDAD
COMUNIDAD
COMUNIDAD
COMUNIDAD
COMUNIDAD
COMUNIDAD
COMUNIDAD
COMUNIDAD
COMUNIDAD
COMUNIDAD
COMUNIDAD
COMUNIDAD
COMUNIDAD
COMUNIDAD
COMUNIDAD
COMUNIDAD
COMUNIDAD
COMUNIDAD
COMUNIDAD
COMUNIDAD
COMUNIDAD
COMUNIDAD
COMUNIDAD
COMUNIDAD
COMUNIDAD
COMUNIDAD
COMUNIDAD
COMUNIDAD
COMUNIDAD
COMUNIDAD
COMUNIDAD
COMUNIDAD
COMUNIDAD
COMUNIDAD
COMUNIDAD
COMUNIDAD
COMUNIDAD
COMUNIDAD
COMUNIDAD
COMUNIDAD
COMUNIDAD
COMUNIDAD
COMUNIDAD
COMUNIDAD
COMUNIDAD
COMUNIDAD
COMUNIDAD
COMUNIDAD
COMUNIDAD
COMUNIDAD
COMUNIDAD
COMUNIDAD
COMUNIDAD
COMUNIDAD
COMUNIDAD
COMUNIDAD
COMUNIDAD
COMUNIDAD
COMUNIDAD
COMUNIDAD
COMUNIDAD
COMUNIDAD
COMUNIDAD
COMUNIDAD
COMUNIDAD
COMUNIDAD
COMUNIDAD
COMUNIDAD
COMUNIDAD
COMUNIDAD
COMUNIDAD
COMUNIDAD
COMUNIDAD
COMUNIDAD
COMUNIDAD
COMUNIDAD
COMUNIDAD
COMUNIDAD
COMUNIDAD
COMUNIDAD
COMUNIDAD
COMUNIDAD
COMUNIDAD
COMUNIDAD
COMUNIDAD
COMUNIDAD
COMUNIDAD
COMUNIDAD
COMUNIDAD
COMUNIDAD
COMUNIDAD
COMUNIDAD
COMUNIDAD
COMUNIDAD
COMUNIDAD
COMUNIDAD
COMUNIDAD
COMUNIDAD
COMUNIDAD
COMUNIDAD
COMUNIDAD
COMUNIDAD
COMUNIDAD
COMUNIDAD
COMUNIDAD
COMUNIDAD
COMUNIDAD
COMUNIDAD
COMUNIDAD
COMUNIDAD
COMUNIDAD
COMUNIDAD
COMUNIDAD
COMUNIDAD
COMUNIDAD
COMUNIDAD
COMUNIDAD
COMUNIDAD
COMUNIDAD
COMUNIDAD
COMUNIDAD
COMUNIDAD
COMUNIDAD
COMUNIDAD
COMUNIDAD
COMUNIDAD
COMUNIDAD
COMUNIDAD
COMUNIDAD
COMUNIDAD
COMUNIDAD
COMUNIDAD
COMUNIDAD
COMUNIDAD
COMUNIDAD
COMUNIDAD
COMUNIDAD
COMUNIDAD
COMUNIDAD
COMUNIDAD
COMUNIDAD
COMUNIDAD
COMUNIDAD
COMUNIDAD
COMUNIDAD
COMUNIDAD
COMUNIDAD
COMUNIDAD
COMUNIDAD
COMUNIDAD
COMUNIDAD
COMUNIDAD
COMUNIDAD
COMUNIDAD
COMUNIDAD
COMUNIDAD
COMUNIDAD
COMUNIDAD
COMUNIDAD
COMUNIDAD
COMUNIDAD
COMUNIDAD
COMUNIDAD
COMUNIDAD
COMUNIDAD
COMUNIDAD
COMUNIDAD
COMUNIDAD
COMUNIDAD
COMUNIDAD
COMUNIDAD
COMUNIDAD
COMUNIDAD
COMUNIDAD
COMUNIDAD
COMUNIDAD
COMUNIDAD
COMUNIDAD
COMUNIDAD
COMUNIDAD
COMUNIDAD
COMUNIDAD
COMUNIDAD
COMUNIDAD
COMUNIDAD
COMUNIDAD
COMUNIDAD
COMUNIDAD
COMUNIDAD
COMUNIDAD
COMUNIDAD
COMUNIDAD
COMUNIDAD
COMUNIDAD
COMUNIDAD
COMUNIDAD
COMUNIDAD
COMUNIDAD
COMUNIDAD
COMUNIDAD
COMUNIDAD
COMUNIDAD
COMUNIDAD
COMUNIDAD
COMUNIDAD
COMUNIDAD
COMUNIDAD
COMUNIDAD
COMUNIDAD
COMUNIDAD
COMUNIDAD
COMUNIDAD
COMUNIDAD
COMUNIDAD
COMUNIDAD
COMUNIDAD
COMUNIDAD
COMUNIDAD
COMUNIDAD
COMUNIDAD
COMUNIDAD
COMUNIDAD
COMUNIDAD
COMUNIDAD
COMUNIDAD
COMUNIDAD
COMUNIDAD
COMUNIDAD
COMUNIDAD
COMUNIDAD
COMUNIDAD
COMUNIDAD
COMUNIDAD
COMUNIDAD
COMUNIDAD
COMUNIDAD
COMUNIDAD
COMUNIDAD
COMUNIDAD
COMUNIDAD
COMUNIDAD
COMUNIDAD
COMUNIDAD
COMUNIDAD
COMUNIDAD
COMUNIDAD
COMUNIDAD
COMUNIDAD
COMUNIDAD
COMUNIDAD
COMUNIDAD
COMUNIDAD
COMUNIDAD
COMUNIDAD
COMUNIDAD
COMUNIDAD
COMUNIDAD
COMUNIDAD
COMUNIDAD
COMUNIDAD
COMUNIDAD
COMUNIDAD
COMUNIDAD
COMUNIDAD
COMUNIDAD
COMUNIDAD
COMUNIDAD
COMUNIDAD
COMUNIDAD
COMUNIDAD
COMUNIDAD
COMUNIDAD
COMUNIDAD
COMUNIDAD
COMUNIDAD
COMUNIDAD
COMUNIDAD
COMUNIDAD
COMUNIDAD
COMUNIDAD
COMUNIDAD
COMUNIDAD
COMUNIDAD
COMUNIDAD
COMUNIDAD
COMUNIDAD
COMUNIDAD
COMUNIDAD
COMUNIDAD
COMUNIDAD
COMUNIDAD
COMUNIDAD
COMUNIDAD
COMUNIDAD
COMUNIDAD
COMUNIDAD
COMUNIDAD
COMUNIDAD
COMUNIDAD
COMUNIDAD
COMUNIDAD
COMUNIDAD
COMUNIDAD
COMUNIDAD
COMUNIDAD
COMUNIDAD
COMUNIDAD
COMUNIDAD
COMUNIDAD
COMUNIDAD
COMUNIDAD
COMUNIDAD
COMUNIDAD
COMUNIDAD
COMUNIDAD
COMUNIDAD
COMUNIDAD
COMUNIDAD
COMUNIDAD
COMUNIDAD
COMUNIDAD
COMUNIDAD
COMUNIDAD
COMUNIDAD
COMUNIDAD
COMUNIDAD
COMUNIDAD
COMUNIDAD
COMUNIDAD
COMUNIDAD
COMUNIDAD
COMUNIDAD
COMUNIDAD
COMUNIDAD
COMUNIDAD
COMUNIDAD
COMUNIDAD
COMUNIDAD
COMUNIDAD
COMUNIDAD
COMUNIDAD
COMUNIDAD
COMUNIDAD
COMUNIDAD
COMUNIDAD
COMUNIDAD
COMUNIDAD
COMUNIDAD
COMUNIDAD
COMUNIDAD
COMUNIDAD
COMUNIDAD
COMUNIDAD
COMUNIDAD
COMUNIDAD
COMUNIDAD
COMUNIDAD
COMUNIDAD
COMUNIDAD
COMUNIDAD
COMUNIDAD
COMUNIDAD
COMUNIDAD
COMUNIDAD
COMUNIDAD
COMUNIDAD
COMUNIDAD
COMUNIDAD
COMUNIDAD
COMUNIDAD
COMUNIDAD
COMUNIDAD
COMUNIDAD
COMUNIDAD
COMUNIDAD
COMUNIDAD
COMUNIDAD
COMUNIDAD
COMUNIDAD
COMUNIDAD
COMUNIDAD
COMUNIDAD
COMUNIDAD
COMUNIDAD
COMUNIDAD
COMUNIDAD
COMUNIDAD
COMUNIDAD
COMUNIDAD
COMUNIDAD
COMUNIDAD
COMUNIDAD
COMUNIDAD
COMUNIDAD
COMUNIDAD
COMUNIDAD
COMUNIDAD
COMUNIDAD
COMUNIDAD
COMUNIDAD
COMUNIDAD
COMUNIDAD
COMUNIDAD
COMUNIDAD
COMUNIDAD
COMUNIDAD
COMUNIDAD
COMUNIDAD
COMUNIDAD
COMUNIDAD
COMUNIDAD
COMUNIDAD
COMUNIDAD
COMUNIDAD
COMUNIDAD
COMUNIDAD
COMUNIDAD
COMUNIDAD
COMUNIDAD
COMUNIDAD
COMUNIDAD
COMUNIDAD
COMUNIDAD
COMUNIDAD
COMUNIDAD
COMUNIDAD
COMUNIDAD
COMUNIDAD
COMUNIDAD
COMUNIDAD
COMUNIDAD
COMUNIDAD
COMUNIDAD
COMUNIDAD
COMUNIDAD
COMUNIDAD
COMUNIDAD
COMUNIDAD
COMUNIDAD
COMUNIDAD
COMUNIDAD
COMUNIDAD
COMUNIDAD
COMUNIDAD
COMUNIDAD
COMUNIDAD
COMUNIDAD
COMUNIDAD
COMUNIDAD
COMUNIDAD
COMUNIDAD
COMUNIDAD
COMUNIDAD
COMUNIDAD
COMUNIDAD
COMUNIDAD
COMUNIDAD
COMUNIDAD
COMUNIDAD
COMUNIDAD
COMUNIDAD
COMUNIDAD
COMUNIDAD
COMUNIDAD
COMUNIDAD
COMUNIDAD
COMUNIDAD
COMUNIDAD
COMUNIDAD
COMUNIDAD
COMUNIDAD
COMUNIDAD
COMUNIDAD
COMUNIDAD
COMUNIDAD
COMUNIDAD
COMUNIDAD
COMUNIDAD
COMUNIDAD
COMUNIDAD
COMUNIDAD
COMUNIDAD
COMUNIDAD
COMUNIDAD
COMUNIDAD
COMUNIDAD
COMUNIDAD
COMUNIDAD
COMUNIDAD
COMUNIDAD
COMUNIDAD
COMUNIDAD
COMUNIDAD
COMUNIDAD
COMUNIDAD
COMUNIDAD
COMUNIDAD
COMUNIDAD
COMUNIDAD
COMUNIDAD
COMUNIDAD
COMUNIDAD
COMUNIDAD
COMUNIDAD
COMUNIDAD
COMUNIDAD
COMUNIDAD
COMUNIDAD
COMUNIDAD
COMUNIDAD
COMUNIDAD
COMUNIDAD
COMUNIDAD
COMUNIDAD
COMUNIDAD
COMUNIDAD
COMUNIDAD
COMUNIDAD
COMUNIDAD
COMUNIDAD
COMUNIDAD
COMUNIDAD
COMUNIDAD
COMUNIDAD
COMUNIDAD
COMUNIDAD
COMUNIDAD
COMUNIDAD
COMUNIDAD
COMUNIDAD
COMUNIDAD
COMUNIDAD
COMUNIDAD
COMUNIDAD
COMUNIDAD
COMUNIDAD
COMUNIDAD
COMUNIDAD
COMUNIDAD
COMUNIDAD
COMUNIDAD
COMUNIDAD
COMUNIDAD
COMUNIDAD
COMUNIDAD
COMUNIDAD
COMUNIDAD
COMUNIDAD
COMUNIDAD
COMUNIDAD
COMUNIDAD
COMUNIDAD
COMUNIDAD
COMUNIDAD
COMUNIDAD
COMUNIDAD
COMUNIDAD
COMUNIDAD
COMUNIDAD
COMUNIDAD
COMUNIDAD
COMUNIDAD
COMUNIDAD
COMUNIDAD
COMUNIDAD
COMUNIDAD
COMUNIDAD
COMUNIDAD
COMUNIDAD
COMUNIDAD
COMUNIDAD
COMUNIDAD
COMUNIDAD
COMUNIDAD
COMUNIDAD
COMUNIDAD
COMUNIDAD
COMUNIDAD
COMUNIDAD
COMUNIDAD
COMUNIDAD
COMUNIDAD
COMUNIDAD
COMUNIDAD
COMUNIDAD
COMUNIDAD
COMUNIDAD
COMUNIDAD
COMUNIDAD
COMUNIDAD
COMUNIDAD
COMUNIDAD
COMUNIDAD
COMUNIDAD
COMUNIDAD
COMUNIDAD
COMUNIDAD
COMUNIDAD
COMUNIDAD
COMUNIDAD
COMUNIDAD
COMUNIDAD
COMUNIDAD
COMUNIDAD
COMUNIDAD
COMUNIDAD
COMUNIDAD
COMUNIDAD
COMUNIDAD
COMUNIDAD
COMUNIDAD
COMUNIDAD
COMUNIDAD
COMUNIDAD
COMUNIDAD
COMUNIDAD
COMUNIDAD
COMUNIDAD
COMUNIDAD
COMUNIDAD
COMUNIDAD
COMUNIDAD
COMUNIDAD
COMUNIDAD
COMUNIDAD
COMUNIDAD
COMUNIDAD
COMUNIDAD
COMUNIDAD
COMUNIDAD
COMUNIDAD
COMUNIDAD
COMUNIDAD
COMUNIDAD
COMUNIDAD
COMUNIDAD
COMUNIDAD
COMUNIDAD
COMUNIDAD
COMUNIDAD
COMUNIDAD
COMUNIDAD
COMUNIDAD
COMUNIDAD
COMUNIDAD
COMUNIDAD
COMUNIDAD
COMUNIDAD
COMUNIDAD
COMUNIDAD
COMUNIDAD
COMUNIDAD
COMUNIDAD
COMUNIDAD
COMUNIDAD
COMUNIDAD
COMUNIDAD
COMUNIDAD
COMUNIDAD
COMUNIDAD
COMUNIDAD
COMUNIDAD
COMUNIDAD
COMUNIDAD
COMUNIDAD
COMUNIDAD
COMUNIDAD
COMUNIDAD
COMUNIDAD
COMUNIDAD
COMUNIDAD
COMUNIDAD
COMUNIDAD
COMUNIDAD
COMUNIDAD
COMUNIDAD
COMUNIDAD
COMUNIDAD
COMUNIDAD
COMUNIDAD
COMUNIDAD
COMUNIDAD
COMUNIDAD
COMUNIDAD
COMUNIDAD
COMUNIDAD
COMUNIDAD
COMUNIDAD
COMUNIDAD
COMUNIDAD
COMUNIDAD
COMUNIDAD
COMUNIDAD
COMUNIDAD
COMUNIDAD
COMUNIDAD
COMUNIDAD
COMUNIDAD
COMUNIDAD
COMUNIDAD
COMUNIDAD
COMUNIDAD
COMUNIDAD
COMUNIDAD
COMUNIDAD
COMUNIDAD
COMUNIDAD
COMUNIDAD
COMUNIDAD
COMUNIDAD
COMUNIDAD
COMUNIDAD
COMUNIDAD
COMUNIDAD
COMUNIDAD
COMUNIDAD
COMUNIDAD
COMUNIDAD
COMUNIDAD
COMUNIDAD
COMUNIDAD
COMUNIDAD
COMUNIDAD
COMUNIDAD
COMUNIDAD
COMUNIDAD
COMUNIDAD
COMUNIDAD
COMUNIDAD
COMUNIDAD
COMUNIDAD
COMUNIDAD
COMUNIDAD
COMUNIDAD
COMUNIDAD
COMUNIDAD
COMUNIDAD
COMUNIDAD
COMUNIDAD
COMUNIDAD
COMUNIDAD
COMUNIDAD
COMUNIDAD
COMUNIDAD
COMUNIDAD
COMUNIDAD
COMUNIDAD
COMUNIDAD
COMUNIDAD
COMUNIDAD
COMUNIDAD
COMUNIDAD
COMUNIDAD
COMUNIDAD
COMUNIDAD
COMUNIDAD
COMUNIDAD
COMUNIDAD
COMUNIDAD
COMUNIDAD
COMUNIDAD
COMUNIDAD
COMUNIDAD
COMUNIDAD
COMUNIDAD
COMUNIDAD
COMUNIDAD
COMUNIDAD
COMUNIDAD
COMUNIDAD
COMUNIDAD
COMUNIDAD
COMUNIDAD
COMUNIDAD
COMUNIDAD
COMUNIDAD
COMUNIDAD
COMUNIDAD
COMUNIDAD
COMUNIDAD
COMUNIDAD
COMUNIDAD
COMUNIDAD
COMUNIDAD
COMUNIDAD
COMUNIDAD
COMUNIDAD
COMUNIDAD
COMUNIDAD
COMUNIDAD
COMUNIDAD
COMUNIDAD
COMUNIDAD
COMUNIDAD
COMUNIDAD
COMUNIDAD
COMUNIDAD
COMUNIDAD
COMUNIDAD
COMUNIDAD
COMUNIDAD
COMUNIDAD
COMUNIDAD
COMUNIDAD
COMUNIDAD
COMUNIDAD
COMUNIDAD
COMUNIDAD
COMUNIDAD
COMUNIDAD
COMUNIDAD
COMUNIDAD
COMUNIDAD
COMUNIDAD
COMUNIDAD
COMUNIDAD
COMUNIDAD
COMUNIDAD
COMUNIDAD
COMUNIDAD
COMUNIDAD
COMUNIDAD
COMUNIDAD
COMUNIDAD
COMUNIDAD
COMUNIDAD
COMUNIDAD
COMUNIDAD
COMUNIDAD
COMUNIDAD
COMUNIDAD
COMUNIDAD
COMUNIDAD
COMUNIDAD
COMUNIDAD
COMUNIDAD
COMUNIDAD
COMUNIDAD
COMUNIDAD
COMUNIDAD
COMUNIDAD
COMUNIDAD
COMUNIDAD
COMUNIDAD
COMUNIDAD
COMUNIDAD
COMUNIDAD
COMUNIDAD
COMUNIDAD
COMUNIDAD
COMUNIDAD
COMUNIDAD
COMUNIDAD
COMUNIDAD
COMUNIDAD
COMUNIDAD
COMUNIDAD
COMUNIDAD
COMUNIDAD
COMUNIDAD
COMUNIDAD
COMUNIDAD
COMUNIDAD
COMUNIDAD
COMUNIDAD
COMUNIDAD
COMUNIDAD
COMUNIDAD
COMUNIDAD
COMUNIDAD
COMUNIDAD
COMUNIDAD
COMUNIDAD
COMUNIDAD
COMUNIDAD
COMUNIDAD
COMUNIDAD
COMUNIDAD
COMUNIDAD
COMUNIDAD
COMUNIDAD
COMUNIDAD
COMUNIDAD
COMUNIDAD
COMUNIDAD
COMUNIDAD
COMUNIDAD
COMUNIDAD
COMUNIDAD
COMUNIDAD
COMUNIDAD
COMUNIDAD
COMUNIDAD
COMUNIDAD
COMUNIDAD
COMUNIDAD
COMUNIDAD
COMUNIDAD
COMUNIDAD
COMUNIDAD
COMUNIDAD
COMUNIDAD
COMUNIDAD
COMUNIDAD
COMUNIDAD
COMUNIDAD
COMUNIDAD
COMUNIDAD
COMUNIDAD
COMUNIDAD
COMUNIDAD
COMUNIDAD
COMUNIDAD
COMUNIDAD
COMUNIDAD
COMUNIDAD
COMUNIDAD
COMUNIDAD
COMUNIDAD
COMUNIDAD
COMUNIDAD
COMUNIDAD
COMUNIDAD
COMUNIDAD
COMUNIDAD
COMUNIDAD
COMUNIDAD
COMUNIDAD
COMUNIDAD
COMUNIDAD
COMUNIDAD
COMUNIDAD
COMUNIDAD
COMUNIDAD
COMUNIDAD
COMUNIDAD
COMUNIDAD
COMUNIDAD
COMUNIDAD
COMUNIDAD
COMUNIDAD
COMUNIDAD
COMUNIDAD
COMUNIDAD
COMUNIDAD
COMUNIDAD
COMUNIDAD
COMUNIDAD
COMUNIDAD
COMUNIDAD
COMUNIDAD
COMUNIDAD
COMUNIDAD
COMUNIDAD
COMUNIDAD
COMUNIDAD
COMUNIDAD
COMUNIDAD
COMUNIDAD
COMUNIDAD
COMUNIDAD
COMUNIDAD
COMUNIDAD
COMUNIDAD
COMUNIDAD
COMUNIDAD
COMUNIDAD
COMUNIDAD
COMUNIDAD
COMUNIDAD
COMUNIDAD
COMUNIDAD
COMUNIDAD
COMUNIDAD
COMUNIDAD
COMUNIDAD
COMUNIDAD
COMUNIDAD
COMUNIDAD
COMUNIDAD
COMUNIDAD
COMUNIDAD
COMUNIDAD
COMUNIDAD
COMUNIDAD
COMUNIDAD
COMUNIDAD
COMUNIDAD
COMUNIDAD
COMUNIDAD
COMUNIDAD
COMUNIDAD
COMUNIDAD
COMUNIDAD
COMUNIDAD
COMUNIDAD
COMUNIDAD
COMUNIDAD
COMUNIDAD
COMUNIDAD
COMUNIDAD
COMUNIDAD
COMUNIDAD
COMUNIDAD
COMUNIDAD
COMUNIDAD
COMUNIDAD
COMUNIDAD
COMUNIDAD
COMUNIDAD
COMUNIDAD
COMUNIDAD
COMUNIDAD
COMUNIDAD
COMUNIDAD
COMUNIDAD
COMUNIDAD
COMUNIDAD
COMUNIDAD
COMUNIDAD
COMUNIDAD
COMUNIDAD
COMUNIDAD
COMUNIDAD
COMUNIDAD
COMUNIDAD
COMUNIDAD
COMUNIDAD
COMUNIDAD
COMUNIDAD
COMUNIDAD
COMUNIDAD
COMUNIDAD
COMUNIDAD
COMUNIDAD
COMUNIDAD
COMUNIDAD
COMUNIDAD
COMUNIDAD
COMUNIDAD
COMUNIDAD
COMUNIDAD
COMUNIDAD
COMUNIDAD
COMUNIDAD
COMUNIDAD
COMUNIDAD
COMUNIDAD
COMUNIDAD
COMUNIDAD
COMUNIDAD
COMUNIDAD
COMUNIDAD
COMUNIDAD
COMUNIDAD
COMUNIDAD
COMUNIDAD
COMUNIDAD
COMUNIDAD
COMUNIDAD
COMUNIDAD
COMUNIDAD
COMUNIDAD
COMUNIDAD
COMUNIDAD
COMUNIDAD
COMUNIDAD
COMUNIDAD
COMUNIDAD
COMUNIDAD
COMUNIDAD
COMUNIDAD
COMUNIDAD
COMUNIDAD
COMUNIDAD
COMUNIDAD
COMUNIDAD
COMUNIDAD
COMUNIDAD
COMUNIDAD
COMUNIDAD
COMUNIDAD
COMUNIDAD
COMUNIDAD
COMUNIDAD
COMUNIDAD
COMUNIDAD
COMUNIDAD
COMUNIDAD
COMUNIDAD
COMUNIDAD
COMUNIDAD
COMUNIDAD
COMUNIDAD
COMUNIDAD
COMUNIDAD
COMUNIDAD
COMUNIDAD
COMUNIDAD
COMUNIDAD
COMUNIDAD
COMUNIDAD
COMUNIDAD
COMUNIDAD
COMUNIDAD
COMUNIDAD
COMUNIDAD
COMUNIDAD
COMUNIDAD
COMUNIDAD
COMUNIDAD
COMUNIDAD
COMUNIDAD
COMUNIDAD
COMUNIDAD
COMUNIDAD
COMUNIDAD
COMUNIDAD
COMUNIDAD
COMUNIDAD
COMUNIDAD
COMUNIDAD
COMUNIDAD
COMUNIDAD
COMUNIDAD
COMUNIDAD
COMUNIDAD
COMUNIDAD
COMUNIDAD
COMUNIDAD
COMUNIDAD
COMUNIDAD
COMUNIDAD
COMUNIDAD
COMUNIDAD
COMUNIDAD
COMUNIDAD
COMUNIDAD
COMUNIDAD
COMUNIDAD
COMUNIDAD
COMUNIDAD
COMUNIDAD
COMUNIDAD
COMUNIDAD
COMUNIDAD
COMUNIDAD
COMUNIDAD
COMUNIDAD
COMUNIDAD
COMUNIDAD
COMUNIDAD
COMUNIDAD
COMUNIDAD
COMUNIDAD
COMUNIDAD
COMUNIDAD
COMUNIDAD
COMUNIDAD
COMUNIDAD
COMUNIDAD
COMUNIDAD
COMUNIDAD
COMUNIDAD
COMUNIDAD
COMUNIDAD
COMUNIDAD
COMUNIDAD
COMUNIDAD
COMUNIDAD
COMUNIDAD
COMUNIDAD
COMUNIDAD
COMUNIDAD
COMUNIDAD
COMUNIDAD
COMUNIDAD
COMUNIDAD
COMUNIDAD
COMUNIDAD
COMUNIDAD
COMUNIDAD
COMUNIDAD
COMUNIDAD
COMUNIDAD
COMUNIDAD
COMUNIDAD
COMUNIDAD
COMUNIDAD
COMUNIDAD
COMUNIDAD
COMUNIDAD
COMUNIDAD
COMUNIDAD
COMUNIDAD
COMUNIDAD
COMUNIDAD
COMUNIDAD
COMUNIDAD
COMUNIDAD
COMUNIDAD
COMUNIDAD
COMUNIDAD
COMUNIDAD
COMUNIDAD
COMUNIDAD
COMUNIDAD
COMUNIDAD
COMUNIDAD
COMUNIDAD
COMUNIDAD
COMUNIDAD
COMUNIDAD
COMUNIDAD
COMUNIDAD
COMUNIDAD
COMUNIDAD
COMUNIDAD
COMUNIDAD
COMUNIDAD
COMUNIDAD
COMUNIDAD
COMUNIDAD
COMUNIDAD
COMUNIDAD
COMUNIDAD
COMUNIDAD
COMUNIDAD
COMUNIDAD
COMUNIDAD
COMUNIDAD
COMUNIDAD
COMUNIDAD
COMUNIDAD
COMUNIDAD
COMUNIDAD
COMUNIDAD
COMUNIDAD
COMUNIDAD
COMUNIDAD
COMUNIDAD
COMUNIDAD
COMUNIDAD
COMUNIDAD
COMUNIDAD
COMUNIDAD
COMUNIDAD
COMUNIDAD
COMUNIDAD
COMUNIDAD
COMUNIDAD
COMUNIDAD
COMUNIDAD
COMUNIDAD
COMUNIDAD
COMUNIDAD
COMUNIDAD
COMUNIDAD
COMUNIDAD
COMUNIDAD
COMUNIDAD
COMUNIDAD
COMUNIDAD
COMUNIDAD
COMUNIDAD
COMUNIDAD
COMUNIDAD
COMUNIDAD
COMUNIDAD
COMUNIDAD
COMUNIDAD
COMUNIDAD
COMUNIDAD
COMUNIDAD
COMUNIDAD
COMUNIDAD
COMUNIDAD
COMUNIDAD
COMUNIDAD
COMUNIDAD
COMUNIDAD
COMUNIDAD
COMUNIDAD
COMUNIDAD
COMUNIDAD
COMUNIDAD
COMUNIDAD
COMUNIDAD
COMUNIDAD
COMUNIDAD
COMUNIDAD
COMUNIDAD
COMUNIDAD
COMUNIDAD
COMUNIDAD
COMUNIDAD
COMUNIDAD
COMUNIDAD
COMUNIDAD
COMUNIDAD
COMUNIDAD
COMUNIDAD
COMUNIDAD
COMUNIDAD
COMUNIDAD
COMUNIDAD
COMUNIDAD
COMUNIDAD
COMUNIDAD
COMUNIDAD
COMUNIDAD
COMUNIDAD
COMUNIDAD
COMUNIDAD
COMUNIDAD
COMUNIDAD
COMUNIDAD
COMUNIDAD
COMUNIDAD
COMUNIDAD
COMUNIDAD
COMUNIDAD
COMUNIDAD
COMUNIDAD
COMUNIDAD
COMUNIDAD
COMUNIDAD
COMUNIDAD
COMUNIDAD
COMUNIDAD
COMUNIDAD
COMUNIDAD
COMUNIDAD
COMUNIDAD
COMUNIDAD
COMUNIDAD
COMUNIDAD
COMUNIDAD
COMUNIDAD
COMUNIDAD
COMUNIDAD
COMUNIDAD
COMUNIDAD
COMUNIDAD
COMUNIDAD
COMUNIDAD
COMUNIDAD
COMUNIDAD
COMUNIDAD
COMUNIDAD
COMUNIDAD
COMUNIDAD
COMUNIDAD
COMUNIDAD
COMUNIDAD
COMUNIDAD
COMUNIDAD
COMUNIDAD
COMUNIDAD
COMUNIDAD
COMUNIDAD
COMUNIDAD
COMUNIDAD
COMUNIDAD
COMUNIDAD
COMUNIDAD
COMUNIDAD
COMUNIDAD
COMUNIDAD
COMUNIDAD
COMUNIDAD
COMUNIDAD
COMUNIDAD
COMUNIDAD
COMUNIDAD
COMUNIDAD
COMUNIDAD
COMUNIDAD
COMUNIDAD
COMUNIDAD
COMUNIDAD
COMUNIDAD
COMUNIDAD
COMUNIDAD
COMUNIDAD
COMUNIDAD
COMUNIDAD
COMUNIDAD
COMUNIDAD
COMUNIDAD
COMUNIDAD
COMUNIDAD
COMUNIDAD
COMUNIDAD
COMUNIDAD
COMUNIDAD
COMUNIDAD
COMUNIDAD
COMUNIDAD
COMUNIDAD
COMUNIDAD
COMUNIDAD
COMUNIDAD
COMUNIDAD
COMUNIDAD
COMUNIDAD
COMUNIDAD
COMUNIDAD
COMUNIDAD
COMUNIDAD
COMUNIDAD
COMUNIDAD
COMUNIDAD
COMUNIDAD
COMUNIDAD
COMUNIDAD
COMUNIDAD
COMUNIDAD
COMUNIDAD
COMUNIDAD
COMUNIDAD
COMUNIDAD
COMUNIDAD
COMUNIDAD
COMUNIDAD
COMUNIDAD
COMUNIDAD
COMUNIDAD
COMUNIDAD
COMUNIDAD
COMUNIDAD
COMUNIDAD
COMUNIDAD
COMUNIDAD
COMUNIDAD
COMUNIDAD
COMUNIDAD
COMUNIDAD
COMUNIDAD
COMUNIDAD
COMUNIDAD
COMUNIDAD
COMUNIDAD
COMUNIDAD
COMUNIDAD
COMUNIDAD
COMUNIDAD
COMUNIDAD
COMUNIDAD
COMUNIDAD
COMUNIDAD
COMUNIDAD
COMUNIDAD
COMUNIDAD
COMUNIDAD
COMUNIDAD
COMUNIDAD
COMUNIDAD
COMUNIDAD
COMUNIDAD
COMUNIDAD
COMUNIDAD
COMUNIDAD
COMUNIDAD
COMUNIDAD
COMUNIDAD
COMUNIDAD
COMUNIDAD
COMUNIDAD
COMUNIDAD
COMUNIDAD
COMUNIDAD
COMUNIDAD
COMUNIDAD
COMUNIDAD
COMUNIDAD
COMUNIDAD
COMUNIDAD
COMUNIDAD
COMUNIDAD
COMUNIDAD
COMUNIDAD
COMUNIDAD
COMUNIDAD
COMUNIDAD
COMUNIDAD
COMUNIDAD
COMUNIDAD
COMUNIDAD
COMUNIDAD
COMUNIDAD
COMUNIDAD
COMUNIDAD
COMUNIDAD
COMUNIDAD
COMUNIDAD
COMUNIDAD
COMUNIDAD
COMUNIDAD
COMUNIDAD
COMUNIDAD
COMUNIDAD
COMUNIDAD
COMUNIDAD
COMUNIDAD
COMUNIDAD
COMUNIDAD
COMUNIDAD
COMUNIDAD
COMUNIDAD
COMUNIDAD
COMUNIDAD
COMUNIDAD
COMUNIDAD
COMUNIDAD
COMUNIDAD
COMUNIDAD
COMUNIDAD
COMUNIDAD
COMUNIDAD
COMUNIDAD
COMUNIDAD
COMUNIDAD
COMUNIDAD
COMUNIDAD
COMUNIDAD
COMUNIDAD
COMUNIDAD
COMUNIDAD
COMUNIDAD
COMUNIDAD
COMUNIDAD
COMUNIDAD
COMUNIDAD
COMUNIDAD
COMUNIDAD
COMUNIDAD
COMUNIDAD
COMUNIDAD
COMUNIDAD
COMUNIDAD
COMUNIDAD
COMUNIDAD
COMUNIDAD
COMUNIDAD
COMUNIDAD
COMUNIDAD
COMUNIDAD
COMUNIDAD
COMUNIDAD
COMUNIDAD
COMUNIDAD
COMUNIDAD
COMUNIDAD
COMUNIDAD
COMUNIDAD
COMUNIDAD
COMUNIDAD
COMUNIDAD
COMUNIDAD
COMUNIDAD
COMUNIDAD
COMUNIDAD
COMUNIDAD
COMUNIDAD
COMUNIDAD
COMUNIDAD
COMUNIDAD
COMUNIDAD
COMUNIDAD
COMUNIDAD
COMUNIDAD
COMUNIDAD
COMUNIDAD
COMUNIDAD
COMUNIDAD
COMUNIDAD
COMUNIDAD
COMUNIDAD
COMUNIDAD
COMUNIDAD
COMUNIDAD
COMUNIDAD
COMUNIDAD
COMUNIDAD
COMUNIDAD
COMUNIDAD
COMUNIDAD
COMUNIDAD
COMUNIDAD
COMUNIDAD
COMUNIDAD
COMUNIDAD
COMUNIDAD
COMUNIDAD
COMUNIDAD
COMUNIDAD
COMUNIDAD
COMUNIDAD
COMUNIDAD
COMUNIDAD
COMUNIDAD
COMUNIDAD
COMUNIDAD
COMUNIDAD
COMUNIDAD
COMUNIDAD
COMUNIDAD
COMUNIDAD
COMUNIDAD
COMUNIDAD
COMUNIDAD
COMUNIDAD
COMUNIDAD
COMUNIDAD
COMUNIDAD
COMUNIDAD
COMUNIDAD
COMUNIDAD
COMUNIDAD
COMUNIDAD
COMUNIDAD
COMUNIDAD
COMUNIDAD
COMUNIDAD
COMUNIDAD
COMUNIDAD
COMUNIDAD
COMUNIDAD
COMUNIDAD
COMUNIDAD
COMUNIDAD
COMUNIDAD
COMUNIDAD
COMUNIDAD
COMUNIDAD
COMUNIDAD
COMUNIDAD
COMUNIDAD
COMUNIDAD
COMUNIDAD
COMUNIDAD
COMUNIDAD
COMUNIDAD
COMUNIDAD
COMUNIDAD
COMUNIDAD
COMUNIDAD
COMUNIDAD
COMUNIDAD
COMUNIDAD
COMUNIDAD
COMUNIDAD
COMUNIDAD
COMUNIDAD
COMUNIDAD
COMUNIDAD
COMUNIDAD
COMUNIDAD
COMUNIDAD
COMUNIDAD
COMUNIDAD
COMUNIDAD
COMUNIDAD
COMUNIDAD
COMUNIDAD
COMUNIDAD
COMUNIDAD
COMUNIDAD
COMUNIDAD
COMUNIDAD
COMUNIDAD
COMUNIDAD
COMUNIDAD
COMUNIDAD
COMUNIDAD
COMUNIDAD
COMUNIDAD
COMUNIDAD
COMUNIDAD
COMUNIDAD
COMUNIDAD
COMUNIDAD
COMUNIDAD
COMUNIDAD
COMUNIDAD
COMUNIDAD
COMUNIDAD
COMUNIDAD
COMUNIDAD
COMUNIDAD
COMUNIDAD
COMUNIDAD
COMUNIDAD
COMUNIDAD
COMUNIDAD
COMUNIDAD
COMUNIDAD
COMUNIDAD
COMUNIDAD
COMUNIDAD
COMUNIDAD
COMUNIDAD
COMUNIDAD
COMUNIDAD
COMUNIDAD
COMUNIDAD
COMUNIDAD
COMUNIDAD
COMUNIDAD
COMUNIDAD
COMUNIDAD
COMUNIDAD
COMUNIDAD
COMUNIDAD
COMUNIDAD
COMUNIDAD
COMUNIDAD
COMUNIDAD
COMUNIDAD
COMUNIDAD
COMUNIDAD
COMUNIDAD
COMUNIDAD
COMUNIDAD
COMUNIDAD
COMUNIDAD
COMUNIDAD
COMUNIDAD
COMUNIDAD
COMUNIDAD
COMUNIDAD
COMUNIDAD
COMUNIDAD
COMUNIDAD
COMUNIDAD
COMUNIDAD
COMUNIDAD
COMUNIDAD
COMUNIDAD
COMUNIDAD
COMUNIDAD
COMUNIDAD
COMUNIDAD
COMUNIDAD
COMUNIDAD
COMUNIDAD
COMUNIDAD
COMUNIDAD
COMUNIDAD
COMUNIDAD
COMUNIDAD
COMUNIDAD
COMUNIDAD
COMUNIDAD
COMUNIDAD
COMUNIDAD
COMUNIDAD
COMUNIDAD
COMUNIDAD
COMUNIDAD
COMUNIDAD
COMUNIDAD
COMUNIDAD
COMUNIDAD
COMUNIDAD
COMUNIDAD
COMUNIDAD
COMUNIDAD
COMUNIDAD
COMUNIDAD
COMUNIDAD
COMUNIDAD
COMUNIDAD
COMUNIDAD
COMUNIDAD
COMUNIDAD
COMUNIDAD
COMUNIDAD
COMUNIDAD
COMUNIDAD
COMUNIDAD
COMUNIDAD
COMUNIDAD
COMUNIDAD
COMUNIDAD
COMUNIDAD
COMUNIDAD
COMUNIDAD
COMUNIDAD
COMUNIDAD
COMUNIDAD
COMUNIDAD
COMUNIDAD
COMUNIDAD
COMUNIDAD
COMUNIDAD
COMUNIDAD
COMUNIDAD
COMUNIDAD
COMUNIDAD
COMUNIDAD
COMUNIDAD
COMUNIDAD
COMUNIDAD
COMUNIDAD
COMUNIDAD
COMUNIDAD
COMUNIDAD
COMUNIDAD
COMUNIDAD
COMUNIDAD
COMUNIDAD
COMUNIDAD
COMUNIDAD
COMUNIDAD
COMUNIDAD
COMUNIDAD
COMUNIDAD
COMUNIDAD
COMUNIDAD
COMUNIDAD
COMUNIDAD
COMUNIDAD
COMUNIDAD
COMUNIDAD
COMUNIDAD
COMUNIDAD
COMUNIDAD
COMUNIDAD
COMUNIDAD
COMUNIDAD
COMUNIDAD
COMUNIDAD
COMUNIDAD
COMUNIDAD
COMUNIDAD
COMUNIDAD
COMUNIDAD
COMUNIDAD
COMUNIDAD
COMUNIDAD
COMUNIDAD
COMUNIDAD
COMUNIDAD
COMUNIDAD
COMUNIDAD
COMUNIDAD
COMUNIDAD
COMUNIDAD
COMUNIDAD
COMUNIDAD
COMUNIDAD
COMUNIDAD
COMUNIDAD
COMUNIDAD
COMUNIDAD
COMUNIDAD
COMUNIDAD
COMUNIDAD
COMUNIDAD
COMUNIDAD
COMUNIDAD
COMUNIDAD
COMUNIDAD
COMUNIDAD
COMUNIDAD
COMUNIDAD
COMUNIDAD
COMUNIDAD
COMUNIDAD
COMUNIDAD
COMUNIDAD
COMUNIDAD
COMUNIDAD
COMUNIDAD
COMUNIDAD
COMUNIDAD
COMUNIDAD
COMUNIDAD
COMUNIDAD
COMUNIDAD
COMUNIDAD
COMUNIDAD
COMUNIDAD
COMUNIDAD
COMUNIDAD
COMUNIDAD
COMUNIDAD
COMUNIDAD
COMUNIDAD
COMUNIDAD
COMUNIDAD
COMUNIDAD
COMUNIDAD
COMUNIDAD
COMUNIDAD
COMUNIDAD
COMUNIDAD
COMUNIDAD
COMUNIDAD
COMUNIDAD
COMUNIDAD
COMUNIDAD
COMUNIDAD
COMUNIDAD
COMUNIDAD
COMUNIDAD
COMUNIDAD
COMUNIDAD
COMUNIDAD
COMUNIDAD
COMUNIDAD
COMUNIDAD
COMUNIDAD
COMUNIDAD
COMUNIDAD
COMUNIDAD
COMUNIDAD
COMUNIDAD
COMUNIDAD
COMUNIDAD
COMUNIDAD
COMUNIDAD
COMUNIDAD
COMUNIDAD
COMUNIDAD
COMUNIDAD
COMUNIDAD
COMUNIDAD
COMUNIDAD
COMUNIDAD
COMUNIDAD
COMUNIDAD
COMUNIDAD
COMUNIDAD
COMUNIDAD
COMUNIDAD
COMUNIDAD
COMUNIDAD
COMUNIDAD
COMUNIDAD
COMUNIDAD
COMUNIDAD
COMUNIDAD
COMUNIDAD
COMUNIDAD
COMUNIDAD
COMUNIDAD
COMUNIDAD
COMUNIDAD
COMUNIDAD
COMUNIDAD
COMUNIDAD
COMUNIDAD
COMUNIDAD
COMUNIDAD
COMUNIDAD
COMUNIDAD
COMUNIDAD
COMUNIDAD
COMUNIDAD
COMUNIDAD
COMUNIDAD
COMUNIDAD
COMUNIDAD
COMUNIDAD
COMUNIDAD
COMUNIDAD
COMUNIDAD
COMUNIDAD
COMUNIDAD
COMUNIDAD
COMUNIDAD
COMUNIDAD
COMUNIDAD
COMUNIDAD
COMUNIDAD
COMUNIDAD
COMUNIDAD
COMUNIDAD
COMUNIDAD
COMUNIDAD
COMUNIDAD
COMUNIDAD
COMUNIDAD
COMUNIDAD
COMUNIDAD
COMUNIDAD
COMUNIDAD
COMUNIDAD
COMUNIDAD
COMUNIDAD
COMUNIDAD
COMUNIDAD
COMUNIDAD
COMUNIDAD
COMUNIDAD
COMUNIDAD
COMUNIDAD
COMUNIDAD
COMUNIDAD
COMUNIDAD
COMUNIDAD
COMUNIDAD
COMUNIDAD
COMUNIDAD
COMUNIDAD
COMUNIDAD
COMUNIDAD
COMUNIDAD
COMUNIDAD
COMUNIDAD
COMUNIDAD
COMUNIDAD
COMUNIDAD
COMUNIDAD
COMUNIDAD
COMUNIDAD
COMUNIDAD
COMUNIDAD
COMUNIDAD
COMUNIDAD
COMUNIDAD
COMUNIDAD
COMUNIDAD
COMUNIDAD
COMUNIDAD
COMUNIDAD
COMUNIDAD
COMUNIDAD
COMUNIDAD
COMUNIDAD
COMUNIDAD
COMUNIDAD
COMUNIDAD
COMUNIDAD
COMUNIDAD
COMUNIDAD
COMUNIDAD
COMUNIDAD
COMUNIDAD
COMUNIDAD
COMUNIDAD
COMUNIDAD
COMUNIDAD
COMUNIDAD
COMUNIDAD
COMUNIDAD
COMUNIDAD
COMUNIDAD
COMUNIDAD
COMUNIDAD
COMUNIDAD
COMUNIDAD
COMUNIDAD
COMUNIDAD
COMUNIDAD
COMUNIDAD
COMUNIDAD
COMUNIDAD
COMUNIDAD
COMUNIDAD
COMUNIDAD
COMUNIDAD
COMUNIDAD
COMUNIDAD
COMUNIDAD
COMUNIDAD
COMUNIDAD
COMUNIDAD
COMUNIDAD
COMUNIDAD
COMUNIDAD
COMUNIDAD
COMUNIDAD
COMUNIDAD
COMUNIDAD
COMUNIDAD
COMUNIDAD
COMUNIDAD
COMUNIDAD
COMUNIDAD
COMUNIDAD
COMUNIDAD
COMUNIDAD
COMUNIDAD
COMUNIDAD
COMUNIDAD
COMUNIDAD
COMUNIDAD
COMUNIDAD
COMUNIDAD
COMUNIDAD
COMUNIDAD
COMUNIDAD
COMUNIDAD
COMUNIDAD
COMUNIDAD
COMUNIDAD
COMUNIDAD
COMUNIDAD
COMUNIDAD
COMUNIDAD
COMUNIDAD
COMUNIDAD
COMUNIDAD
COMUNIDAD
COMUNIDAD
COMUNIDAD
COMUNIDAD
COMUNIDAD
COMUNIDAD
COMUNIDAD
COMUNIDAD
COMUNIDAD
COMUNIDAD
COMUNIDAD
COMUNIDAD
COMUNIDAD
COMUNIDAD
COMUNIDAD
COMUNIDAD
COMUNIDAD
COMUNIDAD
COMUNIDAD
COMUNIDAD
COMUNIDAD
COMUNIDAD
COMUNIDAD
COMUNIDAD
COMUNIDAD
COMUNIDAD
COMUNIDAD
COMUNIDAD
COMUNIDAD
COMUNIDAD
COMUNIDAD
COMUNIDAD
COMUNIDAD
COMUNIDAD
COMUNIDAD
COMUNIDAD
COMUNIDAD
COMUNIDAD
COMUNIDAD
COMUNIDAD
COMUNIDAD
COMUNIDAD
COMUNIDAD
COMUNIDAD
COMUNIDAD
COMUNIDAD
COMUNIDAD
COMUNIDAD
COMUNIDAD
COMUNIDAD
COMUNIDAD
COMUNIDAD
COMUNIDAD
COMUNIDAD
COMUNIDAD
COMUNIDAD
COMUNIDAD
COMUNIDAD
COMUNIDAD
COMUNIDAD
COMUNIDAD
COMUNIDAD
COMUNIDAD
COMUNIDAD
COMUNIDAD
COMUNIDAD
COMUNIDAD
COMUNIDAD
COMUNIDAD
COMUNIDAD
COMUNIDAD
COMUNIDAD
COMUNIDAD
COMUNIDAD
COMUNIDAD
COMUNIDAD
COMUNIDAD
COMUNIDAD
COMUNIDAD
COMUNIDAD
COMUNIDAD
COMUNIDAD
COMUNIDAD
COMUNIDAD
COMUNIDAD
COMUNIDAD
COMUNIDAD
COMUNIDAD
COMUNIDAD
COMUNIDAD
COMUNIDAD
COMUNIDAD
COMUNIDAD
COMUNIDAD
COMUNIDAD
COMUNIDAD
COMUNIDAD
COMUNIDAD
COMUNIDAD
COMUNIDAD
COMUNIDAD
COMUNIDAD
COMUNIDAD
COMUNIDAD
COMUNIDAD
COMUNIDAD
COMUNIDAD
COMUNIDAD
COMUNIDAD
COMUNIDAD
COMUNIDAD
COMUNIDAD
COMUNIDAD
COMUNIDAD
COMUNIDAD
COMUNIDAD
COMUNIDAD
COMUNIDAD
COMUNIDAD
COMUNIDAD
COMUNIDAD
COMUNIDAD
COMUNIDAD
COMUNIDAD
COMUNIDAD
COMUNIDAD
COMUNIDAD
COMUNIDAD
COMUNIDAD
COMUNIDAD
COMUNIDAD
COMUNIDAD
COMUNIDAD
COMUNIDAD
COMUNIDAD
COMUNIDAD
COMUNIDAD
COMUNIDAD
COMUNIDAD
COMUNIDAD
COMUNIDAD
COMUNIDAD
COMUNIDAD
COMUNIDAD
COMUNIDAD
COMUNIDAD
COMUNIDAD
COMUNIDAD
COMUNIDAD
COMUNIDAD
COMUNIDAD
COMUNIDAD
COMUNIDAD
COMUNIDAD
COMUNIDAD
COMUNIDAD
COMUNIDAD
COMUNIDAD
COMUNIDAD
COMUNIDAD
COMUNIDAD
COMUNIDAD
COMUNIDAD
COMUNIDAD
COMUNIDAD
COMUNIDAD
COMUNIDAD
COMUNIDAD
COMUNIDAD
COMUNIDAD
COMUNIDAD
COMUNIDAD
COMUNIDAD
COMUNIDAD
COMUNIDAD
COMUNIDAD
COMUNIDAD
COMUNIDAD
COMUNIDAD
COMUNIDAD
COMUNIDAD
COMUNIDAD
COMUNIDAD
COMUNIDAD
COMUNIDAD
COMUNIDAD
COMUNIDAD
COMUNIDAD
COMUNIDAD
COMUNIDAD
COMUNIDAD
COMUNIDAD
COMUNIDAD
COMUNIDAD
COMUNIDAD
COMUNIDAD
COMUNIDAD
COMUNIDAD
COMUNIDAD
COMUNIDAD
COMUNIDAD
COMUNIDAD
COMUNIDAD
COMUNIDAD
COMUNIDAD
COMUNIDAD
COMUNIDAD
COMUNIDAD
COMUNIDAD
COMUNIDAD
COMUNIDAD
COMUNIDAD
COMUNIDAD
COMUNIDAD
COMUNIDAD
COMUNIDAD
COMUNIDAD
COMUNIDAD
COMUNIDAD
COMUNIDAD
COMUNIDAD
COMUNIDAD
COMUNIDAD
COMUNIDAD
COMUNIDAD
COMUNIDAD
COMUNIDAD
COMUNIDAD
COMUNIDAD
COMUNIDAD
COMUNIDAD
COMUNIDAD
COMUNIDAD
COMUNIDAD
COMUNIDAD
COMUNIDAD
COMUNIDAD
COMUNIDAD
COMUNIDAD
COMUNIDAD
COMUNIDAD
COMUNIDAD
COMUNIDAD
COMUNIDAD
COMUNIDAD
COMUNIDAD
COMUNIDAD
COMUNIDAD
COMUNIDAD
COMUNIDAD
COMUNIDAD
COMUNIDAD
COMUNIDAD
COMUNIDAD
COMUNIDAD
COMUNIDAD
COMUNIDAD
COMUNIDAD
COMUNIDAD
COMUNIDAD
COMUNIDAD
COMUNIDAD
COMUNIDAD
COMUNIDAD
COMUNIDAD
COMUNIDAD
COMUNIDAD
COMUNIDAD
COMUNIDAD
COMUNIDAD
COMUNIDAD
COMUNIDAD
COMUNIDAD
COMUNIDAD
COMUNIDAD
COMUNIDAD
COMUNIDAD
COMUNIDAD
COMUNIDAD
COMUNIDAD
COMUNIDAD
COMUNIDAD
COMUNIDAD
COMUNIDAD
COMUNIDAD
COMUNIDAD
COMUNIDAD
COMUNIDAD
COMUNIDAD
COMUNIDAD
COMUNIDAD
COMUNIDAD
COMUNIDAD
COMUNIDAD
COMUNIDAD
COMUNIDAD
COMUNIDAD
COMUNIDAD
COMUNIDAD
COMUNIDAD
COMUNIDAD
COMUNIDAD
COMUNIDAD
COMUNIDAD
COMUNIDAD
COMUNIDAD
COMUNIDAD
COMUNIDAD
COMUNIDAD
COMUNIDAD
COMUNIDAD
COMUNIDAD
COMUNIDAD
COMUNIDAD
COMUNIDAD
COMUNIDAD
COMUNIDAD
COMUNIDAD
COMUNIDAD
COMUNIDAD
COMUNIDAD
COMUNIDAD
COMUNIDAD
COMUNIDAD
COMUNIDAD
COMUNIDAD
COMUNIDAD
COMUNIDAD
COMUNIDAD
COMUNIDAD
COMUNIDAD
COMUNIDAD
COMUNIDAD
COMUNIDAD
COMUNIDAD
COMUNIDAD
COMUNIDAD
COMUNIDAD
COMUNIDAD
COMUNIDAD
COMUNIDAD
COMUNIDAD
COMUNIDAD
COMUNIDAD
COMUNIDAD
COMUNIDAD
COMUNIDAD
COMUNIDAD
COMUNIDAD
COMUNIDAD
COMUNIDAD
COMUNIDAD
COMUNIDAD
COMUNIDAD
COMUNIDAD
COMUNIDAD
COMUNIDAD
COMUNIDAD
COMUNIDAD
COMUNIDAD
COMUNIDAD
COMUNIDAD
COMUNIDAD
COMUNIDAD
COMUNIDAD
COMUNIDAD
COMUNIDAD
COMUNIDAD
COMUNIDAD
COMUNIDAD
COMUNIDAD
COMUNIDAD
COMUNIDAD
COMUNIDAD
COMUNIDAD
COMUNIDAD
COMUNIDAD
COMUNIDAD
COMUNIDAD
COMUNIDAD
COMUNIDAD
COMUNIDAD
COMUNIDAD
COMUNIDAD
COMUNIDAD
COMUNIDAD
COMUNIDAD
COMUNIDAD
COMUNIDAD
COMUNIDAD
COMUNIDAD
COMUNIDAD
COMUNIDAD
COMUNIDAD
COMUNIDAD
COMUNIDAD
COMUNIDAD
COMUNIDAD
COMUNIDAD
COMUNIDAD
COMUNIDAD
COMUNIDAD
COMUNIDAD
COMUNIDAD
COMUNIDAD
COMUNIDAD
COMUNIDAD
COMUNIDAD
COMUNIDAD
COMUNIDAD
COMUNIDAD
COMUNIDAD
COMUNIDAD
COMUNIDAD
COMUNIDAD
COMUNIDAD
COMUNIDAD
COMUNIDAD
COMUNIDAD
COMUNIDAD
COMUNIDAD
COMUNIDAD
COMUNIDAD
COMUNIDAD
COMUNIDAD
COMUNIDAD
COMUNIDAD
COMUNIDAD
COMUNIDAD
COMUNIDAD
COMUNIDAD
COMUNIDAD
COMUNIDAD
COMUNIDAD
COMUNIDAD
COMUNIDAD
COMUNIDAD
COMUNIDAD
COMUNIDAD
COMUNIDAD
COMUNIDAD
COMUNIDAD
COMUNIDAD
COMUNIDAD
COMUNIDAD
COMUNIDAD
COMUNIDAD
COMUNIDAD
COMUNIDAD
COMUNIDAD
COMUNIDAD
COMUNIDAD
COMUNIDAD
COMUNIDAD
COMUNIDAD
COMUNIDAD
COMUNIDAD
COMUNIDAD
COMUNIDAD
COMUNIDAD
COMUNIDAD
COMUNIDAD
COMUNIDAD
COMUNIDAD
COMUNIDAD
COMUNIDAD
COMUNIDAD
COMUNIDAD
COMUNIDAD
COMUNIDAD
COMUNIDAD
COMUNIDAD
COMUNIDAD
COMUNIDAD
COMUNIDAD
COMUNIDAD
COMUNIDAD
COMUNIDAD
COMUNIDAD
COMUNIDAD
COMUNIDAD
COMUNIDAD
COMUNIDAD
COMUNIDAD
COMUNIDAD
COMUNIDAD
COMUNIDAD
COMUNIDAD
COMUNIDAD
COMUNIDAD
COMUNIDAD
COMUNIDAD
COMUNIDAD
COMUNIDAD
COMUNIDAD
COMUNIDAD
COMUNIDAD
COMUNIDAD
COMUNIDAD
COMUNIDAD
COMUNIDAD
COMUNIDAD
COMUNIDAD
COMUNIDAD
COMUNIDAD
COMUNIDAD
COMUNIDAD
COMUNIDAD
COMUNIDAD
COMUNIDAD
COMUNIDAD
COMUNIDAD
COMUNIDAD
COMUNIDAD
COMUNIDAD
COMUNIDAD
COMUNIDAD
COMUNIDAD
COMUNIDAD
COMUNIDAD
COMUNIDAD
COMUNIDAD
COMUNIDAD
COMUNIDAD
COMUNIDAD
COMUNIDAD
COMUNIDAD
COMUNIDAD
COMUNIDAD
COMUNIDAD
COMUNIDAD
COMUNIDAD
COMUNIDAD
COMUNIDAD
COMUNIDAD
COMUNIDAD
COMUNIDAD
COMUNIDAD
COMUNIDAD
COMUNIDAD
COMUNIDAD
COMUNIDAD
COMUNIDAD
COMUNIDAD
COMUNIDAD
COMUNIDAD
COMUNIDAD
COMUNIDAD
COMUNIDAD
COMUNIDAD
COMUNIDAD
COMUNIDAD
COMUNIDAD
COMUNIDAD
COMUNIDAD
COMUNIDAD
COMUNIDAD
COMUNIDAD
COMUNIDAD
COMUNIDAD
COMUNIDAD
COMUNIDAD
COMUNIDAD
COMUNIDAD
COMUNIDAD
COMUNIDAD
COMUNIDAD
COMUNIDAD
COMUNIDAD
COMUNIDAD
COMUNIDAD
COMUNIDAD
COMUNIDAD
COMUNIDAD
COMUNIDAD
COMUNIDAD
COMUNIDAD
COMUNIDAD
COMUNIDAD
COMUNIDAD
COMUNIDAD
COMUNIDAD
COMUNIDAD
COMUNIDAD
COMUNIDAD
COMUNIDAD
COMUNIDAD
COMUNIDAD
COMUNIDAD
COMUNIDAD
COMUNIDAD
COMUNIDAD
COMUNIDAD
COMUNIDAD
COMUNIDAD
COMUNIDAD
COMUNIDAD
COMUNIDAD
COMUNIDAD
COMUNIDAD
COMUNIDAD
COMUNIDAD
COMUNIDAD
COMUNIDAD
COMUNIDAD
COMUNIDAD
COMUNIDAD
COMUNIDAD
COMUNIDAD
COMUNIDAD
COMUNIDAD
COMUNIDAD
COMUNIDAD
COMUNIDAD
COMUNIDAD
COMUNIDAD
COMUNIDAD
COMUNIDAD
COMUNIDAD
COMUNIDAD
COMUNIDAD
COMUNIDAD
COMUNIDAD
COMUNIDAD
COMUNIDAD
COMUNIDAD
COMUNIDAD
COMUNIDAD
COMUNIDAD
COMUNIDAD
COMUNIDAD
COMUNIDAD
COMUNIDAD
COMUNIDAD
COMUNIDAD
COMUNIDAD
COMUNIDAD
COMUNIDAD
COMUNIDAD
COMUNIDAD
COMUNIDAD
COMUNIDAD
COMUNIDAD
COMUNIDAD
COMUNIDAD
COMUNIDAD
COMUNIDAD
COMUNIDAD
COMUNIDAD
COMUNIDAD
COMUNIDAD
COMUNIDAD
COMUNIDAD
COMUNIDAD
COMUNIDAD
COMUNIDAD
COMUNIDAD
COMUNIDAD
COMUNIDAD
COMUNIDAD
COMUNIDAD
COMUNIDAD
COMUNIDAD
COMUNIDAD
COMUNIDAD
COMUNIDAD
COMUNIDAD
COMUNIDAD
COMUNIDAD
COMUNIDAD
COMUNIDAD
COMUNIDAD
COMUNIDAD
COMUNIDAD
COMUNIDAD
COMUNIDAD
COMUNIDAD
COMUNIDAD
COMUNIDAD
COMUNIDAD
COMUNIDAD
COMUNIDAD
COMUNIDAD
COMUNIDAD
COMUNIDAD
COMUNIDAD
COMUNIDAD
COMUNIDAD
COMUNIDAD
COMUNIDAD
COMUNIDAD
COMUNIDAD
COMUNIDAD
COMUNIDAD
COMUNIDAD
COMUNIDAD
COMUNIDAD
COMUNIDAD
COMUNIDAD
COMUNIDAD
COMUNIDAD
COMUNIDAD
COMUNIDAD
COMUNIDAD
COMUNIDAD
COMUNIDAD
COMUNIDAD
COMUNIDAD
COMUNIDAD
COMUNIDAD
COMUNIDAD
COMUNIDAD
COMUNIDAD
COMUNIDAD
COMUNIDAD
COMUNIDAD
COMUNIDAD
COMUNIDAD
COMUNIDAD
COMUNIDAD
COMUNIDAD
COMUNIDAD
COMUNIDAD
COMUNIDAD
COMUNIDAD
COMUNIDAD
COMUNIDAD
COMUNIDAD
COMUNIDAD
COMUNIDAD
COMUNIDAD
COMUNIDAD
COMUNIDAD
COMUNIDAD
COMUNIDAD
COMUNIDAD
COMUNIDAD
COMUNIDAD
COMUNIDAD
COMUNIDAD
COMUNIDAD
COMUNIDAD
COMUNIDAD
COMUNIDAD
COMUNIDAD
COMUNIDAD
COMUNIDAD
COMUNIDAD
COMUNIDAD
COMUNIDAD
COMUNIDAD
COMUNIDAD
COMUNIDAD
COMUNIDAD
COMUNIDAD
COMUNIDAD
COMUNIDAD
COMUNIDAD
COMUNIDAD
COMUNIDAD
COMUNIDAD
COMUNIDAD
COMUNIDAD
COMUNIDAD
COMUNIDAD
COMUNIDAD
COMUNIDAD
COMUNIDAD
COMUNIDAD
COMUNIDAD
COMUNIDAD
COMUNIDAD
COMUNIDAD
COMUNIDAD
COMUNIDAD
COMUNIDAD
COMUNIDAD
COMUNIDAD
COMUNIDAD
COMUNIDAD
COMUNIDAD
COMUNIDAD
COMUNIDAD
COMUNIDAD
COMUNIDAD
COMUNIDAD
COMUNIDAD
COMUNIDAD
COMUNIDAD
COMUNIDAD
COMUNIDAD
COMUNIDAD
COMUNIDAD
COMUNIDAD
COMUNIDAD
COMUNIDAD
COMUNIDAD
COMUNIDAD
COMUNIDAD
COMUNIDAD
COMUNIDAD
COMUNIDAD
COMUNIDAD
COMUNIDAD
COMUNIDAD
COMUNIDAD
COMUNIDAD
COMUNIDAD
COMUNIDAD
COMUNIDAD
COMUNIDAD
COMUNIDAD
COMUNIDAD
COMUNIDAD
COMUNIDAD
COMUNIDAD
COMUNIDAD
COMUNIDAD
COMUNIDAD
COMUNIDAD
COMUNIDAD
COMUNIDAD
COMUNIDAD
COMUNIDAD
COMUNIDAD
COMUNIDAD
COMUNIDAD
COMUNIDAD
COMUNIDAD
COMUNIDAD
COMUNIDAD
COMUNIDAD
COMUNIDAD
COMUNIDAD
COMUNIDAD
COMUNIDAD
COMUNIDAD
COMUNIDAD
COMUNIDAD
COMUNIDAD
COMUNIDAD
COMUNIDAD
COMUNIDAD
COMUNIDAD
COMUNIDAD
COMUNIDAD
COMUNIDAD
COMUNIDAD
COMUNIDAD
COMUNIDAD
COMUNIDAD
COMUNIDAD
COMUNIDAD
COMUNIDAD
COMUNIDAD
COMUNIDAD
COMUNIDAD
COMUNIDAD
COMUNIDAD
COMUNIDAD
COMUNIDAD
COMUNIDAD
COMUNIDAD
COMUNIDAD
COMUNIDAD
COMUNIDAD
COMUNIDAD
COMUNIDAD
COMUNIDAD
COMUNIDAD
COMUNIDAD
COMUNIDAD
COMUNIDAD
COMUNIDAD
COMUNIDAD
COMUNIDAD
COMUNIDAD
COMUNIDAD
COMUNIDAD
COMUNIDAD
COMUNIDAD
COMUNIDAD
COMUNIDAD
COMUNIDAD
COMUNIDAD
COMUNIDAD
COMUNIDAD
COMUNIDAD
COMUNIDAD
COMUNIDAD
COMUNIDAD
COMUNIDAD
COMUNIDAD
COMUNIDAD
COMUNIDAD
COMUNIDAD
COMUNIDAD
COMUNIDAD
COMUNIDAD
COMUNIDAD
COMUNIDAD
COMUNIDAD
COMUNIDAD
COMUNIDAD
COMUNIDAD
COMUNIDAD
COMUNIDAD
COMUNIDAD
COMUNIDAD
COMUNIDAD
COMUNIDAD
COMUNIDAD
COMUNIDAD
COMUNIDAD
COMUNIDAD
COMUNIDAD
COMUNIDAD
COMUNIDAD
COMUNIDAD
COMUNIDAD
COMUNIDAD
COMUNIDAD
COMUNIDAD
COMUNIDAD
COMUNIDAD
COMUNIDAD
COMUNIDAD
COMUNIDAD
COMUNIDAD
COMUNIDAD
COMUNIDAD
COMUNIDAD
COMUNIDAD
COMUNIDAD
COMUNIDAD
COMUNIDAD
COMUNIDAD
COMUNIDAD
COMUNIDAD
COMUNIDAD
COMUNIDAD
COMUNIDAD
COMUNIDAD
COMUNIDAD
COMUNIDAD
COMUNIDAD
COMUNIDAD
COMUNIDAD
COMUNIDAD
COMUNIDAD
COMUNIDAD
COMUNIDAD
COMUNIDAD
COMUNIDAD
COMUNIDAD
COMUNIDAD
COMUNIDAD
COMUNIDAD
COMUNIDAD
COMUNIDAD
COMUNIDAD
COMUNIDAD
COMUNIDAD
COMUNIDAD
COMUNIDAD
COMUNIDAD
COMUNIDAD
COMUNIDAD
COMUNIDAD
COMUNIDAD
COMUNIDAD
COMUNIDAD
COMUNIDAD
COMUNIDAD
COMUNIDAD
COMUNIDAD
COMUNIDAD
COMUNIDAD
COMUNIDAD
COMUNIDAD
COMUNIDAD
COMUNIDAD
COMUNIDAD
COMUNIDAD
COMUNIDAD
COMUNIDAD
COMUNIDAD
COMUNIDAD
COMUNIDAD
COMUNIDAD
COMUNIDAD
COMUNIDAD
COMUNIDAD
COMUNIDAD
COMUNIDAD
COMUNIDAD
COMUNIDAD
COMUNIDAD
COMUNIDAD
COMUNIDAD
COMUNIDAD
COMUNIDAD
COMUNIDAD
COMUNIDAD
COMUNIDAD
COMUNIDAD
COMUNIDAD
COMUNIDAD
COMUNIDAD
COMUNIDAD
COMUNIDAD
COMUNIDAD
COMUNIDAD
COMUNIDAD
COMUNIDAD
COMUNIDAD
COMUNIDAD
COMUNIDAD
COMUNIDAD
COMUNIDAD
COMUNIDAD
COMUNIDAD
COMUNIDAD
COMUNIDAD
COMUNIDAD
COMUNIDAD
COMUNIDAD
COMUNIDAD
COMUNIDAD
COMUNIDAD
COMUNIDAD
COMUNIDAD
COMUNIDAD
COMUNIDAD
COMUNIDAD
COMUNIDAD
COMUNIDAD
COMUNIDAD
COMUNIDAD
COMUNIDAD
COMUNIDAD
COMUNIDAD
COMUNIDAD
COMUNIDAD
COMUNIDAD
COMUNIDAD
COMUNIDAD
COMUNIDAD
COMUNIDAD
COMUNIDAD
COMUNIDAD
COMUNIDAD
COMUNIDAD
COMUNIDAD
COMUNIDAD
COMUNIDAD
COMUNIDAD
COMUNIDAD
COMUNIDAD
COMUNIDAD
COMUNIDAD
COMUNIDAD
COMUNIDAD
COMUNIDAD
COMUNIDAD
COMUNIDAD
COMUNIDAD
COMUNIDAD
COMUNIDAD
COMUNIDAD
COMUNIDAD
COMUNIDAD
COMUNIDAD
COMUNIDAD
COMUNIDAD
COMUNIDAD
COMUNIDAD
COMUNIDAD
COMUNIDAD
COMUNIDAD
COMUNIDAD
COMUNIDAD
COMUNIDAD
COMUNIDAD
COMUNIDAD
COMUNIDAD
COMUNIDAD
COMUNIDAD
COMUNIDAD
COMUNIDAD
COMUNIDAD
COMUNIDAD
COMUNIDAD
COMUNIDAD
COMUNIDAD
COMUNIDAD
COMUNIDAD
COMUNIDAD
COMUNIDAD
COMUNIDAD
COMUNIDAD
COMUNIDAD
COMUNIDAD
COMUNIDAD
COMUNIDAD
COMUNIDAD
COMUNIDAD
COMUNIDAD
COMUNIDAD
COMUNIDAD
COMUNIDAD
COMUNIDAD
COMUNIDAD
COMUNIDAD
COMUNIDAD
COMUNIDAD
COMUNIDAD
COMUNIDAD
COMUNIDAD
COMUNIDAD
COMUNIDAD
COMUNIDAD
COMUNIDAD
COMUNIDAD
COMUNIDAD
COMUNIDAD
COMUNIDAD
COMUNIDAD
COMUNIDAD
COMUNIDAD
COMUNIDAD
COMUNIDAD
COMUNIDAD
COMUNIDAD
COMUNIDAD
COMUNIDAD
COMUNIDAD
COMUNIDAD
COMUNIDAD
COMUNIDAD
COMUNIDAD
COMUNIDAD
COMUNIDAD
COMUNIDAD
COMUNIDAD
COMUNIDAD
COMUNIDAD
COMUNIDAD
COMUNIDAD
COMUNIDAD
COMUNIDAD
COMUNIDAD
COMUNIDAD
COMUNIDAD
COMUNIDAD
COMUNIDAD
COMUNIDAD
COMUNIDAD
COMUNIDAD
COMUNIDAD
COMUNIDAD
COMUNIDAD
COMUNIDAD
COMUNIDAD
COMUNIDAD
COMUNIDAD
COMUNIDAD
COMUNIDAD
COMUNIDAD
COMUNIDAD
COMUNIDAD
COMUNIDAD
COMUNIDAD
COMUNIDAD
COMUNIDAD
COMUNIDAD
COMUNIDAD
COMUNIDAD
COMUNIDAD
COMUNIDAD
COMUNIDAD
COMUNIDAD
COMUNIDAD
COMUNIDAD
COMUNIDAD
COMUNIDAD
COMUNIDAD
COMUNIDAD
COMUNIDAD
COMUNIDAD
COMUNIDAD
COMUNIDAD
COMUNIDAD
COMUNIDAD
COMUNIDAD
COMUNIDAD
COMUNIDAD
COMUNIDAD
COMUNIDAD
COMUNIDAD
COMUNIDAD
COMUNIDAD
COMUNIDAD
COMUNIDAD
COMUNIDAD
COMUNIDAD
COMUNIDAD
COMUNIDAD
COMUNIDAD
COMUNIDAD
COMUNIDAD
COMUNIDAD
COMUNIDAD
COMUNIDAD
COMUNIDAD
COMUNIDAD
COMUNIDAD
COMUNIDAD
COMUNIDAD
COMUNIDAD
COMUNIDAD
COMUNIDAD
COMUNIDAD
COMUNIDAD
COMUNIDAD
COMUNIDAD
COMUNIDAD
COMUNIDAD
COMUNIDAD
COMUNIDAD
COMUNIDAD
COMUNIDAD
COMUNIDAD
COMUNIDAD
COMUNIDAD
COMUNIDAD
COMUNIDAD
COMUNIDAD
COMUNIDAD
COMUNIDAD
COMUNIDAD
COMUNIDAD
COMUNIDAD
COMUNIDAD
COMUNIDAD
COMUNIDAD
COMUNIDAD
COMUNIDAD
COMUNIDAD
COMUNIDAD
COMUNIDAD
COMUNIDAD
COMUNIDAD
COMUNIDAD
COMUNIDAD
COMUNIDAD
COMUNIDAD
COMUNIDAD
COMUNIDAD
COMUNIDAD
COMUNIDAD
COMUNIDAD
COMUNIDAD
COMUNIDAD
COMUNIDAD
COMUNIDAD
COMUNIDAD
COMUNIDAD
COMUNIDAD
COMUNIDAD
COMUNIDAD
COMUNIDAD
COMUNIDAD
COMUNIDAD
COMUNIDAD
COMUNIDAD
COMUNIDAD
COMUNIDAD
COMUNIDAD
COMUNIDAD
COMUNIDAD
COMUNIDAD
COMUNIDAD
COMUNIDAD
COMUNIDAD
COMUNIDAD
COMUNIDAD
COMUNIDAD
COMUNIDAD
COMUNIDAD
COMUNIDAD
COMUNIDAD
COMUNIDAD
COMUNIDAD
COMUNIDAD
COMUNIDAD
COMUNIDAD
COMUNIDAD
COMUNIDAD
COMUNIDAD
COMUNIDAD
COMUNIDAD
COMUNIDAD
COMUNIDAD
COMUNIDAD
COMUNIDAD
COMUNIDAD
COMUNIDAD
COMUNIDAD
COMUNIDAD
COMUNIDAD
COMUNIDAD
COMUNIDAD
COMUNIDAD
COMUNIDAD
COMUNIDAD
COMUNIDAD
COMUNIDAD
COMUNIDAD
COMUNIDAD
COMUNIDAD
COMUNIDAD
COMUNIDAD
COMUNIDAD
COMUNIDAD
COMUNIDAD
COMUNIDAD
COMUNIDAD
COMUNIDAD
COMUNIDAD
COMUNIDAD
COMUNIDAD
COMUNIDAD
COMUNIDAD
COMUNIDAD
COMUNIDAD
COMUNIDAD
COMUNIDAD
COMUNIDAD
COMUNIDAD
COMUNIDAD
COMUNIDAD
COMUNIDAD
COMUNIDAD
COMUNIDAD
COMUNIDAD
COMUNIDAD
COMUNIDAD
COMUNIDAD
COMUNIDAD
COMUNIDAD
COMUNIDAD
COMUNIDAD
COMUNIDAD
COMUNIDAD
COMUNIDAD
COMUNIDAD
COMUNIDAD
COMUNIDAD
COMUNIDAD
COMUNIDAD
COMUNIDAD
COMUNIDAD
COMUNIDAD
COMUNIDAD
COMUNIDAD
COMUNIDAD
COMUNIDAD
COMUNIDAD
COMUNIDAD
COMUNIDAD
COMUNIDAD
COMUNIDAD
COMUNIDAD
COMUNIDAD
COMUNIDAD
COMUNIDAD
COMUNIDAD
COMUNIDAD
COMUNIDAD
COMUNIDAD
COMUNIDAD
COMUNIDAD
COMUNIDAD
COMUNIDAD
COMUNIDAD
COMUNIDAD
COMUNIDAD
COMUNIDAD
COMUNIDAD
COMUNIDAD
COMUNIDAD
COMUNIDAD
COMUNIDAD
COMUNIDAD
COMUNIDAD
COMUNIDAD
COMUNIDAD
COMUNIDAD
COMUNIDAD
COMUNIDAD
COMUNIDAD
COMUNIDAD
COMUNIDAD
COMUNIDAD
COMUNIDAD
COMUNIDAD
COMUNIDAD
COMUNIDAD
COMUNIDAD
COMUNIDAD
COMUNIDAD
COMUNIDAD
COMUNIDAD
COMUNIDAD
COMUNIDAD
COMUNIDAD
COMUNIDAD
COMUNIDAD
COMUNIDAD
COMUNIDAD
COMUNIDAD
COMUNIDAD
COMUNIDAD
COMUNIDAD
COMUNIDAD
COMUNIDAD
COMUNIDAD
COMUNIDAD
COMUNIDAD
COMUNIDAD
COMUNIDAD
COMUNIDAD
COMUNIDAD
COMUNIDAD
COMUNIDAD
COMUNIDAD
COMUNIDAD
COMUNIDAD
COMUNIDAD
COMUNIDAD
COMUNIDAD
COMUNIDAD
COMUNIDAD
COMUNIDAD
COMUNIDAD
COMUNIDAD
COMUNIDAD
COMUNIDAD
COMUNIDAD
COMUNIDAD
COMUNIDAD
COMUNIDAD
COMUNIDAD
COMUNIDAD
COMUNIDAD
COMUNIDAD
COMUNIDAD
COMUNIDAD
COMUNIDAD
COMUNIDAD
COMUNIDAD
COMUNIDAD
COMUNIDAD
COMUNIDAD
COMUNIDAD
COMUNIDAD
COMUNIDAD
COMUNIDAD
COMUNIDAD
COMUNIDAD
COMUNIDAD
COMUNIDAD
COMUNIDAD
COMUNIDAD
COMUNIDAD
COMUNIDAD
COMUNIDAD
COMUNIDAD
COMUNIDAD
COMUNIDAD
COMUNIDAD
COMUNIDAD
COMUNIDAD
COMUNIDAD
COMUNIDAD
COMUNIDAD
COMUNIDAD
COMUNIDAD
COMUNIDAD
COMUNIDAD
COMUNIDAD
COMUNIDAD
COMUNIDAD
COMUNIDAD
COMUNIDAD
COMUNIDAD
COMUNIDAD
COMUNIDAD
COMUNIDAD
COMUNIDAD
COMUNIDAD
COMUNIDAD
COMUNIDAD
COMUNIDAD
COMUNIDAD
COMUNIDAD
COMUNIDAD
COMUNIDAD
COMUNIDAD
COMUNIDAD
COMUNIDAD
COMUNIDAD
COMUNIDAD
COMUNIDAD
COMUNIDAD
COMUNIDAD
COMUNIDAD
COMUNIDAD
COMUNIDAD
COMUNIDAD
COMUNIDAD
COMUNIDAD
COMUNIDAD
COMUNIDAD
COMUNIDAD
COMUNIDAD
COMUNIDAD
COMUNIDAD
COMUNIDAD
COMUNIDAD
COMUNIDAD
COMUNIDAD
COMUNIDAD
COMUNIDAD
COMUNIDAD
COMUNIDAD
COMUNIDAD
COMUNIDAD
COMUNIDAD
COMUNIDAD
COMUNIDAD
COMUNIDAD
COMUNIDAD
COMUNIDAD
COMUNIDAD
COMUNIDAD
COMUNIDAD
COMUNIDAD
COMUNIDAD
COMUNIDAD
COMUNIDAD
COMUNIDAD
COMUNIDAD
COMUNIDAD
COMUNIDAD
COMUNIDAD
COMUNIDAD
COMUNIDAD
COMUNIDAD
COMUNIDAD
COMUNIDAD
COMUNIDAD
COMUNIDAD
COMUNIDAD
COMUNIDAD
COMUNIDAD
COMUNIDAD
COMUNIDAD
COMUNIDAD
COMUNIDAD
COMUNIDAD
COMUNIDAD
COMUNIDAD
COMUNIDAD
COMUNIDAD
COMUNIDAD
COMUNIDAD
COMUNIDAD
COMUNIDAD
COMUNIDAD
COMUNIDAD
COMUNIDAD
COMUNIDAD
COMUNIDAD
COMUNIDAD
COMUNIDAD
COMUNIDAD
COMUNIDAD
COMUNIDAD
COMUNIDAD
COMUNIDAD
COMUNIDAD
COMUNIDAD
COMUNIDAD
COMUNIDAD
COMUNIDAD
COMUNIDAD
COMUNIDAD
COMUNIDAD
COMUNIDAD
COMUNIDAD
COMUNIDAD
COMUNIDAD
COMUNIDAD
COMUNIDAD
COMUNIDAD
COMUNIDAD
COMUNIDAD
COMUNIDAD
COMUNIDAD
COMUNIDAD
COMUNIDAD
COMUNIDAD
COMUNIDAD
COMUNIDAD
COMUNIDAD
COMUNIDAD
COMUNIDAD
COMUNIDAD
COMUNIDAD
COMUNIDAD
COMUNIDAD
COMUNIDAD
COMUNIDAD
COMUNIDAD
COMUNIDAD
COMUNIDAD
COMUNIDAD
COMUNIDAD
COMUNIDAD
COMUNIDAD
COMUNIDAD
COMUNIDAD
COMUNIDAD
COMUNIDAD
COMUNIDAD
COMUNIDAD
COMUNIDAD
COMUNIDAD
COMUNIDAD
COMUNIDAD
COMUNIDAD
COMUNIDAD
COMUNIDAD
COMUNIDAD
COMUNIDAD
COMUNIDAD
COMUNIDAD
COMUNIDAD
COMUNIDAD
COMUNIDAD
COMUNIDAD
COMUNIDAD
COMUNIDAD
COMUNIDAD
COMUNIDAD
COMUNIDAD
COMUNIDAD
COMUNIDAD
COMUNIDAD
COMUNIDAD
COMUNIDAD
COMUNIDAD
COMUNIDAD
COMUNIDAD
COMUNIDAD
COMUNIDAD
COMUNIDAD
COMUNIDAD
COMUNIDAD
COMUNIDAD
COMUNIDAD
COMUNIDAD
COMUNIDAD
COMUNIDAD
COMUNIDAD
COMUNIDAD
COMUNIDAD
COMUNIDAD
COMUNIDAD
COMUNIDAD
COMUNIDAD
COMUNIDAD
COMUNIDAD
COMUNIDAD
COMUNIDAD
COMUNIDAD
COMUNIDAD
COMUNIDAD
COMUNIDAD
COMUNIDAD
COMUNIDAD
COMUNIDAD
COMUNIDAD
COMUNIDAD
COMUNIDAD
COMUNIDAD
COMUNIDAD
COMUNIDAD
COMUNIDAD
COMUNIDAD
COMUNIDAD
COMUNIDAD
COMUNIDAD
COMUNIDAD
COMUNIDAD
COMUNIDAD
COMUNIDAD
COMUNIDAD
COMUNIDAD
COMUNIDAD
COMUNIDAD
COMUNIDAD
COMUNIDAD
COMUNIDAD
COMUNIDAD
COMUNIDAD
COMUNIDAD
COMUNIDAD
COMUNIDAD
COMUNIDAD
COMUNIDAD
COMUNIDAD
COMUNIDAD
COMUNIDAD
COMUNIDAD
COMUNIDAD
COMUNIDAD
COMUNIDAD
COMUNIDAD
COMUNIDAD
COMUNIDAD
COMUNIDAD
COMUNIDAD
COMUNIDAD
COMUNIDAD
COMUNIDAD
COMUNIDAD
COMUNIDAD
COMUNIDAD
COMUNIDAD
COMUNIDAD
COMUNIDAD
COMUNIDAD
COMUNIDAD
COMUNIDAD
COMUNIDAD
COMUNIDAD
COMUNIDAD
COMUNIDAD
COMUNIDAD
COMUNIDAD
COMUNIDAD
COMUNIDAD
COMUNIDAD
COMUNIDAD
COMUNIDAD
COMUNIDAD
COMUNIDAD
COMUNIDAD
COMUNIDAD
COMUNIDAD
COMUNIDAD
COMUNIDAD
COMUNIDAD
COMUNIDAD
COMUNIDAD
COMUNIDAD
COMUNIDAD
COMUNIDAD
COMUNIDAD
COMUNIDAD
COMUNIDAD
COMUNIDAD
COMUNIDAD
COMUNIDAD
COMUNIDAD
COMUNIDAD
COMUNIDAD
COMUNIDAD
COMUNIDAD
COMUNIDAD
COMUNIDAD
COMUNIDAD
COMUNIDAD
COMUNIDAD
COMUNIDAD
COMUNIDAD
COMUNIDAD
COMUNIDAD
COMUNIDAD
COMUNIDAD
COMUNIDAD
COMUNIDAD
COMUNIDAD
COMUNIDAD
COMUNIDAD
COMUNIDAD
COMUNIDAD
COMUNIDAD
COMUNIDAD
COMUNIDAD
COMUNIDAD
COMUNIDAD
COMUNIDAD
COMUNIDAD
COMUNIDAD
COMUNIDAD
COMUNIDAD
COMUNIDAD
COMUNIDAD
COMUNIDAD
COMUNIDAD
COMUNIDAD
COMUNIDAD
COMUNIDAD
COMUNIDAD
COMUNIDAD
COMUNIDAD
COMUNIDAD
COMUNIDAD
COMUNIDAD
COMUNIDAD
COMUNIDAD
COMUNIDAD
COMUNIDAD
COMUNIDAD
COMUNIDAD
COMUNIDAD
COMUNIDAD
COMUNIDAD
COMUNIDAD
COMUNIDAD
COMUNIDAD
COMUNIDAD
COMUNIDAD
COMUNIDAD
COMUNIDAD
COMUNIDAD
COMUNIDAD
COMUNIDAD
COMUNIDAD
COMUNIDAD
COMUNIDAD
COMUNIDAD
COMUNIDAD
COMUNIDAD
COMUNIDAD
COMUNIDAD
COMUNIDAD
COMUNIDAD
COMUNIDAD
COMUNIDAD
COMUNIDAD
COMUNIDAD
COMUNIDAD
COMUNIDAD
COMUNIDAD
COMUNIDAD
COMUNIDAD
COMUNIDAD
COMUNIDAD
COMUNIDAD
COMUNIDAD
COMUNIDAD
COMUNIDAD
COMUNIDAD
COMUNIDAD
COMUNIDAD
COMUNIDAD
COMUNIDAD
COMUNIDAD
COMUNIDAD
COMUNIDAD
COMUNIDAD
COMUNIDAD
COMUNIDAD
COMUNIDAD
COMUNIDAD
COMUNIDAD
COMUNIDAD
COMUNIDAD
COMUNIDAD
COMUNIDAD
COMUNIDAD
COMUNIDAD
COMUNIDAD
COMUNIDAD
COMUNIDAD
COMUNIDAD
COMUNIDAD
COMUNIDAD
COMUNIDAD
COMUNIDAD
COMUNIDAD
COMUNIDAD
COMUNIDAD
COMUNIDAD
COMUNIDAD
COMUNIDAD
COMUNIDAD
COMUNIDAD
COMUNIDAD
COMUNIDAD
COMUNIDAD
COMUNIDAD
COMUNIDAD
COMUNIDAD
COMUNIDAD
COMUNIDAD
COMUNIDAD
COMUNIDAD
COMUNIDAD
COMUNIDAD
COMUNIDAD
COMUNIDAD
COMUNIDAD
COMUNIDAD
COMUNIDAD
COMUNIDAD
COMUNIDAD
COMUNIDAD
COMUNIDAD
COMUNIDAD
COMUNIDAD
COMUNIDAD
COMUNIDAD
COMUNIDAD
COMUNIDAD
COMUNIDAD
COMUNIDAD
COMUNIDAD
COMUNIDAD
COMUNIDAD
COMUNIDAD
COMUNIDAD
COMUNIDAD
COMUNIDAD
COMUNIDAD
COMUNIDAD
COMUNIDAD
COMUNIDAD
COMUNIDAD
COMUNIDAD
COMUNIDAD
COMUNIDAD
COMUNIDAD
COMUNIDAD
COMUNIDAD
COMUNIDAD
COMUNIDAD
COMUNIDAD
COMUNIDAD
COMUNIDAD
COMUNIDAD
COMUNIDAD
COMUNIDAD
COMUNIDAD
COMUNIDAD
COMUNIDAD
COMUNIDAD
COMUNIDAD
COMUNIDAD
COMUNIDAD
COMUNIDAD
COMUNIDAD
COMUNIDAD
COMUNIDAD
COMUNIDAD
COMUNIDAD
COMUNIDAD
COMUNIDAD
COMUNIDAD
COMUNIDAD
COMUNIDAD
COMUNIDAD
COMUNIDAD
COMUNIDAD
COMUNIDAD
COMUNIDAD
COMUNIDAD
COMUNIDAD
COMUNIDAD
COMUNIDAD
COMUNIDAD
COMUNIDAD
COMUNIDAD
COMUNIDAD
COMUNIDAD
COMUNIDAD
COMUNIDAD
COMUNIDAD
COMUNIDAD
COMUNIDAD
COMUNIDAD
COMUNIDAD
COMUNIDAD
COMUNIDAD
COMUNIDAD
COMUNIDAD
COMUNIDAD
COMUNIDAD
COMUNIDAD
COMUNIDAD
COMUNIDAD
COMUNIDAD
COMUNIDAD
COMUNIDAD
COMUNIDAD
COMUNIDAD
COMUNIDAD
COMUNIDAD
COMUNIDAD
COMUNIDAD
COMUNIDAD
COMUNIDAD
COMUNIDAD
COMUNIDAD
COMUNIDAD
COMUNIDAD
COMUNIDAD
COMUNIDAD
COMUNIDAD
COMUNIDAD
COMUNIDAD
COMUNIDAD
COMUNIDAD
COMUNIDAD
COMUNIDAD
COMUNIDAD
COMUNIDAD
COMUNIDAD
COMUNIDAD
COMUNIDAD
COMUNIDAD
COMUNIDAD
COMUNIDAD
COMUNIDAD
COMUNIDAD
COMUNIDAD
COMUNIDAD
COMUNIDAD
COMUNIDAD
COMUNIDAD
COMUNIDAD
COMUNIDAD
COMUNIDAD
COMUNIDAD
COMUNIDAD
COMUNIDAD
COMUNIDAD
COMUNIDAD
COMUNIDAD
COMUNIDAD
COMUNIDAD
COMUNIDAD
COMUNIDAD
COMUNIDAD
COMUNIDAD
COMUNIDAD
COMUNIDAD
COMUNIDAD
COMUNIDAD
COMUNIDAD
COMUNIDAD
COMUNIDAD
COMUNIDAD
COMUNIDAD
COMUNIDAD
COMUNIDAD
COMUNIDAD
COMUNIDAD
COMUNIDAD
COMUNIDAD
COMUNIDAD
COMUNIDAD
COMUNIDAD
COMUNIDAD
COMUNIDAD
COMUNIDAD
COMUNIDAD
COMUNIDAD
COMUNIDAD
COMUNIDAD
COMUNIDAD
COMUNIDAD
COMUNIDAD
COMUNIDAD
COMUNIDAD
COMUNIDAD
COMUNIDAD
COMUNIDAD
COMUNIDAD
COMUNIDAD
COMUNIDAD
COMUNIDAD
COMUNIDAD
COMUNIDAD
COMUNIDAD
COMUNIDAD
COMUNIDAD
COMUNIDAD
COMUNIDAD
COMUNIDAD
COMUNIDAD
COMUNIDAD
COMUNIDAD
COMUNIDAD
COMUNIDAD
COMUNIDAD
COMUNIDAD
COMUNIDAD
COMUNIDAD
COMUNIDAD
COMUNIDAD
COMUNIDAD
COMUNIDAD
COMUNIDAD
COMUNIDAD
COMUNIDAD
COMUNIDAD
COMUNIDAD
COMUNIDAD
COMUNIDAD
COMUNIDAD
COMUNIDAD
COMUNIDAD
COMUNIDAD
COMUNIDAD
COMUNIDAD
COMUNIDAD
COMUNIDAD
COMUNIDAD
COMUNIDAD
COMUNIDAD
COMUNIDAD
COMUNIDAD
COMUNIDAD
COMUNIDAD
COMUNIDAD
COMUNIDAD
COMUNIDAD
COMUNIDAD
COMUNIDAD
COMUNIDAD
COMUNIDAD
COMUNIDAD
COMUNIDAD
COMUNIDAD
COMUNIDAD
COMUNIDAD
COMUNIDAD
COMUNIDAD
COMUNIDAD
COMUNIDAD
COMUNIDAD
COMUNIDAD
COMUNIDAD
COMUNIDAD
COMUNIDAD
COMUNIDAD
COMUNIDAD
COMUNIDAD
COMUNIDAD
COMUNIDAD
COMUNIDAD
COMUNIDAD
COMUNIDAD
COMUNIDAD
COMUNIDAD
COMUNIDAD
COMUNIDAD
COMUNIDAD
COMUNIDAD
COMUNIDAD
COMUNIDAD
COMUNIDAD
COMUNIDAD
COMUNIDAD
COMUNIDAD
COMUNIDAD
COMUNIDAD
COMUNIDAD
COMUNIDAD
COMUNIDAD
COMUNIDAD
COMUNIDAD
COMUNIDAD
COMUNIDAD
COMUNIDAD
COMUNIDAD
COMUNIDAD
COMUNIDAD
COMUNIDAD
COMUNIDAD
COMUNIDAD
COMUNIDAD
COMUNIDAD
COMUNIDAD
COMUNIDAD
COMUNIDAD
COMUNIDAD
COMUNIDAD
COMUNIDAD
COMUNIDAD
COMUNIDAD
COMUNIDAD
COMUNIDAD
COMUNIDAD
COMUNIDAD
COMUNIDAD
COMUNIDAD
COMUNIDAD
COMUNIDAD
COMUNIDAD
COMUNIDAD
COMUNIDAD
COMUNIDAD
COMUNIDAD
COMUNIDAD
COMUNIDAD
COMUNIDAD
COMUNIDAD
COMUNIDAD
COMUNIDAD
COMUNIDAD
COMUNIDAD
COMUNIDAD
COMUNIDAD
COMUNIDAD
COMUNIDAD
COMUNIDAD
COMUNIDAD
COMUNIDAD
COMUNIDAD
COMUNIDAD
COMUNIDAD
COMUNIDAD
COMUNIDAD
COMUNIDAD
COMUNIDAD
COMUNIDAD
COMUNIDAD
COMUNIDAD
COMUNIDAD
COMUNIDAD
COMUNIDAD
COMUNIDAD
COMUNIDAD
COMUNIDAD
COMUNIDAD
COMUNIDAD
COMUNIDAD
COMUNIDAD
COMUNIDAD
COMUNIDAD
COMUNIDAD
COMUNIDAD
COMUNIDAD
COMUNIDAD
COMUNIDAD
COMUNIDAD
COMUNIDAD
COMUNIDAD
COMUNIDAD
COMUNIDAD
COMUNIDAD
COMUNIDAD
COMUNIDAD
COMUNIDAD
COMUNIDAD
COMUNIDAD
COMUNIDAD
COMUNIDAD
COMUNIDAD
COMUNIDAD
COMUNIDAD
COMUNIDAD
COMUNIDAD
COMUNIDAD
COMUNIDAD
COMUNIDAD
COMUNIDAD
COMUNIDAD
COMUNIDAD
COMUNIDAD
COMUNIDAD
COMUNIDAD
COMUNIDAD
COMUNIDAD
COMUNIDAD
COMUNIDAD
COMUNIDAD
COMUNIDAD
COMUNIDAD
COMUNIDAD
COMUNIDAD
COMUNIDAD
COMUNIDAD
COMUNIDAD
COMUNIDAD
COMUNIDAD
COMUNIDAD
COMUNIDAD
COMUNIDAD
COMUNIDAD
COMUNIDAD
COMUNIDAD
COMUNIDAD
COMUNIDAD
COMUNIDAD
COMUNIDAD
COMUNIDAD
COMUNIDAD
COMUNIDAD
COMUNIDAD
COMUNIDAD
COMUNIDAD
COMUNIDAD
COMUNIDAD
COMUNIDAD
COMUNIDAD
COMUNIDAD
COMUNIDAD
COMUNIDAD
COMUNIDAD
COMUNIDAD
COMUNIDAD
COMUNIDAD
COMUNIDAD
COMUNIDAD
COMUNIDAD
COMUNIDAD
COMUNIDAD
COMUNIDAD
COMUNIDAD
COMUNIDAD
COMUNIDAD
COMUNIDAD
COMUNIDAD
COMUNIDAD
COMUNIDAD
COMUNIDAD
COMUNIDAD
COMUNIDAD
COMUNIDAD
COMUNIDAD
COMUNIDAD
COMUNIDAD
COMUNIDAD
COMUNIDAD
COMUNIDAD
COMUNIDAD
COMUNIDAD
COMUNIDAD
COMUNIDAD
COMUNIDAD
COMUNIDAD
COMUNIDAD
COMUNIDAD
COMUNIDAD
COMUNIDAD
COMUNIDAD
COMUNIDAD
COMUNIDAD
COMUNIDAD
COMUNIDAD
COMUNIDAD
COMUNIDAD
COMUNIDAD
COMUNIDAD
COMUNIDAD
COMUNIDAD
COMUNIDAD
COMUNIDAD
COMUNIDAD
COMUNIDAD
COMUNIDAD
COMUNIDAD
COMUNIDAD
COMUNIDAD
COMUNIDAD
COMUNIDAD
COMUNIDAD
COMUNIDAD
COMUNIDAD
COMUNIDAD
COMUNIDAD
COMUNIDAD
COMUNIDAD
COMUNIDAD
COMUNIDAD
COMUNIDAD
COMUNIDAD
COMUNIDAD
COMUNIDAD
COMUNIDAD
COMUNIDAD
COMUNIDAD
COMUNIDAD
COMUNIDAD
COMUNIDAD
COMUNIDAD
COMUNIDAD
COMUNIDAD
COMUNIDAD
COMUNIDAD
COMUNIDAD
COMUNIDAD
COMUNIDAD
COMUNIDAD
COMUNIDAD
COMUNIDAD
COMUNIDAD
COMUNIDAD
COMUNIDAD
COMUNIDAD
COMUNIDAD
COMUNIDAD
COMUNIDAD
COMUNIDAD
COMUNIDAD
COMUNIDAD
COMUNIDAD
COMUNIDAD
COMUNIDAD
COMUNIDAD
COMUNIDAD
COMUNIDAD
COMUNIDAD
COMUNIDAD
COMUNIDAD
COMUNIDAD
COMUNIDAD
COMUNIDAD
COMUNIDAD
COMUNIDAD
COMUNIDAD
COMUNIDAD
COMUNIDAD
COMUNIDAD
COMUNIDAD
COMUNIDAD
COMUNIDAD
COMUNIDAD
COMUNIDAD
COMUNIDAD
COMUNIDAD
COMUNIDAD
COMUNIDAD
COMUNIDAD
COMUNIDAD
COMUNIDAD
COMUNIDAD
COMUNIDAD
COMUNIDAD
COMUNIDAD
COMUNIDAD
COMUNIDAD
COMUNIDAD
COMUNIDAD
COMUNIDAD
COMUNIDAD
COMUNIDAD
COMUNIDAD
COMUNIDAD
COMUNIDAD
COMUNIDAD
COMUNIDAD
COMUNIDAD
COMUNIDAD
COMUNIDAD
COMUNIDAD
COMUNIDAD
COMUNIDAD
COMUNIDAD
COMUNIDAD
COMUNIDAD
COMUNIDAD
COMUNIDAD
COMUNIDAD
COMUNIDAD
COMUNIDAD
COMUNIDAD
COMUNIDAD
COMUNIDAD
COMUNIDAD
COMUNIDAD
COMUNIDAD
COMUNIDAD
COMUNIDAD
COMUNIDAD
COMUNIDAD
COMUNIDAD
COMUNIDAD
COMUNIDAD
COMUNIDAD
COMUNIDAD
COMUNIDAD
COMUNIDAD
COMUNIDAD
COMUNIDAD
COMUNIDAD
COMUNIDAD
COMUNIDAD
COMUNIDAD
COMUNIDAD
COMUNIDAD
COMUNIDAD
COMUNIDAD
COMUNIDAD
COMUNIDAD
COMUNIDAD
COMUNIDAD
COMUNIDAD
COMUNIDAD
COMUNIDAD
COMUNIDAD
COMUNIDAD
COMUNIDAD
COMUNIDAD
COMUNIDAD
COMUNIDAD
COMUNIDAD
COMUNIDAD
COMUNIDAD
COMUNIDAD
COMUNIDAD
COMUNIDAD
COMUNIDAD
COMUNIDAD
COMUNIDAD
COMUNIDAD
COMUNIDAD
COMUNIDAD
COMUNIDAD
COMUNIDAD
COMUNIDAD
COMUNIDAD
COMUNIDAD
COMUNIDAD
COMUNIDAD
COMUNIDAD
COMUNIDAD
COMUNIDAD
COMUNIDAD
COMUNIDAD
COMUNIDAD
COMUNIDAD
COMUNIDAD
COMUNIDAD
COMUNIDAD
COMUNIDAD
COMUNIDAD
COMUNIDAD
COMUNIDAD
COMUNIDAD
COMUNIDAD
COMUNIDAD
COMUNIDAD
COMUNIDAD
COMUNIDAD
COMUNIDAD
COMUNIDAD
COMUNIDAD
COMUNIDAD
COMUNIDAD
COMUNIDAD
COMUNIDAD
COMUNIDAD
COMUNIDAD
COMUNIDAD
COMUNIDAD
COMUNIDAD
COMUNIDAD
COMUNIDAD
COMUNIDAD
COMUNIDAD
COMUNIDAD
COMUNIDAD
COMUNIDAD
COMUNIDAD
COMUNIDAD
COMUNIDAD
COMUNIDAD
COMUNIDAD
COMUNIDAD
COMUNIDAD
COMUNIDAD
COMUNIDAD
COMUNIDAD
COMUNIDAD
COMUNIDAD
COMUNIDAD
COMUNIDAD
COMUNIDAD
COMUNIDAD
COMUNIDAD
COMUNIDAD
COMUNIDAD
COMUNIDAD
COMUNIDAD
COMUNIDAD
COMUNIDAD
COMUNIDAD
COMUNIDAD
COMUNIDAD
COMUNIDAD
COMUNIDAD
COMUNIDAD
COMUNIDAD
COMUNIDAD
COMUNIDAD
COMUNIDAD
COMUNIDAD
COMUNIDAD
COMUNIDAD
COMUNIDAD
COMUNIDAD
COMUNIDAD
COMUNIDAD
COMUNIDAD
COMUNIDAD
COMUNIDAD
COMUNIDAD
COMUNIDAD
COMUNIDAD
COMUNIDAD
COMUNIDAD
COMUNIDAD
COMUNIDAD
COMUNIDAD
COMUNIDAD
COMUNIDAD
COMUNIDAD
COMUNIDAD
COMUNIDAD
COMUNIDAD
COMUNIDAD
COMUNIDAD
COMUNIDAD
COMUNIDAD
COMUNIDAD
COMUNIDAD
COMUNIDAD
COMUNIDAD
COMUNIDAD
COMUNIDAD
COMUNIDAD
COMUNIDAD
COMUNIDAD
COMUNIDAD
COMUNIDAD
COMUNIDAD
COMUNIDAD
COMUNIDAD
COMUNIDAD
COMUNIDAD
COMUNIDAD
COMUNIDAD
COMUNIDAD
COMUNIDAD
COMUNIDAD
COMUNIDAD
COMUNIDAD
COMUNIDAD
COMUNIDAD
COMUNIDAD
COMUNIDAD
COMUNIDAD
COMUNIDAD
COMUNIDAD
COMUNIDAD
COMUNIDAD
COMUNIDAD
COMUNIDAD
COMUNIDAD
COMUNIDAD
COMUNIDAD
COMUNIDAD
COMUNIDAD
COMUNIDAD
COMUNIDAD
COMUNIDAD
COMUNIDAD
COMUNIDAD
COMUNIDAD
COMUNIDAD
COMUNIDAD
COMUNIDAD
COMUNIDAD
COMUNIDAD
COMUNIDAD
COMUNIDAD
COMUNIDAD
COMUNIDAD
COMUNIDAD
COMUNIDAD
COMUNIDAD
COMUNIDAD
COMUNIDAD
COMUNIDAD
COMUNIDAD
COMUNIDAD
COMUNIDAD
COMUNIDAD
COMUNIDAD
COMUNIDAD
COMUNIDAD
COMUNIDAD
COMUNIDAD
COMUNIDAD
COMUNIDAD
COMUNIDAD
COMUNIDAD
COMUNIDAD
COMUNIDAD
COMUNIDAD
COMUNIDAD
COMUNIDAD
COMUNIDAD
COMUNIDAD
COMUNIDAD
COMUNIDAD
COMUNIDAD
COMUNIDAD
COMUNIDAD
COMUNIDAD
COMUNIDAD
COMUNIDAD
COMUNIDAD
COMUNIDAD
COMUNIDAD
COMUNIDAD
COMUNIDAD
COMUNIDAD
COMUNIDAD
COMUNIDAD
COMUNIDAD
COMUNIDAD
COMUNIDAD
COMUNIDAD
COMUNIDAD
COMUNIDAD
COMUNIDAD
COMUNIDAD
COMUNIDAD
COMUNIDAD
COMUNIDAD
COMUNIDAD
COMUNIDAD
COMUNIDAD
COMUNIDAD
COMUNIDAD
COMUNIDAD
COMUNIDAD
COMUNIDAD
COMUNIDAD
COMUNIDAD
COMUNIDAD
COMUNIDAD
COMUNIDAD
COMUNIDAD
COMUNIDAD
COMUNIDAD
COMUNIDAD
COMUNIDAD
COMUNIDAD
COMUNIDAD
COMUNIDAD
COMUNIDAD
COMUNIDAD
COMUNIDAD
COMUNIDAD
COMUNIDAD
COMUNIDAD
COMUNIDAD
COMUNIDAD
COMUNIDAD
COMUNIDAD
COMUNIDAD
COMUNIDAD
COMUNIDAD
COMUNIDAD
COMUNIDAD
COMUNIDAD
COMUNIDAD
COMUNIDAD
COMUNIDAD
COMUNIDAD
COMUNIDAD
COMUNIDAD
COMUNIDAD
COMUNIDAD
COMUNIDAD
COMUNIDAD
COMUNIDAD
COMUNIDAD
COMUNIDAD
COMUNIDAD
COMUNIDAD
COMUNIDAD
COMUNIDAD
COMUNIDAD
COMUNIDAD
COMUNIDAD
COMUNIDAD
COMUNIDAD
COMUNIDAD
COMUNIDAD
COMUNIDAD
COMUNIDAD
COMUNIDAD
COMUNIDAD
COMUNIDAD
COMUNIDAD
COMUNIDAD
COMUNIDAD
COMUNIDAD
COMUNIDAD
COMUNIDAD
COMUNIDAD
COMUNIDAD
COMUNIDAD
COMUNIDAD
COMUNIDAD
COMUNIDAD
COMUNIDAD
COMUNIDAD
COMUNIDAD
COMUNIDAD
COMUNIDAD
COMUNIDAD
COMUNIDAD
COMUNIDAD
COMUNIDAD
COMUNIDAD
COMUNIDAD
COMUNIDAD
COMUNIDAD
COMUNIDAD
COMUNIDAD
COMUNIDAD
COMUNIDAD
COMUNIDAD
COMUNIDAD
COMUNIDAD
COMUNIDAD
COMUNIDAD
COMUNIDAD
COMUNIDAD
COMUNIDAD
COMUNIDAD
COMUNIDAD
COMUNIDAD
COMUNIDAD
COMUNIDAD
COMUNIDAD
COMUNIDAD
COMUNIDAD
COMUNIDAD
COMUNIDAD
COMUNIDAD
COMUNIDAD
COMUNIDAD
COMUNIDAD
COMUNIDAD
COMUNIDAD
COMUNIDAD
COMUNIDAD
COMUNIDAD
COMUNIDAD
COMUNIDAD
COMUNIDAD
COMUNIDAD
COMUNIDAD
COMUNIDAD
COMUNIDAD
COMUNIDAD
COMUNIDAD
COMUNIDAD
COMUNIDAD
COMUNIDAD
COMUNIDAD
COMUNIDAD
COMUNIDAD
COMUNIDAD
COMUNIDAD
COMUNIDAD
COMUNIDAD
COMUNIDAD
COMUNIDAD
COMUNIDAD
COMUNIDAD
COMUNIDAD
COMUNIDAD
COMUNIDAD
COMUNIDAD
COMUNIDAD
COMUNIDAD
COMUNIDAD
COMUNIDAD
COMUNIDAD
COMUNIDAD
COMUNIDAD
COMUNIDAD
COMUNIDAD
COMUNIDAD
COMUNIDAD
COMUNIDAD
COMUNIDAD
COMUNIDAD
COMUNIDAD
COMUNIDAD
COMUNIDAD
COMUNIDAD
COMUNIDAD
COMUNIDAD
COMUNIDAD
COMUNIDAD
COMUNIDAD
COMUNIDAD
COMUNIDAD
COMUNIDAD
COMUNIDAD
COMUNIDAD
COMUNIDAD
COMUNIDAD
COMUNIDAD
COMUNIDAD
COMUNIDAD
COMUNIDAD
COMUNIDAD
COMUNIDAD
COMUNIDAD
COMUNIDAD
COMUNIDAD
COMUNIDAD
COMUNIDAD
COMUNIDAD
COMUNIDAD
COMUNIDAD
COMUNIDAD
COMUNIDAD
COMUNIDAD
COMUNIDAD
COMUNIDAD
COMUNIDAD
COMUNIDAD
COMUNIDAD
COMUNIDAD
COMUNIDAD
COMUNIDAD
COMUNIDAD
COMUNIDAD
COMUNIDAD
COMUNIDAD
COMUNIDAD
COMUNIDAD
COMUNIDAD
COMUNIDAD
COMUNIDAD
COMUNIDAD
COMUNIDAD
COMUNIDAD
COMUNIDAD
COMUNIDAD
COMUNIDAD
COMUNIDAD
COMUNIDAD
COMUNIDAD
COMUNIDAD
COMUNIDAD
COMUNIDAD
COMUNIDAD
COMUNIDAD
COMUNIDAD
COMUNIDAD
COMUNIDAD
COMUNIDAD
COMUNIDAD
COMUNIDAD
COMUNIDAD
COMUNIDAD
COMUNIDAD
COMUNIDAD
COMUNIDAD
COMUNIDAD
COMUNIDAD
COMUNIDAD
COMUNIDAD
COMUNIDAD
COMUNIDAD
COMUNIDAD
COMUNIDAD
COMUNIDAD
COMUNIDAD
COMUNIDAD
COMUNIDAD
COMUNIDAD
COMUNIDAD
COMUNIDAD
COMUNIDAD
COMUNIDAD
COMUNIDAD
COMUNIDAD
COMUNIDAD
COMUNIDAD
COMUNIDAD
COMUNIDAD
COMUNIDAD
COMUNIDAD
COMUNIDAD
COMUNIDAD
COMUNIDAD
COMUNIDAD
COMUNIDAD
COMUNIDAD
COMUNIDAD
COMUNIDAD
COMUNIDAD
COMUNIDAD
COMUNIDAD
COMUNIDAD
COMUNIDAD
COMUNIDAD
COMUNIDAD
COMUNIDAD
COMUNIDAD
COMUNIDAD
COMUNIDAD
COMUNIDAD
COMUNIDAD
COMUNIDAD
COMUNIDAD
COMUNIDAD
COMUNIDAD
COMUNIDAD
COMUNIDAD
COMUNIDAD
COMUNIDAD
COMUNIDAD
COMUNIDAD
COMUNIDAD
COMUNIDAD
COMUNIDAD
COMUNIDAD
COMUNIDAD
COMUNIDAD
COMUNIDAD
COMUNIDAD
COMUNIDAD
COMUNIDAD
COMUNIDAD
COMUNIDAD
COMUNIDAD
COMUNIDAD
COMUNIDAD
COMUNIDAD
COMUNIDAD
COMUNIDAD
COMUNIDAD
COMUNIDAD
COMUNIDAD
COMUNIDAD
COMUNIDAD
COMUNIDAD
COMUNIDAD
COMUNIDAD
COMUNIDAD
COMUNIDAD
COMUNIDAD
COMUNIDAD
COMUNIDAD
COMUNIDAD
COMUNIDAD
COMUNIDAD
COMUNIDAD
COMUNIDAD
COMUNIDAD
COMUNIDAD
COMUNIDAD
COMUNIDAD
COMUNIDAD
COMUNIDAD
COMUNIDAD
COMUNIDAD
COMUNIDAD
COMUNIDAD
COMUNIDAD
COMUNIDAD
COMUNIDAD
COMUNIDAD
COMUNIDAD
COMUNIDAD
COMUNIDAD
COMUNIDAD
COMUNIDAD
COMUNIDAD
COMUNIDAD
COMUNIDAD
COMUNIDAD
COMUNIDAD
COMUNIDAD
COMUNIDAD
COMUNIDAD
COMUNIDAD
COMUNIDAD
COMUNIDAD
COMUNIDAD
COMUNIDAD
COMUNIDAD
COMUNIDAD
COMUNIDAD
COMUNIDAD
COMUNIDAD
COMUNIDAD
COMUNIDAD
COMUNIDAD
COMUNIDAD
COMUNIDAD
COMUNIDAD
COMUNIDAD
COMUNIDAD
COMUNIDAD
COMUNIDAD
COMUNIDAD
COMUNIDAD
COMUNIDAD
COMUNIDAD
COMUNIDAD
COMUNIDAD
COMUNIDAD
COMUNIDAD
COMUNIDAD
COMUNIDAD
COMUNIDAD
COMUNIDAD
COMUNIDAD
COMUNIDAD
COMUNIDAD
COMUNIDAD
COMUNIDAD
COMUNIDAD
COMUNIDAD
COMUNIDAD
COMUNIDAD
COMUNIDAD
COMUNIDAD
COMUNIDAD
COMUNIDAD
COMUNIDAD
COMUNIDAD
COMUNIDAD
COMUNIDAD
COMUNIDAD
COMUNIDAD
COMUNIDAD
COMUNIDAD
COMUNIDAD
COMUNIDAD
COMUNIDAD
COMUNIDAD
COMUNIDAD
COMUNIDAD
COMUNIDAD
COMUNIDAD
COMUNIDAD
COMUNIDAD
COMUNIDAD
COMUNIDAD
COMUNIDAD
COMUNIDAD
COMUNIDAD
COMUNIDAD
COMUNIDAD
COMUNIDAD
COMUNIDAD
COMUNIDAD
COMUNIDAD
COMUNIDAD
COMUNIDAD
COMUNIDAD
COMUNIDAD
COMUNIDAD
COMUNIDAD
COMUNIDAD
COMUNIDAD
COMUNIDAD
COMUNIDAD
COMUNIDAD
COMUNIDAD
COMUNIDAD
COMUNIDAD
COMUNIDAD
COMUNIDAD
COMUNIDAD
COMUNIDAD
COMUNIDAD
COMUNIDAD
COMUNIDAD
COMUNIDAD
COMUNIDAD
COMUNIDAD
COMUNIDAD
COMUNIDAD
COMUNIDAD
COMUNIDAD
COMUNIDAD
COMUNIDAD
COMUNIDAD
COMUNIDAD
COMUNIDAD
COMUNIDAD
COMUNIDAD
COMUNIDAD
COMUNIDAD
COMUNIDAD
COMUNIDAD
COMUNIDAD
COMUNIDAD
COMUNIDAD
COMUNIDAD
COMUNIDAD
COMUNIDAD
COMUNIDAD
COMUNIDAD
COMUNIDAD
COMUNIDAD
COMUNIDAD
COMUNIDAD
COMUNIDAD
COMUNIDAD
COMUNIDAD
COMUNIDAD
COMUNIDAD
COMUNIDAD
COMUNIDAD
COMUNIDAD
COMUNIDAD
COMUNIDAD
COMUNIDAD
COMUNIDAD
COMUNIDAD
COMUNIDAD
COMUNIDAD
COMUNIDAD
COMUNIDAD
COMUNIDAD
COMUNIDAD
COMUNIDAD
COMUNIDAD
COMUNIDAD
COMUNIDAD
COMUNIDAD
COMUNIDAD
COMUNIDAD
COMUNIDAD
COMUNIDAD
COMUNIDAD
COMUNIDAD
COMUNIDAD
COMUNIDAD
COMUNIDAD
COMUNIDAD
COMUNIDAD
COMUNIDAD
COMUNIDAD
COMUNIDAD
COMUNIDAD
COMUNIDAD
COMUNIDAD
COMUNIDAD
COMUNIDAD
COMUNIDAD
COMUNIDAD
COMUNIDAD
COMUNIDAD
COMUNIDAD
COMUNIDAD
COMUNIDAD
COMUNIDAD
COMUNIDAD
COMUNIDAD
COMUNIDAD
COMUNIDAD
COMUNIDAD
COMUNIDAD
COMUNIDAD
COMUNIDAD
COMUNIDAD
COMUNIDAD
COMUNIDAD
COMUNIDAD
COMUNIDAD
COMUNIDAD
COMUNIDAD
COMUNIDAD
COMUNIDAD
COMUNIDAD
COMUNIDAD
COMUNIDAD
COMUNIDAD
COMUNIDAD
COMUNIDAD
COMUNIDAD
COMUNIDAD
COMUNIDAD
COMUNIDAD
COMUNIDAD
COMUNIDAD
COMUNIDAD
COMUNIDAD
COMUNIDAD
COMUNIDAD
COMUNIDAD
COMUNIDAD
COMUNIDAD
COMUNIDAD
COMUNIDAD
COMUNIDAD
COMUNIDAD
COMUNIDAD
COMUNIDAD
COMUNIDAD
COMUNIDAD
COMUNIDAD
COMUNIDAD
COMUNIDAD
COMUNIDAD
COMUNIDAD
COMUNIDAD
COMUNIDAD
COMUNIDAD
COMUNIDAD
COMUNIDAD
COMUNIDAD
COMUNIDAD
COMUNIDAD
COMUNIDAD
COMUNIDAD
COMUNIDAD
COMUNIDAD
COMUNIDAD
COMUNIDAD
COMUNIDAD
COMUNIDAD
COMUNIDAD
COMUNIDAD
COMUNIDAD
COMUNIDAD
COMUNIDAD
COMUNIDAD
COMUNIDAD
COMUNIDAD
COMUNIDAD
COMUNIDAD
COMUNIDAD
COMUNIDAD
COMUNIDAD
COMUNIDAD
COMUNIDAD
COMUNIDAD
COMUNIDAD
COMUNIDAD
COMUNIDAD
COMUNIDAD
COMUNIDAD
COMUNIDAD
COMUNIDAD
COMUNIDAD
COMUNIDAD
COMUNIDAD
COMUNIDAD
COMUNIDAD
COMUNIDAD
COMUNIDAD
COMUNIDAD
COMUNIDAD
COMUNIDAD
COMUNIDAD
COMUNIDAD
COMUNIDAD
COMUNIDAD
COMUNIDAD
COMUNIDAD
COMUNIDAD
COMUNIDAD
COMUNIDAD
COMUNIDAD
COMUNIDAD
COMUNIDAD
COMUNIDAD
COMUNIDAD
COMUNIDAD
COMUNIDAD
COMUNIDAD
COMUNIDAD
COMUNIDAD
COMUNIDAD
COMUNIDAD
COMUNIDAD
COMUNIDAD
COMUNIDAD
COMUNIDAD
COMUNIDAD
COMUNIDAD
COMUNIDAD
COMUNIDAD
COMUNIDAD
COMUNIDAD
COMUNIDAD
COMUNIDAD
COMUNIDAD
COMUNIDAD
COMUNIDAD
COMUNIDAD
COMUNIDAD
COMUNIDAD
COMUNIDAD
COMUNIDAD
COMUNIDAD
COMUNIDAD
COMUNIDAD
COMUNIDAD
COMUNIDAD
COMUNIDAD
COMUNIDAD
COMUNIDAD
COMUNIDAD
COMUNIDAD
COMUNIDAD
COMUNIDAD
COMUNIDAD
COMUNIDAD
COMUNIDAD
COMUNIDAD
COMUNIDAD
COMUNIDAD
COMUNIDAD
COMUNIDAD
COMUNIDAD
COMUNIDAD
COMUNIDAD
COMUNIDAD
COMUNIDAD
COMUNIDAD
COMUNIDAD
COMUNIDAD
COMUNIDAD
COMUNIDAD
COMUNIDAD
COMUNIDAD
COMUNIDAD
COMUNIDAD
COMUNIDAD
COMUNIDAD
COMUNIDAD
COMUNIDAD
COMUNIDAD
COMUNIDAD
COMUNIDAD
COMUNIDAD
COMUNIDAD
COMUNIDAD
COMUNIDAD
COMUNIDAD
COMUNIDAD
COMUNIDAD
COMUNIDAD
COMUNIDAD
COMUNIDAD
COMUNIDAD
COMUNIDAD
COMUNIDAD
COMUNIDAD
COMUNIDAD
COMUNIDAD
COMUNIDAD
COMUNIDAD
COMUNIDAD
COMUNIDAD
COMUNIDAD
COMUNIDAD
COMUNIDAD
COMUNIDAD
COMUNIDAD
COMUNIDAD
COMUNIDAD
COMUNIDAD
COMUNIDAD
COMUNIDAD
COMUNIDAD
COMUNIDAD
COMUNIDAD
COMUNIDAD
COMUNIDAD
COMUNIDAD
COMUNIDAD
COMUNIDAD
COMUNIDAD
COMUNIDAD
COMUNIDAD
COMUNIDAD
COMUNIDAD
COMUNIDAD
COMUNIDAD
COMUNIDAD
COMUNIDAD
COMUNIDAD
COMUNIDAD
COMUNIDAD
COMUNIDAD
COMUNIDAD
COMUNIDAD
COMUNIDAD
COMUNIDAD
COMUNIDAD
COMUNIDAD
COMUNIDAD
COMUNIDAD
COMUNIDAD
COMUNIDAD
COMUNIDAD
COMUNIDAD
COMUNIDAD
COMUNIDAD
COMUNIDAD
COMUNIDAD
COMUNIDAD
COMUNIDAD
COMUNIDAD
COMUNIDAD
COMUNIDAD
COMUNIDAD
COMUNIDAD
COMUNIDAD
COMUNIDAD
COMUNIDAD
COMUNIDAD
COMUNIDAD
COMUNIDAD
COMUNIDAD
COMUNIDAD
COMUNIDAD
COMUNIDAD
COMUNIDAD
COMUNIDAD
COMUNIDAD
COMUNIDAD
COMUNIDAD
COMUNIDAD
COMUNIDAD
COMUNIDAD
COMUNIDAD
COMUNIDAD
COMUNIDAD
COMUNIDAD
COMUNIDAD
COMUNIDAD
COMUNIDAD
COMUNIDAD
COMUNIDAD
COMUNIDAD
COMUNIDAD
COMUNIDAD
COMUNIDAD
COMUNIDAD
COMUNIDAD
COMUNIDAD
COMUNIDAD
COMUNIDAD
COMUNIDAD
COMUNIDAD
COMUNIDAD
COMUNIDAD
COMUNIDAD
COMUNIDAD
COMUNIDAD
COMUNIDAD
COMUNIDAD
COMUNIDAD
COMUNIDAD
COMUNIDAD
COMUNIDAD
COMUNIDAD
COMUNIDAD
COMUNIDAD
COMUNIDAD
COMUNIDAD
COMUNIDAD
COMUNIDAD
COMUNIDAD
COMUNIDAD
COMUNIDAD
COMUNIDAD
COMUNIDAD
COMUNIDAD
COMUNIDAD
COMUNIDAD
COMUNIDAD
COMUNIDAD
COMUNIDAD
COMUNIDAD
COMUNIDAD
COMUNIDAD
COMUNIDAD
COMUNIDAD
COMUNIDAD
COMUNIDAD
COMUNIDAD
COMUNIDAD
COMUNIDAD
COMUNIDAD
COMUNIDAD
COMUNIDAD
COMUNIDAD
COMUNIDAD
COMUNIDAD
COMUNIDAD
COMUNIDAD
COMUNIDAD
COMUNIDAD
COMUNIDAD
COMUNIDAD
COMUNIDAD
COMUNIDAD
COMUNIDAD
COMUNIDAD
COMUNIDAD
COMUNIDAD
COMUNIDAD
COMUNIDAD
COMUNIDAD
COMUNIDAD
COMUNIDAD
COMUNIDAD
COMUNIDAD
COMUNIDAD
COMUNIDAD
COMUNIDAD
COMUNIDAD
COMUNIDAD
COMUNIDAD
COMUNIDAD
COMUNIDAD
COMUNIDAD
COMUNIDAD
COMUNIDAD
COMUNIDAD
COMUNIDAD
COMUNIDAD
COMUNIDAD
COMUNIDAD
COMUNIDAD
COMUNIDAD
COMUNIDAD
COMUNIDAD
COMUNIDAD
COMUNIDAD
COMUNIDAD
COMUNIDAD
COMUNIDAD
COMUNIDAD
COMUNIDAD
COMUNIDAD
COMUNIDAD
COMUNIDAD
COMUNIDAD
COMUNIDAD
COMUNIDAD
COMUNIDAD
COMUNIDAD
COMUNIDAD
COMUNIDAD
COMUNIDAD
COMUNIDAD
COMUNIDAD
COMUNIDAD
COMUNIDAD
COMUNIDAD
COMUNIDAD
COMUNIDAD
COMUNIDAD
COMUNIDAD
COMUNIDAD
COMUNIDAD
COMUNIDAD
COMUNIDAD
COMUNIDAD
COMUNIDAD
COMUNIDAD
COMUNIDAD
COMUNIDAD
COMUNIDAD
COMUNIDAD
COMUNIDAD
COMUNIDAD
COMUNIDAD
COMUNIDAD
COMUNIDAD
COMUNIDAD
COMUNIDAD
COMUNIDAD
COMUNIDAD
COMUNIDAD
COMUNIDAD
COMUNIDAD
COMUNIDAD
COMUNIDAD
COMUNIDAD
COMUNIDAD
COMUNIDAD
COMUNIDAD
COMUNIDAD
COMUNIDAD
COMUNIDAD
COMUNIDAD
COMUNIDAD
COMUNIDAD
COMUNIDAD
COMUNIDAD
COMUNIDAD
COMUNIDAD
COMUNIDAD
COMUNIDAD
COMUNIDAD
COMUNIDAD
COMUNIDAD
COMUNIDAD
COMUNIDAD
COMUNIDAD
COMUNIDAD
COMUNIDAD
COMUNIDAD
COMUNIDAD
COMUNIDAD
COMUNIDAD
COMUNIDAD
COMUNIDAD
COMUNIDAD
COMUNIDAD
COMUNIDAD
COMUNIDAD
COMUNIDAD
COMUNIDAD
COMUNIDAD
COMUNIDAD
COMUNIDAD
COMUNIDAD
COMUNIDAD
COMUNIDAD
COMUNIDAD
COMUNIDAD
COMUNIDAD
COMUNIDAD
COMUNIDAD
COMUNIDAD
COMUNIDAD
COMUNIDAD
COMUNIDAD
COMUNIDAD
COMUNIDAD
COMUNIDAD
COMUNIDAD
COMUNIDAD
COMUNIDAD
COMUNIDAD
COMUNIDAD
COMUNIDAD
COMUNIDAD
COMUNIDAD
COMUNIDAD
COMUNIDAD
COMUNIDAD
COMUNIDAD
COMUNIDAD
COMUNIDAD
COMUNIDAD
COMUNIDAD
COMUNIDAD
COMUNIDAD
COMUNIDAD
COMUNIDAD
COMUNIDAD
COMUNIDAD
COMUNIDAD
COMUNIDAD
COMUNIDAD
COMUNIDAD
COMUNIDAD
COMUNIDAD
COMUNIDAD
COMUNIDAD
COMUNIDAD
COMUNIDAD
COMUNIDAD
COMUNIDAD
COMUNIDAD
COMUNIDAD
COMUNIDAD
COMUNIDAD
COMUNIDAD
COMUNIDAD
COMUNIDAD
COMUNIDAD
COMUNIDAD
COMUNIDAD
COMUNIDAD
COMUNIDAD
COMUNIDAD
COMUNIDAD
COMUNIDAD
COMUNIDAD
COMUNIDAD
COMUNIDAD
COMUNIDAD
COMUNIDAD
COMUNIDAD
COMUNIDAD
COMUNIDAD
COMUNIDAD
COMUNIDAD
COMUNIDAD
COMUNIDAD
COMUNIDAD
COMUNIDAD
COMUNIDAD
COMUNIDAD
COMUNIDAD
COMUNIDAD
COMUNIDAD
COMUNIDAD
COMUNIDAD
COMUNIDAD
COMUNIDAD
COMUNIDAD
COMUNIDAD
COMUNIDAD
COMUNIDAD
COMUNIDAD
COMUNIDAD
COMUNIDAD
COMUNIDAD
COMUNIDAD
COMUNIDAD
COMUNIDAD
COMUNIDAD
COMUNIDAD
COMUNIDAD
COMUNIDAD
COMUNIDAD
COMUNIDAD
COMUNIDAD
COMUNIDAD
COMUNIDAD
COMUNIDAD
COMUNIDAD
COMUNIDAD
COMUNIDAD
COMUNIDAD
COMUNIDAD
COMUNIDAD
COMUNIDAD
COMUNIDAD
COMUNIDAD
COMUNIDAD
COMUNIDAD
COMUNIDAD
COMUNIDAD
COMUNIDAD
COMUNIDAD
COMUNIDAD
COMUNIDAD
COMUNIDAD
COMUNIDAD
COMUNIDAD
COMUNIDAD
COMUNIDAD
COMUNIDAD
COMUNIDAD
COMUNIDAD
COMUNIDAD
COMUNIDAD
COMUNIDAD
COMUNIDAD
COMUNIDAD
COMUNIDAD
COMUNIDAD
COMUNIDAD
COMUNIDAD
COMUNIDAD
COMUNIDAD
COMUNIDAD
COMUNIDAD
COMUNIDAD
COMUNIDAD
COMUNIDAD
COMUNIDAD
COMUNIDAD
COMUNIDAD
COMUNIDAD
COMUNIDAD
COMUNIDAD
COMUNIDAD
COMUNIDAD
COMUNIDAD
COMUNIDAD
COMUNIDAD
COMUNIDAD
COMUNIDAD
COMUNIDAD
COMUNIDAD
COMUNIDAD
COMUNIDAD
COMUNIDAD
COMUNIDAD
COMUNIDAD
COMUNIDAD
COMUNIDAD
COMUNIDAD
COMUNIDAD
COMUNIDAD
COMUNIDAD
COMUNIDAD
COMUNIDAD
COMUNIDAD
COMUNIDAD
COMUNIDAD
COMUNIDAD
COMUNIDAD
COMUNIDAD
COMUNIDAD
COMUNIDAD
COMUNIDAD
COMUNIDAD
COMUNIDAD
COMUNIDAD
COMUNIDAD
COMUNIDAD
COMUNIDAD
COMUNIDAD
COMUNIDAD
COMUNIDAD
COMUNIDAD
COMUNIDAD
COMUNIDAD
COMUNIDAD
COMUNIDAD
COMUNIDAD
COMUNIDAD
COMUNIDAD
COMUNIDAD
COMUNIDAD
COMUNIDAD
COMUNIDAD
COMUNIDAD
COMUNIDAD
COMUNIDAD
COMUNIDAD
COMUNIDAD
COMUNIDAD
COMUNIDAD
COMUNIDAD
COMUNIDAD
COMUNIDAD
COMUNIDAD
COMUNIDAD
COMUNIDAD
COMUNIDAD
COMUNIDAD
COMUNIDAD
COMUNIDAD
COMUNIDAD
COMUNIDAD
COMUNIDAD
COMUNIDAD
COMUNIDAD
COMUNIDAD
COMUNIDAD
COMUNIDAD
COMUNIDAD
COMUNIDAD
COMUNIDAD
COMUNIDAD
COMUNIDAD
COMUNIDAD
COMUNIDAD
COMUNIDAD
COMUNIDAD
COMUNIDAD
COMUNIDAD
COMUNIDAD
COMUNIDAD
COMUNIDAD
COMUNIDAD
COMUNIDAD
COMUNIDAD
COMUNIDAD
COMUNIDAD
COMUNIDAD
COMUNIDAD
COMUNIDAD
COMUNIDAD
COMUNIDAD
COMUNIDAD
COMUNIDAD
COMUNIDAD
COMUNIDAD
COMUNIDAD
COMUNIDAD
COMUNIDAD
COMUNIDAD
COMUNIDAD
COMUNIDAD
COMUNIDAD
COMUNIDAD
COMUNIDAD
COMUNIDAD
COMUNIDAD
COMUNIDAD
COMUNIDAD
COMUNIDAD
COMUNIDAD
COMUNIDAD
COMUNIDAD
COMUNIDAD
COMUNIDAD
COMUNIDAD
COMUNIDAD
COMUNIDAD
COMUNIDAD
COMUNIDAD
COMUNIDAD
COMUNIDAD
COMUNIDAD
COMUNIDAD
COMUNIDAD
COMUNIDAD
COMUNIDAD
COMUNIDAD
COMUNIDAD
COMUNIDAD
COMUNIDAD
COMUNIDAD
COMUNIDAD
COMUNIDAD
COMUNIDAD
COMUNIDAD
COMUNIDAD
COMUNIDAD
COMUNIDAD
COMUNIDAD
COMUNIDAD
COMUNIDAD
COMUNIDAD
COMUNIDAD
COMUNIDAD
COMUNIDAD
COMUNIDAD
COMUNIDAD
COMUNIDAD
COMUNIDAD
COMUNIDAD
COMUNIDAD
COMUNIDAD
COMUNIDAD
COMUNIDAD
COMUNIDAD
COMUNIDAD
COMUNIDAD
COMUNIDAD
COMUNIDAD
COMUNIDAD
COMUNIDAD
COMUNIDAD
COMUNIDAD
COMUNIDAD
COMUNIDAD
COMUNIDAD
COMUNIDAD
COMUNIDAD
COMUNIDAD
COMUNIDAD
COMUNIDAD
COMUNIDAD
COMUNIDAD
COMUNIDAD
COMUNIDAD
COMUNIDAD
COMUNIDAD
COMUNIDAD
COMUNIDAD
COMUNIDAD
COMUNIDAD
COMUNIDAD
COMUNIDAD
COMUNIDAD
COMUNIDAD
COMUNIDAD
COMUNIDAD
COMUNIDAD
COMUNIDAD
COMUNIDAD
COMUNIDAD
COMUNIDAD
COMUNIDAD
COMUNIDAD
COMUNIDAD
COMUNIDAD
COMUNIDAD
COMUNIDAD
COMUNIDAD
COMUNIDAD
COMUNIDAD
COMUNIDAD
COMUNIDAD
COMUNIDAD
COMUNIDAD
COMUNIDAD
COMUNIDAD
COMUNIDAD
COMUNIDAD
COMUNIDAD
COMUNIDAD
COMUNIDAD
COMUNIDAD
COMUNIDAD
COMUNIDAD
COMUNIDAD
COMUNIDAD
COMUNIDAD
COMUNIDAD
COMUNIDAD
COMUNIDAD
COMUNIDAD
COMUNIDAD
COMUNIDAD
COMUNIDAD
COMUNIDAD
COMUNIDAD
COMUNIDAD
COMUNIDAD
COMUNIDAD
COMUNIDAD
COMUNIDAD
COMUNIDAD
COMUNIDAD
COMUNIDAD
COMUNIDAD
COMUNIDAD
COMUNIDAD
COMUNIDAD
COMUNIDAD
COMUNIDAD
COMUNIDAD
COMUNIDAD
COMUNIDAD
COMUNIDAD
COMUNIDAD
COMUNIDAD
COMUNIDAD
COMUNIDAD
COMUNIDAD
COMUNIDAD
COMUNIDAD
COMUNIDAD
COMUNIDAD
COMUNIDAD
COMUNIDAD
COMUNIDAD
COMUNIDAD
COMUNIDAD
COMUNIDAD
COMUNIDAD
COMUNIDAD
COMUNIDAD
COMUNIDAD
COMUNIDAD
COMUNIDAD
COMUNIDAD
COMUNIDAD
COMUNIDAD
COMUNIDAD
COMUNIDAD
COMUNIDAD
COMUNIDAD
COMUNIDAD
COMUNIDAD
COMUNIDAD
COMUNIDAD
COMUNIDAD
COMUNIDAD
COMUNIDAD
COMUNIDAD
COMUNIDAD
COMUNIDAD
COMUNIDAD
COMUNIDAD
COMUNIDAD
COMUNIDAD
COMUNIDAD
COMUNIDAD
COMUNIDAD
COMUNIDAD
COMUNIDAD
COMUNIDAD
COMUNIDAD
COMUNIDAD
COMUNIDAD
COMUNIDAD
COMUNIDAD
COMUNIDAD
COMUNIDAD
COMUNIDAD
COMUNIDAD
COMUNIDAD
COMUNIDAD
COMUNIDAD
COMUNIDAD
COMUNIDAD
COMUNIDAD
COMUNIDAD
COMUNIDAD
COMUNIDAD
COMUNIDAD
COMUNIDAD
COMUNIDAD
COMUNIDAD
COMUNIDAD
COMUNIDAD
COMUNIDAD
COMUNIDAD
COMUNIDAD
COMUNIDAD
COMUNIDAD
COMUNIDAD
COMUNIDAD
COMUNIDAD
COMUNIDAD
COMUNIDAD
COMUNIDAD
COMUNIDAD
COMUNIDAD
COMUNIDAD
COMUNIDAD
COMUNIDAD
COMUNIDAD
COMUNIDAD
COMUNIDAD
COMUNIDAD
COMUNIDAD
COMUNIDAD
COMUNIDAD
COMUNIDAD
COMUNIDAD
COMUNIDAD
COMUNIDAD
COMUNIDAD
COMUNIDAD
COMUNIDAD
COMUNIDAD
COMUNIDAD
COMUNIDAD
COMUNIDAD
COMUNIDAD
COMUNIDAD
COMUNIDAD
COMUNIDAD
COMUNIDAD
COMUNIDAD
COMUNIDAD
COMUNIDAD
COMUNIDAD
COMUNIDAD
COMUNIDAD
COMUNIDAD
COMUNIDAD
COMUNIDAD
COMUNIDAD
COMUNIDAD
COMUNIDAD
COMUNIDAD
COMUNIDAD
COMUNIDAD
COMUNIDAD
COMUNIDAD
COMUNIDAD
COMUNIDAD
COMUNIDAD
COMUNIDAD
COMUNIDAD
COMUNIDAD
COMUNIDAD
COMUNIDAD
COMUNIDAD
COMUNIDAD
COMUNIDAD
COMUNIDAD
COMUNIDAD
COMUNIDAD
COMUNIDAD
COMUNIDAD
COMUNIDAD
COMUNIDAD
COMUNIDAD
COMUNIDAD
COMUNIDAD
COMUNIDAD
COMUNIDAD
COMUNIDAD
COMUNIDAD
COMUNIDAD
COMUNIDAD
COMUNIDAD
COMUNIDAD
COMUNIDAD
COMUNIDAD
COMUNIDAD
COMUNIDAD
COMUNIDAD
COMUNIDAD
COMUNIDAD
COMUNIDAD
COMUNIDAD
COMUNIDAD
COMUNIDAD
COMUNIDAD
COMUNIDAD
COMUNIDAD
COMUNIDAD
COMUNIDAD
COMUNIDAD
COMUNIDAD
COMUNIDAD
COMUNIDAD
COMUNIDAD
COMUNIDAD
COMUNIDAD
COMUNIDAD
COMUNIDAD
COMUNIDAD
COMUNIDAD
COMUNIDAD
COMUNIDAD
COMUNIDAD
COMUNIDAD
COMUNIDAD
COMUNIDAD
COMUNIDAD
COMUNIDAD
COMUNIDAD
COMUNIDAD
COMUNIDAD
COMUNIDAD
COMUNIDAD
COMUNIDAD
COMUNIDAD
COMUNIDAD
COMUNIDAD
COMUNIDAD
COMUNIDAD
COMUNIDAD
COMUNIDAD
COMUNIDAD
COMUNIDAD
COMUNIDAD
COMUNIDAD
COMUNIDAD
COMUNIDAD
COMUNIDAD
COMUNIDAD
COMUNIDAD
COMUNIDAD
COMUNIDAD
COMUNIDAD
COMUNIDAD
COMUNIDAD
COMUNIDAD
COMUNIDAD
COMUNIDAD
COMUNIDAD
COMUNIDAD
COMUNIDAD
COMUNIDAD
COMUNIDAD
COMUNIDAD
COMUNIDAD
COMUNIDAD
COMUNIDAD
COMUNIDAD
COMUNIDAD
COMUNIDAD
COMUNIDAD
COMUNIDAD
COMUNIDAD
COMUNIDAD
COMUNIDAD
COMUNIDAD
COMUNIDAD
COMUNIDAD
COMUNIDAD
COMUNIDAD
COMUNIDAD
COMUNIDAD
COMUNIDAD
COMUNIDAD
COMUNIDAD
COMUNIDAD
COMUNIDAD
COMUNIDAD
COMUNIDAD
COMUNIDAD
COMUNIDAD
COMUNIDAD
COMUNIDAD
COMUNIDAD
COMUNIDAD
COMUNIDAD
COMUNIDAD
COMUNIDAD
COMUNIDAD
COMUNIDAD
COMUNIDAD
COMUNIDAD
COMUNIDAD
COMUNIDAD
COMUNIDAD
COMUNIDAD
COMUNIDAD
COMUNIDAD
COMUNIDAD
COMUNIDAD
COMUNIDAD
COMUNIDAD
COMUNIDAD
COMUNIDAD
COMUNIDAD
COMUNIDAD
COMUNIDAD
COMUNIDAD
COMUNIDAD
COMUNIDAD
COMUNIDAD
COMUNIDAD
COMUNIDAD
COMUNIDAD
COMUNIDAD
COMUNIDAD
COMUNIDAD
COMUNIDAD
COMUNIDAD
COMUNIDAD
COMUNIDAD
COMUNIDAD
COMUNIDAD
COMUNIDAD
COMUNIDAD
COMUNIDAD
COMUNIDAD
COMUNIDAD
COMUNIDAD
COMUNIDAD
COMUNIDAD
COMUNIDAD
COMUNIDAD
COMUNIDAD
COMUNIDAD
COMUNIDAD
COMUNIDAD
COMUNIDAD
COMUNIDAD
COMUNIDAD
COMUNIDAD
COMUNIDAD
COMUNIDAD
COMUNIDAD
COMUNIDAD
COMUNIDAD
COMUNIDAD
COMUNIDAD
COMUNIDAD
COMUNIDAD
COMUNIDAD
COMUNIDAD
COMUNIDAD
COMUNIDAD
COMUNIDAD
COMUNIDAD
COMUNIDAD
COMUNIDAD
COMUNIDAD
COMUNIDAD
COMUNIDAD
COMUNIDAD
COMUNIDAD
COMUNIDAD
COMUNIDAD
COMUNIDAD
COMUNIDAD
COMUNIDAD
COMUNIDAD
COMUNIDAD
COMUNIDAD
COMUNIDAD
COMUNIDAD
COMUNIDAD
COMUNIDAD
COMUNIDAD
COMUNIDAD
COMUNIDAD
COMUNIDAD
COMUNIDAD
COMUNIDAD
COMUNIDAD
COMUNIDAD
COMUNIDAD
COMUNIDAD
COMUNIDAD
COMUNIDAD
COMUNIDAD
COMUNIDAD
COMUNIDAD
COMUNIDAD
COMUNIDAD
COMUNIDAD
COMUNIDAD
COMUNIDAD
COMUNIDAD
COMUNIDAD
COMUNIDAD
COMUNIDAD
COMUNIDAD
COMUNIDAD
COMUNIDAD
COMUNIDAD
COMUNIDAD
COMUNIDAD
COMUNIDAD
COMUNIDAD
COMUNIDAD
COMUNIDAD
COMUNIDAD
COMUNIDAD
COMUNIDAD
COMUNIDAD
COMUNIDAD
COMUNIDAD
COMUNIDAD
COMUNIDAD
COMUNIDAD
COMUNIDAD
COMUNIDAD
COMUNIDAD
COMUNIDAD
COMUNIDAD
COMUNIDAD
COMUNIDAD
COMUNIDAD
COMUNIDAD
COMUNIDAD
COMUNIDAD
COMUNIDAD
COMUNIDAD
COMUNIDAD
COMUNIDAD
COMUNIDAD
COMUNIDAD
COMUNIDAD
COMUNIDAD
COMUNIDAD
COMUNIDAD
COMUNIDAD
COMUNIDAD
COMUNIDAD
COMUNIDAD
COMUNIDAD
COMUNIDAD
COMUNIDAD
COMUNIDAD
COMUNIDAD
COMUNIDAD
COMUNIDAD
COMUNIDAD
COMUNIDAD
COMUNIDAD
COMUNIDAD
COMUNIDAD
COMUNIDAD
COMUNIDAD
COMUNIDAD
COMUNIDAD
COMUNIDAD
COMUNIDAD
COMUNIDAD
COMUNIDAD
COMUNIDAD
COMUNIDAD
COMUNIDAD
COMUNIDAD
COMUNIDAD
COMUNIDAD
COMUNIDAD
COMUNIDAD
COMUNIDAD
COMUNIDAD
COMUNIDAD
COMUNIDAD
COMUNIDAD
COMUNIDAD
COMUNIDAD
COMUNIDAD
COMUNIDAD
COMUNIDAD
COMUNIDAD
COMUNIDAD
COMUNIDAD
COMUNIDAD
COMUNIDAD
COMUNIDAD
COMUNIDAD
COMUNIDAD
COMUNIDAD
COMUNIDAD
COMUNIDAD
COMUNIDAD
COMUNIDAD
COMUNIDAD
COMUNIDAD
COMUNIDAD
COMUNIDAD
COMUNIDAD
COMUNIDAD
COMUNIDAD
COMUNIDAD
COMUNIDAD
COMUNIDAD
COMUNIDAD
COMUNIDAD
COMUNIDAD
COMUNIDAD
COMUNIDAD
COMUNIDAD
COMUNIDAD
COMUNIDAD
COMUNIDAD
COMUNIDAD
COMUNIDAD
COMUNIDAD
COMUNIDAD
COMUNIDAD
COMUNIDAD
COMUNIDAD
COMUNIDAD
COMUNIDAD
COMUNIDAD
COMUNIDAD
COMUNIDAD
COMUNIDAD
COMUNIDAD
COMUNIDAD
COMUNIDAD
COMUNIDAD
COMUNIDAD
COMUNIDAD
COMUNIDAD
COMUNIDAD
COMUNIDAD
COMUNIDAD
COMUNIDAD
COMUNIDAD
COMUNIDAD
COMUNIDAD
COMUNIDAD
COMUNIDAD
COMUNIDAD
COMUNIDAD
COMUNIDAD
COMUNIDAD
COMUNIDAD
COMUNIDAD
COMUNIDAD
COMUNIDAD
COMUNIDAD
COMUNIDAD
COMUNIDAD
COMUNIDAD
COMUNIDAD
COMUNIDAD
COMUNIDAD
COMUNIDAD
COMUNIDAD
COMUNIDAD
COMUNIDAD
COMUNIDAD
COMUNIDAD
COMUNIDAD
COMUNIDAD
COMUNIDAD
COMUNIDAD
COMUNIDAD
COMUNIDAD
COMUNIDAD
COMUNIDAD
COMUNIDAD
COMUNIDAD
COMUNIDAD
COMUNIDAD
COMUNIDAD
COMUNIDAD
COMUNIDAD
COMUNIDAD
COMUNIDAD
COMUNIDAD
COMUNIDAD
COMUNIDAD
COMUNIDAD
COMUNIDAD
COMUNIDAD
COMUNIDAD
COMUNIDAD
COMUNIDAD
COMUNIDAD
COMUNIDAD
COMUNIDAD
COMUNIDAD
COMUNIDAD
COMUNIDAD
COMUNIDAD
COMUNIDAD
COMUNIDAD
COMUNIDAD
COMUNIDAD
COMUNIDAD
COMUNIDAD
COMUNIDAD
COMUNIDAD
COMUNIDAD
COMUNIDAD
COMUNIDAD
COMUNIDAD
COMUNIDAD
COMUNIDAD
COMUNIDAD
COMUNIDAD
COMUNIDAD
COMUNIDAD
COMUNIDAD
COMUNIDAD
COMUNIDAD
COMUNIDAD
COMUNIDAD
COMUNIDAD
COMUNIDAD
COMUNIDAD
COMUNIDAD
COMUNIDAD
COMUNIDAD
COMUNIDAD
COMUNIDAD
COMUNIDAD
COMUNIDAD
COMUNIDAD
COMUNIDAD
COMUNIDAD
COMUNIDAD
COMUNIDAD
COMUNIDAD
COMUNIDAD
COMUNIDAD
COMUNIDAD
COMUNIDAD
COMUNIDAD
COMUNIDAD
COMUNIDAD
COMUNIDAD
COMUNIDAD
COMUNIDAD
COMUNIDAD
COMUNIDAD
COMUNIDAD
COMUNIDAD
COMUNIDAD
COMUNIDAD
COMUNIDAD
COMUNIDAD
COMUNIDAD
COMUNIDAD
COMUNIDAD
COMUNIDAD
COMUNIDAD
COMUNIDAD
COMUNIDAD
COMUNIDAD
COMUNIDAD
COMUNIDAD
COMUNIDAD
COMUNIDAD
COMUNIDAD
COMUNIDAD
COMUNIDAD
COMUNIDAD
COMUNIDAD
COMUNIDAD
COMUNIDAD
COMUNIDAD
COMUNIDAD
COMUNIDAD
COMUNIDAD
COMUNIDAD
COMUNIDAD
COMUNIDAD
COMUNIDAD
COMUNIDAD
COMUNIDAD
COMUNIDAD
COMUNIDAD
COMUNIDAD
COMUNIDAD
COMUNIDAD
COMUNIDAD
COMUNIDAD
COMUNIDAD
COMUNIDAD
COMUNIDAD
COMUNIDAD
COMUNIDAD
COMUNIDAD
COMUNIDAD
COMUNIDAD
COMUNIDAD
COMUNIDAD
COMUNIDAD
COMUNIDAD
COMUNIDAD
COMUNIDAD
COMUNIDAD
COMUNIDAD
COMUNIDAD
COMUNIDAD
COMUNIDAD
COMUNIDAD
COMUNIDAD
COMUNIDAD
COMUNIDAD
COMUNIDAD
COMUNIDAD
COMUNIDAD
COMUNIDAD
COMUNIDAD
COMUNIDAD
COMUNIDAD
COMUNIDAD
COMUNIDAD
COMUNIDAD
COMUNIDAD
COMUNIDAD
COMUNIDAD
COMUNIDAD
COMUNIDAD
COMUNIDAD
COMUNIDAD
COMUNIDAD
COMUNIDAD
COMUNIDAD
COMUNIDAD
COMUNIDAD
COMUNIDAD
COMUNIDAD
COMUNIDAD
COMUNIDAD
COMUNIDAD
COMUNIDAD
COMUNIDAD
COMUNIDAD
COMUNIDAD
COMUNIDAD
COMUNIDAD
COMUNIDAD
COMUNIDAD
COMUNIDAD
COMUNIDAD
COMUNIDAD
COMUNIDAD
COMUNIDAD
COMUNIDAD
COMUNIDAD
COMUNIDAD
COMUNIDAD
COMUNIDAD
COMUNIDAD
COMUNIDAD
COMUNIDAD
COMUNIDAD
COMUNIDAD
COMUNIDAD
COMUNIDAD
COMUNIDAD
COMUNIDAD
COMUNIDAD
COMUNIDAD
COMUNIDAD
COMUNIDAD
COMUNIDAD
COMUNIDAD
COMUNIDAD
COMUNIDAD
COMUNIDAD
COMUNIDAD
COMUNIDAD
COMUNIDAD
COMUNIDAD
COMUNIDAD
COMUNIDAD
COMUNIDAD
COMUNIDAD
COMUNIDAD
COMUNIDAD
COMUNIDAD
COMUNIDAD
COMUNIDAD
COMUNIDAD
COMUNIDAD
COMUNIDAD
COMUNIDAD
COMUNIDAD
COMUNIDAD
COMUNIDAD
COMUNIDAD
COMUNIDAD
COMUNIDAD
COMUNIDAD
COMUNIDAD
COMUNIDAD
COMUNIDAD
COMUNIDAD
COMUNIDAD
COMUNIDAD
COMUNIDAD
COMUNIDAD
COMUNIDAD
COMUNIDAD
COMUNIDAD
COMUNIDAD
COMUNIDAD
COMUNIDAD
COMUNIDAD
COMUNIDAD
COMUNIDAD
COMUNIDAD
COMUNIDAD
COMUNIDAD
COMUNIDAD
COMUNIDAD
COMUNIDAD
COMUNIDAD
COMUNIDAD
COMUNIDAD
COMUNIDAD
COMUNIDAD
COMUNIDAD
COMUNIDAD
COMUNIDAD
COMUNIDAD
COMUNIDAD
COMUNIDAD
COMUNIDAD
COMUNIDAD
COMUNIDAD
COMUNIDAD
COMUNIDAD
COMUNIDAD
COMUNIDAD
COMUNIDAD
COMUNIDAD
COMUNIDAD
COMUNIDAD
COMUNIDAD
COMUNIDAD
COMUNIDAD
COMUNIDAD
COMUNIDAD
COMUNIDAD
COMUNIDAD
COMUNIDAD
COMUNIDAD
COMUNIDAD
COMUNIDAD
COMUNIDAD
COMUNIDAD
COMUNIDAD
COMUNIDAD
COMUNIDAD
COMUNIDAD
COMUNIDAD
COMUNIDAD
COMUNIDAD
COMUNIDAD
COMUNIDAD
COMUNIDAD
COMUNIDAD
COMUNIDAD
COMUNIDAD
COMUNIDAD
COMUNIDAD
COMUNIDAD
COMUNIDAD
COMUNIDAD
COMUNIDAD
COMUNIDAD
COMUNIDAD
COMUNIDAD
COMUNIDAD
COMUNIDAD
COMUNIDAD
COMUNIDAD
COMUNIDAD
COMUNIDAD
COMUNIDAD
COMUNIDAD
COMUNIDAD
COMUNIDAD
COMUNIDAD
COMUNIDAD
COMUNIDAD
COMUNIDAD
COMUNIDAD
COMUNIDAD
COMUNIDAD
COMUNIDAD
COMUNIDAD
COMUNIDAD
COMUNIDAD
COMUNIDAD
COMUNIDAD
COMUNIDAD
COMUNIDAD
COMUNIDAD
COMUNIDAD
COMUNIDAD
COMUNIDAD
COMUNIDAD
COMUNIDAD
COMUNIDAD
COMUNIDAD
COMUNIDAD
COMUNIDAD
COMUNIDAD
COMUNIDAD
COMUNIDAD
COMUNIDAD
COMUNIDAD
COMUNIDAD
COMUNIDAD
COMUNIDAD
COMUNIDAD
COMUNIDAD
COMUNIDAD
COMUNIDAD
COMUNIDAD
COMUNIDAD
COMUNIDAD
COMUNIDAD
COMUNIDAD
COMUNIDAD
COMUNIDAD
COMUNIDAD
COMUNIDAD
COMUNIDAD
COMUNIDAD
COMUNIDAD
COMUNIDAD
COMUNIDAD
COMUNIDAD
COMUNIDAD
COMUNIDAD
COMUNIDAD
COMUNIDAD
COMUNIDAD
COMUNIDAD
COMUNIDAD
COMUNIDAD
COMUNIDAD
COMUNIDAD
COMUNIDAD
COMUNIDAD
COMUNIDAD
COMUNIDAD
COMUNIDAD
COMUNIDAD
COMUNIDAD
COMUNIDAD
COMUNIDAD
COMUNIDAD
COMUNIDAD
COMUNIDAD
COMUNIDAD
COMUNIDAD
COMUNIDAD
COMUNIDAD
COMUNIDAD
COMUNIDAD
COMUNIDAD
COMUNIDAD
COMUNIDAD
COMUNIDAD
COMUNIDAD
COMUNIDAD
COMUNIDAD
COMUNIDAD
COMUNIDAD
COMUNIDAD
COMUNIDAD
COMUNIDAD
COMUNIDAD
COMUNIDAD
COMUNIDAD
COMUNIDAD
COMUNIDAD
COMUNIDAD
COMUNIDAD
COMUNIDAD
COMUNIDAD
COMUNIDAD
COMUNIDAD
COMUNIDAD
COMUNIDAD
COMUNIDAD
COMUNIDAD
COMUNIDAD
COMUNIDAD
COMUNIDAD
COMUNIDAD
COMUNIDAD
COMUNIDAD
COMUNIDAD
COMUNIDAD
COMUNIDAD
COMUNIDAD
COMUNIDAD
COMUNIDAD
COMUNIDAD
COMUNIDAD
COMUNIDAD
COMUNIDAD
COMUNIDAD
COMUNIDAD
COMUNIDAD
COMUNIDAD
COMUNIDAD
COMUNIDAD
COMUNIDAD
COMUNIDAD
COMUNIDAD
COMUNIDAD
COMUNIDAD
COMUNIDAD
COMUNIDAD
COMUNIDAD
COMUNIDAD
COMUNIDAD
COMUNIDAD
COMUNIDAD
COMUNIDAD
COMUNIDAD
COMUNIDAD
COMUNIDAD
COMUNIDAD
COMUNIDAD
COMUNIDAD
COMUNIDAD
COMUNIDAD
COMUNIDAD
COMUNIDAD
COMUNIDAD
COMUNIDAD
COMUNIDAD
COMUNIDAD
COMUNIDAD
COMUNIDAD
COMUNIDAD
COMUNIDAD
COMUNIDAD
COMUNIDAD
COMUNIDAD
COMUNIDAD
COMUNIDAD
COMUNIDAD
COMUNIDAD
COMUNIDAD
COMUNIDAD
COMUNIDAD
COMUNIDAD
COMUNIDAD
COMUNIDAD
COMUNIDAD
COMUNIDAD
COMUNIDAD
COMUNIDAD
COMUNIDAD
COMUNIDAD
COMUNIDAD
COMUNIDAD
COMUNIDAD
COMUNIDAD
COMUNIDAD
COMUNIDAD
COMUNIDAD
COMUNIDAD
COMUNIDAD
COMUNIDAD
COMUNIDAD
COMUNIDAD
COMUNIDAD
COMUNIDAD
COMUNIDAD
COMUNIDAD
COMUNIDAD
COMUNIDAD
COMUNIDAD
COMUNIDAD
COMUNIDAD
COMUNIDAD
COMUNIDAD
COMUNIDAD
COMUNIDAD
COMUNIDAD
COMUNIDAD
COMUNIDAD
COMUNIDAD
COMUNIDAD
COMUNIDAD
COMUNIDAD
COMUNIDAD
COMUNIDAD
COMUNIDAD
COMUNIDAD
COMUNIDAD
COMUNIDAD
COMUNIDAD
COMUNIDAD
COMUNIDAD
COMUNIDAD
COMUNIDAD
COMUNIDAD
COMUNIDAD
COMUNIDAD
COMUNIDAD
COMUNIDAD
COMUNIDAD
COMUNIDAD
COMUNIDAD
COMUNIDAD
COMUNIDAD
COMUNIDAD
COMUNIDAD
COMUNIDAD
COMUNIDAD
COMUNIDAD
COMUNIDAD
COMUNIDAD
COMUNIDAD
COMUNIDAD
COMUNIDAD
COMUNIDAD
COMUNIDAD
COMUNIDAD
COMUNIDAD
COMUNIDAD
COMUNIDAD
COMUNIDAD
COMUNIDAD
COMUNIDAD
COMUNIDAD
COMUNIDAD
COMUNIDAD
COMUNIDAD
COMUNIDAD
COMUNIDAD
COMUNIDAD
COMUNIDAD
COMUNIDAD
COMUNIDAD
COMUNIDAD
COMUNIDAD
COMUNIDAD
COMUNIDAD
COMUNIDAD
COMUNIDAD
COMUNIDAD
COMUNIDAD
COMUNIDAD
COMUNIDAD
COMUNIDAD
COMUNIDAD
COMUNIDAD
COMUNIDAD
COMUNIDAD
COMUNIDAD
COMUNIDAD
COMUNIDAD
COMUNIDAD
COMUNIDAD
COMUNIDAD
COMUNIDAD
COMUNIDAD
COMUNIDAD
COMUNIDAD
COMUNIDAD
COMUNIDAD
COMUNIDAD
COMUNIDAD
COMUNIDAD
COMUNIDAD
COMUNIDAD
COMUNIDAD
COMUNIDAD
COMUNIDAD
COMUNIDAD
COMUNIDAD
COMUNIDAD
COMUNIDAD
COMUNIDAD
COMUNIDAD
COMUNIDAD
COMUNIDAD
COMUNIDAD
COMUNIDAD
COMUNIDAD
COMUNIDAD
COMUNIDAD
COMUNIDAD
COMUNIDAD
COMUNIDAD
COMUNIDAD
COMUNIDAD
COMUNIDAD
COMUNIDAD
COMUNIDAD
COMUNIDAD
COMUNIDAD
COMUNIDAD
COMUNIDAD
COMUNIDAD
COMUNIDAD
COMUNIDAD
COMUNIDAD
COMUNIDAD
COMUNIDAD
COMUNIDAD
COMUNIDAD
COMUNIDAD
COMUNIDAD
COMUNIDAD
COMUNIDAD
COMUNIDAD
COMUNIDAD
COMUNIDAD
COMUNIDAD
COMUNIDAD
COMUNIDAD
COMUNIDAD
COMUNIDAD
COMUNIDAD
COMUNIDAD
COMUNIDAD
COMUNIDAD
COMUNIDAD
COMUNIDAD
COMUNIDAD
COMUNIDAD
COMUNIDAD
COMUNIDAD
COMUNIDAD
COMUNIDAD
COMUNIDAD
COMUNIDAD
COMUNIDAD
COMUNIDAD
COMUNIDAD
COMUNIDAD
COMUNIDAD
COMUNIDAD
COMUNIDAD
COMUNIDAD
COMUNIDAD
COMUNIDAD
COMUNIDAD
COMUNIDAD
COMUNIDAD
COMUNIDAD
COMUNIDAD
COMUNIDAD
COMUNIDAD
COMUNIDAD
COMUNIDAD
COMUNIDAD
COMUNIDAD
COMUNIDAD
COMUNIDAD
COMUNIDAD
COMUNIDAD
COMUNIDAD
COMUNIDAD
COMUNIDAD
COMUNIDAD
COMUNIDAD
COMUNIDAD
COMUNIDAD
COMUNIDAD
COMUNIDAD
COMUNIDAD
COMUNIDAD
COMUNIDAD
COMUNIDAD
COMUNIDAD
COMUNIDAD
COMUNIDAD
COMUNIDAD
COMUNIDAD
COMUNIDAD
COMUNIDAD
COMUNIDAD
COMUNIDAD
COMUNIDAD
COMUNIDAD
COMUNIDAD
COMUNIDAD
COMUNIDAD
COMUNIDAD
COMUNIDAD
COMUNIDAD
COMUNIDAD
COMUNIDAD
COMUNIDAD
COMUNIDAD
COMUNIDAD
COMUNIDAD
COMUNIDAD
COMUNIDAD
COMUNIDAD
COMUNIDAD
COMUNIDAD
COMUNIDAD
COMUNIDAD
COMUNIDAD
COMUNIDAD
COMUNIDAD
COMUNIDAD
COMUNIDAD
COMUNIDAD
COMUNIDAD
COMUNIDAD
COMUNIDAD
COMUNIDAD
COMUNIDAD
COMUNIDAD
COMUNIDAD
COMUNIDAD
COMUNIDAD
COMUNIDAD
COMUNIDAD
COMUNIDAD
COMUNIDAD
COMUNIDAD
COMUNIDAD
COMUNIDAD
COMUNIDAD
COMUNIDAD
COMUNIDAD
COMUNIDAD
COMUNIDAD
COMUNIDAD
COMUNIDAD
COMUNIDAD
COMUNIDAD
COMUNIDAD
COMUNIDAD
COMUNIDAD
COMUNIDAD
COMUNIDAD
COMUNIDAD
COMUNIDAD
COMUNIDAD
COMUNIDAD
COMUNIDAD
COMUNIDAD
COMUNIDAD
COMUNIDAD
COMUNIDAD
COMUNIDAD
COMUNIDAD
COMUNIDAD
COMUNIDAD
COMUNIDAD
COMUNIDAD
COMUNIDAD
COMUNIDAD
COMUNIDAD
COMUNIDAD
COMUNIDAD
COMUNIDAD
COMUNIDAD
COMUNIDAD
COMUNIDAD
COMUNIDAD
COMUNIDAD
COMUNIDAD
COMUNIDAD
COMUNIDAD
COMUNIDAD
COMUNIDAD
COMUNIDAD
COMUNIDAD
COMUNIDAD
COMUNIDAD
COMUNIDAD
COMUNIDAD
COMUNIDAD
COMUNIDAD
COMUNIDAD
COMUNIDAD
COMUNIDAD
COMUNIDAD
COMUNIDAD
COMUNIDAD
COMUNIDAD
COMUNIDAD
COMUNIDAD
COMUNIDAD
COMUNIDAD
COMUNIDAD
COMUNIDAD
COMUNIDAD
COMUNIDAD
COMUNIDAD
COMUNIDAD
COMUNIDAD
COMUNIDAD
COMUNIDAD
COMUNIDAD
COMUNIDAD
COMUNIDAD
COMUNIDAD
COMUNIDAD
COMUNIDAD
COMUNIDAD
COMUNIDAD
COMUNIDAD
COMUNIDAD
COMUNIDAD
COMUNIDAD
COMUNIDAD
COMUNIDAD
COMUNIDAD
COMUNIDAD
COMUNIDAD
COMUNIDAD
COMUNIDAD
COMUNIDAD
COMUNIDAD
COMUNIDAD
COMUNIDAD
COMUNIDAD
COMUNIDAD
COMUNIDAD
COMUNIDAD
COMUNIDAD
COMUNIDAD
COMUNIDAD
COMUNIDAD
COMUNIDAD
COMUNIDAD
COMUNIDAD
COMUNIDAD
COMUNIDAD
COMUNIDAD
COMUNIDAD
COMUNIDAD
COMUNIDAD
COMUNIDAD
COMUNIDAD
COMUNIDAD
COMUNIDAD
COMUNIDAD
COMUNIDAD
COMUNIDAD
COMUNIDAD
COMUNIDAD
COMUNIDAD
COMUNIDAD
COMUNIDAD
COMUNIDAD
COMUNIDAD
COMUNIDAD
COMUNIDAD
COMUNIDAD
COMUNIDAD
COMUNIDAD
COMUNIDAD
COMUNIDAD
COMUNIDAD
COMUNIDAD
COMUNIDAD
COMUNIDAD
COMUNIDAD
COMUNIDAD
COMUNIDAD
COMUNIDAD
COMUNIDAD
COMUNIDAD
COMUNIDAD
COMUNIDAD
COMUNIDAD
COMUNIDAD
COMUNIDAD
COMUNIDAD
COMUNIDAD
COMUNIDAD
COMUNIDAD
COMUNIDAD
COMUNIDAD
COMUNIDAD
COMUNIDAD
COMUNIDAD
COMUNIDAD
COMUNIDAD
COMUNIDAD
COMUNIDAD
COMUNIDAD
COMUNIDAD
COMUNIDAD
COMUNIDAD
COMUNIDAD
COMUNIDAD
COMUNIDAD
COMUNIDAD
COMUNIDAD
COMUNIDAD
COMUNIDAD
COMUNIDAD
COMUNIDAD
COMUNIDAD
COMUNIDAD
COMUNIDAD
COMUNIDAD
COMUNIDAD
COMUNIDAD
COMUNIDAD
COMUNIDAD
COMUNIDAD
COMUNIDAD
COMUNIDAD
COMUNIDAD
COMUNIDAD
COMUNIDAD
COMUNIDAD
COMUNIDAD
COMUNIDAD
COMUNIDAD
COMUNIDAD
COMUNIDAD
COMUNIDAD
COMUNIDAD
COMUNIDAD
COMUNIDAD
COMUNIDAD
COMUNIDAD
COMUNIDAD
COMUNIDAD
COMUNIDAD
COMUNIDAD
COMUNIDAD
COMUNIDAD
COMUNIDAD
COMUNIDAD
COMUNIDAD
COMUNIDAD
COMUNIDAD
COMUNIDAD
COMUNIDAD
COMUNIDAD
COMUNIDAD
COMUNIDAD
COMUNIDAD
COMUNIDAD
COMUNIDAD
COMUNIDAD
COMUNIDAD
COMUNIDAD
COMUNIDAD
COMUNIDAD
COMUNIDAD
COMUNIDAD
COMUNIDAD
COMUNIDAD
COMUNIDAD
COMUNIDAD
COMUNIDAD
COMUNIDAD
COMUNIDAD
COMUNIDAD
COMUNIDAD
COMUNIDAD
COMUNIDAD
COMUNIDAD
COMUNIDAD
COMUNIDAD
COMUNIDAD
COMUNIDAD
COMUNIDAD
COMUNIDAD
COMUNIDAD
COMUNIDAD
COMUNIDAD
COMUNIDAD
COMUNIDAD
COMUNIDAD
COMUNIDAD
COMUNIDAD
COMUNIDAD
COMUNIDAD
COMUNIDAD
COMUNIDAD
COMUNIDAD
COMUNIDAD
COMUNIDAD
COMUNIDAD
COMUNIDAD
COMUNIDAD
COMUNIDAD
COMUNIDAD
COMUNIDAD
COMUNIDAD
COMUNIDAD
COMUNIDAD
COMUNIDAD
COMUNIDAD
COMUNIDAD
COMUNIDAD
COMUNIDAD
COMUNIDAD
COMUNIDAD
COMUNIDAD
COMUNIDAD
COMUNIDAD
COMUNIDAD
COMUNIDAD
COMUNIDAD
COMUNIDAD
COMUNIDAD
COMUNIDAD
COMUNIDAD
COMUNIDAD
COMUNIDAD
COMUNIDAD
COMUNIDAD
COMUNIDAD
COMUNIDAD
COMUNIDAD
COMUNIDAD
COMUNIDAD
COMUNIDAD
COMUNIDAD
COMUNIDAD
COMUNIDAD
COMUNIDAD
COMUNIDAD
COMUNIDAD
COMUNIDAD
COMUNIDAD
COMUNIDAD
COMUNIDAD
COMUNIDAD
COMUNIDAD
COMUNIDAD
COMUNIDAD
COMUNIDAD
COMUNIDAD
COMUNIDAD
COMUNIDAD
COMUNIDAD
COMUNIDAD
COMUNIDAD
COMUNIDAD
COMUNIDAD
COMUNIDAD
COMUNIDAD
COMUNIDAD
COMUNIDAD
COMUNIDAD
COMUNIDAD
COMUNIDAD
COMUNIDAD
COMUNIDAD
COMUNIDAD
COMUNIDAD
COMUNIDAD
COMUNIDAD
COMUNIDAD
COMUNIDAD
COMUNIDAD
COMUNIDAD
COMUNIDAD
COMUNIDAD
COMUNIDAD
COMUNIDAD
COMUNIDAD
COMUNIDAD
COMUNIDAD
COMUNIDAD
COMUNIDAD
COMUNIDAD
COMUNIDAD
COMUNIDAD
COMUNIDAD
COMUNIDAD
COMUNIDAD
COMUNIDAD
COMUNIDAD
COMUNIDAD
COMUNIDAD
COMUNIDAD
COMUNIDAD
COMUNIDAD
COMUNIDAD
COMUNIDAD
COMUNIDAD
COMUNIDAD
COMUNIDAD
COMUNIDAD
COMUNIDAD
COMUNIDAD
COMUNIDAD
COMUNIDAD
COMUNIDAD
COMUNIDAD
COMUNIDAD
COMUNIDAD
COMUNIDAD
COMUNIDAD
COMUNIDAD
COMUNIDAD
COMUNIDAD
COMUNIDAD
COMUNIDAD
COMUNIDAD
COMUNIDAD
COMUNIDAD
COMUNIDAD
COMUNIDAD
COMUNIDAD
COMUNIDAD
COMUNIDAD
COMUNIDAD
COMUNIDAD
COMUNIDAD
COMUNIDAD
COMUNIDAD
COMUNIDAD
COMUNIDAD
COMUNIDAD
COMUNIDAD
COMUNIDAD
COMUNIDAD
COMUNIDAD
COMUNIDAD
COMUNIDAD
COMUNIDAD
COMUNIDAD
COMUNIDAD
COMUNIDAD
COMUNIDAD
COMUNIDAD
COMUNIDAD
COMUNIDAD
COMUNIDAD
COMUNIDAD
COMUNIDAD
COMUNIDAD
COMUNIDAD
COMUNIDAD
COMUNIDAD
COMUNIDAD
COMUNIDAD
COMUNIDAD
COMUNIDAD
COMUNIDAD
COMUNIDAD
COMUNIDAD
COMUNIDAD
COMUNIDAD
COMUNIDAD
COMUNIDAD
COMUNIDAD
COMUNIDAD
COMUNIDAD
COMUNIDAD
COMUNIDAD
COMUNIDAD
COMUNIDAD
COMUNIDAD
COMUNIDAD
COMUNIDAD
COMUNIDAD
COMUNIDAD
COMUNIDAD
COMUNIDAD
COMUNIDAD
COMUNIDAD
COMUNIDAD
COMUNIDAD
COMUNIDAD
COMUNIDAD
COMUNIDAD
COMUNIDAD
COMUNIDAD
COMUNIDAD
COMUNIDAD
COMUNIDAD
COMUNIDAD
COMUNIDAD
COMUNIDAD
COMUNIDAD
COMUNIDAD
COMUNIDAD
COMUNIDAD
COMUNIDAD
COMUNIDAD
COMUNIDAD
COMUNIDAD
COMUNIDAD
COMUNIDAD
COMUNIDAD
COMUNIDAD
COMUNIDAD
COMUNIDAD
COMUNIDAD
COMUNIDAD
COMUNIDAD
COMUNIDAD
COMUNIDAD
COMUNIDAD
COMUNIDAD
COMUNIDAD
COMUNIDAD
COMUNIDAD
COMUNIDAD
COMUNIDAD
COMUNIDAD
COMUNIDAD
COMUNIDAD
COMUNIDAD
COMUNIDAD
COMUNIDAD
COMUNIDAD
COMUNIDAD
COMUNIDAD
COMUNIDAD
COMUNIDAD
COMUNIDAD
COMUNIDAD
COMUNIDAD
COMUNIDAD
COMUNIDAD
COMUNIDAD
COMUNIDAD
COMUNIDAD
COMUNIDAD
COMUNIDAD
COMUNIDAD
COMUNIDAD
COMUNIDAD
COMUNIDAD
COMUNIDAD
COMUNIDAD
COMUNIDAD
COMUNIDAD
COMUNIDAD
COMUNIDAD
COMUNIDAD
COMUNIDAD
COMUNIDAD
COMUNIDAD
COMUNIDAD
COMUNIDAD
COMUNIDAD
COMUNIDAD
COMUNIDAD
COMUNIDAD
COMUNIDAD
COMUNIDAD
COMUNIDAD
COMUNIDAD
COMUNIDAD
COMUNIDAD
COMUNIDAD
COMUNIDAD
COMUNIDAD
COMUNIDAD
COMUNIDAD
COMUNIDAD
COMUNIDAD
COMUNIDAD
COMUNIDAD
COMUNIDAD
COMUNIDAD
COMUNIDAD
COMUNIDAD
COMUNIDAD
COMUNIDAD
COMUNIDAD
COMUNIDAD
COMUNIDAD
COMUNIDAD
COMUNIDAD
COMUNIDAD
COMUNIDAD
COMUNIDAD
COMUNIDAD
COMUNIDAD
COMUNIDAD
COMUNIDAD
COMUNIDAD
COMUNIDAD
COMUNIDAD
COMUNIDAD
COMUNIDAD
COMUNIDAD
COMUNIDAD
COMUNIDAD
COMUNIDAD
COMUNIDAD
COMUNIDAD
COMUNIDAD
COMUNIDAD
COMUNIDAD
COMUNIDAD
COMUNIDAD
COMUNIDAD
COMUNIDAD
COMUNIDAD
COMUNIDAD
COMUNIDAD
COMUNIDAD
COMUNIDAD
COMUNIDAD
COMUNIDAD
COMUNIDAD
COMUNIDAD
COMUNIDAD
COMUNIDAD
COMUNIDAD
COMUNIDAD
COMUNIDAD
COMUNIDAD
COMUNIDAD
COMUNIDAD
COMUNIDAD
COMUNIDAD
COMUNIDAD
COMUNIDAD
COMUNIDAD
COMUNIDAD
COMUNIDAD
COMUNIDAD
COMUNIDAD
COMUNIDAD
COMUNIDAD
COMUNIDAD
COMUNIDAD
COMUNIDAD
COMUNIDAD
COMUNIDAD
COMUNIDAD
COMUNIDAD
COMUNIDAD
COMUNIDAD
COMUNIDAD
COMUNIDAD
COMUNIDAD
COMUNIDAD
COMUNIDAD
COMUNIDAD
COMUNIDAD
COMUNIDAD
COMUNIDAD
COMUNIDAD
COMUNIDAD
COMUNIDAD
COMUNIDAD
COMUNIDAD
COMUNIDAD
COMUNIDAD
COMUNIDAD
COMUNIDAD
COMUNIDAD
COMUNIDAD
COMUNIDAD
COMUNIDAD
COMUNIDAD
COMUNIDAD
COMUNIDAD
COMUNIDAD
COMUNIDAD
COMUNIDAD
COMUNIDAD
COMUNIDAD
COMUNIDAD
COMUNIDAD
COMUNIDAD
COMUNIDAD
COMUNIDAD
COMUNIDAD
COMUNIDAD
COMUNIDAD
COMUNIDAD
COMUNIDAD
COMUNIDAD
COMUNIDAD
COMUNIDAD
COMUNIDAD
COMUNIDAD
COMUNIDAD
COMUNIDAD
COMUNIDAD
COMUNIDAD
COMUNIDAD
COMUNIDAD
COMUNIDAD
COMUNIDAD
COMUNIDAD
COMUNIDAD
COMUNIDAD
COMUNIDAD
COMUNIDAD
COMUNIDAD
COMUNIDAD
COMUNIDAD
COMUNIDAD
COMUNIDAD
COMUNIDAD
COMUNIDAD
COMUNIDAD
COMUNIDAD
COMUNIDAD
COMUNIDAD
COMUNIDAD
COMUNIDAD
COMUNIDAD
COMUNIDAD
COMUNIDAD
COMUNIDAD
COMUNIDAD
COMUNIDAD
COMUNIDAD
COMUNIDAD
COMUNIDAD
COMUNIDAD
COMUNIDAD
COMUNIDAD
COMUNIDAD
COMUNIDAD
COMUNIDAD
COMUNIDAD
COMUNIDAD
COMUNIDAD
COMUNIDAD
COMUNIDAD
COMUNIDAD
COMUNIDAD
COMUNIDAD
COMUNIDAD
COMUNIDAD
COMUNIDAD
COMUNIDAD
COMUNIDAD
COMUNIDAD
COMUNIDAD
COMUNIDAD
COMUNIDAD
COMUNIDAD
COMUNIDAD
COMUNIDAD
COMUNIDAD
COMUNIDAD
COMUNIDAD
COMUNIDAD
COMUNIDAD
COMUNIDAD
COMUNIDAD
COMUNIDAD
COMUNIDAD
COMUNIDAD
COMUNIDAD
COMUNIDAD
COMUNIDAD
COMUNIDAD
COMUNIDAD
COMUNIDAD
COMUNIDAD
COMUNIDAD
COMUNIDAD
COMUNIDAD
COMUNIDAD
COMUNIDAD
COMUNIDAD
COMUNIDAD
COMUNIDAD
COMUNIDAD
COMUNIDAD
COMUNIDAD
COMUNIDAD
COMUNIDAD
COMUNIDAD
COMUNIDAD
COMUNIDAD
COMUNIDAD
COMUNIDAD
COMUNIDAD
COMUNIDAD
COMUNIDAD
COMUNIDAD
COMUNIDAD
COMUNIDAD
COMUNIDAD
COMUNIDAD
COMUNIDAD
COMUNIDAD
COMUNIDAD
COMUNIDAD
COMUNIDAD
COMUNIDAD
COMUNIDAD
COMUNIDAD
COMUNIDAD
COMUNIDAD
COMUNIDAD
COMUNIDAD
COMUNIDAD
COMUNIDAD
COMUNIDAD
COMUNIDAD
COMUNIDAD
COMUNIDAD
COMUNIDAD
COMUNIDAD
COMUNIDAD
COMUNIDAD
COMUNIDAD
COMUNIDAD
COMUNIDAD
COMUNIDAD
COMUNIDAD
COMUNIDAD
COMUNIDAD
COMUNIDAD
COMUNIDAD
COMUNIDAD
COMUNIDAD
COMUNIDAD
COMUNIDAD
COMUNIDAD
COMUNIDAD
COMUNIDAD
COMUNIDAD
COMUNIDAD
COMUNIDAD
COMUNIDAD
COMUNIDAD
COMUNIDAD
COMUNIDAD
COMUNIDAD
COMUNIDAD
COMUNIDAD
COMUNIDAD
COMUNIDAD
COMUNIDAD
COMUNIDAD
COMUNIDAD
COMUNIDAD
COMUNIDAD
COMUNIDAD
COMUNIDAD
COMUNIDAD
COMUNIDAD
COMUNIDAD
COMUNIDAD
COMUNIDAD
COMUNIDAD
COMUNIDAD
COMUNIDAD
COMUNIDAD
COMUNIDAD
COMUNIDAD
COMUNIDAD
COMUNIDAD
COMUNIDAD
COMUNIDAD
COMUNIDAD
COMUNIDAD
COMUNIDAD
COMUNIDAD
COMUNIDAD
COMUNIDAD
COMUNIDAD
COMUNIDAD
COMUNIDAD
COMUNIDAD
COMUNIDAD
COMUNIDAD
COMUNIDAD
COMUNIDAD
COMUNIDAD
COMUNIDAD
COMUNIDAD
COMUNIDAD
COMUNIDAD
COMUNIDAD
COMUNIDAD
COMUNIDAD
COMUNIDAD
COMUNIDAD
COMUNIDAD
COMUNIDAD
COMUNIDAD
COMUNIDAD
COMUNIDAD
COMUNIDAD
COMUNIDAD
COMUNIDAD
COMUNIDAD
COMUNIDAD
COMUNIDAD
COMUNIDAD
COMUNIDAD
COMUNIDAD
COMUNIDAD
COMUNIDAD
COMUNIDAD
COMUNIDAD
COMUNIDAD
COMUNIDAD
COMUNIDAD
COMUNIDAD
COMUNIDAD
COMUNIDAD
COMUNIDAD
COMUNIDAD
COMUNIDAD
COMUNIDAD
COMUNIDAD
COMUNIDAD
COMUNIDAD
COMUNIDAD
COMUNIDAD
COMUNIDAD
COMUNIDAD
COMUNIDAD
COMUNIDAD
COMUNIDAD
COMUNIDAD
COMUNIDAD
COMUNIDAD
COMUNIDAD
COMUNIDAD
COMUNIDAD
COMUNIDAD
COMUNIDAD
COMUNIDAD
COMUNIDAD
COMUNIDAD
COMUNIDAD
COMUNIDAD
COMUNIDAD
COMUNIDAD
COMUNIDAD
COMUNIDAD
COMUNIDAD
COMUNIDAD
COMUNIDAD
COMUNIDAD
COMUNIDAD
COMUNIDAD
COMUNIDAD
COMUNIDAD
COMUNIDAD
COMUNIDAD
COMUNIDAD
COMUNIDAD
COMUNIDAD
COMUNIDAD
COMUNIDAD
COMUNIDAD
COMUNIDAD
COMUNIDAD
COMUNIDAD
COMUNIDAD
COMUNIDAD
COMUNIDAD
COMUNIDAD
COMUNIDAD
COMUNIDAD
COMUNIDAD
COMUNIDAD
COMUNIDAD
COMUNIDAD
COMUNIDAD
COMUNIDAD
COMUNIDAD
COMUNIDAD
COMUNIDAD
COMUNIDAD
COMUNIDAD
COMUNIDAD
COMUNIDAD
COMUNIDAD
COMUNIDAD
COMUNIDAD
COMUNIDAD
COMUNIDAD
COMUNIDAD
COMUNIDAD
COMUNIDAD
COMUNIDAD
COMUNIDAD
COMUNIDAD
COMUNIDAD
COMUNIDAD
COMUNIDAD
COMUNIDAD
COMUNIDAD
COMUNIDAD
COMUNIDAD
COMUNIDAD
COMUNIDAD
COMUNIDAD
COMUNIDAD
COMUNIDAD
COMUNIDAD
COMUNIDAD
COMUNIDAD
COMUNIDAD
COMUNIDAD
COMUNIDAD
COMUNIDAD
COMUNIDAD
COMUNIDAD
COMUNIDAD
COMUNIDAD
COMUNIDAD
COMUNIDAD
COMUNIDAD
COMUNIDAD
COMUNIDAD
COMUNIDAD
COMUNIDAD
COMUNIDAD
COMUNIDAD
COMUNIDAD
COMUNIDAD
COMUNIDAD
COMUNIDAD
COMUNIDAD
COMUNIDAD
COMUNIDAD
COMUNIDAD
COMUNIDAD
COMUNIDAD
COMUNIDAD
COMUNIDAD
COMUNIDAD
COMUNIDAD
COMUNIDAD
COMUNIDAD
COMUNIDAD
COMUNIDAD
COMUNIDAD
COMUNIDAD
COMUNIDAD
COMUNIDAD
COMUNIDAD
COMUNIDAD
COMUNIDAD
COMUNIDAD
COMUNIDAD
COMUNIDAD
COMUNIDAD
COMUNIDAD
COMUNIDAD
COMUNIDAD
COMUNIDAD
COMUNIDAD
COMUNIDAD
COMUNIDAD
COMUNIDAD
COMUNIDAD
COMUNIDAD
COMUNIDAD
COMUNIDAD
COMUNIDAD
COMUNIDAD
COMUNIDAD
COMUNIDAD
COMUNIDAD
COMUNIDAD
COMUNIDAD
COMUNIDAD
COMUNIDAD
COMUNIDAD
COMUNIDAD
COMUNIDAD
COMUNIDAD
COMUNIDAD
COMUNIDAD
COMUNIDAD
COMUNIDAD
COMUNIDAD
COMUNIDAD
COMUNIDAD
COMUNIDAD
COMUNIDAD
COMUNIDAD
COMUNIDAD
COMUNIDAD
COMUNIDAD
COMUNIDAD
COMUNIDAD
COMUNIDAD
COMUNIDAD
COMUNIDAD
COMUNIDAD
COMUNIDAD
COMUNIDAD
COMUNIDAD
COMUNIDAD
COMUNIDAD
COMUNIDAD
COMUNIDAD
COMUNIDAD
COMUNIDAD
COMUNIDAD
COMUNIDAD
COMUNIDAD
COMUNIDAD
COMUNIDAD
COMUNIDAD
COMUNIDAD
COMUNIDAD
COMUNIDAD
COMUNIDAD
COMUNIDAD
COMUNIDAD
COMUNIDAD
COMUNIDAD
COMUNIDAD
COMUNIDAD
COMUNIDAD
COMUNIDAD
COMUNIDAD
COMUNIDAD
COMUNIDAD
COMUNIDAD
COMUNIDAD
COMUNIDAD
COMUNIDAD
COMUNIDAD
COMUNIDAD
COMUNIDAD
COMUNIDAD
COMUNIDAD
COMUNIDAD
COMUNIDAD
COMUNIDAD
COMUNIDAD
COMUNIDAD
COMUNIDAD
COMUNIDAD
COMUNIDAD
COMUNIDAD
COMUNIDAD
COMUNIDAD
COMUNIDAD
COMUNIDAD
COMUNIDAD
COMUNIDAD
COMUNIDAD
COMUNIDAD
COMUNIDAD
COMUNIDAD
COMUNIDAD
COMUNIDAD
COMUNIDAD
COMUNIDAD
COMUNIDAD
COMUNIDAD
COMUNIDAD
COMUNIDAD
COMUNIDAD
COMUNIDAD
COMUNIDAD
COMUNIDAD
COMUNIDAD
COMUNIDAD
COMUNIDAD
COMUNIDAD
COMUNIDAD
COMUNIDAD
COMUNIDAD
COMUNIDAD
COMUNIDAD
COMUNIDAD
COMUNIDAD
COMUNIDAD
COMUNIDAD
COMUNIDAD
COMUNIDAD
COMUNIDAD
COMUNIDAD
COMUNIDAD
COMUNIDAD
COMUNIDAD
COMUNIDAD
COMUNIDAD
COMUNIDAD
COMUNIDAD
COMUNIDAD
COMUNIDAD
COMUNIDAD
COMUNIDAD
COMUNIDAD
COMUNIDAD
COMUNIDAD
COMUNIDAD
COMUNIDAD
COMUNIDAD
COMUNIDAD
COMUNIDAD
COMUNIDAD
COMUNIDAD
COMUNIDAD
COMUNIDAD
COMUNIDAD
COMUNIDAD
COMUNIDAD
COMUNIDAD
COMUNIDAD
COMUNIDAD
COMUNIDAD
COMUNIDAD
COMUNIDAD
COMUNIDAD
COMUNIDAD
COMUNIDAD
COMUNIDAD
COMUNIDAD
COMUNIDAD
COMUNIDAD
COMUNIDAD
COMUNIDAD
COMUNIDAD
COMUNIDAD
COMUNIDAD
COMUNIDAD
COMUNIDAD
COMUNIDAD
COMUNIDAD
COMUNIDAD
COMUNIDAD
COMUNIDAD
COMUNIDAD
COMUNIDAD
COMUNIDAD
COMUNIDAD
COMUNIDAD
COMUNIDAD
COMUNIDAD
COMUNIDAD
COMUNIDAD
COMUNIDAD
COMUNIDAD
COMUNIDAD
COMUNIDAD
COMUNIDAD
COMUNIDAD
COMUNIDAD
COMUNIDAD
COMUNIDAD
COMUNIDAD
COMUNIDAD
COMUNIDAD
COMUNIDAD
COMUNIDAD
COMUNIDAD
COMUNIDAD
COMUNIDAD
COMUNIDAD
COMUNIDAD
COMUNIDAD
COMUNIDAD
COMUNIDAD
COMUNIDAD
COMUNIDAD
COMUNIDAD
COMUNIDAD
COMUNIDAD
COMUNIDAD
COMUNIDAD
COMUNIDAD
COMUNIDAD
COMUNIDAD
COMUNIDAD
COMUNIDAD
COMUNIDAD
COMUNIDAD
COMUNIDAD
COMUNIDAD
COMUNIDAD
COMUNIDAD
COMUNIDAD
COMUNIDAD
COMUNIDAD
COMUNIDAD
COMUNIDAD
COMUNIDAD
COMUNIDAD
COMUNIDAD
COMUNIDAD
COMUNIDAD
COMUNIDAD
COMUNIDAD
COMUNIDAD
COMUNIDAD
COMUNIDAD
COMUNIDAD
COMUNIDAD
COMUNIDAD
COMUNIDAD
COMUNIDAD
COMUNIDAD
COMUNIDAD
COMUNIDAD
COMUNIDAD
COMUNIDAD
COMUNIDAD
COMUNIDAD
COMUNIDAD
COMUNIDAD
COMUNIDAD
COMUNIDAD
COMUNIDAD
COMUNIDAD
COMUNIDAD
COMUNIDAD
COMUNIDAD
COMUNIDAD
COMUNIDAD
COMUNIDAD
COMUNIDAD
COMUNIDAD
COMUNIDAD
COMUNIDAD
COMUNIDAD
COMUNIDAD
COMUNIDAD
COMUNIDAD
COMUNIDAD
COMUNIDAD
COMUNIDAD
COMUNIDAD
COMUNIDAD
COMUNIDAD
COMUNIDAD
COMUNIDAD
COMUNIDAD
COMUNIDAD
COMUNIDAD
COMUNIDAD
COMUNIDAD
COMUNIDAD
COMUNIDAD
COMUNIDAD
COMUNIDAD
COMUNIDAD
COMUNIDAD
COMUNIDAD
COMUNIDAD
COMUNIDAD
COMUNIDAD
COMUNIDAD
COMUNIDAD
COMUNIDAD
COMUNIDAD
COMUNIDAD
COMUNIDAD
COMUNIDAD
COMUNIDAD
COMUNIDAD
COMUNIDAD
COMUNIDAD
COMUNIDAD
COMUNIDAD
COMUNIDAD
COMUNIDAD
COMUNIDAD
COMUNIDAD
COMUNIDAD
COMUNIDAD
COMUNIDAD
COMUNIDAD
COMUNIDAD
COMUNIDAD
COMUNIDAD
COMUNIDAD
COMUNIDAD
COMUNIDAD
COMUNIDAD
COMUNIDAD
COMUNIDAD
COMUNIDAD
COMUNIDAD
COMUNIDAD
COMUNIDAD
COMUNIDAD
COMUNIDAD
COMUNIDAD
COMUNIDAD
COMUNIDAD
COMUNIDAD
COMUNIDAD
COMUNIDAD
COMUNIDAD
COMUNIDAD
COMUNIDAD
COMUNIDAD
COMUNIDAD
COMUNIDAD
COMUNIDAD
COMUNIDAD
COMUNIDAD
COMUNIDAD
COMUNIDAD
COMUNIDAD
COMUNIDAD
COMUNIDAD
COMUNIDAD
COMUNIDAD
COMUNIDAD
COMUNIDAD
COMUNIDAD
COMUNIDAD
COMUNIDAD
COMUNIDAD
COMUNIDAD
COMUNIDAD
COMUNIDAD
COMUNIDAD
COMUNIDAD
COMUNIDAD
COMUNIDAD
COMUNIDAD
COMUNIDAD
COMUNIDAD
COMUNIDAD
COMUNIDAD
COMUNIDAD
COMUNIDAD
COMUNIDAD
COMUNIDAD
COMUNIDAD
COMUNIDAD
COMUNIDAD
COMUNIDAD
COMUNIDAD
COMUNIDAD
COMUNIDAD
COMUNIDAD
COMUNIDAD
COMUNIDAD
COMUNIDAD
COMUNIDAD
COMUNIDAD
COMUNIDAD
COMUNIDAD
COMUNIDAD
COMUNIDAD
COMUNIDAD
COMUNIDAD
COMUNIDAD
COMUNIDAD
COMUNIDAD
COMUNIDAD
COMUNIDAD
COMUNIDAD
COMUNIDAD
COMUNIDAD
COMUNIDAD
COMUNIDAD
COMUNIDAD
COMUNIDAD
COMUNIDAD
COMUNIDAD
COMUNIDAD
COMUNIDAD
COMUNIDAD
COMUNIDAD
COMUNIDAD
COMUNIDAD
COMUNIDAD
COMUNIDAD
COMUNIDAD
COMUNIDAD
COMUNIDAD
COMUNIDAD
COMUNIDAD
COMUNIDAD
COMUNIDAD
COMUNIDAD
COMUNIDAD
COMUNIDAD
COMUNIDAD
COMUNIDAD
COMUNIDAD
COMUNIDAD
COMUNIDAD
COMUNIDAD
COMUNIDAD
COMUNIDAD
COMUNIDAD
COMUNIDAD
COMUNIDAD
COMUNIDAD
COMUNIDAD
COMUNIDAD
COMUNIDAD
COMUNIDAD
COMUNIDAD
COMUNIDAD
COMUNIDAD
COMUNIDAD
COMUNIDAD
COMUNIDAD
COMUNIDAD
COMUNIDAD
COMUNIDAD
COMUNIDAD
COMUNIDAD
COMUNIDAD
COMUNIDAD
COMUNIDAD
COMUNIDAD
COMUNIDAD
COMUNIDAD
COMUNIDAD
COMUNIDAD
COMUNIDAD
COMUNIDAD
COMUNIDAD
COMUNIDAD
COMUNIDAD
COMUNIDAD
COMUNIDAD
COMUNIDAD
COMUNIDAD
COMUNIDAD
COMUNIDAD
COMUNIDAD
COMUNIDAD
COMUNIDAD
COMUNIDAD
COMUNIDAD
COMUNIDAD
COMUNIDAD
COMUNIDAD
COMUNIDAD
COMUNIDAD
COMUNIDAD
COMUNIDAD
COMUNIDAD
COMUNIDAD
COMUNIDAD
COMUNIDAD
COMUNIDAD
COMUNIDAD
COMUNIDAD
COMUNIDAD
COMUNIDAD
COMUNIDAD
COMUNIDAD
COMUNIDAD
COMUNIDAD
COMUNIDAD
COMUNIDAD
COMUNIDAD
COMUNIDAD
COMUNIDAD
COMUNIDAD
COMUNIDAD
COMUNIDAD
COMUNIDAD
COMUNIDAD
COMUNIDAD
COMUNIDAD
COMUNIDAD
COMUNIDAD
COMUNIDAD
COMUNIDAD
COMUNIDAD
COMUNIDAD
COMUNIDAD
COMUNIDAD
COMUNIDAD
COMUNIDAD
COMUNIDAD
COMUNIDAD
COMUNIDAD
COMUNIDAD
COMUNIDAD
COMUNIDAD
COMUNIDAD
COMUNIDAD
COMUNIDAD
COMUNIDAD
COMUNIDAD
COMUNIDAD
COMUNIDAD
COMUNIDAD
COMUNIDAD
COMUNIDAD
COMUNIDAD
COMUNIDAD
COMUNIDAD
COMUNIDAD
COMUNIDAD
COMUNIDAD
COMUNIDAD
COMUNIDAD
COMUNIDAD
COMUNIDAD
COMUNIDAD
COMUNIDAD
COMUNIDAD
COMUNIDAD
COMUNIDAD
COMUNIDAD
COMUNIDAD
COMUNIDAD
COMUNIDAD
COMUNIDAD
COMUNIDAD
COMUNIDAD
COMUNIDAD
COMUNIDAD
COMUNIDAD
COMUNIDAD
COMUNIDAD
COMUNIDAD
COMUNIDAD
COMUNIDAD
COMUNIDAD
COMUNIDAD
COMUNIDAD
COMUNIDAD
COMUNIDAD
COMUNIDAD
COMUNIDAD
COMUNIDAD
COMUNIDAD
COMUNIDAD
COMUNIDAD
COMUNIDAD
COMUNIDAD
COMUNIDAD
COMUNIDAD
COMUNIDAD
COMUNIDAD
COMUNIDAD
COMUNIDAD
COMUNIDAD
COMUNIDAD
COMUNIDAD
COMUNIDAD
COMUNIDAD
COMUNIDAD
COMUNIDAD
COMUNIDAD
COMUNIDAD
COMUNIDAD
COMUNIDAD
COMUNIDAD
COMUNIDAD
COMUNIDAD
COMUNIDAD
COMUNIDAD
COMUNIDAD
COMUNIDAD
COMUNIDAD
COMUNIDAD
COMUNIDAD
COMUNIDAD
COMUNIDAD
COMUNIDAD
COMUNIDAD
COMUNIDAD
COMUNIDAD
COMUNIDAD
COMUNIDAD
COMUNIDAD
COMUNIDAD
COMUNIDAD
COMUNIDAD
COMUNIDAD
COMUNIDAD
COMUNIDAD
COMUNIDAD
COMUNIDAD
COMUNIDAD
COMUNIDAD
COMUNIDAD
COMUNIDAD
COMUNIDAD
COMUNIDAD
COMUNIDAD
COMUNIDAD
COMUNIDAD
COMUNIDAD
COMUNIDAD
COMUNIDAD
COMUNIDAD
COMUNIDAD
COMUNIDAD
COMUNIDAD
COMUNIDAD
COMUNIDAD
COMUNIDAD
COMUNIDAD
COMUNIDAD
COMUNIDAD
COMUNIDAD
COMUNIDAD
COMUNIDAD
COMUNIDAD
COMUNIDAD
COMUNIDAD
COMUNIDAD
COMUNIDAD
COMUNIDAD
COMUNIDAD
COMUNIDAD
COMUNIDAD
COMUNIDAD
COMUNIDAD
COMUNIDAD
COMUNIDAD
COMUNIDAD
COMUNIDAD
COMUNIDAD
COMUNIDAD
COMUNIDAD
COMUNIDAD
COMUNIDAD
COMUNIDAD
COMUNIDAD
COMUNIDAD
COMUNIDAD
COMUNIDAD
COMUNIDAD
COMUNIDAD
COMUNIDAD
COMUNIDAD
COMUNIDAD
COMUNIDAD
COMUNIDAD
COMUNIDAD
COMUNIDAD
COMUNIDAD
COMUNIDAD
COMUNIDAD
COMUNIDAD
COMUNIDAD
COMUNIDAD
COMUNIDAD
COMUNIDAD
COMUNIDAD
COMUNIDAD
COMUNIDAD
COMUNIDAD
COMUNIDAD
COMUNIDAD
COMUNIDAD
COMUNIDAD
COMUNIDAD
COMUNIDAD
COMUNIDAD
COMUNIDAD
COMUNIDAD
COMUNIDAD
COMUNIDAD
COMUNIDAD
COMUNIDAD
COMUNIDAD
COMUNIDAD
COMUNIDAD
COMUNIDAD
COMUNIDAD
COMUNIDAD
COMUNIDAD
COMUNIDAD
COMUNIDAD
COMUNIDAD
COMUNIDAD
COMUNIDAD
COMUNIDAD
COMUNIDAD
COMUNIDAD
COMUNIDAD
COMUNIDAD
COMUNIDAD
COMUNIDAD
COMUNIDAD
COMUNIDAD
COMUNIDAD
COMUNIDAD
COMUNIDAD
COMUNIDAD
COMUNIDAD
COMUNIDAD
COMUNIDAD
COMUNIDAD
COMUNIDAD
COMUNIDAD
COMUNIDAD
COMUNIDAD
COMUNIDAD
COMUNIDAD
COMUNIDAD
COMUNIDAD
COMUNIDAD
COMUNIDAD
COMUNIDAD
COMUNIDAD
COMUNIDAD
COMUNIDAD
COMUNIDAD
COMUNIDAD
COMUNIDAD
COMUNIDAD
COMUNIDAD
COMUNIDAD
COMUNIDAD
COMUNIDAD
COMUNIDAD
COMUNIDAD
COMUNIDAD
COMUNIDAD
COMUNIDAD
COMUNIDAD
COMUNIDAD
COMUNIDAD
COMUNIDAD
COMUNIDAD
COMUNIDAD
COMUNIDAD
COMUNIDAD
COMUNIDAD
COMUNIDAD
COMUNIDAD
COMUNIDAD
COMUNIDAD
COMUNIDAD
COMUNIDAD
COMUNIDAD
COMUNIDAD
COMUNIDAD
COMUNIDAD
COMUNIDAD
COMUNIDAD
COMUNIDAD
COMUNIDAD
COMUNIDAD
COMUNIDAD
COMUNIDAD
COMUNIDAD
COMUNIDAD
COMUNIDAD
COMUNIDAD
COMUNIDAD
COMUNIDAD
COMUNIDAD
COMUNIDAD
COMUNIDAD
COMUNIDAD
COMUNIDAD
COMUNIDAD
COMUNIDAD
COMUNIDAD
COMUNIDAD
COMUNIDAD
COMUNIDAD
COMUNIDAD
COMUNIDAD
COMUNIDAD
COMUNIDAD
COMUNIDAD
COMUNIDAD
COMUNIDAD
COMUNIDAD
COMUNIDAD
COMUNIDAD
COMUNIDAD
COMUNIDAD
COMUNIDAD
COMUNIDAD
COMUNIDAD
COMUNIDAD
COMUNIDAD
COMUNIDAD
COMUNIDAD
COMUNIDAD
COMUNIDAD
COMUNIDAD
COMUNIDAD
COMUNIDAD
COMUNIDAD
COMUNIDAD
COMUNIDAD
COMUNIDAD
COMUNIDAD
COMUNIDAD
COMUNIDAD
COMUNIDAD
COMUNIDAD
COMUNIDAD
COMUNIDAD
COMUNIDAD
COMUNIDAD
COMUNIDAD
COMUNIDAD
COMUNIDAD
COMUNIDAD
COMUNIDAD
COMUNIDAD
COMUNIDAD
COMUNIDAD
COMUNIDAD
COMUNIDAD
COMUNIDAD
COMUNIDAD
COMUNIDAD
COMUNIDAD
COMUNIDAD
COMUNIDAD
COMUNIDAD
COMUNIDAD
COMUNIDAD
COMUNIDAD
COMUNIDAD
COMUNIDAD
COMUNIDAD
COMUNIDAD
COMUNIDAD
COMUNIDAD
COMUNIDAD
COMUNIDAD
COMUNIDAD
COMUNIDAD
COMUNIDAD
COMUNIDAD
COMUNIDAD
COMUNIDAD
COMUNIDAD
COMUNIDAD
COMUNIDAD
COMUNIDAD
COMUNIDAD
COMUNIDAD
COMUNIDAD
COMUNIDAD
COMUNIDAD
COMUNIDAD
COMUNIDAD
COMUNIDAD
COMUNIDAD
COMUNIDAD
COMUNIDAD
COMUNIDAD
COMUNIDAD
COMUNIDAD
COMUNIDAD
COMUNIDAD
COMUNIDAD
COMUNIDAD
COMUNIDAD
COMUNIDAD
COMUNIDAD
COMUNIDAD
COMUNIDAD
COMUNIDAD
COMUNIDAD
COMUNIDAD
COMUNIDAD
COMUNIDAD
COMUNIDAD
COMUNIDAD
COMUNIDAD
COMUNIDAD
COMUNIDAD
COMUNIDAD
COMUNIDAD
COMUNIDAD
COMUNIDAD
COMUNIDAD
COMUNIDAD
COMUNIDAD
COMUNIDAD
COMUNIDAD
COMUNIDAD
COMUNIDAD
COMUNIDAD
COMUNIDAD
COMUNIDAD
COMUNIDAD
COMUNIDAD
COMUNIDAD
COMUNIDAD
COMUNIDAD
COMUNIDAD
COMUNIDAD
COMUNIDAD
COMUNIDAD
COMUNIDAD
COMUNIDAD
COMUNIDAD
COMUNIDAD
COMUNIDAD
COMUNIDAD
COMUNIDAD
COMUNIDAD
COMUNIDAD
COMUNIDAD
COMUNIDAD
COMUNIDAD
COMUNIDAD
COMUNIDAD
COMUNIDAD
COMUNIDAD
COMUNIDAD
COMUNIDAD
COMUNIDAD
COMUNIDAD
COMUNIDAD
COMUNIDAD
COMUNIDAD
COMUNIDAD
COMUNIDAD
COMUNIDAD
COMUNIDAD
COMUNIDAD
COMUNIDAD
COMUNIDAD
COMUNIDAD
COMUNIDAD
COMUNIDAD
COMUNIDAD
COMUNIDAD
COMUNIDAD
COMUNIDAD
COMUNIDAD
COMUNIDAD
COMUNIDAD
COMUNIDAD
COMUNIDAD
COMUNIDAD
COMUNIDAD
COMUNIDAD
COMUNIDAD
COMUNIDAD
COMUNIDAD
COMUNIDAD
COMUNIDAD
COMUNIDAD
COMUNIDAD
COMUNIDAD
COMUNIDAD
COMUNIDAD
COMUNIDAD
COMUNIDAD
COMUNIDAD
COMUNIDAD
COMUNIDAD
COMUNIDAD
COMUNIDAD
COMUNIDAD
COMUNIDAD
COMUNIDAD
COMUNIDAD
COMUNIDAD
COMUNIDAD
COMUNIDAD
COMUNIDAD
COMUNIDAD
COMUNIDAD
COMUNIDAD
COMUNIDAD
COMUNIDAD
COMUNIDAD
COMUNIDAD
COMUNIDAD
COMUNIDAD
COMUNIDAD
COMUNIDAD
COMUNIDAD
COMUNIDAD
COMUNIDAD
COMUNIDAD
COMUNIDAD
COMUNIDAD
COMUNIDAD
COMUNIDAD
COMUNIDAD
COMUNIDAD
COMUNIDAD
COMUNIDAD
COMUNIDAD
COMUNIDAD
COMUNIDAD
COMUNIDAD
COMUNIDAD
COMUNIDAD
COMUNIDAD
COMUNIDAD
COMUNIDAD
COMUNIDAD
COMUNIDAD
COMUNIDAD
COMUNIDAD
COMUNIDAD
COMUNIDAD
COMUNIDAD
COMUNIDAD
COMUNIDAD
COMUNIDAD
COMUNIDAD
COMUNIDAD
COMUNIDAD
COMUNIDAD
COMUNIDAD
COMUNIDAD
COMUNIDAD
COMUNIDAD
COMUNIDAD
COMUNIDAD
COMUNIDAD
COMUNIDAD
COMUNIDAD
COMUNIDAD
COMUNIDAD
COMUNIDAD
COMUNIDAD
COMUNIDAD
COMUNIDAD
COMUNIDAD
COMUNIDAD
COMUNIDAD
COMUNIDAD
COMUNIDAD
COMUNIDAD
COMUNIDAD
COMUNIDAD
COMUNIDAD
COMUNIDAD
COMUNIDAD
COMUNIDAD
COMUNIDAD
COMUNIDAD
COMUNIDAD
COMUNIDAD
COMUNIDAD
COMUNIDAD
COMUNIDAD
COMUNIDAD
COMUNIDAD
COMUNIDAD
COMUNIDAD
COMUNIDAD
COMUNIDAD
COMUNIDAD
COMUNIDAD
COMUNIDAD
COMUNIDAD
COMUNIDAD
COMUNIDAD
COMUNIDAD
COMUNIDAD
COMUNIDAD
COMUNIDAD
COMUNIDAD
COMUNIDAD
COMUNIDAD
COMUNIDAD
COMUNIDAD
COMUNIDAD
COMUNIDAD
COMUNIDAD
COMUNIDAD
COMUNIDAD
COMUNIDAD
COMUNIDAD
COMUNIDAD
COMUNIDAD
COMUNIDAD
COMUNIDAD
COMUNIDAD
COMUNIDAD
COMUNIDAD
COMUNIDAD
COMUNIDAD
COMUNIDAD
COMUNIDAD
COMUNIDAD
COMUNIDAD
COMUNIDAD
COMUNIDAD
COMUNIDAD
COMUNIDAD
COMUNIDAD
COMUNIDAD
COMUNIDAD
COMUNIDAD
COMUNIDAD
COMUNIDAD
COMUNIDAD
COMUNIDAD
COMUNIDAD
COMUNIDAD
COMUNIDAD
COMUNIDAD
COMUNIDAD
COMUNIDAD
COMUNIDAD
COMUNIDAD
COMUNIDAD
COMUNIDAD
COMUNIDAD
COMUNIDAD
COMUNIDAD
COMUNIDAD
COMUNIDAD
COMUNIDAD
COMUNIDAD
COMUNIDAD
COMUNIDAD
COMUNIDAD
COMUNIDAD
COMUNIDAD
COMUNIDAD
COMUNIDAD
COMUNIDAD
COMUNIDAD
COMUNIDAD
COMUNIDAD
COMUNIDAD
COMUNIDAD
COMUNIDAD
COMUNIDAD
COMUNIDAD
COMUNIDAD
COMUNIDAD
COMUNIDAD
COMUNIDAD
COMUNIDAD
COMUNIDAD
COMUNIDAD
COMUNIDAD
COMUNIDAD
COMUNIDAD
COMUNIDAD
COMUNIDAD
COMUNIDAD
COMUNIDAD
COMUNIDAD
COMUNIDAD
COMUNIDAD
COMUNIDAD
COMUNIDAD
COMUNIDAD
COMUNIDAD
COMUNIDAD
COMUNIDAD
COMUNIDAD
COMUNIDAD
COMUNIDAD
COMUNIDAD
COMUNIDAD
COMUNIDAD
COMUNIDAD
COMUNIDAD
COMUNIDAD
COMUNIDAD
COMUNIDAD
COMUNIDAD
COMUNIDAD
COMUNIDAD
COMUNIDAD
COMUNIDAD
COMUNIDAD
COMUNIDAD
COMUNIDAD
COMUNIDAD
COMUNIDAD
COMUNIDAD
COMUNIDAD
COMUNIDAD
COMUNIDAD
COMUNIDAD
COMUNIDAD
COMUNIDAD
COMUNIDAD
COMUNIDAD
COMUNIDAD
COMUNIDAD
COMUNIDAD
COMUNIDAD
COMUNIDAD
COMUNIDAD
COMUNIDAD
COMUNIDAD
COMUNIDAD
COMUNIDAD
COMUNIDAD
COMUNIDAD
COMUNIDAD
COMUNIDAD
COMUNIDAD
COMUNIDAD
COMUNIDAD
COMUNIDAD
COMUNIDAD
COMUNIDAD
COMUNIDAD
COMUNIDAD
COMUNIDAD
COMUNIDAD
COMUNIDAD
COMUNIDAD
COMUNIDAD
COMUNIDAD
COMUNIDAD
COMUNIDAD
COMUNIDAD
COMUNIDAD
COMUNIDAD
COMUNIDAD
COMUNIDAD
COMUNIDAD
COMUNIDAD
COMUNIDAD
COMUNIDAD
COMUNIDAD
COMUNIDAD
COMUNIDAD
COMUNIDAD
COMUNIDAD
COMUNIDAD
COMUNIDAD
COMUNIDAD
COMUNIDAD
COMUNIDAD
COMUNIDAD
COMUNIDAD
COMUNIDAD
COMUNIDAD
COMUNIDAD
COMUNIDAD
COMUNIDAD
COMUNIDAD
COMUNIDAD
COMUNIDAD
COMUNIDAD
COMUNIDAD
COMUNIDAD
COMUNIDAD
COMUNIDAD
COMUNIDAD
COMUNIDAD
COMUNIDAD
COMUNIDAD
COMUNIDAD
COMUNIDAD
COMUNIDAD
COMUNIDAD
COMUNIDAD
COMUNIDAD
COMUNIDAD
COMUNIDAD
COMUNIDAD
COMUNIDAD
COMUNIDAD
COMUNIDAD
COMUNIDAD
COMUNIDAD
COMUNIDAD
COMUNIDAD
COMUNIDAD
COMUNIDAD
COMUNIDAD
COMUNIDAD
COMUNIDAD
COMUNIDAD
COMUNIDAD
COMUNIDAD
COMUNIDAD
COMUNIDAD
COMUNIDAD
COMUNIDAD
COMUNIDAD
COMUNIDAD
COMUNIDAD
COMUNIDAD
COMUNIDAD
COMUNIDAD
COMUNIDAD
COMUNIDAD
COMUNIDAD
COMUNIDAD
COMUNIDAD
COMUNIDAD
COMUNIDAD
COMUNIDAD
COMUNIDAD
COMUNIDAD
COMUNIDAD
COMUNIDAD
COMUNIDAD
COMUNIDAD
COMUNIDAD
COMUNIDAD
COMUNIDAD
COMUNIDAD
COMUNIDAD
COMUNIDAD
COMUNIDAD
COMUNIDAD
COMUNIDAD
COMUNIDAD
COMUNIDAD
COMUNIDAD
COMUNIDAD
COMUNIDAD
COMUNIDAD
COMUNIDAD
COMUNIDAD
COMUNIDAD
COMUNIDAD
COMUNIDAD
COMUNIDAD
COMUNIDAD
COMUNIDAD
COMUNIDAD
COMUNIDAD
COMUNIDAD
COMUNIDAD
COMUNIDAD
COMUNIDAD
COMUNIDAD
COMUNIDAD
COMUNIDAD
COMUNIDAD
COMUNIDAD
COMUNIDAD
COMUNIDAD
COMUNIDAD
COMUNIDAD
COMUNIDAD
COMUNIDAD
COMUNIDAD
COMUNIDAD
COMUNIDAD
COMUNIDAD
COMUNIDAD
COMUNIDAD
COMUNIDAD
COMUNIDAD
COMUNIDAD
COMUNIDAD
COMUNIDAD
COMUNIDAD
COMUNIDAD
COMUNIDAD
COMUNIDAD
COMUNIDAD
COMUNIDAD
COMUNIDAD
COMUNIDAD
COMUNIDAD
COMUNIDAD
COMUNIDAD
COMUNIDAD
COMUNIDAD
COMUNIDAD
COMUNIDAD
COMUNIDAD
COMUNIDAD
COMUNIDAD
COMUNIDAD
COMUNIDAD
COMUNIDAD
COMUNIDAD
COMUNIDAD
COMUNIDAD
COMUNIDAD
COMUNIDAD
COMUNIDAD
COMUNIDAD
COMUNIDAD
COMUNIDAD
COMUNIDAD
COMUNIDAD
COMUNIDAD
COMUNIDAD
COMUNIDAD
COMUNIDAD
COMUNIDAD
COMUNIDAD
COMUNIDAD
COMUNIDAD
COMUNIDAD
COMUNIDAD
COMUNIDAD
COMUNIDAD
COMUNIDAD
COMUNIDAD
COMUNIDAD
COMUNIDAD
COMUNIDAD
COMUNIDAD
COMUNIDAD
COMUNIDAD
COMUNIDAD
COMUNIDAD
COMUNIDAD
COMUNIDAD
COMUNIDAD
COMUNIDAD
COMUNIDAD
COMUNIDAD
COMUNIDAD
COMUNIDAD
COMUNIDAD
COMUNIDAD
COMUNIDAD
COMUNIDAD
COMUNIDAD
COMUNIDAD
COMUNIDAD
COMUNIDAD
COMUNIDAD
COMUNIDAD
COMUNIDAD
COMUNIDAD
COMUNIDAD
COMUNIDAD
COMUNIDAD
COMUNIDAD
COMUNIDAD
COMUNIDAD
COMUNIDAD
COMUNIDAD
COMUNIDAD
COMUNIDAD
COMUNIDAD
COMUNIDAD
COMUNIDAD
COMUNIDAD
COMUNIDAD
COMUNIDAD
COMUNIDAD
COMUNIDAD
COMUNIDAD
COMUNIDAD
COMUNIDAD
COMUNIDAD
COMUNIDAD
COMUNIDAD
COMUNIDAD
COMUNIDAD
COMUNIDAD
COMUNIDAD
COMUNIDAD
COMUNIDAD
COMUNIDAD
COMUNIDAD
COMUNIDAD
COMUNIDAD
COMUNIDAD
COMUNIDAD
COMUNIDAD
COMUNIDAD
COMUNIDAD
COMUNIDAD
COMUNIDAD
COMUNIDAD
COMUNIDAD
COMUNIDAD
COMUNIDAD
COMUNIDAD
COMUNIDAD
COMUNIDAD
COMUNIDAD
COMUNIDAD
COMUNIDAD
COMUNIDAD
COMUNIDAD
COMUNIDAD
COMUNIDAD
COMUNIDAD
COMUNIDAD
COMUNIDAD
COMUNIDAD
COMUNIDAD
COMUNIDAD
COMUNIDAD
COMUNIDAD
COMUNIDAD
COMUNIDAD
COMUNIDAD
COMUNIDAD
COMUNIDAD
COMUNIDAD
COMUNIDAD
COMUNIDAD
COMUNIDAD
COMUNIDAD
COMUNIDAD
COMUNIDAD
COMUNIDAD
COMUNIDAD
COMUNIDAD
COMUNIDAD
COMUNIDAD
COMUNIDAD
COMUNIDAD
COMUNIDAD
COMUNIDAD
COMUNIDAD
COMUNIDAD
COMUNIDAD
COMUNIDAD
COMUNIDAD
COMUNIDAD
COMUNIDAD
COMUNIDAD
COMUNIDAD
COMUNIDAD
COMUNIDAD
COMUNIDAD
COMUNIDAD
COMUNIDAD
COMUNIDAD
COMUNIDAD
COMUNIDAD
COMUNIDAD
COMUNIDAD
COMUNIDAD
COMUNIDAD
COMUNIDAD
COMUNIDAD
COMUNIDAD
COMUNIDAD
COMUNIDAD
COMUNIDAD
COMUNIDAD
COMUNIDAD
COMUNIDAD
COMUNIDAD
COMUNIDAD
COMUNIDAD
COMUNIDAD
COMUNIDAD
COMUNIDAD
COMUNIDAD
COMUNIDAD
COMUNIDAD
COMUNIDAD
COMUNIDAD
COMUNIDAD
COMUNIDAD
COMUNIDAD
COMUNIDAD
COMUNIDAD
COMUNIDAD
COMUNIDAD
COMUNIDAD
COMUNIDAD
COMUNIDAD
COMUNIDAD
COMUNIDAD
COMUNIDAD
COMUNIDAD
COMUNIDAD
COMUNIDAD
COMUNIDAD
COMUNIDAD
COMUNIDAD
COMUNIDAD
COMUNIDAD
COMUNIDAD
COMUNIDAD
COMUNIDAD
COMUNIDAD
COMUNIDAD
COMUNIDAD
COMUNIDAD
COMUNIDAD
COMUNIDAD
COMUNIDAD
COMUNIDAD
COMUNIDAD
COMUNIDAD
COMUNIDAD
COMUNIDAD
COMUNIDAD
COMUNIDAD
COMUNIDAD
COMUNIDAD
COMUNIDAD
COMUNIDAD
COMUNIDAD
COMUNIDAD
COMUNIDAD
COMUNIDAD
COMUNIDAD
COMUNIDAD
COMUNIDAD
COMUNIDAD
COMUNIDAD
COMUNIDAD
COMUNIDAD
COMUNIDAD
COMUNIDAD
COMUNIDAD
COMUNIDAD
COMUNIDAD
COMUNIDAD
COMUNIDAD
COMUNIDAD
COMUNIDAD
COMUNIDAD
COMUNIDAD
COMUNIDAD
COMUNIDAD
COMUNIDAD
COMUNIDAD
COMUNIDAD
COMUNIDAD
COMUNIDAD
COMUNIDAD
COMUNIDAD
COMUNIDAD
COMUNIDAD
COMUNIDAD
COMUNIDAD
COMUNIDAD
COMUNIDAD
COMUNIDAD
COMUNIDAD
COMUNIDAD
COMUNIDAD
COMUNIDAD
COMUNIDAD
COMUNIDAD
COMUNIDAD
COMUNIDAD
COMUNIDAD
COMUNIDAD
COMUNIDAD
COMUNIDAD
COMUNIDAD
COMUNIDAD
COMUNIDAD
COMUNIDAD
COMUNIDAD
COMUNIDAD
COMUNIDAD
COMUNIDAD
COMUNIDAD
COMUNIDAD
COMUNIDAD
COMUNIDAD
COMUNIDAD
COMUNIDAD
COMUNIDAD
COMUNIDAD
COMUNIDAD
COMUNIDAD
COMUNIDAD
COMUNIDAD
COMUNIDAD
COMUNIDAD
COMUNIDAD
COMUNIDAD
COMUNIDAD
COMUNIDAD
COMUNIDAD
COMUNIDAD
COMUNIDAD
COMUNIDAD
COMUNIDAD
COMUNIDAD
COMUNIDAD
COMUNIDAD
COMUNIDAD
COMUNIDAD
COMUNIDAD
COMUNIDAD
COMUNIDAD
COMUNIDAD
COMUNIDAD
COMUNIDAD
COMUNIDAD
COMUNIDAD
COMUNIDAD
COMUNIDAD
COMUNIDAD
COMUNIDAD
COMUNIDAD
COMUNIDAD
COMUNIDAD
COMUNIDAD
COMUNIDAD
COMUNIDAD
COMUNIDAD
COMUNIDAD
COMUNIDAD
COMUNIDAD
COMUNIDAD
COMUNIDAD
COMUNIDAD
COMUNIDAD
COMUNIDAD
COMUNIDAD
COMUNIDAD
COMUNIDAD
COMUNIDAD
COMUNIDAD
COMUNIDAD
COMUNIDAD
COMUNIDAD
COMUNIDAD
COMUNIDAD
COMUNIDAD
COMUNIDAD
COMUNIDAD
COMUNIDAD
COMUNIDAD
COMUNIDAD
COMUNIDAD
COMUNIDAD
COMUNIDAD
COMUNIDAD
COMUNIDAD
COMUNIDAD
COMUNIDAD
COMUNIDAD
COMUNIDAD
COMUNIDAD
COMUNIDAD
COMUNIDAD
COMUNIDAD
COMUNIDAD
COMUNIDAD
COMUNIDAD
COMUNIDAD
COMUNIDAD
COMUNIDAD
COMUNIDAD
COMUNIDAD
COMUNIDAD
COMUNIDAD
COMUNIDAD
COMUNIDAD
COMUNIDAD
COMUNIDAD
COMUNIDAD
COMUNIDAD
COMUNIDAD
COMUNIDAD
COMUNIDAD
COMUNIDAD
COMUNIDAD
COMUNIDAD
COMUNIDAD
COMUNIDAD
COMUNIDAD
COMUNIDAD
COMUNIDAD
COMUNIDAD
COMUNIDAD
COMUNIDAD
COMUNIDAD
COMUNIDAD
COMUNIDAD
COMUNIDAD
COMUNIDAD
COMUNIDAD
COMUNIDAD
COMUNIDAD
COMUNIDAD
COMUNIDAD
COMUNIDAD
COMUNIDAD
COMUNIDAD
COMUNIDAD
COMUNIDAD
COMUNIDAD
COMUNIDAD
COMUNIDAD
COMUNIDAD
COMUNIDAD
COMUNIDAD
COMUNIDAD
COMUNIDAD
COMUNIDAD
COMUNIDAD
COMUNIDAD
COMUNIDAD
COMUNIDAD
COMUNIDAD
COMUNIDAD
COMUNIDAD
COMUNIDAD
COMUNIDAD
COMUNIDAD
COMUNIDAD
COMUNIDAD
COMUNIDAD
COMUNIDAD
COMUNIDAD
COMUNIDAD
COMUNIDAD
COMUNIDAD
COMUNIDAD
COMUNIDAD
COMUNIDAD
COMUNIDAD
COMUNIDAD
COMUNIDAD
COMUNIDAD
COMUNIDAD
COMUNIDAD
COMUNIDAD
COMUNIDAD
COMUNIDAD
COMUNIDAD
COMUNIDAD
COMUNIDAD
COMUNIDAD
COMUNIDAD
COMUNIDAD
COMUNIDAD
COMUNIDAD
COMUNIDAD
COMUNIDAD
COMUNIDAD
COMUNIDAD
COMUNIDAD
COMUNIDAD
COMUNIDAD
COMUNIDAD
COMUNIDAD
COMUNIDAD
COMUNIDAD
COMUNIDAD
COMUNIDAD
COMUNIDAD
COMUNIDAD
COMUNIDAD
COMUNIDAD
COMUNIDAD
COMUNIDAD
COMUNIDAD
COMUNIDAD
COMUNIDAD
COMUNIDAD
COMUNIDAD
COMUNIDAD
COMUNIDAD
COMUNIDAD
COMUNIDAD
COMUNIDAD
COMUNIDAD
COMUNIDAD
COMUNIDAD
COMUNIDAD
COMUNIDAD
COMUNIDAD
COMUNIDAD
COMUNIDAD
COMUNIDAD
COMUNIDAD
COMUNIDAD
COMUNIDAD
COMUNIDAD
COMUNIDAD
COMUNIDAD
COMUNIDAD
COMUNIDAD
COMUNIDAD
COMUNIDAD
COMUNIDAD
COMUNIDAD
COMUNIDAD
COMUNIDAD
COMUNIDAD
COMUNIDAD
COMUNIDAD
COMUNIDAD
COMUNIDAD
COMUNIDAD
COMUNIDAD
COMUNIDAD
COMUNIDAD
COMUNIDAD
COMUNIDAD
COMUNIDAD
COMUNIDAD
COMUNIDAD
COMUNIDAD
COMUNIDAD
COMUNIDAD
COMUNIDAD
COMUNIDAD
COMUNIDAD
COMUNIDAD
COMUNIDAD
COMUNIDAD
COMUNIDAD
COMUNIDAD
COMUNIDAD
COMUNIDAD
COMUNIDAD
COMUNIDAD
COMUNIDAD
COMUNIDAD
COMUNIDAD
COMUNIDAD
COMUNIDAD
COMUNIDAD
COMUNIDAD
COMUNIDAD
COMUNIDAD
COMUNIDAD
COMUNIDAD
COMUNIDAD
COMUNIDAD
COMUNIDAD
COMUNIDAD
COMUNIDAD
COMUNIDAD
COMUNIDAD
COMUNIDAD
COMUNIDAD
COMUNIDAD
COMUNIDAD
COMUNIDAD
COMUNIDAD
COMUNIDAD
COMUNIDAD
COMUNIDAD
COMUNIDAD
COMUNIDAD
COMUNIDAD
COMUNIDAD
COMUNIDAD
COMUNIDAD
COMUNIDAD
COMUNIDAD
COMUNIDAD
COMUNIDAD
COMUNIDAD
COMUNIDAD
COMUNIDAD
COMUNIDAD
COMUNIDAD
COMUNIDAD
COMUNIDAD
COMUNIDAD
COMUNIDAD
COMUNIDAD
COMUNIDAD
COMUNIDAD
COMUNIDAD
COMUNIDAD
COMUNIDAD
COMUNIDAD
COMUNIDAD
COMUNIDAD
COMUNIDAD
COMUNIDAD
COMUNIDAD
COMUNIDAD
COMUNIDAD
COMUNIDAD
COMUNIDAD
COMUNIDAD
COMUNIDAD
COMUNIDAD
COMUNIDAD
COMUNIDAD
COMUNIDAD
COMUNIDAD
COMUNIDAD
COMUNIDAD
COMUNIDAD
COMUNIDAD
COMUNIDAD
COMUNIDAD
COMUNIDAD
COMUNIDAD
COMUNIDAD
COMUNIDAD
COMUNIDAD
COMUNIDAD
COMUNIDAD
COMUNIDAD
COMUNIDAD
COMUNIDAD
COMUNIDAD
COMUNIDAD
COMUNIDAD
COMUNIDAD
COMUNIDAD
COMUNIDAD
COMUNIDAD
COMUNIDAD
COMUNIDAD
COMUNIDAD
COMUNIDAD
COMUNIDAD
COMUNIDAD
COMUNIDAD
COMUNIDAD
COMUNIDAD
COMUNIDAD
COMUNIDAD
COMUNIDAD
COMUNIDAD
COMUNIDAD
COMUNIDAD
COMUNIDAD
COMUNIDAD
COMUNIDAD
COMUNIDAD
COMUNIDAD
COMUNIDAD
COMUNIDAD
COMUNIDAD
COMUNIDAD
COMUNIDAD
COMUNIDAD
COMUNIDAD
COMUNIDAD
COMUNIDAD
COMUNIDAD
COMUNIDAD
COMUNIDAD
COMUNIDAD
COMUNIDAD
COMUNIDAD
COMUNIDAD
COMUNIDAD
COMUNIDAD
COMUNIDAD
COMUNIDAD
COMUNIDAD
COMUNIDAD
COMUNIDAD
COMUNIDAD
COMUNIDAD
COMUNIDAD
COMUNIDAD
COMUNIDAD
COMUNIDAD
COMUNIDAD
COMUNIDAD
COMUNIDAD
COMUNIDAD
COMUNIDAD
COMUNIDAD
COMUNIDAD
COMUNIDAD
COMUNIDAD
COMUNIDAD
COMUNIDAD
COMUNIDAD
COMUNIDAD
COMUNIDAD
COMUNIDAD
COMUNIDAD
COMUNIDAD
COMUNIDAD
COMUNIDAD
COMUNIDAD
COMUNIDAD
COMUNIDAD
COMUNIDAD
COMUNIDAD
COMUNIDAD
COMUNIDAD
COMUNIDAD
COMUNIDAD
COMUNIDAD
COMUNIDAD
COMUNIDAD
COMUNIDAD
COMUNIDAD
COMUNIDAD
COMUNIDAD
COMUNIDAD
COMUNIDAD
COMUNIDAD
COMUNIDAD
COMUNIDAD
COMUNIDAD
COMUNIDAD
COMUNIDAD
COMUNIDAD
COMUNIDAD
COMUNIDAD
COMUNIDAD
COMUNIDAD
COMUNIDAD
COMUNIDAD
COMUNIDAD
COMUNIDAD
COMUNIDAD
COMUNIDAD
COMUNIDAD
COMUNIDAD
COMUNIDAD
COMUNIDAD
COMUNIDAD
COMUNIDAD
COMUNIDAD
COMUNIDAD
COMUNIDAD
COMUNIDAD
COMUNIDAD
COMUNIDAD
COMUNIDAD
COMUNIDAD
COMUNIDAD
COMUNIDAD
COMUNIDAD
COMUNIDAD
COMUNIDAD
COMUNIDAD
COMUNIDAD
COMUNIDAD
COMUNIDAD
COMUNIDAD
COMUNIDAD
COMUNIDAD
COMUNIDAD
COMUNIDAD
COMUNIDAD
COMUNIDAD
COMUNIDAD
COMUNIDAD
COMUNIDAD
COMUNIDAD
COMUNIDAD
COMUNIDAD
COMUNIDAD
COMUNIDAD
COMUNIDAD
COMUNIDAD
COMUNIDAD
COMUNIDAD
COMUNIDAD
COMUNIDAD
COMUNIDAD
COMUNIDAD
COMUNIDAD
COMUNIDAD
COMUNIDAD
COMUNIDAD
COMUNIDAD
COMUNIDAD
COMUNIDAD
COMUNIDAD
COMUNIDAD
COMUNIDAD
COMUNIDAD
COMUNIDAD
COMUNIDAD
COMUNIDAD
COMUNIDAD
COMUNIDAD
COMUNIDAD
COMUNIDAD
COMUNIDAD
COMUNIDAD
COMUNIDAD
COMUNIDAD
COMUNIDAD
COMUNIDAD
COMUNIDAD
COMUNIDAD
COMUNIDAD
COMUNIDAD
COMUNIDAD
COMUNIDAD
COMUNIDAD
COMUNIDAD
COMUNIDAD
COMUNIDAD
COMUNIDAD
COMUNIDAD
COMUNIDAD
COMUNIDAD
COMUNIDAD
COMUNIDAD
COMUNIDAD
COMUNIDAD
COMUNIDAD
COMUNIDAD
COMUNIDAD
COMUNIDAD
COMUNIDAD
COMUNIDAD
COMUNIDAD
COMUNIDAD
COMUNIDAD
COMUNIDAD
COMUNIDAD
COMUNIDAD
COMUNIDAD
COMUNIDAD
COMUNIDAD
COMUNIDAD
COMUNIDAD
COMUNIDAD
COMUNIDAD
COMUNIDAD
COMUNIDAD
COMUNIDAD
COMUNIDAD
COMUNIDAD
COMUNIDAD
COMUNIDAD
COMUNIDAD
COMUNIDAD
COMUNIDAD
COMUNIDAD
COMUNIDAD
COMUNIDAD
COMUNIDAD
COMUNIDAD
COMUNIDAD
COMUNIDAD
COMUNIDAD
COMUNIDAD
COMUNIDAD
COMUNIDAD
COMUNIDAD
COMUNIDAD
COMUNIDAD
COMUNIDAD
COMUNIDAD
COMUNIDAD
COMUNIDAD
COMUNIDAD
COMUNIDAD
COMUNIDAD
COMUNIDAD
COMUNIDAD
COMUNIDAD
COMUNIDAD
COMUNIDAD
COMUNIDAD
COMUNIDAD
COMUNIDAD
COMUNIDAD
COMUNIDAD
COMUNIDAD
COMUNIDAD
COMUNIDAD
COMUNIDAD
COMUNIDAD
COMUNIDAD
COMUNIDAD
COMUNIDAD
COMUNIDAD
COMUNIDAD
COMUNIDAD
COMUNIDAD
COMUNIDAD
COMUNIDAD
COMUNIDAD
COMUNIDAD
COMUNIDAD
COMUNIDAD
COMUNIDAD
COMUNIDAD
COMUNIDAD
COMUNIDAD
COMUNIDAD
COMUNIDAD
COMUNIDAD
COMUNIDAD
COMUNIDAD
COMUNIDAD
COMUNIDAD
COMUNIDAD
COMUNIDAD
COMUNIDAD
COMUNIDAD
COMUNIDAD
COMUNIDAD
COMUNIDAD
COMUNIDAD
COMUNIDAD
COMUNIDAD
COMUNIDAD
COMUNIDAD
COMUNIDAD
COMUNIDAD
COMUNIDAD
COMUNIDAD
COMUNIDAD
COMUNIDAD
COMUNIDAD
COMUNIDAD
COMUNIDAD
COMUNIDAD
COMUNIDAD
COMUNIDAD
COMUNIDAD
COMUNIDAD
COMUNIDAD
COMUNIDAD
COMUNIDAD
COMUNIDAD
COMUNIDAD
COMUNIDAD
COMUNIDAD
COMUNIDAD
COMUNIDAD
COMUNIDAD
COMUNIDAD
COMUNIDAD
COMUNIDAD
COMUNIDAD
COMUNIDAD
COMUNIDAD
COMUNIDAD
COMUNIDAD
COMUNIDAD
COMUNIDAD
COMUNIDAD
COMUNIDAD
COMUNIDAD
COMUNIDAD
COMUNIDAD
COMUNIDAD
COMUNIDAD
COMUNIDAD
COMUNIDAD
COMUNIDAD
COMUNIDAD
COMUNIDAD
COMUNIDAD
COMUNIDAD
COMUNIDAD
COMUNIDAD
COMUNIDAD
COMUNIDAD
COMUNIDAD
COMUNIDAD
COMUNIDAD
COMUNIDAD
COMUNIDAD
COMUNIDAD
COMUNIDAD
COMUNIDAD
COMUNIDAD
COMUNIDAD
COMUNIDAD
COMUNIDAD
COMUNIDAD
COMUNIDAD
COMUNIDAD
COMUNIDAD
COMUNIDAD
COMUNIDAD
COMUNIDAD
COMUNIDAD
COMUNIDAD
COMUNIDAD
COMUNIDAD
COMUNIDAD
COMUNIDAD
COMUNIDAD
COMUNIDAD
COMUNIDAD
COMUNIDAD
COMUNIDAD
COMUNIDAD
COMUNIDAD
COMUNIDAD
COMUNIDAD
COMUNIDAD
COMUNIDAD
COMUNIDAD
COMUNIDAD
COMUNIDAD
COMUNIDAD
COMUNIDAD
COMUNIDAD
COMUNIDAD
COMUNIDAD
COMUNIDAD
COMUNIDAD
COMUNIDAD
COMUNIDAD
COMUNIDAD
COMUNIDAD
COMUNIDAD
COMUNIDAD
COMUNIDAD
COMUNIDAD
COMUNIDAD
COMUNIDAD
COMUNIDAD
COMUNIDAD
COMUNIDAD
COMUNIDAD
COMUNIDAD
COMUNIDAD
COMUNIDAD
COMUNIDAD
COMUNIDAD
COMUNIDAD
COMUNIDAD
COMUNIDAD
COMUNIDAD
COMUNIDAD
COMUNIDAD
COMUNIDAD
COMUNIDAD
COMUNIDAD
COMUNIDAD
COMUNIDAD
COMUNIDAD
COMUNIDAD
COMUNIDAD
COMUNIDAD
COMUNIDAD
COMUNIDAD
COMUNIDAD
COMUNIDAD
COMUNIDAD
COMUNIDAD
COMUNIDAD
COMUNIDAD
COMUNIDAD
COMUNIDAD
COMUNIDAD
COMUNIDAD
COMUNIDAD
COMUNIDAD
COMUNIDAD
COMUNIDAD
COMUNIDAD
COMUNIDAD
COMUNIDAD
COMUNIDAD
COMUNIDAD
COMUNIDAD
COMUNIDAD
COMUNIDAD
COMUNIDAD
COMUNIDAD
COMUNIDAD
COMUNIDAD
COMUNIDAD
COMUNIDAD
COMUNIDAD
COMUNIDAD
COMUNIDAD
COMUNIDAD
COMUNIDAD
COMUNIDAD
COMUNIDAD
COMUNIDAD
COMUNIDAD
COMUNIDAD
COMUNIDAD
COMUNIDAD
COMUNIDAD
COMUNIDAD
COMUNIDAD
COMUNIDAD
COMUNIDAD
COMUNIDAD
COMUNIDAD
COMUNIDAD
COMUNIDAD
COMUNIDAD
COMUNIDAD
COMUNIDAD
COMUNIDAD
COMUNIDAD
COMUNIDAD
COMUNIDAD
COMUNIDAD
COMUNIDAD
COMUNIDAD
COMUNIDAD
COMUNIDAD
COMUNIDAD
COMUNIDAD
COMUNIDAD
COMUNIDAD
COMUNIDAD
COMUNIDAD
COMUNIDAD
COMUNIDAD
COMUNIDAD
COMUNIDAD
COMUNIDAD
COMUNIDAD
COMUNIDAD
COMUNIDAD
COMUNIDAD
COMUNIDAD
COMUNIDAD
COMUNIDAD
COMUNIDAD
COMUNIDAD
COMUNIDAD
COMUNIDAD
COMUNIDAD
COMUNIDAD
COMUNIDAD
COMUNIDAD
COMUNIDAD
COMUNIDAD
COMUNIDAD
COMUNIDAD
COMUNIDAD
COMUNIDAD
COMUNIDAD
COMUNIDAD
COMUNIDAD
COMUNIDAD
COMUNIDAD
COMUNIDAD
COMUNIDAD
COMUNIDAD
COMUNIDAD
COMUNIDAD
COMUNIDAD
COMUNIDAD
COMUNIDAD
COMUNIDAD
COMUNIDAD
COMUNIDAD
COMUNIDAD
COMUNIDAD
COMUNIDAD
COMUNIDAD
COMUNIDAD
COMUNIDAD
COMUNIDAD
COMUNIDAD
COMUNIDAD
COMUNIDAD
COMUNIDAD
COMUNIDAD
COMUNIDAD
COMUNIDAD
COMUNIDAD
COMUNIDAD
COMUNIDAD
COMUNIDAD
COMUNIDAD
COMUNIDAD
COMUNIDAD
COMUNIDAD
COMUNIDAD
COMUNIDAD
COMUNIDAD
COMUNIDAD
COMUNIDAD
COMUNIDAD
COMUNIDAD
COMUNIDAD
COMUNIDAD
COMUNIDAD
COMUNIDAD
COMUNIDAD
COMUNIDAD
COMUNIDAD
COMUNIDAD
COMUNIDAD
COMUNIDAD
COMUNIDAD
COMUNIDAD
COMUNIDAD
COMUNIDAD
COMUNIDAD
COMUNIDAD
COMUNIDAD
COMUNIDAD
COMUNIDAD
COMUNIDAD
COMUNIDAD
COMUNIDAD
COMUNIDAD
COMUNIDAD
COMUNIDAD
COMUNIDAD
COMUNIDAD
COMUNIDAD
COMUNIDAD
COMUNIDAD
COMUNIDAD
COMUNIDAD
COMUNIDAD
COMUNIDAD
COMUNIDAD
COMUNIDAD
COMUNIDAD
COMUNIDAD
COMUNIDAD
COMUNIDAD
COMUNIDAD
COMUNIDAD
COMUNIDAD
COMUNIDAD
COMUNIDAD
COMUNIDAD
COMUNIDAD
COMUNIDAD
COMUNIDAD
COMUNIDAD
COMUNIDAD
COMUNIDAD
COMUNIDAD
COMUNIDAD
COMUNIDAD
COMUNIDAD
COMUNIDAD
COMUNIDAD
COMUNIDAD
COMUNIDAD
COMUNIDAD
COMUNIDAD
COMUNIDAD
COMUNIDAD
COMUNIDAD
COMUNIDAD
COMUNIDAD
COMUNIDAD
COMUNIDAD
COMUNIDAD
COMUNIDAD
COMUNIDAD
COMUNIDAD
COMUNIDAD
COMUNIDAD
COMUNIDAD
COMUNIDAD
COMUNIDAD
COMUNIDAD
COMUNIDAD
COMUNIDAD
COMUNIDAD
COMUNIDAD
COMUNIDAD
COMUNIDAD
COMUNIDAD
COMUNIDAD
COMUNIDAD
COMUNIDAD
COMUNIDAD
COMUNIDAD
COMUNIDAD
COMUNIDAD
COMUNIDAD
COMUNIDAD
COMUNIDAD
COMUNIDAD
COMUNIDAD
COMUNIDAD
COMUNIDAD
COMUNIDAD
COMUNIDAD
COMUNIDAD
COMUNIDAD
COMUNIDAD
COMUNIDAD
COMUNIDAD
COMUNIDAD
COMUNIDAD
COMUNIDAD
COMUNIDAD
COMUNIDAD
COMUNIDAD
COMUNIDAD
COMUNIDAD
COMUNIDAD
COMUNIDAD
COMUNIDAD
COMUNIDAD
COMUNIDAD
COMUNIDAD
COMUNIDAD
COMUNIDAD
COMUNIDAD
COMUNIDAD
COMUNIDAD
COMUNIDAD
COMUNIDAD
COMUNIDAD
COMUNIDAD
COMUNIDAD
COMUNIDAD
COMUNIDAD
COMUNIDAD
COMUNIDAD
COMUNIDAD
COMUNIDAD
COMUNIDAD
COMUNIDAD
COMUNIDAD
COMUNIDAD
COMUNIDAD
COMUNIDAD
COMUNIDAD
COMUNIDAD
COMUNIDAD
COMUNIDAD
COMUNIDAD
COMUNIDAD
COMUNIDAD
COMUNIDAD
COMUNIDAD
COMUNIDAD
COMUNIDAD
COMUNIDAD
COMUNIDAD
COMUNIDAD
COMUNIDAD
COMUNIDAD
COMUNIDAD
COMUNIDAD
COMUNIDAD
COMUNIDAD
COMUNIDAD
COMUNIDAD
COMUNIDAD
COMUNIDAD
COMUNIDAD
COMUNIDAD
COMUNIDAD
COMUNIDAD
COMUNIDAD
COMUNIDAD
COMUNIDAD
COMUNIDAD
COMUNIDAD
COMUNIDAD
COMUNIDAD
COMUNIDAD
COMUNIDAD
COMUNIDAD
COMUNIDAD
COMUNIDAD
COMUNIDAD
COMUNIDAD
COMUNIDAD
COMUNIDAD
COMUNIDAD
COMUNIDAD
COMUNIDAD
COMUNIDAD
COMUNIDAD
COMUNIDAD
COMUNIDAD
COMUNIDAD
COMUNIDAD
COMUNIDAD
COMUNIDAD
COMUNIDAD
COMUNIDAD
COMUNIDAD
COMUNIDAD
COMUNIDAD
COMUNIDAD
COMUNIDAD
COMUNIDAD
COMUNIDAD
COMUNIDAD
COMUNIDAD
COMUNIDAD
COMUNIDAD
COMUNIDAD
COMUNIDAD
COMUNIDAD
COMUNIDAD
COMUNIDAD
COMUNIDAD
COMUNIDAD
COMUNIDAD
COMUNIDAD
COMUNIDAD
COMUNIDAD
COMUNIDAD
COMUNIDAD
COMUNIDAD
COMUNIDAD
COMUNIDAD
COMUNIDAD
COMUNIDAD
COMUNIDAD
COMUNIDAD
COMUNIDAD
COMUNIDAD
COMUNIDAD
COMUNIDAD
COMUNIDAD
COMUNIDAD
COMUNIDAD
COMUNIDAD
COMUNIDAD
COMUNIDAD
COMUNIDAD
COMUNIDAD
COMUNIDAD
COMUNIDAD
COMUNIDAD
COMUNIDAD
COMUNIDAD
COMUNIDAD
COMUNIDAD
COMUNIDAD
COMUNIDAD
COMUNIDAD
COMUNIDAD
COMUNIDAD
COMUNIDAD
COMUNIDAD
COMUNIDAD
COMUNIDAD
COMUNIDAD
COMUNIDAD
COMUNIDAD
COMUNIDAD
COMUNIDAD
COMUNIDAD
COMUNIDAD
COMUNIDAD
COMUNIDAD
COMUNIDAD
COMUNIDAD
COMUNIDAD
COMUNIDAD
COMUNIDAD
COMUNIDAD
COMUNIDAD
COMUNIDAD
COMUNIDAD
COMUNIDAD
COMUNIDAD
COMUNIDAD
COMUNIDAD
COMUNIDAD
COMUNIDAD
COMUNIDAD
COMUNIDAD
COMUNIDAD
COMUNIDAD
COMUNIDAD
COMUNIDAD
COMUNIDAD
COMUNIDAD
COMUNIDAD
COMUNIDAD
COMUNIDAD
COMUNIDAD
COMUNIDAD
COMUNIDAD
COMUNIDAD
COMUNIDAD
COMUNIDAD
COMUNIDAD
COMUNIDAD
COMUNIDAD
COMUNIDAD
COMUNIDAD
COMUNIDAD
COMUNIDAD
COMUNIDAD
COMUNIDAD
COMUNIDAD
COMUNIDAD
COMUNIDAD
COMUNIDAD
COMUNIDAD
COMUNIDAD
COMUNIDAD
COMUNIDAD
COMUNIDAD
COMUNIDAD
COMUNIDAD
COMUNIDAD
COMUNIDAD
COMUNIDAD
COMUNIDAD
COMUNIDAD
COMUNIDAD
COMUNIDAD
COMUNIDAD
COMUNIDAD
COMUNIDAD
COMUNIDAD
COMUNIDAD
COMUNIDAD
COMUNIDAD
COMUNIDAD
COMUNIDAD
COMUNIDAD
COMUNIDAD
COMUNIDAD
COMUNIDAD
COMUNIDAD
COMUNIDAD
COMUNIDAD
COMUNIDAD
COMUNIDAD
COMUNIDAD
COMUNIDAD
COMUNIDAD
COMUNIDAD
COMUNIDAD
COMUNIDAD
COMUNIDAD
COMUNIDAD
COMUNIDAD
COMUNIDAD
COMUNIDAD
COMUNIDAD
COMUNIDAD
COMUNIDAD
COMUNIDAD
COMUNIDAD
COMUNIDAD
COMUNIDAD
COMUNIDAD
COMUNIDAD
COMUNIDAD
COMUNIDAD
COMUNIDAD
COMUNIDAD
COMUNIDAD
COMUNIDAD
COMUNIDAD
COMUNIDAD
COMUNIDAD
COMUNIDAD
COMUNIDAD
COMUNIDAD
COMUNIDAD
COMUNIDAD
COMUNIDAD
COMUNIDAD
COMUNIDAD
COMUNIDAD
COMUNIDAD
COMUNIDAD
COMUNIDAD
COMUNIDAD
COMUNIDAD
COMUNIDAD
COMUNIDAD
COMUNIDAD
COMUNIDAD
COMUNIDAD
COMUNIDAD
COMUNIDAD
COMUNIDAD
COMUNIDAD
COMUNIDAD
COMUNIDAD
COMUNIDAD
COMUNIDAD
COMUNIDAD
COMUNIDAD
COMUNIDAD
COMUNIDAD
COMUNIDAD
COMUNIDAD
COMUNIDAD
COMUNIDAD
COMUNIDAD
COMUNIDAD
COMUNIDAD
COMUNIDAD
COMUNIDAD
COMUNIDAD
COMUNIDAD
COMUNIDAD
COMUNIDAD
COMUNIDAD
COMUNIDAD
COMUNIDAD
COMUNIDAD
COMUNIDAD
COMUNIDAD
COMUNIDAD
COMUNIDAD
COMUNIDAD
COMUNIDAD
COMUNIDAD
COMUNIDAD
COMUNIDAD
COMUNIDAD
COMUNIDAD
COMUNIDAD
COMUNIDAD
COMUNIDAD
COMUNIDAD
COMUNIDAD
COMUNIDAD
COMUNIDAD
COMUNIDAD
COMUNIDAD
COMUNIDAD
COMUNIDAD
COMUNIDAD
COMUNIDAD
COMUNIDAD
COMUNIDAD
COMUNIDAD
COMUNIDAD
COMUNIDAD
COMUNIDAD
COMUNIDAD
COMUNIDAD
COMUNIDAD
COMUNIDAD
COMUNIDAD
COMUNIDAD
COMUNIDAD
COMUNIDAD
COMUNIDAD
COMUNIDAD
COMUNIDAD
COMUNIDAD
COMUNIDAD
COMUNIDAD
COMUNIDAD
COMUNIDAD
COMUNIDAD
COMUNIDAD
COMUNIDAD
COMUNIDAD
COMUNIDAD
COMUNIDAD
COMUNIDAD
COMUNIDAD
COMUNIDAD
COMUNIDAD
COMUNIDAD
COMUNIDAD
COMUNIDAD
COMUNIDAD
COMUNIDAD
COMUNIDAD
COMUNIDAD
COMUNIDAD
COMUNIDAD
COMUNIDAD
COMUNIDAD
COMUNIDAD
COMUNIDAD
COMUNIDAD
COMUNIDAD
COMUNIDAD
COMUNIDAD
COMUNIDAD
COMUNIDAD
COMUNIDAD
COMUNIDAD
COMUNIDAD
COMUNIDAD
COMUNIDAD
COMUNIDAD
COMUNIDAD
COMUNIDAD
COMUNIDAD
COMUNIDAD
COMUNIDAD
COMUNIDAD
COMUNIDAD
COMUNIDAD
COMUNIDAD
COMUNIDAD
COMUNIDAD
COMUNIDAD
COMUNIDAD
COMUNIDAD
COMUNIDAD
COMUNIDAD
COMUNIDAD
COMUNIDAD
COMUNIDAD
COMUNIDAD
COMUNIDAD
COMUNIDAD
COMUNIDAD
COMUNIDAD
COMUNIDAD
COMUNIDAD
COMUNIDAD
COMUNIDAD
COMUNIDAD
COMUNIDAD
COMUNIDAD
COMUNIDAD
COMUNIDAD
COMUNIDAD
COMUNIDAD
COMUNIDAD
COMUNIDAD
COMUNIDAD
COMUNIDAD
COMUNIDAD
COMUNIDAD
COMUNIDAD
COMUNIDAD
COMUNIDAD
COMUNIDAD
COMUNIDAD
COMUNIDAD
COMUNIDAD
COMUNIDAD
COMUNIDAD
COMUNIDAD
COMUNIDAD
COMUNIDAD
COMUNIDAD
COMUNIDAD
COMUNIDAD
COMUNIDAD
COMUNIDAD
COMUNIDAD
COMUNIDAD
COMUNIDAD
COMUNIDAD
COMUNIDAD
COMUNIDAD
COMUNIDAD
COMUNIDAD
COMUNIDAD
COMUNIDAD
COMUNIDAD
COMUNIDAD
COMUNIDAD
COMUNIDAD
COMUNIDAD
COMUNIDAD
COMUNIDAD
COMUNIDAD
COMUNIDAD
COMUNIDAD
COMUNIDAD
COMUNIDAD
COMUNIDAD
COMUNIDAD
COMUNIDAD
COMUNIDAD
COMUNIDAD
COMUNIDAD
COMUNIDAD
COMUNIDAD
COMUNIDAD
COMUNIDAD
COMUNIDAD
COMUNIDAD
COMUNIDAD
COMUNIDAD
COMUNIDAD
COMUNIDAD
COMUNIDAD
COMUNIDAD
COMUNIDAD
COMUNIDAD
COMUNIDAD
COMUNIDAD
COMUNIDAD
COMUNIDAD
COMUNIDAD
COMUNIDAD
COMUNIDAD
COMUNIDAD
COMUNIDAD
COMUNIDAD
COMUNIDAD
COMUNIDAD
COMUNIDAD
COMUNIDAD
COMUNIDAD
COMUNIDAD
COMUNIDAD
COMUNIDAD
COMUNIDAD
COMUNIDAD
COMUNIDAD
COMUNIDAD
COMUNIDAD
COMUNIDAD
COMUNIDAD
COMUNIDAD
COMUNIDAD
COMUNIDAD
COMUNIDAD
COMUNIDAD
COMUNIDAD
COMUNIDAD
COMUNIDAD
COMUNIDAD
COMUNIDAD
COMUNIDAD
COMUNIDAD
COMUNIDAD
COMUNIDAD
COMUNIDAD
COMUNIDAD
COMUNIDAD
COMUNIDAD
COMUNIDAD
COMUNIDAD
COMUNIDAD
COMUNIDAD
COMUNIDAD
COMUNIDAD
COMUNIDAD
COMUNIDAD
COMUNIDAD
COMUNIDAD
COMUNIDAD
COMUNIDAD
COMUNIDAD
COMUNIDAD
COMUNIDAD
COMUNIDAD
COMUNIDAD
COMUNIDAD
COMUNIDAD
COMUNIDAD
COMUNIDAD
COMUNIDAD
COMUNIDAD
COMUNIDAD
COMUNIDAD
COMUNIDAD
COMUNIDAD
COMUNIDAD
COMUNIDAD
COMUNIDAD
COMUNIDAD
COMUNIDAD
COMUNIDAD
COMUNIDAD
COMUNIDAD
COMUNIDAD
COMUNIDAD
COMUNIDAD
COMUNIDAD
COMUNIDAD
COMUNIDAD
COMUNIDAD
COMUNIDAD
COMUNIDAD
COMUNIDAD
COMUNIDAD
COMUNIDAD
COMUNIDAD
COMUNIDAD
COMUNIDAD
COMUNIDAD
COMUNIDAD
COMUNIDAD
COMUNIDAD
COMUNIDAD
COMUNIDAD
COMUNIDAD
COMUNIDAD
COMUNIDAD
COMUNIDAD
COMUNIDAD
COMUNIDAD
COMUNIDAD
COMUNIDAD
COMUNIDAD
COMUNIDAD
COMUNIDAD
COMUNIDAD
COMUNIDAD
COMUNIDAD
COMUNIDAD
COMUNIDAD
COMUNIDAD
COMUNIDAD
COMUNIDAD
COMUNIDAD
COMUNIDAD
COMUNIDAD
COMUNIDAD
COMUNIDAD
COMUNIDAD
COMUNIDAD
COMUNIDAD
COMUNIDAD
COMUNIDAD
COMUNIDAD
COMUNIDAD
COMUNIDAD
COMUNIDAD
COMUNIDAD
COMUNIDAD
COMUNIDAD
COMUNIDAD
COMUNIDAD
COMUNIDAD
COMUNIDAD
COMUNIDAD
COMUNIDAD
COMUNIDAD
COMUNIDAD
COMUNIDAD
COMUNIDAD
COMUNIDAD
COMUNIDAD
COMUNIDAD
COMUNIDAD
COMUNIDAD
COMUNIDAD
COMUNIDAD
COMUNIDAD
COMUNIDAD
COMUNIDAD
COMUNIDAD
COMUNIDAD
COMUNIDAD
COMUNIDAD
COMUNIDAD
COMUNIDAD
COMUNIDAD
COMUNIDAD
COMUNIDAD
COMUNIDAD
COMUNIDAD
COMUNIDAD
COMUNIDAD
COMUNIDAD
COMUNIDAD
COMUNIDAD
COMUNIDAD
COMUNIDAD
COMUNIDAD
COMUNIDAD
COMUNIDAD
COMUNIDAD
COMUNIDAD
COMUNIDAD
COMUNIDAD
COMUNIDAD
COMUNIDAD
COMUNIDAD
COMUNIDAD
COMUNIDAD
COMUNIDAD
COMUNIDAD
COMUNIDAD
COMUNIDAD
COMUNIDAD
COMUNIDAD
COMUNIDAD
COMUNIDAD
COMUNIDAD
COMUNIDAD
COMUNIDAD
COMUNIDAD
COMUNIDAD
COMUNIDAD
COMUNIDAD
COMUNIDAD
COMUNIDAD
COMUNIDAD
COMUNIDAD
COMUNIDAD
COMUNIDAD
COMUNIDAD
COMUNIDAD
COMUNIDAD
COMUNIDAD
COMUNIDAD
COMUNIDAD
COMUNIDAD
COMUNIDAD
COMUNIDAD
COMUNIDAD
COMUNIDAD
COMUNIDAD
COMUNIDAD
COMUNIDAD
COMUNIDAD
COMUNIDAD
COMUNIDAD
COMUNIDAD
COMUNIDAD
COMUNIDAD
COMUNIDAD
COMUNIDAD
COMUNIDAD
COMUNIDAD
COMUNIDAD
COMUNIDAD
COMUNIDAD
COMUNIDAD
COMUNIDAD
COMUNIDAD
COMUNIDAD
COMUNIDAD
COMUNIDAD
COMUNIDAD
COMUNIDAD
COMUNIDAD
COMUNIDAD
COMUNIDAD
COMUNIDAD
COMUNIDAD
COMUNIDAD
COMUNIDAD
COMUNIDAD
COMUNIDAD
COMUNIDAD
COMUNIDAD
COMUNIDAD
COMUNIDAD
COMUNIDAD
COMUNIDAD
COMUNIDAD
COMUNIDAD
COMUNIDAD
COMUNIDAD
COMUNIDAD
COMUNIDAD
COMUNIDAD
COMUNIDAD
COMUNIDAD
COMUNIDAD
COMUNIDAD
COMUNIDAD
COMUNIDAD
COMUNIDAD
COMUNIDAD
COMUNIDAD
COMUNIDAD
COMUNIDAD
COMUNIDAD
COMUNIDAD
COMUNIDAD
COMUNIDAD
COMUNIDAD
COMUNIDAD
COMUNIDAD
COMUNIDAD
COMUNIDAD
COMUNIDAD
COMUNIDAD
COMUNIDAD
COMUNIDAD
COMUNIDAD
COMUNIDAD
COMUNIDAD
COMUNIDAD
COMUNIDAD
COMUNIDAD
COMUNIDAD
COMUNIDAD
COMUNIDAD
COMUNIDAD
COMUNIDAD
COMUNIDAD
COMUNIDAD
COMUNIDAD
COMUNIDAD
COMUNIDAD
COMUNIDAD
COMUNIDAD
COMUNIDAD
COMUNIDAD
COMUNIDAD
COMUNIDAD
COMUNIDAD
COMUNIDAD
COMUNIDAD
COMUNIDAD
COMUNIDAD
COMUNIDAD
COMUNIDAD
COMUNIDAD
COMUNIDAD
COMUNIDAD
COMUNIDAD
COMUNIDAD
COMUNIDAD
COMUNIDAD
COMUNIDAD
COMUNIDAD
COMUNIDAD
COMUNIDAD
COMUNIDAD
COMUNIDAD
COMUNIDAD
COMUNIDAD
COMUNIDAD
COMUNIDAD
COMUNIDAD
COMUNIDAD
COMUNIDAD
COMUNIDAD
COMUNIDAD
COMUNIDAD
COMUNIDAD
COMUNIDAD
COMUNIDAD
COMUNIDAD
COMUNIDAD
COMUNIDAD
COMUNIDAD
COMUNIDAD
COMUNIDAD
COMUNIDAD
COMUNIDAD
COMUNIDAD
COMUNIDAD
COMUNIDAD
COMUNIDAD
COMUNIDAD
COMUNIDAD
COMUNIDAD
COMUNIDAD
COMUNIDAD
COMUNIDAD
COMUNIDAD
COMUNIDAD
COMUNIDAD
COMUNIDAD
COMUNIDAD
COMUNIDAD
COMUNIDAD
COMUNIDAD
COMUNIDAD
COMUNIDAD
COMUNIDAD
COMUNIDAD
COMUNIDAD
COMUNIDAD
COMUNIDAD
COMUNIDAD
COMUNIDAD
COMUNIDAD
COMUNIDAD
COMUNIDAD
COMUNIDAD
COMUNIDAD
COMUNIDAD
COMUNIDAD
COMUNIDAD
COMUNIDAD
COMUNIDAD
COMUNIDAD
COMUNIDAD
COMUNIDAD
COMUNIDAD
COMUNIDAD
COMUNIDAD
COMUNIDAD
COMUNIDAD
COMUNIDAD
COMUNIDAD
COMUNIDAD
COMUNIDAD
COMUNIDAD
COMUNIDAD
COMUNIDAD
COMUNIDAD
COMUNIDAD
COMUNIDAD
COMUNIDAD
COMUNIDAD
COMUNIDAD
COMUNIDAD
COMUNIDAD
COMUNIDAD
COMUNIDAD
COMUNIDAD
COMUNIDAD
COMUNIDAD
COMUNIDAD
COMUNIDAD
COMUNIDAD
COMUNIDAD
COMUNIDAD
COMUNIDAD
COMUNIDAD
COMUNIDAD
COMUNIDAD
COMUNIDAD
COMUNIDAD
COMUNIDAD
COMUNIDAD
COMUNIDAD
COMUNIDAD
COMUNIDAD
COMUNIDAD
COMUNIDAD
COMUNIDAD
COMUNIDAD
COMUNIDAD
COMUNIDAD
COMUNIDAD
COMUNIDAD
COMUNIDAD
COMUNIDAD
COMUNIDAD
COMUNIDAD
COMUNIDAD
COMUNIDAD
COMUNIDAD
COMUNIDAD
COMUNIDAD
COMUNIDAD
COMUNIDAD
COMUNIDAD
COMUNIDAD
COMUNIDAD
COMUNIDAD
COMUNIDAD
COMUNIDAD
COMUNIDAD
COMUNIDAD
COMUNIDAD
COMUNIDAD
COMUNIDAD
COMUNIDAD
COMUNIDAD
COMUNIDAD
COMUNIDAD
COMUNIDAD
COMUNIDAD
COMUNIDAD
COMUNIDAD
COMUNIDAD
COMUNIDAD
COMUNIDAD
COMUNIDAD
COMUNIDAD
COMUNIDAD
COMUNIDAD
COMUNIDAD
COMUNIDAD
COMUNIDAD
COMUNIDAD
COMUNIDAD
COMUNIDAD
COMUNIDAD
COMUNIDAD
COMUNIDAD
COMUNIDAD
COMUNIDAD
COMUNIDAD
COMUNIDAD
COMUNIDAD
COMUNIDAD
COMUNIDAD
COMUNIDAD
COMUNIDAD
COMUNIDAD
COMUNIDAD
COMUNIDAD
COMUNIDAD
COMUNIDAD
COMUNIDAD
COMUNIDAD
COMUNIDAD
COMUNIDAD
COMUNIDAD
COMUNIDAD
COMUNIDAD
COMUNIDAD
COMUNIDAD
COMUNIDAD
COMUNIDAD
COMUNIDAD
COMUNIDAD
COMUNIDAD
COMUNIDAD
COMUNIDAD
COMUNIDAD
COMUNIDAD
COMUNIDAD
COMUNIDAD
COMUNIDAD
COMUNIDAD
COMUNIDAD
COMUNIDAD
COMUNIDAD
COMUNIDAD
COMUNIDAD
COMUNIDAD
COMUNIDAD
COMUNIDAD
COMUNIDAD
COMUNIDAD
COMUNIDAD
COMUNIDAD
COMUNIDAD
COMUNIDAD
COMUNIDAD
COMUNIDAD
COMUNIDAD
COMUNIDAD
COMUNIDAD
COMUNIDAD
COMUNIDAD
COMUNIDAD
COMUNIDAD
COMUNIDAD
COMUNIDAD
COMUNIDAD
COMUNIDAD
COMUNIDAD
COMUNIDAD
COMUNIDAD
COMUNIDAD
COMUNIDAD
COMUNIDAD
COMUNIDAD
COMUNIDAD
COMUNIDAD
COMUNIDAD
COMUNIDAD
COMUNIDAD
COMUNIDAD
COMUNIDAD
COMUNIDAD
COMUNIDAD
COMUNIDAD
COMUNIDAD
COMUNIDAD
COMUNIDAD
COMUNIDAD
COMUNIDAD
COMUNIDAD
COMUNIDAD
COMUNIDAD
COMUNIDAD
COMUNIDAD
COMUNIDAD
COMUNIDAD
COMUNIDAD
COMUNIDAD
COMUNIDAD
COMUNIDAD
COMUNIDAD
COMUNIDAD
COMUNIDAD
COMUNIDAD
COMUNIDAD
COMUNIDAD
COMUNIDAD
COMUNIDAD
COMUNIDAD
COMUNIDAD
COMUNIDAD
COMUNIDAD
COMUNIDAD
COMUNIDAD
COMUNIDAD
COMUNIDAD
COMUNIDAD
COMUNIDAD
COMUNIDAD
COMUNIDAD
COMUNIDAD
COMUNIDAD
COMUNIDAD
COMUNIDAD
COMUNIDAD
COMUNIDAD
COMUNIDAD
COMUNIDAD
COMUNIDAD
COMUNIDAD
COMUNIDAD
COMUNIDAD
COMUNIDAD
COMUNIDAD
COMUNIDAD
COMUNIDAD
COMUNIDAD
COMUNIDAD
COMUNIDAD
COMUNIDAD
COMUNIDAD
COMUNIDAD
COMUNIDAD
COMUNIDAD
COMUNIDAD
COMUNIDAD
COMUNIDAD
COMUNIDAD
COMUNIDAD
COMUNIDAD
COMUNIDAD
COMUNIDAD
COMUNIDAD
COMUNIDAD
COMUNIDAD
COMUNIDAD
COMUNIDAD
COMUNIDAD
COMUNIDAD
COMUNIDAD
COMUNIDAD
COMUNIDAD
COMUNIDAD
COMUNIDAD
COMUNIDAD
COMUNIDAD
COMUNIDAD
COMUNIDAD
COMUNIDAD
COMUNIDAD
COMUNIDAD
COMUNIDAD
COMUNIDAD
COMUNIDAD
COMUNIDAD
COMUNIDAD
COMUNIDAD
COMUNIDAD
COMUNIDAD
COMUNIDAD
COMUNIDAD
COMUNIDAD
COMUNIDAD
COMUNIDAD
COMUNIDAD
COMUNIDAD
COMUNIDAD
COMUNIDAD
COMUNIDAD
COMUNIDAD
COMUNIDAD
COMUNIDAD
COMUNIDAD
COMUNIDAD
COMUNIDAD
COMUNIDAD
COMUNIDAD
COMUNIDAD
COMUNIDAD
COMUNIDAD
COMUNIDAD
COMUNIDAD
COMUNIDAD
COMUNIDAD
COMUNIDAD
COMUNIDAD
COMUNIDAD
COMUNIDAD
COMUNIDAD
COMUNIDAD
COMUNIDAD
COMUNIDAD
COMUNIDAD
COMUNIDAD
COMUNIDAD
COMUNIDAD
COMUNIDAD
COMUNIDAD
COMUNIDAD
COMUNIDAD
COMUNIDAD
COMUNIDAD
COMUNIDAD
COMUNIDAD
COMUNIDAD
COMUNIDAD
COMUNIDAD
COMUNIDAD
COMUNIDAD
COMUNIDAD
COMUNIDAD
COMUNIDAD
COMUNIDAD
COMUNIDAD
COMUNIDAD
COMUNIDAD
COMUNIDAD
COMUNIDAD
COMUNIDAD
COMUNIDAD
COMUNIDAD
COMUNIDAD
COMUNIDAD
COMUNIDAD
COMUNIDAD
COMUNIDAD
COMUNIDAD
COMUNIDAD
COMUNIDAD
COMUNIDAD
COMUNIDAD
COMUNIDAD
COMUNIDAD
COMUNIDAD
COMUNIDAD
COMUNIDAD
COMUNIDAD
COMUNIDAD
COMUNIDAD
COMUNIDAD
COMUNIDAD
COMUNIDAD
COMUNIDAD
COMUNIDAD
COMUNIDAD
COMUNIDAD
COMUNIDAD
COMUNIDAD
COMUNIDAD
COMUNIDAD
COMUNIDAD
COMUNIDAD
COMUNIDAD
COMUNIDAD
COMUNIDAD
COMUNIDAD
COMUNIDAD
COMUNIDAD
COMUNIDAD
COMUNIDAD
COMUNIDAD
COMUNIDAD
COMUNIDAD
COMUNIDAD
COMUNIDAD
COMUNIDAD
COMUNIDAD
COMUNIDAD
COMUNIDAD
COMUNIDAD
COMUNIDAD
COMUNIDAD
COMUNIDAD
COMUNIDAD
COMUNIDAD
COMUNIDAD
COMUNIDAD
COMUNIDAD
COMUNIDAD
COMUNIDAD
COMUNIDAD
COMUNIDAD
COMUNIDAD
COMUNIDAD
COMUNIDAD
COMUNIDAD
COMUNIDAD
COMUNIDAD
COMUNIDAD
COMUNIDAD
COMUNIDAD
COMUNIDAD
COMUNIDAD
COMUNIDAD
COMUNIDAD
COMUNIDAD
COMUNIDAD
COMUNIDAD
COMUNIDAD
COMUNIDAD
COMUNIDAD
COMUNIDAD
COMUNIDAD
COMUNIDAD
COMUNIDAD
COMUNIDAD
COMUNIDAD
COMUNIDAD
COMUNIDAD
COMUNIDAD
COMUNIDAD
COMUNIDAD
COMUNIDAD
COMUNIDAD
COMUNIDAD
COMUNIDAD
COMUNIDAD
COMUNIDAD
COMUNIDAD
COMUNIDAD
COMUNIDAD
COMUNIDAD
COMUNIDAD
COMUNIDAD
COMUNIDAD
COMUNIDAD
COMUNIDAD
COMUNIDAD
COMUNIDAD
COMUNIDAD
COMUNIDAD
COMUNIDAD
COMUNIDAD
COMUNIDAD
COMUNIDAD
COMUNIDAD
COMUNIDAD
COMUNIDAD
COMUNIDAD
COMUNIDAD
COMUNIDAD
COMUNIDAD
COMUNIDAD
COMUNIDAD
COMUNIDAD
COMUNIDAD
COMUNIDAD
COMUNIDAD
COMUNIDAD
COMUNIDAD
COMUNIDAD
COMUNIDAD
COMUNIDAD
COMUNIDAD
COMUNIDAD
COMUNIDAD
COMUNIDAD
COMUNIDAD
COMUNIDAD
COMUNIDAD
COMUNIDAD
COMUNIDAD
COMUNIDAD
COMUNIDAD
COMUNIDAD
COMUNIDAD
COMUNIDAD
COMUNIDAD
COMUNIDAD
COMUNIDAD
COMUNIDAD
COMUNIDAD
COMUNIDAD
COMUNIDAD
COMUNIDAD
COMUNIDAD
COMUNIDAD
COMUNIDAD
COMUNIDAD
COMUNIDAD
COMUNIDAD
COMUNIDAD
COMUNIDAD
COMUNIDAD
COMUNIDAD
COMUNIDAD
COMUNIDAD
COMUNIDAD
COMUNIDAD
COMUNIDAD
COMUNIDAD
COMUNIDAD
COMUNIDAD
COMUNIDAD
COMUNIDAD
COMUNIDAD
COMUNIDAD
COMUNIDAD
COMUNIDAD
COMUNIDAD
COMUNIDAD
COMUNIDAD
COMUNIDAD
COMUNIDAD
COMUNIDAD
COMUNIDAD
COMUNIDAD
COMUNIDAD
COMUNIDAD
COMUNIDAD
COMUNIDAD
COMUNIDAD
COMUNIDAD
COMUNIDAD
COMUNIDAD
COMUNIDAD
COMUNIDAD
COMUNIDAD
COMUNIDAD
COMUNIDAD
COMUNIDAD
COMUNIDAD
COMUNIDAD
COMUNIDAD
COMUNIDAD
COMUNIDAD
COMUNIDAD
COMUNIDAD
COMUNIDAD
COMUNIDAD
COMUNIDAD
COMUNIDAD
COMUNIDAD
COMUNIDAD
COMUNIDAD
COMUNIDAD
COMUNIDAD
COMUNIDAD
COMUNIDAD
COMUNIDAD
COMUNIDAD
COMUNIDAD
COMUNIDAD
COMUNIDAD
COMUNIDAD
COMUNIDAD
COMUNIDAD
COMUNIDAD
COMUNIDAD
COMUNIDAD
COMUNIDAD
COMUNIDAD
COMUNIDAD
COMUNIDAD
COMUNIDAD
COMUNIDAD
COMUNIDAD
COMUNIDAD
COMUNIDAD
COMUNIDAD
COMUNIDAD
COMUNIDAD
COMUNIDAD
COMUNIDAD
COMUNIDAD
COMUNIDAD
COMUNIDAD
COMUNIDAD
COMUNIDAD
COMUNIDAD
COMUNIDAD
COMUNIDAD
COMUNIDAD
COMUNIDAD
COMUNIDAD
COMUNIDAD
COMUNIDAD
COMUNIDAD
COMUNIDAD
COMUNIDAD
COMUNIDAD
COMUNIDAD
COMUNIDAD
COMUNIDAD
COMUNIDAD
COMUNIDAD
COMUNIDAD
COMUNIDAD
COMUNIDAD
COMUNIDAD
COMUNIDAD
COMUNIDAD
COMUNIDAD
COMUNIDAD
COMUNIDAD
COMUNIDAD
COMUNIDAD
COMUNIDAD
COMUNIDAD
COMUNIDAD
COMUNIDAD
COMUNIDAD
COMUNIDAD
COMUNIDAD
COMUNIDAD
COMUNIDAD
COMUNIDAD
COMUNIDAD
COMUNIDAD
COMUNIDAD
COMUNIDAD
COMUNIDAD
COMUNIDAD
COMUNIDAD
COMUNIDAD
COMUNIDAD
COMUNIDAD
COMUNIDAD
COMUNIDAD
COMUNIDAD
COMUNIDAD
COMUNIDAD
COMUNIDAD
COMUNIDAD
COMUNIDAD
COMUNIDAD
COMUNIDAD
COMUNIDAD
COMUNIDAD
COMUNIDAD
COMUNIDAD
COMUNIDAD
COMUNIDAD
COMUNIDAD
COMUNIDAD
COMUNIDAD
COMUNIDAD
COMUNIDAD
COMUNIDAD
COMUNIDAD
COMUNIDAD
COMUNIDAD
COMUNIDAD
COMUNIDAD
COMUNIDAD
COMUNIDAD
COMUNIDAD
COMUNIDAD
COMUNIDAD
COMUNIDAD
COMUNIDAD
COMUNIDAD
COMUNIDAD
COMUNIDAD
COMUNIDAD
COMUNIDAD
COMUNIDAD
COMUNIDAD
COMUNIDAD
COMUNIDAD
COMUNIDAD
COMUNIDAD
COMUNIDAD
COMUNIDAD
COMUNIDAD
COMUNIDAD
COMUNIDAD
COMUNIDAD
COMUNIDAD
COMUNIDAD
COMUNIDAD
COMUNIDAD
COMUNIDAD
COMUNIDAD
COMUNIDAD
COMUNIDAD
COMUNIDAD
COMUNIDAD
COMUNIDAD
COMUNIDAD
COMUNIDAD
COMUNIDAD
COMUNIDAD
COMUNIDAD
COMUNIDAD
COMUNIDAD
COMUNIDAD
COMUNIDAD
COMUNIDAD
COMUNIDAD
COMUNIDAD
COMUNIDAD
COMUNIDAD
COMUNIDAD
COMUNIDAD
COMUNIDAD
COMUNIDAD
COMUNIDAD
COMUNIDAD
COMUNIDAD
COMUNIDAD
COMUNIDAD
COMUNIDAD
COMUNIDAD
COMUNIDAD
COMUNIDAD
COMUNIDAD
COMUNIDAD
COMUNIDAD
COMUNIDAD
COMUNIDAD
COMUNIDAD
COMUNIDAD
COMUNIDAD
COMUNIDAD
COMUNIDAD
COMUNIDAD
COMUNIDAD
COMUNIDAD
COMUNIDAD
COMUNIDAD
COMUNIDAD
COMUNIDAD
COMUNIDAD
COMUNIDAD
COMUNIDAD
COMUNIDAD
COMUNIDAD
COMUNIDAD
COMUNIDAD
COMUNIDAD
COMUNIDAD
COMUNIDAD
COMUNIDAD
COMUNIDAD
COMUNIDAD
COMUNIDAD
COMUNIDAD
COMUNIDAD
COMUNIDAD
COMUNIDAD
COMUNIDAD
COMUNIDAD
COMUNIDAD
COMUNIDAD
COMUNIDAD
COMUNIDAD
COMUNIDAD
COMUNIDAD
COMUNIDAD
COMUNIDAD
COMUNIDAD
COMUNIDAD
COMUNIDAD
COMUNIDAD
COMUNIDAD
COMUNIDAD
COMUNIDAD
COMUNIDAD
COMUNIDAD
COMUNIDAD
COMUNIDAD
COMUNIDAD
COMUNIDAD
COMUNIDAD
COMUNIDAD
COMUNIDAD
COMUNIDAD
COMUNIDAD
COMUNIDAD
COMUNIDAD
COMUNIDAD
COMUNIDAD
COMUNIDAD
COMUNIDAD
COMUNIDAD
COMUNIDAD
COMUNIDAD
COMUNIDAD
COMUNIDAD
COMUNIDAD
COMUNIDAD
COMUNIDAD
COMUNIDAD
COMUNIDAD
COMUNIDAD
COMUNIDAD
COMUNIDAD
COMUNIDAD
COMUNIDAD
COMUNIDAD
COMUNIDAD
COMUNIDAD
COMUNIDAD
COMUNIDAD
COMUNIDAD
COMUNIDAD
COMUNIDAD
COMUNIDAD
COMUNIDAD
COMUNIDAD
COMUNIDAD
COMUNIDAD
COMUNIDAD
COMUNIDAD
COMUNIDAD
COMUNIDAD
COMUNIDAD
COMUNIDAD
COMUNIDAD
COMUNIDAD
COMUNIDAD
COMUNIDAD
COMUNIDAD
COMUNIDAD
COMUNIDAD
COMUNIDAD
COMUNIDAD
COMUNIDAD
COMUNIDAD
COMUNIDAD
COMUNIDAD
COMUNIDAD
COMUNIDAD
COMUNIDAD
COMUNIDAD
COMUNIDAD
COMUNIDAD
COMUNIDAD
COMUNIDAD
COMUNIDAD
COMUNIDAD
COMUNIDAD
COMUNIDAD
COMUNIDAD
COMUNIDAD
COMUNIDAD
COMUNIDAD
COMUNIDAD
COMUNIDAD
COMUNIDAD
COMUNIDAD
COMUNIDAD
COMUNIDAD
COMUNIDAD
COMUNIDAD
COMUNIDAD
COMUNIDAD
COMUNIDAD
COMUNIDAD
COMUNIDAD
COMUNIDAD
COMUNIDAD
COMUNIDAD
COMUNIDAD
COMUNIDAD
COMUNIDAD
COMUNIDAD
COMUNIDAD
COMUNIDAD
COMUNIDAD
COMUNIDAD
COMUNIDAD
COMUNIDAD
COMUNIDAD
COMUNIDAD
COMUNIDAD
COMUNIDAD
COMUNIDAD
COMUNIDAD
COMUNIDAD
COMUNIDAD
COMUNIDAD
COMUNIDAD
COMUNIDAD
COMUNIDAD
COMUNIDAD
COMUNIDAD
COMUNIDAD
COMUNIDAD
COMUNIDAD
COMUNIDAD
COMUNIDAD
COMUNIDAD
COMUNIDAD
COMUNIDAD
COMUNIDAD
COMUNIDAD
COMUNIDAD
COMUNIDAD
COMUNIDAD
COMUNIDAD
COMUNIDAD
COMUNIDAD
COMUNIDAD
COMUNIDAD
COMUNIDAD
COMUNIDAD
COMUNIDAD
COMUNIDAD
COMUNIDAD
COMUNIDAD
COMUNIDAD
COMUNIDAD
COMUNIDAD
COMUNIDAD
COMUNIDAD
COMUNIDAD
COMUNIDAD
COMUNIDAD
COMUNIDAD
COMUNIDAD
COMUNIDAD
COMUNIDAD
COMUNIDAD
COMUNIDAD
COMUNIDAD
COMUNIDAD
COMUNIDAD
COMUNIDAD
COMUNIDAD
COMUNIDAD
COMUNIDAD
COMUNIDAD
COMUNIDAD
COMUNIDAD
COMUNIDAD
COMUNIDAD
COMUNIDAD
COMUNIDAD
COMUNIDAD
COMUNIDAD
COMUNIDAD
COMUNIDAD
COMUNIDAD
COMUNIDAD
COMUNIDAD
COMUNIDAD
COMUNIDAD
COMUNIDAD
COMUNIDAD
COMUNIDAD
COMUNIDAD
COMUNIDAD
COMUNIDAD
COMUNIDAD
COMUNIDAD
COMUNIDAD
COMUNIDAD
COMUNIDAD
COMUNIDAD
COMUNIDAD
COMUNIDAD
COMUNIDAD
COMUNIDAD
COMUNIDAD
COMUNIDAD
COMUNIDAD
COMUNIDAD
COMUNIDAD
COMUNIDAD
COMUNIDAD
COMUNIDAD
COMUNIDAD
COMUNIDAD
COMUNIDAD
COMUNIDAD
COMUNIDAD
COMUNIDAD
COMUNIDAD
COMUNIDAD
COMUNIDAD
COMUNIDAD
COMUNIDAD
COMUNIDAD
COMUNIDAD
COMUNIDAD
COMUNIDAD
COMUNIDAD
COMUNIDAD
COMUNIDAD
COMUNIDAD
COMUNIDAD
COMUNIDAD
COMUNIDAD
COMUNIDAD
COMUNIDAD
COMUNIDAD
COMUNIDAD
COMUNIDAD
COMUNIDAD
COMUNIDAD
COMUNIDAD
COMUNIDAD
COMUNIDAD
COMUNIDAD
COMUNIDAD
COMUNIDAD
COMUNIDAD
COMUNIDAD
COMUNIDAD
COMUNIDAD
COMUNIDAD
COMUNIDAD
COMUNIDAD
COMUNIDAD
COMUNIDAD
COMUNIDAD
COMUNIDAD
COMUNIDAD
COMUNIDAD
COMUNIDAD
COMUNIDAD
COMUNIDAD
COMUNIDAD
COMUNIDAD
COMUNIDAD
COMUNIDAD
COMUNIDAD
COMUNIDAD
COMUNIDAD
COMUNIDAD
COMUNIDAD
COMUNIDAD
COMUNIDAD
COMUNIDAD
COMUNIDAD
COMUNIDAD
COMUNIDAD
COMUNIDAD
COMUNIDAD
COMUNIDAD
COMUNIDAD
COMUNIDAD
COMUNIDAD
COMUNIDAD
COMUNIDAD
COMUNIDAD
COMUNIDAD
COMUNIDAD
COMUNIDAD
COMUNIDAD
COMUNIDAD
COMUNIDAD
COMUNIDAD
COMUNIDAD
COMUNIDAD
COMUNIDAD
COMUNIDAD
COMUNIDAD
COMUNIDAD
COMUNIDAD
COMUNIDAD
COMUNIDAD
COMUNIDAD
COMUNIDAD
COMUNIDAD
COMUNIDAD
COMUNIDAD
COMUNIDAD
COMUNIDAD
COMUNIDAD
COMUNIDAD
COMUNIDAD
COMUNIDAD
COMUNIDAD
COMUNIDAD
COMUNIDAD
COMUNIDAD
COMUNIDAD
COMUNIDAD
COMUNIDAD
COMUNIDAD
COMUNIDAD
COMUNIDAD
COMUNIDAD
COMUNIDAD
COMUNIDAD
COMUNIDAD
COMUNIDAD
COMUNIDAD
COMUNIDAD
COMUNIDAD
COMUNIDAD
COMUNIDAD
COMUNIDAD
COMUNIDAD
COMUNIDAD
COMUNIDAD
COMUNIDAD
COMUNIDAD
COMUNIDAD
COMUNIDAD
COMUNIDAD
COMUNIDAD
COMUNIDAD
COMUNIDAD
COMUNIDAD
COMUNIDAD
COMUNIDAD
COMUNIDAD
COMUNIDAD
COMUNIDAD
COMUNIDAD
COMUNIDAD
COMUNIDAD
COMUNIDAD
COMUNIDAD
COMUNIDAD
COMUNIDAD
COMUNIDAD
COMUNIDAD
COMUNIDAD
COMUNIDAD
COMUNIDAD
COMUNIDAD
COMUNIDAD
COMUNIDAD
COMUNIDAD
COMUNIDAD
COMUNIDAD
COMUNIDAD
COMUNIDAD
COMUNIDAD
COMUNIDAD
COMUNIDAD
COMUNIDAD
COMUNIDAD
COMUNIDAD
COMUNIDAD
COMUNIDAD
COMUNIDAD
COMUNIDAD
COMUNIDAD
COMUNIDAD
COMUNIDAD
COMUNIDAD
COMUNIDAD
COMUNIDAD
COMUNIDAD
COMUNIDAD
COMUNIDAD
COMUNIDAD
COMUNIDAD
COMUNIDAD
COMUNIDAD
COMUNIDAD
COMUNIDAD
COMUNIDAD
COMUNIDAD
COMUNIDAD
COMUNIDAD
COMUNIDAD
COMUNIDAD
COMUNIDAD
COMUNIDAD
COMUNIDAD
COMUNIDAD
COMUNIDAD
COMUNIDAD
COMUNIDAD
COMUNIDAD
COMUNIDAD
COMUNIDAD
COMUNIDAD
COMUNIDAD
COMUNIDAD
COMUNIDAD
COMUNIDAD
COMUNIDAD
COMUNIDAD
COMUNIDAD
COMUNIDAD
COMUNIDAD
COMUNIDAD
COMUNIDAD
COMUNIDAD
COMUNIDAD
COMUNIDAD
COMUNIDAD
COMUNIDAD
COMUNIDAD
COMUNIDAD
COMUNIDAD
COMUNIDAD
COMUNIDAD
COMUNIDAD
COMUNIDAD
COMUNIDAD
COMUNIDAD
COMUNIDAD
COMUNIDAD
COMUNIDAD
COMUNIDAD
COMUNIDAD
COMUNIDAD
COMUNIDAD
COMUNIDAD
COMUNIDAD
COMUNIDAD
COMUNIDAD
COMUNIDAD
COMUNIDAD
COMUNIDAD
COMUNIDAD
COMUNIDAD
COMUNIDAD
COMUNIDAD
COMUNIDAD
COMUNIDAD
COMUNIDAD
COMUNIDAD
COMUNIDAD
COMUNIDAD
COMUNIDAD
COMUNIDAD
COMUNIDAD
COMUNIDAD
COMUNIDAD
COMUNIDAD
COMUNIDAD
COMUNIDAD
COMUNIDAD
COMUNIDAD
COMUNIDAD
COMUNIDAD
COMUNIDAD
COMUNIDAD
COMUNIDAD
COMUNIDAD
COMUNIDAD
COMUNIDAD
COMUNIDAD
COMUNIDAD
COMUNIDAD
COMUNIDAD
COMUNIDAD
COMUNIDAD
COMUNIDAD
COMUNIDAD
COMUNIDAD
COMUNIDAD
COMUNIDAD
COMUNIDAD
COMUNIDAD
COMUNIDAD
COMUNIDAD
COMUNIDAD
COMUNIDAD
COMUNIDAD
COMUNIDAD
COMUNIDAD
COMUNIDAD
COMUNIDAD
COMUNIDAD
COMUNIDAD
COMUNIDAD
COMUNIDAD
COMUNIDAD
COMUNIDAD
COMUNIDAD
COMUNIDAD
COMUNIDAD
COMUNIDAD
COMUNIDAD
COMUNIDAD
COMUNIDAD
COMUNIDAD
COMUNIDAD
COMUNIDAD
COMUNIDAD
COMUNIDAD
COMUNIDAD
COMUNIDAD
COMUNIDAD
COMUNIDAD
COMUNIDAD
COMUNIDAD
COMUNIDAD
COMUNIDAD
COMUNIDAD
COMUNIDAD
COMUNIDAD
COMUNIDAD
COMUNIDAD
COMUNIDAD
COMUNIDAD
COMUNIDAD
COMUNIDAD
COMUNIDAD
COMUNIDAD
COMUNIDAD
COMUNIDAD
COMUNIDAD
COMUNIDAD
COMUNIDAD
COMUNIDAD
COMUNIDAD
COMUNIDAD
COMUNIDAD
COMUNIDAD
COMUNIDAD
COMUNIDAD
COMUNIDAD
COMUNIDAD
COMUNIDAD
COMUNIDAD
COMUNIDAD
COMUNIDAD
COMUNIDAD
COMUNIDAD
COMUNIDAD
COMUNIDAD
COMUNIDAD
COMUNIDAD
COMUNIDAD
COMUNIDAD
COMUNIDAD
COMUNIDAD
COMUNIDAD
COMUNIDAD
COMUNIDAD
COMUNIDAD
COMUNIDAD
COMUNIDAD
COMUNIDAD
COMUNIDAD
COMUNIDAD
COMUNIDAD
COMUNIDAD
COMUNIDAD
COMUNIDAD
COMUNIDAD
COMUNIDAD
COMUNIDAD
COMUNIDAD
COMUNIDAD
COMUNIDAD
COMUNIDAD
COMUNIDAD
COMUNIDAD
COMUNIDAD
COMUNIDAD
COMUNIDAD
COMUNIDAD
COMUNIDAD
COMUNIDAD
COMUNIDAD
COMUNIDAD
COMUNIDAD
COMUNIDAD
COMUNIDAD
COMUNIDAD
COMUNIDAD
COMUNIDAD
COMUNIDAD
COMUNIDAD
COMUNIDAD
COMUNIDAD
COMUNIDAD
COMUNIDAD
COMUNIDAD
COMUNIDAD
COMUNIDAD
COMUNIDAD
COMUNIDAD
COMUNIDAD
COMUNIDAD
COMUNIDAD
COMUNIDAD
COMUNIDAD
COMUNIDAD
COMUNIDAD
COMUNIDAD
COMUNIDAD
COMUNIDAD
COMUNIDAD
COMUNIDAD
COMUNIDAD
COMUNIDAD
COMUNIDAD
COMUNIDAD
COMUNIDAD
COMUNIDAD
COMUNIDAD
COMUNIDAD
COMUNIDAD
COMUNIDAD
COMUNIDAD
COMUNIDAD
COMUNIDAD
COMUNIDAD
COMUNIDAD
COMUNIDAD
COMUNIDAD
COMUNIDAD
COMUNIDAD
COMUNIDAD
COMUNIDAD
COMUNIDAD
COMUNIDAD
COMUNIDAD
COMUNIDAD
COMUNIDAD
COMUNIDAD
COMUNIDAD
COMUNIDAD
COMUNIDAD
COMUNIDAD
COMUNIDAD
COMUNIDAD
COMUNIDAD
COMUNIDAD
COMUNIDAD
COMUNIDAD
COMUNIDAD
COMUNIDAD
COMUNIDAD
COMUNIDAD
COMUNIDAD
COMUNIDAD
COMUNIDAD
COMUNIDAD
COMUNIDAD
COMUNIDAD
COMUNIDAD
COMUNIDAD
COMUNIDAD
COMUNIDAD
COMUNIDAD
COMUNIDAD
COMUNIDAD
COMUNIDAD
COMUNIDAD
COMUNIDAD
COMUNIDAD
COMUNIDAD
COMUNIDAD
COMUNIDAD
COMUNIDAD
COMUNIDAD
COMUNIDAD
COMUNIDAD
COMUNIDAD
COMUNIDAD
COMUNIDAD
COMUNIDAD
COMUNIDAD
COMUNIDAD
COMUNIDAD
COMUNIDAD
COMUNIDAD
COMUNIDAD
COMUNIDAD
COMUNIDAD
COMUNIDAD
COMUNIDAD
COMUNIDAD
COMUNIDAD
COMUNIDAD
COMUNIDAD
COMUNIDAD
COMUNIDAD
COMUNIDAD
COMUNIDAD
COMUNIDAD
COMUNIDAD
COMUNIDAD
COMUNIDAD
COMUNIDAD
COMUNIDAD
COMUNIDAD
COMUNIDAD
COMUNIDAD
COMUNIDAD
COMUNIDAD
COMUNIDAD
COMUNIDAD
COMUNIDAD
COMUNIDAD
COMUNIDAD
COMUNIDAD
COMUNIDAD
COMUNIDAD
COMUNIDAD
COMUNIDAD
COMUNIDAD
COMUNIDAD
COMUNIDAD
COMUNIDAD
COMUNIDAD
COMUNIDAD
COMUNIDAD
COMUNIDAD
COMUNIDAD
COMUNIDAD
COMUNIDAD
COMUNIDAD
COMUNIDAD
COMUNIDAD
COMUNIDAD
COMUNIDAD
COMUNIDAD
COMUNIDAD
COMUNIDAD
COMUNIDAD
COMUNIDAD
COMUNIDAD
COMUNIDAD
COMUNIDAD
COMUNIDAD
COMUNIDAD
COMUNIDAD
COMUNIDAD
COMUNIDAD
COMUNIDAD
COMUNIDAD
COMUNIDAD
COMUNIDAD
COMUNIDAD
COMUNIDAD
COMUNIDAD
COMUNIDAD
COMUNIDAD
COMUNIDAD
COMUNIDAD
COMUNIDAD
COMUNIDAD
COMUNIDAD
COMUNIDAD
COMUNIDAD
COMUNIDAD
COMUNIDAD
COMUNIDAD
COMUNIDAD
COMUNIDAD
COMUNIDAD
COMUNIDAD
COMUNIDAD
COMUNIDAD
COMUNIDAD
COMUNIDAD
COMUNIDAD
COMUNIDAD
COMUNIDAD
COMUNIDAD
COMUNIDAD
COMUNIDAD
COMUNIDAD
COMUNIDAD
COMUNIDAD
COMUNIDAD
COMUNIDAD
COMUNIDAD
COMUNIDAD
COMUNIDAD
COMUNIDAD
COMUNIDAD
COMUNIDAD
COMUNIDAD
COMUNIDAD
COMUNIDAD
COMUNIDAD
COMUNIDAD
COMUNIDAD
COMUNIDAD
COMUNIDAD
COMUNIDAD
COMUNIDAD
COMUNIDAD
COMUNIDAD
COMUNIDAD
COMUNIDAD
COMUNIDAD
COMUNIDAD
COMUNIDAD
COMUNIDAD
COMUNIDAD
COMUNIDAD
COMUNIDAD
COMUNIDAD
COMUNIDAD
COMUNIDAD
COMUNIDAD
COMUNIDAD
COMUNIDAD
COMUNIDAD
COMUNIDAD
COMUNIDAD
COMUNIDAD
COMUNIDAD
COMUNIDAD
COMUNIDAD
COMUNIDAD
COMUNIDAD
COMUNIDAD
COMUNIDAD
COMUNIDAD
COMUNIDAD
COMUNIDAD
COMUNIDAD
COMUNIDAD
COMUNIDAD
COMUNIDAD
COMUNIDAD
COMUNIDAD
COMUNIDAD
COMUNIDAD
COMUNIDAD
COMUNIDAD
COMUNIDAD
COMUNIDAD
COMUNIDAD
COMUNIDAD
COMUNIDAD
COMUNIDAD
COMUNIDAD
COMUNIDAD
COMUNIDAD
COMUNIDAD
COMUNIDAD
COMUNIDAD
COMUNIDAD
COMUNIDAD
COMUNIDAD
COMUNIDAD
COMUNIDAD
COMUNIDAD
COMUNIDAD
COMUNIDAD
COMUNIDAD
COMUNIDAD
COMUNIDAD
COMUNIDAD
COMUNIDAD
COMUNIDAD
COMUNIDAD
COMUNIDAD
COMUNIDAD
COMUNIDAD
COMUNIDAD
COMUNIDAD
COMUNIDAD
COMUNIDAD
COMUNIDAD
COMUNIDAD
COMUNIDAD
COMUNIDAD
COMUNIDAD
COMUNIDAD
COMUNIDAD
COMUNIDAD
COMUNIDAD
COMUNIDAD
COMUNIDAD
COMUNIDAD
COMUNIDAD
COMUNIDAD
COMUNIDAD
COMUNIDAD
COMUNIDAD
COMUNIDAD
COMUNIDAD
COMUNIDAD
COMUNIDAD
COMUNIDAD
COMUNIDAD
COMUNIDAD
COMUNIDAD
COMUNIDAD
COMUNIDAD
COMUNIDAD
COMUNIDAD
COMUNIDAD
COMUNIDAD
COMUNIDAD
COMUNIDAD
COMUNIDAD
COMUNIDAD
COMUNIDAD
COMUNIDAD
COMUNIDAD
COMUNIDAD
COMUNIDAD
COMUNIDAD
COMUNIDAD
COMUNIDAD
COMUNIDAD
COMUNIDAD
COMUNIDAD
COMUNIDAD
COMUNIDAD
COMUNIDAD
COMUNIDAD
COMUNIDAD
COMUNIDAD
COMUNIDAD
COMUNIDAD
COMUNIDAD
COMUNIDAD
COMUNIDAD
COMUNIDAD
COMUNIDAD
COMUNIDAD
COMUNIDAD
COMUNIDAD
COMUNIDAD
COMUNIDAD
COMUNIDAD
COMUNIDAD
COMUNIDAD
COMUNIDAD
COMUNIDAD
COMUNIDAD
COMUNIDAD
COMUNIDAD
COMUNIDAD
COMUNIDAD
COMUNIDAD
COMUNIDAD
COMUNIDAD
COMUNIDAD
COMUNIDAD
COMUNIDAD
COMUNIDAD
COMUNIDAD
COMUNIDAD
COMUNIDAD
COMUNIDAD
COMUNIDAD
COMUNIDAD
COMUNIDAD
COMUNIDAD
COMUNIDAD
COMUNIDAD
COMUNIDAD
COMUNIDAD
COMUNIDAD
COMUNIDAD
COMUNIDAD
COMUNIDAD
COMUNIDAD
COMUNIDAD
COMUNIDAD
COMUNIDAD
COMUNIDAD
COMUNIDAD
COMUNIDAD
COMUNIDAD
COMUNIDAD
COMUNIDAD
COMUNIDAD
COMUNIDAD
COMUNIDAD
COMUNIDAD
COMUNIDAD
COMUNIDAD
COMUNIDAD
COMUNIDAD
COMUNIDAD
COMUNIDAD
COMUNIDAD
COMUNIDAD
COMUNIDAD
COMUNIDAD
COMUNIDAD
COMUNIDAD
COMUNIDAD
COMUNIDAD
COMUNIDAD
COMUNIDAD
COMUNIDAD
COMUNIDAD
COMUNIDAD
COMUNIDAD
COMUNIDAD
COMUNIDAD
COMUNIDAD
COMUNIDAD
COMUNIDAD
COMUNIDAD
COMUNIDAD
COMUNIDAD
COMUNIDAD
COMUNIDAD
COMUNIDAD
COMUNIDAD
COMUNIDAD
COMUNIDAD
COMUNIDAD
COMUNIDAD
COMUNIDAD
COMUNIDAD
COMUNIDAD
COMUNIDAD
COMUNIDAD
COMUNIDAD
COMUNIDAD
COMUNIDAD
COMUNIDAD
COMUNIDAD
COMUNIDAD
COMUNIDAD
COMUNIDAD
COMUNIDAD
COMUNIDAD
COMUNIDAD
COMUNIDAD
COMUNIDAD
COMUNIDAD
COMUNIDAD
COMUNIDAD
COMUNIDAD
COMUNIDAD
COMUNIDAD
COMUNIDAD
COMUNIDAD
COMUNIDAD
COMUNIDAD
COMUNIDAD
COMUNIDAD
COMUNIDAD
COMUNIDAD
COMUNIDAD
COMUNIDAD
COMUNIDAD
COMUNIDAD
COMUNIDAD
COMUNIDAD
COMUNIDAD
COMUNIDAD
COMUNIDAD
COMUNIDAD
COMUNIDAD
COMUNIDAD
COMUNIDAD
COMUNIDAD
COMUNIDAD
COMUNIDAD
COMUNIDAD
COMUNIDAD
COMUNIDAD
COMUNIDAD
COMUNIDAD
COMUNIDAD
COMUNIDAD
COMUNIDAD
COMUNIDAD
COMUNIDAD
COMUNIDAD
COMUNIDAD
COMUNIDAD
COMUNIDAD
COMUNIDAD
COMUNIDAD
COMUNIDAD
COMUNIDAD
COMUNIDAD
COMUNIDAD
COMUNIDAD
COMUNIDAD
COMUNIDAD
COMUNIDAD
COMUNIDAD
COMUNIDAD
COMUNIDAD
COMUNIDAD
COMUNIDAD
COMUNIDAD
COMUNIDAD
COMUNIDAD
COMUNIDAD
COMUNIDAD
COMUNIDAD
COMUNIDAD
COMUNIDAD
COMUNIDAD
COMUNIDAD
COMUNIDAD
COMUNIDAD
COMUNIDAD
COMUNIDAD
COMUNIDAD
COMUNIDAD
COMUNIDAD
COMUNIDAD
COMUNIDAD
COMUNIDAD
COMUNIDAD
COMUNIDAD
COMUNIDAD
COMUNIDAD
COMUNIDAD
COMUNIDAD
COMUNIDAD
COMUNIDAD
COMUNIDAD
COMUNIDAD
COMUNIDAD
COMUNIDAD
COMUNIDAD
COMUNIDAD
COMUNIDAD
COMUNIDAD
COMUNIDAD
COMUNIDAD
COMUNIDAD
COMUNIDAD
COMUNIDAD
COMUNIDAD
COMUNIDAD
COMUNIDAD
COMUNIDAD
COMUNIDAD
COMUNIDAD
COMUNIDAD
COMUNIDAD
COMUNIDAD
COMUNIDAD
COMUNIDAD
COMUNIDAD
COMUNIDAD
COMUNIDAD
COMUNIDAD
COMUNIDAD
COMUNIDAD
COMUNIDAD
COMUNIDAD
COMUNIDAD
COMUNIDAD
COMUNIDAD
COMUNIDAD
COMUNIDAD
COMUNIDAD
COMUNIDAD
COMUNIDAD
COMUNIDAD
COMUNIDAD
COMUNIDAD
COMUNIDAD
COMUNIDAD
COMUNIDAD
COMUNIDAD
COMUNIDAD
COMUNIDAD
COMUNIDAD
COMUNIDAD
COMUNIDAD
COMUNIDAD
COMUNIDAD
COMUNIDAD
COMUNIDAD
COMUNIDAD
COMUNIDAD
COMUNIDAD
COMUNIDAD
COMUNIDAD
COMUNIDAD
COMUNIDAD
COMUNIDAD
COMUNIDAD
COMUNIDAD
COMUNIDAD
COMUNIDAD
COMUNIDAD
COMUNIDAD
COMUNIDAD
COMUNIDAD
COMUNIDAD
COMUNIDAD
COMUNIDAD
COMUNIDAD
COMUNIDAD
COMUNIDAD
COMUNIDAD
COMUNIDAD
COMUNIDAD
COMUNIDAD
COMUNIDAD
COMUNIDAD
COMUNIDAD
COMUNIDAD
COMUNIDAD
COMUNIDAD
COMUNIDAD
COMUNIDAD
COMUNIDAD
COMUNIDAD
COMUNIDAD
COMUNIDAD
COMUNIDAD
COMUNIDAD
COMUNIDAD
COMUNIDAD
COMUNIDAD
COMUNIDAD
COMUNIDAD
COMUNIDAD
COMUNIDAD
COMUNIDAD
COMUNIDAD
COMUNIDAD
COMUNIDAD
COMUNIDAD
COMUNIDAD
COMUNIDAD
COMUNIDAD
COMUNIDAD
COMUNIDAD
COMUNIDAD
COMUNIDAD
COMUNIDAD
COMUNIDAD
COMUNIDAD
COMUNIDAD
COMUNIDAD
COMUNIDAD
COMUNIDAD
COMUNIDAD
COMUNIDAD
COMUNIDAD
COMUNIDAD
COMUNIDAD
COMUNIDAD
COMUNIDAD
COMUNIDAD
COMUNIDAD
COMUNIDAD
COMUNIDAD
COMUNIDAD
COMUNIDAD
COMUNIDAD
COMUNIDAD
COMUNIDAD
COMUNIDAD
COMUNIDAD
COMUNIDAD
COMUNIDAD
COMUNIDAD
COMUNIDAD
COMUNIDAD
COMUNIDAD
COMUNIDAD
COMUNIDAD
COMUNIDAD
COMUNIDAD
COMUNIDAD
COMUNIDAD
COMUNIDAD
COMUNIDAD
COMUNIDAD
COMUNIDAD
COMUNIDAD
COMUNIDAD
COMUNIDAD
COMUNIDAD
COMUNIDAD
COMUNIDAD
COMUNIDAD
COMUNIDAD
COMUNIDAD
COMUNIDAD
COMUNIDAD
COMUNIDAD
COMUNIDAD
COMUNIDAD
COMUNIDAD
COMUNIDAD
COMUNIDAD
COMUNIDAD
COMUNIDAD
COMUNIDAD
COMUNIDAD
COMUNIDAD
COMUNIDAD
COMUNIDAD
COMUNIDAD
COMUNIDAD
COMUNIDAD
COMUNIDAD
COMUNIDAD
COMUNIDAD
COMUNIDAD
COMUNIDAD
COMUNIDAD
COMUNIDAD
COMUNIDAD
COMUNIDAD
COMUNIDAD
COMUNIDAD
COMUNIDAD
COMUNIDAD
COMUNIDAD
COMUNIDAD
COMUNIDAD
COMUNIDAD
COMUNIDAD
COMUNIDAD
COMUNIDAD
COMUNIDAD
COMUNIDAD
COMUNIDAD
COMUNIDAD
COMUNIDAD
COMUNIDAD
COMUNIDAD
COMUNIDAD
COMUNIDAD
COMUNIDAD
COMUNIDAD
COMUNIDAD
COMUNIDAD
COMUNIDAD
COMUNIDAD
COMUNIDAD
COMUNIDAD
COMUNIDAD
COMUNIDAD
COMUNIDAD
COMUNIDAD
COMUNIDAD
COMUNIDAD
COMUNIDAD
COMUNIDAD
COMUNIDAD
COMUNIDAD
COMUNIDAD
COMUNIDAD
COMUNIDAD
COMUNIDAD
COMUNIDAD
COMUNIDAD
COMUNIDAD
COMUNIDAD
COMUNIDAD
COMUNIDAD
COMUNIDAD
COMUNIDAD
COMUNIDAD
COMUNIDAD
COMUNIDAD
COMUNIDAD
COMUNIDAD
COMUNIDAD
COMUNIDAD
COMUNIDAD
COMUNIDAD
COMUNIDAD
COMUNIDAD
COMUNIDAD
COMUNIDAD
COMUNIDAD
COMUNIDAD
COMUNIDAD
COMUNIDAD
COMUNIDAD
COMUNIDAD
COMUNIDAD
COMUNIDAD
COMUNIDAD
COMUNIDAD
COMUNIDAD
COMUNIDAD
COMUNIDAD
COMUNIDAD
COMUNIDAD
COMUNIDAD
COMUNIDAD
COMUNIDAD
COMUNIDAD
COMUNIDAD
COMUNIDAD
COMUNIDAD
COMUNIDAD
COMUNIDAD
COMUNIDAD
COMUNIDAD
COMUNIDAD
COMUNIDAD
COMUNIDAD
COMUNIDAD
COMUNIDAD
COMUNIDAD
COMUNIDAD
COMUNIDAD
COMUNIDAD
COMUNIDAD
COMUNIDAD
COMUNIDAD
COMUNIDAD
COMUNIDAD
COMUNIDAD
COMUNIDAD
COMUNIDAD
COMUNIDAD
COMUNIDAD
COMUNIDAD
COMUNIDAD
COMUNIDAD
COMUNIDAD
COMUNIDAD
COMUNIDAD
COMUNIDAD
COMUNIDAD
COMUNIDAD
COMUNIDAD
COMUNIDAD
COMUNIDAD
COMUNIDAD
COMUNIDAD
COMUNIDAD
COMUNIDAD
COMUNIDAD
COMUNIDAD
COMUNIDAD
COMUNIDAD
COMUNIDAD
COMUNIDAD
COMUNIDAD
COMUNIDAD
COMUNIDAD
COMUNIDAD
COMUNIDAD
COMUNIDAD
COMUNIDAD
COMUNIDAD
COMUNIDAD
COMUNIDAD
COMUNIDAD
COMUNIDAD
COMUNIDAD
COMUNIDAD
COMUNIDAD
COMUNIDAD
COMUNIDAD
COMUNIDAD
COMUNIDAD
COMUNIDAD
COMUNIDAD
COMUNIDAD
COMUNIDAD
COMUNIDAD
COMUNIDAD
COMUNIDAD
COMUNIDAD
COMUNIDAD
COMUNIDAD
COMUNIDAD
COMUNIDAD
COMUNIDAD
COMUNIDAD
COMUNIDAD
COMUNIDAD
COMUNIDAD
COMUNIDAD
COMUNIDAD
COMUNIDAD
COMUNIDAD
COMUNIDAD
COMUNIDAD
COMUNIDAD
COMUNIDAD
COMUNIDAD
COMUNIDAD
COMUNIDAD
COMUNIDAD
COMUNIDAD
COMUNIDAD
COMUNIDAD
COMUNIDAD
COMUNIDAD
COMUNIDAD
COMUNIDAD
COMUNIDAD
COMUNIDAD
COMUNIDAD
COMUNIDAD
COMUNIDAD
COMUNIDAD
COMUNIDAD
COMUNIDAD
COMUNIDAD
COMUNIDAD
COMUNIDAD
COMUNIDAD
COMUNIDAD
COMUNIDAD
COMUNIDAD
COMUNIDAD
COMUNIDAD
COMUNIDAD
COMUNIDAD
COMUNIDAD
COMUNIDAD
COMUNIDAD
COMUNIDAD
COMUNIDAD
COMUNIDAD
COMUNIDAD
COMUNIDAD
COMUNIDAD
COMUNIDAD
COMUNIDAD
COMUNIDAD
COMUNIDAD
COMUNIDAD
COMUNIDAD
COMUNIDAD
COMUNIDAD
COMUNIDAD
COMUNIDAD
COMUNIDAD
COMUNIDAD
COMUNIDAD
COMUNIDAD
COMUNIDAD
COMUNIDAD
COMUNIDAD
COMUNIDAD
COMUNIDAD
COMUNIDAD
COMUNIDAD
COMUNIDAD
COMUNIDAD
COMUNIDAD
COMUNIDAD
COMUNIDAD
COMUNIDAD
COMUNIDAD
COMUNIDAD
COMUNIDAD
COMUNIDAD
COMUNIDAD
COMUNIDAD
COMUNIDAD
COMUNIDAD
COMUNIDAD
COMUNIDAD
COMUNIDAD
COMUNIDAD
COMUNIDAD
COMUNIDAD
COMUNIDAD
COMUNIDAD
COMUNIDAD
COMUNIDAD
COMUNIDAD
COMUNIDAD
COMUNIDAD
COMUNIDAD
COMUNIDAD
COMUNIDAD
COMUNIDAD
COMUNIDAD
COMUNIDAD
COMUNIDAD
COMUNIDAD
COMUNIDAD
COMUNIDAD
COMUNIDAD
COMUNIDAD
COMUNIDAD
COMUNIDAD
COMUNIDAD
COMUNIDAD
COMUNIDAD
COMUNIDAD
COMUNIDAD
COMUNIDAD
COMUNIDAD
COMUNIDAD
COMUNIDAD
COMUNIDAD
COMUNIDAD
COMUNIDAD
COMUNIDAD
COMUNIDAD
COMUNIDAD
COMUNIDAD
COMUNIDAD
COMUNIDAD
COMUNIDAD
COMUNIDAD
COMUNIDAD
COMUNIDAD
COMUNIDAD
COMUNIDAD
COMUNIDAD
COMUNIDAD
COMUNIDAD
COMUNIDAD
COMUNIDAD
COMUNIDAD
COMUNIDAD
COMUNIDAD
COMUNIDAD
COMUNIDAD
COMUNIDAD
COMUNIDAD
COMUNIDAD
COMUNIDAD
COMUNIDAD
COMUNIDAD
COMUNIDAD
COMUNIDAD
COMUNIDAD
COMUNIDAD
COMUNIDAD
COMUNIDAD
COMUNIDAD
COMUNIDAD
COMUNIDAD
COMUNIDAD
COMUNIDAD
COMUNIDAD
COMUNIDAD
COMUNIDAD
COMUNIDAD
COMUNIDAD
COMUNIDAD
COMUNIDAD
COMUNIDAD
COMUNIDAD
COMUNIDAD
COMUNIDAD
COMUNIDAD
COMUNIDAD
COMUNIDAD
COMUNIDAD
COMUNIDAD
COMUNIDAD
COMUNIDAD
COMUNIDAD
COMUNIDAD
COMUNIDAD
COMUNIDAD
COMUNIDAD
COMUNIDAD
COMUNIDAD
COMUNIDAD
COMUNIDAD
COMUNIDAD
COMUNIDAD
COMUNIDAD
COMUNIDAD
COMUNIDAD
COMUNIDAD
COMUNIDAD
COMUNIDAD
COMUNIDAD
COMUNIDAD
COMUNIDAD
COMUNIDAD
COMUNIDAD
COMUNIDAD
COMUNIDAD
COMUNIDAD
COMUNIDAD
COMUNIDAD
COMUNIDAD
COMUNIDAD
COMUNIDAD
COMUNIDAD
COMUNIDAD
COMUNIDAD
COMUNIDAD
COMUNIDAD
COMUNIDAD
COMUNIDAD
COMUNIDAD
COMUNIDAD
COMUNIDAD
COMUNIDAD
COMUNIDAD
COMUNIDAD
COMUNIDAD
COMUNIDAD
COMUNIDAD
COMUNIDAD
COMUNIDAD
COMUNIDAD
COMUNIDAD
COMUNIDAD
COMUNIDAD
COMUNIDAD
COMUNIDAD
COMUNIDAD
COMUNIDAD
COMUNIDAD
COMUNIDAD
COMUNIDAD
COMUNIDAD
COMUNIDAD
COMUNIDAD
COMUNIDAD
COMUNIDAD
COMUNIDAD
COMUNIDAD
COMUNIDAD
COMUNIDAD
COMUNIDAD
COMUNIDAD
COMUNIDAD
COMUNIDAD
COMUNIDAD
COMUNIDAD
COMUNIDAD
COMUNIDAD
COMUNIDAD
COMUNIDAD
COMUNIDAD
COMUNIDAD
COMUNIDAD
COMUNIDAD
COMUNIDAD
COMUNIDAD
COMUNIDAD
COMUNIDAD
COMUNIDAD
COMUNIDAD
COMUNIDAD
COMUNIDAD
COMUNIDAD
COMUNIDAD
COMUNIDAD
COMUNIDAD
COMUNIDAD
COMUNIDAD
COMUNIDAD
COMUNIDAD
COMUNIDAD
COMUNIDAD
COMUNIDAD
COMUNIDAD
COMUNIDAD
COMUNIDAD
COMUNIDAD
COMUNIDAD
COMUNIDAD
COMUNIDAD
COMUNIDAD
COMUNIDAD
COMUNIDAD
COMUNIDAD
COMUNIDAD
COMUNIDAD
COMUNIDAD
COMUNIDAD
COMUNIDAD
COMUNIDAD
COMUNIDAD
COMUNIDAD
COMUNIDAD
COMUNIDAD
COMUNIDAD
COMUNIDAD
COMUNIDAD
COMUNIDAD
COMUNIDAD
COMUNIDAD
COMUNIDAD
COMUNIDAD
COMUNIDAD
COMUNIDAD
COMUNIDAD
COMUNIDAD
COMUNIDAD
COMUNIDAD
COMUNIDAD
COMUNIDAD
COMUNIDAD
COMUNIDAD
COMUNIDAD
COMUNIDAD
COMUNIDAD
COMUNIDAD
COMUNIDAD
COMUNIDAD
COMUNIDAD
COMUNIDAD
COMUNIDAD
COMUNIDAD
COMUNIDAD
COMUNIDAD
COMUNIDAD
COMUNIDAD
COMUNIDAD
COMUNIDAD
COMUNIDAD
COMUNIDAD
COMUNIDAD
COMUNIDAD
COMUNIDAD
COMUNIDAD
COMUNIDAD
COMUNIDAD
COMUNIDAD
COMUNIDAD
COMUNIDAD
COMUNIDAD
COMUNIDAD
COMUNIDAD
COMUNIDAD
COMUNIDAD
COMUNIDAD
COMUNIDAD
COMUNIDAD
COMUNIDAD
COMUNIDAD
COMUNIDAD
COMUNIDAD
COMUNIDAD
COMUNIDAD
COMUNIDAD
COMUNIDAD
COMUNIDAD
COMUNIDAD
COMUNIDAD
COMUNIDAD
COMUNIDAD
COMUNIDAD
COMUNIDAD
COMUNIDAD
COMUNIDAD
COMUNIDAD
COMUNIDAD
COMUNIDAD
COMUNIDAD
COMUNIDAD
COMUNIDAD
COMUNIDAD
COMUNIDAD
COMUNIDAD
COMUNIDAD
COMUNIDAD
COMUNIDAD
COMUNIDAD
COMUNIDAD
COMUNIDAD
COMUNIDAD
COMUNIDAD
COMUNIDAD
COMUNIDAD
COMUNIDAD
COMUNIDAD
COMUNIDAD
COMUNIDAD
COMUNIDAD
COMUNIDAD
COMUNIDAD
COMUNIDAD
COMUNIDAD
COMUNIDAD
COMUNIDAD
COMUNIDAD
COMUNIDAD
COMUNIDAD
COMUNIDAD
COMUNIDAD
COMUNIDAD
COMUNIDAD
COMUNIDAD
COMUNIDAD
COMUNIDAD
COMUNIDAD
COMUNIDAD
COMUNIDAD
COMUNIDAD
COMUNIDAD
COMUNIDAD
COMUNIDAD
COMUNIDAD
COMUNIDAD
COMUNIDAD
COMUNIDAD
COMUNIDAD
COMUNIDAD
COMUNIDAD
COMUNIDAD
COMUNIDAD
COMUNIDAD
COMUNIDAD
COMUNIDAD
COMUNIDAD
COMUNIDAD
COMUNIDAD
COMUNIDAD
COMUNIDAD
COMUNIDAD
COMUNIDAD
COMUNIDAD
COMUNIDAD
COMUNIDAD
COMUNIDAD
COMUNIDAD
COMUNIDAD
COMUNIDAD
COMUNIDAD
COMUNIDAD
COMUNIDAD
COMUNIDAD
COMUNIDAD
COMUNIDAD
COMUNIDAD
COMUNIDAD
COMUNIDAD
COMUNIDAD
COMUNIDAD
COMUNIDAD
COMUNIDAD
COMUNIDAD
COMUNIDAD
COMUNIDAD
COMUNIDAD
COMUNIDAD
COMUNIDAD
COMUNIDAD
COMUNIDAD
COMUNIDAD
COMUNIDAD
COMUNIDAD
COMUNIDAD
COMUNIDAD
COMUNIDAD
COMUNIDAD
COMUNIDAD
COMUNIDAD
COMUNIDAD
COMUNIDAD
COMUNIDAD
COMUNIDAD
COMUNIDAD
COMUNIDAD
COMUNIDAD
COMUNIDAD
COMUNIDAD
COMUNIDAD
COMUNIDAD
COMUNIDAD
COMUNIDAD
COMUNIDAD
COMUNIDAD
COMUNIDAD
COMUNIDAD
COMUNIDAD
COMUNIDAD
COMUNIDAD
COMUNIDAD
COMUNIDAD
COMUNIDAD
COMUNIDAD
COMUNIDAD
COMUNIDAD
COMUNIDAD
COMUNIDAD
COMUNIDAD
COMUNIDAD
COMUNIDAD
COMUNIDAD
COMUNIDAD
COMUNIDAD
COMUNIDAD
COMUNIDAD
COMUNIDAD
COMUNIDAD
COMUNIDAD
COMUNIDAD
COMUNIDAD
COMUNIDAD
COMUNIDAD
COMUNIDAD
COMUNIDAD
COMUNIDAD
COMUNIDAD
COMUNIDAD
COMUNIDAD
COMUNIDAD
COMUNIDAD
COMUNIDAD
COMUNIDAD
COMUNIDAD
COMUNIDAD
COMUNIDAD
COMUNIDAD
COMUNIDAD
COMUNIDAD
COMUNIDAD
COMUNIDAD
COMUNIDAD
COMUNIDAD
COMUNIDAD
COMUNIDAD
COMUNIDAD
COMUNIDAD
COMUNIDAD
COMUNIDAD
COMUNIDAD
COMUNIDAD
COMUNIDAD
COMUNIDAD
COMUNIDAD
COMUNIDAD
COMUNIDAD
COMUNIDAD
COMUNIDAD
COMUNIDAD
COMUNIDAD
COMUNIDAD
COMUNIDAD
COMUNIDAD
COMUNIDAD
COMUNIDAD
COMUNIDAD
COMUNIDAD
COMUNIDAD
COMUNIDAD
COMUNIDAD
COMUNIDAD
COMUNIDAD
COMUNIDAD
COMUNIDAD
COMUNIDAD
COMUNIDAD
COMUNIDAD
COMUNIDAD
COMUNIDAD
COMUNIDAD
COMUNIDAD
COMUNIDAD
COMUNIDAD
COMUNIDAD
COMUNIDAD
COMUNIDAD
COMUNIDAD
COMUNIDAD
COMUNIDAD
COMUNIDAD
COMUNIDAD
COMUNIDAD
COMUNIDAD
COMUNIDAD
COMUNIDAD
COMUNIDAD
COMUNIDAD
COMUNIDAD
COMUNIDAD
COMUNIDAD
COMUNIDAD
COMUNIDAD
COMUNIDAD
COMUNIDAD
COMUNIDAD
COMUNIDAD
COMUNIDAD
COMUNIDAD
COMUNIDAD
COMUNIDAD
COMUNIDAD
COMUNIDAD
COMUNIDAD
COMUNIDAD
COMUNIDAD
COMUNIDAD
COMUNIDAD
COMUNIDAD
COMUNIDAD
COMUNIDAD
COMUNIDAD
COMUNIDAD
COMUNIDAD
COMUNIDAD
COMUNIDAD
COMUNIDAD
COMUNIDAD
COMUNIDAD
COMUNIDAD
COMUNIDAD
COMUNIDAD
COMUNIDAD
COMUNIDAD
COMUNIDAD
COMUNIDAD
COMUNIDAD
COMUNIDAD
COMUNIDAD
COMUNIDAD
COMUNIDAD
COMUNIDAD
COMUNIDAD
COMUNIDAD
COMUNIDAD
COMUNIDAD
COMUNIDAD
COMUNIDAD
COMUNIDAD
COMUNIDAD
COMUNIDAD
COMUNIDAD
COMUNIDAD
COMUNIDAD
COMUNIDAD
COMUNIDAD
COMUNIDAD
COMUNIDAD
COMUNIDAD
COMUNIDAD
COMUNIDAD
COMUNIDAD
COMUNIDAD
COMUNIDAD
COMUNIDAD
COMUNIDAD
COMUNIDAD
COMUNIDAD
COMUNIDAD
COMUNIDAD
COMUNIDAD
COMUNIDAD
COMUNIDAD
COMUNIDAD
COMUNIDAD
COMUNIDAD
COMUNIDAD
COMUNIDAD
COMUNIDAD
COMUNIDAD
COMUNIDAD
COMUNIDAD
COMUNIDAD
COMUNIDAD
COMUNIDAD
COMUNIDAD
COMUNIDAD
COMUNIDAD
COMUNIDAD
COMUNIDAD
COMUNIDAD
COMUNIDAD
COMUNIDAD
COMUNIDAD
COMUNIDAD
COMUNIDAD
COMUNIDAD
COMUNIDAD
COMUNIDAD
COMUNIDAD
COMUNIDAD
COMUNIDAD
COMUNIDAD
COMUNIDAD
COMUNIDAD
COMUNIDAD
COMUNIDAD
COMUNIDAD
COMUNIDAD
COMUNIDAD
COMUNIDAD
COMUNIDAD
COMUNIDAD
COMUNIDAD
COMUNIDAD
COMUNIDAD
COMUNIDAD
COMUNIDAD
COMUNIDAD
COMUNIDAD
COMUNIDAD
COMUNIDAD
COMUNIDAD
COMUNIDAD
COMUNIDAD
COMUNIDAD
COMUNIDAD
COMUNIDAD
COMUNIDAD
COMUNIDAD
COMUNIDAD
COMUNIDAD
COMUNIDAD
COMUNIDAD
COMUNIDAD
COMUNIDAD
COMUNIDAD
COMUNIDAD
COMUNIDAD
COMUNIDAD
COMUNIDAD
COMUNIDAD
COMUNIDAD
COMUNIDAD
COMUNIDAD
COMUNIDAD
COMUNIDAD
COMUNIDAD
COMUNIDAD
COMUNIDAD
COMUNIDAD
COMUNIDAD
COMUNIDAD
COMUNIDAD
COMUNIDAD
COMUNIDAD
COMUNIDAD
COMUNIDAD
COMUNIDAD
COMUNIDAD
COMUNIDAD
COMUNIDAD
COMUNIDAD
COMUNIDAD
COMUNIDAD
COMUNIDAD
COMUNIDAD
COMUNIDAD
COMUNIDAD
COMUNIDAD
COMUNIDAD
COMUNIDAD
COMUNIDAD
COMUNIDAD
COMUNIDAD
COMUNIDAD
COMUNIDAD
COMUNIDAD
COMUNIDAD
COMUNIDAD
COMUNIDAD
COMUNIDAD
COMUNIDAD
COMUNIDAD
COMUNIDAD
COMUNIDAD
COMUNIDAD
COMUNIDAD
COMUNIDAD
COMUNIDAD
COMUNIDAD
COMUNIDAD
COMUNIDAD
COMUNIDAD
COMUNIDAD
COMUNIDAD
COMUNIDAD
COMUNIDAD
COMUNIDAD
COMUNIDAD
COMUNIDAD
COMUNIDAD
COMUNIDAD
COMUNIDAD
COMUNIDAD
COMUNIDAD
COMUNIDAD
COMUNIDAD
COMUNIDAD
COMUNIDAD
COMUNIDAD
COMUNIDAD
COMUNIDAD
COMUNIDAD
COMUNIDAD
COMUNIDAD
COMUNIDAD
COMUNIDAD
COMUNIDAD
COMUNIDAD
COMUNIDAD
COMUNIDAD
COMUNIDAD
COMUNIDAD
COMUNIDAD
COMUNIDAD
COMUNIDAD
COMUNIDAD
COMUNIDAD
COMUNIDAD
COMUNIDAD
COMUNIDAD
COMUNIDAD
COMUNIDAD
COMUNIDAD
COMUNIDAD
COMUNIDAD
COMUNIDAD
COMUNIDAD
COMUNIDAD
COMUNIDAD
COMUNIDAD
COMUNIDAD
COMUNIDAD
COMUNIDAD
COMUNIDAD
COMUNIDAD
COMUNIDAD
COMUNIDAD
COMUNIDAD
COMUNIDAD
COMUNIDAD
COMUNIDAD
COMUNIDAD
COMUNIDAD
COMUNIDAD
COMUNIDAD
COMUNIDAD
COMUNIDAD
COMUNIDAD
COMUNIDAD
COMUNIDAD
COMUNIDAD
COMUNIDAD
COMUNIDAD
COMUNIDAD
COMUNIDAD
COMUNIDAD
COMUNIDAD
COMUNIDAD
COMUNIDAD
COMUNIDAD
COMUNIDAD
COMUNIDAD
COMUNIDAD
COMUNIDAD
COMUNIDAD
COMUNIDAD
COMUNIDAD
COMUNIDAD
COMUNIDAD
COMUNIDAD
COMUNIDAD
COMUNIDAD
COMUNIDAD
COMUNIDAD
COMUNIDAD
COMUNIDAD
COMUNIDAD
COMUNIDAD
COMUNIDAD
COMUNIDAD
COMUNIDAD
COMUNIDAD
COMUNIDAD
COMUNIDAD
COMUNIDAD
COMUNIDAD
COMUNIDAD
COMUNIDAD
COMUNIDAD
COMUNIDAD
COMUNIDAD
COMUNIDAD
COMUNIDAD
COMUNIDAD
COMUNIDAD
COMUNIDAD
COMUNIDAD
COMUNIDAD
COMUNIDAD
COMUNIDAD
COMUNIDAD
COMUNIDAD
COMUNIDAD
COMUNIDAD
COMUNIDAD
COMUNIDAD
COMUNIDAD
COMUNIDAD
COMUNIDAD
COMUNIDAD
COMUNIDAD
COMUNIDAD
COMUNIDAD
COMUNIDAD
COMUNIDAD
COMUNIDAD
COMUNIDAD
COMUNIDAD
COMUNIDAD
COMUNIDAD
COMUNIDAD
COMUNIDAD
COMUNIDAD
COMUNIDAD
COMUNIDAD
COMUNIDAD
COMUNIDAD
COMUNIDAD
COMUNIDAD
COMUNIDAD
COMUNIDAD
COMUNIDAD
COMUNIDAD
COMUNIDAD
COMUNIDAD
COMUNIDAD
COMUNIDAD
COMUNIDAD
COMUNIDAD
COMUNIDAD
COMUNIDAD
COMUNIDAD
COMUNIDAD
COMUNIDAD
COMUNIDAD
COMUNIDAD
COMUNIDAD
COMUNIDAD
COMUNIDAD
COMUNIDAD
COMUNIDAD
COMUNIDAD
COMUNIDAD
COMUNIDAD
COMUNIDAD
COMUNIDAD
COMUNIDAD
COMUNIDAD
COMUNIDAD
COMUNIDAD
COMUNIDAD
COMUNIDAD
COMUNIDAD
COMUNIDAD
COMUNIDAD
COMUNIDAD
COMUNIDAD
COMUNIDAD
COMUNIDAD
COMUNIDAD
COMUNIDAD
COMUNIDAD
COMUNIDAD
COMUNIDAD
COMUNIDAD
COMUNIDAD
COMUNIDAD
COMUNIDAD
COMUNIDAD
COMUNIDAD
COMUNIDAD
COMUNIDAD
COMUNIDAD
COMUNIDAD
COMUNIDAD
COMUNIDAD
COMUNIDAD
COMUNIDAD
COMUNIDAD
COMUNIDAD
COMUNIDAD
COMUNIDAD
COMUNIDAD
COMUNIDAD
COMUNIDAD
COMUNIDAD
COMUNIDAD
COMUNIDAD
COMUNIDAD
COMUNIDAD
COMUNIDAD
COMUNIDAD
COMUNIDAD
COMUNIDAD
COMUNIDAD
COMUNIDAD
COMUNIDAD
COMUNIDAD
COMUNIDAD
COMUNIDAD
COMUNIDAD
COMUNIDAD
COMUNIDAD
COMUNIDAD
COMUNIDAD
COMUNIDAD
COMUNIDAD
COMUNIDAD
COMUNIDAD
COMUNIDAD
COMUNIDAD
COMUNIDAD
COMUNIDAD
COMUNIDAD
COMUNIDAD
COMUNIDAD
COMUNIDAD
COMUNIDAD
COMUNIDAD
COMUNIDAD
COMUNIDAD
COMUNIDAD
COMUNIDAD
COMUNIDAD
COMUNIDAD
COMUNIDAD
COMUNIDAD
COMUNIDAD
COMUNIDAD
COMUNIDAD
COMUNIDAD
COMUNIDAD
COMUNIDAD
COMUNIDAD
COMUNIDAD
COMUNIDAD
COMUNIDAD
COMUNIDAD
COMUNIDAD
COMUNIDAD
COMUNIDAD
COMUNIDAD
COMUNIDAD
COMUNIDAD
COMUNIDAD
COMUNIDAD
COMUNIDAD
COMUNIDAD
COMUNIDAD
COMUNIDAD
COMUNIDAD
COMUNIDAD
COMUNIDAD
COMUNIDAD
COMUNIDAD
COMUNIDAD
COMUNIDAD
COMUNIDAD
COMUNIDAD
COMUNIDAD
COMUNIDAD
COMUNIDAD
COMUNIDAD
COMUNIDAD
COMUNIDAD
COMUNIDAD
COMUNIDAD
COMUNIDAD
COMUNIDAD
COMUNIDAD
COMUNIDAD
COMUNIDAD
COMUNIDAD
COMUNIDAD
COMUNIDAD
COMUNIDAD
COMUNIDAD
COMUNIDAD
COMUNIDAD
COMUNIDAD
COMUNIDAD
COMUNIDAD
COMUNIDAD
COMUNIDAD
COMUNIDAD
COMUNIDAD
COMUNIDAD
COMUNIDAD
COMUNIDAD
COMUNIDAD
COMUNIDAD
COMUNIDAD
COMUNIDAD
COMUNIDAD
COMUNIDAD
COMUNIDAD
COMUNIDAD
COMUNIDAD
COMUNIDAD
COMUNIDAD
COMUNIDAD
COMUNIDAD
COMUNIDAD
COMUNIDAD
COMUNIDAD
COMUNIDAD
COMUNIDAD
COMUNIDAD
COMUNIDAD
COMUNIDAD
COMUNIDAD
COMUNIDAD
COMUNIDAD
COMUNIDAD
COMUNIDAD
COMUNIDAD
COMUNIDAD
COMUNIDAD
COMUNIDAD
COMUNIDAD
COMUNIDAD
COMUNIDAD
COMUNIDAD
COMUNIDAD
COMUNIDAD
COMUNIDAD
COMUNIDAD
COMUNIDAD
COMUNIDAD
COMUNIDAD
COMUNIDAD
COMUNIDAD
COMUNIDAD
COMUNIDAD
COMUNIDAD
COMUNIDAD
COMUNIDAD
COMUNIDAD
COMUNIDAD
COMUNIDAD
COMUNIDAD
COMUNIDAD
COMUNIDAD
COMUNIDAD
COMUNIDAD
COMUNIDAD
COMUNIDAD
COMUNIDAD
COMUNIDAD
COMUNIDAD
COMUNIDAD
COMUNIDAD
COMUNIDAD
COMUNIDAD
COMUNIDAD
COMUNIDAD
COMUNIDAD
COMUNIDAD
COMUNIDAD
COMUNIDAD
COMUNIDAD
COMUNIDAD
COMUNIDAD
COMUNIDAD
COMUNIDAD
COMUNIDAD
COMUNIDAD
COMUNIDAD
COMUNIDAD
COMUNIDAD
COMUNIDAD
COMUNIDAD
COMUNIDAD
COMUNIDAD
COMUNIDAD
COMUNIDAD
COMUNIDAD
COMUNIDAD
COMUNIDAD
COMUNIDAD
COMUNIDAD
COMUNIDAD
COMUNIDAD
COMUNIDAD
COMUNIDAD
COMUNIDAD
COMUNIDAD
COMUNIDAD
COMUNIDAD
COMUNIDAD
COMUNIDAD
COMUNIDAD
COMUNIDAD
COMUNIDAD
COMUNIDAD
COMUNIDAD
COMUNIDAD
COMUNIDAD
COMUNIDAD
COMUNIDAD
COMUNIDAD
COMUNIDAD
COMUNIDAD
COMUNIDAD
COMUNIDAD
COMUNIDAD
COMUNIDAD
COMUNIDAD
COMUNIDAD
COMUNIDAD
COMUNIDAD
COMUNIDAD
COMUNIDAD
COMUNIDAD
COMUNIDAD
COMUNIDAD
COMUNIDAD
COMUNIDAD
COMUNIDAD
COMUNIDAD
COMUNIDAD
COMUNIDAD
COMUNIDAD
COMUNIDAD
COMUNIDAD
COMUNIDAD
COMUNIDAD
COMUNIDAD
COMUNIDAD
COMUNIDAD
COMUNIDAD
COMUNIDAD
COMUNIDAD
COMUNIDAD
COMUNIDAD
COMUNIDAD
COMUNIDAD
COMUNIDAD
COMUNIDAD
COMUNIDAD
COMUNIDAD
COMUNIDAD
COMUNIDAD
COMUNIDAD
COMUNIDAD
COMUNIDAD
COMUNIDAD
COMUNIDAD
COMUNIDAD
COMUNIDAD
COMUNIDAD
COMUNIDAD
COMUNIDAD
COMUNIDAD
COMUNIDAD
COMUNIDAD
COMUNIDAD
COMUNIDAD
COMUNIDAD
COMUNIDAD
COMUNIDAD
COMUNIDAD
COMUNIDAD
COMUNIDAD
COMUNIDAD
COMUNIDAD
COMUNIDAD
COMUNIDAD
COMUNIDAD
COMUNIDAD
COMUNIDAD
COMUNIDAD
COMUNIDAD
COMUNIDAD
COMUNIDAD
COMUNIDAD
COMUNIDAD
COMUNIDAD
COMUNIDAD
COMUNIDAD
COMUNIDAD
COMUNIDAD
COMUNIDAD
COMUNIDAD
COMUNIDAD
COMUNIDAD
COMUNIDAD
COMUNIDAD
COMUNIDAD
COMUNIDAD
COMUNIDAD
COMUNIDAD
COMUNIDAD
COMUNIDAD
COMUNIDAD
COMUNIDAD
COMUNIDAD
COMUNIDAD
COMUNIDAD
COMUNIDAD
COMUNIDAD
COMUNIDAD
COMUNIDAD
COMUNIDAD
COMUNIDAD
COMUNIDAD
COMUNIDAD
COMUNIDAD
COMUNIDAD
COMUNIDAD
COMUNIDAD
COMUNIDAD
COMUNIDAD
COMUNIDAD
COMUNIDAD
COMUNIDAD
COMUNIDAD
COMUNIDAD
COMUNIDAD
COMUNIDAD
COMUNIDAD
COMUNIDAD
COMUNIDAD
COMUNIDAD
COMUNIDAD
COMUNIDAD
COMUNIDAD
COMUNIDAD
COMUNIDAD
COMUNIDAD
COMUNIDAD
COMUNIDAD
COMUNIDAD
COMUNIDAD
COMUNIDAD
COMUNIDAD
COMUNIDAD
COMUNIDAD
COMUNIDAD
COMUNIDAD
COMUNIDAD
COMUNIDAD
COMUNIDAD
COMUNIDAD
COMUNIDAD
COMUNIDAD
COMUNIDAD
COMUNIDAD
COMUNIDAD
COMUNIDAD
COMUNIDAD
COMUNIDAD
COMUNIDAD
COMUNIDAD
COMUNIDAD
COMUNIDAD
COMUNIDAD
COMUNIDAD
COMUNIDAD
COMUNIDAD
COMUNIDAD
COMUNIDAD
COMUNIDAD
COMUNIDAD
COMUNIDAD
COMUNIDAD
COMUNIDAD
COMUNIDAD
COMUNIDAD
COMUNIDAD
COMUNIDAD
COMUNIDAD
COMUNIDAD
COMUNIDAD
COMUNIDAD
COMUNIDAD
COMUNIDAD
COMUNIDAD
COMUNIDAD
COMUNIDAD
COMUNIDAD
COMUNIDAD
COMUNIDAD
COMUNIDAD
COMUNIDAD
COMUNIDAD
COMUNIDAD
COMUNIDAD
COMUNIDAD
COMUNIDAD
COMUNIDAD
COMUNIDAD
COMUNIDAD
COMUNIDAD
COMUNIDAD
COMUNIDAD
COMUNIDAD
COMUNIDAD
COMUNIDAD
COMUNIDAD
COMUNIDAD
COMUNIDAD
COMUNIDAD
COMUNIDAD
COMUNIDAD
COMUNIDAD
COMUNIDAD
COMUNIDAD
COMUNIDAD
COMUNIDAD
COMUNIDAD
COMUNIDAD
COMUNIDAD
COMUNIDAD
COMUNIDAD
COMUNIDAD
COMUNIDAD
COMUNIDAD
COMUNIDAD
COMUNIDAD
COMUNIDAD
COMUNIDAD
COMUNIDAD
COMUNIDAD
COMUNIDAD
COMUNIDAD
COMUNIDAD
COMUNIDAD
COMUNIDAD
COMUNIDAD
COMUNIDAD
COMUNIDAD
COMUNIDAD
COMUNIDAD
COMUNIDAD
COMUNIDAD
COMUNIDAD
COMUNIDAD
COMUNIDAD
COMUNIDAD
COMUNIDAD
COMUNIDAD
COMUNIDAD
COMUNIDAD
COMUNIDAD
COMUNIDAD
COMUNIDAD
COMUNIDAD
COMUNIDAD
COMUNIDAD
COMUNIDAD
COMUNIDAD
COMUNIDAD
COMUNIDAD
COMUNIDAD
COMUNIDAD
COMUNIDAD
COMUNIDAD
COMUNIDAD
COMUNIDAD
COMUNIDAD
COMUNIDAD
COMUNIDAD
COMUNIDAD
COMUNIDAD
COMUNIDAD
COMUNIDAD
COMUNIDAD
COMUNIDAD
COMUNIDAD
COMUNIDAD
COMUNIDAD
COMUNIDAD
COMUNIDAD
COMUNIDAD
COMUNIDAD
COMUNIDAD
COMUNIDAD
COMUNIDAD
COMUNIDAD
COMUNIDAD
COMUNIDAD
COMUNIDAD
COMUNIDAD
COMUNIDAD
COMUNIDAD
COMUNIDAD
COMUNIDAD
COMUNIDAD
COMUNIDAD
COMUNIDAD
COMUNIDAD
COMUNIDAD
COMUNIDAD
COMUNIDAD
COMUNIDAD
COMUNIDAD
COMUNIDAD
COMUNIDAD
COMUNIDAD
COMUNIDAD
COMUNIDAD
COMUNIDAD
COMUNIDAD
COMUNIDAD
COMUNIDAD
COMUNIDAD
COMUNIDAD
COMUNIDAD
COMUNIDAD
COMUNIDAD
COMUNIDAD
COMUNIDAD
COMUNIDAD
COMUNIDAD
COMUNIDAD
COMUNIDAD
COMUNIDAD
COMUNIDAD
COMUNIDAD
COMUNIDAD
COMUNIDAD
COMUNIDAD
COMUNIDAD
COMUNIDAD
COMUNIDAD
COMUNIDAD
COMUNIDAD
COMUNIDAD
COMUNIDAD
COMUNIDAD
COMUNIDAD
COMUNIDAD
COMUNIDAD
COMUNIDAD
COMUNIDAD
COMUNIDAD
COMUNIDAD
COMUNIDAD
COMUNIDAD
COMUNIDAD
COMUNIDAD
COMUNIDAD
COMUNIDAD
COMUNIDAD
COMUNIDAD
COMUNIDAD
COMUNIDAD
COMUNIDAD
COMUNIDAD
COMUNIDAD
COMUNIDAD
COMUNIDAD
COMUNIDAD
COMUNIDAD
COMUNIDAD
COMUNIDAD
COMUNIDAD
COMUNIDAD
COMUNIDAD
COMUNIDAD
COMUNIDAD
COMUNIDAD
COMUNIDAD
COMUNIDAD
COMUNIDAD
COMUNIDAD
COMUNIDAD
COMUNIDAD
COMUNIDAD
COMUNIDAD
COMUNIDAD
COMUNIDAD
COMUNIDAD
COMUNIDAD
COMUNIDAD
COMUNIDAD
COMUNIDAD
COMUNIDAD
COMUNIDAD
COMUNIDAD
COMUNIDAD
COMUNIDAD
COMUNIDAD
COMUNIDAD
COMUNIDAD
COMUNIDAD
COMUNIDAD
COMUNIDAD
COMUNIDAD
COMUNIDAD
COMUNIDAD
COMUNIDAD
COMUNIDAD
COMUNIDAD
COMUNIDAD
COMUNIDAD
COMUNIDAD
COMUNIDAD
COMUNIDAD
COMUNIDAD
COMUNIDAD
COMUNIDAD
COMUNIDAD
COMUNIDAD
COMUNIDAD
COMUNIDAD
COMUNIDAD
COMUNIDAD
COMUNIDAD
COMUNIDAD
COMUNIDAD
COMUNIDAD
COMUNIDAD
COMUNIDAD
COMUNIDAD
COMUNIDAD
COMUNIDAD
COMUNIDAD
COMUNIDAD
COMUNIDAD
COMUNIDAD
COMUNIDAD
COMUNIDAD
COMUNIDAD
COMUNIDAD
COMUNIDAD
COMUNIDAD
COMUNIDAD
COMUNIDAD
COMUNIDAD
COMUNIDAD
COMUNIDAD
COMUNIDAD
COMUNIDAD
COMUNIDAD
COMUNIDAD
COMUNIDAD
COMUNIDAD
COMUNIDAD
COMUNIDAD
COMUNIDAD
COMUNIDAD
COMUNIDAD
COMUNIDAD
COMUNIDAD
COMUNIDAD
COMUNIDAD
COMUNIDAD
COMUNIDAD
COMUNIDAD
COMUNIDAD
COMUNIDAD
COMUNIDAD
COMUNIDAD
COMUNIDAD
COMUNIDAD
COMUNIDAD
COMUNIDAD
COMUNIDAD
COMUNIDAD
COMUNIDAD
COMUNIDAD
COMUNIDAD
COMUNIDAD
COMUNIDAD
COMUNIDAD
COMUNIDAD
COMUNIDAD
COMUNIDAD
COMUNIDAD
COMUNIDAD
COMUNIDAD
COMUNIDAD
COMUNIDAD
COMUNIDAD
COMUNIDAD
COMUNIDAD
COMUNIDAD
COMUNIDAD
COMUNIDAD
COMUNIDAD
COMUNIDAD
COMUNIDAD
COMUNIDAD
COMUNIDAD
COMUNIDAD
COMUNIDAD
COMUNIDAD
COMUNIDAD
COMUNIDAD
COMUNIDAD
COMUNIDAD
COMUNIDAD
COMUNIDAD
COMUNIDAD
COMUNIDAD
COMUNIDAD
COMUNIDAD
COMUNIDAD
COMUNIDAD
COMUNIDAD
COMUNIDAD
COMUNIDAD
COMUNIDAD
COMUNIDAD
COMUNIDAD
COMUNIDAD
COMUNIDAD
COMUNIDAD
COMUNIDAD
COMUNIDAD
COMUNIDAD
COMUNIDAD
COMUNIDAD
COMUNIDAD
COMUNIDAD
COMUNIDAD
COMUNIDAD
COMUNIDAD
COMUNIDAD
COMUNIDAD
COMUNIDAD
COMUNIDAD
COMUNIDAD
COMUNIDAD
COMUNIDAD
COMUNIDAD
COMUNIDAD
COMUNIDAD
COMUNIDAD
COMUNIDAD
COMUNIDAD
COMUNIDAD
COMUNIDAD
COMUNIDAD
COMUNIDAD
COMUNIDAD
COMUNIDAD
COMUNIDAD
COMUNIDAD
COMUNIDAD
COMUNIDAD
COMUNIDAD
COMUNIDAD
COMUNIDAD
COMUNIDAD
COMUNIDAD
COMUNIDAD
COMUNIDAD
COMUNIDAD
COMUNIDAD
COMUNIDAD
COMUNIDAD
COMUNIDAD
COMUNIDAD
COMUNIDAD
COMUNIDAD
COMUNIDAD
COMUNIDAD
COMUNIDAD
COMUNIDAD
COMUNIDAD
COMUNIDAD
COMUNIDAD
COMUNIDAD
COMUNIDAD
COMUNIDAD
COMUNIDAD
COMUNIDAD
COMUNIDAD
COMUNIDAD
COMUNIDAD
COMUNIDAD
COMUNIDAD
COMUNIDAD
COMUNIDAD
COMUNIDAD
COMUNIDAD
COMUNIDAD
COMUNIDAD
COMUNIDAD
COMUNIDAD
COMUNIDAD
COMUNIDAD
COMUNIDAD
COMUNIDAD
COMUNIDAD
COMUNIDAD
COMUNIDAD
COMUNIDAD
COMUNIDAD
COMUNIDAD
COMUNIDAD
COMUNIDAD
COMUNIDAD
COMUNIDAD
COMUNIDAD
COMUNIDAD
COMUNIDAD
COMUNIDAD
COMUNIDAD
COMUNIDAD
COMUNIDAD
COMUNIDAD
COMUNIDAD
COMUNIDAD
COMUNIDAD
COMUNIDAD
COMUNIDAD
COMUNIDAD
COMUNIDAD
COMUNIDAD
COMUNIDAD
COMUNIDAD
COMUNIDAD
COMUNIDAD
COMUNIDAD
COMUNIDAD
COMUNIDAD
COMUNIDAD
COMUNIDAD
COMUNIDAD
COMUNIDAD
COMUNIDAD
COMUNIDAD
COMUNIDAD
COMUNIDAD
COMUNIDAD
COMUNIDAD
COMUNIDAD
COMUNIDAD
COMUNIDAD
COMUNIDAD
COMUNIDAD
COMUNIDAD
COMUNIDAD
COMUNIDAD
COMUNIDAD
COMUNIDAD
COMUNIDAD
COMUNIDAD
COMUNIDAD
COMUNIDAD
COMUNIDAD
COMUNIDAD
COMUNIDAD
COMUNIDAD
COMUNIDAD
COMUNIDAD
COMUNIDAD
COMUNIDAD
COMUNIDAD
COMUNIDAD
COMUNIDAD
COMUNIDAD
COMUNIDAD
COMUNIDAD
COMUNIDAD
COMUNIDAD
COMUNIDAD
COMUNIDAD
COMUNIDAD
COMUNIDAD
COMUNIDAD
COMUNIDAD
COMUNIDAD
COMUNIDAD
COMUNIDAD
COMUNIDAD
COMUNIDAD
COMUNIDAD
COMUNIDAD
COMUNIDAD
COMUNIDAD
COMUNIDAD
COMUNIDAD
COMUNIDAD
COMUNIDAD
COMUNIDAD
COMUNIDAD
COMUNIDAD
COMUNIDAD
COMUNIDAD
COMUNIDAD
COMUNIDAD
COMUNIDAD
COMUNIDAD
COMUNIDAD
COMUNIDAD
COMUNIDAD
COMUNIDAD
COMUNIDAD
COMUNIDAD
COMUNIDAD
COMUNIDAD
COMUNIDAD
COMUNIDAD
COMUNIDAD
COMUNIDAD
COMUNIDAD
COMUNIDAD
COMUNIDAD
COMUNIDAD
COMUNIDAD
COMUNIDAD
COMUNIDAD
COMUNIDAD
COMUNIDAD
COMUNIDAD
COMUNIDAD
COMUNIDAD
COMUNIDAD
COMUNIDAD
COMUNIDAD
COMUNIDAD
COMUNIDAD
COMUNIDAD
COMUNIDAD
COMUNIDAD
COMUNIDAD
COMUNIDAD
COMUNIDAD
COMUNIDAD
COMUNIDAD
COMUNIDAD
COMUNIDAD
COMUNIDAD
COMUNIDAD
COMUNIDAD
COMUNIDAD
COMUNIDAD
COMUNIDAD
COMUNIDAD
COMUNIDAD
COMUNIDAD
COMUNIDAD
COMUNIDAD
COMUNIDAD
COMUNIDAD
COMUNIDAD
COMUNIDAD
COMUNIDAD
COMUNIDAD
COMUNIDAD
COMUNIDAD
COMUNIDAD
COMUNIDAD
COMUNIDAD
COMUNIDAD
COMUNIDAD
COMUNIDAD
COMUNIDAD
COMUNIDAD
COMUNIDAD
COMUNIDAD
COMUNIDAD
COMUNIDAD
COMUNIDAD
COMUNIDAD
COMUNIDAD
COMUNIDAD
COMUNIDAD
COMUNIDAD
COMUNIDAD
COMUNIDAD
COMUNIDAD
COMUNIDAD
COMUNIDAD
COMUNIDAD
COMUNIDAD
COMUNIDAD
COMUNIDAD
COMUNIDAD
COMUNIDAD
COMUNIDAD
COMUNIDAD
COMUNIDAD
COMUNIDAD
COMUNIDAD
COMUNIDAD
COMUNIDAD
COMUNIDAD
COMUNIDAD
COMUNIDAD
COMUNIDAD
COMUNIDAD
COMUNIDAD
COMUNIDAD
COMUNIDAD
COMUNIDAD
COMUNIDAD
COMUNIDAD
COMUNIDAD
COMUNIDAD
COMUNIDAD
COMUNIDAD
COMUNIDAD
COMUNIDAD
COMUNIDAD
COMUNIDAD
COMUNIDAD
COMUNIDAD
COMUNIDAD
COMUNIDAD
COMUNIDAD
COMUNIDAD
COMUNIDAD
COMUNIDAD
COMUNIDAD
COMUNIDAD
COMUNIDAD
COMUNIDAD
COMUNIDAD
COMUNIDAD
COMUNIDAD
COMUNIDAD
COMUNIDAD
COMUNIDAD
COMUNIDAD
COMUNIDAD
COMUNIDAD
COMUNIDAD
COMUNIDAD
COMUNIDAD
COMUNIDAD
COMUNIDAD
COMUNIDAD
COMUNIDAD
COMUNIDAD
COMUNIDAD
COMUNIDAD
COMUNIDAD
COMUNIDAD
COMUNIDAD
COMUNIDAD
COMUNIDAD
COMUNIDAD
COMUNIDAD
COMUNIDAD
COMUNIDAD
COMUNIDAD
COMUNIDAD
COMUNIDAD
COMUNIDAD
COMUNIDAD
COMUNIDAD
COMUNIDAD
COMUNIDAD
COMUNIDAD
COMUNIDAD
COMUNIDAD
COMUNIDAD
COMUNIDAD
COMUNIDAD
COMUNIDAD
COMUNIDAD
COMUNIDAD
COMUNIDAD
COMUNIDAD
COMUNIDAD
COMUNIDAD
COMUNIDAD
COMUNIDAD
COMUNIDAD
COMUNIDAD
COMUNIDAD
COMUNIDAD
COMUNIDAD
COMUNIDAD
COMUNIDAD
COMUNIDAD
COMUNIDAD
COMUNIDAD
COMUNIDAD
COMUNIDAD
COMUNIDAD
COMUNIDAD
COMUNIDAD
COMUNIDAD
COMUNIDAD
COMUNIDAD
COMUNIDAD
COMUNIDAD
COMUNIDAD
COMUNIDAD
COMUNIDAD
COMUNIDAD
COMUNIDAD
COMUNIDAD
COMUNIDAD
COMUNIDAD
COMUNIDAD
COMUNIDAD
COMUNIDAD
COMUNIDAD
COMUNIDAD
COMUNIDAD
COMUNIDAD
COMUNIDAD
COMUNIDAD
COMUNIDAD
COMUNIDAD
COMUNIDAD
COMUNIDAD
COMUNIDAD
COMUNIDAD
COMUNIDAD
COMUNIDAD
COMUNIDAD
COMUNIDAD
COMUNIDAD
COMUNIDAD
COMUNIDAD
COMUNIDAD
COMUNIDAD
COMUNIDAD
COMUNIDAD
COMUNIDAD
COMUNIDAD
COMUNIDAD
COMUNIDAD
COMUNIDAD
COMUNIDAD
COMUNIDAD
COMUNIDAD
COMUNIDAD
COMUNIDAD
COMUNIDAD
COMUNIDAD
COMUNIDAD
COMUNIDAD
COMUNIDAD
COMUNIDAD
COMUNIDAD
COMUNIDAD
COMUNIDAD
COMUNIDAD
COMUNIDAD
COMUNIDAD
COMUNIDAD
COMUNIDAD
COMUNIDAD
COMUNIDAD
COMUNIDAD
COMUNIDAD
COMUNIDAD
COMUNIDAD
COMUNIDAD
COMUNIDAD
COMUNIDAD
COMUNIDAD
COMUNIDAD
COMUNIDAD
COMUNIDAD
COMUNIDAD
COMUNIDAD
COMUNIDAD
COMUNIDAD
COMUNIDAD
COMUNIDAD
COMUNIDAD
COMUNIDAD
COMUNIDAD
COMUNIDAD
COMUNIDAD
COMUNIDAD
COMUNIDAD
COMUNIDAD
COMUNIDAD
COMUNIDAD
COMUNIDAD
COMUNIDAD
COMUNIDAD
COMUNIDAD
COMUNIDAD
COMUNIDAD
COMUNIDAD
COMUNIDAD
COMUNIDAD
COMUNIDAD
COMUNIDAD
COMUNIDAD
COMUNIDAD
COMUNIDAD
COMUNIDAD
COMUNIDAD
COMUNIDAD
COMUNIDAD
COMUNIDAD
COMUNIDAD
COMUNIDAD
COMUNIDAD
COMUNIDAD
COMUNIDAD
COMUNIDAD
COMUNIDAD
COMUNIDAD
COMUNIDAD
COMUNIDAD
COMUNIDAD
COMUNIDAD
COMUNIDAD
COMUNIDAD
COMUNIDAD
COMUNIDAD
COMUNIDAD
COMUNIDAD
COMUNIDAD
COMUNIDAD
COMUNIDAD
COMUNIDAD
COMUNIDAD
COMUNIDAD
COMUNIDAD
COMUNIDAD
COMUNIDAD
COMUNIDAD
COMUNIDAD
COMUNIDAD
COMUNIDAD
COMUNIDAD
COMUNIDAD
COMUNIDAD
COMUNIDAD
COMUNIDAD
COMUNIDAD
COMUNIDAD
COMUNIDAD
COMUNIDAD
COMUNIDAD
COMUNIDAD
COMUNIDAD
COMUNIDAD
COMUNIDAD
COMUNIDAD
COMUNIDAD
COMUNIDAD
COMUNIDAD
COMUNIDAD
COMUNIDAD
COMUNIDAD
COMUNIDAD
COMUNIDAD
COMUNIDAD
COMUNIDAD
COMUNIDAD
COMUNIDAD
COMUNIDAD
COMUNIDAD
COMUNIDAD
COMUNIDAD
COMUNIDAD
COMUNIDAD
COMUNIDAD
COMUNIDAD
COMUNIDAD
COMUNIDAD
COMUNIDAD
COMUNIDAD
COMUNIDAD
COMUNIDAD
COMUNIDAD
COMUNIDAD
COMUNIDAD
COMUNIDAD
COMUNIDAD
COMUNIDAD
COMUNIDAD
COMUNIDAD
COMUNIDAD
COMUNIDAD
COMUNIDAD
COMUNIDAD
COMUNIDAD
COMUNIDAD
COMUNIDAD
COMUNIDAD
COMUNIDAD
COMUNIDAD
COMUNIDAD
COMUNIDAD
COMUNIDAD
COMUNIDAD
COMUNIDAD
COMUNIDAD
COMUNIDAD
COMUNIDAD
COMUNIDAD
COMUNIDAD
COMUNIDAD
COMUNIDAD
COMUNIDAD
COMUNIDAD
COMUNIDAD
COMUNIDAD
COMUNIDAD
COMUNIDAD
COMUNIDAD
COMUNIDAD
COMUNIDAD
COMUNIDAD
COMUNIDAD
COMUNIDAD
COMUNIDAD
COMUNIDAD
COMUNIDAD
COMUNIDAD
COMUNIDAD
COMUNIDAD
COMUNIDAD
COMUNIDAD
COMUNIDAD
COMUNIDAD
COMUNIDAD
COMUNIDAD
COMUNIDAD
COMUNIDAD
COMUNIDAD
COMUNIDAD
COMUNIDAD
COMUNIDAD
COMUNIDAD
COMUNIDAD
COMUNIDAD
COMUNIDAD
COMUNIDAD
COMUNIDAD
COMUNIDAD
COMUNIDAD
COMUNIDAD
COMUNIDAD
COMUNIDAD
COMUNIDAD
COMUNIDAD
COMUNIDAD
COMUNIDAD
COMUNIDAD
COMUNIDAD
COMUNIDAD
COMUNIDAD
COMUNIDAD
COMUNIDAD
COMUNIDAD
COMUNIDAD
COMUNIDAD
COMUNIDAD
COMUNIDAD
COMUNIDAD
COMUNIDAD
COMUNIDAD
COMUNIDAD
COMUNIDAD
COMUNIDAD
COMUNIDAD
COMUNIDAD
COMUNIDAD
COMUNIDAD
COMUNIDAD
COMUNIDAD
COMUNIDAD
COMUNIDAD
COMUNIDAD
COMUNIDAD
COMUNIDAD
COMUNIDAD
COMUNIDAD
COMUNIDAD
COMUNIDAD
COMUNIDAD
COMUNIDAD
COMUNIDAD
COMUNIDAD
COMUNIDAD
COMUNIDAD
COMUNIDAD
COMUNIDAD
COMUNIDAD
COMUNIDAD
COMUNIDAD
COMUNIDAD
COMUNIDAD
COMUNIDAD
COMUNIDAD
COMUNIDAD
COMUNIDAD
COMUNIDAD
COMUNIDAD
COMUNIDAD
COMUNIDAD
COMUNIDAD
COMUNIDAD
COMUNIDAD
COMUNIDAD
COMUNIDAD
COMUNIDAD
COMUNIDAD
COMUNIDAD
COMUNIDAD
COMUNIDAD
COMUNIDAD
COMUNIDAD
COMUNIDAD
COMUNIDAD
COMUNIDAD
COMUNIDAD
COMUNIDAD
COMUNIDAD
COMUNIDAD
COMUNIDAD
COMUNIDAD
COMUNIDAD
COMUNIDAD
COMUNIDAD
COMUNIDAD
COMUNIDAD
COMUNIDAD
COMUNIDAD
COMUNIDAD
COMUNIDAD
COMUNIDAD
COMUNIDAD
COMUNIDAD
COMUNIDAD
COMUNIDAD
COMUNIDAD
COMUNIDAD
COMUNIDAD
COMUNIDAD
COMUNIDAD
COMUNIDAD
COMUNIDAD
COMUNIDAD
COMUNIDAD
COMUNIDAD
COMUNIDAD
COMUNIDAD
COMUNIDAD
COMUNIDAD
COMUNIDAD
COMUNIDAD
COMUNIDAD
COMUNIDAD
COMUNIDAD
COMUNIDAD
COMUNIDAD
COMUNIDAD
COMUNIDAD
COMUNIDAD
COMUNIDAD
COMUNIDAD
COMUNIDAD
COMUNIDAD
COMUNIDAD
COMUNIDAD
COMUNIDAD
COMUNIDAD
COMUNIDAD
COMUNIDAD
COMUNIDAD
COMUNIDAD
COMUNIDAD
COMUNIDAD
COMUNIDAD
COMUNIDAD
COMUNIDAD
COMUNIDAD
COMUNIDAD
COMUNIDAD
COMUNIDAD
COMUNIDAD
COMUNIDAD
COMUNIDAD
COMUNIDAD
COMUNIDAD
COMUNIDAD
COMUNIDAD
COMUNIDAD
COMUNIDAD
COMUNIDAD
COMUNIDAD
COMUNIDAD
COMUNIDAD
COMUNIDAD
COMUNIDAD
COMUNIDAD
COMUNIDAD
COMUNIDAD
COMUNIDAD
COMUNIDAD
COMUNIDAD
COMUNIDAD
COMUNIDAD
COMUNIDAD
COMUNIDAD
COMUNIDAD
COMUNIDAD
COMUNIDAD
COMUNIDAD
COMUNIDAD
COMUNIDAD
COMUNIDAD
COMUNIDAD
COMUNIDAD
COMUNIDAD
COMUNIDAD
COMUNIDAD
COMUNIDAD
COMUNIDAD
COMUNIDAD
COMUNIDAD
COMUNIDAD
COMUNIDAD
COMUNIDAD
COMUNIDAD
COMUNIDAD
COMUNIDAD
COMUNIDAD
COMUNIDAD
COMUNIDAD
COMUNIDAD
COMUNIDAD
COMUNIDAD
COMUNIDAD
COMUNIDAD
COMUNIDAD
COMUNIDAD
COMUNIDAD
COMUNIDAD
COMUNIDAD
COMUNIDAD
COMUNIDAD
COMUNIDAD
COMUNIDAD
COMUNIDAD
COMUNIDAD
COMUNIDAD
COMUNIDAD
COMUNIDAD
COMUNIDAD
COMUNIDAD
COMUNIDAD
COMUNIDAD
COMUNIDAD
COMUNIDAD
COMUNIDAD
COMUNIDAD
COMUNIDAD
COMUNIDAD
COMUNIDAD
COMUNIDAD
COMUNIDAD
COMUNIDAD
COMUNIDAD
COMUNIDAD
COMUNIDAD
COMUNIDAD
COMUNIDAD
COMUNIDAD
COMUNIDAD
COMUNIDAD
COMUNIDAD
COMUNIDAD
COMUNIDAD
COMUNIDAD
COMUNIDAD
COMUNIDAD
COMUNIDAD
COMUNIDAD
COMUNIDAD
COMUNIDAD
COMUNIDAD
COMUNIDAD
COMUNIDAD
COMUNIDAD
COMUNIDAD
COMUNIDAD
COMUNIDAD
COMUNIDAD
COMUNIDAD
COMUNIDAD
COMUNIDAD
COMUNIDAD
COMUNIDAD
COMUNIDAD
COMUNIDAD
COMUNIDAD
COMUNIDAD
COMUNIDAD
COMUNIDAD
COMUNIDAD
COMUNIDAD
COMUNIDAD
COMUNIDAD
COMUNIDAD
COMUNIDAD
COMUNIDAD
COMUNIDAD
COMUNIDAD
COMUNIDAD
COMUNIDAD
COMUNIDAD
COMUNIDAD
COMUNIDAD
COMUNIDAD
COMUNIDAD
COMUNIDAD
COMUNIDAD
COMUNIDAD
COMUNIDAD
COMUNIDAD
COMUNIDAD
COMUNIDAD
COMUNIDAD
COMUNIDAD
COMUNIDAD
COMUNIDAD
COMUNIDAD
COMUNIDAD
COMUNIDAD
COMUNIDAD
COMUNIDAD
COMUNIDAD
COMUNIDAD
COMUNIDAD
COMUNIDAD
COMUNIDAD
COMUNIDAD
COMUNIDAD
COMUNIDAD
COMUNIDAD
COMUNIDAD
COMUNIDAD
COMUNIDAD
COMUNIDAD
COMUNIDAD
COMUNIDAD
COMUNIDAD
COMUNIDAD
COMUNIDAD
COMUNIDAD
COMUNIDAD
COMUNIDAD
COMUNIDAD
COMUNIDAD
COMUNIDAD
COMUNIDAD
COMUNIDAD
COMUNIDAD
COMUNIDAD
COMUNIDAD
COMUNIDAD
COMUNIDAD
COMUNIDAD
COMUNIDAD
COMUNIDAD
COMUNIDAD
COMUNIDAD
COMUNIDAD
COMUNIDAD
COMUNIDAD
COMUNIDAD
COMUNIDAD
COMUNIDAD
COMUNIDAD
COMUNIDAD
COMUNIDAD
COMUNIDAD
COMUNIDAD
COMUNIDAD
COMUNIDAD
COMUNIDAD
COMUNIDAD
COMUNIDAD
COMUNIDAD
COMUNIDAD
COMUNIDAD
COMUNIDAD
COMUNIDAD
COMUNIDAD
COMUNIDAD
COMUNIDAD
COMUNIDAD
COMUNIDAD
COMUNIDAD
COMUNIDAD
COMUNIDAD
COMUNIDAD
COMUNIDAD
COMUNIDAD
COMUNIDAD
COMUNIDAD
COMUNIDAD
COMUNIDAD
COMUNIDAD
COMUNIDAD
COMUNIDAD
COMUNIDAD
COMUNIDAD
COMUNIDAD
COMUNIDAD
COMUNIDAD
COMUNIDAD
COMUNIDAD
COMUNIDAD
COMUNIDAD
COMUNIDAD
COMUNIDAD
COMUNIDAD
COMUNIDAD
COMUNIDAD
COMUNIDAD
COMUNIDAD
COMUNIDAD
COMUNIDAD
COMUNIDAD
COMUNIDAD
COMUNIDAD
COMUNIDAD
COMUNIDAD
COMUNIDAD
COMUNIDAD
COMUNIDAD
COMUNIDAD
COMUNIDAD
COMUNIDAD
COMUNIDAD
COMUNIDAD
COMUNIDAD
COMUNIDAD
COMUNIDAD
COMUNIDAD
COMUNIDAD
COMUNIDAD
COMUNIDAD
COMUNIDAD
COMUNIDAD
COMUNIDAD
COMUNIDAD
COMUNIDAD
COMUNIDAD
COMUNIDAD
COMUNIDAD
COMUNIDAD
COMUNIDAD
COMUNIDAD
COMUNIDAD
COMUNIDAD
COMUNIDAD
COMUNIDAD
COMUNIDAD
COMUNIDAD
COMUNIDAD
COMUNIDAD
COMUNIDAD
COMUNIDAD
COMUNIDAD
COMUNIDAD
COMUNIDAD
COMUNIDAD
COMUNIDAD
COMUNIDAD
COMUNIDAD
COMUNIDAD
COMUNIDAD
COMUNIDAD
COMUNIDAD
COMUNIDAD
COMUNIDAD
COMUNIDAD
COMUNIDAD
COMUNIDAD
COMUNIDAD
COMUNIDAD
COMUNIDAD
COMUNIDAD
COMUNIDAD
COMUNIDAD
COMUNIDAD
COMUNIDAD
COMUNIDAD
COMUNIDAD
COMUNIDAD
COMUNIDAD
COMUNIDAD
COMUNIDAD
COMUNIDAD
COMUNIDAD
COMUNIDAD
COMUNIDAD
COMUNIDAD
COMUNIDAD
COMUNIDAD
COMUNIDAD
COMUNIDAD
COMUNIDAD
COMUNIDAD
COMUNIDAD
COMUNIDAD
COMUNIDAD
COMUNIDAD
COMUNIDAD
COMUNIDAD
COMUNIDAD
COMUNIDAD
COMUNIDAD
COMUNIDAD
COMUNIDAD
COMUNIDAD
COMUNIDAD
COMUNIDAD
COMUNIDAD
COMUNIDAD
COMUNIDAD
COMUNIDAD
COMUNIDAD
COMUNIDAD
COMUNIDAD
COMUNIDAD
COMUNIDAD
COMUNIDAD
COMUNIDAD
COMUNIDAD
COMUNIDAD
COMUNIDAD
COMUNIDAD
COMUNIDAD
COMUNIDAD
COMUNIDAD
COMUNIDAD
COMUNIDAD
COMUNIDAD
COMUNIDAD
COMUNIDAD
COMUNIDAD
COMUNIDAD
COMUNIDAD
COMUNIDAD
COMUNIDAD
COMUNIDAD
COMUNIDAD
COMUNIDAD
COMUNIDAD
COMUNIDAD
COMUNIDAD
COMUNIDAD
COMUNIDAD
COMUNIDAD
COMUNIDAD
COMUNIDAD
COMUNIDAD
COMUNIDAD
COMUNIDAD
COMUNIDAD
COMUNIDAD
COMUNIDAD
COMUNIDAD
COMUNIDAD
COMUNIDAD
COMUNIDAD
COMUNIDAD
COMUNIDAD
COMUNIDAD
COMUNIDAD
COMUNIDAD
COMUNIDAD
COMUNIDAD
COMUNIDAD
COMUNIDAD
COMUNIDAD
COMUNIDAD
COMUNIDAD
COMUNIDAD
COMUNIDAD
COMUNIDAD
COMUNIDAD
COMUNIDAD
COMUNIDAD
COMUNIDAD
COMUNIDAD
COMUNIDAD
COMUNIDAD
COMUNIDAD
COMUNIDAD
COMUNIDAD
COMUNIDAD
COMUNIDAD
COMUNIDAD
COMUNIDAD
COMUNIDAD
COMUNIDAD
COMUNIDAD
COMUNIDAD
COMUNIDAD
COMUNIDAD
COMUNIDAD
COMUNIDAD
COMUNIDAD
COMUNIDAD
COMUNIDAD
COMUNIDAD
COMUNIDAD
COMUNIDAD
COMUNIDAD
COMUNIDAD
COMUNIDAD
COMUNIDAD
COMUNIDAD
COMUNIDAD
COMUNIDAD
COMUNIDAD
COMUNIDAD
COMUNIDAD
COMUNIDAD
COMUNIDAD
COMUNIDAD
COMUNIDAD
COMUNIDAD
COMUNIDAD
COMUNIDAD
COMUNIDAD
COMUNIDAD
COMUNIDAD
COMUNIDAD
COMUNIDAD
COMUNIDAD
COMUNIDAD
COMUNIDAD
COMUNIDAD
COMUNIDAD
COMUNIDAD
COMUNIDAD
COMUNIDAD
COMUNIDAD
COMUNIDAD
COMUNIDAD
COMUNIDAD
COMUNIDAD
COMUNIDAD
COMUNIDAD
COMUNIDAD
COMUNIDAD
COMUNIDAD
COMUNIDAD
COMUNIDAD
COMUNIDAD
COMUNIDAD
COMUNIDAD
COMUNIDAD
COMUNIDAD
COMUNIDAD
COMUNIDAD
COMUNIDAD
COMUNIDAD
COMUNIDAD
COMUNIDAD
COMUNIDAD
COMUNIDAD
COMUNIDAD
COMUNIDAD
COMUNIDAD
COMUNIDAD
COMUNIDAD
COMUNIDAD
COMUNIDAD
COMUNIDAD
COMUNIDAD
COMUNIDAD
COMUNIDAD
COMUNIDAD
COMUNIDAD
COMUNIDAD
COMUNIDAD
COMUNIDAD
COMUNIDAD
COMUNIDAD
COMUNIDAD
COMUNIDAD
COMUNIDAD
COMUNIDAD
COMUNIDAD
COMUNIDAD
COMUNIDAD
COMUNIDAD
COMUNIDAD
COMUNIDAD
COMUNIDAD
COMUNIDAD
COMUNIDAD
COMUNIDAD
COMUNIDAD
COMUNIDAD
COMUNIDAD
COMUNIDAD
COMUNIDAD
COMUNIDAD
COMUNIDAD
COMUNIDAD
COMUNIDAD
COMUNIDAD
COMUNIDAD
COMUNIDAD
COMUNIDAD
COMUNIDAD
COMUNIDAD
COMUNIDAD
COMUNIDAD
COMUNIDAD
COMUNIDAD
COMUNIDAD
COMUNIDAD
COMUNIDAD
COMUNIDAD
COMUNIDAD
COMUNIDAD
COMUNIDAD
COMUNIDAD
COMUNIDAD
COMUNIDAD
COMUNIDAD
COMUNIDAD
COMUNIDAD
COMUNIDAD
COMUNIDAD
COMUNIDAD
COMUNIDAD
COMUNIDAD
COMUNIDAD
COMUNIDAD
COMUNIDAD
COMUNIDAD
COMUNIDAD
COMUNIDAD
COMUNIDAD
COMUNIDAD
COMUNIDAD
COMUNIDAD
COMUNIDAD
COMUNIDAD
COMUNIDAD
COMUNIDAD
COMUNIDAD
COMUNIDAD
COMUNIDAD
COMUNIDAD
COMUNIDAD
COMUNIDAD
COMUNIDAD
COMUNIDAD
COMUNIDAD
COMUNIDAD
COMUNIDAD
COMUNIDAD
COMUNIDAD
COMUNIDAD
COMUNIDAD
COMUNIDAD
COMUNIDAD
COMUNIDAD
COMUNIDAD
COMUNIDAD
COMUNIDAD
COMUNIDAD
COMUNIDAD
COMUNIDAD
COMUNIDAD
COMUNIDAD
COMUNIDAD
COMUNIDAD
COMUNIDAD
COMUNIDAD
COMUNIDAD
COMUNIDAD
COMUNIDAD
COMUNIDAD
COMUNIDAD
COMUNIDAD
COMUNIDAD
COMUNIDAD
COMUNIDAD
COMUNIDAD
COMUNIDAD
COMUNIDAD
COMUNIDAD
COMUNIDAD
COMUNIDAD
COMUNIDAD
COMUNIDAD
COMUNIDAD
COMUNIDAD
COMUNIDAD
COMUNIDAD
COMUNIDAD
COMUNIDAD
COMUNIDAD
COMUNIDAD
COMUNIDAD
COMUNIDAD
COMUNIDAD
COMUNIDAD
COMUNIDAD
COMUNIDAD
COMUNIDAD
COMUNIDAD
COMUNIDAD
COMUNIDAD
COMUNIDAD
COMUNIDAD
COMUNIDAD
COMUNIDAD
COMUNIDAD
COMUNIDAD
COMUNIDAD
COMUNIDAD
COMUNIDAD
COMUNIDAD
COMUNIDAD
COMUNIDAD
COMUNIDAD
COMUNIDAD
COMUNIDAD
COMUNIDAD
COMUNIDAD
COMUNIDAD
COMUNIDAD
COMUNIDAD
COMUNIDAD
COMUNIDAD
COMUNIDAD
COMUNIDAD
COMUNIDAD
COMUNIDAD
COMUNIDAD
COMUNIDAD
COMUNIDAD
COMUNIDAD
COMUNIDAD
COMUNIDAD
COMUNIDAD
COMUNIDAD
COMUNIDAD
COMUNIDAD
COMUNIDAD
COMUNIDAD
COMUNIDAD
COMUNIDAD
COMUNIDAD
COMUNIDAD
COMUNIDAD
COMUNIDAD
COMUNIDAD
COMUNIDAD
COMUNIDAD
COMUNIDAD
COMUNIDAD
COMUNIDAD
COMUNIDAD
COMUNIDAD
COMUNIDAD
COMUNIDAD
COMUNIDAD
COMUNIDAD
COMUNIDAD
COMUNIDAD
COMUNIDAD
COMUNIDAD
COMUNIDAD
COMUNIDAD
COMUNIDAD
COMUNIDAD
COMUNIDAD
COMUNIDAD
COMUNIDAD
COMUNIDAD
COMUNIDAD
COMUNIDAD
COMUNIDAD
COMUNIDAD
COMUNIDAD
COMUNIDAD
COMUNIDAD
COMUNIDAD
COMUNIDAD
COMUNIDAD
COMUNIDAD
COMUNIDAD
COMUNIDAD
COMUNIDAD
COMUNIDAD
COMUNIDAD
COMUNIDAD
COMUNIDAD
COMUNIDAD
COMUNIDAD
COMUNIDAD
COMUNIDAD
COMUNIDAD
COMUNIDAD
COMUNIDAD
COMUNIDAD
COMUNIDAD
COMUNIDAD
COMUNIDAD
COMUNIDAD
COMUNIDAD
COMUNIDAD
COMUNIDAD
COMUNIDAD
COMUNIDAD
COMUNIDAD
COMUNIDAD
COMUNIDAD
COMUNIDAD
COMUNIDAD
COMUNIDAD
COMUNIDAD
COMUNIDAD
COMUNIDAD
COMUNIDAD
COMUNIDAD
COMUNIDAD
COMUNIDAD
COMUNIDAD
COMUNIDAD
COMUNIDAD
COMUNIDAD
COMUNIDAD
COMUNIDAD
COMUNIDAD
COMUNIDAD
COMUNIDAD
COMUNIDAD
COMUNIDAD
COMUNIDAD
COMUNIDAD
COMUNIDAD
COMUNIDAD
COMUNIDAD
COMUNIDAD
COMUNIDAD
COMUNIDAD
COMUNIDAD
COMUNIDAD
COMUNIDAD
COMUNIDAD
COMUNIDAD
COMUNIDAD
COMUNIDAD
COMUNIDAD
COMUNIDAD
COMUNIDAD
COMUNIDAD
COMUNIDAD
COMUNIDAD
COMUNIDAD
COMUNIDAD
COMUNIDAD
COMUNIDAD
COMUNIDAD
COMUNIDAD
COMUNIDAD
COMUNIDAD
COMUNIDAD
COMUNIDAD
COMUNIDAD
COMUNIDAD
COMUNIDAD
COMUNIDAD
COMUNIDAD
COMUNIDAD
COMUNIDAD
COMUNIDAD
COMUNIDAD
COMUNIDAD
COMUNIDAD
COMUNIDAD
COMUNIDAD
COMUNIDAD
COMUNIDAD
COMUNIDAD
COMUNIDAD
COMUNIDAD
COMUNIDAD
COMUNIDAD
COMUNIDAD
COMUNIDAD
COMUNIDAD
COMUNIDAD
COMUNIDAD
COMUNIDAD
COMUNIDAD
COMUNIDAD
COMUNIDAD
COMUNIDAD
COMUNIDAD
COMUNIDAD
COMUNIDAD
COMUNIDAD
COMUNIDAD
COMUNIDAD
COMUNIDAD
COMUNIDAD
COMUNIDAD
COMUNIDAD
COMUNIDAD
COMUNIDAD
COMUNIDAD
COMUNIDAD
COMUNIDAD
COMUNIDAD
COMUNIDAD
COMUNIDAD
COMUNIDAD
COMUNIDAD
COMUNIDAD
COMUNIDAD
COMUNIDAD
COMUNIDAD
COMUNIDAD
COMUNIDAD
COMUNIDAD
COMUNIDAD
COMUNIDAD
COMUNIDAD
COMUNIDAD
COMUNIDAD
COMUNIDAD
COMUNIDAD
COMUNIDAD
COMUNIDAD
COMUNIDAD
COMUNIDAD
COMUNIDAD
COMUNIDAD
COMUNIDAD
COMUNIDAD
COMUNIDAD
COMUNIDAD
COMUNIDAD
COMUNIDAD
COMUNIDAD
COMUNIDAD
COMUNIDAD
COMUNIDAD
COMUNIDAD
COMUNIDAD
COMUNIDAD
COMUNIDAD
COMUNIDAD
COMUNIDAD
COMUNIDAD
COMUNIDAD
COMUNIDAD
COMUNIDAD
COMUNIDAD
COMUNIDAD
COMUNIDAD
COMUNIDAD
COMUNIDAD
COMUNIDAD
COMUNIDAD
COMUNIDAD
COMUNIDAD
COMUNIDAD
COMUNIDAD
COMUNIDAD
COMUNIDAD
COMUNIDAD
COMUNIDAD
COMUNIDAD
COMUNIDAD
COMUNIDAD
COMUNIDAD
COMUNIDAD
COMUNIDAD
COMUNIDAD
COMUNIDAD
COMUNIDAD
COMUNIDAD
COMUNIDAD
COMUNIDAD
COMUNIDAD
COMUNIDAD
COMUNIDAD
COMUNIDAD
COMUNIDAD
COMUNIDAD
COMUNIDAD
COMUNIDAD
COMUNIDAD
COMUNIDAD
COMUNIDAD
COMUNIDAD
COMUNIDAD
COMUNIDAD
COMUNIDAD
COMUNIDAD
COMUNIDAD
COMUNIDAD
COMUNIDAD
COMUNIDAD
COMUNIDAD
COMUNIDAD
COMUNIDAD
COMUNIDAD
COMUNIDAD
COMUNIDAD
COMUNIDAD
COMUNIDAD
COMUNIDAD
COMUNIDAD
COMUNIDAD
COMUNIDAD
COMUNIDAD
COMUNIDAD
COMUNIDAD
COMUNIDAD
COMUNIDAD
COMUNIDAD
COMUNIDAD
COMUNIDAD
COMUNIDAD
COMUNIDAD
COMUNIDAD
COMUNIDAD
COMUNIDAD
COMUNIDAD
COMUNIDAD
COMUNIDAD
COMUNIDAD
COMUNIDAD
COMUNIDAD
COMUNIDAD
COMUNIDAD
COMUNIDAD
COMUNIDAD
COMUNIDAD
COMUNIDAD
COMUNIDAD
COMUNIDAD
COMUNIDAD
COMUNIDAD
COMUNIDAD
COMUNIDAD
COMUNIDAD
COMUNIDAD
COMUNIDAD
COMUNIDAD
COMUNIDAD
COMUNIDAD
COMUNIDAD
COMUNIDAD
COMUNIDAD
COMUNIDAD
COMUNIDAD
COMUNIDAD
COMUNIDAD
COMUNIDAD
COMUNIDAD
COMUNIDAD
COMUNIDAD
COMUNIDAD
COMUNIDAD
COMUNIDAD
COMUNIDAD
COMUNIDAD
COMUNIDAD
COMUNIDAD
COMUNIDAD
COMUNIDAD
COMUNIDAD
COMUNIDAD
COMUNIDAD
COMUNIDAD
COMUNIDAD
COMUNIDAD
COMUNIDAD
COMUNIDAD
COMUNIDAD
COMUNIDAD
COMUNIDAD
COMUNIDAD
COMUNIDAD
COMUNIDAD
COMUNIDAD
COMUNIDAD
COMUNIDAD
COMUNIDAD
COMUNIDAD
COMUNIDAD
COMUNIDAD
COMUNIDAD
COMUNIDAD
COMUNIDAD
COMUNIDAD
COMUNIDAD
COMUNIDAD
COMUNIDAD
COMUNIDAD
COMUNIDAD
COMUNIDAD
COMUNIDAD
COMUNIDAD
COMUNIDAD
COMUNIDAD
COMUNIDAD
COMUNIDAD
COMUNIDAD
COMUNIDAD
COMUNIDAD
COMUNIDAD
COMUNIDAD
COMUNIDAD
COMUNIDAD
COMUNIDAD
COMUNIDAD
COMUNIDAD
COMUNIDAD
COMUNIDAD
COMUNIDAD
COMUNIDAD
COMUNIDAD
COMUNIDAD
COMUNIDAD
COMUNIDAD
COMUNIDAD
COMUNIDAD
COMUNIDAD
COMUNIDAD
COMUNIDAD
COMUNIDAD
COMUNIDAD
COMUNIDAD
COMUNIDAD
COMUNIDAD
COMUNIDAD
COMUNIDAD
COMUNIDAD
COMUNIDAD
COMUNIDAD
COMUNIDAD
COMUNIDAD
COMUNIDAD
COMUNIDAD
COMUNIDAD
COMUNIDAD
COMUNIDAD
COMUNIDAD
COMUNIDAD
COMUNIDAD
COMUNIDAD
COMUNIDAD
COMUNIDAD
COMUNIDAD
COMUNIDAD
COMUNIDAD
COMUNIDAD
COMUNIDAD
COMUNIDAD
COMUNIDAD
COMUNIDAD
COMUNIDAD
COMUNIDAD
COMUNIDAD
COMUNIDAD
COMUNIDAD
COMUNIDAD
COMUNIDAD
COMUNIDAD
COMUNIDAD
COMUNIDAD
COMUNIDAD
COMUNIDAD
COMUNIDAD
COMUNIDAD
COMUNIDAD
COMUNIDAD
COMUNIDAD
COMUNIDAD
COMUNIDAD
COMUNIDAD
COMUNIDAD
COMUNIDAD
COMUNIDAD
COMUNIDAD
COMUNIDAD
COMUNIDAD
COMUNIDAD
COMUNIDAD
COMUNIDAD
COMUNIDAD
COMUNIDAD
COMUNIDAD
COMUNIDAD
COMUNIDAD
COMUNIDAD
COMUNIDAD
COMUNIDAD
COMUNIDAD
COMUNIDAD
COMUNIDAD
COMUNIDAD
COMUNIDAD
COMUNIDAD
COMUNIDAD
COMUNIDAD
COMUNIDAD
COMUNIDAD
COMUNIDAD
COMUNIDAD
COMUNIDAD
COMUNIDAD
COMUNIDAD
COMUNIDAD
COMUNIDAD
COMUNIDAD
COMUNIDAD
COMUNIDAD
COMUNIDAD
COMUNIDAD
COMUNIDAD
COMUNIDAD
COMUNIDAD
COMUNIDAD
COMUNIDAD
COMUNIDAD
COMUNIDAD
COMUNIDAD
COMUNIDAD
COMUNIDAD
COMUNIDAD
COMUNIDAD
COMUNIDAD
COMUNIDAD
COMUNIDAD
COMUNIDAD
COMUNIDAD
COMUNIDAD
COMUNIDAD
COMUNIDAD
COMUNIDAD
COMUNIDAD
COMUNIDAD
COMUNIDAD
COMUNIDAD
COMUNIDAD
COMUNIDAD
COMUNIDAD
COMUNIDAD
COMUNIDAD
COMUNIDAD
COMUNIDAD
COMUNIDAD
COMUNIDAD
COMUNIDAD
COMUNIDAD
COMUNIDAD
COMUNIDAD
COMUNIDAD
COMUNIDAD
COMUNIDAD
COMUNIDAD
COMUNIDAD
COMUNIDAD
COMUNIDAD
COMUNIDAD
COMUNIDAD
COMUNIDAD
COMUNIDAD
COMUNIDAD
COMUNIDAD
COMUNIDAD
COMUNIDAD
COMUNIDAD
COMUNIDAD
COMUNIDAD
COMUNIDAD
COMUNIDAD
COMUNIDAD
COMUNIDAD
COMUNIDAD
COMUNIDAD
COMUNIDAD
COMUNIDAD
COMUNIDAD
COMUNIDAD
COMUNIDAD
COMUNIDAD
COMUNIDAD
COMUNIDAD
COMUNIDAD
COMUNIDAD
COMUNIDAD
COMUNIDAD
COMUNIDAD
COMUNIDAD
COMUNIDAD
COMUNIDAD
COMUNIDAD
COMUNIDAD
COMUNIDAD
COMUNIDAD
COMUNIDAD
COMUNIDAD
COMUNIDAD
COMUNIDAD
COMUNIDAD
COMUNIDAD
COMUNIDAD
COMUNIDAD
COMUNIDAD
COMUNIDAD
COMUNIDAD
COMUNIDAD
COMUNIDAD
COMUNIDAD
COMUNIDAD
COMUNIDAD
COMUNIDAD
COMUNIDAD
COMUNIDAD
COMUNIDAD
COMUNIDAD
COMUNIDAD
COMUNIDAD
COMUNIDAD
COMUNIDAD
COMUNIDAD
COMUNIDAD
COMUNIDAD
COMUNIDAD
COMUNIDAD
COMUNIDAD
COMUNIDAD
COMUNIDAD
COMUNIDAD
COMUNIDAD
COMUNIDAD
COMUNIDAD
COMUNIDAD
COMUNIDAD
COMUNIDAD
COMUNIDAD
COMUNIDAD
COMUNIDAD
COMUNIDAD
COMUNIDAD
COMUNIDAD
COMUNIDAD
COMUNIDAD
COMUNIDAD
COMUNIDAD
COMUNIDAD
COMUNIDAD
COMUNIDAD
COMUNIDAD
COMUNIDAD
COMUNIDAD
COMUNIDAD
COMUNIDAD
COMUNIDAD
COMUNIDAD
COMUNIDAD
COMUNIDAD
COMUNIDAD
COMUNIDAD
COMUNIDAD
COMUNIDAD
COMUNIDAD
COMUNIDAD
COMUNIDAD
COMUNIDAD
COMUNIDAD
COMUNIDAD
COMUNIDAD
COMUNIDAD
COMUNIDAD
COMUNIDAD
COMUNIDAD
COMUNIDAD
COMUNIDAD
COMUNIDAD
COMUNIDAD
COMUNIDAD
COMUNIDAD
COMUNIDAD
COMUNIDAD
COMUNIDAD
COMUNIDAD
COMUNIDAD
COMUNIDAD
COMUNIDAD
COMUNIDAD
COMUNIDAD
COMUNIDAD
COMUNIDAD
COMUNIDAD
COMUNIDAD
COMUNIDAD
COMUNIDAD
COMUNIDAD
COMUNIDAD
COMUNIDAD
COMUNIDAD
COMUNIDAD
COMUNIDAD
COMUNIDAD
COMUNIDAD
COMUNIDAD
COMUNIDAD
COMUNIDAD
COMUNIDAD
COMUNIDAD
COMUNIDAD
COMUNIDAD
COMUNIDAD
COMUNIDAD
COMUNIDAD
COMUNIDAD
COMUNIDAD
COMUNIDAD
COMUNIDAD
COMUNIDAD
COMUNIDAD
COMUNIDAD
COMUNIDAD
COMUNIDAD
COMUNIDAD
COMUNIDAD
COMUNIDAD
COMUNIDAD
COMUNIDAD
COMUNIDAD
COMUNIDAD
COMUNIDAD
COMUNIDAD
COMUNIDAD
COMUNIDAD
COMUNIDAD
COMUNIDAD
COMUNIDAD
COMUNIDAD
COMUNIDAD
COMUNIDAD
COMUNIDAD
COMUNIDAD
COMUNIDAD
COMUNIDAD
COMUNIDAD
COMUNIDAD
COMUNIDAD
COMUNIDAD
COMUNIDAD
COMUNIDAD
COMUNIDAD
COMUNIDAD
COMUNIDAD
COMUNIDAD
COMUNIDAD
COMUNIDAD
COMUNIDAD
COMUNIDAD
COMUNIDAD
COMUNIDAD
COMUNIDAD
COMUNIDAD
COMUNIDAD
COMUNIDAD
COMUNIDAD
COMUNIDAD
COMUNIDAD
COMUNIDAD
COMUNIDAD
COMUNIDAD
COMUNIDAD
COMUNIDAD
COMUNIDAD
COMUNIDAD
COMUNIDAD
COMUNIDAD
COMUNIDAD
COMUNIDAD
COMUNIDAD
COMUNIDAD
COMUNIDAD
COMUNIDAD
COMUNIDAD
COMUNIDAD
COMUNIDAD
COMUNIDAD
COMUNIDAD
COMUNIDAD
COMUNIDAD
COMUNIDAD
COMUNIDAD
COMUNIDAD
COMUNIDAD
COMUNIDAD
COMUNIDAD
COMUNIDAD
COMUNIDAD
COMUNIDAD
COMUNIDAD
COMUNIDAD
COMUNIDAD
COMUNIDAD
COMUNIDAD
COMUNIDAD
COMUNIDAD
COMUNIDAD
COMUNIDAD
COMUNIDAD
COMUNIDAD
COMUNIDAD
COMUNIDAD
COMUNIDAD
COMUNIDAD
COMUNIDAD
COMUNIDAD
COMUNIDAD
COMUNIDAD
COMUNIDAD
COMUNIDAD
COMUNIDAD
COMUNIDAD
COMUNIDAD
COMUNIDAD
COMUNIDAD
COMUNIDAD
COMUNIDAD
COMUNIDAD
COMUNIDAD
COMUNIDAD
COMUNIDAD
COMUNIDAD
COMUNIDAD
COMUNIDAD
COMUNIDAD
COMUNIDAD
COMUNIDAD
COMUNIDAD
COMUNIDAD
COMUNIDAD
COMUNIDAD
COMUNIDAD
COMUNIDAD
COMUNIDAD
COMUNIDAD
COMUNIDAD
COMUNIDAD
COMUNIDAD
COMUNIDAD
COMUNIDAD
COMUNIDAD
COMUNIDAD
COMUNIDAD
COMUNIDAD
COMUNIDAD
COMUNIDAD
COMUNIDAD
COMUNIDAD
COMUNIDAD
COMUNIDAD
COMUNIDAD
COMUNIDAD
COMUNIDAD
COMUNIDAD
COMUNIDAD
COMUNIDAD
COMUNIDAD
COMUNIDAD
COMUNIDAD
COMUNIDAD
COMUNIDAD
COMUNIDAD
COMUNIDAD
COMUNIDAD
COMUNIDAD
COMUNIDAD
COMUNIDAD
COMUNIDAD
COMUNIDAD
COMUNIDAD
COMUNIDAD
COMUNIDAD
COMUNIDAD
COMUNIDAD
COMUNIDAD
COMUNIDAD
COMUNIDAD
COMUNIDAD
COMUNIDAD
COMUNIDAD
COMUNIDAD
COMUNIDAD
COMUNIDAD
COMUNIDAD
COMUNIDAD
COMUNIDAD
COMUNIDAD
COMUNIDAD
COMUNIDAD
COMUNIDAD
COMUNIDAD
COMUNIDAD
COMUNIDAD
COMUNIDAD
COMUNIDAD
COMUNIDAD
COMUNIDAD
COMUNIDAD
COMUNIDAD
COMUNIDAD
COMUNIDAD
COMUNIDAD
COMUNIDAD
COMUNIDAD
COMUNIDAD
COMUNIDAD
COMUNIDAD
COMUNIDAD
COMUNIDAD
COMUNIDAD
COMUNIDAD
COMUNIDAD
COMUNIDAD
COMUNIDAD
COMUNIDAD
COMUNIDAD
COMUNIDAD
COMUNIDAD
COMUNIDAD
COMUNIDAD
COMUNIDAD
COMUNIDAD
COMUNIDAD
COMUNIDAD
COMUNIDAD
COMUNIDAD
COMUNIDAD
COMUNIDAD
COMUNIDAD
COMUNIDAD
COMUNIDAD
COMUNIDAD
COMUNIDAD
COMUNIDAD
COMUNIDAD
COMUNIDAD
COMUNIDAD
COMUNIDAD
COMUNIDAD
COMUNIDAD
COMUNIDAD
COMUNIDAD
COMUNIDAD
COMUNIDAD
COMUNIDAD
COMUNIDAD
COMUNIDAD
COMUNIDAD
COMUNIDAD
COMUNIDAD
COMUNIDAD
COMUNIDAD
COMUNIDAD
COMUNIDAD
COMUNIDAD
COMUNIDAD
COMUNIDAD
COMUNIDAD
COMUNIDAD
COMUNIDAD
COMUNIDAD
COMUNIDAD
COMUNIDAD
COMUNIDAD
COMUNIDAD
COMUNIDAD
COMUNIDAD
COMUNIDAD
COMUNIDAD
COMUNIDAD
COMUNIDAD
COMUNIDAD
COMUNIDAD
COMUNIDAD
COMUNIDAD
COMUNIDAD
COMUNIDAD
COMUNIDAD
COMUNIDAD
COMUNIDAD
COMUNIDAD
COMUNIDAD
COMUNIDAD
COMUNIDAD
COMUNIDAD
COMUNIDAD
COMUNIDAD
COMUNIDAD
COMUNIDAD
COMUNIDAD
COMUNIDAD
COMUNIDAD
COMUNIDAD
COMUNIDAD
COMUNIDAD
COMUNIDAD
COMUNIDAD
COMUNIDAD
COMUNIDAD
COMUNIDAD
COMUNIDAD
COMUNIDAD
COMUNIDAD
COMUNIDAD
COMUNIDAD
COMUNIDAD
COMUNIDAD
COMUNIDAD
COMUNIDAD
COMUNIDAD
COMUNIDAD
COMUNIDAD
COMUNIDAD
COMUNIDAD
COMUNIDAD
COMUNIDAD
COMUNIDAD
COMUNIDAD
COMUNIDAD
COMUNIDAD
COMUNIDAD
COMUNIDAD
COMUNIDAD
COMUNIDAD
COMUNIDAD
COMUNIDAD
COMUNIDAD
COMUNIDAD
COMUNIDAD
COMUNIDAD
COMUNIDAD
COMUNIDAD
COMUNIDAD
COMUNIDAD
COMUNIDAD
COMUNIDAD
COMUNIDAD
COMUNIDAD
COMUNIDAD
COMUNIDAD
COMUNIDAD
COMUNIDAD
COMUNIDAD
COMUNIDAD
COMUNIDAD
COMUNIDAD
COMUNIDAD
COMUNIDAD
COMUNIDAD
COMUNIDAD
COMUNIDAD
COMUNIDAD
COMUNIDAD
COMUNIDAD
COMUNIDAD
COMUNIDAD
COMUNIDAD
COMUNIDAD
COMUNIDAD
COMUNIDAD
COMUNIDAD
COMUNIDAD
COMUNIDAD
COMUNIDAD
COMUNIDAD
COMUNIDAD
COMUNIDAD
COMUNIDAD
COMUNIDAD
COMUNIDAD
COMUNIDAD
COMUNIDAD
COMUNIDAD
COMUNIDAD
COMUNIDAD
COMUNIDAD
COMUNIDAD
COMUNIDAD
COMUNIDAD
COMUNIDAD
COMUNIDAD
COMUNIDAD
COMUNIDAD
COMUNIDAD
COMUNIDAD
COMUNIDAD
COMUNIDAD
COMUNIDAD
COMUNIDAD
COMUNIDAD
COMUNIDAD
COMUNIDAD
COMUNIDAD
COMUNIDAD
COMUNIDAD
COMUNIDAD
COMUNIDAD
COMUNIDAD
COMUNIDAD
COMUNIDAD
COMUNIDAD
COMUNIDAD
COMUNIDAD
COMUNIDAD
COMUNIDAD
COMUNIDAD
COMUNIDAD
COMUNIDAD
COMUNIDAD
COMUNIDAD
COMUNIDAD
COMUNIDAD
COMUNIDAD
COMUNIDAD
COMUNIDAD
COMUNIDAD
COMUNIDAD
COMUNIDAD
COMUNIDAD
COMUNIDAD
COMUNIDAD
COMUNIDAD
COMUNIDAD
COMUNIDAD
COMUNIDAD
COMUNIDAD
COMUNIDAD
COMUNIDAD
COMUNIDAD
COMUNIDAD
COMUNIDAD
COMUNIDAD
COMUNIDAD
COMUNIDAD
COMUNIDAD
COMUNIDAD
COMUNIDAD
COMUNIDAD
COMUNIDAD
COMUNIDAD
COMUNIDAD
COMUNIDAD
COMUNIDAD
COMUNIDAD
COMUNIDAD
COMUNIDAD
COMUNIDAD
COMUNIDAD
COMUNIDAD
COMUNIDAD
COMUNIDAD
COMUNIDAD
COMUNIDAD
COMUNIDAD
COMUNIDAD
COMUNIDAD
COMUNIDAD
COMUNIDAD
COMUNIDAD
COMUNIDAD
COMUNIDAD
COMUNIDAD
COMUNIDAD
COMUNIDAD
COMUNIDAD
COMUNIDAD
COMUNIDAD
COMUNIDAD
COMUNIDAD
COMUNIDAD
COMUNIDAD
COMUNIDAD
COMUNIDAD
COMUNIDAD
COMUNIDAD
COMUNIDAD
COMUNIDAD
COMUNIDAD
COMUNIDAD
COMUNIDAD
COMUNIDAD
COMUNIDAD
COMUNIDAD
COMUNIDAD
COMUNIDAD
COMUNIDAD
COMUNIDAD
COMUNIDAD
COMUNIDAD
COMUNIDAD
COMUNIDAD
COMUNIDAD
COMUNIDAD
COMUNIDAD
COMUNIDAD
COMUNIDAD
COMUNIDAD
COMUNIDAD
COMUNIDAD
COMUNIDAD
COMUNIDAD
COMUNIDAD
COMUNIDAD
COMUNIDAD
COMUNIDAD
COMUNIDAD
COMUNIDAD
COMUNIDAD
COMUNIDAD
COMUNIDAD
COMUNIDAD
COMUNIDAD
COMUNIDAD
COMUNIDAD
COMUNIDAD
COMUNIDAD
COMUNIDAD
COMUNIDAD
COMUNIDAD
COMUNIDAD
COMUNIDAD
COMUNIDAD
COMUNIDAD
COMUNIDAD
COMUNIDAD
COMUNIDAD
COMUNIDAD
COMUNIDAD
COMUNIDAD
COMUNIDAD
COMUNIDAD
COMUNIDAD
COMUNIDAD
COMUNIDAD
COMUNIDAD
COMUNIDAD
COMUNIDAD
COMUNIDAD
COMUNIDAD
COMUNIDAD
COMUNIDAD
COMUNIDAD
COMUNIDAD
COMUNIDAD
COMUNIDAD
COMUNIDAD
COMUNIDAD
COMUNIDAD
COMUNIDAD
COMUNIDAD
COMUNIDAD
COMUNIDAD
COMUNIDAD
COMUNIDAD
COMUNIDAD
COMUNIDAD
COMUNIDAD
COMUNIDAD
COMUNIDAD
COMUNIDAD
COMUNIDAD
COMUNIDAD
COMUNIDAD
COMUNIDAD
COMUNIDAD
COMUNIDAD
COMUNIDAD
COMUNIDAD
COMUNIDAD
COMUNIDAD
COMUNIDAD
COMUNIDAD
COMUNIDAD
COMUNIDAD
COMUNIDAD
COMUNIDAD
COMUNIDAD
COMUNIDAD
COMUNIDAD
COMUNIDAD
COMUNIDAD
COMUNIDAD
COMUNIDAD
COMUNIDAD
COMUNIDAD
COMUNIDAD
COMUNIDAD
COMUNIDAD
COMUNIDAD
COMUNIDAD
COMUNIDAD
COMUNIDAD
COMUNIDAD
COMUNIDAD
COMUNIDAD
COMUNIDAD
COMUNIDAD
COMUNIDAD
COMUNIDAD
COMUNIDAD
COMUNIDAD
COMUNIDAD
COMUNIDAD
COMUNIDAD
COMUNIDAD
COMUNIDAD
COMUNIDAD
COMUNIDAD
COMUNIDAD
COMUNIDAD
COMUNIDAD
COMUNIDAD
COMUNIDAD
COMUNIDAD
COMUNIDAD
COMUNIDAD
COMUNIDAD
COMUNIDAD
COMUNIDAD
COMUNIDAD
COMUNIDAD
COMUNIDAD
COMUNIDAD
COMUNIDAD
COMUNIDAD
COMUNIDAD
COMUNIDAD
COMUNIDAD
COMUNIDAD
COMUNIDAD
COMUNIDAD
COMUNIDAD
COMUNIDAD
COMUNIDAD
COMUNIDAD
COMUNIDAD
COMUNIDAD
COMUNIDAD
COMUNIDAD
COMUNIDAD
COMUNIDAD
COMUNIDAD
COMUNIDAD
COMUNIDAD
COMUNIDAD
COMUNIDAD
COMUNIDAD
COMUNIDAD
COMUNIDAD
COMUNIDAD
COMUNIDAD
COMUNIDAD
COMUNIDAD
COMUNIDAD
COMUNIDAD
COMUNIDAD
COMUNIDAD
COMUNIDAD
COMUNIDAD
COMUNIDAD
COMUNIDAD
COMUNIDAD
COMUNIDAD
COMUNIDAD
COMUNIDAD
COMUNIDAD
COMUNIDAD
COMUNIDAD
COMUNIDAD
COMUNIDAD
COMUNIDAD
COMUNIDAD
COMUNIDAD
COMUNIDAD
COMUNIDAD
COMUNIDAD
COMUNIDAD
COMUNIDAD
COMUNIDAD
COMUNIDAD
COMUNIDAD
COMUNIDAD
COMUNIDAD
COMUNIDAD
COMUNIDAD
COMUNIDAD
COMUNIDAD
COMUNIDAD
COMUNIDAD
COMUNIDAD
COMUNIDAD
COMUNIDAD
COMUNIDAD
COMUNIDAD
COMUNIDAD
COMUNIDAD
COMUNIDAD
COMUNIDAD
COMUNIDAD
COMUNIDAD
COMUNIDAD
COMUNIDAD
COMUNIDAD
COMUNIDAD
COMUNIDAD
COMUNIDAD
COMUNIDAD
COMUNIDAD
COMUNIDAD
COMUNIDAD
COMUNIDAD
COMUNIDAD
COMUNIDAD
COMUNIDAD
COMUNIDAD
COMUNIDAD
COMUNIDAD
COMUNIDAD
COMUNIDAD
COMUNIDAD
COMUNIDAD
COMUNIDAD
COMUNIDAD
COMUNIDAD
COMUNIDAD
COMUNIDAD
COMUNIDAD
COMUNIDAD
COMUNIDAD
COMUNIDAD
COMUNIDAD
COMUNIDAD
COMUNIDAD
COMUNIDAD
COMUNIDAD
COMUNIDAD
COMUNIDAD
COMUNIDAD
COMUNIDAD
COMUNIDAD
COMUNIDAD
COMUNIDAD
COMUNIDAD
COMUNIDAD
COMUNIDAD
COMUNIDAD
COMUNIDAD
COMUNIDAD
COMUNIDAD
COMUNIDAD
COMUNIDAD
COMUNIDAD
COMUNIDAD
COMUNIDAD
COMUNIDAD
COMUNIDAD
COMUNIDAD
COMUNIDAD
COMUNIDAD
COMUNIDAD
COMUNIDAD
COMUNIDAD
COMUNIDAD
COMUNIDAD
COMUNIDAD
COMUNIDAD
COMUNIDAD
COMUNIDAD
COMUNIDAD
COMUNIDAD
COMUNIDAD
COMUNIDAD
COMUNIDAD
COMUNIDAD
COMUNIDAD
COMUNIDAD
COMUNIDAD
COMUNIDAD
COMUNIDAD
COMUNIDAD
COMUNIDAD
COMUNIDAD
COMUNIDAD
COMUNIDAD
COMUNIDAD
COMUNIDAD
COMUNIDAD
COMUNIDAD
COMUNIDAD
COMUNIDAD
COMUNIDAD
COMUNIDAD
COMUNIDAD
COMUNIDAD
COMUNIDAD
COMUNIDAD
COMUNIDAD
COMUNIDAD
COMUNIDAD
COMUNIDAD
COMUNIDAD
COMUNIDAD
COMUNIDAD
COMUNIDAD
COMUNIDAD
COMUNIDAD
COMUNIDAD
COMUNIDAD
COMUNIDAD
COMUNIDAD
COMUNIDAD
COMUNIDAD
COMUNIDAD
COMUNIDAD
COMUNIDAD
COMUNIDAD
COMUNIDAD
COMUNIDAD
COMUNIDAD
COMUNIDAD
COMUNIDAD
COMUNIDAD
COMUNIDAD
COMUNIDAD
COMUNIDAD
COMUNIDAD
COMUNIDAD
COMUNIDAD
COMUNIDAD
COMUNIDAD
COMUNIDAD
COMUNIDAD
COMUNIDAD
COMUNIDAD
COMUNIDAD
COMUNIDAD
COMUNIDAD
COMUNIDAD
COMUNIDAD
COMUNIDAD
COMUNIDAD
COMUNIDAD
COMUNIDAD
COMUNIDAD
COMUNIDAD
COMUNIDAD
COMUNIDAD
COMUNIDAD
COMUNIDAD
COMUNIDAD
COMUNIDAD
COMUNIDAD
COMUNIDAD
COMUNIDAD
COMUNIDAD
COMUNIDAD
COMUNIDAD
COMUNIDAD
COMUNIDAD
COMUNIDAD
COMUNIDAD
COMUNIDAD
COMUNIDAD
COMUNIDAD
COMUNIDAD
COMUNIDAD
COMUNIDAD
COMUNIDAD
COMUNIDAD
COMUNIDAD
COMUNIDAD
COMUNIDAD
COMUNIDAD
COMUNIDAD
COMUNIDAD
COMUNIDAD
COMUNIDAD
COMUNIDAD
COMUNIDAD
COMUNIDAD
COMUNIDAD
COMUNIDAD
COMUNIDAD
COMUNIDAD
COMUNIDAD
COMUNIDAD
COMUNIDAD
COMUNIDAD
COMUNIDAD
COMUNIDAD
COMUNIDAD
COMUNIDAD
COMUNIDAD
COMUNIDAD
COMUNIDAD
COMUNIDAD
COMUNIDAD
COMUNIDAD
COMUNIDAD
COMUNIDAD
COMUNIDAD
COMUNIDAD
COMUNIDAD
COMUNIDAD
COMUNIDAD
COMUNIDAD
COMUNIDAD
COMUNIDAD
COMUNIDAD
COMUNIDAD
COMUNIDAD
COMUNIDAD
COMUNIDAD
COMUNIDAD
COMUNIDAD
COMUNIDAD
COMUNIDAD
COMUNIDAD
COMUNIDAD
COMUNIDAD
COMUNIDAD
COMUNIDAD
COMUNIDAD
COMUNIDAD
COMUNIDAD
COMUNIDAD
COMUNIDAD
COMUNIDAD
COMUNIDAD
COMUNIDAD
COMUNIDAD
COMUNIDAD
COMUNIDAD
COMUNIDAD
COMUNIDAD
COMUNIDAD
COMUNIDAD
COMUNIDAD
COMUNIDAD
COMUNIDAD
COMUNIDAD
COMUNIDAD
COMUNIDAD
COMUNIDAD
COMUNIDAD
COMUNIDAD
COMUNIDAD
COMUNIDAD
COMUNIDAD
COMUNIDAD
COMUNIDAD
COMUNIDAD
COMUNIDAD
COMUNIDAD
COMUNIDAD
COMUNIDAD
COMUNIDAD
COMUNIDAD
COMUNIDAD
COMUNIDAD
COMUNIDAD
COMUNIDAD
COMUNIDAD
COMUNIDAD
COMUNIDAD
COMUNIDAD
COMUNIDAD
COMUNIDAD
COMUNIDAD
COMUNIDAD
COMUNIDAD
COMUNIDAD
COMUNIDAD
COMUNIDAD
COMUNIDAD
COMUNIDAD
COMUNIDAD
COMUNIDAD
COMUNIDAD
COMUNIDAD
COMUNIDAD
COMUNIDAD
COMUNIDAD
COMUNIDAD
COMUNIDAD
COMUNIDAD
COMUNIDAD
COMUNIDAD
COMUNIDAD
COMUNIDAD
COMUNIDAD
COMUNIDAD
COMUNIDAD
COMUNIDAD
COMUNIDAD
COMUNIDAD
COMUNIDAD
COMUNIDAD
COMUNIDAD
COMUNIDAD
COMUNIDAD
COMUNIDAD
COMUNIDAD
COMUNIDAD
COMUNIDAD
COMUNIDAD
COMUNIDAD
COMUNIDAD
COMUNIDAD
COMUNIDAD
COMUNIDAD
COMUNIDAD
COMUNIDAD
COMUNIDAD
COMUNIDAD
COMUNIDAD
COMUNIDAD
COMUNIDAD
COMUNIDAD
COMUNIDAD
COMUNIDAD
COMUNIDAD
COMUNIDAD
COMUNIDAD
COMUNIDAD
COMUNIDAD
COMUNIDAD
COMUNIDAD
COMUNIDAD
COMUNIDAD
COMUNIDAD
COMUNIDAD
COMUNIDAD
COMUNIDAD
COMUNIDAD
COMUNIDAD
COMUNIDAD
COMUNIDAD
COMUNIDAD
COMUNIDAD
COMUNIDAD
COMUNIDAD
COMUNIDAD
COMUNIDAD
COMUNIDAD
COMUNIDAD
COMUNIDAD
COMUNIDAD
COMUNIDAD
COMUNIDAD
COMUNIDAD
COMUNIDAD
COMUNIDAD
COMUNIDAD
COMUNIDAD
COMUNIDAD
COMUNIDAD
COMUNIDAD
COMUNIDAD
COMUNIDAD
COMUNIDAD
COMUNIDAD
COMUNIDAD
COMUNIDAD
COMUNIDAD
COMUNIDAD
COMUNIDAD
COMUNIDAD
COMUNIDAD
COMUNIDAD
COMUNIDAD
COMUNIDAD
COMUNIDAD
COMUNIDAD
COMUNIDAD
COMUNIDAD
COMUNIDAD
COMUNIDAD
COMUNIDAD
COMUNIDAD
COMUNIDAD
COMUNIDAD
COMUNIDAD
COMUNIDAD
COMUNIDAD
COMUNIDAD
COMUNIDAD
COMUNIDAD
COMUNIDAD
COMUNIDAD
COMUNIDAD
COMUNIDAD
COMUNIDAD
COMUNIDAD
COMUNIDAD
COMUNIDAD
COMUNIDAD
COMUNIDAD
COMUNIDAD
COMUNIDAD
COMUNIDAD
COMUNIDAD
COMUNIDAD
COMUNIDAD
COMUNIDAD
COMUNIDAD
COMUNIDAD
COMUNIDAD
COMUNIDAD
COMUNIDAD
COMUNIDAD
COMUNIDAD
COMUNIDAD
COMUNIDAD
COMUNIDAD
COMUNIDAD
COMUNIDAD
COMUNIDAD
COMUNIDAD
COMUNIDAD
COMUNIDAD
COMUNIDAD
COMUNIDAD
COMUNIDAD
COMUNIDAD
COMUNIDAD
COMUNIDAD
COMUNIDAD
COMUNIDAD
COMUNIDAD
COMUNIDAD
COMUNIDAD
COMUNIDAD
COMUNIDAD
COMUNIDAD
COMUNIDAD
COMUNIDAD
COMUNIDAD
COMUNIDAD
COMUNIDAD
COMUNIDAD
COMUNIDAD
COMUNIDAD
COMUNIDAD
COMUNIDAD
COMUNIDAD
COMUNIDAD
COMUNIDAD
COMUNIDAD
COMUNIDAD
COMUNIDAD
COMUNIDAD
COMUNIDAD
COMUNIDAD
COMUNIDAD
COMUNIDAD
COMUNIDAD
COMUNIDAD
COMUNIDAD
COMUNIDAD
COMUNIDAD
COMUNIDAD
COMUNIDAD
COMUNIDAD
COMUNIDAD
COMUNIDAD
COMUNIDAD
COMUNIDAD
COMUNIDAD
COMUNIDAD
COMUNIDAD
COMUNIDAD
COMUNIDAD
COMUNIDAD
COMUNIDAD
COMUNIDAD
COMUNIDAD
COMUNIDAD
COMUNIDAD
COMUNIDAD
COMUNIDAD
COMUNIDAD
COMUNIDAD
COMUNIDAD
COMUNIDAD
COMUNIDAD
COMUNIDAD
COMUNIDAD
COMUNIDAD
COMUNIDAD
COMUNIDAD
COMUNIDAD
COMUNIDAD
COMUNIDAD
COMUNIDAD
COMUNIDAD
COMUNIDAD
COMUNIDAD
COMUNIDAD
COMUNIDAD
COMUNIDAD
COMUNIDAD
COMUNIDAD
COMUNIDAD
COMUNIDAD
COMUNIDAD
COMUNIDAD
COMUNIDAD
COMUNIDAD
COMUNIDAD
COMUNIDAD
COMUNIDAD
COMUNIDAD
COMUNIDAD
COMUNIDAD
COMUNIDAD
COMUNIDAD
COMUNIDAD
COMUNIDAD
COMUNIDAD
COMUNIDAD
COMUNIDAD
COMUNIDAD
COMUNIDAD
COMUNIDAD
COMUNIDAD
COMUNIDAD
COMUNIDAD
COMUNIDAD
COMUNIDAD
COMUNIDAD
COMUNIDAD
COMUNIDAD
COMUNIDAD
COMUNIDAD
COMUNIDAD
COMUNIDAD
COMUNIDAD
COMUNIDAD
COMUNIDAD
COMUNIDAD
COMUNIDAD
COMUNIDAD
COMUNIDAD
COMUNIDAD
COMUNIDAD
COMUNIDAD
COMUNIDAD
COMUNIDAD
COMUNIDAD
COMUNIDAD
COMUNIDAD
COMUNIDAD
COMUNIDAD
COMUNIDAD
COMUNIDAD
COMUNIDAD
COMUNIDAD
COMUNIDAD
COMUNIDAD
COMUNIDAD
COMUNIDAD
COMUNIDAD
COMUNIDAD
COMUNIDAD
COMUNIDAD
COMUNIDAD
COMUNIDAD
COMUNIDAD
COMUNIDAD
COMUNIDAD
COMUNIDAD
COMUNIDAD
COMUNIDAD
COMUNIDAD
COMUNIDAD
COMUNIDAD
COMUNIDAD
COMUNIDAD
COMUNIDAD
COMUNIDAD
COMUNIDAD
COMUNIDAD
COMUNIDAD
COMUNIDAD
COMUNIDAD
COMUNIDAD
COMUNIDAD
COMUNIDAD
COMUNIDAD
COMUNIDAD
COMUNIDAD
COMUNIDAD
COMUNIDAD
COMUNIDAD
COMUNIDAD
COMUNIDAD
COMUNIDAD
COMUNIDAD
COMUNIDAD
COMUNIDAD
COMUNIDAD
COMUNIDAD
COMUNIDAD
COMUNIDAD
COMUNIDAD
COMUNIDAD
COMUNIDAD
COMUNIDAD
COMUNIDAD
COMUNIDAD
COMUNIDAD
COMUNIDAD
COMUNIDAD
COMUNIDAD
COMUNIDAD
COMUNIDAD
COMUNIDAD
COMUNIDAD
COMUNIDAD
COMUNIDAD
COMUNIDAD
COMUNIDAD
COMUNIDAD
COMUNIDAD
COMUNIDAD
COMUNIDAD
COMUNIDAD
COMUNIDAD
COMUNIDAD
COMUNIDAD
COMUNIDAD
COMUNIDAD
COMUNIDAD
COMUNIDAD
COMUNIDAD
COMUNIDAD
COMUNIDAD
COMUNIDAD
COMUNIDAD
COMUNIDAD
COMUNIDAD
COMUNIDAD
COMUNIDAD
COMUNIDAD
COMUNIDAD
COMUNIDAD
COMUNIDAD
COMUNIDAD
COMUNIDAD
COMUNIDAD
COMUNIDAD
COMUNIDAD
COMUNIDAD
COMUNIDAD
COMUNIDAD
COMUNIDAD
COMUNIDAD
COMUNIDAD
COMUNIDAD
COMUNIDAD
COMUNIDAD
COMUNIDAD
COMUNIDAD
COMUNIDAD
COMUNIDAD
COMUNIDAD
COMUNIDAD
COMUNIDAD
COMUNIDAD
COMUNIDAD
COMUNIDAD
COMUNIDAD
COMUNIDAD
COMUNIDAD
COMUNIDAD
COMUNIDAD
COMUNIDAD
COMUNIDAD
COMUNIDAD
COMUNIDAD
COMUNIDAD
COMUNIDAD
COMUNIDAD
COMUNIDAD
COMUNIDAD
COMUNIDAD
COMUNIDAD
COMUNIDAD
COMUNIDAD
COMUNIDAD
COMUNIDAD
COMUNIDAD
COMUNIDAD
COMUNIDAD
COMUNIDAD
COMUNIDAD
COMUNIDAD
COMUNIDAD
COMUNIDAD
COMUNIDAD
COMUNIDAD
COMUNIDAD
COMUNIDAD
COMUNIDAD
COMUNIDAD
COMUNIDAD
COMUNIDAD
COMUNIDAD
COMUNIDAD
COMUNIDAD
COMUNIDAD
COMUNIDAD
COMUNIDAD
COMUNIDAD
COMUNIDAD
COMUNIDAD
COMUNIDAD
COMUNIDAD
COMUNIDAD
COMUNIDAD
COMUNIDAD
COMUNIDAD
COMUNIDAD
COMUNIDAD
COMUNIDAD
COMUNIDAD
COMUNIDAD
COMUNIDAD
COMUNIDAD
COMUNIDAD
COMUNIDAD
COMUNIDAD
COMUNIDAD
COMUNIDAD
COMUNIDAD
COMUNIDAD
COMUNIDAD
COMUNIDAD
COMUNIDAD
COMUNIDAD
COMUNIDAD
COMUNIDAD
COMUNIDAD
COMUNIDAD
COMUNIDAD
COMUNIDAD
COMUNIDAD
COMUNIDAD
COMUNIDAD
COMUNIDAD
COMUNIDAD
COMUNIDAD
COMUNIDAD
COMUNIDAD
COMUNIDAD
COMUNIDAD
COMUNIDAD
COMUNIDAD
COMUNIDAD
COMUNIDAD
COMUNIDAD
COMUNIDAD
COMUNIDAD
COMUNIDAD
COMUNIDAD
COMUNIDAD
COMUNIDAD
COMUNIDAD
COMUNIDAD
COMUNIDAD
COMUNIDAD
COMUNIDAD
COMUNIDAD
COMUNIDAD
COMUNIDAD
COMUNIDAD
COMUNIDAD
COMUNIDAD
COMUNIDAD
COMUNIDAD
COMUNIDAD
COMUNIDAD
COMUNIDAD
COMUNIDAD
COMUNIDAD
COMUNIDAD
COMUNIDAD
COMUNIDAD
COMUNIDAD
COMUNIDAD
COMUNIDAD
COMUNIDAD
COMUNIDAD
COMUNIDAD
COMUNIDAD
COMUNIDAD
COMUNIDAD
COMUNIDAD
COMUNIDAD
COMUNIDAD
COMUNIDAD
COMUNIDAD
COMUNIDAD
COMUNIDAD
COMUNIDAD
COMUNIDAD
COMUNIDAD
COMUNIDAD
COMUNIDAD
COMUNIDAD
COMUNIDAD
COMUNIDAD
COMUNIDAD
COMUNIDAD
COMUNIDAD
COMUNIDAD
COMUNIDAD
COMUNIDAD
COMUNIDAD
COMUNIDAD
COMUNIDAD
COMUNIDAD
COMUNIDAD
COMUNIDAD
COMUNIDAD
COMUNIDAD
COMUNIDAD
COMUNIDAD
COMUNIDAD
COMUNIDAD
COMUNIDAD
COMUNIDAD
COMUNIDAD
COMUNIDAD
COMUNIDAD
COMUNIDAD
COMUNIDAD
COMUNIDAD
COMUNIDAD
COMUNIDAD
COMUNIDAD
COMUNIDAD
COMUNIDAD
COMUNIDAD
COMUNIDAD
COMUNIDAD
COMUNIDAD
COMUNIDAD
COMUNIDAD
COMUNIDAD
COMUNIDAD
COMUNIDAD
COMUNIDAD
COMUNIDAD
COMUNIDAD
COMUNIDAD
COMUNIDAD
COMUNIDAD
COMUNIDAD
COMUNIDAD
COMUNIDAD
COMUNIDAD
COMUNIDAD
COMUNIDAD
COMUNIDAD
COMUNIDAD
COMUNIDAD
COMUNIDAD
COMUNIDAD
COMUNIDAD
COMUNIDAD
COMUNIDAD
COMUNIDAD
COMUNIDAD
COMUNIDAD
COMUNIDAD
COMUNIDAD
COMUNIDAD
COMUNIDAD
COMUNIDAD
COMUNIDAD
COMUNIDAD
COMUNIDAD
COMUNIDAD
COMUNIDAD
COMUNIDAD
COMUNIDAD
COMUNIDAD
COMUNIDAD
COMUNIDAD
COMUNIDAD
COMUNIDAD
COMUNIDAD
COMUNIDAD
COMUNIDAD
COMUNIDAD
COMUNIDAD
COMUNIDAD
COMUNIDAD
COMUNIDAD
COMUNIDAD
COMUNIDAD
COMUNIDAD
COMUNIDAD
COMUNIDAD
COMUNIDAD
COMUNIDAD
COMUNIDAD
COMUNIDAD
COMUNIDAD
COMUNIDAD
COMUNIDAD
COMUNIDAD
COMUNIDAD
COMUNIDAD
COMUNIDAD
COMUNIDAD
COMUNIDAD
COMUNIDAD
COMUNIDAD
COMUNIDAD
COMUNIDAD
COMUNIDAD
COMUNIDAD
COMUNIDAD
COMUNIDAD
COMUNIDAD
COMUNIDAD
COMUNIDAD
COMUNIDAD
COMUNIDAD
COMUNIDAD
COMUNIDAD
COMUNIDAD
COMUNIDAD
COMUNIDAD
COMUNIDAD
COMUNIDAD
COMUNIDAD
COMUNIDAD
COMUNIDAD
COMUNIDAD
COMUNIDAD
COMUNIDAD
COMUNIDAD
COMUNIDAD
COMUNIDAD
COMUNIDAD
COMUNIDAD
COMUNIDAD
COMUNIDAD
COMUNIDAD
COMUNIDAD
COMUNIDAD
COMUNIDAD
COMUNIDAD
COMUNIDAD
COMUNIDAD
COMUNIDAD
COMUNIDAD
COMUNIDAD
COMUNIDAD
COMUNIDAD
COMUNIDAD
COMUNIDAD
COMUNIDAD
COMUNIDAD
COMUNIDAD
COMUNIDAD
COMUNIDAD
COMUNIDAD
COMUNIDAD
COMUNIDAD
COMUNIDAD
COMUNIDAD
COMUNIDAD
COMUNIDAD
COMUNIDAD
COMUNIDAD
COMUNIDAD
COMUNIDAD
COMUNIDAD
COMUNIDAD
COMUNIDAD
COMUNIDAD
COMUNIDAD
COMUNIDAD
COMUNIDAD
COMUNIDAD
COMUNIDAD
COMUNIDAD
COMUNIDAD
COMUNIDAD
COMUNIDAD
COMUNIDAD
COMUNIDAD
COMUNIDAD
COMUNIDAD
COMUNIDAD
COMUNIDAD
COMUNIDAD
COMUNIDAD
COMUNIDAD
COMUNIDAD
COMUNIDAD
COMUNIDAD
COMUNIDAD
COMUNIDAD
COMUNIDAD
COMUNIDAD
COMUNIDAD
COMUNIDAD
COMUNIDAD
COMUNIDAD
COMUNIDAD
COMUNIDAD
COMUNIDAD
COMUNIDAD
COMUNIDAD
COMUNIDAD
COMUNIDAD
COMUNIDAD
COMUNIDAD
COMUNIDAD
COMUNIDAD
COMUNIDAD
COMUNIDAD
COMUNIDAD
COMUNIDAD
COMUNIDAD
COMUNIDAD
COMUNIDAD
COMUNIDAD
COMUNIDAD
COMUNIDAD
COMUNIDAD
COMUNIDAD
COMUNIDAD
COMUNIDAD
COMUNIDAD
COMUNIDAD
COMUNIDAD
COMUNIDAD
COMUNIDAD
COMUNIDAD
COMUNIDAD
COMUNIDAD
COMUNIDAD
COMUNIDAD
COMUNIDAD
COMUNIDAD
COMUNIDAD
COMUNIDAD
COMUNIDAD
COMUNIDAD
COMUNIDAD
COMUNIDAD
COMUNIDAD
COMUNIDAD
COMUNIDAD
COMUNIDAD
COMUNIDAD
COMUNIDAD
COMUNIDAD
COMUNIDAD
COMUNIDAD
COMUNIDAD
COMUNIDAD
COMUNIDAD
COMUNIDAD
COMUNIDAD
COMUNIDAD
COMUNIDAD
COMUNIDAD
COMUNIDAD
COMUNIDAD
COMUNIDAD
COMUNIDAD
COMUNIDAD
COMUNIDAD
COMUNIDAD
COMUNIDAD
COMUNIDAD
COMUNIDAD
COMUNIDAD
COMUNIDAD
COMUNIDAD
COMUNIDAD
COMUNIDAD
COMUNIDAD
COMUNIDAD
COMUNIDAD
COMUNIDAD
COMUNIDAD
COMUNIDAD
COMUNIDAD
COMUNIDAD
COMUNIDAD
COMUNIDAD
COMUNIDAD
COMUNIDAD
COMUNIDAD
COMUNIDAD
COMUNIDAD
COMUNIDAD
COMUNIDAD
COMUNIDAD
COMUNIDAD
COMUNIDAD
COMUNIDAD
COMUNIDAD
COMUNIDAD
COMUNIDAD
COMUNIDAD
COMUNIDAD
COMUNIDAD
COMUNIDAD
COMUNIDAD
COMUNIDAD
COMUNIDAD
COMUNIDAD
COMUNIDAD
COMUNIDAD
COMUNIDAD
COMUNIDAD
COMUNIDAD
COMUNIDAD
COMUNIDAD
COMUNIDAD
COMUNIDAD
COMUNIDAD
COMUNIDAD
COMUNIDAD
COMUNIDAD
COMUNIDAD
COMUNIDAD
COMUNIDAD
COMUNIDAD
COMUNIDAD
COMUNIDAD
COMUNIDAD
COMUNIDAD
COMUNIDAD
COMUNIDAD
COMUNIDAD
COMUNIDAD
COMUNIDAD
COMUNIDAD
COMUNIDAD
COMUNIDAD
COMUNIDAD
COMUNIDAD
COMUNIDAD
COMUNIDAD
COMUNIDAD
COMUNIDAD
COMUNIDAD
COMUNIDAD
COMUNIDAD
COMUNIDAD
COMUNIDAD
COMUNIDAD
COMUNIDAD
COMUNIDAD
COMUNIDAD
COMUNIDAD
COMUNIDAD
COMUNIDAD
COMUNIDAD
COMUNIDAD
COMUNIDAD
COMUNIDAD
COMUNIDAD
COMUNIDAD
COMUNIDAD
COMUNIDAD
COMUNIDAD
COMUNIDAD
COMUNIDAD
COMUNIDAD
COMUNIDAD
COMUNIDAD
COMUNIDAD
COMUNIDAD
COMUNIDAD
COMUNIDAD
COMUNIDAD
COMUNIDAD
COMUNIDAD
COMUNIDAD
COMUNIDAD
COMUNIDAD
COMUNIDAD
COMUNIDAD
COMUNIDAD
COMUNIDAD
COMUNIDAD
COMUNIDAD
COMUNIDAD
COMUNIDAD
COMUNIDAD
COMUNIDAD
COMUNIDAD
COMUNIDAD
COMUNIDAD
COMUNIDAD
COMUNIDAD
COMUNIDAD
COMUNIDAD
COMUNIDAD
COMUNIDAD
COMUNIDAD
COMUNIDAD
COMUNIDAD
COMUNIDAD
COMUNIDAD
COMUNIDAD
COMUNIDAD
COMUNIDAD
COMUNIDAD
COMUNIDAD
COMUNIDAD
COMUNIDAD
COMUNIDAD
COMUNIDAD
COMUNIDAD
COMUNIDAD
COMUNIDAD
COMUNIDAD
COMUNIDAD
COMUNIDAD
COMUNIDAD
COMUNIDAD
COMUNIDAD
COMUNIDAD
COMUNIDAD
COMUNIDAD
COMUNIDAD
COMUNIDAD
COMUNIDAD
COMUNIDAD
COMUNIDAD
COMUNIDAD
COMUNIDAD
COMUNIDAD
COMUNIDAD
COMUNIDAD
COMUNIDAD
COMUNIDAD
COMUNIDAD
COMUNIDAD
COMUNIDAD
COMUNIDAD
COMUNIDAD
COMUNIDAD
COMUNIDAD
COMUNIDAD
COMUNIDAD
COMUNIDAD
COMUNIDAD
COMUNIDAD
COMUNIDAD
COMUNIDAD
COMUNIDAD
COMUNIDAD
COMUNIDAD
COMUNIDAD
COMUNIDAD
COMUNIDAD
COMUNIDAD
COMUNIDAD
COMUNIDAD
COMUNIDAD
COMUNIDAD
COMUNIDAD
COMUNIDAD
COMUNIDAD
COMUNIDAD
COMUNIDAD
COMUNIDAD
COMUNIDAD
COMUNIDAD
COMUNIDAD
COMUNIDAD
COMUNIDAD
COMUNIDAD
COMUNIDAD
COMUNIDAD
COMUNIDAD
COMUNIDAD
COMUNIDAD
COMUNIDAD
COMUNIDAD
COMUNIDAD
COMUNIDAD
COMUNIDAD
COMUNIDAD
COMUNIDAD
COMUNIDAD
COMUNIDAD
COMUNIDAD
COMUNIDAD
COMUNIDAD
COMUNIDAD
COMUNIDAD
COMUNIDAD
COMUNIDAD
COMUNIDAD
COMUNIDAD
COMUNIDAD
COMUNIDAD
COMUNIDAD
COMUNIDAD
COMUNIDAD
COMUNIDAD
COMUNIDAD
COMUNIDAD
COMUNIDAD
COMUNIDAD
COMUNIDAD
COMUNIDAD
COMUNIDAD
COMUNIDAD
COMUNIDAD
COMUNIDAD
COMUNIDAD
COMUNIDAD
COMUNIDAD
COMUNIDAD
COMUNIDAD
COMUNIDAD
COMUNIDAD
COMUNIDAD
COMUNIDAD
COMUNIDAD
COMUNIDAD
COMUNIDAD
COMUNIDAD
COMUNIDAD
COMUNIDAD
COMUNIDAD
COMUNIDAD
COMUNIDAD
COMUNIDAD
COMUNIDAD
COMUNIDAD
COMUNIDAD
COMUNIDAD
COMUNIDAD
COMUNIDAD
COMUNIDAD
COMUNIDAD
COMUNIDAD
COMUNIDAD
COMUNIDAD
COMUNIDAD
COMUNIDAD
COMUNIDAD
COMUNIDAD
COMUNIDAD
COMUNIDAD
COMUNIDAD
COMUNIDAD
COMUNIDAD
COMUNIDAD
COMUNIDAD
COMUNIDAD
COMUNIDAD
COMUNIDAD
COMUNIDAD
COMUNIDAD
COMUNIDAD
COMUNIDAD
COMUNIDAD
COMUNIDAD
COMUNIDAD
COMUNIDAD
COMUNIDAD
COMUNIDAD
COMUNIDAD
COMUNIDAD
COMUNIDAD
COMUNIDAD
COMUNIDAD
COMUNIDAD
COMUNIDAD
COMUNIDAD
COMUNIDAD
COMUNIDAD
COMUNIDAD
COMUNIDAD
COMUNIDAD
COMUNIDAD
COMUNIDAD
COMUNIDAD
COMUNIDAD
COMUNIDAD
COMUNIDAD
COMUNIDAD
COMUNIDAD
COMUNIDAD
COMUNIDAD
COMUNIDAD
COMUNIDAD
COMUNIDAD
COMUNIDAD
COMUNIDAD
COMUNIDAD
COMUNIDAD
COMUNIDAD
COMUNIDAD
COMUNIDAD
COMUNIDAD
COMUNIDAD
COMUNIDAD
COMUNIDAD
COMUNIDAD
COMUNIDAD
COMUNIDAD
COMUNIDAD
COMUNIDAD
COMUNIDAD
COMUNIDAD
COMUNIDAD
COMUNIDAD
COMUNIDAD
COMUNIDAD
COMUNIDAD
COMUNIDAD
COMUNIDAD
COMUNIDAD
COMUNIDAD
COMUNIDAD
COMUNIDAD
COMUNIDAD
COMUNIDAD
COMUNIDAD
COMUNIDAD
COMUNIDAD
COMUNIDAD
COMUNIDAD
COMUNIDAD
COMUNIDAD
COMUNIDAD
COMUNIDAD
COMUNIDAD
COMUNIDAD
COMUNIDAD
COMUNIDAD
COMUNIDAD
COMUNIDAD
COMUNIDAD
COMUNIDAD
COMUNIDAD
COMUNIDAD
COMUNIDAD
COMUNIDAD
COMUNIDAD
COMUNIDAD
COMUNIDAD
COMUNIDAD
COMUNIDAD
COMUNIDAD
COMUNIDAD
COMUNIDAD
COMUNIDAD
COMUNIDAD
COMUNIDAD
COMUNIDAD
COMUNIDAD
COMUNIDAD
COMUNIDAD
COMUNIDAD
COMUNIDAD
COMUNIDAD
COMUNIDAD
COMUNIDAD
COMUNIDAD
COMUNIDAD
COMUNIDAD
COMUNIDAD
COMUNIDAD
COMUNIDAD
COMUNIDAD
COMUNIDAD
COMUNIDAD
COMUNIDAD
COMUNIDAD
COMUNIDAD
COMUNIDAD
COMUNIDAD
COMUNIDAD
COMUNIDAD
COMUNIDAD
COMUNIDAD
COMUNIDAD
COMUNIDAD
COMUNIDAD
COMUNIDAD
COMUNIDAD
COMUNIDAD
COMUNIDAD
COMUNIDAD
COMUNIDAD
COMUNIDAD
COMUNIDAD
COMUNIDAD
COMUNIDAD
COMUNIDAD
COMUNIDAD
COMUNIDAD
COMUNIDAD
COMUNIDAD
COMUNIDAD
COMUNIDAD
COMUNIDAD
COMUNIDAD
COMUNIDAD
COMUNIDAD
COMUNIDAD
COMUNIDAD
COMUNIDAD
COMUNIDAD
COMUNIDAD
COMUNIDAD
COMUNIDAD
COMUNIDAD
COMUNIDAD
COMUNIDAD
COMUNIDAD
COMUNIDAD
COMUNIDAD
COMUNIDAD
COMUNIDAD
COMUNIDAD
COMUNIDAD
COMUNIDAD
COMUNIDAD
COMUNIDAD
COMUNIDAD
COMUNIDAD
COMUNIDAD
COMUNIDAD
COMUNIDAD
COMUNIDAD
COMUNIDAD
COMUNIDAD
COMUNIDAD
COMUNIDAD
COMUNIDAD
COMUNIDAD
COMUNIDAD
COMUNIDAD
COMUNIDAD
COMUNIDAD
COMUNIDAD
COMUNIDAD
COMUNIDAD
COMUNIDAD
COMUNIDAD
COMUNIDAD
COMUNIDAD
COMUNIDAD
COMUNIDAD
COMUNIDAD
COMUNIDAD
COMUNIDAD
COMUNIDAD
COMUNIDAD
COMUNIDAD
COMUNIDAD
COMUNIDAD
COMUNIDAD
COMUNIDAD
COMUNIDAD
COMUNIDAD
COMUNIDAD
COMUNIDAD
COMUNIDAD
COMUNIDAD
COMUNIDAD
COMUNIDAD
COMUNIDAD
COMUNIDAD
COMUNIDAD
COMUNIDAD
COMUNIDAD
COMUNIDAD
COMUNIDAD
COMUNIDAD
COMUNIDAD
COMUNIDAD
COMUNIDAD
COMUNIDAD
COMUNIDAD
COMUNIDAD
COMUNIDAD
COMUNIDAD
COMUNIDAD
COMUNIDAD
COMUNIDAD
COMUNIDAD
COMUNIDAD
COMUNIDAD
COMUNIDAD
COMUNIDAD
COMUNIDAD
COMUNIDAD
COMUNIDAD
COMUNIDAD
COMUNIDAD
COMUNIDAD
COMUNIDAD
COMUNIDAD
COMUNIDAD
COMUNIDAD
COMUNIDAD
COMUNIDAD
COMUNIDAD
COMUNIDAD
COMUNIDAD
COMUNIDAD
COMUNIDAD
COMUNIDAD
COMUNIDAD
COMUNIDAD
COMUNIDAD
COMUNIDAD
COMUNIDAD
COMUNIDAD
COMUNIDAD
COMUNIDAD
COMUNIDAD
COMUNIDAD
COMUNIDAD
COMUNIDAD
COMUNIDAD
COMUNIDAD
COMUNIDAD
COMUNIDAD
COMUNIDAD
COMUNIDAD
COMUNIDAD
COMUNIDAD
COMUNIDAD
COMUNIDAD
COMUNIDAD
COMUNIDAD
COMUNIDAD
COMUNIDAD
COMUNIDAD
COMUNIDAD
COMUNIDAD
COMUNIDAD
COMUNIDAD
COMUNIDAD
COMUNIDAD
COMUNIDAD
COMUNIDAD
COMUNIDAD
COMUNIDAD
COMUNIDAD
COMUNIDAD
COMUNIDAD
COMUNIDAD
COMUNIDAD
COMUNIDAD
COMUNIDAD
COMUNIDAD
COMUNIDAD
COMUNIDAD
COMUNIDAD
COMUNIDAD
COMUNIDAD
COMUNIDAD
COMUNIDAD
COMUNIDAD
COMUNIDAD
COMUNIDAD
COMUNIDAD
COMUNIDAD
COMUNIDAD
COMUNIDAD
COMUNIDAD
COMUNIDAD
COMUNIDAD
COMUNIDAD
COMUNIDAD
COMUNIDAD
COMUNIDAD
COMUNIDAD
COMUNIDAD
COMUNIDAD
COMUNIDAD
COMUNIDAD
COMUNIDAD
COMUNIDAD
COMUNIDAD
COMUNIDAD
COMUNIDAD
COMUNIDAD
COMUNIDAD
COMUNIDAD
COMUNIDAD
COMUNIDAD
COMUNIDAD
COMUNIDAD
COMUNIDAD
COMUNIDAD
COMUNIDAD
COMUNIDAD
COMUNIDAD
COMUNIDAD
COMUNIDAD
COMUNIDAD
COMUNIDAD
COMUNIDAD
COMUNIDAD
COMUNIDAD
COMUNIDAD
COMUNIDAD
COMUNIDAD
COMUNIDAD
COMUNIDAD
COMUNIDAD
COMUNIDAD
COMUNIDAD
COMUNIDAD
COMUNIDAD
COMUNIDAD
COMUNIDAD
COMUNIDAD
COMUNIDAD
COMUNIDAD
COMUNIDAD
COMUNIDAD
COMUNIDAD
COMUNIDAD
COMUNIDAD
COMUNIDAD
COMUNIDAD
COMUNIDAD
COMUNIDAD
COMUNIDAD
COMUNIDAD
COMUNIDAD
COMUNIDAD
COMUNIDAD
COMUNIDAD
COMUNIDAD
COMUNIDAD
COMUNIDAD
COMUNIDAD
COMUNIDAD
COMUNIDAD
COMUNIDAD
COMUNIDAD
COMUNIDAD
COMUNIDAD
COMUNIDAD
COMUNIDAD
COMUNIDAD
COMUNIDAD
COMUNIDAD
COMUNIDAD
COMUNIDAD
COMUNIDAD
COMUNIDAD
COMUNIDAD
COMUNIDAD
COMUNIDAD
COMUNIDAD
COMUNIDAD
COMUNIDAD
COMUNIDAD
COMUNIDAD
COMUNIDAD
COMUNIDAD
COMUNIDAD
COMUNIDAD
COMUNIDAD
COMUNIDAD
COMUNIDAD
COMUNIDAD
COMUNIDAD
COMUNIDAD
COMUNIDAD
COMUNIDAD
COMUNIDAD
COMUNIDAD
COMUNIDAD
COMUNIDAD
COMUNIDAD
COMUNIDAD
COMUNIDAD
COMUNIDAD
COMUNIDAD
COMUNIDAD
COMUNIDAD
COMUNIDAD
COMUNIDAD
COMUNIDAD
COMUNIDAD
COMUNIDAD
COMUNIDAD
COMUNIDAD
COMUNIDAD
COMUNIDAD
COMUNIDAD
COMUNIDAD
COMUNIDAD
COMUNIDAD
COMUNIDAD
COMUNIDAD
COMUNIDAD
COMUNIDAD
COMUNIDAD
COMUNIDAD
COMUNIDAD
COMUNIDAD
COMUNIDAD
COMUNIDAD
COMUNIDAD
COMUNIDAD
COMUNIDAD
COMUNIDAD
COMUNIDAD
COMUNIDAD
COMUNIDAD
COMUNIDAD
COMUNIDAD
COMUNIDAD
COMUNIDAD
COMUNIDAD
COMUNIDAD
COMUNIDAD
COMUNIDAD
COMUNIDAD
COMUNIDAD
COMUNIDAD
COMUNIDAD
COMUNIDAD
COMUNIDAD
COMUNIDAD
COMUNIDAD
COMUNIDAD
COMUNIDAD
COMUNIDAD
COMUNIDAD
COMUNIDAD
COMUNIDAD
COMUNIDAD
COMUNIDAD
COMUNIDAD
COMUNIDAD
COMUNIDAD
COMUNIDAD
COMUNIDAD
COMUNIDAD
COMUNIDAD
COMUNIDAD
COMUNIDAD
COMUNIDAD
COMUNIDAD
COMUNIDAD
COMUNIDAD
COMUNIDAD
COMUNIDAD
COMUNIDAD
COMUNIDAD
COMUNIDAD
COMUNIDAD
COMUNIDAD
COMUNIDAD
COMUNIDAD
COMUNIDAD
COMUNIDAD
COMUNIDAD
COMUNIDAD
COMUNIDAD
COMUNIDAD
COMUNIDAD
COMUNIDAD
COMUNIDAD
COMUNIDAD
COMUNIDAD
COMUNIDAD
COMUNIDAD
COMUNIDAD
COMUNIDAD
COMUNIDAD
COMUNIDAD
COMUNIDAD
COMUNIDAD
COMUNIDAD
COMUNIDAD
COMUNIDAD
COMUNIDAD
COMUNIDAD
COMUNIDAD
COMUNIDAD
COMUNIDAD
COMUNIDAD
COMUNIDAD
COMUNIDAD
COMUNIDAD
COMUNIDAD
COMUNIDAD
COMUNIDAD
COMUNIDAD
COMUNIDAD
COMUNIDAD
COMUNIDAD
COMUNIDAD
COMUNIDAD
COMUNIDAD
COMUNIDAD
COMUNIDAD
COMUNIDAD
COMUNIDAD
COMUNIDAD
COMUNIDAD
COMUNIDAD
COMUNIDAD
COMUNIDAD
COMUNIDAD
COMUNIDAD
COMUNIDAD
COMUNIDAD
COMUNIDAD
COMUNIDAD
COMUNIDAD
COMUNIDAD
COMUNIDAD
COMUNIDAD
COMUNIDAD
COMUNIDAD
COMUNIDAD
COMUNIDAD
COMUNIDAD
COMUNIDAD
COMUNIDAD
COMUNIDAD
COMUNIDAD
COMUNIDAD
COMUNIDAD
COMUNIDAD
COMUNIDAD
COMUNIDAD
COMUNIDAD
COMUNIDAD
COMUNIDAD
COMUNIDAD
COMUNIDAD
COMUNIDAD
COMUNIDAD
COMUNIDAD
COMUNIDAD
COMUNIDAD
COMUNIDAD
COMUNIDAD
COMUNIDAD
COMUNIDAD
COMUNIDAD
COMUNIDAD
COMUNIDAD
COMUNIDAD
COMUNIDAD
COMUNIDAD
COMUNIDAD
COMUNIDAD
COMUNIDAD
COMUNIDAD
COMUNIDAD
COMUNIDAD
COMUNIDAD
COMUNIDAD
COMUNIDAD
COMUNIDAD
COMUNIDAD
COMUNIDAD
COMUNIDAD
COMUNIDAD
COMUNIDAD
COMUNIDAD
COMUNIDAD
COMUNIDAD
COMUNIDAD
COMUNIDAD
COMUNIDAD
COMUNIDAD
COMUNIDAD
COMUNIDAD
COMUNIDAD
COMUNIDAD
COMUNIDAD
COMUNIDAD
COMUNIDAD
COMUNIDAD
COMUNIDAD
COMUNIDAD
COMUNIDAD
COMUNIDAD
COMUNIDAD
COMUNIDAD
COMUNIDAD
COMUNIDAD
COMUNIDAD
COMUNIDAD
COMUNIDAD
COMUNIDAD
COMUNIDAD
COMUNIDAD
COMUNIDAD
COMUNIDAD
COMUNIDAD
COMUNIDAD
COMUNIDAD
COMUNIDAD
COMUNIDAD
COMUNIDAD
COMUNIDAD
COMUNIDAD
COMUNIDAD
COMUNIDAD
COMUNIDAD
COMUNIDAD
COMUNIDAD
COMUNIDAD
COMUNIDAD
COMUNIDAD
COMUNIDAD
COMUNIDAD
COMUNIDAD
COMUNIDAD
COMUNIDAD
COMUNIDAD
COMUNIDAD
COMUNIDAD
COMUNIDAD
COMUNIDAD
COMUNIDAD
COMUNIDAD
COMUNIDAD
COMUNIDAD
COMUNIDAD
COMUNIDAD
COMUNIDAD
COMUNIDAD
COMUNIDAD
COMUNIDAD
COMUNIDAD
COMUNIDAD
COMUNIDAD
COMUNIDAD
COMUNIDAD
COMUNIDAD
COMUNIDAD
COMUNIDAD
COMUNIDAD
COMUNIDAD
COMUNIDAD
COMUNIDAD
COMUNIDAD
COMUNIDAD
COMUNIDAD
COMUNIDAD
COMUNIDAD
COMUNIDAD
COMUNIDAD
COMUNIDAD
COMUNIDAD
COMUNIDAD
COMUNIDAD
COMUNIDAD
COMUNIDAD
COMUNIDAD
COMUNIDAD
COMUNIDAD
COMUNIDAD
COMUNIDAD
COMUNIDAD
COMUNIDAD
COMUNIDAD
COMUNIDAD
COMUNIDAD
COMUNIDAD
COMUNIDAD
COMUNIDAD
COMUNIDAD
COMUNIDAD
COMUNIDAD
COMUNIDAD
COMUNIDAD
COMUNIDAD
COMUNIDAD
COMUNIDAD
COMUNIDAD
COMUNIDAD
COMUNIDAD
COMUNIDAD
COMUNIDAD
COMUNIDAD
COMUNIDAD
COMUNIDAD
COMUNIDAD
COMUNIDAD
COMUNIDAD
COMUNIDAD
COMUNIDAD
COMUNIDAD
COMUNIDAD
COMUNIDAD
COMUNIDAD
COMUNIDAD
COMUNIDAD
COMUNIDAD
COMUNIDAD
COMUNIDAD
COMUNIDAD
COMUNIDAD
COMUNIDAD
COMUNIDAD
COMUNIDAD
COMUNIDAD
COMUNIDAD
COMUNIDAD
COMUNIDAD
COMUNIDAD
COMUNIDAD
COMUNIDAD
COMUNIDAD
COMUNIDAD
COMUNIDAD
COMUNIDAD
COMUNIDAD
COMUNIDAD
COMUNIDAD
COMUNIDAD
COMUNIDAD
COMUNIDAD
COMUNIDAD
COMUNIDAD
COMUNIDAD
COMUNIDAD
COMUNIDAD
COMUNIDAD
COMUNIDAD
COMUNIDAD
COMUNIDAD
COMUNIDAD
COMUNIDAD
COMUNIDAD
COMUNIDAD
COMUNIDAD
COMUNIDAD
COMUNIDAD
COMUNIDAD
COMUNIDAD
COMUNIDAD
COMUNIDAD
COMUNIDAD
COMUNIDAD
COMUNIDAD
COMUNIDAD
COMUNIDAD
COMUNIDAD
COMUNIDAD
COMUNIDAD
COMUNIDAD
COMUNIDAD
COMUNIDAD
COMUNIDAD
COMUNIDAD
COMUNIDAD
COMUNIDAD
COMUNIDAD
COMUNIDAD
COMUNIDAD
COMUNIDAD
COMUNIDAD
COMUNIDAD
COMUNIDAD
COMUNIDAD
COMUNIDAD
COMUNIDAD
COMUNIDAD
COMUNIDAD
COMUNIDAD
COMUNIDAD
COMUNIDAD
COMUNIDAD
COMUNIDAD
COMUNIDAD
COMUNIDAD
COMUNIDAD
COMUNIDAD
COMUNIDAD
COMUNIDAD
COMUNIDAD
COMUNIDAD
COMUNIDAD
COMUNIDAD
COMUNIDAD
COMUNIDAD
COMUNIDAD
COMUNIDAD
COMUNIDAD
COMUNIDAD
COMUNIDAD
COMUNIDAD
COMUNIDAD
COMUNIDAD
COMUNIDAD
COMUNIDAD
COMUNIDAD
COMUNIDAD
COMUNIDAD
COMUNIDAD
COMUNIDAD
COMUNIDAD
COMUNIDAD
COMUNIDAD
COMUNIDAD
COMUNIDAD
COMUNIDAD
COMUNIDAD
COMUNIDAD
COMUNIDAD
COMUNIDAD
COMUNIDAD
COMUNIDAD
COMUNIDAD
COMUNIDAD
COMUNIDAD
COMUNIDAD
COMUNIDAD
COMUNIDAD
COMUNIDAD
COMUNIDAD
COMUNIDAD
COMUNIDAD
COMUNIDAD
COMUNIDAD
COMUNIDAD
COMUNIDAD
COMUNIDAD
COMUNIDAD
COMUNIDAD
COMUNIDAD
COMUNIDAD
COMUNIDAD
COMUNIDAD
COMUNIDAD
COMUNIDAD
COMUNIDAD
COMUNIDAD
COMUNIDAD
COMUNIDAD
COMUNIDAD
COMUNIDAD
COMUNIDAD
COMUNIDAD
COMUNIDAD
COMUNIDAD
COMUNIDAD
COMUNIDAD
COMUNIDAD
COMUNIDAD
COMUNIDAD
COMUNIDAD
COMUNIDAD
COMUNIDAD
COMUNIDAD
COMUNIDAD
COMUNIDAD
COMUNIDAD
COMUNIDAD
COMUNIDAD
COMUNIDAD
COMUNIDAD
COMUNIDAD
COMUNIDAD
COMUNIDAD
COMUNIDAD
COMUNIDAD
COMUNIDAD
COMUNIDAD
COMUNIDAD
COMUNIDAD
COMUNIDAD
COMUNIDAD
COMUNIDAD
COMUNIDAD
COMUNIDAD
COMUNIDAD
COMUNIDAD
COMUNIDAD
COMUNIDAD
COMUNIDAD
COMUNIDAD
COMUNIDAD
COMUNIDAD
COMUNIDAD
COMUNIDAD
COMUNIDAD
COMUNIDAD
COMUNIDAD
COMUNIDAD
COMUNIDAD
COMUNIDAD
COMUNIDAD
COMUNIDAD
COMUNIDAD
COMUNIDAD
COMUNIDAD
COMUNIDAD
COMUNIDAD
COMUNIDAD
COMUNIDAD
COMUNIDAD
COMUNIDAD
COMUNIDAD
COMUNIDAD
COMUNIDAD
COMUNIDAD
COMUNIDAD
COMUNIDAD
COMUNIDAD
COMUNIDAD
COMUNIDAD
COMUNIDAD
COMUNIDAD
COMUNIDAD
COMUNIDAD
COMUNIDAD
COMUNIDAD
COMUNIDAD
COMUNIDAD
COMUNIDAD
COMUNIDAD
COMUNIDAD
COMUNIDAD
COMUNIDAD
COMUNIDAD
COMUNIDAD
COMUNIDAD
COMUNIDAD
COMUNIDAD
COMUNIDAD
COMUNIDAD
COMUNIDAD
COMUNIDAD
COMUNIDAD
COMUNIDAD
COMUNIDAD
COMUNIDAD
COMUNIDAD
COMUNIDAD
COMUNIDAD
COMUNIDAD
COMUNIDAD
COMUNIDAD
COMUNIDAD
COMUNIDAD
COMUNIDAD
COMUNIDAD
COMUNIDAD
COMUNIDAD
COMUNIDAD
COMUNIDAD
COMUNIDAD
COMUNIDAD
COMUNIDAD
COMUNIDAD
COMUNIDAD
COMUNIDAD
COMUNIDAD
COMUNIDAD
COMUNIDAD
COMUNIDAD
COMUNIDAD
COMUNIDAD
COMUNIDAD
COMUNIDAD
COMUNIDAD
COMUNIDAD
COMUNIDAD
COMUNIDAD
COMUNIDAD
COMUNIDAD
COMUNIDAD
COMUNIDAD
COMUNIDAD
COMUNIDAD
COMUNIDAD
COMUNIDAD
COMUNIDAD
COMUNIDAD
COMUNIDAD
COMUNIDAD
COMUNIDAD
COMUNIDAD
COMUNIDAD
COMUNIDAD
COMUNIDAD
COMUNIDAD
COMUNIDAD
COMUNIDAD
COMUNIDAD
COMUNIDAD
COMUNIDAD
COMUNIDAD
COMUNIDAD
COMUNIDAD
COMUNIDAD
COMUNIDAD
COMUNIDAD
COMUNIDAD
COMUNIDAD
COMUNIDAD
COMUNIDAD
COMUNIDAD
COMUNIDAD
COMUNIDAD
COMUNIDAD
COMUNIDAD
COMUNIDAD
COMUNIDAD
COMUNIDAD
COMUNIDAD
COMUNIDAD
COMUNIDAD
COMUNIDAD
COMUNIDAD
COMUNIDAD
COMUNIDAD
COMUNIDAD
COMUNIDAD
COMUNIDAD
COMUNIDAD
COMUNIDAD
COMUNIDAD
COMUNIDAD
COMUNIDAD
COMUNIDAD
COMUNIDAD
COMUNIDAD
COMUNIDAD
COMUNIDAD
COMUNIDAD
COMUNIDAD
COMUNIDAD
COMUNIDAD
COMUNIDAD
COMUNIDAD
COMUNIDAD
COMUNIDAD
COMUNIDAD
COMUNIDAD
COMUNIDAD
COMUNIDAD
COMUNIDAD
COMUNIDAD
COMUNIDAD
COMUNIDAD
COMUNIDAD
COMUNIDAD
COMUNIDAD
COMUNIDAD
COMUNIDAD
COMUNIDAD
COMUNIDAD
COMUNIDAD
COMUNIDAD
COMUNIDAD
COMUNIDAD
COMUNIDAD
COMUNIDAD
COMUNIDAD
COMUNIDAD
COMUNIDAD
COMUNIDAD
COMUNIDAD
COMUNIDAD
COMUNIDAD
COMUNIDAD
COMUNIDAD
COMUNIDAD
COMUNIDAD
COMUNIDAD
COMUNIDAD
COMUNIDAD
COMUNIDAD
COMUNIDAD
COMUNIDAD
COMUNIDAD
COMUNIDAD
COMUNIDAD
COMUNIDAD
COMUNIDAD
COMUNIDAD
COMUNIDAD
COMUNIDAD
COMUNIDAD
COMUNIDAD
COMUNIDAD
COMUNIDAD
COMUNIDAD
COMUNIDAD
COMUNIDAD
COMUNIDAD
COMUNIDAD
COMUNIDAD
COMUNIDAD
COMUNIDAD
COMUNIDAD
COMUNIDAD
COMUNIDAD
COMUNIDAD
COMUNIDAD
COMUNIDAD
COMUNIDAD
COMUNIDAD
COMUNIDAD
COMUNIDAD
COMUNIDAD
COMUNIDAD
COMUNIDAD
COMUNIDAD
COMUNIDAD
COMUNIDAD
COMUNIDAD
COMUNIDAD
COMUNIDAD
COMUNIDAD
COMUNIDAD
COMUNIDAD
COMUNIDAD
COMUNIDAD
COMUNIDAD
COMUNIDAD
COMUNIDAD
COMUNIDAD
COMUNIDAD
COMUNIDAD
COMUNIDAD
COMUNIDAD
COMUNIDAD
COMUNIDAD
COMUNIDAD
COMUNIDAD
COMUNIDAD
COMUNIDAD
COMUNIDAD
COMUNIDAD
COMUNIDAD
COMUNIDAD
COMUNIDAD
COMUNIDAD
COMUNIDAD
COMUNIDAD
COMUNIDAD
COMUNIDAD
COMUNIDAD
COMUNIDAD
COMUNIDAD
COMUNIDAD
COMUNIDAD
COMUNIDAD
COMUNIDAD
COMUNIDAD
COMUNIDAD
COMUNIDAD
COMUNIDAD
COMUNIDAD
COMUNIDAD
COMUNIDAD
COMUNIDAD
COMUNIDAD
COMUNIDAD
COMUNIDAD
COMUNIDAD
COMUNIDAD
COMUNIDAD
COMUNIDAD
COMUNIDAD
COMUNIDAD
COMUNIDAD
COMUNIDAD
COMUNIDAD
COMUNIDAD
COMUNIDAD
COMUNIDAD
COMUNIDAD
COMUNIDAD
COMUNIDAD
COMUNIDAD
COMUNIDAD
COMUNIDAD
COMUNIDAD
COMUNIDAD
COMUNIDAD
COMUNIDAD
COMUNIDAD
COMUNIDAD
COMUNIDAD
COMUNIDAD
COMUNIDAD
COMUNIDAD
COMUNIDAD
COMUNIDAD
COMUNIDAD
COMUNIDAD
COMUNIDAD
COMUNIDAD
COMUNIDAD
COMUNIDAD
COMUNIDAD
COMUNIDAD
COMUNIDAD
COMUNIDAD
COMUNIDAD
COMUNIDAD
COMUNIDAD
COMUNIDAD
COMUNIDAD
COMUNIDAD
COMUNIDAD
COMUNIDAD
COMUNIDAD
COMUNIDAD
COMUNIDAD
COMUNIDAD
COMUNIDAD
COMUNIDAD
COMUNIDAD
COMUNIDAD
COMUNIDAD
COMUNIDAD
COMUNIDAD
COMUNIDAD
COMUNIDAD
COMUNIDAD
COMUNIDAD
COMUNIDAD
COMUNIDAD
COMUNIDAD
COMUNIDAD
COMUNIDAD
COMUNIDAD
COMUNIDAD
COMUNIDAD
COMUNIDAD
COMUNIDAD
COMUNIDAD
COMUNIDAD
COMUNIDAD
COMUNIDAD
COMUNIDAD
COMUNIDAD
COMUNIDAD
COMUNIDAD
COMUNIDAD
COMUNIDAD
COMUNIDAD
COMUNIDAD
COMUNIDAD
COMUNIDAD
COMUNIDAD
COMUNIDAD
COMUNIDAD
COMUNIDAD
COMUNIDAD
COMUNIDAD
COMUNIDAD
COMUNIDAD
COMUNIDAD
COMUNIDAD
COMUNIDAD
COMUNIDAD
COMUNIDAD
COMUNIDAD
COMUNIDAD
COMUNIDAD
COMUNIDAD
COMUNIDAD
COMUNIDAD
COMUNIDAD
COMUNIDAD
COMUNIDAD
COMUNIDAD
COMUNIDAD
COMUNIDAD
COMUNIDAD
COMUNIDAD
COMUNIDAD
COMUNIDAD
COMUNIDAD
COMUNIDAD
COMUNIDAD
COMUNIDAD
COMUNIDAD
COMUNIDAD
COMUNIDAD
COMUNIDAD
COMUNIDAD
COMUNIDAD
COMUNIDAD
COMUNIDAD
COMUNIDAD
COMUNIDAD
COMUNIDAD
COMUNIDAD
COMUNIDAD
COMUNIDAD
COMUNIDAD
COMUNIDAD
COMUNIDAD
COMUNIDAD
COMUNIDAD
COMUNIDAD
COMUNIDAD
COMUNIDAD
COMUNIDAD
COMUNIDAD
COMUNIDAD
COMUNIDAD
COMUNIDAD
COMUNIDAD
COMUNIDAD
COMUNIDAD
COMUNIDAD
COMUNIDAD
COMUNIDAD
COMUNIDAD
COMUNIDAD
COMUNIDAD
COMUNIDAD
COMUNIDAD
COMUNIDAD
COMUNIDAD
COMUNIDAD
COMUNIDAD
COMUNIDAD
COMUNIDAD
COMUNIDAD
COMUNIDAD
COMUNIDAD
COMUNIDAD
COMUNIDAD
COMUNIDAD
COMUNIDAD
COMUNIDAD
COMUNIDAD
COMUNIDAD
COMUNIDAD
COMUNIDAD
COMUNIDAD
COMUNIDAD
COMUNIDAD
COMUNIDAD
COMUNIDAD
COMUNIDAD
COMUNIDAD
COMUNIDAD
COMUNIDAD
COMUNIDAD
COMUNIDAD
COMUNIDAD
COMUNIDAD
COMUNIDAD
COMUNIDAD
COMUNIDAD
COMUNIDAD
COMUNIDAD
COMUNIDAD
COMUNIDAD
COMUNIDAD
COMUNIDAD
COMUNIDAD
COMUNIDAD
COMUNIDAD
COMUNIDAD
COMUNIDAD
COMUNIDAD
COMUNIDAD
COMUNIDAD
COMUNIDAD
COMUNIDAD
COMUNIDAD
COMUNIDAD
COMUNIDAD
COMUNIDAD
COMUNIDAD
COMUNIDAD
COMUNIDAD
COMUNIDAD
COMUNIDAD
COMUNIDAD
COMUNIDAD
COMUNIDAD
COMUNIDAD
COMUNIDAD
COMUNIDAD
COMUNIDAD
COMUNIDAD
COMUNIDAD
COMUNIDAD
COMUNIDAD
COMUNIDAD
COMUNIDAD
COMUNIDAD
COMUNIDAD
COMUNIDAD
COMUNIDAD
COMUNIDAD
COMUNIDAD
COMUNIDAD
COMUNIDAD
COMUNIDAD
COMUNIDAD
COMUNIDAD
COMUNIDAD
COMUNIDAD
COMUNIDAD
COMUNIDAD
COMUNIDAD
COMUNIDAD
COMUNIDAD
COMUNIDAD
COMUNIDAD
COMUNIDAD
COMUNIDAD
COMUNIDAD
COMUNIDAD
COMUNIDAD
COMUNIDAD
COMUNIDAD
COMUNIDAD
COMUNIDAD
COMUNIDAD
COMUNIDAD
COMUNIDAD
COMUNIDAD
COMUNIDAD
COMUNIDAD
COMUNIDAD
COMUNIDAD
COMUNIDAD
COMUNIDAD
COMUNIDAD
COMUNIDAD
COMUNIDAD
COMUNIDAD
COMUNIDAD
COMUNIDAD
COMUNIDAD
COMUNIDAD
COMUNIDAD
COMUNIDAD
COMUNIDAD
COMUNIDAD
COMUNIDAD
COMUNIDAD
COMUNIDAD
COMUNIDAD
COMUNIDAD
COMUNIDAD
COMUNIDAD
COMUNIDAD
COMUNIDAD
COMUNIDAD
COMUNIDAD
COMUNIDAD
COMUNIDAD
COMUNIDAD
COMUNIDAD
COMUNIDAD
COMUNIDAD
COMUNIDAD
COMUNIDAD
COMUNIDAD
COMUNIDAD
COMUNIDAD
COMUNIDAD
COMUNIDAD
COMUNIDAD
COMUNIDAD
COMUNIDAD
COMUNIDAD
COMUNIDAD
COMUNIDAD
COMUNIDAD
COMUNIDAD
COMUNIDAD
COMUNIDAD
COMUNIDAD
COMUNIDAD
COMUNIDAD
COMUNIDAD
COMUNIDAD
COMUNIDAD
COMUNIDAD
COMUNIDAD
COMUNIDAD
COMUNIDAD
COMUNIDAD
COMUNIDAD
COMUNIDAD
COMUNIDAD
COMUNIDAD
COMUNIDAD
COMUNIDAD
COMUNIDAD
COMUNIDAD
COMUNIDAD
COMUNIDAD
COMUNIDAD
COMUNIDAD
COMUNIDAD
COMUNIDAD
COMUNIDAD
COMUNIDAD
COMUNIDAD
COMUNIDAD
COMUNIDAD
COMUNIDAD
COMUNIDAD
COMUNIDAD
COMUNIDAD
COMUNIDAD
COMUNIDAD
COMUNIDAD
COMUNIDAD
COMUNIDAD
COMUNIDAD
COMUNIDAD
COMUNIDAD
COMUNIDAD
COMUNIDAD
COMUNIDAD
COMUNIDAD
COMUNIDAD
COMUNIDAD
COMUNIDAD
COMUNIDAD
COMUNIDAD
COMUNIDAD
COMUNIDAD
COMUNIDAD
COMUNIDAD
COMUNIDAD
COMUNIDAD
COMUNIDAD
COMUNIDAD
COMUNIDAD
COMUNIDAD
COMUNIDAD
COMUNIDAD
COMUNIDAD
COMUNIDAD
COMUNIDAD
COMUNIDAD
COMUNIDAD
COMUNIDAD
COMUNIDAD
COMUNIDAD
COMUNIDAD
COMUNIDAD
COMUNIDAD
COMUNIDAD
COMUNIDAD
COMUNIDAD
COMUNIDAD
COMUNIDAD
COMUNIDAD
COMUNIDAD
COMUNIDAD
COMUNIDAD
COMUNIDAD
COMUNIDAD
COMUNIDAD
COMUNIDAD
COMUNIDAD
COMUNIDAD
COMUNIDAD
COMUNIDAD
COMUNIDAD
COMUNIDAD
COMUNIDAD
COMUNIDAD
COMUNIDAD
COMUNIDAD
COMUNIDAD
COMUNIDAD
COMUNIDAD
COMUNIDAD
COMUNIDAD
COMUNIDAD
COMUNIDAD
COMUNIDAD
COMUNIDAD
COMUNIDAD
COMUNIDAD
COMUNIDAD
COMUNIDAD
COMUNIDAD
COMUNIDAD
COMUNIDAD
COMUNIDAD
COMUNIDAD
COMUNIDAD
COMUNIDAD
COMUNIDAD
COMUNIDAD
COMUNIDAD
COMUNIDAD
COMUNIDAD
COMUNIDAD
COMUNIDAD
COMUNIDAD
COMUNIDAD
COMUNIDAD
COMUNIDAD
COMUNIDAD
COMUNIDAD
COMUNIDAD
COMUNIDAD
COMUNIDAD
COMUNIDAD
COMUNIDAD
COMUNIDAD
COMUNIDAD
COMUNIDAD
COMUNIDAD
COMUNIDAD
COMUNIDAD
COMUNIDAD
COMUNIDAD
COMUNIDAD
COMUNIDAD
COMUNIDAD
COMUNIDAD
COMUNIDAD
COMUNIDAD
COMUNIDAD
COMUNIDAD
COMUNIDAD
COMUNIDAD
COMUNIDAD
COMUNIDAD
COMUNIDAD
COMUNIDAD
COMUNIDAD
COMUNIDAD
COMUNIDAD
COMUNIDAD
COMUNIDAD
COMUNIDAD
COMUNIDAD
COMUNIDAD
COMUNIDAD
COMUNIDAD
COMUNIDAD
COMUNIDAD
COMUNIDAD
COMUNIDAD
COMUNIDAD
COMUNIDAD
COMUNIDAD
COMUNIDAD
COMUNIDAD
COMUNIDAD
COMUNIDAD
COMUNIDAD
COMUNIDAD
COMUNIDAD
COMUNIDAD
COMUNIDAD
COMUNIDAD
COMUNIDAD
COMUNIDAD
COMUNIDAD
COMUNIDAD
COMUNIDAD
COMUNIDAD
COMUNIDAD
COMUNIDAD
COMUNIDAD
COMUNIDAD
COMUNIDAD
COMUNIDAD
COMUNIDAD
COMUNIDAD
COMUNIDAD
COMUNIDAD
COMUNIDAD
COMUNIDAD
COMUNIDAD
COMUNIDAD
COMUNIDAD
COMUNIDAD
COMUNIDAD
COMUNIDAD
COMUNIDAD
COMUNIDAD
COMUNIDAD
COMUNIDAD
COMUNIDAD
COMUNIDAD
COMUNIDAD
COMUNIDAD
COMUNIDAD
COMUNIDAD
COMUNIDAD
COMUNIDAD
COMUNIDAD
COMUNIDAD
COMUNIDAD
COMUNIDAD
COMUNIDAD
COMUNIDAD
COMUNIDAD
COMUNIDAD
COMUNIDAD
COMUNIDAD
COMUNIDAD
COMUNIDAD
COMUNIDAD
COMUNIDAD
COMUNIDAD
COMUNIDAD
COMUNIDAD
COMUNIDAD
COMUNIDAD
COMUNIDAD
COMUNIDAD
COMUNIDAD
COMUNIDAD
COMUNIDAD
COMUNIDAD
COMUNIDAD
COMUNIDAD
COMUNIDAD
COMUNIDAD
COMUNIDAD
COMUNIDAD
COMUNIDAD
COMUNIDAD
COMUNIDAD
COMUNIDAD
COMUNIDAD
COMUNIDAD
COMUNIDAD
COMUNIDAD
COMUNIDAD
COMUNIDAD
COMUNIDAD
COMUNIDAD
COMUNIDAD
COMUNIDAD
COMUNIDAD
COMUNIDAD
COMUNIDAD
COMUNIDAD
COMUNIDAD
COMUNIDAD
COMUNIDAD
COMUNIDAD
COMUNIDAD
COMUNIDAD
COMUNIDAD
COMUNIDAD
COMUNIDAD
COMUNIDAD
COMUNIDAD
COMUNIDAD
COMUNIDAD
COMUNIDAD
COMUNIDAD
COMUNIDAD
COMUNIDAD
COMUNIDAD
COMUNIDAD
COMUNIDAD
COMUNIDAD
COMUNIDAD
COMUNIDAD
COMUNIDAD
COMUNIDAD
COMUNIDAD
COMUNIDAD
COMUNIDAD
COMUNIDAD
COMUNIDAD
COMUNIDAD
COMUNIDAD
COMUNIDAD
COMUNIDAD
COMUNIDAD
COMUNIDAD
COMUNIDAD
COMUNIDAD
COMUNIDAD
COMUNIDAD
COMUNIDAD
COMUNIDAD
COMUNIDAD
COMUNIDAD
COMUNIDAD
COMUNIDAD
COMUNIDAD
COMUNIDAD
COMUNIDAD
COMUNIDAD
COMUNIDAD
COMUNIDAD
COMUNIDAD
COMUNIDAD
COMUNIDAD
COMUNIDAD
COMUNIDAD
COMUNIDAD
COMUNIDAD
COMUNIDAD
COMUNIDAD
COMUNIDAD
COMUNIDAD
COMUNIDAD
COMUNIDAD
COMUNIDAD
COMUNIDAD
COMUNIDAD
COMUNIDAD
COMUNIDAD
COMUNIDAD
COMUNIDAD
COMUNIDAD
COMUNIDAD
COMUNIDAD
COMUNIDAD
COMUNIDAD
COMUNIDAD
COMUNIDAD
COMUNIDAD
COMUNIDAD
COMUNIDAD
COMUNIDAD
COMUNIDAD
COMUNIDAD
COMUNIDAD
COMUNIDAD
COMUNIDAD
COMUNIDAD
COMUNIDAD
COMUNIDAD
COMUNIDAD
COMUNIDAD
COMUNIDAD
COMUNIDAD
COMUNIDAD
COMUNIDAD
COMUNIDAD
COMUNIDAD
COMUNIDAD
COMUNIDAD
COMUNIDAD
COMUNIDAD
COMUNIDAD
COMUNIDAD
COMUNIDAD
COMUNIDAD
COMUNIDAD
COMUNIDAD
COMUNIDAD
COMUNIDAD
COMUNIDAD
COMUNIDAD
COMUNIDAD
COMUNIDAD
COMUNIDAD
COMUNIDAD
COMUNIDAD
COMUNIDAD
COMUNIDAD
COMUNIDAD
COMUNIDAD
COMUNIDAD
COMUNIDAD
COMUNIDAD
COMUNIDAD
COMUNIDAD
COMUNIDAD
COMUNIDAD
COMUNIDAD
COMUNIDAD
COMUNIDAD
COMUNIDAD
COMUNIDAD
COMUNIDAD
COMUNIDAD
COMUNIDAD
COMUNIDAD
COMUNIDAD
COMUNIDAD
COMUNIDAD
COMUNIDAD
COMUNIDAD
COMUNIDAD
COMUNIDAD
COMUNIDAD
COMUNIDAD
COMUNIDAD
COMUNIDAD
COMUNIDAD
COMUNIDAD
COMUNIDAD
COMUNIDAD
COMUNIDAD
COMUNIDAD
COMUNIDAD
COMUNIDAD
COMUNIDAD
COMUNIDAD
COMUNIDAD
COMUNIDAD
COMUNIDAD
COMUNIDAD
COMUNIDAD
COMUNIDAD
COMUNIDAD
COMUNIDAD
COMUNIDAD
COMUNIDAD
COMUNIDAD
COMUNIDAD
COMUNIDAD
COMUNIDAD
COMUNIDAD
COMUNIDAD
COMUNIDAD
COMUNIDAD
COMUNIDAD
COMUNIDAD
COMUNIDAD
COMUNIDAD
COMUNIDAD
COMUNIDAD
COMUNIDAD
COMUNIDAD
COMUNIDAD
COMUNIDAD
COMUNIDAD
COMUNIDAD
COMUNIDAD
COMUNIDAD
COMUNIDAD
COMUNIDAD
COMUNIDAD
COMUNIDAD
COMUNIDAD
COMUNIDAD
COMUNIDAD
COMUNIDAD
COMUNIDAD
COMUNIDAD
COMUNIDAD
COMUNIDAD
COMUNIDAD
COMUNIDAD
COMUNIDAD
COMUNIDAD
COMUNIDAD
COMUNIDAD
COMUNIDAD
COMUNIDAD
COMUNIDAD
COMUNIDAD
COMUNIDAD
COMUNIDAD
COMUNIDAD
COMUNIDAD
COMUNIDAD
COMUNIDAD
COMUNIDAD
COMUNIDAD
COMUNIDAD
COMUNIDAD
COMUNIDAD
COMUNIDAD
COMUNIDAD
COMUNIDAD
COMUNIDAD
COMUNIDAD
COMUNIDAD
COMUNIDAD
COMUNIDAD
COMUNIDAD
COMUNIDAD
COMUNIDAD
COMUNIDAD
COMUNIDAD
COMUNIDAD
COMUNIDAD
COMUNIDAD
COMUNIDAD
COMUNIDAD
COMUNIDAD
COMUNIDAD
COMUNIDAD
COMUNIDAD
COMUNIDAD
COMUNIDAD
COMUNIDAD
COMUNIDAD
COMUNIDAD
COMUNIDAD
COMUNIDAD
COMUNIDAD
COMUNIDAD
COMUNIDAD
COMUNIDAD
COMUNIDAD
COMUNIDAD
COMUNIDAD
COMUNIDAD
COMUNIDAD
COMUNIDAD
COMUNIDAD
COMUNIDAD
COMUNIDAD
COMUNIDAD
COMUNIDAD
COMUNIDAD
COMUNIDAD
COMUNIDAD
COMUNIDAD
COMUNIDAD
COMUNIDAD
COMUNIDAD
COMUNIDAD
COMUNIDAD
COMUNIDAD
COMUNIDAD
COMUNIDAD
COMUNIDAD
COMUNIDAD
COMUNIDAD
COMUNIDAD
COMUNIDAD
COMUNIDAD
COMUNIDAD
COMUNIDAD
COMUNIDAD
COMUNIDAD
COMUNIDAD
COMUNIDAD
COMUNIDAD
COMUNIDAD
COMUNIDAD
COMUNIDAD
COMUNIDAD
COMUNIDAD
COMUNIDAD
COMUNIDAD
COMUNIDAD
COMUNIDAD
COMUNIDAD
COMUNIDAD
COMUNIDAD
COMUNIDAD
COMUNIDAD
COMUNIDAD
COMUNIDAD
COMUNIDAD
COMUNIDAD
COMUNIDAD
COMUNIDAD
COMUNIDAD
COMUNIDAD
COMUNIDAD
COMUNIDAD
COMUNIDAD
COMUNIDAD
COMUNIDAD
COMUNIDAD
COMUNIDAD
COMUNIDAD
COMUNIDAD
COMUNIDAD
COMUNIDAD
COMUNIDAD
COMUNIDAD
COMUNIDAD
COMUNIDAD
COMUNIDAD
COMUNIDAD
COMUNIDAD
COMUNIDAD
COMUNIDAD
COMUNIDAD
COMUNIDAD
COMUNIDAD
COMUNIDAD
COMUNIDAD
COMUNIDAD
COMUNIDAD
COMUNIDAD
COMUNIDAD
COMUNIDAD
COMUNIDAD
COMUNIDAD
COMUNIDAD
COMUNIDAD
COMUNIDAD
COMUNIDAD
COMUNIDAD
COMUNIDAD
COMUNIDAD
COMUNIDAD
COMUNIDAD
COMUNIDAD
COMUNIDAD
COMUNIDAD
COMUNIDAD
COMUNIDAD
COMUNIDAD
COMUNIDAD
COMUNIDAD
COMUNIDAD
COMUNIDAD
COMUNIDAD
COMUNIDAD
COMUNIDAD
COMUNIDAD
COMUNIDAD
COMUNIDAD
COMUNIDAD
COMUNIDAD
COMUNIDAD
COMUNIDAD
COMUNIDAD
COMUNIDAD
COMUNIDAD
COMUNIDAD
COMUNIDAD
COMUNIDAD
COMUNIDAD
COMUNIDAD
COMUNIDAD
COMUNIDAD
COMUNIDAD
COMUNIDAD
COMUNIDAD
COMUNIDAD
COMUNIDAD
COMUNIDAD
COMUNIDAD
COMUNIDAD
COMUNIDAD
COMUNIDAD
COMUNIDAD
COMUNIDAD
COMUNIDAD
COMUNIDAD
COMUNIDAD
COMUNIDAD
COMUNIDAD
COMUNIDAD
COMUNIDAD
COMUNIDAD
COMUNIDAD
COMUNIDAD
COMUNIDAD
COMUNIDAD
COMUNIDAD
COMUNIDAD
COMUNIDAD
COMUNIDAD
COMUNIDAD
COMUNIDAD
COMUNIDAD
COMUNIDAD
COMUNIDAD
COMUNIDAD
COMUNIDAD
COMUNIDAD
COMUNIDAD
COMUNIDAD
COMUNIDAD
COMUNIDAD
COMUNIDAD
COMUNIDAD
COMUNIDAD
COMUNIDAD
COMUNIDAD
COMUNIDAD
COMUNIDAD
COMUNIDAD
COMUNIDAD
COMUNIDAD
COMUNIDAD
COMUNIDAD
COMUNIDAD
COMUNIDAD
COMUNIDAD
COMUNIDAD
COMUNIDAD
COMUNIDAD
COMUNIDAD
COMUNIDAD
COMUNIDAD
COMUNIDAD
COMUNIDAD
COMUNIDAD
COMUNIDAD
COMUNIDAD
COMUNIDAD
COMUNIDAD
COMUNIDAD
COMUNIDAD
COMUNIDAD
COMUNIDAD
COMUNIDAD
COMUNIDAD
COMUNIDAD
COMUNIDAD
COMUNIDAD
COMUNIDAD
COMUNIDAD
COMUNIDAD
COMUNIDAD
COMUNIDAD
COMUNIDAD
COMUNIDAD
COMUNIDAD
COMUNIDAD
COMUNIDAD
COMUNIDAD
COMUNIDAD
COMUNIDAD
COMUNIDAD
COMUNIDAD
COMUNIDAD
COMUNIDAD
COMUNIDAD
COMUNIDAD
COMUNIDAD
COMUNIDAD
COMUNIDAD
COMUNIDAD
COMUNIDAD
COMUNIDAD
COMUNIDAD
COMUNIDAD
COMUNIDAD
COMUNIDAD
COMUNIDAD
COMUNIDAD
COMUNIDAD
COMUNIDAD
COMUNIDAD
COMUNIDAD
COMUNIDAD
COMUNIDAD
COMUNIDAD
COMUNIDAD
COMUNIDAD
COMUNIDAD
COMUNIDAD
COMUNIDAD
COMUNIDAD
COMUNIDAD
COMUNIDAD
COMUNIDAD
COMUNIDAD
COMUNIDAD
COMUNIDAD
COMUNIDAD
COMUNIDAD
COMUNIDAD
COMUNIDAD
COMUNIDAD
COMUNIDAD
COMUNIDAD
COMUNIDAD
COMUNIDAD
COMUNIDAD
COMUNIDAD
COMUNIDAD
COMUNIDAD
COMUNIDAD
COMUNIDAD
COMUNIDAD
COMUNIDAD
COMUNIDAD
COMUNIDAD
COMUNIDAD
COMUNIDAD
COMUNIDAD
COMUNIDAD
COMUNIDAD
COMUNIDAD
COMUNIDAD
COMUNIDAD
COMUNIDAD
COMUNIDAD
COMUNIDAD
COMUNIDAD
COMUNIDAD
COMUNIDAD
COMUNIDAD
COMUNIDAD
COMUNIDAD
COMUNIDAD
COMUNIDAD
COMUNIDAD
COMUNIDAD
COMUNIDAD
COMUNIDAD
COMUNIDAD
COMUNIDAD
COMUNIDAD
COMUNIDAD
COMUNIDAD
COMUNIDAD
COMUNIDAD
COMUNIDAD
COMUNIDAD
COMUNIDAD
COMUNIDAD
COMUNIDAD
COMUNIDAD
COMUNIDAD
COMUNIDAD
COMUNIDAD
COMUNIDAD
COMUNIDAD
COMUNIDAD
COMUNIDAD
COMUNIDAD
COMUNIDAD
COMUNIDAD
COMUNIDAD
COMUNIDAD
COMUNIDAD
COMUNIDAD
COMUNIDAD
COMUNIDAD
COMUNIDAD
COMUNIDAD
COMUNIDAD
COMUNIDAD
COMUNIDAD
COMUNIDAD
COMUNIDAD
COMUNIDAD
COMUNIDAD
COMUNIDAD
COMUNIDAD
COMUNIDAD
COMUNIDAD
COMUNIDAD
COMUNIDAD
COMUNIDAD
COMUNIDAD
COMUNIDAD
COMUNIDAD
COMUNIDAD
COMUNIDAD
COMUNIDAD
COMUNIDAD
COMUNIDAD
COMUNIDAD
COMUNIDAD
COMUNIDAD
COMUNIDAD
COMUNIDAD
COMUNIDAD
COMUNIDAD
COMUNIDAD
COMUNIDAD
COMUNIDAD
COMUNIDAD
COMUNIDAD
COMUNIDAD
COMUNIDAD
COMUNIDAD
COMUNIDAD
COMUNIDAD
COMUNIDAD
COMUNIDAD
COMUNIDAD
COMUNIDAD
COMUNIDAD
COMUNIDAD
COMUNIDAD
COMUNIDAD
COMUNIDAD
COMUNIDAD
COMUNIDAD
COMUNIDAD
COMUNIDAD
COMUNIDAD
COMUNIDAD
COMUNIDAD
COMUNIDAD
COMUNIDAD
COMUNIDAD
COMUNIDAD
COMUNIDAD
COMUNIDAD
COMUNIDAD
COMUNIDAD
COMUNIDAD
COMUNIDAD
COMUNIDAD
COMUNIDAD
COMUNIDAD
COMUNIDAD
COMUNIDAD
COMUNIDAD
COMUNIDAD
COMUNIDAD
COMUNIDAD
COMUNIDAD
COMUNIDAD
COMUNIDAD
COMUNIDAD
COMUNIDAD
COMUNIDAD
COMUNIDAD
COMUNIDAD
COMUNIDAD
COMUNIDAD
COMUNIDAD
COMUNIDAD
COMUNIDAD
COMUNIDAD
COMUNIDAD
COMUNIDAD
COMUNIDAD
COMUNIDAD
COMUNIDAD
COMUNIDAD
COMUNIDAD
COMUNIDAD
COMUNIDAD
COMUNIDAD
COMUNIDAD
COMUNIDAD
COMUNIDAD
COMUNIDAD
COMUNIDAD
COMUNIDAD
COMUNIDAD
COMUNIDAD
COMUNIDAD
COMUNIDAD
COMUNIDAD
COMUNIDAD
COMUNIDAD
COMUNIDAD
COMUNIDAD
COMUNIDAD
COMUNIDAD
COMUNIDAD
COMUNIDAD
COMUNIDAD
COMUNIDAD
COMUNIDAD
COMUNIDAD
COMUNIDAD
COMUNIDAD
COMUNIDAD
COMUNIDAD
COMUNIDAD
COMUNIDAD
COMUNIDAD
COMUNIDAD
COMUNIDAD
COMUNIDAD
COMUNIDAD
COMUNIDAD
COMUNIDAD
COMUNIDAD
COMUNIDAD
COMUNIDAD
COMUNIDAD
COMUNIDAD
COMUNIDAD
COMUNIDAD
COMUNIDAD
COMUNIDAD
COMUNIDAD
COMUNIDAD
COMUNIDAD
COMUNIDAD
COMUNIDAD
COMUNIDAD
COMUNIDAD
COMUNIDAD
COMUNIDAD
COMUNIDAD
COMUNIDAD
COMUNIDAD
COMUNIDAD
COMUNIDAD
COMUNIDAD
COMUNIDAD
COMUNIDAD
COMUNIDAD
COMUNIDAD
COMUNIDAD
COMUNIDAD
COMUNIDAD
COMUNIDAD
COMUNIDAD
COMUNIDAD
COMUNIDAD
COMUNIDAD
COMUNIDAD
COMUNIDAD
COMUNIDAD
COMUNIDAD
COMUNIDAD
COMUNIDAD
COMUNIDAD
COMUNIDAD
COMUNIDAD
COMUNIDAD
COMUNIDAD
COMUNIDAD
COMUNIDAD
COMUNIDAD
COMUNIDAD
COMUNIDAD
COMUNIDAD
COMUNIDAD
COMUNIDAD
COMUNIDAD
COMUNIDAD
COMUNIDAD
COMUNIDAD
COMUNIDAD
COMUNIDAD
COMUNIDAD
COMUNIDAD
COMUNIDAD
COMUNIDAD
COMUNIDAD
COMUNIDAD
COMUNIDAD
COMUNIDAD
COMUNIDAD
COMUNIDAD
COMUNIDAD
COMUNIDAD
COMUNIDAD
COMUNIDAD
COMUNIDAD
COMUNIDAD
COMUNIDAD
COMUNIDAD
COMUNIDAD
COMUNIDAD
COMUNIDAD
COMUNIDAD
COMUNIDAD
COMUNIDAD
COMUNIDAD
COMUNIDAD
COMUNIDAD
COMUNIDAD
COMUNIDAD
COMUNIDAD
COMUNIDAD
COMUNIDAD
COMUNIDAD
COMUNIDAD
COMUNIDAD
COMUNIDAD
COMUNIDAD
COMUNIDAD
COMUNIDAD
COMUNIDAD
COMUNIDAD
COMUNIDAD
COMUNIDAD
COMUNIDAD
COMUNIDAD
COMUNIDAD
COMUNIDAD
COMUNIDAD
COMUNIDAD
COMUNIDAD
COMUNIDAD
COMUNIDAD
COMUNIDAD
COMUNIDAD
COMUNIDAD
COMUNIDAD
COMUNIDAD
COMUNIDAD
COMUNIDAD
COMUNIDAD
COMUNIDAD
COMUNIDAD
COMUNIDAD
COMUNIDAD
COMUNIDAD
COMUNIDAD
COMUNIDAD
COMUNIDAD
COMUNIDAD
COMUNIDAD
COMUNIDAD
COMUNIDAD
COMUNIDAD
COMUNIDAD
COMUNIDAD
COMUNIDAD
COMUNIDAD
COMUNIDAD
COMUNIDAD
COMUNIDAD
COMUNIDAD
COMUNIDAD
COMUNIDAD
COMUNIDAD
COMUNIDAD
COMUNIDAD
COMUNIDAD
COMUNIDAD
COMUNIDAD
COMUNIDAD
COMUNIDAD
COMUNIDAD
COMUNIDAD
COMUNIDAD
COMUNIDAD
COMUNIDAD
COMUNIDAD
COMUNIDAD
COMUNIDAD
COMUNIDAD
COMUNIDAD
COMUNIDAD
COMUNIDAD
COMUNIDAD
COMUNIDAD
COMUNIDAD
COMUNIDAD
COMUNIDAD
COMUNIDAD
COMUNIDAD
COMUNIDAD
COMUNIDAD
COMUNIDAD
COMUNIDAD
COMUNIDAD
COMUNIDAD
COMUNIDAD
COMUNIDAD
COMUNIDAD
COMUNIDAD
COMUNIDAD
COMUNIDAD
COMUNIDAD
COMUNIDAD
COMUNIDAD
COMUNIDAD
COMUNIDAD
COMUNIDAD
COMUNIDAD
COMUNIDAD
COMUNIDAD
COMUNIDAD
COMUNIDAD
COMUNIDAD
COMUNIDAD
COMUNIDAD
COMUNIDAD
COMUNIDAD
COMUNIDAD
COMUNIDAD
COMUNIDAD
COMUNIDAD
COMUNIDAD
COMUNIDAD
COMUNIDAD
COMUNIDAD
COMUNIDAD
COMUNIDAD
COMUNIDAD
COMUNIDAD
COMUNIDAD
COMUNIDAD
COMUNIDAD
COMUNIDAD
COMUNIDAD
COMUNIDAD
COMUNIDAD
COMUNIDAD
COMUNIDAD
COMUNIDAD
COMUNIDAD
COMUNIDAD
COMUNIDAD
COMUNIDAD
COMUNIDAD
COMUNIDAD
COMUNIDAD
COMUNIDAD
COMUNIDAD
COMUNIDAD
COMUNIDAD
COMUNIDAD
COMUNIDAD
COMUNIDAD
COMUNIDAD
COMUNIDAD
COMUNIDAD
COMUNIDAD
COMUNIDAD
COMUNIDAD
COMUNIDAD
COMUNIDAD
COMUNIDAD
COMUNIDAD
COMUNIDAD
COMUNIDAD
COMUNIDAD
COMUNIDAD
COMUNIDAD
COMUNIDAD
COMUNIDAD
COMUNIDAD
COMUNIDAD
COMUNIDAD
COMUNIDAD
COMUNIDAD
COMUNIDAD
COMUNIDAD
COMUNIDAD
COMUNIDAD
COMUNIDAD
COMUNIDAD
COMUNIDAD
COMUNIDAD
COMUNIDAD
COMUNIDAD
COMUNIDAD
COMUNIDAD
COMUNIDAD
COMUNIDAD
COMUNIDAD
COMUNIDAD
COMUNIDAD
COMUNIDAD
COMUNIDAD
COMUNIDAD
COMUNIDAD
COMUNIDAD
COMUNIDAD
COMUNIDAD
COMUNIDAD
COMUNIDAD
COMUNIDAD
COMUNIDAD
COMUNIDAD
COMUNIDAD
COMUNIDAD
COMUNIDAD
COMUNIDAD
COMUNIDAD
COMUNIDAD
COMUNIDAD
COMUNIDAD
COMUNIDAD
COMUNIDAD
COMUNIDAD
COMUNIDAD
COMUNIDAD
COMUNIDAD
COMUNIDAD
COMUNIDAD
COMUNIDAD
COMUNIDAD
COMUNIDAD
COMUNIDAD
COMUNIDAD
COMUNIDAD
COMUNIDAD
COMUNIDAD
COMUNIDAD
COMUNIDAD
COMUNIDAD
COMUNIDAD
COMUNIDAD
COMUNIDAD
COMUNIDAD
COMUNIDAD
COMUNIDAD
COMUNIDAD
COMUNIDAD
COMUNIDAD
COMUNIDAD
COMUNIDAD
COMUNIDAD
COMUNIDAD
COMUNIDAD
COMUNIDAD
COMUNIDAD
COMUNIDAD
COMUNIDAD
COMUNIDAD
COMUNIDAD
COMUNIDAD
COMUNIDAD
COMUNIDAD
COMUNIDAD
COMUNIDAD
COMUNIDAD
COMUNIDAD
COMUNIDAD
COMUNIDAD
COMUNIDAD
COMUNIDAD
COMUNIDAD
COMUNIDAD
COMUNIDAD
COMUNIDAD
COMUNIDAD
COMUNIDAD
COMUNIDAD
COMUNIDAD
COMUNIDAD
COMUNIDAD
COMUNIDAD
COMUNIDAD
COMUNIDAD
COMUNIDAD
COMUNIDAD
COMUNIDAD
COMUNIDAD
COMUNIDAD
COMUNIDAD
COMUNIDAD
COMUNIDAD
COMUNIDAD
COMUNIDAD
COMUNIDAD
COMUNIDAD
COMUNIDAD
COMUNIDAD
COMUNIDAD
COMUNIDAD
COMUNIDAD
COMUNIDAD
COMUNIDAD
COMUNIDAD
COMUNIDAD
COMUNIDAD
COMUNIDAD
COMUNIDAD
COMUNIDAD
COMUNIDAD
COMUNIDAD
COMUNIDAD
COMUNIDAD
COMUNIDAD
COMUNIDAD
COMUNIDAD
COMUNIDAD
COMUNIDAD
COMUNIDAD
COMUNIDAD
COMUNIDAD
COMUNIDAD
COMUNIDAD
COMUNIDAD
COMUNIDAD
COMUNIDAD
COMUNIDAD
COMUNIDAD
COMUNIDAD
COMUNIDAD
COMUNIDAD
COMUNIDAD
COMUNIDAD
COMUNIDAD
COMUNIDAD
COMUNIDAD
COMUNIDAD
COMUNIDAD
COMUNIDAD
COMUNIDAD
COMUNIDAD
COMUNIDAD
COMUNIDAD
COMUNIDAD
COMUNIDAD
COMUNIDAD
COMUNIDAD
COMUNIDAD
COMUNIDAD
COMUNIDAD
COMUNIDAD
COMUNIDAD
COMUNIDAD
COMUNIDAD
COMUNIDAD
COMUNIDAD
COMUNIDAD
COMUNIDAD
COMUNIDAD
COMUNIDAD
COMUNIDAD
COMUNIDAD
COMUNIDAD
COMUNIDAD
COMUNIDAD
COMUNIDAD
COMUNIDAD
COMUNIDAD
COMUNIDAD
COMUNIDAD
COMUNIDAD
COMUNIDAD
COMUNIDAD
COMUNIDAD
COMUNIDAD
COMUNIDAD
COMUNIDAD
COMUNIDAD
COMUNIDAD
COMUNIDAD
COMUNIDAD
COMUNIDAD
COMUNIDAD
COMUNIDAD
COMUNIDAD
COMUNIDAD
COMUNIDAD
COMUNIDAD
COMUNIDAD
COMUNIDAD
COMUNIDAD
COMUNIDAD
COMUNIDAD
COMUNIDAD
COMUNIDAD
COMUNIDAD
COMUNIDAD
COMUNIDAD
COMUNIDAD
COMUNIDAD
COMUNIDAD
COMUNIDAD
COMUNIDAD
COMUNIDAD
COMUNIDAD
COMUNIDAD
COMUNIDAD
COMUNIDAD
COMUNIDAD
COMUNIDAD
COMUNIDAD
COMUNIDAD
COMUNIDAD
COMUNIDAD
COMUNIDAD
COMUNIDAD
COMUNIDAD
COMUNIDAD
COMUNIDAD
COMUNIDAD
COMUNIDAD
COMUNIDAD
COMUNIDAD
COMUNIDAD
COMUNIDAD
COMUNIDAD
COMUNIDAD
COMUNIDAD
COMUNIDAD
COMUNIDAD
COMUNIDAD
COMUNIDAD
COMUNIDAD
COMUNIDAD
COMUNIDAD
COMUNIDAD
COMUNIDAD
COMUNIDAD
COMUNIDAD
COMUNIDAD
COMUNIDAD
COMUNIDAD
COMUNIDAD
COMUNIDAD
COMUNIDAD
COMUNIDAD
COMUNIDAD
COMUNIDAD
COMUNIDAD
COMUNIDAD
COMUNIDAD
COMUNIDAD
COMUNIDAD
COMUNIDAD
COMUNIDAD
COMUNIDAD
COMUNIDAD
COMUNIDAD
COMUNIDAD
COMUNIDAD
COMUNIDAD
COMUNIDAD
COMUNIDAD
COMUNIDAD
COMUNIDAD
COMUNIDAD
COMUNIDAD
COMUNIDAD
COMUNIDAD
COMUNIDAD
COMUNIDAD
COMUNIDAD
COMUNIDAD
COMUNIDAD
COMUNIDAD
COMUNIDAD
COMUNIDAD
COMUNIDAD
COMUNIDAD
COMUNIDAD
COMUNIDAD
COMUNIDAD
COMUNIDAD
COMUNIDAD
COMUNIDAD
COMUNIDAD
COMUNIDAD
COMUNIDAD
COMUNIDAD
COMUNIDAD
COMUNIDAD
COMUNIDAD
COMUNIDAD
COMUNIDAD
COMUNIDAD
COMUNIDAD
COMUNIDAD
COMUNIDAD
COMUNIDAD
COMUNIDAD
COMUNIDAD
COMUNIDAD
COMUNIDAD
COMUNIDAD
COMUNIDAD
COMUNIDAD
COMUNIDAD
COMUNIDAD
COMUNIDAD
COMUNIDAD
COMUNIDAD
COMUNIDAD
COMUNIDAD
COMUNIDAD
COMUNIDAD
COMUNIDAD
COMUNIDAD
COMUNIDAD
COMUNIDAD
COMUNIDAD
COMUNIDAD
COMUNIDAD
COMUNIDAD
COMUNIDAD
COMUNIDAD
COMUNIDAD
COMUNIDAD
COMUNIDAD
COMUNIDAD
COMUNIDAD
COMUNIDAD
COMUNIDAD
COMUNIDAD
COMUNIDAD
COMUNIDAD
COMUNIDAD
COMUNIDAD
COMUNIDAD
COMUNIDAD
COMUNIDAD
COMUNIDAD
COMUNIDAD
COMUNIDAD
COMUNIDAD
COMUNIDAD
COMUNIDAD
COMUNIDAD
COMUNIDAD
COMUNIDAD
COMUNIDAD
COMUNIDAD
COMUNIDAD
COMUNIDAD
COMUNIDAD
COMUNIDAD
COMUNIDAD
COMUNIDAD
COMUNIDAD
COMUNIDAD
COMUNIDAD
COMUNIDAD
COMUNIDAD
COMUNIDAD
COMUNIDAD
COMUNIDAD
COMUNIDAD
COMUNIDAD
COMUNIDAD
COMUNIDAD
COMUNIDAD
COMUNIDAD
COMUNIDAD
COMUNIDAD
COMUNIDAD
COMUNIDAD
COMUNIDAD
COMUNIDAD
COMUNIDAD
COMUNIDAD
COMUNIDAD
COMUNIDAD
COMUNIDAD
COMUNIDAD
COMUNIDAD
COMUNIDAD
COMUNIDAD
COMUNIDAD
COMUNIDAD
COMUNIDAD
COMUNIDAD
COMUNIDAD
COMUNIDAD
COMUNIDAD
COMUNIDAD
COMUNIDAD
COMUNIDAD
COMUNIDAD
COMUNIDAD
COMUNIDAD
COMUNIDAD
COMUNIDAD
COMUNIDAD
COMUNIDAD
COMUNIDAD
COMUNIDAD
COMUNIDAD
COMUNIDAD
COMUNIDAD
COMUNIDAD
COMUNIDAD
COMUNIDAD
COMUNIDAD
COMUNIDAD
COMUNIDAD
COMUNIDAD
COMUNIDAD
COMUNIDAD
COMUNIDAD
COMUNIDAD
COMUNIDAD
COMUNIDAD
COMUNIDAD
COMUNIDAD
COMUNIDAD
COMUNIDAD
COMUNIDAD
COMUNIDAD
COMUNIDAD
COMUNIDAD
COMUNIDAD
COMUNIDAD
COMUNIDAD
COMUNIDAD
COMUNIDAD
COMUNIDAD
COMUNIDAD
COMUNIDAD
COMUNIDAD
COMUNIDAD
COMUNIDAD
COMUNIDAD
COMUNIDAD
COMUNIDAD
COMUNIDAD
COMUNIDAD
COMUNIDAD
COMUNIDAD
COMUNIDAD
COMUNIDAD
COMUNIDAD
COMUNIDAD
COMUNIDAD
COMUNIDAD
COMUNIDAD
COMUNIDAD
COMUNIDAD
COMUNIDAD
COMUNIDAD
COMUNIDAD
COMUNIDAD
COMUNIDAD
COMUNIDAD
COMUNIDAD
COMUNIDAD
COMUNIDAD
COMUNIDAD
COMUNIDAD
COMUNIDAD
COMUNIDAD
COMUNIDAD
COMUNIDAD
COMUNIDAD
COMUNIDAD
COMUNIDAD
COMUNIDAD
COMUNIDAD
COMUNIDAD
COMUNIDAD
COMUNIDAD
COMUNIDAD
COMUNIDAD
COMUNIDAD
COMUNIDAD
COMUNIDAD
COMUNIDAD
COMUNIDAD
COMUNIDAD
COMUNIDAD
COMUNIDAD
COMUNIDAD
COMUNIDAD
COMUNIDAD
COMUNIDAD
COMUNIDAD
COMUNIDAD
COMUNIDAD
COMUNIDAD
COMUNIDAD
COMUNIDAD
COMUNIDAD
COMUNIDAD
COMUNIDAD
COMUNIDAD
COMUNIDAD
COMUNIDAD
COMUNIDAD
COMUNIDAD
COMUNIDAD
COMUNIDAD
COMUNIDAD
COMUNIDAD
COMUNIDAD
COMUNIDAD
COMUNIDAD
COMUNIDAD
COMUNIDAD
COMUNIDAD
COMUNIDAD
COMUNIDAD
COMUNIDAD
COMUNIDAD
COMUNIDAD
COMUNIDAD
COMUNIDAD
COMUNIDAD
COMUNIDAD
COMUNIDAD
COMUNIDAD
COMUNIDAD
COMUNIDAD
COMUNIDAD
COMUNIDAD
COMUNIDAD
COMUNIDAD
COMUNIDAD
COMUNIDAD
COMUNIDAD
COMUNIDAD
COMUNIDAD
COMUNIDAD
COMUNIDAD
COMUNIDAD
COMUNIDAD
COMUNIDAD
COMUNIDAD
COMUNIDAD
COMUNIDAD
COMUNIDAD
COMUNIDAD
COMUNIDAD
COMUNIDAD
COMUNIDAD
COMUNIDAD
COMUNIDAD
COMUNIDAD
COMUNIDAD
COMUNIDAD
COMUNIDAD
COMUNIDAD
COMUNIDAD
COMUNIDAD
COMUNIDAD
COMUNIDAD
COMUNIDAD
COMUNIDAD
COMUNIDAD
COMUNIDAD
COMUNIDAD
COMUNIDAD
COMUNIDAD
COMUNIDAD
COMUNIDAD
COMUNIDAD
COMUNIDAD
COMUNIDAD
COMUNIDAD
COMUNIDAD
COMUNIDAD
COMUNIDAD
COMUNIDAD
COMUNIDAD
COMUNIDAD
COMUNIDAD
COMUNIDAD
COMUNIDAD
COMUNIDAD
COMUNIDAD
COMUNIDAD
COMUNIDAD
COMUNIDAD
COMUNIDAD
COMUNIDAD
COMUNIDAD
COMUNIDAD
COMUNIDAD
COMUNIDAD
COMUNIDAD
COMUNIDAD
COMUNIDAD
COMUNIDAD
COMUNIDAD
COMUNIDAD
COMUNIDAD
COMUNIDAD
COMUNIDAD
COMUNIDAD
COMUNIDAD
COMUNIDAD
COMUNIDAD
COMUNIDAD
COMUNIDAD
COMUNIDAD
COMUNIDAD
COMUNIDAD
COMUNIDAD
COMUNIDAD
COMUNIDAD
COMUNIDAD
COMUNIDAD
COMUNIDAD
COMUNIDAD
COMUNIDAD
COMUNIDAD
COMUNIDAD
COMUNIDAD
COMUNIDAD
COMUNIDAD
COMUNIDAD
COMUNIDAD
COMUNIDAD
COMUNIDAD
COMUNIDAD
COMUNIDAD
COMUNIDAD
COMUNIDAD
COMUNIDAD
COMUNIDAD
COMUNIDAD
COMUNIDAD
COMUNIDAD
COMUNIDAD
COMUNIDAD
COMUNIDAD
COMUNIDAD
COMUNIDAD
COMUNIDAD
COMUNIDAD
COMUNIDAD
COMUNIDAD
COMUNIDAD
COMUNIDAD
COMUNIDAD
COMUNIDAD
COMUNIDAD
COMUNIDAD
COMUNIDAD
COMUNIDAD
COMUNIDAD
COMUNIDAD
COMUNIDAD
COMUNIDAD
COMUNIDAD
COMUNIDAD
COMUNIDAD
COMUNIDAD
COMUNIDAD
COMUNIDAD
COMUNIDAD
COMUNIDAD
COMUNIDAD
COMUNIDAD
COMUNIDAD
COMUNIDAD
COMUNIDAD
COMUNIDAD
COMUNIDAD
COMUNIDAD
COMUNIDAD
COMUNIDAD
COMUNIDAD
COMUNIDAD
COMUNIDAD
COMUNIDAD
COMUNIDAD
COMUNIDAD
COMUNIDAD
COMUNIDAD
COMUNIDAD
COMUNIDAD
COMUNIDAD
COMUNIDAD
COMUNIDAD
COMUNIDAD
COMUNIDAD
COMUNIDAD
COMUNIDAD
COMUNIDAD
COMUNIDAD
COMUNIDAD
COMUNIDAD
COMUNIDAD
COMUNIDAD
COMUNIDAD
COMUNIDAD
COMUNIDAD
COMUNIDAD
COMUNIDAD
COMUNIDAD
COMUNIDAD
COMUNIDAD
COMUNIDAD
COMUNIDAD
COMUNIDAD
COMUNIDAD
COMUNIDAD
COMUNIDAD
COMUNIDAD
COMUNIDAD
COMUNIDAD
COMUNIDAD
COMUNIDAD
COMUNIDAD
COMUNIDAD
COMUNIDAD
COMUNIDAD
COMUNIDAD
COMUNIDAD
COMUNIDAD
COMUNIDAD
COMUNIDAD
COMUNIDAD
COMUNIDAD
COMUNIDAD
COMUNIDAD
COMUNIDAD
COMUNIDAD
COMUNIDAD
COMUNIDAD
COMUNIDAD
COMUNIDAD
COMUNIDAD
COMUNIDAD
COMUNIDAD
COMUNIDAD
COMUNIDAD
COMUNIDAD
COMUNIDAD
COMUNIDAD
COMUNIDAD
COMUNIDAD
COMUNIDAD
COMUNIDAD
COMUNIDAD
COMUNIDAD
COMUNIDAD
COMUNIDAD
COMUNIDAD
COMUNIDAD
COMUNIDAD
COMUNIDAD
COMUNIDAD
COMUNIDAD
COMUNIDAD
COMUNIDAD
COMUNIDAD
COMUNIDAD
COMUNIDAD
COMUNIDAD
COMUNIDAD
COMUNIDAD
COMUNIDAD
COMUNIDAD
COMUNIDAD
COMUNIDAD
COMUNIDAD
COMUNIDAD
COMUNIDAD
COMUNIDAD
COMUNIDAD
COMUNIDAD
COMUNIDAD
COMUNIDAD
COMUNIDAD
COMUNIDAD
COMUNIDAD
COMUNIDAD
COMUNIDAD
COMUNIDAD
COMUNIDAD
COMUNIDAD
COMUNIDAD
COMUNIDAD
COMUNIDAD
COMUNIDAD
COMUNIDAD
COMUNIDAD
COMUNIDAD
COMUNIDAD
COMUNIDAD
COMUNIDAD
COMUNIDAD
COMUNIDAD
COMUNIDAD
COMUNIDAD
COMUNIDAD
COMUNIDAD
COMUNIDAD
COMUNIDAD
COMUNIDAD
COMUNIDAD
COMUNIDAD
COMUNIDAD
COMUNIDAD
COMUNIDAD
COMUNIDAD
COMUNIDAD
COMUNIDAD
COMUNIDAD
COMUNIDAD
COMUNIDAD
COMUNIDAD
COMUNIDAD
COMUNIDAD
COMUNIDAD
COMUNIDAD
COMUNIDAD
COMUNIDAD
COMUNIDAD
COMUNIDAD
COMUNIDAD
COMUNIDAD
COMUNIDAD
COMUNIDAD
COMUNIDAD
COMUNIDAD
COMUNIDAD
COMUNIDAD
COMUNIDAD
COMUNIDAD
COMUNIDAD
COMUNIDAD
COMUNIDAD
COMUNIDAD
COMUNIDAD
COMUNIDAD
COMUNIDAD
COMUNIDAD
COMUNIDAD
COMUNIDAD
COMUNIDAD
COMUNIDAD
COMUNIDAD
COMUNIDAD
COMUNIDAD
COMUNIDAD
COMUNIDAD
COMUNIDAD
COMUNIDAD
COMUNIDAD
COMUNIDAD
COMUNIDAD
COMUNIDAD
COMUNIDAD
COMUNIDAD
COMUNIDAD
COMUNIDAD
COMUNIDAD
COMUNIDAD
COMUNIDAD
COMUNIDAD
COMUNIDAD
COMUNIDAD
COMUNIDAD
COMUNIDAD
COMUNIDAD
COMUNIDAD
COMUNIDAD
COMUNIDAD
COMUNIDAD
COMUNIDAD
COMUNIDAD
COMUNIDAD
COMUNIDAD
COMUNIDAD
COMUNIDAD
COMUNIDAD
COMUNIDAD
COMUNIDAD
COMUNIDAD
COMUNIDAD
COMUNIDAD
COMUNIDAD
COMUNIDAD
COMUNIDAD
COMUNIDAD
COMUNIDAD
COMUNIDAD
COMUNIDAD
COMUNIDAD
COMUNIDAD
COMUNIDAD
COMUNIDAD
COMUNIDAD
COMUNIDAD
COMUNIDAD
COMUNIDAD
COMUNIDAD
COMUNIDAD
COMUNIDAD
COMUNIDAD
COMUNIDAD
COMUNIDAD
COMUNIDAD
COMUNIDAD
COMUNIDAD
COMUNIDAD
COMUNIDAD
COMUNIDAD
COMUNIDAD
COMUNIDAD
COMUNIDAD
COMUNIDAD
COMUNIDAD
COMUNIDAD
COMUNIDAD
COMUNIDAD
COMUNIDAD
COMUNIDAD
COMUNIDAD
COMUNIDAD
COMUNIDAD
COMUNIDAD
COMUNIDAD
COMUNIDAD
COMUNIDAD
COMUNIDAD
COMUNIDAD
COMUNIDAD
COMUNIDAD
COMUNIDAD
COMUNIDAD
COMUNIDAD
COMUNIDAD
COMUNIDAD
COMUNIDAD
COMUNIDAD
COMUNIDAD
COMUNIDAD
COMUNIDAD
COMUNIDAD
COMUNIDAD
COMUNIDAD
COMUNIDAD
COMUNIDAD
COMUNIDAD
COMUNIDAD
COMUNIDAD
COMUNIDAD
COMUNIDAD
COMUNIDAD
COMUNIDAD
COMUNIDAD
COMUNIDAD
COMUNIDAD
COMUNIDAD
COMUNIDAD
COMUNIDAD
COMUNIDAD
COMUNIDAD
COMUNIDAD
COMUNIDAD
COMUNIDAD
COMUNIDAD
COMUNIDAD
COMUNIDAD
COMUNIDAD
COMUNIDAD
COMUNIDAD
COMUNIDAD
COMUNIDAD
COMUNIDAD
COMUNIDAD
COMUNIDAD
COMUNIDAD
COMUNIDAD
COMUNIDAD
COMUNIDAD
COMUNIDAD
COMUNIDAD
COMUNIDAD
COMUNIDAD
COMUNIDAD
COMUNIDAD
COMUNIDAD
COMUNIDAD
COMUNIDAD
COMUNIDAD
COMUNIDAD
COMUNIDAD
COMUNIDAD
COMUNIDAD
COMUNIDAD
COMUNIDAD
COMUNIDAD
COMUNIDAD
COMUNIDAD
COMUNIDAD
COMUNIDAD
COMUNIDAD
COMUNIDAD
COMUNIDAD
COMUNIDAD
COMUNIDAD
COMUNIDAD
COMUNIDAD
COMUNIDAD
COMUNIDAD
COMUNIDAD
COMUNIDAD
COMUNIDAD
COMUNIDAD
COMUNIDAD
COMUNIDAD
COMUNIDAD
COMUNIDAD
COMUNIDAD
COMUNIDAD
COMUNIDAD
COMUNIDAD
COMUNIDAD
COMUNIDAD
COMUNIDAD
COMUNIDAD
COMUNIDAD
COMUNIDAD
COMUNIDAD
COMUNIDAD
COMUNIDAD
COMUNIDAD
COMUNIDAD
COMUNIDAD
COMUNIDAD
COMUNIDAD
COMUNIDAD
COMUNIDAD
COMUNIDAD
COMUNIDAD
COMUNIDAD
COMUNIDAD
COMUNIDAD
COMUNIDAD
COMUNIDAD
COMUNIDAD
COMUNIDAD
COMUNIDAD
COMUNIDAD
COMUNIDAD
COMUNIDAD
COMUNIDAD
COMUNIDAD
COMUNIDAD
COMUNIDAD
COMUNIDAD
COMUNIDAD
COMUNIDAD
COMUNIDAD
COMUNIDAD
COMUNIDAD
COMUNIDAD
COMUNIDAD
COMUNIDAD
COMUNIDAD
COMUNIDAD
COMUNIDAD
COMUNIDAD
COMUNIDAD
COMUNIDAD
COMUNIDAD
COMUNIDAD
COMUNIDAD
COMUNIDAD
COMUNIDAD
COMUNIDAD
COMUNIDAD
COMUNIDAD
COMUNIDAD
COMUNIDAD
COMUNIDAD
COMUNIDAD
COMUNIDAD
COMUNIDAD
COMUNIDAD
COMUNIDAD
COMUNIDAD
COMUNIDAD
COMUNIDAD
COMUNIDAD
COMUNIDAD
COMUNIDAD
COMUNIDAD
COMUNIDAD
COMUNIDAD
COMUNIDAD
COMUNIDAD
COMUNIDAD
COMUNIDAD
COMUNIDAD
COMUNIDAD
COMUNIDAD
COMUNIDAD
COMUNIDAD
COMUNIDAD
COMUNIDAD
COMUNIDAD
COMUNIDAD
COMUNIDAD
COMUNIDAD
COMUNIDAD
COMUNIDAD
COMUNIDAD
COMUNIDAD
COMUNIDAD
COMUNIDAD
COMUNIDAD
COMUNIDAD
COMUNIDAD
COMUNIDAD
COMUNIDAD
COMUNIDAD
COMUNIDAD
COMUNIDAD
COMUNIDAD
COMUNIDAD
COMUNIDAD
COMUNIDAD
COMUNIDAD
COMUNIDAD
COMUNIDAD
COMUNIDAD
COMUNIDAD
COMUNIDAD
COMUNIDAD
COMUNIDAD
COMUNIDAD
COMUNIDAD
COMUNIDAD
COMUNIDAD
COMUNIDAD
COMUNIDAD
COMUNIDAD
COMUNIDAD
COMUNIDAD
COMUNIDAD
COMUNIDAD
COMUNIDAD
COMUNIDAD
COMUNIDAD
COMUNIDAD
COMUNIDAD
COMUNIDAD
COMUNIDAD
COMUNIDAD
COMUNIDAD
COMUNIDAD
COMUNIDAD
COMUNIDAD
COMUNIDAD
COMUNIDAD
COMUNIDAD
COMUNIDAD
COMUNIDAD
COMUNIDAD
COMUNIDAD
COMUNIDAD
COMUNIDAD
COMUNIDAD
COMUNIDAD
COMUNIDAD
COMUNIDAD
COMUNIDAD
COMUNIDAD
COMUNIDAD
COMUNIDAD
COMUNIDAD
COMUNIDAD
COMUNIDAD
COMUNIDAD
COMUNIDAD
COMUNIDAD
COMUNIDAD
COMUNIDAD
COMUNIDAD
COMUNIDAD
COMUNIDAD
COMUNIDAD
COMUNIDAD
COMUNIDAD
COMUNIDAD
COMUNIDAD
COMUNIDAD
COMUNIDAD
COMUNIDAD
COMUNIDAD
COMUNIDAD
COMUNIDAD
COMUNIDAD
COMUNIDAD
COMUNIDAD
COMUNIDAD
COMUNIDAD
COMUNIDAD
COMUNIDAD
COMUNIDAD
COMUNIDAD
COMUNIDAD
COMUNIDAD
COMUNIDAD
COMUNIDAD
COMUNIDAD
COMUNIDAD
COMUNIDAD
COMUNIDAD
COMUNIDAD
COMUNIDAD
COMUNIDAD
COMUNIDAD
COMUNIDAD
COMUNIDAD
COMUNIDAD
COMUNIDAD
COMUNIDAD
COMUNIDAD
COMUNIDAD
COMUNIDAD
COMUNIDAD
COMUNIDAD
COMUNIDAD
COMUNIDAD
COMUNIDAD
COMUNIDAD
COMUNIDAD
COMUNIDAD
COMUNIDAD
COMUNIDAD
COMUNIDAD
COMUNIDAD
COMUNIDAD
COMUNIDAD
COMUNIDAD
COMUNIDAD
COMUNIDAD
COMUNIDAD
COMUNIDAD
COMUNIDAD
COMUNIDAD
COMUNIDAD
COMUNIDAD
COMUNIDAD
COMUNIDAD
COMUNIDAD
COMUNIDAD
COMUNIDAD
COMUNIDAD
COMUNIDAD
COMUNIDAD
COMUNIDAD
COMUNIDAD
COMUNIDAD
COMUNIDAD
COMUNIDAD
COMUNIDAD
COMUNIDAD
COMUNIDAD
COMUNIDAD
COMUNIDAD
COMUNIDAD
COMUNIDAD
COMUNIDAD
COMUNIDAD
COMUNIDAD
COMUNIDAD
COMUNIDAD
COMUNIDAD
COMUNIDAD
COMUNIDAD
COMUNIDAD
COMUNIDAD
COMUNIDAD
COMUNIDAD
COMUNIDAD
COMUNIDAD
COMUNIDAD
COMUNIDAD
COMUNIDAD
COMUNIDAD
COMUNIDAD
COMUNIDAD
COMUNIDAD
COMUNIDAD
COMUNIDAD
COMUNIDAD
COMUNIDAD
COMUNIDAD
COMUNIDAD
COMUNIDAD
COMUNIDAD
COMUNIDAD
COMUNIDAD
COMUNIDAD
COMUNIDAD
COMUNIDAD
COMUNIDAD
COMUNIDAD
COMUNIDAD
COMUNIDAD
COMUNIDAD
COMUNIDAD
COMUNIDAD
COMUNIDAD
COMUNIDAD
COMUNIDAD
COMUNIDAD
COMUNIDAD
COMUNIDAD
COMUNIDAD
COMUNIDAD
COMUNIDAD
COMUNIDAD
COMUNIDAD
COMUNIDAD
COMUNIDAD
COMUNIDAD
COMUNIDAD
COMUNIDAD
COMUNIDAD
COMUNIDAD
COMUNIDAD
COMUNIDAD
COMUNIDAD
COMUNIDAD
COMUNIDAD
COMUNIDAD
COMUNIDAD
COMUNIDAD
COMUNIDAD
COMUNIDAD
COMUNIDAD
COMUNIDAD
COMUNIDAD
COMUNIDAD
COMUNIDAD
COMUNIDAD
COMUNIDAD
COMUNIDAD
COMUNIDAD
COMUNIDAD
COMUNIDAD
COMUNIDAD
COMUNIDAD
COMUNIDAD
COMUNIDAD
COMUNIDAD
COMUNIDAD
COMUNIDAD
COMUNIDAD
COMUNIDAD
COMUNIDAD
COMUNIDAD
COMUNIDAD
COMUNIDAD
COMUNIDAD
COMUNIDAD
COMUNIDAD
COMUNIDAD
COMUNIDAD
COMUNIDAD
COMUNIDAD
COMUNIDAD
COMUNIDAD
COMUNIDAD
COMUNIDAD
COMUNIDAD
COMUNIDAD
COMUNIDAD
COMUNIDAD
COMUNIDAD
COMUNIDAD
COMUNIDAD
COMUNIDAD
COMUNIDAD
COMUNIDAD
COMUNIDAD
COMUNIDAD
COMUNIDAD
COMUNIDAD
COMUNIDAD
COMUNIDAD
COMUNIDAD
COMUNIDAD
COMUNIDAD
COMUNIDAD
COMUNIDAD
COMUNIDAD
COMUNIDAD
COMUNIDAD
COMUNIDAD
COMUNIDAD
COMUNIDAD
COMUNIDAD
COMUNIDAD
COMUNIDAD
COMUNIDAD
COMUNIDAD
COMUNIDAD
COMUNIDAD
COMUNIDAD
COMUNIDAD
COMUNIDAD
COMUNIDAD
COMUNIDAD
COMUNIDAD
COMUNIDAD
COMUNIDAD
COMUNIDAD
COMUNIDAD
COMUNIDAD
COMUNIDAD
COMUNIDAD
COMUNIDAD
COMUNIDAD
COMUNIDAD
COMUNIDAD
COMUNIDAD
COMUNIDAD
COMUNIDAD
COMUNIDAD
COMUNIDAD
COMUNIDAD
COMUNIDAD
COMUNIDAD
COMUNIDAD
COMUNIDAD
COMUNIDAD
COMUNIDAD
COMUNIDAD
COMUNIDAD
COMUNIDAD
COMUNIDAD
COMUNIDAD
COMUNIDAD
COMUNIDAD
COMUNIDAD
COMUNIDAD
COMUNIDAD
COMUNIDAD
COMUNIDAD
COMUNIDAD
COMUNIDAD
COMUNIDAD
COMUNIDAD
COMUNIDAD
COMUNIDAD
COMUNIDAD
COMUNIDAD
COMUNIDAD
COMUNIDAD
COMUNIDAD
COMUNIDAD
COMUNIDAD
COMUNIDAD
COMUNIDAD
COMUNIDAD
COMUNIDAD
COMUNIDAD
COMUNIDAD
COMUNIDAD
COMUNIDAD
COMUNIDAD
COMUNIDAD
COMUNIDAD
COMUNIDAD
COMUNIDAD
COMUNIDAD
COMUNIDAD
COMUNIDAD
COMUNIDAD
COMUNIDAD
COMUNIDAD
COMUNIDAD
COMUNIDAD
COMUNIDAD
COMUNIDAD
COMUNIDAD
COMUNIDAD
COMUNIDAD
COMUNIDAD
COMUNIDAD
COMUNIDAD
COMUNIDAD
COMUNIDAD
COMUNIDAD
COMUNIDAD
COMUNIDAD
COMUNIDAD
COMUNIDAD
COMUNIDAD
COMUNIDAD
COMUNIDAD
COMUNIDAD
COMUNIDAD
COMUNIDAD
COMUNIDAD
COMUNIDAD
COMUNIDAD
COMUNIDAD
COMUNIDAD
COMUNIDAD
COMUNIDAD
COMUNIDAD
COMUNIDAD
COMUNIDAD
COMUNIDAD
COMUNIDAD
COMUNIDAD
COMUNIDAD
COMUNIDAD
COMUNIDAD
COMUNIDAD
COMUNIDAD
COMUNIDAD
COMUNIDAD
COMUNIDAD
COMUNIDAD
COMUNIDAD
COMUNIDAD
COMUNIDAD
COMUNIDAD
COMUNIDAD
COMUNIDAD
COMUNIDAD
COMUNIDAD
COMUNIDAD
COMUNIDAD
COMUNIDAD
COMUNIDAD
COMUNIDAD
COMUNIDAD
COMUNIDAD
COMUNIDAD
COMUNIDAD
COMUNIDAD
COMUNIDAD
COMUNIDAD
COMUNIDAD
COMUNIDAD
COMUNIDAD
COMUNIDAD
COMUNIDAD
COMUNIDAD
COMUNIDAD
COMUNIDAD
COMUNIDAD
COMUNIDAD
COMUNIDAD
COMUNIDAD
COMUNIDAD
COMUNIDAD
COMUNIDAD
COMUNIDAD
COMUNIDAD
COMUNIDAD
COMUNIDAD
COMUNIDAD
COMUNIDAD
COMUNIDAD
COMUNIDAD
COMUNIDAD
COMUNIDAD
COMUNIDAD
COMUNIDAD
COMUNIDAD
COMUNIDAD
COMUNIDAD
COMUNIDAD
COMUNIDAD
COMUNIDAD
COMUNIDAD
COMUNIDAD
COMUNIDAD
COMUNIDAD
COMUNIDAD
COMUNIDAD
COMUNIDAD
COMUNIDAD
COMUNIDAD
COMUNIDAD
COMUNIDAD
COMUNIDAD
COMUNIDAD
COMUNIDAD
COMUNIDAD
COMUNIDAD
COMUNIDAD
COMUNIDAD
COMUNIDAD
COMUNIDAD
COMUNIDAD
COMUNIDAD
COMUNIDAD
COMUNIDAD
COMUNIDAD
COMUNIDAD
COMUNIDAD
COMUNIDAD
COMUNIDAD
COMUNIDAD
COMUNIDAD
COMUNIDAD
COMUNIDAD
COMUNIDAD
COMUNIDAD
COMUNIDAD
COMUNIDAD
COMUNIDAD
COMUNIDAD
COMUNIDAD
COMUNIDAD
COMUNIDAD
COMUNIDAD
COMUNIDAD
COMUNIDAD
COMUNIDAD
COMUNIDAD
COMUNIDAD
COMUNIDAD
COMUNIDAD
COMUNIDAD
COMUNIDAD
COMUNIDAD
COMUNIDAD
COMUNIDAD
COMUNIDAD
COMUNIDAD
COMUNIDAD
COMUNIDAD
COMUNIDAD
COMUNIDAD
COMUNIDAD
COMUNIDAD
COMUNIDAD
COMUNIDAD
COMUNIDAD
COMUNIDAD
COMUNIDAD
COMUNIDAD
COMUNIDAD
COMUNIDAD
COMUNIDAD
COMUNIDAD
COMUNIDAD
COMUNIDAD
COMUNIDAD
COMUNIDAD
COMUNIDAD
COMUNIDAD
COMUNIDAD
COMUNIDAD
COMUNIDAD
COMUNIDAD
COMUNIDAD
COMUNIDAD
COMUNIDAD
COMUNIDAD
COMUNIDAD
COMUNIDAD
COMUNIDAD
COMUNIDAD
COMUNIDAD
COMUNIDAD
COMUNIDAD
COMUNIDAD
COMUNIDAD
COMUNIDAD
COMUNIDAD
COMUNIDAD
COMUNIDAD
COMUNIDAD
COMUNIDAD
COMUNIDAD
COMUNIDAD
COMUNIDAD
COMUNIDAD
COMUNIDAD
COMUNIDAD
COMUNIDAD
COMUNIDAD
COMUNIDAD
COMUNIDAD
COMUNIDAD
COMUNIDAD
COMUNIDAD
COMUNIDAD
COMUNIDAD
COMUNIDAD
COMUNIDAD
COMUNIDAD
COMUNIDAD
COMUNIDAD
COMUNIDAD
COMUNIDAD
COMUNIDAD
COMUNIDAD
COMUNIDAD
COMUNIDAD
COMUNIDAD
COMUNIDAD
COMUNIDAD
COMUNIDAD
COMUNIDAD
COMUNIDAD
COMUNIDAD
COMUNIDAD
COMUNIDAD
COMUNIDAD
COMUNIDAD
COMUNIDAD
COMUNIDAD
COMUNIDAD
COMUNIDAD
COMUNIDAD
COMUNIDAD
COMUNIDAD
COMUNIDAD
COMUNIDAD
COMUNIDAD
COMUNIDAD
COMUNIDAD
COMUNIDAD
COMUNIDAD
COMUNIDAD
COMUNIDAD
COMUNIDAD
COMUNIDAD
COMUNIDAD
COMUNIDAD
COMUNIDAD
COMUNIDAD
COMUNIDAD
COMUNIDAD
COMUNIDAD
COMUNIDAD
COMUNIDAD
COMUNIDAD
COMUNIDAD
COMUNIDAD
COMUNIDAD
COMUNIDAD
COMUNIDAD
COMUNIDAD
COMUNIDAD
COMUNIDAD
COMUNIDAD
COMUNIDAD
COMUNIDAD
COMUNIDAD
COMUNIDAD
COMUNIDAD
COMUNIDAD
COMUNIDAD
COMUNIDAD
COMUNIDAD
COMUNIDAD
COMUNIDAD
COMUNIDAD
COMUNIDAD
COMUNIDAD
COMUNIDAD
COMUNIDAD
COMUNIDAD
COMUNIDAD
COMUNIDAD
COMUNIDAD
COMUNIDAD
COMUNIDAD
COMUNIDAD
COMUNIDAD
COMUNIDAD
COMUNIDAD
COMUNIDAD
COMUNIDAD
COMUNIDAD
COMUNIDAD
COMUNIDAD
COMUNIDAD
COMUNIDAD
COMUNIDAD
COMUNIDAD
COMUNIDAD
COMUNIDAD
COMUNIDAD
COMUNIDAD
COMUNIDAD
COMUNIDAD
COMUNIDAD
COMUNIDAD
COMUNIDAD
COMUNIDAD
COMUNIDAD
COMUNIDAD
COMUNIDAD
COMUNIDAD
COMUNIDAD
COMUNIDAD
COMUNIDAD
COMUNIDAD
COMUNIDAD
COMUNIDAD
COMUNIDAD
COMUNIDAD
COMUNIDAD
COMUNIDAD
COMUNIDAD
COMUNIDAD
COMUNIDAD
COMUNIDAD
COMUNIDAD
COMUNIDAD
COMUNIDAD
COMUNIDAD
COMUNIDAD
COMUNIDAD
COMUNIDAD
COMUNIDAD
COMUNIDAD
COMUNIDAD
COMUNIDAD
COMUNIDAD
COMUNIDAD
COMUNIDAD
COMUNIDAD
COMUNIDAD
COMUNIDAD
COMUNIDAD
COMUNIDAD
COMUNIDAD
COMUNIDAD
COMUNIDAD
COMUNIDAD
COMUNIDAD
COMUNIDAD
COMUNIDAD
COMUNIDAD
COMUNIDAD
COMUNIDAD
COMUNIDAD
COMUNIDAD
COMUNIDAD
COMUNIDAD
COMUNIDAD
COMUNIDAD
COMUNIDAD
COMUNIDAD
COMUNIDAD
COMUNIDAD
COMUNIDAD
COMUNIDAD
COMUNIDAD
COMUNIDAD
COMUNIDAD
COMUNIDAD
COMUNIDAD
COMUNIDAD
COMUNIDAD
COMUNIDAD
COMUNIDAD
COMUNIDAD
COMUNIDAD
COMUNIDAD
COMUNIDAD
COMUNIDAD
COMUNIDAD
COMUNIDAD
COMUNIDAD
COMUNIDAD
COMUNIDAD
COMUNIDAD
COMUNIDAD
COMUNIDAD
COMUNIDAD
COMUNIDAD
COMUNIDAD
COMUNIDAD
COMUNIDAD
COMUNIDAD
COMUNIDAD
COMUNIDAD
COMUNIDAD
COMUNIDAD
COMUNIDAD
COMUNIDAD
COMUNIDAD
COMUNIDAD
COMUNIDAD
COMUNIDAD
COMUNIDAD
COMUNIDAD
COMUNIDAD
COMUNIDAD
COMUNIDAD
COMUNIDAD
COMUNIDAD
COMUNIDAD
COMUNIDAD
COMUNIDAD
COMUNIDAD
COMUNIDAD
COMUNIDAD
COMUNIDAD
COMUNIDAD
COMUNIDAD
COMUNIDAD
COMUNIDAD
COMUNIDAD
COMUNIDAD
COMUNIDAD
COMUNIDAD
COMUNIDAD
COMUNIDAD
COMUNIDAD
COMUNIDAD
COMUNIDAD
COMUNIDAD
COMUNIDAD
COMUNIDAD
COMUNIDAD
COMUNIDAD
COMUNIDAD
COMUNIDAD
COMUNIDAD
COMUNIDAD
COMUNIDAD
COMUNIDAD
COMUNIDAD
COMUNIDAD
COMUNIDAD
COMUNIDAD
COMUNIDAD
COMUNIDAD
COMUNIDAD
COMUNIDAD
COMUNIDAD
COMUNIDAD
COMUNIDAD
COMUNIDAD
COMUNIDAD
COMUNIDAD
COMUNIDAD
COMUNIDAD
COMUNIDAD
COMUNIDAD
COMUNIDAD
COMUNIDAD
COMUNIDAD
COMUNIDAD
COMUNIDAD
COMUNIDAD
COMUNIDAD
COMUNIDAD
COMUNIDAD
COMUNIDAD
COMUNIDAD
COMUNIDAD
COMUNIDAD
COMUNIDAD
COMUNIDAD
COMUNIDAD
COMUNIDAD
COMUNIDAD
COMUNIDAD
COMUNIDAD
COMUNIDAD
COMUNIDAD
COMUNIDAD
COMUNIDAD
COMUNIDAD
COMUNIDAD
COMUNIDAD
COMUNIDAD
COMUNIDAD
COMUNIDAD
COMUNIDAD
COMUNIDAD
COMUNIDAD
COMUNIDAD
COMUNIDAD
COMUNIDAD
COMUNIDAD
COMUNIDAD
COMUNIDAD
COMUNIDAD
COMUNIDAD
COMUNIDAD
COMUNIDAD
COMUNIDAD
COMUNIDAD
COMUNIDAD
COMUNIDAD
COMUNIDAD
COMUNIDAD
COMUNIDAD
COMUNIDAD
COMUNIDAD
COMUNIDAD
COMUNIDAD
COMUNIDAD
COMUNIDAD
COMUNIDAD
COMUNIDAD
COMUNIDAD
COMUNIDAD
COMUNIDAD
COMUNIDAD
COMUNIDAD
COMUNIDAD
COMUNIDAD
COMUNIDAD
COMUNIDAD
COMUNIDAD
COMUNIDAD
COMUNIDAD
COMUNIDAD
COMUNIDAD
COMUNIDAD
COMUNIDAD
COMUNIDAD
COMUNIDAD
COMUNIDAD
COMUNIDAD
COMUNIDAD
COMUNIDAD
COMUNIDAD
COMUNIDAD
COMUNIDAD
COMUNIDAD
COMUNIDAD
COMUNIDAD
COMUNIDAD
COMUNIDAD
COMUNIDAD
COMUNIDAD
COMUNIDAD
COMUNIDAD
COMUNIDAD
COMUNIDAD
COMUNIDAD
COMUNIDAD
COMUNIDAD
COMUNIDAD
COMUNIDAD
COMUNIDAD
COMUNIDAD
COMUNIDAD
COMUNIDAD
COMUNIDAD
COMUNIDAD
COMUNIDAD
COMUNIDAD
COMUNIDAD
COMUNIDAD
COMUNIDAD
COMUNIDAD
COMUNIDAD
COMUNIDAD
COMUNIDAD
COMUNIDAD
COMUNIDAD
COMUNIDAD
COMUNIDAD
COMUNIDAD
COMUNIDAD
COMUNIDAD
COMUNIDAD
COMUNIDAD
COMUNIDAD
COMUNIDAD
COMUNIDAD
COMUNIDAD
COMUNIDAD
COMUNIDAD
COMUNIDAD
COMUNIDAD
COMUNIDAD
COMUNIDAD
COMUNIDAD
COMUNIDAD
COMUNIDAD
COMUNIDAD
COMUNIDAD
COMUNIDAD
COMUNIDAD
COMUNIDAD
COMUNIDAD
COMUNIDAD
COMUNIDAD
COMUNIDAD
COMUNIDAD
COMUNIDAD
COMUNIDAD
COMUNIDAD
COMUNIDAD
COMUNIDAD
COMUNIDAD
COMUNIDAD
COMUNIDAD
COMUNIDAD
COMUNIDAD
COMUNIDAD
COMUNIDAD
COMUNIDAD
COMUNIDAD
COMUNIDAD
COMUNIDAD
COMUNIDAD
COMUNIDAD
COMUNIDAD
COMUNIDAD
COMUNIDAD
COMUNIDAD
COMUNIDAD
COMUNIDAD
COMUNIDAD
COMUNIDAD
COMUNIDAD
COMUNIDAD
COMUNIDAD
COMUNIDAD
COMUNIDAD
COMUNIDAD
COMUNIDAD
COMUNIDAD
COMUNIDAD
COMUNIDAD
COMUNIDAD
COMUNIDAD
COMUNIDAD
COMUNIDAD
COMUNIDAD
COMUNIDAD
COMUNIDAD
COMUNIDAD
COMUNIDAD
COMUNIDAD
COMUNIDAD
COMUNIDAD
COMUNIDAD
COMUNIDAD
COMUNIDAD
COMUNIDAD
COMUNIDAD
COMUNIDAD
COMUNIDAD
COMUNIDAD
COMUNIDAD
COMUNIDAD
COMUNIDAD
COMUNIDAD
COMUNIDAD
COMUNIDAD
COMUNIDAD
COMUNIDAD
COMUNIDAD
COMUNIDAD
COMUNIDAD
COMUNIDAD
COMUNIDAD
COMUNIDAD
COMUNIDAD
COMUNIDAD
COMUNIDAD
COMUNIDAD
COMUNIDAD
COMUNIDAD
COMUNIDAD
COMUNIDAD
COMUNIDAD
COMUNIDAD
COMUNIDAD
COMUNIDAD
COMUNIDAD
COMUNIDAD
COMUNIDAD
COMUNIDAD
COMUNIDAD
COMUNIDAD
COMUNIDAD
COMUNIDAD
COMUNIDAD
COMUNIDAD
COMUNIDAD
COMUNIDAD
COMUNIDAD
COMUNIDAD
COMUNIDAD
COMUNIDAD
COMUNIDAD
COMUNIDAD
COMUNIDAD
COMUNIDAD
COMUNIDAD
COMUNIDAD
COMUNIDAD
COMUNIDAD
COMUNIDAD
COMUNIDAD
COMUNIDAD
COMUNIDAD
COMUNIDAD
COMUNIDAD
COMUNIDAD
COMUNIDAD
COMUNIDAD
COMUNIDAD
COMUNIDAD
COMUNIDAD
COMUNIDAD
COMUNIDAD
COMUNIDAD
COMUNIDAD
COMUNIDAD
COMUNIDAD
COMUNIDAD
COMUNIDAD
COMUNIDAD
COMUNIDAD
COMUNIDAD
COMUNIDAD
COMUNIDAD
COMUNIDAD
COMUNIDAD
COMUNIDAD
COMUNIDAD
COMUNIDAD
COMUNIDAD
COMUNIDAD
COMUNIDAD
COMUNIDAD
COMUNIDAD
COMUNIDAD
COMUNIDAD
COMUNIDAD
COMUNIDAD
COMUNIDAD
COMUNIDAD
COMUNIDAD
COMUNIDAD
COMUNIDAD
COMUNIDAD
COMUNIDAD
COMUNIDAD
COMUNIDAD
COMUNIDAD
COMUNIDAD
COMUNIDAD
COMUNIDAD
COMUNIDAD
COMUNIDAD
COMUNIDAD
COMUNIDAD
COMUNIDAD
COMUNIDAD
COMUNIDAD
COMUNIDAD
COMUNIDAD
COMUNIDAD
COMUNIDAD
COMUNIDAD
COMUNIDAD
COMUNIDAD
COMUNIDAD
COMUNIDAD
COMUNIDAD
COMUNIDAD
COMUNIDAD
COMUNIDAD
COMUNIDAD
COMUNIDAD
COMUNIDAD
COMUNIDAD
COMUNIDAD
COMUNIDAD
COMUNIDAD
COMUNIDAD
COMUNIDAD
COMUNIDAD
COMUNIDAD
COMUNIDAD
COMUNIDAD
COMUNIDAD
COMUNIDAD
COMUNIDAD
COMUNIDAD
COMUNIDAD
COMUNIDAD
COMUNIDAD
COMUNIDAD
COMUNIDAD
COMUNIDAD
COMUNIDAD
COMUNIDAD
COMUNIDAD
COMUNIDAD
COMUNIDAD
COMUNIDAD
COMUNIDAD
COMUNIDAD
COMUNIDAD
COMUNIDAD
COMUNIDAD
COMUNIDAD
COMUNIDAD
COMUNIDAD
COMUNIDAD
COMUNIDAD
COMUNIDAD
COMUNIDAD
COMUNIDAD
COMUNIDAD
COMUNIDAD
COMUNIDAD
COMUNIDAD
COMUNIDAD
COMUNIDAD
COMUNIDAD
COMUNIDAD
COMUNIDAD
COMUNIDAD
COMUNIDAD
COMUNIDAD
COMUNIDAD
COMUNIDAD
COMUNIDAD
COMUNIDAD
COMUNIDAD
COMUNIDAD
COMUNIDAD
COMUNIDAD
COMUNIDAD
COMUNIDAD
COMUNIDAD
COMUNIDAD
COMUNIDAD
COMUNIDAD
COMUNIDAD
COMUNIDAD
COMUNIDAD
COMUNIDAD
COMUNIDAD
COMUNIDAD
COMUNIDAD
COMUNIDAD
COMUNIDAD
COMUNIDAD
COMUNIDAD
COMUNIDAD
COMUNIDAD
COMUNIDAD
COMUNIDAD
COMUNIDAD
COMUNIDAD
COMUNIDAD
COMUNIDAD
COMUNIDAD
COMUNIDAD
COMUNIDAD
COMUNIDAD
COMUNIDAD
COMUNIDAD
COMUNIDAD
COMUNIDAD
COMUNIDAD
COMUNIDAD
COMUNIDAD
COMUNIDAD
COMUNIDAD
COMUNIDAD
COMUNIDAD
COMUNIDAD
COMUNIDAD
COMUNIDAD
COMUNIDAD
COMUNIDAD
COMUNIDAD
COMUNIDAD
COMUNIDAD
COMUNIDAD
COMUNIDAD
COMUNIDAD
COMUNIDAD
COMUNIDAD
COMUNIDAD
COMUNIDAD
COMUNIDAD
COMUNIDAD
COMUNIDAD
COMUNIDAD
COMUNIDAD
COMUNIDAD
COMUNIDAD
COMUNIDAD
COMUNIDAD
COMUNIDAD
COMUNIDAD
COMUNIDAD
COMUNIDAD
COMUNIDAD
COMUNIDAD
COMUNIDAD
COMUNIDAD
COMUNIDAD
COMUNIDAD
COMUNIDAD
COMUNIDAD
COMUNIDAD
COMUNIDAD
COMUNIDAD
COMUNIDAD
COMUNIDAD
COMUNIDAD
COMUNIDAD
COMUNIDAD
COMUNIDAD
COMUNIDAD
COMUNIDAD
COMUNIDAD
COMUNIDAD
COMUNIDAD
COMUNIDAD
COMUNIDAD
COMUNIDAD
COMUNIDAD
COMUNIDAD
COMUNIDAD
COMUNIDAD
COMUNIDAD
COMUNIDAD
COMUNIDAD
COMUNIDAD
COMUNIDAD
COMUNIDAD
COMUNIDAD
COMUNIDAD
COMUNIDAD
COMUNIDAD
COMUNIDAD
COMUNIDAD
COMUNIDAD
COMUNIDAD
COMUNIDAD
COMUNIDAD
COMUNIDAD
COMUNIDAD
COMUNIDAD
COMUNIDAD
COMUNIDAD
COMUNIDAD
COMUNIDAD
COMUNIDAD
COMUNIDAD
COMUNIDAD
COMUNIDAD
COMUNIDAD
COMUNIDAD
COMUNIDAD
COMUNIDAD
COMUNIDAD
COMUNIDAD
COMUNIDAD
COMUNIDAD
COMUNIDAD
COMUNIDAD
COMUNIDAD
COMUNIDAD
COMUNIDAD
COMUNIDAD
COMUNIDAD
COMUNIDAD
COMUNIDAD
COMUNIDAD
COMUNIDAD
COMUNIDAD
COMUNIDAD
COMUNIDAD
COMUNIDAD
COMUNIDAD
COMUNIDAD
COMUNIDAD
COMUNIDAD
COMUNIDAD
COMUNIDAD
COMUNIDAD
COMUNIDAD
COMUNIDAD
COMUNIDAD
COMUNIDAD
COMUNIDAD
COMUNIDAD
COMUNIDAD
COMUNIDAD
COMUNIDAD
COMUNIDAD
COMUNIDAD
COMUNIDAD
COMUNIDAD
COMUNIDAD
COMUNIDAD
COMUNIDAD
COMUNIDAD
COMUNIDAD
COMUNIDAD
COMUNIDAD
COMUNIDAD
COMUNIDAD
COMUNIDAD
COMUNIDAD
COMUNIDAD
COMUNIDAD
COMUNIDAD
COMUNIDAD
COMUNIDAD
COMUNIDAD
COMUNIDAD
COMUNIDAD
COMUNIDAD
COMUNIDAD
COMUNIDAD
COMUNIDAD
COMUNIDAD
COMUNIDAD
COMUNIDAD
COMUNIDAD
COMUNIDAD
COMUNIDAD
COMUNIDAD
COMUNIDAD
COMUNIDAD
COMUNIDAD
COMUNIDAD
COMUNIDAD
COMUNIDAD
COMUNIDAD
COMUNIDAD
COMUNIDAD
COMUNIDAD
COMUNIDAD
COMUNIDAD
COMUNIDAD
COMUNIDAD
COMUNIDAD
COMUNIDAD
COMUNIDAD
COMUNIDAD
COMUNIDAD
COMUNIDAD
COMUNIDAD
COMUNIDAD
COMUNIDAD
COMUNIDAD
COMUNIDAD
COMUNIDAD
COMUNIDAD
COMUNIDAD
COMUNIDAD
COMUNIDAD
COMUNIDAD
COMUNIDAD
COMUNIDAD
COMUNIDAD
COMUNIDAD
COMUNIDAD
COMUNIDAD
COMUNIDAD
COMUNIDAD
COMUNIDAD
COMUNIDAD
COMUNIDAD
COMUNIDAD
COMUNIDAD
COMUNIDAD
COMUNIDAD
COMUNIDAD
COMUNIDAD
COMUNIDAD
COMUNIDAD
COMUNIDAD
COMUNIDAD
COMUNIDAD
COMUNIDAD
COMUNIDAD
COMUNIDAD
COMUNIDAD
COMUNIDAD
COMUNIDAD
COMUNIDAD
COMUNIDAD
COMUNIDAD
COMUNIDAD
COMUNIDAD
COMUNIDAD
COMUNIDAD
COMUNIDAD
COMUNIDAD
COMUNIDAD
COMUNIDAD
COMUNIDAD
COMUNIDAD
COMUNIDAD
COMUNIDAD
COMUNIDAD
COMUNIDAD
COMUNIDAD
COMUNIDAD
COMUNIDAD
COMUNIDAD
COMUNIDAD
COMUNIDAD
COMUNIDAD
COMUNIDAD
COMUNIDAD
COMUNIDAD
COMUNIDAD
COMUNIDAD
COMUNIDAD
COMUNIDAD
COMUNIDAD
COMUNIDAD
COMUNIDAD
COMUNIDAD
COMUNIDAD
COMUNIDAD
COMUNIDAD
COMUNIDAD
COMUNIDAD
COMUNIDAD
COMUNIDAD
COMUNIDAD
COMUNIDAD
COMUNIDAD
COMUNIDAD
COMUNIDAD
COMUNIDAD
COMUNIDAD
COMUNIDAD
COMUNIDAD
COMUNIDAD
COMUNIDAD
COMUNIDAD
COMUNIDAD
COMUNIDAD
COMUNIDAD
COMUNIDAD
COMUNIDAD
COMUNIDAD
COMUNIDAD
COMUNIDAD
COMUNIDAD
COMUNIDAD
COMUNIDAD
COMUNIDAD
COMUNIDAD
COMUNIDAD
COMUNIDAD
COMUNIDAD
COMUNIDAD
COMUNIDAD
COMUNIDAD
COMUNIDAD
COMUNIDAD
COMUNIDAD
COMUNIDAD
COMUNIDAD
COMUNIDAD
COMUNIDAD
COMUNIDAD
COMUNIDAD
COMUNIDAD
COMUNIDAD
COMUNIDAD
COMUNIDAD
COMUNIDAD
COMUNIDAD
COMUNIDAD
COMUNIDAD
COMUNIDAD
COMUNIDAD
COMUNIDAD
COMUNIDAD
COMUNIDAD
COMUNIDAD
COMUNIDAD
COMUNIDAD
COMUNIDAD
COMUNIDAD
COMUNIDAD
COMUNIDAD
COMUNIDAD
COMUNIDAD
COMUNIDAD
COMUNIDAD
COMUNIDAD
COMUNIDAD
COMUNIDAD
COMUNIDAD
COMUNIDAD
COMUNIDAD
COMUNIDAD
COMUNIDAD
COMUNIDAD
COMUNIDAD
COMUNIDAD
COMUNIDAD
COMUNIDAD
COMUNIDAD
COMUNIDAD
COMUNIDAD
COMUNIDAD
COMUNIDAD
COMUNIDAD
COMUNIDAD
COMUNIDAD
COMUNIDAD
COMUNIDAD
COMUNIDAD
COMUNIDAD
COMUNIDAD
COMUNIDAD
COMUNIDAD
COMUNIDAD
COMUNIDAD
COMUNIDAD
COMUNIDAD
COMUNIDAD
COMUNIDAD
COMUNIDAD
COMUNIDAD
COMUNIDAD
COMUNIDAD
COMUNIDAD
COMUNIDAD
COMUNIDAD
COMUNIDAD
COMUNIDAD
COMUNIDAD
COMUNIDAD
COMUNIDAD
COMUNIDAD
COMUNIDAD
COMUNIDAD
COMUNIDAD
COMUNIDAD
COMUNIDAD
COMUNIDAD
COMUNIDAD
COMUNIDAD
COMUNIDAD
COMUNIDAD
COMUNIDAD
COMUNIDAD
COMUNIDAD
COMUNIDAD
COMUNIDAD
COMUNIDAD
COMUNIDAD
COMUNIDAD
COMUNIDAD
COMUNIDAD
COMUNIDAD
COMUNIDAD
COMUNIDAD
COMUNIDAD
COMUNIDAD
COMUNIDAD
COMUNIDAD
COMUNIDAD
COMUNIDAD
COMUNIDAD
COMUNIDAD
COMUNIDAD
COMUNIDAD
COMUNIDAD
COMUNIDAD
COMUNIDAD
COMUNIDAD
COMUNIDAD
COMUNIDAD
COMUNIDAD
COMUNIDAD
COMUNIDAD
COMUNIDAD
COMUNIDAD
COMUNIDAD
COMUNIDAD
COMUNIDAD
COMUNIDAD
COMUNIDAD
COMUNIDAD
COMUNIDAD
COMUNIDAD
COMUNIDAD
COMUNIDAD
COMUNIDAD
COMUNIDAD
COMUNIDAD
COMUNIDAD
COMUNIDAD
COMUNIDAD
COMUNIDAD
COMUNIDAD
COMUNIDAD
COMUNIDAD
COMUNIDAD
COMUNIDAD
COMUNIDAD
COMUNIDAD
COMUNIDAD
COMUNIDAD
COMUNIDAD
COMUNIDAD
COMUNIDAD
COMUNIDAD
COMUNIDAD
COMUNIDAD
COMUNIDAD
COMUNIDAD
COMUNIDAD
COMUNIDAD
COMUNIDAD
COMUNIDAD
COMUNIDAD
COMUNIDAD
COMUNIDAD
COMUNIDAD
COMUNIDAD
COMUNIDAD
COMUNIDAD
COMUNIDAD
COMUNIDAD
COMUNIDAD
COMUNIDAD
COMUNIDAD
COMUNIDAD
COMUNIDAD
COMUNIDAD
COMUNIDAD
COMUNIDAD
COMUNIDAD
COMUNIDAD
COMUNIDAD
COMUNIDAD
COMUNIDAD
COMUNIDAD
COMUNIDAD
COMUNIDAD
COMUNIDAD
COMUNIDAD
COMUNIDAD
COMUNIDAD
COMUNIDAD
COMUNIDAD
COMUNIDAD
COMUNIDAD
COMUNIDAD
COMUNIDAD
COMUNIDAD
COMUNIDAD
COMUNIDAD
COMUNIDAD
COMUNIDAD
COMUNIDAD
COMUNIDAD
COMUNIDAD
COMUNIDAD
COMUNIDAD
COMUNIDAD
COMUNIDAD
COMUNIDAD
COMUNIDAD
COMUNIDAD
COMUNIDAD
COMUNIDAD
COMUNIDAD
COMUNIDAD
COMUNIDAD
COMUNIDAD
COMUNIDAD
COMUNIDAD
COMUNIDAD
COMUNIDAD
COMUNIDAD
COMUNIDAD
COMUNIDAD
COMUNIDAD
COMUNIDAD
COMUNIDAD
COMUNIDAD
COMUNIDAD
COMUNIDAD
COMUNIDAD
COMUNIDAD
COMUNIDAD
COMUNIDAD
COMUNIDAD
COMUNIDAD
COMUNIDAD
COMUNIDAD
COMUNIDAD
COMUNIDAD
COMUNIDAD
COMUNIDAD
COMUNIDAD
COMUNIDAD
COMUNIDAD
COMUNIDAD
COMUNIDAD
COMUNIDAD
COMUNIDAD
COMUNIDAD
COMUNIDAD
COMUNIDAD
COMUNIDAD
COMUNIDAD
COMUNIDAD
COMUNIDAD
COMUNIDAD
COMUNIDAD
COMUNIDAD
COMUNIDAD
COMUNIDAD
COMUNIDAD
COMUNIDAD
COMUNIDAD
COMUNIDAD
COMUNIDAD
COMUNIDAD
COMUNIDAD
COMUNIDAD
COMUNIDAD
COMUNIDAD
COMUNIDAD
COMUNIDAD
COMUNIDAD
COMUNIDAD
COMUNIDAD
COMUNIDAD
COMUNIDAD
COMUNIDAD
COMUNIDAD
COMUNIDAD
COMUNIDAD
COMUNIDAD
COMUNIDAD
COMUNIDAD
COMUNIDAD
COMUNIDAD
COMUNIDAD
COMUNIDAD
COMUNIDAD
COMUNIDAD
COMUNIDAD
COMUNIDAD
COMUNIDAD
COMUNIDAD
COMUNIDAD
COMUNIDAD
COMUNIDAD
COMUNIDAD
COMUNIDAD
COMUNIDAD
COMUNIDAD
COMUNIDAD
COMUNIDAD
COMUNIDAD
COMUNIDAD
COMUNIDAD
COMUNIDAD
COMUNIDAD
COMUNIDAD
COMUNIDAD
COMUNIDAD
COMUNIDAD
COMUNIDAD
COMUNIDAD
COMUNIDAD
COMUNIDAD
COMUNIDAD
COMUNIDAD
COMUNIDAD
COMUNIDAD
COMUNIDAD
COMUNIDAD
COMUNIDAD
COMUNIDAD
COMUNIDAD
COMUNIDAD
COMUNIDAD
COMUNIDAD
COMUNIDAD
COMUNIDAD
COMUNIDAD
COMUNIDAD
COMUNIDAD
COMUNIDAD
COMUNIDAD
COMUNIDAD
COMUNIDAD
COMUNIDAD
COMUNIDAD
COMUNIDAD
COMUNIDAD
COMUNIDAD
COMUNIDAD
COMUNIDAD
COMUNIDAD
COMUNIDAD
COMUNIDAD
COMUNIDAD
COMUNIDAD
COMUNIDAD
COMUNIDAD
COMUNIDAD
COMUNIDAD
COMUNIDAD
COMUNIDAD
COMUNIDAD
COMUNIDAD
COMUNIDAD
COMUNIDAD
COMUNIDAD
COMUNIDAD
COMUNIDAD
COMUNIDAD
COMUNIDAD
COMUNIDAD
COMUNIDAD
COMUNIDAD
COMUNIDAD
COMUNIDAD
COMUNIDAD
COMUNIDAD
COMUNIDAD
COMUNIDAD
COMUNIDAD
COMUNIDAD
COMUNIDAD
COMUNIDAD
COMUNIDAD
COMUNIDAD
COMUNIDAD
COMUNIDAD
COMUNIDAD
COMUNIDAD
COMUNIDAD
COMUNIDAD
COMUNIDAD
COMUNIDAD
COMUNIDAD
COMUNIDAD
COMUNIDAD
COMUNIDAD
COMUNIDAD
COMUNIDAD
COMUNIDAD
COMUNIDAD
COMUNIDAD
COMUNIDAD
COMUNIDAD
COMUNIDAD
COMUNIDAD
COMUNIDAD
COMUNIDAD
COMUNIDAD
COMUNIDAD
COMUNIDAD
COMUNIDAD
COMUNIDAD
COMUNIDAD
COMUNIDAD
COMUNIDAD
COMUNIDAD
COMUNIDAD
COMUNIDAD
COMUNIDAD
COMUNIDAD
COMUNIDAD
COMUNIDAD
COMUNIDAD
COMUNIDAD
COMUNIDAD
COMUNIDAD
COMUNIDAD
COMUNIDAD
COMUNIDAD
COMUNIDAD
COMUNIDAD
COMUNIDAD
COMUNIDAD
COMUNIDAD
COMUNIDAD
COMUNIDAD
COMUNIDAD
COMUNIDAD
COMUNIDAD
COMUNIDAD
COMUNIDAD
COMUNIDAD
COMUNIDAD
COMUNIDAD
COMUNIDAD
COMUNIDAD
COMUNIDAD
COMUNIDAD
COMUNIDAD
COMUNIDAD
COMUNIDAD
COMUNIDAD
COMUNIDAD
COMUNIDAD
COMUNIDAD
COMUNIDAD
COMUNIDAD
COMUNIDAD
COMUNIDAD
COMUNIDAD
COMUNIDAD
COMUNIDAD
COMUNIDAD
COMUNIDAD
COMUNIDAD
COMUNIDAD
COMUNIDAD
COMUNIDAD
COMUNIDAD
COMUNIDAD
COMUNIDAD
COMUNIDAD
COMUNIDAD
COMUNIDAD
COMUNIDAD
COMUNIDAD
COMUNIDAD
COMUNIDAD
COMUNIDAD
COMUNIDAD
COMUNIDAD
COMUNIDAD
COMUNIDAD
COMUNIDAD
COMUNIDAD
COMUNIDAD
COMUNIDAD
COMUNIDAD
COMUNIDAD
COMUNIDAD
COMUNIDAD
COMUNIDAD
COMUNIDAD
COMUNIDAD
COMUNIDAD
COMUNIDAD
COMUNIDAD
COMUNIDAD
COMUNIDAD
COMUNIDAD
COMUNIDAD
COMUNIDAD
COMUNIDAD
COMUNIDAD
COMUNIDAD
COMUNIDAD
COMUNIDAD
COMUNIDAD
COMUNIDAD
COMUNIDAD
COMUNIDAD
COMUNIDAD
COMUNIDAD
COMUNIDAD
COMUNIDAD
COMUNIDAD
COMUNIDAD
COMUNIDAD
COMUNIDAD
COMUNIDAD
COMUNIDAD
COMUNIDAD
COMUNIDAD
COMUNIDAD
COMUNIDAD
COMUNIDAD
COMUNIDAD
COMUNIDAD
COMUNIDAD
COMUNIDAD
COMUNIDAD
COMUNIDAD
COMUNIDAD
COMUNIDAD
COMUNIDAD
COMUNIDAD
COMUNIDAD
COMUNIDAD
COMUNIDAD
COMUNIDAD
COMUNIDAD
COMUNIDAD
COMUNIDAD
COMUNIDAD
COMUNIDAD
COMUNIDAD
COMUNIDAD
COMUNIDAD
COMUNIDAD
COMUNIDAD
COMUNIDAD
COMUNIDAD
COMUNIDAD
COMUNIDAD
COMUNIDAD
COMUNIDAD
COMUNIDAD
COMUNIDAD
COMUNIDAD
COMUNIDAD
COMUNIDAD
COMUNIDAD
COMUNIDAD
COMUNIDAD
COMUNIDAD
COMUNIDAD
COMUNIDAD
COMUNIDAD
COMUNIDAD
COMUNIDAD
COMUNIDAD
COMUNIDAD
COMUNIDAD
COMUNIDAD
COMUNIDAD
COMUNIDAD
COMUNIDAD
COMUNIDAD
COMUNIDAD
COMUNIDAD
COMUNIDAD
COMUNIDAD
COMUNIDAD
COMUNIDAD
COMUNIDAD
COMUNIDAD
COMUNIDAD
COMUNIDAD
COMUNIDAD
COMUNIDAD
COMUNIDAD
COMUNIDAD
COMUNIDAD
COMUNIDAD
COMUNIDAD
COMUNIDAD
COMUNIDAD
COMUNIDAD
COMUNIDAD
COMUNIDAD
COMUNIDAD
COMUNIDAD
COMUNIDAD
COMUNIDAD
COMUNIDAD
COMUNIDAD
COMUNIDAD
COMUNIDAD
COMUNIDAD
COMUNIDAD
COMUNIDAD
COMUNIDAD
COMUNIDAD
COMUNIDAD
COMUNIDAD
COMUNIDAD
COMUNIDAD
COMUNIDAD
COMUNIDAD
COMUNIDAD
COMUNIDAD
COMUNIDAD
COMUNIDAD
COMUNIDAD
COMUNIDAD
COMUNIDAD
COMUNIDAD
COMUNIDAD
COMUNIDAD
COMUNIDAD
COMUNIDAD
COMUNIDAD
COMUNIDAD
COMUNIDAD
COMUNIDAD
COMUNIDAD
COMUNIDAD
COMUNIDAD
COMUNIDAD
COMUNIDAD
COMUNIDAD
COMUNIDAD
COMUNIDAD
COMUNIDAD
COMUNIDAD
COMUNIDAD
COMUNIDAD
COMUNIDAD
COMUNIDAD
COMUNIDAD
COMUNIDAD
COMUNIDAD
COMUNIDAD
COMUNIDAD
COMUNIDAD
COMUNIDAD
COMUNIDAD
COMUNIDAD
COMUNIDAD
COMUNIDAD
COMUNIDAD
COMUNIDAD
COMUNIDAD
COMUNIDAD
COMUNIDAD
COMUNIDAD
COMUNIDAD
COMUNIDAD
COMUNIDAD
COMUNIDAD
COMUNIDAD
COMUNIDAD
COMUNIDAD
COMUNIDAD
COMUNIDAD
COMUNIDAD
COMUNIDAD
COMUNIDAD
COMUNIDAD
COMUNIDAD
COMUNIDAD
COMUNIDAD
COMUNIDAD
COMUNIDAD
COMUNIDAD
COMUNIDAD
COMUNIDAD
COMUNIDAD
COMUNIDAD
COMUNIDAD
COMUNIDAD
COMUNIDAD
COMUNIDAD
COMUNIDAD
COMUNIDAD
COMUNIDAD
COMUNIDAD
COMUNIDAD
COMUNIDAD
COMUNIDAD
COMUNIDAD
COMUNIDAD
COMUNIDAD
COMUNIDAD
COMUNIDAD
COMUNIDAD
COMUNIDAD
COMUNIDAD
COMUNIDAD
COMUNIDAD
COMUNIDAD
COMUNIDAD
COMUNIDAD
COMUNIDAD
COMUNIDAD
COMUNIDAD
COMUNIDAD
COMUNIDAD
COMUNIDAD
COMUNIDAD
COMUNIDAD
COMUNIDAD
COMUNIDAD
COMUNIDAD
COMUNIDAD
COMUNIDAD
COMUNIDAD
COMUNIDAD
COMUNIDAD
COMUNIDAD
COMUNIDAD
COMUNIDAD
COMUNIDAD
COMUNIDAD
COMUNIDAD
COMUNIDAD
COMUNIDAD
COMUNIDAD
COMUNIDAD
COMUNIDAD
COMUNIDAD
COMUNIDAD
COMUNIDAD
COMUNIDAD
COMUNIDAD
COMUNIDAD
COMUNIDAD
COMUNIDAD
COMUNIDAD
COMUNIDAD
COMUNIDAD
COMUNIDAD
COMUNIDAD
COMUNIDAD
COMUNIDAD
COMUNIDAD
COMUNIDAD
COMUNIDAD
COMUNIDAD
COMUNIDAD
COMUNIDAD
COMUNIDAD
COMUNIDAD
COMUNIDAD
COMUNIDAD
COMUNIDAD
COMUNIDAD
COMUNIDAD
COMUNIDAD
COMUNIDAD
COMUNIDAD
COMUNIDAD
COMUNIDAD
COMUNIDAD
COMUNIDAD
COMUNIDAD
COMUNIDAD
COMUNIDAD
COMUNIDAD
COMUNIDAD
COMUNIDAD
COMUNIDAD
COMUNIDAD
COMUNIDAD
COMUNIDAD
COMUNIDAD
COMUNIDAD
COMUNIDAD
COMUNIDAD
COMUNIDAD
COMUNIDAD
COMUNIDAD
COMUNIDAD
COMUNIDAD
COMUNIDAD
COMUNIDAD
COMUNIDAD
COMUNIDAD
COMUNIDAD
COMUNIDAD
COMUNIDAD
COMUNIDAD
COMUNIDAD
COMUNIDAD
COMUNIDAD
COMUNIDAD
COMUNIDAD
COMUNIDAD
COMUNIDAD
COMUNIDAD
COMUNIDAD
COMUNIDAD
COMUNIDAD
COMUNIDAD
COMUNIDAD
COMUNIDAD
COMUNIDAD
COMUNIDAD
COMUNIDAD
COMUNIDAD
COMUNIDAD
COMUNIDAD
COMUNIDAD
COMUNIDAD
COMUNIDAD
COMUNIDAD
COMUNIDAD
COMUNIDAD
COMUNIDAD
COMUNIDAD
COMUNIDAD
COMUNIDAD
COMUNIDAD
COMUNIDAD
COMUNIDAD
COMUNIDAD
COMUNIDAD
COMUNIDAD
COMUNIDAD
COMUNIDAD
COMUNIDAD
COMUNIDAD
COMUNIDAD
COMUNIDAD
COMUNIDAD
COMUNIDAD
COMUNIDAD
COMUNIDAD
COMUNIDAD
COMUNIDAD
COMUNIDAD
COMUNIDAD
COMUNIDAD
COMUNIDAD
COMUNIDAD
COMUNIDAD
COMUNIDAD
COMUNIDAD
COMUNIDAD
COMUNIDAD
COMUNIDAD
COMUNIDAD
COMUNIDAD
COMUNIDAD
COMUNIDAD
COMUNIDAD
COMUNIDAD
COMUNIDAD
COMUNIDAD
COMUNIDAD
COMUNIDAD
COMUNIDAD
COMUNIDAD
COMUNIDAD
COMUNIDAD
COMUNIDAD
COMUNIDAD
COMUNIDAD
COMUNIDAD
COMUNIDAD
COMUNIDAD
COMUNIDAD
COMUNIDAD
COMUNIDAD
COMUNIDAD
COMUNIDAD
COMUNIDAD
COMUNIDAD
COMUNIDAD
COMUNIDAD
COMUNIDAD
COMUNIDAD
COMUNIDAD
COMUNIDAD
COMUNIDAD
COMUNIDAD
COMUNIDAD
COMUNIDAD
COMUNIDAD
COMUNIDAD
COMUNIDAD
COMUNIDAD
COMUNIDAD
COMUNIDAD
COMUNIDAD
COMUNIDAD
COMUNIDAD
COMUNIDAD
COMUNIDAD
COMUNIDAD
COMUNIDAD
COMUNIDAD
COMUNIDAD
COMUNIDAD
COMUNIDAD
COMUNIDAD
COMUNIDAD
COMUNIDAD
COMUNIDAD
COMUNIDAD
COMUNIDAD
COMUNIDAD
COMUNIDAD
COMUNIDAD
COMUNIDAD
COMUNIDAD
COMUNIDAD
COMUNIDAD
COMUNIDAD
COMUNIDAD
COMUNIDAD
COMUNIDAD
COMUNIDAD
COMUNIDAD
COMUNIDAD
COMUNIDAD
COMUNIDAD
COMUNIDAD
COMUNIDAD
COMUNIDAD
COMUNIDAD
COMUNIDAD
COMUNIDAD
COMUNIDAD
COMUNIDAD
COMUNIDAD
COMUNIDAD
COMUNIDAD
COMUNIDAD
COMUNIDAD
COMUNIDAD
COMUNIDAD
COMUNIDAD
COMUNIDAD
COMUNIDAD
COMUNIDAD
COMUNIDAD
COMUNIDAD
COMUNIDAD
COMUNIDAD
COMUNIDAD
COMUNIDAD
COMUNIDAD
COMUNIDAD
COMUNIDAD
COMUNIDAD
COMUNIDAD
COMUNIDAD
COMUNIDAD
COMUNIDAD
COMUNIDAD
COMUNIDAD
COMUNIDAD
COMUNIDAD
COMUNIDAD
COMUNIDAD
COMUNIDAD
COMUNIDAD
COMUNIDAD
COMUNIDAD
COMUNIDAD
COMUNIDAD
COMUNIDAD
COMUNIDAD
COMUNIDAD
COMUNIDAD
COMUNIDAD
COMUNIDAD
COMUNIDAD
COMUNIDAD
COMUNIDAD
COMUNIDAD
COMUNIDAD
COMUNIDAD
COMUNIDAD
COMUNIDAD
COMUNIDAD
COMUNIDAD
COMUNIDAD
COMUNIDAD
COMUNIDAD
COMUNIDAD
COMUNIDAD
COMUNIDAD
COMUNIDAD
COMUNIDAD
COMUNIDAD
COMUNIDAD
COMUNIDAD
COMUNIDAD
COMUNIDAD
COMUNIDAD
COMUNIDAD
COMUNIDAD
COMUNIDAD
COMUNIDAD
COMUNIDAD
COMUNIDAD
COMUNIDAD
COMUNIDAD
COMUNIDAD
COMUNIDAD
COMUNIDAD
COMUNIDAD
COMUNIDAD
COMUNIDAD
COMUNIDAD
COMUNIDAD
COMUNIDAD
COMUNIDAD
COMUNIDAD
COMUNIDAD
COMUNIDAD
COMUNIDAD
COMUNIDAD
COMUNIDAD
COMUNIDAD
COMUNIDAD
COMUNIDAD
COMUNIDAD
COMUNIDAD
COMUNIDAD
COMUNIDAD
COMUNIDAD
COMUNIDAD
COMUNIDAD
COMUNIDAD
COMUNIDAD
COMUNIDAD
COMUNIDAD
COMUNIDAD
COMUNIDAD
COMUNIDAD
COMUNIDAD
COMUNIDAD
COMUNIDAD
COMUNIDAD
COMUNIDAD
COMUNIDAD
COMUNIDAD
COMUNIDAD
COMUNIDAD
COMUNIDAD
COMUNIDAD
COMUNIDAD
COMUNIDAD
COMUNIDAD
COMUNIDAD
COMUNIDAD
COMUNIDAD
COMUNIDAD
COMUNIDAD
COMUNIDAD
COMUNIDAD
COMUNIDAD
COMUNIDAD
COMUNIDAD
COMUNIDAD
COMUNIDAD
COMUNIDAD
COMUNIDAD
COMUNIDAD
COMUNIDAD
COMUNIDAD
COMUNIDAD
COMUNIDAD
COMUNIDAD
COMUNIDAD
COMUNIDAD
COMUNIDAD
COMUNIDAD
COMUNIDAD
COMUNIDAD
COMUNIDAD
COMUNIDAD
COMUNIDAD
COMUNIDAD
COMUNIDAD
COMUNIDAD
COMUNIDAD
COMUNIDAD
COMUNIDAD
COMUNIDAD
COMUNIDAD
COMUNIDAD
COMUNIDAD
COMUNIDAD
COMUNIDAD
COMUNIDAD
COMUNIDAD
COMUNIDAD
COMUNIDAD
COMUNIDAD
COMUNIDAD
COMUNIDAD
COMUNIDAD
COMUNIDAD
COMUNIDAD
COMUNIDAD
COMUNIDAD
COMUNIDAD
COMUNIDAD
COMUNIDAD
COMUNIDAD
COMUNIDAD
COMUNIDAD
COMUNIDAD
COMUNIDAD
COMUNIDAD
COMUNIDAD
COMUNIDAD
COMUNIDAD
COMUNIDAD
COMUNIDAD
COMUNIDAD
COMUNIDAD
COMUNIDAD
COMUNIDAD
COMUNIDAD
COMUNIDAD
COMUNIDAD
COMUNIDAD
COMUNIDAD
COMUNIDAD
COMUNIDAD
COMUNIDAD
COMUNIDAD
COMUNIDAD
COMUNIDAD
COMUNIDAD
COMUNIDAD
COMUNIDAD
COMUNIDAD
COMUNIDAD
COMUNIDAD
COMUNIDAD
COMUNIDAD
COMUNIDAD
COMUNIDAD
COMUNIDAD
COMUNIDAD
COMUNIDAD
COMUNIDAD
COMUNIDAD
COMUNIDAD
COMUNIDAD
COMUNIDAD
COMUNIDAD
COMUNIDAD
COMUNIDAD
COMUNIDAD
COMUNIDAD
COMUNIDAD
COMUNIDAD
COMUNIDAD
COMUNIDAD
COMUNIDAD
COMUNIDAD
COMUNIDAD
COMUNIDAD
COMUNIDAD
COMUNIDAD
COMUNIDAD
COMUNIDAD
COMUNIDAD
COMUNIDAD
COMUNIDAD
COMUNIDAD
COMUNIDAD
COMUNIDAD
COMUNIDAD
COMUNIDAD
COMUNIDAD
COMUNIDAD
COMUNIDAD
COMUNIDAD
COMUNIDAD
COMUNIDAD
COMUNIDAD
COMUNIDAD
COMUNIDAD
COMUNIDAD
COMUNIDAD
COMUNIDAD
COMUNIDAD
COMUNIDAD
COMUNIDAD
COMUNIDAD
COMUNIDAD
COMUNIDAD
COMUNIDAD
COMUNIDAD
COMUNIDAD
COMUNIDAD
COMUNIDAD
COMUNIDAD
COMUNIDAD
COMUNIDAD
COMUNIDAD
COMUNIDAD
COMUNIDAD
COMUNIDAD
COMUNIDAD
COMUNIDAD
COMUNIDAD
COMUNIDAD
COMUNIDAD
COMUNIDAD
COMUNIDAD
COMUNIDAD
COMUNIDAD
COMUNIDAD
COMUNIDAD
COMUNIDAD
COMUNIDAD
COMUNIDAD
COMUNIDAD
COMUNIDAD
COMUNIDAD
COMUNIDAD
COMUNIDAD
COMUNIDAD
COMUNIDAD
COMUNIDAD
COMUNIDAD
COMUNIDAD
COMUNIDAD
COMUNIDAD
COMUNIDAD
COMUNIDAD
COMUNIDAD
COMUNIDAD
COMUNIDAD
COMUNIDAD
COMUNIDAD
COMUNIDAD
COMUNIDAD
COMUNIDAD
COMUNIDAD
COMUNIDAD
COMUNIDAD
COMUNIDAD
COMUNIDAD
COMUNIDAD
COMUNIDAD
COMUNIDAD
COMUNIDAD
COMUNIDAD
COMUNIDAD
COMUNIDAD
COMUNIDAD
COMUNIDAD
COMUNIDAD
COMUNIDAD
COMUNIDAD
COMUNIDAD
COMUNIDAD
COMUNIDAD
COMUNIDAD
COMUNIDAD
COMUNIDAD
COMUNIDAD
COMUNIDAD
COMUNIDAD
COMUNIDAD
COMUNIDAD
COMUNIDAD
COMUNIDAD
COMUNIDAD
COMUNIDAD
COMUNIDAD
COMUNIDAD
COMUNIDAD
COMUNIDAD
COMUNIDAD
COMUNIDAD
COMUNIDAD
COMUNIDAD
COMUNIDAD
COMUNIDAD
COMUNIDAD
COMUNIDAD
COMUNIDAD
COMUNIDAD
COMUNIDAD
COMUNIDAD
COMUNIDAD
COMUNIDAD
COMUNIDAD
COMUNIDAD
COMUNIDAD
COMUNIDAD
COMUNIDAD
COMUNIDAD
COMUNIDAD
COMUNIDAD
COMUNIDAD
COMUNIDAD
COMUNIDAD
COMUNIDAD
COMUNIDAD
COMUNIDAD
COMUNIDAD
COMUNIDAD
COMUNIDAD
COMUNIDAD
COMUNIDAD
COMUNIDAD
COMUNIDAD
COMUNIDAD
COMUNIDAD
COMUNIDAD
COMUNIDAD
COMUNIDAD
COMUNIDAD
COMUNIDAD
COMUNIDAD
COMUNIDAD
COMUNIDAD
COMUNIDAD
COMUNIDAD
COMUNIDAD
COMUNIDAD
COMUNIDAD
COMUNIDAD
COMUNIDAD
COMUNIDAD
COMUNIDAD
COMUNIDAD
COMUNIDAD
COMUNIDAD
COMUNIDAD
COMUNIDAD
COMUNIDAD
COMUNIDAD
COMUNIDAD
COMUNIDAD
COMUNIDAD
COMUNIDAD
COMUNIDAD
COMUNIDAD
COMUNIDAD
COMUNIDAD
COMUNIDAD
COMUNIDAD
COMUNIDAD
COMUNIDAD
COMUNIDAD
COMUNIDAD
COMUNIDAD
COMUNIDAD
COMUNIDAD
COMUNIDAD
COMUNIDAD
COMUNIDAD
COMUNIDAD
COMUNIDAD
COMUNIDAD
COMUNIDAD
COMUNIDAD
COMUNIDAD
COMUNIDAD
COMUNIDAD
COMUNIDAD
COMUNIDAD
COMUNIDAD
COMUNIDAD
COMUNIDAD
COMUNIDAD
COMUNIDAD
COMUNIDAD
COMUNIDAD
COMUNIDAD
COMUNIDAD
COMUNIDAD
COMUNIDAD
COMUNIDAD
COMUNIDAD
COMUNIDAD
COMUNIDAD
COMUNIDAD
COMUNIDAD
COMUNIDAD
COMUNIDAD
COMUNIDAD
COMUNIDAD
COMUNIDAD
COMUNIDAD
COMUNIDAD
COMUNIDAD
COMUNIDAD
COMUNIDAD
COMUNIDAD
COMUNIDAD
COMUNIDAD
COMUNIDAD
COMUNIDAD
COMUNIDAD
COMUNIDAD
COMUNIDAD
COMUNIDAD
COMUNIDAD
COMUNIDAD
COMUNIDAD
COMUNIDAD
COMUNIDAD
COMUNIDAD
COMUNIDAD
COMUNIDAD
COMUNIDAD
COMUNIDAD
COMUNIDAD
COMUNIDAD
COMUNIDAD
COMUNIDAD
COMUNIDAD
COMUNIDAD
COMUNIDAD
COMUNIDAD
COMUNIDAD
COMUNIDAD
COMUNIDAD
COMUNIDAD
COMUNIDAD
COMUNIDAD
COMUNIDAD
COMUNIDAD
COMUNIDAD
COMUNIDAD
COMUNIDAD
COMUNIDAD
COMUNIDAD
COMUNIDAD
COMUNIDAD
COMUNIDAD
COMUNIDAD
COMUNIDAD
COMUNIDAD
COMUNIDAD
COMUNIDAD
COMUNIDAD
COMUNIDAD
COMUNIDAD
COMUNIDAD
COMUNIDAD
COMUNIDAD
COMUNIDAD
COMUNIDAD
COMUNIDAD
COMUNIDAD
COMUNIDAD
COMUNIDAD
COMUNIDAD
COMUNIDAD
COMUNIDAD
COMUNIDAD
COMUNIDAD
COMUNIDAD
COMUNIDAD
COMUNIDAD
COMUNIDAD
COMUNIDAD
COMUNIDAD
COMUNIDAD
COMUNIDAD
COMUNIDAD
COMUNIDAD
COMUNIDAD
COMUNIDAD
COMUNIDAD
COMUNIDAD
COMUNIDAD
COMUNIDAD
COMUNIDAD
COMUNIDAD
COMUNIDAD
COMUNIDAD
COMUNIDAD
COMUNIDAD
COMUNIDAD
COMUNIDAD
COMUNIDAD
COMUNIDAD
COMUNIDAD
COMUNIDAD
COMUNIDAD
COMUNIDAD
COMUNIDAD
COMUNIDAD
COMUNIDAD
COMUNIDAD
COMUNIDAD
COMUNIDAD
COMUNIDAD
COMUNIDAD
COMUNIDAD
COMUNIDAD
COMUNIDAD
COMUNIDAD
COMUNIDAD
COMUNIDAD
COMUNIDAD
COMUNIDAD
COMUNIDAD
COMUNIDAD
COMUNIDAD
COMUNIDAD
COMUNIDAD
COMUNIDAD
COMUNIDAD
COMUNIDAD
COMUNIDAD
COMUNIDAD
COMUNIDAD
COMUNIDAD
COMUNIDAD
COMUNIDAD
COMUNIDAD
COMUNIDAD
COMUNIDAD
COMUNIDAD
COMUNIDAD
COMUNIDAD
COMUNIDAD
COMUNIDAD
COMUNIDAD
COMUNIDAD
COMUNIDAD
COMUNIDAD
COMUNIDAD
COMUNIDAD
COMUNIDAD
COMUNIDAD
COMUNIDAD
COMUNIDAD
COMUNIDAD
COMUNIDAD
COMUNIDAD
COMUNIDAD
COMUNIDAD
COMUNIDAD
COMUNIDAD
COMUNIDAD
COMUNIDAD
COMUNIDAD
COMUNIDAD
COMUNIDAD
COMUNIDAD
COMUNIDAD
COMUNIDAD
COMUNIDAD
COMUNIDAD
COMUNIDAD
COMUNIDAD
COMUNIDAD
COMUNIDAD
COMUNIDAD
COMUNIDAD
COMUNIDAD
COMUNIDAD
COMUNIDAD
COMUNIDAD
COMUNIDAD
COMUNIDAD
COMUNIDAD
COMUNIDAD
COMUNIDAD
COMUNIDAD
COMUNIDAD
COMUNIDAD
COMUNIDAD
COMUNIDAD
COMUNIDAD
COMUNIDAD
COMUNIDAD
COMUNIDAD
COMUNIDAD
COMUNIDAD
COMUNIDAD
COMUNIDAD
COMUNIDAD
COMUNIDAD
COMUNIDAD
COMUNIDAD
COMUNIDAD
COMUNIDAD
COMUNIDAD
COMUNIDAD
COMUNIDAD
COMUNIDAD
COMUNIDAD
COMUNIDAD
COMUNIDAD
COMUNIDAD
COMUNIDAD
COMUNIDAD
COMUNIDAD
COMUNIDAD
COMUNIDAD
COMUNIDAD
COMUNIDAD
COMUNIDAD
COMUNIDAD
COMUNIDAD
COMUNIDAD
COMUNIDAD
COMUNIDAD
COMUNIDAD
COMUNIDAD
COMUNIDAD
COMUNIDAD
COMUNIDAD
COMUNIDAD
COMUNIDAD
COMUNIDAD
COMUNIDAD
COMUNIDAD
COMUNIDAD
COMUNIDAD
COMUNIDAD
COMUNIDAD
COMUNIDAD
COMUNIDAD
COMUNIDAD
COMUNIDAD
COMUNIDAD
COMUNIDAD
COMUNIDAD
COMUNIDAD
COMUNIDAD
COMUNIDAD
COMUNIDAD
COMUNIDAD
COMUNIDAD
COMUNIDAD
COMUNIDAD
COMUNIDAD
COMUNIDAD
COMUNIDAD
COMUNIDAD
COMUNIDAD
COMUNIDAD
COMUNIDAD
COMUNIDAD
COMUNIDAD
COMUNIDAD
COMUNIDAD
COMUNIDAD
COMUNIDAD
COMUNIDAD
COMUNIDAD
COMUNIDAD
COMUNIDAD
COMUNIDAD
COMUNIDAD
COMUNIDAD
COMUNIDAD
COMUNIDAD
COMUNIDAD
COMUNIDAD
COMUNIDAD
COMUNIDAD
COMUNIDAD
COMUNIDAD
COMUNIDAD
COMUNIDAD
COMUNIDAD
COMUNIDAD
COMUNIDAD
COMUNIDAD
COMUNIDAD
COMUNIDAD
COMUNIDAD
COMUNIDAD
COMUNIDAD
COMUNIDAD
COMUNIDAD
COMUNIDAD
COMUNIDAD
COMUNIDAD
COMUNIDAD
COMUNIDAD
COMUNIDAD
COMUNIDAD
COMUNIDAD
COMUNIDAD
COMUNIDAD
COMUNIDAD
COMUNIDAD
COMUNIDAD
COMUNIDAD
COMUNIDAD
COMUNIDAD
COMUNIDAD
COMUNIDAD
COMUNIDAD
COMUNIDAD
COMUNIDAD
COMUNIDAD
COMUNIDAD
COMUNIDAD
COMUNIDAD
COMUNIDAD
COMUNIDAD
COMUNIDAD
COMUNIDAD
COMUNIDAD
COMUNIDAD
COMUNIDAD
COMUNIDAD
COMUNIDAD
COMUNIDAD
COMUNIDAD
COMUNIDAD
COMUNIDAD
COMUNIDAD
COMUNIDAD
COMUNIDAD
COMUNIDAD
COMUNIDAD
COMUNIDAD
COMUNIDAD
COMUNIDAD
COMUNIDAD
COMUNIDAD
COMUNIDAD
COMUNIDAD
COMUNIDAD
COMUNIDAD
COMUNIDAD
COMUNIDAD
COMUNIDAD
COMUNIDAD
COMUNIDAD
COMUNIDAD
COMUNIDAD
COMUNIDAD
COMUNIDAD
COMUNIDAD
COMUNIDAD
COMUNIDAD
COMUNIDAD
COMUNIDAD
COMUNIDAD
COMUNIDAD
COMUNIDAD
COMUNIDAD
COMUNIDAD
COMUNIDAD
COMUNIDAD
COMUNIDAD
COMUNIDAD
COMUNIDAD
COMUNIDAD
COMUNIDAD
COMUNIDAD
COMUNIDAD
COMUNIDAD
COMUNIDAD
COMUNIDAD
COMUNIDAD
COMUNIDAD
COMUNIDAD
COMUNIDAD
COMUNIDAD
COMUNIDAD
COMUNIDAD
COMUNIDAD
COMUNIDAD
COMUNIDAD
COMUNIDAD
COMUNIDAD
COMUNIDAD
COMUNIDAD
COMUNIDAD
COMUNIDAD
COMUNIDAD
COMUNIDAD
COMUNIDAD
COMUNIDAD
COMUNIDAD
COMUNIDAD
COMUNIDAD
COMUNIDAD
COMUNIDAD
COMUNIDAD
COMUNIDAD
COMUNIDAD
COMUNIDAD
COMUNIDAD
COMUNIDAD
COMUNIDAD
COMUNIDAD
COMUNIDAD
COMUNIDAD
COMUNIDAD
COMUNIDAD
COMUNIDAD
COMUNIDAD
COMUNIDAD
COMUNIDAD
COMUNIDAD
COMUNIDAD
COMUNIDAD
COMUNIDAD
COMUNIDAD
COMUNIDAD
COMUNIDAD
COMUNIDAD
COMUNIDAD
COMUNIDAD
COMUNIDAD
COMUNIDAD
COMUNIDAD
COMUNIDAD
COMUNIDAD
COMUNIDAD
COMUNIDAD
COMUNIDAD
COMUNIDAD
COMUNIDAD
COMUNIDAD
COMUNIDAD
COMUNIDAD
COMUNIDAD
COMUNIDAD
COMUNIDAD
COMUNIDAD
COMUNIDAD
COMUNIDAD
COMUNIDAD
COMUNIDAD
COMUNIDAD
COMUNIDAD
COMUNIDAD
COMUNIDAD
COMUNIDAD
COMUNIDAD
COMUNIDAD
COMUNIDAD
COMUNIDAD
COMUNIDAD
COMUNIDAD
COMUNIDAD
COMUNIDAD
COMUNIDAD
COMUNIDAD
COMUNIDAD
COMUNIDAD
COMUNIDAD
COMUNIDAD
COMUNIDAD
COMUNIDAD
COMUNIDAD
COMUNIDAD
COMUNIDAD
COMUNIDAD
COMUNIDAD
COMUNIDAD
COMUNIDAD
COMUNIDAD
COMUNIDAD
COMUNIDAD
COMUNIDAD
COMUNIDAD
COMUNIDAD
COMUNIDAD
COMUNIDAD
COMUNIDAD
COMUNIDAD
COMUNIDAD
COMUNIDAD
COMUNIDAD
COMUNIDAD
COMUNIDAD
COMUNIDAD
COMUNIDAD
COMUNIDAD
COMUNIDAD
COMUNIDAD
COMUNIDAD
COMUNIDAD
COMUNIDAD
COMUNIDAD
COMUNIDAD
COMUNIDAD
COMUNIDAD
COMUNIDAD
COMUNIDAD
COMUNIDAD
COMUNIDAD
COMUNIDAD
COMUNIDAD
COMUNIDAD
COMUNIDAD
COMUNIDAD
COMUNIDAD
COMUNIDAD
COMUNIDAD
COMUNIDAD
COMUNIDAD
COMUNIDAD
COMUNIDAD
COMUNIDAD
COMUNIDAD
COMUNIDAD
COMUNIDAD
COMUNIDAD
COMUNIDAD
COMUNIDAD
COMUNIDAD
COMUNIDAD
COMUNIDAD
COMUNIDAD
COMUNIDAD
COMUNIDAD
COMUNIDAD
COMUNIDAD
COMUNIDAD
COMUNIDAD
COMUNIDAD
COMUNIDAD
COMUNIDAD
COMUNIDAD
COMUNIDAD
COMUNIDAD
COMUNIDAD
COMUNIDAD
COMUNIDAD
COMUNIDAD
COMUNIDAD
COMUNIDAD
COMUNIDAD
COMUNIDAD
COMUNIDAD
COMUNIDAD
COMUNIDAD
COMUNIDAD
COMUNIDAD
COMUNIDAD
COMUNIDAD
COMUNIDAD
COMUNIDAD
COMUNIDAD
COMUNIDAD
COMUNIDAD
COMUNIDAD
COMUNIDAD
COMUNIDAD
COMUNIDAD
COMUNIDAD
COMUNIDAD
COMUNIDAD
COMUNIDAD
COMUNIDAD
COMUNIDAD
COMUNIDAD
COMUNIDAD
COMUNIDAD
COMUNIDAD
COMUNIDAD
COMUNIDAD
COMUNIDAD
COMUNIDAD
COMUNIDAD
COMUNIDAD
COMUNIDAD
COMUNIDAD
COMUNIDAD
COMUNIDAD
COMUNIDAD
COMUNIDAD
COMUNIDAD
COMUNIDAD
COMUNIDAD
COMUNIDAD
COMUNIDAD
COMUNIDAD
COMUNIDAD
COMUNIDAD
COMUNIDAD
COMUNIDAD
COMUNIDAD
COMUNIDAD
COMUNIDAD
COMUNIDAD
COMUNIDAD
COMUNIDAD
COMUNIDAD
COMUNIDAD
COMUNIDAD
COMUNIDAD
COMUNIDAD
COMUNIDAD
COMUNIDAD
COMUNIDAD
COMUNIDAD
COMUNIDAD
COMUNIDAD
COMUNIDAD
COMUNIDAD
COMUNIDAD
COMUNIDAD
COMUNIDAD
COMUNIDAD
COMUNIDAD
COMUNIDAD
COMUNIDAD
COMUNIDAD
COMUNIDAD
COMUNIDAD
COMUNIDAD
COMUNIDAD
COMUNIDAD
COMUNIDAD
COMUNIDAD
COMUNIDAD
COMUNIDAD
COMUNIDAD
COMUNIDAD
COMUNIDAD
COMUNIDAD
COMUNIDAD
COMUNIDAD
COMUNIDAD
COMUNIDAD
COMUNIDAD
COMUNIDAD
COMUNIDAD
COMUNIDAD
COMUNIDAD
COMUNIDAD
COMUNIDAD
COMUNIDAD
COMUNIDAD
COMUNIDAD
COMUNIDAD
COMUNIDAD
COMUNIDAD
COMUNIDAD
COMUNIDAD
COMUNIDAD
COMUNIDAD
COMUNIDAD
COMUNIDAD
COMUNIDAD
COMUNIDAD
COMUNIDAD
COMUNIDAD
COMUNIDAD
COMUNIDAD
COMUNIDAD
COMUNIDAD
COMUNIDAD
COMUNIDAD
COMUNIDAD
COMUNIDAD
COMUNIDAD
COMUNIDAD
COMUNIDAD
COMUNIDAD
COMUNIDAD
COMUNIDAD
COMUNIDAD
COMUNIDAD
COMUNIDAD
COMUNIDAD
COMUNIDAD
COMUNIDAD
COMUNIDAD
COMUNIDAD
COMUNIDAD
COMUNIDAD
COMUNIDAD
COMUNIDAD
COMUNIDAD
COMUNIDAD
COMUNIDAD
COMUNIDAD
COMUNIDAD
COMUNIDAD
COMUNIDAD
COMUNIDAD
COMUNIDAD
COMUNIDAD
COMUNIDAD
COMUNIDAD
COMUNIDAD
COMUNIDAD
COMUNIDAD
COMUNIDAD
COMUNIDAD
COMUNIDAD
COMUNIDAD
COMUNIDAD
COMUNIDAD
COMUNIDAD
COMUNIDAD
COMUNIDAD
COMUNIDAD
COMUNIDAD
COMUNIDAD
COMUNIDAD
COMUNIDAD
COMUNIDAD
COMUNIDAD
COMUNIDAD
COMUNIDAD
COMUNIDAD
COMUNIDAD
COMUNIDAD
COMUNIDAD
COMUNIDAD
COMUNIDAD
COMUNIDAD
COMUNIDAD
COMUNIDAD
COMUNIDAD
COMUNIDAD
COMUNIDAD
COMUNIDAD
COMUNIDAD
COMUNIDAD
COMUNIDAD
COMUNIDAD
COMUNIDAD
COMUNIDAD
COMUNIDAD
COMUNIDAD
COMUNIDAD
COMUNIDAD
COMUNIDAD
COMUNIDAD
COMUNIDAD
COMUNIDAD
COMUNIDAD
COMUNIDAD
COMUNIDAD
COMUNIDAD
COMUNIDAD
COMUNIDAD
COMUNIDAD
COMUNIDAD
COMUNIDAD
COMUNIDAD
COMUNIDAD
COMUNIDAD
COMUNIDAD
COMUNIDAD
COMUNIDAD
COMUNIDAD
COMUNIDAD
COMUNIDAD
COMUNIDAD
COMUNIDAD
COMUNIDAD
COMUNIDAD
COMUNIDAD
COMUNIDAD
COMUNIDAD
COMUNIDAD
COMUNIDAD
COMUNIDAD
COMUNIDAD
COMUNIDAD
COMUNIDAD
COMUNIDAD
COMUNIDAD
COMUNIDAD
COMUNIDAD
COMUNIDAD
COMUNIDAD
COMUNIDAD
COMUNIDAD
COMUNIDAD
COMUNIDAD
COMUNIDAD
COMUNIDAD
COMUNIDAD
COMUNIDAD
COMUNIDAD
COMUNIDAD
COMUNIDAD
COMUNIDAD
COMUNIDAD
COMUNIDAD
COMUNIDAD
COMUNIDAD
COMUNIDAD
COMUNIDAD
COMUNIDAD
COMUNIDAD
COMUNIDAD
COMUNIDAD
COMUNIDAD
COMUNIDAD
COMUNIDAD
COMUNIDAD
COMUNIDAD
COMUNIDAD
COMUNIDAD
COMUNIDAD
COMUNIDAD
COMUNIDAD
COMUNIDAD
COMUNIDAD
COMUNIDAD
COMUNIDAD
COMUNIDAD
COMUNIDAD
COMUNIDAD
COMUNIDAD
COMUNIDAD
COMUNIDAD
COMUNIDAD
COMUNIDAD
COMUNIDAD
COMUNIDAD
COMUNIDAD
COMUNIDAD
COMUNIDAD
COMUNIDAD
COMUNIDAD
COMUNIDAD
COMUNIDAD
COMUNIDAD
COMUNIDAD
COMUNIDAD
COMUNIDAD
COMUNIDAD
COMUNIDAD
COMUNIDAD
COMUNIDAD
COMUNIDAD
COMUNIDAD
COMUNIDAD
COMUNIDAD
COMUNIDAD
COMUNIDAD
COMUNIDAD
COMUNIDAD
COMUNIDAD
COMUNIDAD
COMUNIDAD
COMUNIDAD
COMUNIDAD
COMUNIDAD
COMUNIDAD
COMUNIDAD
COMUNIDAD
COMUNIDAD
COMUNIDAD
COMUNIDAD
COMUNIDAD
COMUNIDAD
COMUNIDAD
COMUNIDAD
COMUNIDAD
COMUNIDAD
COMUNIDAD
COMUNIDAD
COMUNIDAD
COMUNIDAD
COMUNIDAD
COMUNIDAD
COMUNIDAD
COMUNIDAD
COMUNIDAD
COMUNIDAD
COMUNIDAD
COMUNIDAD
COMUNIDAD
COMUNIDAD
COMUNIDAD
COMUNIDAD
COMUNIDAD
COMUNIDAD
COMUNIDAD
COMUNIDAD
COMUNIDAD
COMUNIDAD
COMUNIDAD
COMUNIDAD
COMUNIDAD
COMUNIDAD
COMUNIDAD
COMUNIDAD
COMUNIDAD
COMUNIDAD
COMUNIDAD
COMUNIDAD
COMUNIDAD
COMUNIDAD
COMUNIDAD
COMUNIDAD
COMUNIDAD
COMUNIDAD
COMUNIDAD
COMUNIDAD
COMUNIDAD
COMUNIDAD
COMUNIDAD
COMUNIDAD
COMUNIDAD
COMUNIDAD
COMUNIDAD
COMUNIDAD
COMUNIDAD
COMUNIDAD
COMUNIDAD
COMUNIDAD
COMUNIDAD
COMUNIDAD
COMUNIDAD
COMUNIDAD
COMUNIDAD
COMUNIDAD
COMUNIDAD
COMUNIDAD
COMUNIDAD
COMUNIDAD
COMUNIDAD
COMUNIDAD
COMUNIDAD
COMUNIDAD
COMUNIDAD
COMUNIDAD
COMUNIDAD
COMUNIDAD
COMUNIDAD
COMUNIDAD
COMUNIDAD
COMUNIDAD
COMUNIDAD
COMUNIDAD
COMUNIDAD
COMUNIDAD
COMUNIDAD
COMUNIDAD
COMUNIDAD
COMUNIDAD
COMUNIDAD
COMUNIDAD
COMUNIDAD
COMUNIDAD
COMUNIDAD
COMUNIDAD
COMUNIDAD
COMUNIDAD
COMUNIDAD
COMUNIDAD
COMUNIDAD
COMUNIDAD
COMUNIDAD
COMUNIDAD
COMUNIDAD
COMUNIDAD
COMUNIDAD
COMUNIDAD
COMUNIDAD
COMUNIDAD
COMUNIDAD
COMUNIDAD
COMUNIDAD
COMUNIDAD
COMUNIDAD
COMUNIDAD
COMUNIDAD
COMUNIDAD
COMUNIDAD
COMUNIDAD
COMUNIDAD
COMUNIDAD
COMUNIDAD
COMUNIDAD
COMUNIDAD
COMUNIDAD
COMUNIDAD
COMUNIDAD
COMUNIDAD
COMUNIDAD
COMUNIDAD
COMUNIDAD
COMUNIDAD
COMUNIDAD
COMUNIDAD
COMUNIDAD
COMUNIDAD
COMUNIDAD
COMUNIDAD
COMUNIDAD
COMUNIDAD
COMUNIDAD
COMUNIDAD
COMUNIDAD
COMUNIDAD
COMUNIDAD
COMUNIDAD
COMUNIDAD
COMUNIDAD
COMUNIDAD
COMUNIDAD
COMUNIDAD
COMUNIDAD
COMUNIDAD
COMUNIDAD
COMUNIDAD
COMUNIDAD
COMUNIDAD
COMUNIDAD
COMUNIDAD
COMUNIDAD
COMUNIDAD
COMUNIDAD
COMUNIDAD
COMUNIDAD
COMUNIDAD
COMUNIDAD
COMUNIDAD
COMUNIDAD
COMUNIDAD
COMUNIDAD
COMUNIDAD
COMUNIDAD
COMUNIDAD
COMUNIDAD
COMUNIDAD
COMUNIDAD
COMUNIDAD
COMUNIDAD
COMUNIDAD
COMUNIDAD
COMUNIDAD
COMUNIDAD
COMUNIDAD
COMUNIDAD
COMUNIDAD
COMUNIDAD
COMUNIDAD
COMUNIDAD
COMUNIDAD
COMUNIDAD
COMUNIDAD
COMUNIDAD
COMUNIDAD
COMUNIDAD
COMUNIDAD
COMUNIDAD
COMUNIDAD
COMUNIDAD
COMUNIDAD
COMUNIDAD
COMUNIDAD
COMUNIDAD
COMUNIDAD
COMUNIDAD
COMUNIDAD
COMUNIDAD
COMUNIDAD
COMUNIDAD
COMUNIDAD
COMUNIDAD
COMUNIDAD
COMUNIDAD
COMUNIDAD
COMUNIDAD
COMUNIDAD
COMUNIDAD
COMUNIDAD
COMUNIDAD
COMUNIDAD
COMUNIDAD
COMUNIDAD
COMUNIDAD
COMUNIDAD
COMUNIDAD
COMUNIDAD
COMUNIDAD
COMUNIDAD
COMUNIDAD
COMUNIDAD
COMUNIDAD
COMUNIDAD
COMUNIDAD
COMUNIDAD
COMUNIDAD
COMUNIDAD
COMUNIDAD
COMUNIDAD
COMUNIDAD
COMUNIDAD
COMUNIDAD
COMUNIDAD
COMUNIDAD
COMUNIDAD
COMUNIDAD
COMUNIDAD
COMUNIDAD
COMUNIDAD
COMUNIDAD
COMUNIDAD
COMUNIDAD
COMUNIDAD
COMUNIDAD
COMUNIDAD
COMUNIDAD
COMUNIDAD
COMUNIDAD
COMUNIDAD
COMUNIDAD
COMUNIDAD
COMUNIDAD
COMUNIDAD
COMUNIDAD
COMUNIDAD
COMUNIDAD
COMUNIDAD
COMUNIDAD
COMUNIDAD
COMUNIDAD
COMUNIDAD
COMUNIDAD
COMUNIDAD
COMUNIDAD
COMUNIDAD
COMUNIDAD
COMUNIDAD
COMUNIDAD
COMUNIDAD
COMUNIDAD
COMUNIDAD
COMUNIDAD
COMUNIDAD
COMUNIDAD
COMUNIDAD
COMUNIDAD
COMUNIDAD
COMUNIDAD
COMUNIDAD
COMUNIDAD
COMUNIDAD
COMUNIDAD
COMUNIDAD
COMUNIDAD
COMUNIDAD
COMUNIDAD
COMUNIDAD
COMUNIDAD
COMUNIDAD
COMUNIDAD
COMUNIDAD
COMUNIDAD
COMUNIDAD
COMUNIDAD
COMUNIDAD
COMUNIDAD
COMUNIDAD
COMUNIDAD
COMUNIDAD
COMUNIDAD
COMUNIDAD
COMUNIDAD
COMUNIDAD
COMUNIDAD
COMUNIDAD
COMUNIDAD
COMUNIDAD
COMUNIDAD
COMUNIDAD
COMUNIDAD
COMUNIDAD
COMUNIDAD
COMUNIDAD
COMUNIDAD
COMUNIDAD
COMUNIDAD
COMUNIDAD
COMUNIDAD
COMUNIDAD
COMUNIDAD
COMUNIDAD
COMUNIDAD
COMUNIDAD
COMUNIDAD
COMUNIDAD
COMUNIDAD
COMUNIDAD
COMUNIDAD
COMUNIDAD
COMUNIDAD
COMUNIDAD
COMUNIDAD
COMUNIDAD
COMUNIDAD
COMUNIDAD
COMUNIDAD
COMUNIDAD
COMUNIDAD
COMUNIDAD
COMUNIDAD
COMUNIDAD
COMUNIDAD
COMUNIDAD
COMUNIDAD
COMUNIDAD
COMUNIDAD
COMUNIDAD
COMUNIDAD
COMUNIDAD
COMUNIDAD
COMUNIDAD
COMUNIDAD
COMUNIDAD
COMUNIDAD
COMUNIDAD
COMUNIDAD
COMUNIDAD
COMUNIDAD
COMUNIDAD
COMUNIDAD
COMUNIDAD
COMUNIDAD
COMUNIDAD
COMUNIDAD
COMUNIDAD
COMUNIDAD
COMUNIDAD
COMUNIDAD
COMUNIDAD
COMUNIDAD
COMUNIDAD
COMUNIDAD
COMUNIDAD
COMUNIDAD
COMUNIDAD
COMUNIDAD
COMUNIDAD
COMUNIDAD
COMUNIDAD
COMUNIDAD
COMUNIDAD
COMUNIDAD
COMUNIDAD
COMUNIDAD
COMUNIDAD
COMUNIDAD
COMUNIDAD
COMUNIDAD
COMUNIDAD
COMUNIDAD
COMUNIDAD
COMUNIDAD
COMUNIDAD
COMUNIDAD
COMUNIDAD
COMUNIDAD
COMUNIDAD
COMUNIDAD
COMUNIDAD
COMUNIDAD
COMUNIDAD
COMUNIDAD
COMUNIDAD
COMUNIDAD
COMUNIDAD
COMUNIDAD
COMUNIDAD
COMUNIDAD
COMUNIDAD
COMUNIDAD
COMUNIDAD
COMUNIDAD
COMUNIDAD
COMUNIDAD
COMUNIDAD
COMUNIDAD
COMUNIDAD
COMUNIDAD
COMUNIDAD
COMUNIDAD
COMUNIDAD
COMUNIDAD
COMUNIDAD
COMUNIDAD
COMUNIDAD
COMUNIDAD
COMUNIDAD
COMUNIDAD
COMUNIDAD
COMUNIDAD
COMUNIDAD
COMUNIDAD
COMUNIDAD
COMUNIDAD
COMUNIDAD
COMUNIDAD
COMUNIDAD
COMUNIDAD
COMUNIDAD
COMUNIDAD
COMUNIDAD
COMUNIDAD
COMUNIDAD
COMUNIDAD
COMUNIDAD
COMUNIDAD
COMUNIDAD
COMUNIDAD
COMUNIDAD
COMUNIDAD
COMUNIDAD
COMUNIDAD
COMUNIDAD
COMUNIDAD
COMUNIDAD
COMUNIDAD
COMUNIDAD
COMUNIDAD
COMUNIDAD
COMUNIDAD
COMUNIDAD
COMUNIDAD
COMUNIDAD
COMUNIDAD
COMUNIDAD
COMUNIDAD
COMUNIDAD
COMUNIDAD
COMUNIDAD
COMUNIDAD
COMUNIDAD
COMUNIDAD
COMUNIDAD
COMUNIDAD
COMUNIDAD
COMUNIDAD
COMUNIDAD
COMUNIDAD
COMUNIDAD
COMUNIDAD
COMUNIDAD
COMUNIDAD
COMUNIDAD
COMUNIDAD
COMUNIDAD
COMUNIDAD
COMUNIDAD
COMUNIDAD
COMUNIDAD
COMUNIDAD
COMUNIDAD
COMUNIDAD
COMUNIDAD
COMUNIDAD
COMUNIDAD
COMUNIDAD
COMUNIDAD
COMUNIDAD
COMUNIDAD
COMUNIDAD
COMUNIDAD
COMUNIDAD
COMUNIDAD
COMUNIDAD
COMUNIDAD
COMUNIDAD
COMUNIDAD
COMUNIDAD
COMUNIDAD
COMUNIDAD
COMUNIDAD
COMUNIDAD
COMUNIDAD
COMUNIDAD
COMUNIDAD
COMUNIDAD
COMUNIDAD
COMUNIDAD
COMUNIDAD
COMUNIDAD
COMUNIDAD
COMUNIDAD
COMUNIDAD
COMUNIDAD
COMUNIDAD
COMUNIDAD
COMUNIDAD
COMUNIDAD
COMUNIDAD
COMUNIDAD
COMUNIDAD
COMUNIDAD
COMUNIDAD
COMUNIDAD
COMUNIDAD
COMUNIDAD
COMUNIDAD
COMUNIDAD
COMUNIDAD
COMUNIDAD
COMUNIDAD
COMUNIDAD
COMUNIDAD
COMUNIDAD
COMUNIDAD
COMUNIDAD
COMUNIDAD
COMUNIDAD
COMUNIDAD
COMUNIDAD
COMUNIDAD
COMUNIDAD
COMUNIDAD
COMUNIDAD
COMUNIDAD
COMUNIDAD
COMUNIDAD
COMUNIDAD
COMUNIDAD
COMUNIDAD
COMUNIDAD
COMUNIDAD
COMUNIDAD
COMUNIDAD
COMUNIDAD
COMUNIDAD
COMUNIDAD
COMUNIDAD
COMUNIDAD
COMUNIDAD
COMUNIDAD
COMUNIDAD
COMUNIDAD
COMUNIDAD
COMUNIDAD
COMUNIDAD
COMUNIDAD
COMUNIDAD
COMUNIDAD
COMUNIDAD
COMUNIDAD
COMUNIDAD
COMUNIDAD
COMUNIDAD
COMUNIDAD
COMUNIDAD
COMUNIDAD
COMUNIDAD
COMUNIDAD
COMUNIDAD
COMUNIDAD
COMUNIDAD
COMUNIDAD
COMUNIDAD
COMUNIDAD
COMUNIDAD
COMUNIDAD
COMUNIDAD
COMUNIDAD
COMUNIDAD
COMUNIDAD
COMUNIDAD
COMUNIDAD
COMUNIDAD
COMUNIDAD
COMUNIDAD
COMUNIDAD
COMUNIDAD
COMUNIDAD
COMUNIDAD
COMUNIDAD
COMUNIDAD
COMUNIDAD
COMUNIDAD
COMUNIDAD
COMUNIDAD
COMUNIDAD
COMUNIDAD
COMUNIDAD
COMUNIDAD
COMUNIDAD
COMUNIDAD
COMUNIDAD
COMUNIDAD
COMUNIDAD
COMUNIDAD
COMUNIDAD
COMUNIDAD
COMUNIDAD
COMUNIDAD
COMUNIDAD
COMUNIDAD
COMUNIDAD
COMUNIDAD
COMUNIDAD
COMUNIDAD
COMUNIDAD
COMUNIDAD
COMUNIDAD
COMUNIDAD
COMUNIDAD
COMUNIDAD
COMUNIDAD
COMUNIDAD
COMUNIDAD
COMUNIDAD
COMUNIDAD
COMUNIDAD
COMUNIDAD
COMUNIDAD
COMUNIDAD
COMUNIDAD
COMUNIDAD
COMUNIDAD
COMUNIDAD
COMUNIDAD
COMUNIDAD
COMUNIDAD
COMUNIDAD
COMUNIDAD
COMUNIDAD
COMUNIDAD
COMUNIDAD
COMUNIDAD
COMUNIDAD
COMUNIDAD
COMUNIDAD
COMUNIDAD
COMUNIDAD
COMUNIDAD
COMUNIDAD
COMUNIDAD
COMUNIDAD
COMUNIDAD
COMUNIDAD
COMUNIDAD
COMUNIDAD
COMUNIDAD
COMUNIDAD
COMUNIDAD
COMUNIDAD
COMUNIDAD
COMUNIDAD
COMUNIDAD
COMUNIDAD
COMUNIDAD
COMUNIDAD
COMUNIDAD
COMUNIDAD
COMUNIDAD
COMUNIDAD
COMUNIDAD
COMUNIDAD
COMUNIDAD
COMUNIDAD
COMUNIDAD
COMUNIDAD
COMUNIDAD
COMUNIDAD
COMUNIDAD
COMUNIDAD
COMUNIDAD
COMUNIDAD
COMUNIDAD
COMUNIDAD
COMUNIDAD
COMUNIDAD
COMUNIDAD
COMUNIDAD
COMUNIDAD
COMUNIDAD
COMUNIDAD
COMUNIDAD
COMUNIDAD
COMUNIDAD
COMUNIDAD
COMUNIDAD
COMUNIDAD
COMUNIDAD
COMUNIDAD
COMUNIDAD
COMUNIDAD
COMUNIDAD
COMUNIDAD
COMUNIDAD
COMUNIDAD
COMUNIDAD
COMUNIDAD
COMUNIDAD
COMUNIDAD
COMUNIDAD
COMUNIDAD
COMUNIDAD
COMUNIDAD
COMUNIDAD
COMUNIDAD
COMUNIDAD
COMUNIDAD
COMUNIDAD
COMUNIDAD
COMUNIDAD
COMUNIDAD
COMUNIDAD
COMUNIDAD
COMUNIDAD
COMUNIDAD
COMUNIDAD
COMUNIDAD
COMUNIDAD
COMUNIDAD
COMUNIDAD
COMUNIDAD
COMUNIDAD
COMUNIDAD
COMUNIDAD
COMUNIDAD
COMUNIDAD
COMUNIDAD
COMUNIDAD
COMUNIDAD
COMUNIDAD
COMUNIDAD
COMUNIDAD
COMUNIDAD
COMUNIDAD
COMUNIDAD
COMUNIDAD
COMUNIDAD
COMUNIDAD
COMUNIDAD
COMUNIDAD
COMUNIDAD
COMUNIDAD
COMUNIDAD
COMUNIDAD
COMUNIDAD
COMUNIDAD
COMUNIDAD
COMUNIDAD
COMUNIDAD
COMUNIDAD
COMUNIDAD
COMUNIDAD
COMUNIDAD
COMUNIDAD
COMUNIDAD
COMUNIDAD
COMUNIDAD
COMUNIDAD
COMUNIDAD
COMUNIDAD
COMUNIDAD
COMUNIDAD
COMUNIDAD
COMUNIDAD
COMUNIDAD
COMUNIDAD
COMUNIDAD
COMUNIDAD
COMUNIDAD
COMUNIDAD
COMUNIDAD
COMUNIDAD
COMUNIDAD
COMUNIDAD
COMUNIDAD
COMUNIDAD
COMUNIDAD
COMUNIDAD
COMUNIDAD
COMUNIDAD
COMUNIDAD
COMUNIDAD
COMUNIDAD
COMUNIDAD
COMUNIDAD
COMUNIDAD
COMUNIDAD
COMUNIDAD
COMUNIDAD
COMUNIDAD
COMUNIDAD
COMUNIDAD
COMUNIDAD
COMUNIDAD
COMUNIDAD
COMUNIDAD
COMUNIDAD
COMUNIDAD
COMUNIDAD
COMUNIDAD
COMUNIDAD
COMUNIDAD
COMUNIDAD
COMUNIDAD
COMUNIDAD
COMUNIDAD
COMUNIDAD
COMUNIDAD
COMUNIDAD
COMUNIDAD
COMUNIDAD
COMUNIDAD
COMUNIDAD
COMUNIDAD
COMUNIDAD
COMUNIDAD
COMUNIDAD
COMUNIDAD
COMUNIDAD
COMUNIDAD
COMUNIDAD
COMUNIDAD
COMUNIDAD
COMUNIDAD
COMUNIDAD
COMUNIDAD
COMUNIDAD
COMUNIDAD
COMUNIDAD
COMUNIDAD
COMUNIDAD
COMUNIDAD
COMUNIDAD
COMUNIDAD
COMUNIDAD
COMUNIDAD
COMUNIDAD
COMUNIDAD
COMUNIDAD
COMUNIDAD
COMUNIDAD
COMUNIDAD
COMUNIDAD
COMUNIDAD
COMUNIDAD
COMUNIDAD
COMUNIDAD
COMUNIDAD
COMUNIDAD
COMUNIDAD
COMUNIDAD
COMUNIDAD
COMUNIDAD
COMUNIDAD
COMUNIDAD
COMUNIDAD
COMUNIDAD
COMUNIDAD
COMUNIDAD
COMUNIDAD
COMUNIDAD
COMUNIDAD
COMUNIDAD
COMUNIDAD
COMUNIDAD
COMUNIDAD
COMUNIDAD
COMUNIDAD
COMUNIDAD
COMUNIDAD
COMUNIDAD
COMUNIDAD
COMUNIDAD
COMUNIDAD
COMUNIDAD
COMUNIDAD
COMUNIDAD
COMUNIDAD
COMUNIDAD
COMUNIDAD
COMUNIDAD
COMUNIDAD
COMUNIDAD
COMUNIDAD
COMUNIDAD
COMUNIDAD
COMUNIDAD
COMUNIDAD
COMUNIDAD
COMUNIDAD
COMUNIDAD
COMUNIDAD
COMUNIDAD
COMUNIDAD
COMUNIDAD
COMUNIDAD
COMUNIDAD
COMUNIDAD
COMUNIDAD
COMUNIDAD
COMUNIDAD
COMUNIDAD
COMUNIDAD
COMUNIDAD
COMUNIDAD
COMUNIDAD
COMUNIDAD
COMUNIDAD
COMUNIDAD
COMUNIDAD
COMUNIDAD
COMUNIDAD
COMUNIDAD
COMUNIDAD
COMUNIDAD
COMUNIDAD
COMUNIDAD
COMUNIDAD
COMUNIDAD
COMUNIDAD
COMUNIDAD
COMUNIDAD
COMUNIDAD
COMUNIDAD
COMUNIDAD
COMUNIDAD
COMUNIDAD
COMUNIDAD
COMUNIDAD
COMUNIDAD
COMUNIDAD
COMUNIDAD
COMUNIDAD
COMUNIDAD
COMUNIDAD
COMUNIDAD
COMUNIDAD
COMUNIDAD
COMUNIDAD
COMUNIDAD
COMUNIDAD
COMUNIDAD
COMUNIDAD
COMUNIDAD
COMUNIDAD
COMUNIDAD
COMUNIDAD
COMUNIDAD
COMUNIDAD
COMUNIDAD
COMUNIDAD
COMUNIDAD
COMUNIDAD
COMUNIDAD
COMUNIDAD
COMUNIDAD
COMUNIDAD
COMUNIDAD
COMUNIDAD
COMUNIDAD
COMUNIDAD
COMUNIDAD
COMUNIDAD
COMUNIDAD
COMUNIDAD
COMUNIDAD
COMUNIDAD
COMUNIDAD
COMUNIDAD
COMUNIDAD
COMUNIDAD
COMUNIDAD
COMUNIDAD
COMUNIDAD
COMUNIDAD
COMUNIDAD
COMUNIDAD
COMUNIDAD
COMUNIDAD
COMUNIDAD
COMUNIDAD
COMUNIDAD
COMUNIDAD
COMUNIDAD
COMUNIDAD
COMUNIDAD
COMUNIDAD
COMUNIDAD
COMUNIDAD
COMUNIDAD
COMUNIDAD
COMUNIDAD
COMUNIDAD
COMUNIDAD
COMUNIDAD
COMUNIDAD
COMUNIDAD
COMUNIDAD
COMUNIDAD
COMUNIDAD
COMUNIDAD
COMUNIDAD
COMUNIDAD
COMUNIDAD
COMUNIDAD
COMUNIDAD
COMUNIDAD
COMUNIDAD
COMUNIDAD
COMUNIDAD
COMUNIDAD
COMUNIDAD
COMUNIDAD
COMUNIDAD
COMUNIDAD
COMUNIDAD
COMUNIDAD
COMUNIDAD
COMUNIDAD
COMUNIDAD
COMUNIDAD
COMUNIDAD
COMUNIDAD
COMUNIDAD
COMUNIDAD
COMUNIDAD
COMUNIDAD
COMUNIDAD
COMUNIDAD
COMUNIDAD
COMUNIDAD
COMUNIDAD
COMUNIDAD
COMUNIDAD
COMUNIDAD
COMUNIDAD
COMUNIDAD
COMUNIDAD
COMUNIDAD
COMUNIDAD
COMUNIDAD
COMUNIDAD
COMUNIDAD
COMUNIDAD
COMUNIDAD
COMUNIDAD
COMUNIDAD
COMUNIDAD
COMUNIDAD
COMUNIDAD
COMUNIDAD
COMUNIDAD
COMUNIDAD
COMUNIDAD
COMUNIDAD
COMUNIDAD
COMUNIDAD
COMUNIDAD
COMUNIDAD
COMUNIDAD
COMUNIDAD
COMUNIDAD
COMUNIDAD
COMUNIDAD
COMUNIDAD
COMUNIDAD
COMUNIDAD
COMUNIDAD
COMUNIDAD
COMUNIDAD
COMUNIDAD
COMUNIDAD
COMUNIDAD
COMUNIDAD
COMUNIDAD
COMUNIDAD
COMUNIDAD
COMUNIDAD
COMUNIDAD
COMUNIDAD
COMUNIDAD
COMUNIDAD
COMUNIDAD
COMUNIDAD
COMUNIDAD
COMUNIDAD
COMUNIDAD
COMUNIDAD
COMUNIDAD
COMUNIDAD
COMUNIDAD
COMUNIDAD
COMUNIDAD
COMUNIDAD
COMUNIDAD
COMUNIDAD
COMUNIDAD
COMUNIDAD
COMUNIDAD
COMUNIDAD
COMUNIDAD
COMUNIDAD
COMUNIDAD
COMUNIDAD
COMUNIDAD
COMUNIDAD
COMUNIDAD
COMUNIDAD
COMUNIDAD
COMUNIDAD
COMUNIDAD
COMUNIDAD
COMUNIDAD
COMUNIDAD
COMUNIDAD
COMUNIDAD
COMUNIDAD
COMUNIDAD
COMUNIDAD
COMUNIDAD
COMUNIDAD
COMUNIDAD
COMUNIDAD
COMUNIDAD
COMUNIDAD
COMUNIDAD
COMUNIDAD
COMUNIDAD
COMUNIDAD
COMUNIDAD
COMUNIDAD
COMUNIDAD
COMUNIDAD
COMUNIDAD
COMUNIDAD
COMUNIDAD
COMUNIDAD
COMUNIDAD
COMUNIDAD
COMUNIDAD
COMUNIDAD
COMUNIDAD
COMUNIDAD
COMUNIDAD
COMUNIDAD
COMUNIDAD
COMUNIDAD
COMUNIDAD
COMUNIDAD
COMUNIDAD
COMUNIDAD
COMUNIDAD
COMUNIDAD
COMUNIDAD
COMUNIDAD
COMUNIDAD
COMUNIDAD
COMUNIDAD
COMUNIDAD
COMUNIDAD
COMUNIDAD
COMUNIDAD
COMUNIDAD
COMUNIDAD
COMUNIDAD
COMUNIDAD
COMUNIDAD
COMUNIDAD
COMUNIDAD
COMUNIDAD
COMUNIDAD
COMUNIDAD
COMUNIDAD
COMUNIDAD
COMUNIDAD
COMUNIDAD
COMUNIDAD
COMUNIDAD
COMUNIDAD
COMUNIDAD
COMUNIDAD
COMUNIDAD
COMUNIDAD
COMUNIDAD
COMUNIDAD
COMUNIDAD
COMUNIDAD
COMUNIDAD
COMUNIDAD
COMUNIDAD
COMUNIDAD
COMUNIDAD
COMUNIDAD
COMUNIDAD
COMUNIDAD
COMUNIDAD
COMUNIDAD
COMUNIDAD
COMUNIDAD
COMUNIDAD
COMUNIDAD
COMUNIDAD
COMUNIDAD
COMUNIDAD
COMUNIDAD
COMUNIDAD
COMUNIDAD
COMUNIDAD
COMUNIDAD
COMUNIDAD
COMUNIDAD
COMUNIDAD
COMUNIDAD
COMUNIDAD
COMUNIDAD
COMUNIDAD
COMUNIDAD
COMUNIDAD
COMUNIDAD
COMUNIDAD
COMUNIDAD
COMUNIDAD
COMUNIDAD
COMUNIDAD
COMUNIDAD
COMUNIDAD
COMUNIDAD
COMUNIDAD
COMUNIDAD
COMUNIDAD
COMUNIDAD
COMUNIDAD
COMUNIDAD
COMUNIDAD
COMUNIDAD
COMUNIDAD
COMUNIDAD
COMUNIDAD
COMUNIDAD
COMUNIDAD
COMUNIDAD
COMUNIDAD
COMUNIDAD
COMUNIDAD
COMUNIDAD
COMUNIDAD
COMUNIDAD
COMUNIDAD
COMUNIDAD
COMUNIDAD
COMUNIDAD
COMUNIDAD
COMUNIDAD
COMUNIDAD
COMUNIDAD
COMUNIDAD
COMUNIDAD
COMUNIDAD
COMUNIDAD
COMUNIDAD
COMUNIDAD
COMUNIDAD
COMUNIDAD
COMUNIDAD
COMUNIDAD
COMUNIDAD
COMUNIDAD
COMUNIDAD
COMUNIDAD
COMUNIDAD
COMUNIDAD
COMUNIDAD
COMUNIDAD
COMUNIDAD
COMUNIDAD
COMUNIDAD
COMUNIDAD
COMUNIDAD
COMUNIDAD
COMUNIDAD
COMUNIDAD
COMUNIDAD
COMUNIDAD
COMUNIDAD
COMUNIDAD
COMUNIDAD
COMUNIDAD
COMUNIDAD
COMUNIDAD
COMUNIDAD
COMUNIDAD
COMUNIDAD
COMUNIDAD
COMUNIDAD
COMUNIDAD
COMUNIDAD
COMUNIDAD
COMUNIDAD
COMUNIDAD
COMUNIDAD
COMUNIDAD
COMUNIDAD
COMUNIDAD
COMUNIDAD
COMUNIDAD
COMUNIDAD
COMUNIDAD
COMUNIDAD
COMUNIDAD
COMUNIDAD
COMUNIDAD
COMUNIDAD
COMUNIDAD
COMUNIDAD
COMUNIDAD
COMUNIDAD
COMUNIDAD
COMUNIDAD
COMUNIDAD
COMUNIDAD
COMUNIDAD
COMUNIDAD
COMUNIDAD
COMUNIDAD
COMUNIDAD
COMUNIDAD
COMUNIDAD
COMUNIDAD
COMUNIDAD
COMUNIDAD
COMUNIDAD
COMUNIDAD
COMUNIDAD
COMUNIDAD
COMUNIDAD
COMUNIDAD
COMUNIDAD
COMUNIDAD
COMUNIDAD
COMUNIDAD
COMUNIDAD
COMUNIDAD
COMUNIDAD
COMUNIDAD
COMUNIDAD
COMUNIDAD
COMUNIDAD
COMUNIDAD
COMUNIDAD
COMUNIDAD
COMUNIDAD
COMUNIDAD
COMUNIDAD
COMUNIDAD
COMUNIDAD
COMUNIDAD
COMUNIDAD
COMUNIDAD
COMUNIDAD
COMUNIDAD
COMUNIDAD
COMUNIDAD
COMUNIDAD
COMUNIDAD
COMUNIDAD
COMUNIDAD
COMUNIDAD
COMUNIDAD
COMUNIDAD
COMUNIDAD
COMUNIDAD
COMUNIDAD
COMUNIDAD
COMUNIDAD
COMUNIDAD
COMUNIDAD
COMUNIDAD
COMUNIDAD
COMUNIDAD
COMUNIDAD
COMUNIDAD
COMUNIDAD
COMUNIDAD
COMUNIDAD
COMUNIDAD
COMUNIDAD
COMUNIDAD
COMUNIDAD
COMUNIDAD
COMUNIDAD
COMUNIDAD
COMUNIDAD
COMUNIDAD
COMUNIDAD
COMUNIDAD
COMUNIDAD
COMUNIDAD
COMUNIDAD
COMUNIDAD
COMUNIDAD
COMUNIDAD
COMUNIDAD
COMUNIDAD
COMUNIDAD
COMUNIDAD
COMUNIDAD
COMUNIDAD
COMUNIDAD
COMUNIDAD
COMUNIDAD
COMUNIDAD
COMUNIDAD
COMUNIDAD
COMUNIDAD
COMUNIDAD
COMUNIDAD
COMUNIDAD
COMUNIDAD
COMUNIDAD
COMUNIDAD
COMUNIDAD
COMUNIDAD
COMUNIDAD
COMUNIDAD
COMUNIDAD
COMUNIDAD
COMUNIDAD
COMUNIDAD
COMUNIDAD
COMUNIDAD
COMUNIDAD
COMUNIDAD
COMUNIDAD
COMUNIDAD
COMUNIDAD
COMUNIDAD
COMUNIDAD
COMUNIDAD
COMUNIDAD
COMUNIDAD
COMUNIDAD
COMUNIDAD
COMUNIDAD
COMUNIDAD
COMUNIDAD
COMUNIDAD
COMUNIDAD
COMUNIDAD
COMUNIDAD
COMUNIDAD
COMUNIDAD
COMUNIDAD
COMUNIDAD
COMUNIDAD
COMUNIDAD
COMUNIDAD
COMUNIDAD
COMUNIDAD
COMUNIDAD
COMUNIDAD
COMUNIDAD
COMUNIDAD
COMUNIDAD
COMUNIDAD
COMUNIDAD
COMUNIDAD
COMUNIDAD
COMUNIDAD
COMUNIDAD
COMUNIDAD
COMUNIDAD
COMUNIDAD
COMUNIDAD
COMUNIDAD
COMUNIDAD
COMUNIDAD
COMUNIDAD
COMUNIDAD
COMUNIDAD
COMUNIDAD
COMUNIDAD
COMUNIDAD
COMUNIDAD
COMUNIDAD
COMUNIDAD
COMUNIDAD
COMUNIDAD
COMUNIDAD
COMUNIDAD
COMUNIDAD
COMUNIDAD
COMUNIDAD
COMUNIDAD
COMUNIDAD
COMUNIDAD
COMUNIDAD
COMUNIDAD
COMUNIDAD
COMUNIDAD
COMUNIDAD
COMUNIDAD
COMUNIDAD
COMUNIDAD
COMUNIDAD
COMUNIDAD
COMUNIDAD
COMUNIDAD
COMUNIDAD
COMUNIDAD
COMUNIDAD
COMUNIDAD
COMUNIDAD
COMUNIDAD
COMUNIDAD
COMUNIDAD
COMUNIDAD
COMUNIDAD
COMUNIDAD
COMUNIDAD
COMUNIDAD
COMUNIDAD
COMUNIDAD
COMUNIDAD
COMUNIDAD
COMUNIDAD
COMUNIDAD
COMUNIDAD
COMUNIDAD
COMUNIDAD
COMUNIDAD
COMUNIDAD
COMUNIDAD
COMUNIDAD
COMUNIDAD
COMUNIDAD
COMUNIDAD
COMUNIDAD
COMUNIDAD
COMUNIDAD
COMUNIDAD
COMUNIDAD
COMUNIDAD
COMUNIDAD
COMUNIDAD
COMUNIDAD
COMUNIDAD
COMUNIDAD
COMUNIDAD
COMUNIDAD
COMUNIDAD
COMUNIDAD
COMUNIDAD
COMUNIDAD
COMUNIDAD
COMUNIDAD
COMUNIDAD
COMUNIDAD
COMUNIDAD
COMUNIDAD
COMUNIDAD
COMUNIDAD
COMUNIDAD
COMUNIDAD
COMUNIDAD
COMUNIDAD
COMUNIDAD
COMUNIDAD
COMUNIDAD
COMUNIDAD
COMUNIDAD
COMUNIDAD
COMUNIDAD
COMUNIDAD
COMUNIDAD
COMUNIDAD
COMUNIDAD
COMUNIDAD
COMUNIDAD
COMUNIDAD
COMUNIDAD
COMUNIDAD
COMUNIDAD
COMUNIDAD
COMUNIDAD
COMUNIDAD
COMUNIDAD
COMUNIDAD
COMUNIDAD
COMUNIDAD
COMUNIDAD
COMUNIDAD
COMUNIDAD
COMUNIDAD
COMUNIDAD
COMUNIDAD
COMUNIDAD
COMUNIDAD
COMUNIDAD
COMUNIDAD
COMUNIDAD
COMUNIDAD
COMUNIDAD
COMUNIDAD
COMUNIDAD
COMUNIDAD
COMUNIDAD
COMUNIDAD
COMUNIDAD
COMUNIDAD
COMUNIDAD
COMUNIDAD
COMUNIDAD
COMUNIDAD
COMUNIDAD
COMUNIDAD
COMUNIDAD
COMUNIDAD
COMUNIDAD
COMUNIDAD
COMUNIDAD
COMUNIDAD
COMUNIDAD
COMUNIDAD
COMUNIDAD
COMUNIDAD
COMUNIDAD
COMUNIDAD
COMUNIDAD
COMUNIDAD
COMUNIDAD
COMUNIDAD
COMUNIDAD
COMUNIDAD
COMUNIDAD
COMUNIDAD
COMUNIDAD
COMUNIDAD
COMUNIDAD
COMUNIDAD
COMUNIDAD
COMUNIDAD
COMUNIDAD
COMUNIDAD
COMUNIDAD
COMUNIDAD
COMUNIDAD
COMUNIDAD
COMUNIDAD
COMUNIDAD
COMUNIDAD
COMUNIDAD
COMUNIDAD
COMUNIDAD
COMUNIDAD
COMUNIDAD
COMUNIDAD
COMUNIDAD
COMUNIDAD
COMUNIDAD
COMUNIDAD
COMUNIDAD
COMUNIDAD
COMUNIDAD
COMUNIDAD
COMUNIDAD
COMUNIDAD
COMUNIDAD
COMUNIDAD
COMUNIDAD
COMUNIDAD
COMUNIDAD
COMUNIDAD
COMUNIDAD
COMUNIDAD
COMUNIDAD
COMUNIDAD
COMUNIDAD
COMUNIDAD
COMUNIDAD
COMUNIDAD
COMUNIDAD
COMUNIDAD
COMUNIDAD
COMUNIDAD
COMUNIDAD
COMUNIDAD
COMUNIDAD
COMUNIDAD
COMUNIDAD
COMUNIDAD
COMUNIDAD
COMUNIDAD
COMUNIDAD
COMUNIDAD
COMUNIDAD
COMUNIDAD
COMUNIDAD
COMUNIDAD
COMUNIDAD
COMUNIDAD
COMUNIDAD
COMUNIDAD
COMUNIDAD
COMUNIDAD
COMUNIDAD
COMUNIDAD
COMUNIDAD
COMUNIDAD
COMUNIDAD
COMUNIDAD
COMUNIDAD
COMUNIDAD
COMUNIDAD
COMUNIDAD
COMUNIDAD
COMUNIDAD
COMUNIDAD
COMUNIDAD
COMUNIDAD
COMUNIDAD
COMUNIDAD
COMUNIDAD
COMUNIDAD
COMUNIDAD
COMUNIDAD
COMUNIDAD
COMUNIDAD
COMUNIDAD
COMUNIDAD
COMUNIDAD
COMUNIDAD
COMUNIDAD
COMUNIDAD
COMUNIDAD
COMUNIDAD
COMUNIDAD
COMUNIDAD
COMUNIDAD
COMUNIDAD
COMUNIDAD
COMUNIDAD
COMUNIDAD
COMUNIDAD
COMUNIDAD
COMUNIDAD
COMUNIDAD
COMUNIDAD
COMUNIDAD
COMUNIDAD
COMUNIDAD
COMUNIDAD
COMUNIDAD
COMUNIDAD
COMUNIDAD
COMUNIDAD
COMUNIDAD
COMUNIDAD
COMUNIDAD
COMUNIDAD
COMUNIDAD
COMUNIDAD
COMUNIDAD
COMUNIDAD
COMUNIDAD
COMUNIDAD
COMUNIDAD
COMUNIDAD
COMUNIDAD
COMUNIDAD
COMUNIDAD
COMUNIDAD
COMUNIDAD
COMUNIDAD
COMUNIDAD
COMUNIDAD
COMUNIDAD
COMUNIDAD
COMUNIDAD
COMUNIDAD
COMUNIDAD
COMUNIDAD
COMUNIDAD
COMUNIDAD
COMUNIDAD
COMUNIDAD
COMUNIDAD
COMUNIDAD
COMUNIDAD
COMUNIDAD
COMUNIDAD
COMUNIDAD
COMUNIDAD
COMUNIDAD
COMUNIDAD
COMUNIDAD
COMUNIDAD
COMUNIDAD
COMUNIDAD
COMUNIDAD
COMUNIDAD
COMUNIDAD
COMUNIDAD
COMUNIDAD
COMUNIDAD
COMUNIDAD
COMUNIDAD
COMUNIDAD
COMUNIDAD
COMUNIDAD
COMUNIDAD
COMUNIDAD
COMUNIDAD
COMUNIDAD
COMUNIDAD
COMUNIDAD
COMUNIDAD
COMUNIDAD
COMUNIDAD
COMUNIDAD
COMUNIDAD
COMUNIDAD
COMUNIDAD
COMUNIDAD
COMUNIDAD
COMUNIDAD
COMUNIDAD
COMUNIDAD
COMUNIDAD
COMUNIDAD
COMUNIDAD
COMUNIDAD
COMUNIDAD
COMUNIDAD
COMUNIDAD
COMUNIDAD
COMUNIDAD
COMUNIDAD
COMUNIDAD
COMUNIDAD
COMUNIDAD
COMUNIDAD
COMUNIDAD
COMUNIDAD
COMUNIDAD
COMUNIDAD
COMUNIDAD
COMUNIDAD
COMUNIDAD
COMUNIDAD
COMUNIDAD
COMUNIDAD
COMUNIDAD
COMUNIDAD
COMUNIDAD
COMUNIDAD
COMUNIDAD
COMUNIDAD
COMUNIDAD
COMUNIDAD
COMUNIDAD
COMUNIDAD
COMUNIDAD
COMUNIDAD
COMUNIDAD
COMUNIDAD
COMUNIDAD
COMUNIDAD
COMUNIDAD
COMUNIDAD
COMUNIDAD
COMUNIDAD
COMUNIDAD
COMUNIDAD
COMUNIDAD
COMUNIDAD
COMUNIDAD
COMUNIDAD
COMUNIDAD
COMUNIDAD
COMUNIDAD
COMUNIDAD
COMUNIDAD
COMUNIDAD
COMUNIDAD
COMUNIDAD
COMUNIDAD
COMUNIDAD
COMUNIDAD
COMUNIDAD
COMUNIDAD
COMUNIDAD
COMUNIDAD
COMUNIDAD
COMUNIDAD
COMUNIDAD
COMUNIDAD
COMUNIDAD
COMUNIDAD
COMUNIDAD
COMUNIDAD
COMUNIDAD
COMUNIDAD
COMUNIDAD
COMUNIDAD
COMUNIDAD
COMUNIDAD
COMUNIDAD
COMUNIDAD
COMUNIDAD
COMUNIDAD
COMUNIDAD
COMUNIDAD
COMUNIDAD
COMUNIDAD
COMUNIDAD
COMUNIDAD
COMUNIDAD
COMUNIDAD
COMUNIDAD
COMUNIDAD
COMUNIDAD
COMUNIDAD
COMUNIDAD
COMUNIDAD
COMUNIDAD
COMUNIDAD
COMUNIDAD
COMUNIDAD
COMUNIDAD
COMUNIDAD
COMUNIDAD
COMUNIDAD
COMUNIDAD
COMUNIDAD
COMUNIDAD
COMUNIDAD
COMUNIDAD
COMUNIDAD
COMUNIDAD
COMUNIDAD
COMUNIDAD
COMUNIDAD
COMUNIDAD
COMUNIDAD
COMUNIDAD
COMUNIDAD
COMUNIDAD
COMUNIDAD
COMUNIDAD
COMUNIDAD
COMUNIDAD
COMUNIDAD
COMUNIDAD
COMUNIDAD
COMUNIDAD
COMUNIDAD
COMUNIDAD
COMUNIDAD
COMUNIDAD
COMUNIDAD
COMUNIDAD
COMUNIDAD
COMUNIDAD
COMUNIDAD
COMUNIDAD
COMUNIDAD
COMUNIDAD
COMUNIDAD
COMUNIDAD
COMUNIDAD
COMUNIDAD
COMUNIDAD
COMUNIDAD
COMUNIDAD
COMUNIDAD
COMUNIDAD
COMUNIDAD
COMUNIDAD
COMUNIDAD
COMUNIDAD
COMUNIDAD
COMUNIDAD
COMUNIDAD
COMUNIDAD
COMUNIDAD
COMUNIDAD
COMUNIDAD
COMUNIDAD
COMUNIDAD
COMUNIDAD
COMUNIDAD
COMUNIDAD
COMUNIDAD
COMUNIDAD
COMUNIDAD
COMUNIDAD
COMUNIDAD
COMUNIDAD
COMUNIDAD
COMUNIDAD
COMUNIDAD
COMUNIDAD
COMUNIDAD
COMUNIDAD
COMUNIDAD
COMUNIDAD
COMUNIDAD
COMUNIDAD
COMUNIDAD
COMUNIDAD
COMUNIDAD
COMUNIDAD
COMUNIDAD
COMUNIDAD
COMUNIDAD
COMUNIDAD
COMUNIDAD
COMUNIDAD
COMUNIDAD
COMUNIDAD
COMUNIDAD
COMUNIDAD
COMUNIDAD
COMUNIDAD
COMUNIDAD
COMUNIDAD
COMUNIDAD
COMUNIDAD
COMUNIDAD
COMUNIDAD
COMUNIDAD
COMUNIDAD
COMUNIDAD
COMUNIDAD
COMUNIDAD
COMUNIDAD
COMUNIDAD
COMUNIDAD
COMUNIDAD
COMUNIDAD
COMUNIDAD
COMUNIDAD
COMUNIDAD
COMUNIDAD
COMUNIDAD
COMUNIDAD
COMUNIDAD
COMUNIDAD
COMUNIDAD
COMUNIDAD
COMUNIDAD
COMUNIDAD
COMUNIDAD
COMUNIDAD
COMUNIDAD
COMUNIDAD
COMUNIDAD
COMUNIDAD
COMUNIDAD
COMUNIDAD
COMUNIDAD
COMUNIDAD
COMUNIDAD
COMUNIDAD
COMUNIDAD
COMUNIDAD
COMUNIDAD
COMUNIDAD
COMUNIDAD
COMUNIDAD
COMUNIDAD
COMUNIDAD
COMUNIDAD
COMUNIDAD
COMUNIDAD
COMUNIDAD
COMUNIDAD
COMUNIDAD
COMUNIDAD
COMUNIDAD
COMUNIDAD
COMUNIDAD
COMUNIDAD
COMUNIDAD
COMUNIDAD
COMUNIDAD
COMUNIDAD
COMUNIDAD
COMUNIDAD
COMUNIDAD
COMUNIDAD
COMUNIDAD
COMUNIDAD
COMUNIDAD
COMUNIDAD
COMUNIDAD
COMUNIDAD
COMUNIDAD
COMUNIDAD
COMUNIDAD
COMUNIDAD
COMUNIDAD
COMUNIDAD
COMUNIDAD
COMUNIDAD
COMUNIDAD
COMUNIDAD
COMUNIDAD
COMUNIDAD
COMUNIDAD
COMUNIDAD
COMUNIDAD
COMUNIDAD
COMUNIDAD
COMUNIDAD
COMUNIDAD
COMUNIDAD
COMUNIDAD
COMUNIDAD
COMUNIDAD
COMUNIDAD
COMUNIDAD
COMUNIDAD
COMUNIDAD
COMUNIDAD
COMUNIDAD
COMUNIDAD
COMUNIDAD
COMUNIDAD
COMUNIDAD
COMUNIDAD
COMUNIDAD
COMUNIDAD
COMUNIDAD
COMUNIDAD
COMUNIDAD
COMUNIDAD
COMUNIDAD
COMUNIDAD
COMUNIDAD
COMUNIDAD
COMUNIDAD
COMUNIDAD
COMUNIDAD
COMUNIDAD
COMUNIDAD
COMUNIDAD
COMUNIDAD
COMUNIDAD
COMUNIDAD
COMUNIDAD
COMUNIDAD
COMUNIDAD
COMUNIDAD
COMUNIDAD
COMUNIDAD
COMUNIDAD
COMUNIDAD
COMUNIDAD
COMUNIDAD
COMUNIDAD
COMUNIDAD
COMUNIDAD
COMUNIDAD
COMUNIDAD
COMUNIDAD
COMUNIDAD
COMUNIDAD
COMUNIDAD
COMUNIDAD
COMUNIDAD
COMUNIDAD
COMUNIDAD
COMUNIDAD
COMUNIDAD
COMUNIDAD
COMUNIDAD
COMUNIDAD
COMUNIDAD
COMUNIDAD
COMUNIDAD
COMUNIDAD
COMUNIDAD
COMUNIDAD
COMUNIDAD
COMUNIDAD
COMUNIDAD
COMUNIDAD
COMUNIDAD
COMUNIDAD
COMUNIDAD
COMUNIDAD
COMUNIDAD
COMUNIDAD
COMUNIDAD
COMUNIDAD
COMUNIDAD
COMUNIDAD
COMUNIDAD
COMUNIDAD
COMUNIDAD
COMUNIDAD
COMUNIDAD
COMUNIDAD
COMUNIDAD
COMUNIDAD
COMUNIDAD
COMUNIDAD
COMUNIDAD
COMUNIDAD
COMUNIDAD
COMUNIDAD
COMUNIDAD
COMUNIDAD
COMUNIDAD
COMUNIDAD
COMUNIDAD
COMUNIDAD
COMUNIDAD
COMUNIDAD
COMUNIDAD
COMUNIDAD
COMUNIDAD
COMUNIDAD
COMUNIDAD
COMUNIDAD
COMUNIDAD
COMUNIDAD
COMUNIDAD
COMUNIDAD
COMUNIDAD
COMUNIDAD
COMUNIDAD
COMUNIDAD
COMUNIDAD
COMUNIDAD
COMUNIDAD
COMUNIDAD
COMUNIDAD
COMUNIDAD
COMUNIDAD
COMUNIDAD
COMUNIDAD
COMUNIDAD
COMUNIDAD
COMUNIDAD
COMUNIDAD
COMUNIDAD
COMUNIDAD
COMUNIDAD
COMUNIDAD
COMUNIDAD
COMUNIDAD
COMUNIDAD
COMUNIDAD
COMUNIDAD
COMUNIDAD
COMUNIDAD
COMUNIDAD
COMUNIDAD
COMUNIDAD
COMUNIDAD
COMUNIDAD
COMUNIDAD
COMUNIDAD
COMUNIDAD
COMUNIDAD
COMUNIDAD
COMUNIDAD
COMUNIDAD
COMUNIDAD
COMUNIDAD
COMUNIDAD
COMUNIDAD
COMUNIDAD
COMUNIDAD
COMUNIDAD
COMUNIDAD
COMUNIDAD
COMUNIDAD
COMUNIDAD
COMUNIDAD
COMUNIDAD
COMUNIDAD
COMUNIDAD
COMUNIDAD
COMUNIDAD
COMUNIDAD
COMUNIDAD
COMUNIDAD
COMUNIDAD
COMUNIDAD
COMUNIDAD
COMUNIDAD
COMUNIDAD
COMUNIDAD
COMUNIDAD
COMUNIDAD
COMUNIDAD
COMUNIDAD
COMUNIDAD
COMUNIDAD
COMUNIDAD
COMUNIDAD
COMUNIDAD
COMUNIDAD
COMUNIDAD
COMUNIDAD
COMUNIDAD
COMUNIDAD
COMUNIDAD
COMUNIDAD
COMUNIDAD
COMUNIDAD
COMUNIDAD
COMUNIDAD
COMUNIDAD
COMUNIDAD
COMUNIDAD
COMUNIDAD
COMUNIDAD
COMUNIDAD
COMUNIDAD
COMUNIDAD
COMUNIDAD
COMUNIDAD
COMUNIDAD
COMUNIDAD
COMUNIDAD
COMUNIDAD
COMUNIDAD
COMUNIDAD
COMUNIDAD
COMUNIDAD
COMUNIDAD
COMUNIDAD
COMUNIDAD
COMUNIDAD
COMUNIDAD
COMUNIDAD
COMUNIDAD
COMUNIDAD
COMUNIDAD
COMUNIDAD
COMUNIDAD
COMUNIDAD
COMUNIDAD
COMUNIDAD
COMUNIDAD
COMUNIDAD
COMUNIDAD
COMUNIDAD
COMUNIDAD
COMUNIDAD
COMUNIDAD
COMUNIDAD
COMUNIDAD
COMUNIDAD
COMUNIDAD
COMUNIDAD
COMUNIDAD
COMUNIDAD
COMUNIDAD
COMUNIDAD
COMUNIDAD
COMUNIDAD
COMUNIDAD
COMUNIDAD
COMUNIDAD
COMUNIDAD
COMUNIDAD
COMUNIDAD
COMUNIDAD
COMUNIDAD
COMUNIDAD
COMUNIDAD
COMUNIDAD
COMUNIDAD
COMUNIDAD
COMUNIDAD
COMUNIDAD
COMUNIDAD
COMUNIDAD
COMUNIDAD
COMUNIDAD
COMUNIDAD
COMUNIDAD
COMUNIDAD
COMUNIDAD
COMUNIDAD
COMUNIDAD
COMUNIDAD
COMUNIDAD
COMUNIDAD
COMUNIDAD
COMUNIDAD
COMUNIDAD
COMUNIDAD
COMUNIDAD
COMUNIDAD
COMUNIDAD
COMUNIDAD
COMUNIDAD
COMUNIDAD
COMUNIDAD
COMUNIDAD
COMUNIDAD
COMUNIDAD
COMUNIDAD
COMUNIDAD
COMUNIDAD
COMUNIDAD
COMUNIDAD
COMUNIDAD
COMUNIDAD
COMUNIDAD
COMUNIDAD
COMUNIDAD
COMUNIDAD
COMUNIDAD
COMUNIDAD
COMUNIDAD
COMUNIDAD
COMUNIDAD
COMUNIDAD
COMUNIDAD
COMUNIDAD
COMUNIDAD
COMUNIDAD
COMUNIDAD
COMUNIDAD
COMUNIDAD
COMUNIDAD
COMUNIDAD
COMUNIDAD
COMUNIDAD
COMUNIDAD
COMUNIDAD
COMUNIDAD
COMUNIDAD
COMUNIDAD
COMUNIDAD
COMUNIDAD
COMUNIDAD
COMUNIDAD
COMUNIDAD
COMUNIDAD
COMUNIDAD
COMUNIDAD
COMUNIDAD
COMUNIDAD
COMUNIDAD
COMUNIDAD
COMUNIDAD
COMUNIDAD
COMUNIDAD
COMUNIDAD
COMUNIDAD
COMUNIDAD
COMUNIDAD
COMUNIDAD
COMUNIDAD
COMUNIDAD
COMUNIDAD
COMUNIDAD
COMUNIDAD
COMUNIDAD
COMUNIDAD
COMUNIDAD
COMUNIDAD
COMUNIDAD
COMUNIDAD
COMUNIDAD
COMUNIDAD
COMUNIDAD
COMUNIDAD
COMUNIDAD
COMUNIDAD
COMUNIDAD
COMUNIDAD
COMUNIDAD
COMUNIDAD
COMUNIDAD
COMUNIDAD
COMUNIDAD
COMUNIDAD
COMUNIDAD
COMUNIDAD
COMUNIDAD
COMUNIDAD
COMUNIDAD
COMUNIDAD
COMUNIDAD
COMUNIDAD
COMUNIDAD
COMUNIDAD
COMUNIDAD
COMUNIDAD
COMUNIDAD
COMUNIDAD
COMUNIDAD
COMUNIDAD
COMUNIDAD
COMUNIDAD
COMUNIDAD
COMUNIDAD
COMUNIDAD
COMUNIDAD
COMUNIDAD
COMUNIDAD
COMUNIDAD
COMUNIDAD
COMUNIDAD
COMUNIDAD
COMUNIDAD
COMUNIDAD
COMUNIDAD
COMUNIDAD
COMUNIDAD
COMUNIDAD
COMUNIDAD
COMUNIDAD
COMUNIDAD
COMUNIDAD
COMUNIDAD
COMUNIDAD
COMUNIDAD
COMUNIDAD
COMUNIDAD
COMUNIDAD
COMUNIDAD
COMUNIDAD
COMUNIDAD
COMUNIDAD
COMUNIDAD
COMUNIDAD
COMUNIDAD
COMUNIDAD
COMUNIDAD
COMUNIDAD
COMUNIDAD
COMUNIDAD
COMUNIDAD
COMUNIDAD
COMUNIDAD
COMUNIDAD
COMUNIDAD
COMUNIDAD
COMUNIDAD
COMUNIDAD
COMUNIDAD
COMUNIDAD
COMUNIDAD
COMUNIDAD
COMUNIDAD
COMUNIDAD
COMUNIDAD
COMUNIDAD
COMUNIDAD
COMUNIDAD
COMUNIDAD
COMUNIDAD
COMUNIDAD
COMUNIDAD
COMUNIDAD
COMUNIDAD
COMUNIDAD
COMUNIDAD
COMUNIDAD
COMUNIDAD
COMUNIDAD
COMUNIDAD
COMUNIDAD
COMUNIDAD
COMUNIDAD
COMUNIDAD
COMUNIDAD
COMUNIDAD
COMUNIDAD
COMUNIDAD
COMUNIDAD
COMUNIDAD
COMUNIDAD
COMUNIDAD
COMUNIDAD
COMUNIDAD
COMUNIDAD
COMUNIDAD
COMUNIDAD
COMUNIDAD
COMUNIDAD
COMUNIDAD
COMUNIDAD
COMUNIDAD
COMUNIDAD
COMUNIDAD
COMUNIDAD
COMUNIDAD
COMUNIDAD
COMUNIDAD
COMUNIDAD
COMUNIDAD
COMUNIDAD
COMUNIDAD
COMUNIDAD
COMUNIDAD
COMUNIDAD
COMUNIDAD
COMUNIDAD
COMUNIDAD
COMUNIDAD
COMUNIDAD
COMUNIDAD
COMUNIDAD
COMUNIDAD
COMUNIDAD
COMUNIDAD
COMUNIDAD
COMUNIDAD
COMUNIDAD
COMUNIDAD
COMUNIDAD
COMUNIDAD
COMUNIDAD
COMUNIDAD
COMUNIDAD
COMUNIDAD
COMUNIDAD
COMUNIDAD
COMUNIDAD
COMUNIDAD
COMUNIDAD
COMUNIDAD
COMUNIDAD
COMUNIDAD
COMUNIDAD
COMUNIDAD
COMUNIDAD
COMUNIDAD
COMUNIDAD
COMUNIDAD
COMUNIDAD
COMUNIDAD
COMUNIDAD
COMUNIDAD
COMUNIDAD
COMUNIDAD
COMUNIDAD
COMUNIDAD
COMUNIDAD
COMUNIDAD
COMUNIDAD
COMUNIDAD
COMUNIDAD
COMUNIDAD
COMUNIDAD
COMUNIDAD
COMUNIDAD
COMUNIDAD
COMUNIDAD
COMUNIDAD
COMUNIDAD
COMUNIDAD
COMUNIDAD
COMUNIDAD
COMUNIDAD
COMUNIDAD
COMUNIDAD
COMUNIDAD
COMUNIDAD
COMUNIDAD
COMUNIDAD
COMUNIDAD
COMUNIDAD
COMUNIDAD
COMUNIDAD
COMUNIDAD
COMUNIDAD
COMUNIDAD
COMUNIDAD
COMUNIDAD
COMUNIDAD
COMUNIDAD
COMUNIDAD
COMUNIDAD
COMUNIDAD
COMUNIDAD
COMUNIDAD
COMUNIDAD
COMUNIDAD
COMUNIDAD
COMUNIDAD
COMUNIDAD
COMUNIDAD
COMUNIDAD
COMUNIDAD
COMUNIDAD
COMUNIDAD
COMUNIDAD
COMUNIDAD
COMUNIDAD
COMUNIDAD
COMUNIDAD
COMUNIDAD
COMUNIDAD
COMUNIDAD
COMUNIDAD
COMUNIDAD
COMUNIDAD
COMUNIDAD
COMUNIDAD
COMUNIDAD
COMUNIDAD
COMUNIDAD
COMUNIDAD
COMUNIDAD
COMUNIDAD
COMUNIDAD
COMUNIDAD
COMUNIDAD
COMUNIDAD
COMUNIDAD
COMUNIDAD
COMUNIDAD
COMUNIDAD
COMUNIDAD
COMUNIDAD
COMUNIDAD
COMUNIDAD
COMUNIDAD
COMUNIDAD
COMUNIDAD
COMUNIDAD
COMUNIDAD
COMUNIDAD
COMUNIDAD
COMUNIDAD
COMUNIDAD
COMUNIDAD
COMUNIDAD
COMUNIDAD
COMUNIDAD
COMUNIDAD
COMUNIDAD
COMUNIDAD
COMUNIDAD
COMUNIDAD
COMUNIDAD
COMUNIDAD
COMUNIDAD
COMUNIDAD
COMUNIDAD
COMUNIDAD
COMUNIDAD
COMUNIDAD
COMUNIDAD
COMUNIDAD
COMUNIDAD
COMUNIDAD
COMUNIDAD
COMUNIDAD
COMUNIDAD
COMUNIDAD
COMUNIDAD
COMUNIDAD
COMUNIDAD
COMUNIDAD
COMUNIDAD
COMUNIDAD
COMUNIDAD
COMUNIDAD
COMUNIDAD
COMUNIDAD
COMUNIDAD
COMUNIDAD
COMUNIDAD
COMUNIDAD
COMUNIDAD
COMUNIDAD
COMUNIDAD
COMUNIDAD
COMUNIDAD
COMUNIDAD
COMUNIDAD
COMUNIDAD
COMUNIDAD
COMUNIDAD
COMUNIDAD
COMUNIDAD
COMUNIDAD
COMUNIDAD
COMUNIDAD
COMUNIDAD
COMUNIDAD
COMUNIDAD
COMUNIDAD
COMUNIDAD
COMUNIDAD
COMUNIDAD
COMUNIDAD
COMUNIDAD
COMUNIDAD
COMUNIDAD
COMUNIDAD
COMUNIDAD
COMUNIDAD
COMUNIDAD
COMUNIDAD
COMUNIDAD
COMUNIDAD
COMUNIDAD
COMUNIDAD
COMUNIDAD
COMUNIDAD
COMUNIDAD
COMUNIDAD
COMUNIDAD
COMUNIDAD
COMUNIDAD
COMUNIDAD
COMUNIDAD
COMUNIDAD
COMUNIDAD
COMUNIDAD
COMUNIDAD
COMUNIDAD
COMUNIDAD
COMUNIDAD
COMUNIDAD
COMUNIDAD
COMUNIDAD
COMUNIDAD
COMUNIDAD
COMUNIDAD
COMUNIDAD
COMUNIDAD
COMUNIDAD
COMUNIDAD
COMUNIDAD
COMUNIDAD
COMUNIDAD
COMUNIDAD
COMUNIDAD
COMUNIDAD
COMUNIDAD
COMUNIDAD
COMUNIDAD
COMUNIDAD
COMUNIDAD
COMUNIDAD
COMUNIDAD
COMUNIDAD
COMUNIDAD
COMUNIDAD
COMUNIDAD
COMUNIDAD
COMUNIDAD
COMUNIDAD
COMUNIDAD
COMUNIDAD
COMUNIDAD
COMUNIDAD
COMUNIDAD
COMUNIDAD
COMUNIDAD
COMUNIDAD
COMUNIDAD
COMUNIDAD
COMUNIDAD
COMUNIDAD
COMUNIDAD
COMUNIDAD
COMUNIDAD
COMUNIDAD
COMUNIDAD
COMUNIDAD
COMUNIDAD
COMUNIDAD
COMUNIDAD
COMUNIDAD
COMUNIDAD
COMUNIDAD
COMUNIDAD
COMUNIDAD
COMUNIDAD
COMUNIDAD
COMUNIDAD
COMUNIDAD
COMUNIDAD
COMUNIDAD
COMUNIDAD
COMUNIDAD
COMUNIDAD
COMUNIDAD
COMUNIDAD
COMUNIDAD
COMUNIDAD
COMUNIDAD
COMUNIDAD
COMUNIDAD
COMUNIDAD
COMUNIDAD
COMUNIDAD
COMUNIDAD
COMUNIDAD
COMUNIDAD
COMUNIDAD
COMUNIDAD
COMUNIDAD
COMUNIDAD
COMUNIDAD
COMUNIDAD
COMUNIDAD
COMUNIDAD
COMUNIDAD
COMUNIDAD
COMUNIDAD
COMUNIDAD
COMUNIDAD
COMUNIDAD
COMUNIDAD
COMUNIDAD
COMUNIDAD
COMUNIDAD
COMUNIDAD
COMUNIDAD
COMUNIDAD
COMUNIDAD
COMUNIDAD
COMUNIDAD
COMUNIDAD
COMUNIDAD
COMUNIDAD
COMUNIDAD
COMUNIDAD
COMUNIDAD
COMUNIDAD
COMUNIDAD
COMUNIDAD
COMUNIDAD
COMUNIDAD
COMUNIDAD
COMUNIDAD
COMUNIDAD
COMUNIDAD
COMUNIDAD
COMUNIDAD
COMUNIDAD
COMUNIDAD
COMUNIDAD
COMUNIDAD
COMUNIDAD
COMUNIDAD
COMUNIDAD
COMUNIDAD
COMUNIDAD
COMUNIDAD
COMUNIDAD
COMUNIDAD
COMUNIDAD
COMUNIDAD
COMUNIDAD
COMUNIDAD
COMUNIDAD
COMUNIDAD
COMUNIDAD
COMUNIDAD
COMUNIDAD
COMUNIDAD
COMUNIDAD
COMUNIDAD
COMUNIDAD
COMUNIDAD
COMUNIDAD
COMUNIDAD
COMUNIDAD
COMUNIDAD
COMUNIDAD
COMUNIDAD
COMUNIDAD
COMUNIDAD
COMUNIDAD
COMUNIDAD
COMUNIDAD
COMUNIDAD
COMUNIDAD
COMUNIDAD
COMUNIDAD
COMUNIDAD
COMUNIDAD
COMUNIDAD
COMUNIDAD
COMUNIDAD
COMUNIDAD
COMUNIDAD
COMUNIDAD
COMUNIDAD
COMUNIDAD
COMUNIDAD
COMUNIDAD
COMUNIDAD
COMUNIDAD
COMUNIDAD
COMUNIDAD
COMUNIDAD
COMUNIDAD
COMUNIDAD
COMUNIDAD
COMUNIDAD
COMUNIDAD
COMUNIDAD
COMUNIDAD
COMUNIDAD
COMUNIDAD
COMUNIDAD
COMUNIDAD
COMUNIDAD
COMUNIDAD
COMUNIDAD
COMUNIDAD
COMUNIDAD
COMUNIDAD
COMUNIDAD
COMUNIDAD
COMUNIDAD
COMUNIDAD
COMUNIDAD
COMUNIDAD
COMUNIDAD
COMUNIDAD
COMUNIDAD
COMUNIDAD
COMUNIDAD
COMUNIDAD
COMUNIDAD
COMUNIDAD
COMUNIDAD
COMUNIDAD
COMUNIDAD
COMUNIDAD
COMUNIDAD
COMUNIDAD
COMUNIDAD
COMUNIDAD
COMUNIDAD
COMUNIDAD
COMUNIDAD
COMUNIDAD
COMUNIDAD
COMUNIDAD
COMUNIDAD
COMUNIDAD
COMUNIDAD
COMUNIDAD
COMUNIDAD
COMUNIDAD
COMUNIDAD
COMUNIDAD
COMUNIDAD
COMUNIDAD
COMUNIDAD
COMUNIDAD
COMUNIDAD
COMUNIDAD
COMUNIDAD
COMUNIDAD
COMUNIDAD
COMUNIDAD
COMUNIDAD
COMUNIDAD
COMUNIDAD
COMUNIDAD
COMUNIDAD
COMUNIDAD
COMUNIDAD
COMUNIDAD
COMUNIDAD
COMUNIDAD
COMUNIDAD
COMUNIDAD
COMUNIDAD
COMUNIDAD
COMUNIDAD
COMUNIDAD
COMUNIDAD
COMUNIDAD
COMUNIDAD
COMUNIDAD
COMUNIDAD
COMUNIDAD
COMUNIDAD
COMUNIDAD
COMUNIDAD
COMUNIDAD
COMUNIDAD
COMUNIDAD
COMUNIDAD
COMUNIDAD
COMUNIDAD
COMUNIDAD
COMUNIDAD
COMUNIDAD
COMUNIDAD
COMUNIDAD
COMUNIDAD
COMUNIDAD
COMUNIDAD
COMUNIDAD
COMUNIDAD
COMUNIDAD
COMUNIDAD
COMUNIDAD
COMUNIDAD
COMUNIDAD
COMUNIDAD
COMUNIDAD
COMUNIDAD
COMUNIDAD
COMUNIDAD
COMUNIDAD
COMUNIDAD
COMUNIDAD
COMUNIDAD
COMUNIDAD
COMUNIDAD
COMUNIDAD
COMUNIDAD
COMUNIDAD
COMUNIDAD
COMUNIDAD
COMUNIDAD
COMUNIDAD
COMUNIDAD
COMUNIDAD
COMUNIDAD
COMUNIDAD
COMUNIDAD
COMUNIDAD
COMUNIDAD
COMUNIDAD
COMUNIDAD
COMUNIDAD
COMUNIDAD
COMUNIDAD
COMUNIDAD
COMUNIDAD
COMUNIDAD
COMUNIDAD
COMUNIDAD
COMUNIDAD
COMUNIDAD
COMUNIDAD
COMUNIDAD
COMUNIDAD
COMUNIDAD
COMUNIDAD
COMUNIDAD
COMUNIDAD
COMUNIDAD
COMUNIDAD
COMUNIDAD
COMUNIDAD
COMUNIDAD
COMUNIDAD
COMUNIDAD
COMUNIDAD
COMUNIDAD
COMUNIDAD
COMUNIDAD
COMUNIDAD
COMUNIDAD
COMUNIDAD
COMUNIDAD
COMUNIDAD
COMUNIDAD
COMUNIDAD
COMUNIDAD
COMUNIDAD
COMUNIDAD
COMUNIDAD
COMUNIDAD
COMUNIDAD
COMUNIDAD
COMUNIDAD
COMUNIDAD
COMUNIDAD
COMUNIDAD
COMUNIDAD
COMUNIDAD
COMUNIDAD
COMUNIDAD
COMUNIDAD
COMUNIDAD
COMUNIDAD
COMUNIDAD
COMUNIDAD
COMUNIDAD
COMUNIDAD
COMUNIDAD
COMUNIDAD
COMUNIDAD
COMUNIDAD
COMUNIDAD
COMUNIDAD
COMUNIDAD
COMUNIDAD
COMUNIDAD
COMUNIDAD
COMUNIDAD
COMUNIDAD
COMUNIDAD
COMUNIDAD
COMUNIDAD
COMUNIDAD
COMUNIDAD
COMUNIDAD
COMUNIDAD
COMUNIDAD
COMUNIDAD
COMUNIDAD
COMUNIDAD
COMUNIDAD
COMUNIDAD
COMUNIDAD
COMUNIDAD
COMUNIDAD
COMUNIDAD
COMUNIDAD
COMUNIDAD
COMUNIDAD
COMUNIDAD
COMUNIDAD
COMUNIDAD
COMUNIDAD
COMUNIDAD
COMUNIDAD
COMUNIDAD
COMUNIDAD
COMUNIDAD
COMUNIDAD
COMUNIDAD
COMUNIDAD
COMUNIDAD
COMUNIDAD
COMUNIDAD
COMUNIDAD
COMUNIDAD
COMUNIDAD
COMUNIDAD
COMUNIDAD
COMUNIDAD
COMUNIDAD
COMUNIDAD
COMUNIDAD
COMUNIDAD
COMUNIDAD
COMUNIDAD
COMUNIDAD
COMUNIDAD
COMUNIDAD
COMUNIDAD
COMUNIDAD
COMUNIDAD
COMUNIDAD
COMUNIDAD
COMUNIDAD
COMUNIDAD
COMUNIDAD
COMUNIDAD
COMUNIDAD
COMUNIDAD
COMUNIDAD
COMUNIDAD
COMUNIDAD
COMUNIDAD
COMUNIDAD
COMUNIDAD
COMUNIDAD
COMUNIDAD
COMUNIDAD
COMUNIDAD
COMUNIDAD
COMUNIDAD
COMUNIDAD
COMUNIDAD
COMUNIDAD
COMUNIDAD
COMUNIDAD
COMUNIDAD
COMUNIDAD
COMUNIDAD
COMUNIDAD
COMUNIDAD
COMUNIDAD
COMUNIDAD
COMUNIDAD
COMUNIDAD
COMUNIDAD
COMUNIDAD
COMUNIDAD
COMUNIDAD
COMUNIDAD
COMUNIDAD
COMUNIDAD
COMUNIDAD
COMUNIDAD
COMUNIDAD
COMUNIDAD
COMUNIDAD
COMUNIDAD
COMUNIDAD
COMUNIDAD
COMUNIDAD
COMUNIDAD
COMUNIDAD
COMUNIDAD
COMUNIDAD
COMUNIDAD
COMUNIDAD
COMUNIDAD
COMUNIDAD
COMUNIDAD
COMUNIDAD
COMUNIDAD
COMUNIDAD
COMUNIDAD
COMUNIDAD
COMUNIDAD
COMUNIDAD
COMUNIDAD
COMUNIDAD
COMUNIDAD
COMUNIDAD
COMUNIDAD
COMUNIDAD
COMUNIDAD
COMUNIDAD
COMUNIDAD
COMUNIDAD
COMUNIDAD
COMUNIDAD
COMUNIDAD
COMUNIDAD
COMUNIDAD
COMUNIDAD
COMUNIDAD
COMUNIDAD
COMUNIDAD
COMUNIDAD
COMUNIDAD
COMUNIDAD
COMUNIDAD
COMUNIDAD
COMUNIDAD
COMUNIDAD
COMUNIDAD
COMUNIDAD
COMUNIDAD
COMUNIDAD
COMUNIDAD
COMUNIDAD
COMUNIDAD
COMUNIDAD
COMUNIDAD
COMUNIDAD
COMUNIDAD
COMUNIDAD
COMUNIDAD
COMUNIDAD
COMUNIDAD
COMUNIDAD
COMUNIDAD
COMUNIDAD
COMUNIDAD
COMUNIDAD
COMUNIDAD
COMUNIDAD
COMUNIDAD
COMUNIDAD
COMUNIDAD
COMUNIDAD
COMUNIDAD
COMUNIDAD
COMUNIDAD
COMUNIDAD
COMUNIDAD
COMUNIDAD
COMUNIDAD
COMUNIDAD
COMUNIDAD
COMUNIDAD
COMUNIDAD
COMUNIDAD
COMUNIDAD
COMUNIDAD
COMUNIDAD
COMUNIDAD
COMUNIDAD
COMUNIDAD
COMUNIDAD
COMUNIDAD
COMUNIDAD
COMUNIDAD
COMUNIDAD
COMUNIDAD
COMUNIDAD
COMUNIDAD
COMUNIDAD
COMUNIDAD
COMUNIDAD
COMUNIDAD
COMUNIDAD
COMUNIDAD
COMUNIDAD
COMUNIDAD
COMUNIDAD
COMUNIDAD
COMUNIDAD
COMUNIDAD
COMUNIDAD
COMUNIDAD
COMUNIDAD
COMUNIDAD
COMUNIDAD
COMUNIDAD
COMUNIDAD
COMUNIDAD
COMUNIDAD
COMUNIDAD
COMUNIDAD
COMUNIDAD
COMUNIDAD
COMUNIDAD
COMUNIDAD
COMUNIDAD
COMUNIDAD
COMUNIDAD
COMUNIDAD
COMUNIDAD
COMUNIDAD
COMUNIDAD
COMUNIDAD
COMUNIDAD
COMUNIDAD
COMUNIDAD
COMUNIDAD
COMUNIDAD
COMUNIDAD
COMUNIDAD
COMUNIDAD
COMUNIDAD
COMUNIDAD
COMUNIDAD
COMUNIDAD
COMUNIDAD
COMUNIDAD
COMUNIDAD
COMUNIDAD
COMUNIDAD
COMUNIDAD
COMUNIDAD
COMUNIDAD
COMUNIDAD
COMUNIDAD
COMUNIDAD
COMUNIDAD
COMUNIDAD
COMUNIDAD
COMUNIDAD
COMUNIDAD
COMUNIDAD
COMUNIDAD
COMUNIDAD
COMUNIDAD
COMUNIDAD
COMUNIDAD
COMUNIDAD
COMUNIDAD
COMUNIDAD
COMUNIDAD
COMUNIDAD
COMUNIDAD
COMUNIDAD
COMUNIDAD
COMUNIDAD
COMUNIDAD
COMUNIDAD
COMUNIDAD
COMUNIDAD
COMUNIDAD
COMUNIDAD
COMUNIDAD
COMUNIDAD
COMUNIDAD
COMUNIDAD
COMUNIDAD
COMUNIDAD
COMUNIDAD
COMUNIDAD
COMUNIDAD
COMUNIDAD
COMUNIDAD
COMUNIDAD
COMUNIDAD
COMUNIDAD
COMUNIDAD
COMUNIDAD
COMUNIDAD
COMUNIDAD
COMUNIDAD
COMUNIDAD
COMUNIDAD
COMUNIDAD
COMUNIDAD
COMUNIDAD
COMUNIDAD
COMUNIDAD
COMUNIDAD
COMUNIDAD
COMUNIDAD
COMUNIDAD
COMUNIDAD
COMUNIDAD
COMUNIDAD
COMUNIDAD
COMUNIDAD
COMUNIDAD
COMUNIDAD
COMUNIDAD
COMUNIDAD
COMUNIDAD
COMUNIDAD
COMUNIDAD
COMUNIDAD
COMUNIDAD
COMUNIDAD
COMUNIDAD
COMUNIDAD
COMUNIDAD
COMUNIDAD
COMUNIDAD
COMUNIDAD
COMUNIDAD
COMUNIDAD
COMUNIDAD
COMUNIDAD
COMUNIDAD
COMUNIDAD
COMUNIDAD
COMUNIDAD
COMUNIDAD
COMUNIDAD
COMUNIDAD
COMUNIDAD
COMUNIDAD
COMUNIDAD
COMUNIDAD
COMUNIDAD
COMUNIDAD
COMUNIDAD
COMUNIDAD
COMUNIDAD
COMUNIDAD
COMUNIDAD
COMUNIDAD
COMUNIDAD
COMUNIDAD
COMUNIDAD
COMUNIDAD
COMUNIDAD
COMUNIDAD
COMUNIDAD
COMUNIDAD
COMUNIDAD
COMUNIDAD
COMUNIDAD
COMUNIDAD
COMUNIDAD
COMUNIDAD
COMUNIDAD
COMUNIDAD
COMUNIDAD
COMUNIDAD
COMUNIDAD
COMUNIDAD
COMUNIDAD
COMUNIDAD
COMUNIDAD
COMUNIDAD
COMUNIDAD
COMUNIDAD
COMUNIDAD
COMUNIDAD
COMUNIDAD
COMUNIDAD
COMUNIDAD
COMUNIDAD
COMUNIDAD
COMUNIDAD
COMUNIDAD
COMUNIDAD
COMUNIDAD
COMUNIDAD
COMUNIDAD
COMUNIDAD
COMUNIDAD
COMUNIDAD
COMUNIDAD
COMUNIDAD
COMUNIDAD
COMUNIDAD
COMUNIDAD
COMUNIDAD
COMUNIDAD
COMUNIDAD
COMUNIDAD
COMUNIDAD
COMUNIDAD
COMUNIDAD
COMUNIDAD
COMUNIDAD
COMUNIDAD
COMUNIDAD
COMUNIDAD
COMUNIDAD
COMUNIDAD
COMUNIDAD
COMUNIDAD
COMUNIDAD
COMUNIDAD
COMUNIDAD
COMUNIDAD
COMUNIDAD
COMUNIDAD
COMUNIDAD
COMUNIDAD
COMUNIDAD
COMUNIDAD
COMUNIDAD
COMUNIDAD
COMUNIDAD
COMUNIDAD
COMUNIDAD
COMUNIDAD
COMUNIDAD
COMUNIDAD
COMUNIDAD
COMUNIDAD
COMUNIDAD
COMUNIDAD
COMUNIDAD
COMUNIDAD
COMUNIDAD
COMUNIDAD
COMUNIDAD
COMUNIDAD
COMUNIDAD
COMUNIDAD
COMUNIDAD
COMUNIDAD
COMUNIDAD
COMUNIDAD
COMUNIDAD
COMUNIDAD
COMUNIDAD
COMUNIDAD
COMUNIDAD
COMUNIDAD
COMUNIDAD
COMUNIDAD
COMUNIDAD
COMUNIDAD
COMUNIDAD
COMUNIDAD
COMUNIDAD
COMUNIDAD
COMUNIDAD
COMUNIDAD
COMUNIDAD
COMUNIDAD
COMUNIDAD
COMUNIDAD
COMUNIDAD
COMUNIDAD
COMUNIDAD
COMUNIDAD
COMUNIDAD
COMUNIDAD
COMUNIDAD
COMUNIDAD
COMUNIDAD
COMUNIDAD
COMUNIDAD
COMUNIDAD
COMUNIDAD
COMUNIDAD
COMUNIDAD
COMUNIDAD
COMUNIDAD
COMUNIDAD
COMUNIDAD
COMUNIDAD
COMUNIDAD
COMUNIDAD
COMUNIDAD
COMUNIDAD
COMUNIDAD
COMUNIDAD
COMUNIDAD
COMUNIDAD
COMUNIDAD
COMUNIDAD
COMUNIDAD
COMUNIDAD
COMUNIDAD
COMUNIDAD
COMUNIDAD
COMUNIDAD
COMUNIDAD
COMUNIDAD
COMUNIDAD
COMUNIDAD
COMUNIDAD
COMUNIDAD
COMUNIDAD
COMUNIDAD
COMUNIDAD
COMUNIDAD
COMUNIDAD
COMUNIDAD
COMUNIDAD
COMUNIDAD
COMUNIDAD
COMUNIDAD
COMUNIDAD
COMUNIDAD
COMUNIDAD
COMUNIDAD
COMUNIDAD
COMUNIDAD
COMUNIDAD
COMUNIDAD
COMUNIDAD
COMUNIDAD
COMUNIDAD
COMUNIDAD
COMUNIDAD
COMUNIDAD
COMUNIDAD
COMUNIDAD
COMUNIDAD
COMUNIDAD
COMUNIDAD
COMUNIDAD
COMUNIDAD
COMUNIDAD
COMUNIDAD
COMUNIDAD
COMUNIDAD
COMUNIDAD
COMUNIDAD
COMUNIDAD
COMUNIDAD
COMUNIDAD
COMUNIDAD
COMUNIDAD
COMUNIDAD
COMUNIDAD
COMUNIDAD
COMUNIDAD
COMUNIDAD
COMUNIDAD
COMUNIDAD
COMUNIDAD
COMUNIDAD
COMUNIDAD
COMUNIDAD
COMUNIDAD
COMUNIDAD
COMUNIDAD
COMUNIDAD
COMUNIDAD
COMUNIDAD
COMUNIDAD
COMUNIDAD
COMUNIDAD
COMUNIDAD
COMUNIDAD
COMUNIDAD
COMUNIDAD
COMUNIDAD
COMUNIDAD
COMUNIDAD
COMUNIDAD
COMUNIDAD
COMUNIDAD
COMUNIDAD
COMUNIDAD
COMUNIDAD
COMUNIDAD
COMUNIDAD
COMUNIDAD
COMUNIDAD
COMUNIDAD
COMUNIDAD
COMUNIDAD
COMUNIDAD
COMUNIDAD
COMUNIDAD
COMUNIDAD
COMUNIDAD
COMUNIDAD
COMUNIDAD
COMUNIDAD
COMUNIDAD
COMUNIDAD
COMUNIDAD
COMUNIDAD
COMUNIDAD
COMUNIDAD
COMUNIDAD
COMUNIDAD
COMUNIDAD
COMUNIDAD
COMUNIDAD
COMUNIDAD
COMUNIDAD
COMUNIDAD
COMUNIDAD
COMUNIDAD
COMUNIDAD
COMUNIDAD
COMUNIDAD
COMUNIDAD
COMUNIDAD
COMUNIDAD
COMUNIDAD
COMUNIDAD
COMUNIDAD
COMUNIDAD
COMUNIDAD
COMUNIDAD
COMUNIDAD
COMUNIDAD
COMUNIDAD
COMUNIDAD
COMUNIDAD
COMUNIDAD
COMUNIDAD
COMUNIDAD
COMUNIDAD
COMUNIDAD
COMUNIDAD
COMUNIDAD
COMUNIDAD
COMUNIDAD
COMUNIDAD
COMUNIDAD
COMUNIDAD
COMUNIDAD
COMUNIDAD
COMUNIDAD
COMUNIDAD
COMUNIDAD
COMUNIDAD
COMUNIDAD
COMUNIDAD
COMUNIDAD
COMUNIDAD
COMUNIDAD
COMUNIDAD
COMUNIDAD
COMUNIDAD
COMUNIDAD
COMUNIDAD
COMUNIDAD
COMUNIDAD
COMUNIDAD
COMUNIDAD
COMUNIDAD
COMUNIDAD
COMUNIDAD
COMUNIDAD
COMUNIDAD
COMUNIDAD
COMUNIDAD
COMUNIDAD
COMUNIDAD
COMUNIDAD
COMUNIDAD
COMUNIDAD
COMUNIDAD
COMUNIDAD
COMUNIDAD
COMUNIDAD
COMUNIDAD
COMUNIDAD
COMUNIDAD
COMUNIDAD
COMUNIDAD
COMUNIDAD
COMUNIDAD
COMUNIDAD
COMUNIDAD
COMUNIDAD
COMUNIDAD
COMUNIDAD
COMUNIDAD
COMUNIDAD
COMUNIDAD
COMUNIDAD
COMUNIDAD
COMUNIDAD
COMUNIDAD
COMUNIDAD
COMUNIDAD
COMUNIDAD
COMUNIDAD
COMUNIDAD
COMUNIDAD
COMUNIDAD
COMUNIDAD
COMUNIDAD
COMUNIDAD
COMUNIDAD
COMUNIDAD
COMUNIDAD
COMUNIDAD
COMUNIDAD
COMUNIDAD
COMUNIDAD
COMUNIDAD
COMUNIDAD
COMUNIDAD
COMUNIDAD
COMUNIDAD
COMUNIDAD
COMUNIDAD
COMUNIDAD
COMUNIDAD
COMUNIDAD
COMUNIDAD
COMUNIDAD
COMUNIDAD
COMUNIDAD
COMUNIDAD
COMUNIDAD
COMUNIDAD
COMUNIDAD
COMUNIDAD
COMUNIDAD
COMUNIDAD
COMUNIDAD
COMUNIDAD
COMUNIDAD
COMUNIDAD
COMUNIDAD
COMUNIDAD
COMUNIDAD
COMUNIDAD
COMUNIDAD
COMUNIDAD
COMUNIDAD
COMUNIDAD
COMUNIDAD
COMUNIDAD
COMUNIDAD
COMUNIDAD
COMUNIDAD
COMUNIDAD
COMUNIDAD
COMUNIDAD
COMUNIDAD
COMUNIDAD
COMUNIDAD
COMUNIDAD
COMUNIDAD
COMUNIDAD
COMUNIDAD
COMUNIDAD
COMUNIDAD
COMUNIDAD
COMUNIDAD
COMUNIDAD
COMUNIDAD
COMUNIDAD
COMUNIDAD
COMUNIDAD
COMUNIDAD
COMUNIDAD
COMUNIDAD
COMUNIDAD
COMUNIDAD
COMUNIDAD
COMUNIDAD
COMUNIDAD
COMUNIDAD
COMUNIDAD
COMUNIDAD
COMUNIDAD
COMUNIDAD
COMUNIDAD
COMUNIDAD
COMUNIDAD
COMUNIDAD
COMUNIDAD
COMUNIDAD
COMUNIDAD
COMUNIDAD
COMUNIDAD
COMUNIDAD
COMUNIDAD
COMUNIDAD
COMUNIDAD
COMUNIDAD
COMUNIDAD
COMUNIDAD
COMUNIDAD
COMUNIDAD
COMUNIDAD
COMUNIDAD
COMUNIDAD
COMUNIDAD
COMUNIDAD
COMUNIDAD
COMUNIDAD
COMUNIDAD
COMUNIDAD
COMUNIDAD
COMUNIDAD
COMUNIDAD
COMUNIDAD
COMUNIDAD
COMUNIDAD
COMUNIDAD
COMUNIDAD
COMUNIDAD
COMUNIDAD
COMUNIDAD
COMUNIDAD
COMUNIDAD
COMUNIDAD
COMUNIDAD
COMUNIDAD
COMUNIDAD
COMUNIDAD
COMUNIDAD
COMUNIDAD
COMUNIDAD
COMUNIDAD
COMUNIDAD
COMUNIDAD
COMUNIDAD
COMUNIDAD
COMUNIDAD
COMUNIDAD
COMUNIDAD
COMUNIDAD
COMUNIDAD
COMUNIDAD
COMUNIDAD
COMUNIDAD
COMUNIDAD
COMUNIDAD
COMUNIDAD
COMUNIDAD
COMUNIDAD
COMUNIDAD
COMUNIDAD
COMUNIDAD
COMUNIDAD
COMUNIDAD
COMUNIDAD
COMUNIDAD
COMUNIDAD
COMUNIDAD
COMUNIDAD
COMUNIDAD
COMUNIDAD
COMUNIDAD
COMUNIDAD
COMUNIDAD
COMUNIDAD
COMUNIDAD
COMUNIDAD
COMUNIDAD
COMUNIDAD
COMUNIDAD
COMUNIDAD
COMUNIDAD
COMUNIDAD
COMUNIDAD
COMUNIDAD
COMUNIDAD
COMUNIDAD
COMUNIDAD
COMUNIDAD
COMUNIDAD
COMUNIDAD
COMUNIDAD
COMUNIDAD
COMUNIDAD
COMUNIDAD
COMUNIDAD
COMUNIDAD
COMUNIDAD
COMUNIDAD
COMUNIDAD
COMUNIDAD
COMUNIDAD
COMUNIDAD
COMUNIDAD
COMUNIDAD
COMUNIDAD
COMUNIDAD
COMUNIDAD
COMUNIDAD
COMUNIDAD
COMUNIDAD
COMUNIDAD
COMUNIDAD
COMUNIDAD
COMUNIDAD
COMUNIDAD
COMUNIDAD
COMUNIDAD
COMUNIDAD
COMUNIDAD
COMUNIDAD
COMUNIDAD
COMUNIDAD
COMUNIDAD
COMUNIDAD
COMUNIDAD
COMUNIDAD
COMUNIDAD
COMUNIDAD
COMUNIDAD
COMUNIDAD
COMUNIDAD
COMUNIDAD
COMUNIDAD
COMUNIDAD
COMUNIDAD
COMUNIDAD
COMUNIDAD
COMUNIDAD
COMUNIDAD
COMUNIDAD
COMUNIDAD
COMUNIDAD
COMUNIDAD
COMUNIDAD
COMUNIDAD
COMUNIDAD
COMUNIDAD
COMUNIDAD
COMUNIDAD
COMUNIDAD
COMUNIDAD
COMUNIDAD
COMUNIDAD
COMUNIDAD
COMUNIDAD
COMUNIDAD
COMUNIDAD
COMUNIDAD
COMUNIDAD
COMUNIDAD
COMUNIDAD
COMUNIDAD
COMUNIDAD
COMUNIDAD
COMUNIDAD
COMUNIDAD
COMUNIDAD
COMUNIDAD
COMUNIDAD
COMUNIDAD
COMUNIDAD
COMUNIDAD
COMUNIDAD
COMUNIDAD
COMUNIDAD
COMUNIDAD
COMUNIDAD
COMUNIDAD
COMUNIDAD
COMUNIDAD
COMUNIDAD
COMUNIDAD
COMUNIDAD
COMUNIDAD
COMUNIDAD
COMUNIDAD
COMUNIDAD
COMUNIDAD
COMUNIDAD
COMUNIDAD
COMUNIDAD
COMUNIDAD
COMUNIDAD
COMUNIDAD
COMUNIDAD
COMUNIDAD
COMUNIDAD
COMUNIDAD
COMUNIDAD
COMUNIDAD
COMUNIDAD
COMUNIDAD
COMUNIDAD
COMUNIDAD
COMUNIDAD
COMUNIDAD
COMUNIDAD
COMUNIDAD
COMUNIDAD
COMUNIDAD
COMUNIDAD
COMUNIDAD
COMUNIDAD
COMUNIDAD
COMUNIDAD
COMUNIDAD
COMUNIDAD
COMUNIDAD
COMUNIDAD
COMUNIDAD
COMUNIDAD
COMUNIDAD
COMUNIDAD
COMUNIDAD
COMUNIDAD
COMUNIDAD
COMUNIDAD
COMUNIDAD
COMUNIDAD
COMUNIDAD
COMUNIDAD
COMUNIDAD
COMUNIDAD
COMUNIDAD
COMUNIDAD
COMUNIDAD
COMUNIDAD
COMUNIDAD
COMUNIDAD
COMUNIDAD
COMUNIDAD
COMUNIDAD
COMUNIDAD
COMUNIDAD
COMUNIDAD
COMUNIDAD
COMUNIDAD
COMUNIDAD
COMUNIDAD
COMUNIDAD
COMUNIDAD
COMUNIDAD
COMUNIDAD
COMUNIDAD
COMUNIDAD
COMUNIDAD
COMUNIDAD
COMUNIDAD
COMUNIDAD
COMUNIDAD
COMUNIDAD
COMUNIDAD
COMUNIDAD
COMUNIDAD
COMUNIDAD
COMUNIDAD
COMUNIDAD
COMUNIDAD
COMUNIDAD
COMUNIDAD
COMUNIDAD
COMUNIDAD
COMUNIDAD
COMUNIDAD
COMUNIDAD
COMUNIDAD
COMUNIDAD
COMUNIDAD
COMUNIDAD
COMUNIDAD
COMUNIDAD
COMUNIDAD
COMUNIDAD
COMUNIDAD
COMUNIDAD
COMUNIDAD
COMUNIDAD
COMUNIDAD
COMUNIDAD
COMUNIDAD
COMUNIDAD
COMUNIDAD
COMUNIDAD
COMUNIDAD
COMUNIDAD
COMUNIDAD
COMUNIDAD
COMUNIDAD
COMUNIDAD
COMUNIDAD
COMUNIDAD
COMUNIDAD
COMUNIDAD
COMUNIDAD
COMUNIDAD
COMUNIDAD
COMUNIDAD
COMUNIDAD
COMUNIDAD
COMUNIDAD
COMUNIDAD
COMUNIDAD
COMUNIDAD
COMUNIDAD
COMUNIDAD
COMUNIDAD
COMUNIDAD
COMUNIDAD
COMUNIDAD
COMUNIDAD
COMUNIDAD
COMUNIDAD
COMUNIDAD
COMUNIDAD
COMUNIDAD
COMUNIDAD
COMUNIDAD
COMUNIDAD
COMUNIDAD
COMUNIDAD
COMUNIDAD
COMUNIDAD
COMUNIDAD
COMUNIDAD
COMUNIDAD
COMUNIDAD
COMUNIDAD
COMUNIDAD
COMUNIDAD
COMUNIDAD
COMUNIDAD
COMUNIDAD
COMUNIDAD
COMUNIDAD
COMUNIDAD
COMUNIDAD
COMUNIDAD
COMUNIDAD
COMUNIDAD
COMUNIDAD
COMUNIDAD
COMUNIDAD
COMUNIDAD
COMUNIDAD
COMUNIDAD
COMUNIDAD
COMUNIDAD
COMUNIDAD
COMUNIDAD
COMUNIDAD
COMUNIDAD
COMUNIDAD
COMUNIDAD
COMUNIDAD
COMUNIDAD
COMUNIDAD
COMUNIDAD
COMUNIDAD
COMUNIDAD
COMUNIDAD
COMUNIDAD
COMUNIDAD
COMUNIDAD
COMUNIDAD
COMUNIDAD
COMUNIDAD
COMUNIDAD
COMUNIDAD
COMUNIDAD
COMUNIDAD
COMUNIDAD
COMUNIDAD
COMUNIDAD
COMUNIDAD
COMUNIDAD
COMUNIDAD
COMUNIDAD
COMUNIDAD
COMUNIDAD
COMUNIDAD
COMUNIDAD
COMUNIDAD
COMUNIDAD
COMUNIDAD
COMUNIDAD
COMUNIDAD
COMUNIDAD
COMUNIDAD
COMUNIDAD
COMUNIDAD
COMUNIDAD
COMUNIDAD
COMUNIDAD
COMUNIDAD
COMUNIDAD
COMUNIDAD
COMUNIDAD
COMUNIDAD
COMUNIDAD
COMUNIDAD
COMUNIDAD
COMUNIDAD
COMUNIDAD
COMUNIDAD
COMUNIDAD
COMUNIDAD
COMUNIDAD
COMUNIDAD
COMUNIDAD
COMUNIDAD
COMUNIDAD
COMUNIDAD
COMUNIDAD
COMUNIDAD
COMUNIDAD
COMUNIDAD
COMUNIDAD
COMUNIDAD
COMUNIDAD
COMUNIDAD
COMUNIDAD
COMUNIDAD
COMUNIDAD
COMUNIDAD
COMUNIDAD
COMUNIDAD
COMUNIDAD
COMUNIDAD
COMUNIDAD
COMUNIDAD
COMUNIDAD
COMUNIDAD
COMUNIDAD
COMUNIDAD
COMUNIDAD
COMUNIDAD
COMUNIDAD
COMUNIDAD
COMUNIDAD
COMUNIDAD
COMUNIDAD
COMUNIDAD
COMUNIDAD
COMUNIDAD
COMUNIDAD
COMUNIDAD
COMUNIDAD
COMUNIDAD
COMUNIDAD
COMUNIDAD
COMUNIDAD
COMUNIDAD
COMUNIDAD
COMUNIDAD
COMUNIDAD
COMUNIDAD
COMUNIDAD
COMUNIDAD
COMUNIDAD
COMUNIDAD
COMUNIDAD
COMUNIDAD
COMUNIDAD
COMUNIDAD
COMUNIDAD
COMUNIDAD
COMUNIDAD
COMUNIDAD
COMUNIDAD
COMUNIDAD
COMUNIDAD
COMUNIDAD
COMUNIDAD
COMUNIDAD
COMUNIDAD
COMUNIDAD
COMUNIDAD
COMUNIDAD
COMUNIDAD
COMUNIDAD
COMUNIDAD
COMUNIDAD
COMUNIDAD
COMUNIDAD
COMUNIDAD
COMUNIDAD
COMUNIDAD
COMUNIDAD
COMUNIDAD
COMUNIDAD
COMUNIDAD
COMUNIDAD
COMUNIDAD
COMUNIDAD
COMUNIDAD
COMUNIDAD
COMUNIDAD
COMUNIDAD
COMUNIDAD
COMUNIDAD
COMUNIDAD
COMUNIDAD
COMUNIDAD
COMUNIDAD
COMUNIDAD
COMUNIDAD
COMUNIDAD
COMUNIDAD
COMUNIDAD
COMUNIDAD
COMUNIDAD
COMUNIDAD
COMUNIDAD
COMUNIDAD
COMUNIDAD
COMUNIDAD
COMUNIDAD
COMUNIDAD
COMUNIDAD
COMUNIDAD
COMUNIDAD
COMUNIDAD
COMUNIDAD
COMUNIDAD
COMUNIDAD
COMUNIDAD
COMUNIDAD
COMUNIDAD
COMUNIDAD
COMUNIDAD
COMUNIDAD
COMUNIDAD
COMUNIDAD
COMUNIDAD
COMUNIDAD
COMUNIDAD
COMUNIDAD
COMUNIDAD
COMUNIDAD
COMUNIDAD
COMUNIDAD
COMUNIDAD
COMUNIDAD
COMUNIDAD
COMUNIDAD
COMUNIDAD
COMUNIDAD
COMUNIDAD
COMUNIDAD
COMUNIDAD
COMUNIDAD
COMUNIDAD
COMUNIDAD
COMUNIDAD
COMUNIDAD
COMUNIDAD
COMUNIDAD
COMUNIDAD
COMUNIDAD
COMUNIDAD
COMUNIDAD
COMUNIDAD
COMUNIDAD
COMUNIDAD
COMUNIDAD
COMUNIDAD
COMUNIDAD
COMUNIDAD
COMUNIDAD
COMUNIDAD
COMUNIDAD
COMUNIDAD
COMUNIDAD
COMUNIDAD
COMUNIDAD
COMUNIDAD
COMUNIDAD
COMUNIDAD
COMUNIDAD
COMUNIDAD
COMUNIDAD
COMUNIDAD
COMUNIDAD
COMUNIDAD
COMUNIDAD
COMUNIDAD
COMUNIDAD
COMUNIDAD
COMUNIDAD
COMUNIDAD
COMUNIDAD
COMUNIDAD
COMUNIDAD
COMUNIDAD
COMUNIDAD
COMUNIDAD
COMUNIDAD
COMUNIDAD
COMUNIDAD
COMUNIDAD
COMUNIDAD
COMUNIDAD
COMUNIDAD
COMUNIDAD
COMUNIDAD
COMUNIDAD
COMUNIDAD
COMUNIDAD
COMUNIDAD
COMUNIDAD
COMUNIDAD
COMUNIDAD
COMUNIDAD
COMUNIDAD
COMUNIDAD
COMUNIDAD
COMUNIDAD
COMUNIDAD
COMUNIDAD
COMUNIDAD
COMUNIDAD
COMUNIDAD
COMUNIDAD
COMUNIDAD
COMUNIDAD
COMUNIDAD
COMUNIDAD
COMUNIDAD
COMUNIDAD
COMUNIDAD
COMUNIDAD
COMUNIDAD
COMUNIDAD
COMUNIDAD
COMUNIDAD
COMUNIDAD
COMUNIDAD
COMUNIDAD
COMUNIDAD
COMUNIDAD
COMUNIDAD
COMUNIDAD
COMUNIDAD
COMUNIDAD
COMUNIDAD
COMUNIDAD
COMUNIDAD
COMUNIDAD
COMUNIDAD
COMUNIDAD
COMUNIDAD
COMUNIDAD
COMUNIDAD
COMUNIDAD
COMUNIDAD
COMUNIDAD
COMUNIDAD
COMUNIDAD
COMUNIDAD
COMUNIDAD
COMUNIDAD
COMUNIDAD
COMUNIDAD
COMUNIDAD
COMUNIDAD
COMUNIDAD
COMUNIDAD
COMUNIDAD
COMUNIDAD
COMUNIDAD
COMUNIDAD
COMUNIDAD
COMUNIDAD
COMUNIDAD
COMUNIDAD
COMUNIDAD
COMUNIDAD
COMUNIDAD
COMUNIDAD
COMUNIDAD
COMUNIDAD
COMUNIDAD
COMUNIDAD
COMUNIDAD
COMUNIDAD
COMUNIDAD
COMUNIDAD
COMUNIDAD
COMUNIDAD
COMUNIDAD
COMUNIDAD
COMUNIDAD
COMUNIDAD
COMUNIDAD
COMUNIDAD
COMUNIDAD
COMUNIDAD
COMUNIDAD
COMUNIDAD
COMUNIDAD
COMUNIDAD
COMUNIDAD
COMUNIDAD
COMUNIDAD
COMUNIDAD
COMUNIDAD
COMUNIDAD
COMUNIDAD
COMUNIDAD
COMUNIDAD
COMUNIDAD
COMUNIDAD
COMUNIDAD
COMUNIDAD
COMUNIDAD
COMUNIDAD
COMUNIDAD
COMUNIDAD
COMUNIDAD
COMUNIDAD
COMUNIDAD
COMUNIDAD
COMUNIDAD
COMUNIDAD
COMUNIDAD
COMUNIDAD
COMUNIDAD
COMUNIDAD
COMUNIDAD
COMUNIDAD
COMUNIDAD
COMUNIDAD
COMUNIDAD
COMUNIDAD
COMUNIDAD
COMUNIDAD
COMUNIDAD
COMUNIDAD
COMUNIDAD
COMUNIDAD
COMUNIDAD
COMUNIDAD
COMUNIDAD
COMUNIDAD
COMUNIDAD
COMUNIDAD
COMUNIDAD
COMUNIDAD
COMUNIDAD
COMUNIDAD
COMUNIDAD
COMUNIDAD
COMUNIDAD
COMUNIDAD
COMUNIDAD
COMUNIDAD
COMUNIDAD
COMUNIDAD
COMUNIDAD
COMUNIDAD
COMUNIDAD
COMUNIDAD
COMUNIDAD
COMUNIDAD
COMUNIDAD
COMUNIDAD
COMUNIDAD
COMUNIDAD
COMUNIDAD
COMUNIDAD
COMUNIDAD
COMUNIDAD
COMUNIDAD
COMUNIDAD
COMUNIDAD
COMUNIDAD
COMUNIDAD
COMUNIDAD
COMUNIDAD
COMUNIDAD
COMUNIDAD
COMUNIDAD
COMUNIDAD
COMUNIDAD
COMUNIDAD
COMUNIDAD
COMUNIDAD
COMUNIDAD
COMUNIDAD
COMUNIDAD
COMUNIDAD
COMUNIDAD
COMUNIDAD
COMUNIDAD
COMUNIDAD
COMUNIDAD
COMUNIDAD
COMUNIDAD
COMUNIDAD
COMUNIDAD
COMUNIDAD
COMUNIDAD
COMUNIDAD
COMUNIDAD
COMUNIDAD
COMUNIDAD
COMUNIDAD
COMUNIDAD
COMUNIDAD
COMUNIDAD
COMUNIDAD
COMUNIDAD
COMUNIDAD
COMUNIDAD
COMUNIDAD
COMUNIDAD
COMUNIDAD
COMUNIDAD
COMUNIDAD
COMUNIDAD
COMUNIDAD
COMUNIDAD
COMUNIDAD
COMUNIDAD
COMUNIDAD
COMUNIDAD
COMUNIDAD
COMUNIDAD
COMUNIDAD
COMUNIDAD
COMUNIDAD
COMUNIDAD
COMUNIDAD
COMUNIDAD
COMUNIDAD
COMUNIDAD
COMUNIDAD
COMUNIDAD
COMUNIDAD
COMUNIDAD
COMUNIDAD
COMUNIDAD
COMUNIDAD
COMUNIDAD
COMUNIDAD
COMUNIDAD
COMUNIDAD
COMUNIDAD
COMUNIDAD
COMUNIDAD
COMUNIDAD
COMUNIDAD
COMUNIDAD
COMUNIDAD
COMUNIDAD
COMUNIDAD
COMUNIDAD
COMUNIDAD
COMUNIDAD
COMUNIDAD
COMUNIDAD
COMUNIDAD
COMUNIDAD
COMUNIDAD
COMUNIDAD
COMUNIDAD
COMUNIDAD
COMUNIDAD
COMUNIDAD
COMUNIDAD
COMUNIDAD
COMUNIDAD
COMUNIDAD
COMUNIDAD
COMUNIDAD
COMUNIDAD
COMUNIDAD
COMUNIDAD
COMUNIDAD
COMUNIDAD
COMUNIDAD
COMUNIDAD
COMUNIDAD
COMUNIDAD
COMUNIDAD
COMUNIDAD
COMUNIDAD
COMUNIDAD
COMUNIDAD
COMUNIDAD
COMUNIDAD
COMUNIDAD
COMUNIDAD
COMUNIDAD
COMUNIDAD
COMUNIDAD
COMUNIDAD
COMUNIDAD
COMUNIDAD
COMUNIDAD
COMUNIDAD
COMUNIDAD
COMUNIDAD
COMUNIDAD
COMUNIDAD
COMUNIDAD
COMUNIDAD
COMUNIDAD
COMUNIDAD
COMUNIDAD
COMUNIDAD
COMUNIDAD
COMUNIDAD
COMUNIDAD
COMUNIDAD
COMUNIDAD
COMUNIDAD
COMUNIDAD
COMUNIDAD
COMUNIDAD
COMUNIDAD
COMUNIDAD
COMUNIDAD
COMUNIDAD
COMUNIDAD
COMUNIDAD
COMUNIDAD
COMUNIDAD
COMUNIDAD
COMUNIDAD
COMUNIDAD
COMUNIDAD
COMUNIDAD
COMUNIDAD
COMUNIDAD
COMUNIDAD
COMUNIDAD
COMUNIDAD
COMUNIDAD
COMUNIDAD
COMUNIDAD
COMUNIDAD
COMUNIDAD
COMUNIDAD
COMUNIDAD
COMUNIDAD
COMUNIDAD
COMUNIDAD
COMUNIDAD
COMUNIDAD
COMUNIDAD
COMUNIDAD
COMUNIDAD
COMUNIDAD
COMUNIDAD
COMUNIDAD
COMUNIDAD
COMUNIDAD
COMUNIDAD
COMUNIDAD
COMUNIDAD
COMUNIDAD
COMUNIDAD
COMUNIDAD
COMUNIDAD
COMUNIDAD
COMUNIDAD
COMUNIDAD
COMUNIDAD
COMUNIDAD
COMUNIDAD
COMUNIDAD
COMUNIDAD
COMUNIDAD
COMUNIDAD
COMUNIDAD
COMUNIDAD
COMUNIDAD
COMUNIDAD
COMUNIDAD
COMUNIDAD
COMUNIDAD
COMUNIDAD
COMUNIDAD
COMUNIDAD
COMUNIDAD
COMUNIDAD
COMUNIDAD
COMUNIDAD
COMUNIDAD
COMUNIDAD
COMUNIDAD
COMUNIDAD
COMUNIDAD
COMUNIDAD
COMUNIDAD
COMUNIDAD
COMUNIDAD
COMUNIDAD
COMUNIDAD
COMUNIDAD
COMUNIDAD
COMUNIDAD
COMUNIDAD
COMUNIDAD
COMUNIDAD
COMUNIDAD
COMUNIDAD
COMUNIDAD
COMUNIDAD
COMUNIDAD
COMUNIDAD
COMUNIDAD
COMUNIDAD
COMUNIDAD
COMUNIDAD
COMUNIDAD
COMUNIDAD
COMUNIDAD
COMUNIDAD
COMUNIDAD
COMUNIDAD
COMUNIDAD
COMUNIDAD
COMUNIDAD
COMUNIDAD
COMUNIDAD
COMUNIDAD
COMUNIDAD
COMUNIDAD
COMUNIDAD
COMUNIDAD
COMUNIDAD
COMUNIDAD
COMUNIDAD
COMUNIDAD
COMUNIDAD
COMUNIDAD
COMUNIDAD
COMUNIDAD
COMUNIDAD
COMUNIDAD
COMUNIDAD
COMUNIDAD
COMUNIDAD
COMUNIDAD
COMUNIDAD
COMUNIDAD
COMUNIDAD
COMUNIDAD
COMUNIDAD
COMUNIDAD
COMUNIDAD
COMUNIDAD
COMUNIDAD
COMUNIDAD
COMUNIDAD
COMUNIDAD
COMUNIDAD
COMUNIDAD
COMUNIDAD
COMUNIDAD
COMUNIDAD
COMUNIDAD
COMUNIDAD
COMUNIDAD
COMUNIDAD
COMUNIDAD
COMUNIDAD
COMUNIDAD
COMUNIDAD
COMUNIDAD
COMUNIDAD
COMUNIDAD
COMUNIDAD
COMUNIDAD
COMUNIDAD
COMUNIDAD
COMUNIDAD
COMUNIDAD
COMUNIDAD
COMUNIDAD
COMUNIDAD
COMUNIDAD
COMUNIDAD
COMUNIDAD
COMUNIDAD
COMUNIDAD
COMUNIDAD
COMUNIDAD
COMUNIDAD
COMUNIDAD
COMUNIDAD
COMUNIDAD
COMUNIDAD
COMUNIDAD
COMUNIDAD
COMUNIDAD
COMUNIDAD
COMUNIDAD
COMUNIDAD
COMUNIDAD
COMUNIDAD
COMUNIDAD
COMUNIDAD
COMUNIDAD
COMUNIDAD
COMUNIDAD
COMUNIDAD
COMUNIDAD
COMUNIDAD
COMUNIDAD
COMUNIDAD
COMUNIDAD
COMUNIDAD
COMUNIDAD
COMUNIDAD
COMUNIDAD
COMUNIDAD
COMUNIDAD
COMUNIDAD
COMUNIDAD
COMUNIDAD
COMUNIDAD
COMUNIDAD
COMUNIDAD
COMUNIDAD
COMUNIDAD
COMUNIDAD
COMUNIDAD
COMUNIDAD
COMUNIDAD
COMUNIDAD
COMUNIDAD
COMUNIDAD
COMUNIDAD
COMUNIDAD
COMUNIDAD
COMUNIDAD
COMUNIDAD
COMUNIDAD
COMUNIDAD
COMUNIDAD
COMUNIDAD
COMUNIDAD
COMUNIDAD
COMUNIDAD
COMUNIDAD
COMUNIDAD
COMUNIDAD
COMUNIDAD
COMUNIDAD
COMUNIDAD
COMUNIDAD
COMUNIDAD
COMUNIDAD
COMUNIDAD
COMUNIDAD
COMUNIDAD
COMUNIDAD
COMUNIDAD
COMUNIDAD
COMUNIDAD
COMUNIDAD
COMUNIDAD
COMUNIDAD
COMUNIDAD
COMUNIDAD
COMUNIDAD
COMUNIDAD
COMUNIDAD
COMUNIDAD
COMUNIDAD
COMUNIDAD
COMUNIDAD
COMUNIDAD
COMUNIDAD
COMUNIDAD
COMUNIDAD
COMUNIDAD
COMUNIDAD
COMUNIDAD
COMUNIDAD
COMUNIDAD
COMUNIDAD
COMUNIDAD
COMUNIDAD
COMUNIDAD
COMUNIDAD
COMUNIDAD
COMUNIDAD
COMUNIDAD
COMUNIDAD
COMUNIDAD
COMUNIDAD
COMUNIDAD
COMUNIDAD
COMUNIDAD
COMUNIDAD
COMUNIDAD
COMUNIDAD
COMUNIDAD
COMUNIDAD
COMUNIDAD
COMUNIDAD
COMUNIDAD
COMUNIDAD
COMUNIDAD
COMUNIDAD
COMUNIDAD
COMUNIDAD
COMUNIDAD
COMUNIDAD
COMUNIDAD
COMUNIDAD
COMUNIDAD
COMUNIDAD
COMUNIDAD
COMUNIDAD
COMUNIDAD
COMUNIDAD
COMUNIDAD
COMUNIDAD
COMUNIDAD
COMUNIDAD
COMUNIDAD
COMUNIDAD
COMUNIDAD
COMUNIDAD
COMUNIDAD
COMUNIDAD
COMUNIDAD
COMUNIDAD
COMUNIDAD
COMUNIDAD
COMUNIDAD
COMUNIDAD
COMUNIDAD
COMUNIDAD
COMUNIDAD
COMUNIDAD
COMUNIDAD
COMUNIDAD
COMUNIDAD
COMUNIDAD
COMUNIDAD
COMUNIDAD
COMUNIDAD
COMUNIDAD
COMUNIDAD
COMUNIDAD
COMUNIDAD
COMUNIDAD
COMUNIDAD
COMUNIDAD
COMUNIDAD
COMUNIDAD
COMUNIDAD
COMUNIDAD
COMUNIDAD
COMUNIDAD
COMUNIDAD
COMUNIDAD
COMUNIDAD
COMUNIDAD
COMUNIDAD
COMUNIDAD
COMUNIDAD
COMUNIDAD
COMUNIDAD
COMUNIDAD
COMUNIDAD
COMUNIDAD
COMUNIDAD
COMUNIDAD
COMUNIDAD
COMUNIDAD
COMUNIDAD
COMUNIDAD
COMUNIDAD
COMUNIDAD
COMUNIDAD
COMUNIDAD
COMUNIDAD
COMUNIDAD
COMUNIDAD
COMUNIDAD
COMUNIDAD
COMUNIDAD
COMUNIDAD
COMUNIDAD
COMUNIDAD
COMUNIDAD
COMUNIDAD
COMUNIDAD
COMUNIDAD
COMUNIDAD
COMUNIDAD
COMUNIDAD
COMUNIDAD
COMUNIDAD
COMUNIDAD
COMUNIDAD
COMUNIDAD
COMUNIDAD
COMUNIDAD
COMUNIDAD
COMUNIDAD
COMUNIDAD
COMUNIDAD
COMUNIDAD
COMUNIDAD
COMUNIDAD
COMUNIDAD
COMUNIDAD
COMUNIDAD
COMUNIDAD
COMUNIDAD
COMUNIDAD
COMUNIDAD
COMUNIDAD
COMUNIDAD
COMUNIDAD
COMUNIDAD
COMUNIDAD
COMUNIDAD
COMUNIDAD
COMUNIDAD
COMUNIDAD
COMUNIDAD
COMUNIDAD
COMUNIDAD
COMUNIDAD
COMUNIDAD
COMUNIDAD
COMUNIDAD
COMUNIDAD
COMUNIDAD
COMUNIDAD
COMUNIDAD
COMUNIDAD
COMUNIDAD
COMUNIDAD
COMUNIDAD
COMUNIDAD
COMUNIDAD
COMUNIDAD
COMUNIDAD
COMUNIDAD
COMUNIDAD
COMUNIDAD
COMUNIDAD
COMUNIDAD
COMUNIDAD
COMUNIDAD
COMUNIDAD
COMUNIDAD
COMUNIDAD
COMUNIDAD
COMUNIDAD
COMUNIDAD
COMUNIDAD
COMUNIDAD
COMUNIDAD
COMUNIDAD
COMUNIDAD
COMUNIDAD
COMUNIDAD
COMUNIDAD
COMUNIDAD
COMUNIDAD
COMUNIDAD
COMUNIDAD
COMUNIDAD
COMUNIDAD
COMUNIDAD
COMUNIDAD
COMUNIDAD
COMUNIDAD
COMUNIDAD
COMUNIDAD
COMUNIDAD
COMUNIDAD
COMUNIDAD
COMUNIDAD
COMUNIDAD
COMUNIDAD
COMUNIDAD
COMUNIDAD
COMUNIDAD
COMUNIDAD
COMUNIDAD
COMUNIDAD
COMUNIDAD
COMUNIDAD
COMUNIDAD
COMUNIDAD
COMUNIDAD
COMUNIDAD
COMUNIDAD
COMUNIDAD
COMUNIDAD
COMUNIDAD
COMUNIDAD
COMUNIDAD
COMUNIDAD
COMUNIDAD
COMUNIDAD
COMUNIDAD
COMUNIDAD
COMUNIDAD
COMUNIDAD
COMUNIDAD
COMUNIDAD
COMUNIDAD
COMUNIDAD
COMUNIDAD
COMUNIDAD
COMUNIDAD
COMUNIDAD
COMUNIDAD
COMUNIDAD
COMUNIDAD
COMUNIDAD
COMUNIDAD
COMUNIDAD
COMUNIDAD
COMUNIDAD
COMUNIDAD
COMUNIDAD
COMUNIDAD
COMUNIDAD
COMUNIDAD
COMUNIDAD
COMUNIDAD
COMUNIDAD
COMUNIDAD
COMUNIDAD
COMUNIDAD
COMUNIDAD
COMUNIDAD
COMUNIDAD
COMUNIDAD
COMUNIDAD
COMUNIDAD
COMUNIDAD
COMUNIDAD
COMUNIDAD
COMUNIDAD
COMUNIDAD
COMUNIDAD
COMUNIDAD
COMUNIDAD
COMUNIDAD
COMUNIDAD
COMUNIDAD
COMUNIDAD
COMUNIDAD
COMUNIDAD
COMUNIDAD
COMUNIDAD
COMUNIDAD
COMUNIDAD
COMUNIDAD
COMUNIDAD
COMUNIDAD
COMUNIDAD
COMUNIDAD
COMUNIDAD
COMUNIDAD
COMUNIDAD
COMUNIDAD
COMUNIDAD
COMUNIDAD
COMUNIDAD
COMUNIDAD
COMUNIDAD
COMUNIDAD
COMUNIDAD
COMUNIDAD
COMUNIDAD
COMUNIDAD
COMUNIDAD
COMUNIDAD
COMUNIDAD
COMUNIDAD
COMUNIDAD
COMUNIDAD
COMUNIDAD
COMUNIDAD
COMUNIDAD
COMUNIDAD
COMUNIDAD
COMUNIDAD
COMUNIDAD
COMUNIDAD
COMUNIDAD
COMUNIDAD
COMUNIDAD
COMUNIDAD
COMUNIDAD
COMUNIDAD
COMUNIDAD
COMUNIDAD
COMUNIDAD
COMUNIDAD
COMUNIDAD
COMUNIDAD
COMUNIDAD
COMUNIDAD
COMUNIDAD
COMUNIDAD
COMUNIDAD
COMUNIDAD
COMUNIDAD
COMUNIDAD
COMUNIDAD
COMUNIDAD
COMUNIDAD
COMUNIDAD
COMUNIDAD
COMUNIDAD
COMUNIDAD
COMUNIDAD
COMUNIDAD
COMUNIDAD
COMUNIDAD
COMUNIDAD
COMUNIDAD
COMUNIDAD
COMUNIDAD
COMUNIDAD
COMUNIDAD
COMUNIDAD
COMUNIDAD
COMUNIDAD
COMUNIDAD
COMUNIDAD
COMUNIDAD
COMUNIDAD
COMUNIDAD
COMUNIDAD
COMUNIDAD
COMUNIDAD
COMUNIDAD
COMUNIDAD
COMUNIDAD
COMUNIDAD
COMUNIDAD
COMUNIDAD
COMUNIDAD
COMUNIDAD
COMUNIDAD
COMUNIDAD
COMUNIDAD
COMUNIDAD
COMUNIDAD
COMUNIDAD
COMUNIDAD
COMUNIDAD
COMUNIDAD
COMUNIDAD
COMUNIDAD
COMUNIDAD
COMUNIDAD
COMUNIDAD
COMUNIDAD
COMUNIDAD
COMUNIDAD
COMUNIDAD
COMUNIDAD
COMUNIDAD
COMUNIDAD
COMUNIDAD
COMUNIDAD
COMUNIDAD
COMUNIDAD
COMUNIDAD
COMUNIDAD
COMUNIDAD
COMUNIDAD
COMUNIDAD
COMUNIDAD
COMUNIDAD
COMUNIDAD
COMUNIDAD
COMUNIDAD
COMUNIDAD
COMUNIDAD
COMUNIDAD
COMUNIDAD
COMUNIDAD
COMUNIDAD
COMUNIDAD
COMUNIDAD
COMUNIDAD
COMUNIDAD
COMUNIDAD
COMUNIDAD
COMUNIDAD
COMUNIDAD
COMUNIDAD
COMUNIDAD
COMUNIDAD
COMUNIDAD
COMUNIDAD
COMUNIDAD
COMUNIDAD
COMUNIDAD
COMUNIDAD
COMUNIDAD
COMUNIDAD
COMUNIDAD
COMUNIDAD
COMUNIDAD
COMUNIDAD
COMUNIDAD
COMUNIDAD
COMUNIDAD
COMUNIDAD
COMUNIDAD
COMUNIDAD
COMUNIDAD
COMUNIDAD
COMUNIDAD
COMUNIDAD
COMUNIDAD
COMUNIDAD
COMUNIDAD
COMUNIDAD
COMUNIDAD
COMUNIDAD
COMUNIDAD
COMUNIDAD
COMUNIDAD
COMUNIDAD
COMUNIDAD
COMUNIDAD
COMUNIDAD
COMUNIDAD
COMUNIDAD
COMUNIDAD
COMUNIDAD
COMUNIDAD
COMUNIDAD
COMUNIDAD
COMUNIDAD
COMUNIDAD
COMUNIDAD
COMUNIDAD
COMUNIDAD
COMUNIDAD
COMUNIDAD
COMUNIDAD
COMUNIDAD
COMUNIDAD
COMUNIDAD
COMUNIDAD
COMUNIDAD
COMUNIDAD
COMUNIDAD
COMUNIDAD
COMUNIDAD
COMUNIDAD
COMUNIDAD
COMUNIDAD
COMUNIDAD
COMUNIDAD
COMUNIDAD
COMUNIDAD
COMUNIDAD
COMUNIDAD
COMUNIDAD
COMUNIDAD
COMUNIDAD
COMUNIDAD
COMUNIDAD
COMUNIDAD
COMUNIDAD
COMUNIDAD
COMUNIDAD
COMUNIDAD
COMUNIDAD
COMUNIDAD
COMUNIDAD
COMUNIDAD
COMUNIDAD
COMUNIDAD
COMUNIDAD
COMUNIDAD
COMUNIDAD
COMUNIDAD
COMUNIDAD
COMUNIDAD
COMUNIDAD
COMUNIDAD
COMUNIDAD
COMUNIDAD
COMUNIDAD
COMUNIDAD
COMUNIDAD
COMUNIDAD
COMUNIDAD
COMUNIDAD
COMUNIDAD
COMUNIDAD
COMUNIDAD
COMUNIDAD
COMUNIDAD
COMUNIDAD
COMUNIDAD
COMUNIDAD
COMUNIDAD
COMUNIDAD
COMUNIDAD
COMUNIDAD
COMUNIDAD
COMUNIDAD
COMUNIDAD
COMUNIDAD
COMUNIDAD
COMUNIDAD
COMUNIDAD
COMUNIDAD
COMUNIDAD
COMUNIDAD
COMUNIDAD
COMUNIDAD
COMUNIDAD
COMUNIDAD
COMUNIDAD
COMUNIDAD
COMUNIDAD
COMUNIDAD
COMUNIDAD
COMUNIDAD
COMUNIDAD
COMUNIDAD
COMUNIDAD
COMUNIDAD
COMUNIDAD
COMUNIDAD
COMUNIDAD
COMUNIDAD
COMUNIDAD
COMUNIDAD
COMUNIDAD
COMUNIDAD
COMUNIDAD
COMUNIDAD
COMUNIDAD
COMUNIDAD
COMUNIDAD
COMUNIDAD
COMUNIDAD
COMUNIDAD
COMUNIDAD
COMUNIDAD
COMUNIDAD
COMUNIDAD
COMUNIDAD
COMUNIDAD
COMUNIDAD
COMUNIDAD
COMUNIDAD
COMUNIDAD
COMUNIDAD
COMUNIDAD
COMUNIDAD
COMUNIDAD
COMUNIDAD
COMUNIDAD
COMUNIDAD
COMUNIDAD
COMUNIDAD
COMUNIDAD
COMUNIDAD
COMUNIDAD
COMUNIDAD
COMUNIDAD
COMUNIDAD
COMUNIDAD
COMUNIDAD
COMUNIDAD
COMUNIDAD
COMUNIDAD
COMUNIDAD
COMUNIDAD
COMUNIDAD
COMUNIDAD
COMUNIDAD
COMUNIDAD
COMUNIDAD
COMUNIDAD
COMUNIDAD
COMUNIDAD
COMUNIDAD
COMUNIDAD
COMUNIDAD
COMUNIDAD
COMUNIDAD
COMUNIDAD
COMUNIDAD
COMUNIDAD
COMUNIDAD
COMUNIDAD
COMUNIDAD
COMUNIDAD
COMUNIDAD
COMUNIDAD
COMUNIDAD
COMUNIDAD
COMUNIDAD
COMUNIDAD
COMUNIDAD
COMUNIDAD
COMUNIDAD
COMUNIDAD
COMUNIDAD
COMUNIDAD
COMUNIDAD
COMUNIDAD
COMUNIDAD
COMUNIDAD
COMUNIDAD
COMUNIDAD
COMUNIDAD
COMUNIDAD
COMUNIDAD
COMUNIDAD
COMUNIDAD
COMUNIDAD
COMUNIDAD
COMUNIDAD
COMUNIDAD
COMUNIDAD
COMUNIDAD
COMUNIDAD
COMUNIDAD
COMUNIDAD
COMUNIDAD
COMUNIDAD
COMUNIDAD
COMUNIDAD
COMUNIDAD
COMUNIDAD
COMUNIDAD
COMUNIDAD
COMUNIDAD
COMUNIDAD
COMUNIDAD
COMUNIDAD
COMUNIDAD
COMUNIDAD
COMUNIDAD
COMUNIDAD
COMUNIDAD
COMUNIDAD
COMUNIDAD
COMUNIDAD
COMUNIDAD
COMUNIDAD
COMUNIDAD
COMUNIDAD
COMUNIDAD
COMUNIDAD
COMUNIDAD
COMUNIDAD
COMUNIDAD
COMUNIDAD
COMUNIDAD
COMUNIDAD
COMUNIDAD
COMUNIDAD
COMUNIDAD
COMUNIDAD
COMUNIDAD
COMUNIDAD
COMUNIDAD
COMUNIDAD
COMUNIDAD
COMUNIDAD
COMUNIDAD
COMUNIDAD
COMUNIDAD
COMUNIDAD
COMUNIDAD
COMUNIDAD
COMUNIDAD
COMUNIDAD
COMUNIDAD
COMUNIDAD
COMUNIDAD
COMUNIDAD
COMUNIDAD
COMUNIDAD
COMUNIDAD
COMUNIDAD
COMUNIDAD
COMUNIDAD
COMUNIDAD
COMUNIDAD
COMUNIDAD
COMUNIDAD
COMUNIDAD
COMUNIDAD
COMUNIDAD
COMUNIDAD
COMUNIDAD
COMUNIDAD
COMUNIDAD
COMUNIDAD
COMUNIDAD
COMUNIDAD
COMUNIDAD
COMUNIDAD
COMUNIDAD
COMUNIDAD
COMUNIDAD
COMUNIDAD
COMUNIDAD
COMUNIDAD
COMUNIDAD
COMUNIDAD
COMUNIDAD
COMUNIDAD
COMUNIDAD
COMUNIDAD
COMUNIDAD
COMUNIDAD
COMUNIDAD
COMUNIDAD
COMUNIDAD
COMUNIDAD
COMUNIDAD
COMUNIDAD
COMUNIDAD
COMUNIDAD
COMUNIDAD
COMUNIDAD
COMUNIDAD
COMUNIDAD
COMUNIDAD
COMUNIDAD
COMUNIDAD
COMUNIDAD
COMUNIDAD
COMUNIDAD
COMUNIDAD
COMUNIDAD
COMUNIDAD
COMUNIDAD
COMUNIDAD
COMUNIDAD
COMUNIDAD
COMUNIDAD
COMUNIDAD
COMUNIDAD
COMUNIDAD
COMUNIDAD
COMUNIDAD
COMUNIDAD
COMUNIDAD
COMUNIDAD
COMUNIDAD
COMUNIDAD
COMUNIDAD
COMUNIDAD
COMUNIDAD
COMUNIDAD
COMUNIDAD
COMUNIDAD
COMUNIDAD
COMUNIDAD
COMUNIDAD
COMUNIDAD
COMUNIDAD
COMUNIDAD
COMUNIDAD
COMUNIDAD
COMUNIDAD
COMUNIDAD
COMUNIDAD
COMUNIDAD
COMUNIDAD
COMUNIDAD
COMUNIDAD
COMUNIDAD
COMUNIDAD
COMUNIDAD
COMUNIDAD
COMUNIDAD
COMUNIDAD
COMUNIDAD
COMUNIDAD
COMUNIDAD
COMUNIDAD
COMUNIDAD
COMUNIDAD
COMUNIDAD
COMUNIDAD
COMUNIDAD
COMUNIDAD
COMUNIDAD
COMUNIDAD
COMUNIDAD
COMUNIDAD
COMUNIDAD
COMUNIDAD
COMUNIDAD
COMUNIDAD
COMUNIDAD
COMUNIDAD
COMUNIDAD
COMUNIDAD
COMUNIDAD
COMUNIDAD
COMUNIDAD
COMUNIDAD
COMUNIDAD
COMUNIDAD
COMUNIDAD
COMUNIDAD
COMUNIDAD
COMUNIDAD
COMUNIDAD
COMUNIDAD
COMUNIDAD
COMUNIDAD
COMUNIDAD
COMUNIDAD
COMUNIDAD
COMUNIDAD
COMUNIDAD
COMUNIDAD
COMUNIDAD
COMUNIDAD
COMUNIDAD
COMUNIDAD
COMUNIDAD
COMUNIDAD
COMUNIDAD
COMUNIDAD
COMUNIDAD
COMUNIDAD
COMUNIDAD
COMUNIDAD
COMUNIDAD
COMUNIDAD
COMUNIDAD
COMUNIDAD
COMUNIDAD
COMUNIDAD
COMUNIDAD
COMUNIDAD
COMUNIDAD
COMUNIDAD
COMUNIDAD
COMUNIDAD
COMUNIDAD
COMUNIDAD
COMUNIDAD
COMUNIDAD
COMUNIDAD
COMUNIDAD
COMUNIDAD
COMUNIDAD
COMUNIDAD
COMUNIDAD
COMUNIDAD
COMUNIDAD
COMUNIDAD
COMUNIDAD
COMUNIDAD
COMUNIDAD
COMUNIDAD
COMUNIDAD
COMUNIDAD
COMUNIDAD
COMUNIDAD
COMUNIDAD
COMUNIDAD
COMUNIDAD
COMUNIDAD
COMUNIDAD
COMUNIDAD
COMUNIDAD
COMUNIDAD
COMUNIDAD
COMUNIDAD
COMUNIDAD
COMUNIDAD
COMUNIDAD
COMUNIDAD
COMUNIDAD
COMUNIDAD
COMUNIDAD
COMUNIDAD
COMUNIDAD
COMUNIDAD
COMUNIDAD
COMUNIDAD
COMUNIDAD
COMUNIDAD
COMUNIDAD
COMUNIDAD
COMUNIDAD
COMUNIDAD
COMUNIDAD
COMUNIDAD
COMUNIDAD
COMUNIDAD
COMUNIDAD
COMUNIDAD
COMUNIDAD
COMUNIDAD
COMUNIDAD
COMUNIDAD
COMUNIDAD
COMUNIDAD
COMUNIDAD
COMUNIDAD
COMUNIDAD
COMUNIDAD
COMUNIDAD
COMUNIDAD
COMUNIDAD
COMUNIDAD
COMUNIDAD
COMUNIDAD
COMUNIDAD
COMUNIDAD
COMUNIDAD
COMUNIDAD
COMUNIDAD
COMUNIDAD
COMUNIDAD
COMUNIDAD
COMUNIDAD
COMUNIDAD
COMUNIDAD
COMUNIDAD
COMUNIDAD
COMUNIDAD
COMUNIDAD
COMUNIDAD
COMUNIDAD
COMUNIDAD
COMUNIDAD
COMUNIDAD
COMUNIDAD
COMUNIDAD
COMUNIDAD
COMUNIDAD
COMUNIDAD
COMUNIDAD
COMUNIDAD
COMUNIDAD
COMUNIDAD
COMUNIDAD
COMUNIDAD
COMUNIDAD
COMUNIDAD
COMUNIDAD
COMUNIDAD
COMUNIDAD
COMUNIDAD
COMUNIDAD
COMUNIDAD
COMUNIDAD
COMUNIDAD
COMUNIDAD
COMUNIDAD
COMUNIDAD
COMUNIDAD
COMUNIDAD
COMUNIDAD
COMUNIDAD
COMUNIDAD
COMUNIDAD
COMUNIDAD
COMUNIDAD
COMUNIDAD
COMUNIDAD
COMUNIDAD
COMUNIDAD
COMUNIDAD
COMUNIDAD
COMUNIDAD
COMUNIDAD
COMUNIDAD
COMUNIDAD
COMUNIDAD
COMUNIDAD
COMUNIDAD
COMUNIDAD
COMUNIDAD
COMUNIDAD
COMUNIDAD
COMUNIDAD
COMUNIDAD
COMUNIDAD
COMUNIDAD
COMUNIDAD
COMUNIDAD
COMUNIDAD
COMUNIDAD
COMUNIDAD
COMUNIDAD
COMUNIDAD
COMUNIDAD
COMUNIDAD
COMUNIDAD
COMUNIDAD
COMUNIDAD
COMUNIDAD
COMUNIDAD
COMUNIDAD
COMUNIDAD
COMUNIDAD
COMUNIDAD
COMUNIDAD
COMUNIDAD
COMUNIDAD
COMUNIDAD
COMUNIDAD
COMUNIDAD
COMUNIDAD
COMUNIDAD
COMUNIDAD
COMUNIDAD
COMUNIDAD
COMUNIDAD
COMUNIDAD
COMUNIDAD
COMUNIDAD
COMUNIDAD
COMUNIDAD
COMUNIDAD
COMUNIDAD
COMUNIDAD
COMUNIDAD
COMUNIDAD
COMUNIDAD
COMUNIDAD
COMUNIDAD
COMUNIDAD
COMUNIDAD
COMUNIDAD
COMUNIDAD
COMUNIDAD
COMUNIDAD
COMUNIDAD
COMUNIDAD
COMUNIDAD
COMUNIDAD
COMUNIDAD
COMUNIDAD
COMUNIDAD
COMUNIDAD
COMUNIDAD
COMUNIDAD
COMUNIDAD
COMUNIDAD
COMUNIDAD
COMUNIDAD
COMUNIDAD
COMUNIDAD
COMUNIDAD
COMUNIDAD
COMUNIDAD
COMUNIDAD
COMUNIDAD
COMUNIDAD
COMUNIDAD
COMUNIDAD
COMUNIDAD
COMUNIDAD
COMUNIDAD
COMUNIDAD
COMUNIDAD
COMUNIDAD
COMUNIDAD
COMUNIDAD
COMUNIDAD
COMUNIDAD
COMUNIDAD
COMUNIDAD
COMUNIDAD
COMUNIDAD
COMUNIDAD
COMUNIDAD
COMUNIDAD
COMUNIDAD
COMUNIDAD
COMUNIDAD
COMUNIDAD
COMUNIDAD
COMUNIDAD
COMUNIDAD
COMUNIDAD
COMUNIDAD
COMUNIDAD
COMUNIDAD
COMUNIDAD
COMUNIDAD
COMUNIDAD
COMUNIDAD
COMUNIDAD
COMUNIDAD
COMUNIDAD
COMUNIDAD
COMUNIDAD
COMUNIDAD
COMUNIDAD
COMUNIDAD
COMUNIDAD
COMUNIDAD
COMUNIDAD
COMUNIDAD
COMUNIDAD
COMUNIDAD
COMUNIDAD
COMUNIDAD
COMUNIDAD
COMUNIDAD
COMUNIDAD
COMUNIDAD
COMUNIDAD
COMUNIDAD
COMUNIDAD
COMUNIDAD
COMUNIDAD
COMUNIDAD
COMUNIDAD
COMUNIDAD
COMUNIDAD
COMUNIDAD
COMUNIDAD
COMUNIDAD
COMUNIDAD
COMUNIDAD
COMUNIDAD
COMUNIDAD
COMUNIDAD
COMUNIDAD
COMUNIDAD
COMUNIDAD
COMUNIDAD
COMUNIDAD
COMUNIDAD
COMUNIDAD
COMUNIDAD
COMUNIDAD
COMUNIDAD
COMUNIDAD
COMUNIDAD
COMUNIDAD
COMUNIDAD
COMUNIDAD
COMUNIDAD
COMUNIDAD
COMUNIDAD
COMUNIDAD
COMUNIDAD
COMUNIDAD
COMUNIDAD
COMUNIDAD
COMUNIDAD
COMUNIDAD
COMUNIDAD
COMUNIDAD
COMUNIDAD
COMUNIDAD
COMUNIDAD
COMUNIDAD
COMUNIDAD
COMUNIDAD
COMUNIDAD
COMUNIDAD
COMUNIDAD
COMUNIDAD
COMUNIDAD
COMUNIDAD
COMUNIDAD
COMUNIDAD
COMUNIDAD
COMUNIDAD
COMUNIDAD
COMUNIDAD
COMUNIDAD
COMUNIDAD
COMUNIDAD
COMUNIDAD
COMUNIDAD
COMUNIDAD
COMUNIDAD
COMUNIDAD
COMUNIDAD
COMUNIDAD
COMUNIDAD
COMUNIDAD
COMUNIDAD
COMUNIDAD
COMUNIDAD
COMUNIDAD
COMUNIDAD
COMUNIDAD
COMUNIDAD
COMUNIDAD
COMUNIDAD
COMUNIDAD
COMUNIDAD
COMUNIDAD
COMUNIDAD
COMUNIDAD
COMUNIDAD
COMUNIDAD
COMUNIDAD
COMUNIDAD
COMUNIDAD
COMUNIDAD
COMUNIDAD
COMUNIDAD
COMUNIDAD
COMUNIDAD
COMUNIDAD
COMUNIDAD
COMUNIDAD
COMUNIDAD
COMUNIDAD
COMUNIDAD
COMUNIDAD
COMUNIDAD
COMUNIDAD
COMUNIDAD
COMUNIDAD
COMUNIDAD
COMUNIDAD
COMUNIDAD
COMUNIDAD
COMUNIDAD
COMUNIDAD
COMUNIDAD
COMUNIDAD
COMUNIDAD
COMUNIDAD
COMUNIDAD
COMUNIDAD
COMUNIDAD
COMUNIDAD
COMUNIDAD
COMUNIDAD
COMUNIDAD
COMUNIDAD
COMUNIDAD
COMUNIDAD
COMUNIDAD
COMUNIDAD
COMUNIDAD
COMUNIDAD
COMUNIDAD
COMUNIDAD
COMUNIDAD
COMUNIDAD
COMUNIDAD
COMUNIDAD
COMUNIDAD
COMUNIDAD
COMUNIDAD
COMUNIDAD
COMUNIDAD
COMUNIDAD
COMUNIDAD
COMUNIDAD
COMUNIDAD
COMUNIDAD
COMUNIDAD
COMUNIDAD
COMUNIDAD
COMUNIDAD
COMUNIDAD
COMUNIDAD
COMUNIDAD
COMUNIDAD
COMUNIDAD
COMUNIDAD
COMUNIDAD
COMUNIDAD
COMUNIDAD
COMUNIDAD
COMUNIDAD
COMUNIDAD
COMUNIDAD
COMUNIDAD
COMUNIDAD
COMUNIDAD
COMUNIDAD
COMUNIDAD
COMUNIDAD
COMUNIDAD
COMUNIDAD
COMUNIDAD
COMUNIDAD
COMUNIDAD
COMUNIDAD
COMUNIDAD
COMUNIDAD
COMUNIDAD
COMUNIDAD
COMUNIDAD
COMUNIDAD
COMUNIDAD
COMUNIDAD
COMUNIDAD
COMUNIDAD
COMUNIDAD
COMUNIDAD
COMUNIDAD
COMUNIDAD
COMUNIDAD
COMUNIDAD
COMUNIDAD
COMUNIDAD
COMUNIDAD
COMUNIDAD
COMUNIDAD
COMUNIDAD
COMUNIDAD
COMUNIDAD
COMUNIDAD
COMUNIDAD
COMUNIDAD
COMUNIDAD
COMUNIDAD
COMUNIDAD
COMUNIDAD
COMUNIDAD
COMUNIDAD
COMUNIDAD
COMUNIDAD
COMUNIDAD
COMUNIDAD
COMUNIDAD
COMUNIDAD
COMUNIDAD
COMUNIDAD
COMUNIDAD
COMUNIDAD
COMUNIDAD
COMUNIDAD
COMUNIDAD
COMUNIDAD
COMUNIDAD
COMUNIDAD
COMUNIDAD
COMUNIDAD
COMUNIDAD
COMUNIDAD
COMUNIDAD
COMUNIDAD
COMUNIDAD
COMUNIDAD
COMUNIDAD
COMUNIDAD
COMUNIDAD
COMUNIDAD
COMUNIDAD
COMUNIDAD
COMUNIDAD
COMUNIDAD
COMUNIDAD
COMUNIDAD
COMUNIDAD
COMUNIDAD
COMUNIDAD
COMUNIDAD
COMUNIDAD
COMUNIDAD
COMUNIDAD
COMUNIDAD
COMUNIDAD
COMUNIDAD
COMUNIDAD
COMUNIDAD
COMUNIDAD
COMUNIDAD
COMUNIDAD
COMUNIDAD
COMUNIDAD
COMUNIDAD
COMUNIDAD
COMUNIDAD
COMUNIDAD
COMUNIDAD
COMUNIDAD
COMUNIDAD
COMUNIDAD
COMUNIDAD
COMUNIDAD
COMUNIDAD
COMUNIDAD
COMUNIDAD
COMUNIDAD
COMUNIDAD
COMUNIDAD
COMUNIDAD
COMUNIDAD
COMUNIDAD
COMUNIDAD
COMUNIDAD
COMUNIDAD
COMUNIDAD
COMUNIDAD
COMUNIDAD
COMUNIDAD
COMUNIDAD
COMUNIDAD
COMUNIDAD
COMUNIDAD
COMUNIDAD
COMUNIDAD
COMUNIDAD
COMUNIDAD
COMUNIDAD
COMUNIDAD
COMUNIDAD
COMUNIDAD
COMUNIDAD
COMUNIDAD
COMUNIDAD
COMUNIDAD
COMUNIDAD
COMUNIDAD
COMUNIDAD
COMUNIDAD
COMUNIDAD
COMUNIDAD
COMUNIDAD
COMUNIDAD
COMUNIDAD
COMUNIDAD
COMUNIDAD
COMUNIDAD
COMUNIDAD
COMUNIDAD
COMUNIDAD
COMUNIDAD
COMUNIDAD
COMUNIDAD
COMUNIDAD
COMUNIDAD
COMUNIDAD
COMUNIDAD
COMUNIDAD
COMUNIDAD
COMUNIDAD
COMUNIDAD
COMUNIDAD
COMUNIDAD
COMUNIDAD
COMUNIDAD
COMUNIDAD
COMUNIDAD
COMUNIDAD
COMUNIDAD
COMUNIDAD
COMUNIDAD
COMUNIDAD
COMUNIDAD
COMUNIDAD
COMUNIDAD
COMUNIDAD
COMUNIDAD
COMUNIDAD
COMUNIDAD
COMUNIDAD
COMUNIDAD
COMUNIDAD
COMUNIDAD
COMUNIDAD
COMUNIDAD
COMUNIDAD
COMUNIDAD
COMUNIDAD
COMUNIDAD
COMUNIDAD
COMUNIDAD
COMUNIDAD
COMUNIDAD
COMUNIDAD
COMUNIDAD
COMUNIDAD
COMUNIDAD
COMUNIDAD
COMUNIDAD
COMUNIDAD
COMUNIDAD
COMUNIDAD
COMUNIDAD
COMUNIDAD
COMUNIDAD
COMUNIDAD
COMUNIDAD
COMUNIDAD
COMUNIDAD
COMUNIDAD
COMUNIDAD
COMUNIDAD
COMUNIDAD
COMUNIDAD
COMUNIDAD
COMUNIDAD
COMUNIDAD
COMUNIDAD
COMUNIDAD
COMUNIDAD
COMUNIDAD
COMUNIDAD
COMUNIDAD
COMUNIDAD
COMUNIDAD
COMUNIDAD
COMUNIDAD
COMUNIDAD
COMUNIDAD
COMUNIDAD
COMUNIDAD
COMUNIDAD
COMUNIDAD
COMUNIDAD
COMUNIDAD
COMUNIDAD
COMUNIDAD
COMUNIDAD
COMUNIDAD
COMUNIDAD
COMUNIDAD
COMUNIDAD
COMUNIDAD
COMUNIDAD
COMUNIDAD
COMUNIDAD
COMUNIDAD
COMUNIDAD
COMUNIDAD
COMUNIDAD
COMUNIDAD
COMUNIDAD
COMUNIDAD
COMUNIDAD
COMUNIDAD
COMUNIDAD
COMUNIDAD
COMUNIDAD
COMUNIDAD
COMUNIDAD
COMUNIDAD
COMUNIDAD
COMUNIDAD
COMUNIDAD
COMUNIDAD
COMUNIDAD
COMUNIDAD
COMUNIDAD
COMUNIDAD
COMUNIDAD
COMUNIDAD
COMUNIDAD
COMUNIDAD
COMUNIDAD
COMUNIDAD
COMUNIDAD
COMUNIDAD
COMUNIDAD
COMUNIDAD
COMUNIDAD
COMUNIDAD
COMUNIDAD
COMUNIDAD
COMUNIDAD
COMUNIDAD
COMUNIDAD
COMUNIDAD
COMUNIDAD
COMUNIDAD
COMUNIDAD
COMUNIDAD
COMUNIDAD
COMUNIDAD
COMUNIDAD
COMUNIDAD
COMUNIDAD
COMUNIDAD
COMUNIDAD
COMUNIDAD
COMUNIDAD
COMUNIDAD
COMUNIDAD
COMUNIDAD
COMUNIDAD
COMUNIDAD
COMUNIDAD
COMUNIDAD
COMUNIDAD
COMUNIDAD
COMUNIDAD
COMUNIDAD
COMUNIDAD
COMUNIDAD
COMUNIDAD
COMUNIDAD
COMUNIDAD
COMUNIDAD
COMUNIDAD
COMUNIDAD
COMUNIDAD
COMUNIDAD
COMUNIDAD
COMUNIDAD
COMUNIDAD
COMUNIDAD
COMUNIDAD
COMUNIDAD
COMUNIDAD
COMUNIDAD
COMUNIDAD
COMUNIDAD
COMUNIDAD
COMUNIDAD
COMUNIDAD
COMUNIDAD
COMUNIDAD
COMUNIDAD
COMUNIDAD
COMUNIDAD
COMUNIDAD
COMUNIDAD
COMUNIDAD
COMUNIDAD
COMUNIDAD
COMUNIDAD
COMUNIDAD
COMUNIDAD
COMUNIDAD
COMUNIDAD
COMUNIDAD
COMUNIDAD
COMUNIDAD
COMUNIDAD
COMUNIDAD
COMUNIDAD
COMUNIDAD
COMUNIDAD
COMUNIDAD
COMUNIDAD
COMUNIDAD
COMUNIDAD
COMUNIDAD
COMUNIDAD
COMUNIDAD
COMUNIDAD
COMUNIDAD
COMUNIDAD
COMUNIDAD
COMUNIDAD
COMUNIDAD
COMUNIDAD
COMUNIDAD
COMUNIDAD
COMUNIDAD
COMUNIDAD
COMUNIDAD
COMUNIDAD
COMUNIDAD
COMUNIDAD
COMUNIDAD
COMUNIDAD
COMUNIDAD
COMUNIDAD
COMUNIDAD
COMUNIDAD
COMUNIDAD
COMUNIDAD
COMUNIDAD
COMUNIDAD
COMUNIDAD
COMUNIDAD
COMUNIDAD
COMUNIDAD
COMUNIDAD
COMUNIDAD
COMUNIDAD
COMUNIDAD
COMUNIDAD
COMUNIDAD
COMUNIDAD
COMUNIDAD
COMUNIDAD
COMUNIDAD
COMUNIDAD
COMUNIDAD
COMUNIDAD
COMUNIDAD
COMUNIDAD
COMUNIDAD
COMUNIDAD
COMUNIDAD
COMUNIDAD
COMUNIDAD
COMUNIDAD
COMUNIDAD
COMUNIDAD
COMUNIDAD
COMUNIDAD
COMUNIDAD
COMUNIDAD
COMUNIDAD
COMUNIDAD
COMUNIDAD
COMUNIDAD
COMUNIDAD
COMUNIDAD
COMUNIDAD
COMUNIDAD
COMUNIDAD
COMUNIDAD
COMUNIDAD
COMUNIDAD
COMUNIDAD
COMUNIDAD
COMUNIDAD
COMUNIDAD
COMUNIDAD
COMUNIDAD
COMUNIDAD
COMUNIDAD
COMUNIDAD
COMUNIDAD
COMUNIDAD
COMUNIDAD
COMUNIDAD
COMUNIDAD
COMUNIDAD
COMUNIDAD
COMUNIDAD
COMUNIDAD
COMUNIDAD
COMUNIDAD
COMUNIDAD
COMUNIDAD
COMUNIDAD
COMUNIDAD
COMUNIDAD
COMUNIDAD
COMUNIDAD
COMUNIDAD
COMUNIDAD
COMUNIDAD
COMUNIDAD
COMUNIDAD
COMUNIDAD
COMUNIDAD
COMUNIDAD
COMUNIDAD
COMUNIDAD
COMUNIDAD
COMUNIDAD
COMUNIDAD
COMUNIDAD
COMUNIDAD
COMUNIDAD
COMUNIDAD
COMUNIDAD
COMUNIDAD
COMUNIDAD
COMUNIDAD
COMUNIDAD
COMUNIDAD
COMUNIDAD
COMUNIDAD
COMUNIDAD
COMUNIDAD
COMUNIDAD
COMUNIDAD
COMUNIDAD
COMUNIDAD
COMUNIDAD
COMUNIDAD
COMUNIDAD
COMUNIDAD
COMUNIDAD
COMUNIDAD
COMUNIDAD
COMUNIDAD
COMUNIDAD
COMUNIDAD
COMUNIDAD
COMUNIDAD
COMUNIDAD
COMUNIDAD
COMUNIDAD
COMUNIDAD
COMUNIDAD
COMUNIDAD
COMUNIDAD
COMUNIDAD
COMUNIDAD
COMUNIDAD
COMUNIDAD
COMUNIDAD
COMUNIDAD
COMUNIDAD
COMUNIDAD
COMUNIDAD
COMUNIDAD
COMUNIDAD
COMUNIDAD
COMUNIDAD
COMUNIDAD
COMUNIDAD
COMUNIDAD
COMUNIDAD
COMUNIDAD
COMUNIDAD
COMUNIDAD
COMUNIDAD
COMUNIDAD
COMUNIDAD
COMUNIDAD
COMUNIDAD
COMUNIDAD
COMUNIDAD
COMUNIDAD
COMUNIDAD
COMUNIDAD
COMUNIDAD
COMUNIDAD
COMUNIDAD
COMUNIDAD
COMUNIDAD
COMUNIDAD
COMUNIDAD
COMUNIDAD
COMUNIDAD
COMUNIDAD
COMUNIDAD
COMUNIDAD
COMUNIDAD
COMUNIDAD
COMUNIDAD
COMUNIDAD
COMUNIDAD
COMUNIDAD
COMUNIDAD
COMUNIDAD
COMUNIDAD
COMUNIDAD
COMUNIDAD
COMUNIDAD
COMUNIDAD
COMUNIDAD
COMUNIDAD
COMUNIDAD
COMUNIDAD
COMUNIDAD
COMUNIDAD
COMUNIDAD
COMUNIDAD
COMUNIDAD
COMUNIDAD
COMUNIDAD
COMUNIDAD
COMUNIDAD
COMUNIDAD
COMUNIDAD
COMUNIDAD
COMUNIDAD
COMUNIDAD
COMUNIDAD
COMUNIDAD
COMUNIDAD
COMUNIDAD
COMUNIDAD
COMUNIDAD
COMUNIDAD
COMUNIDAD
COMUNIDAD
COMUNIDAD
COMUNIDAD
COMUNIDAD
COMUNIDAD
COMUNIDAD
COMUNIDAD
COMUNIDAD
COMUNIDAD
COMUNIDAD
COMUNIDAD
COMUNIDAD
COMUNIDAD
COMUNIDAD
COMUNIDAD
COMUNIDAD
COMUNIDAD
COMUNIDAD
COMUNIDAD
COMUNIDAD
COMUNIDAD
COMUNIDAD
COMUNIDAD
COMUNIDAD
COMUNIDAD
COMUNIDAD
COMUNIDAD
COMUNIDAD
COMUNIDAD
COMUNIDAD
COMUNIDAD
COMUNIDAD
COMUNIDAD
COMUNIDAD
COMUNIDAD
COMUNIDAD
COMUNIDAD
COMUNIDAD
COMUNIDAD
COMUNIDAD
COMUNIDAD
COMUNIDAD
COMUNIDAD
COMUNIDAD
COMUNIDAD
COMUNIDAD
COMUNIDAD
COMUNIDAD
COMUNIDAD
COMUNIDAD
COMUNIDAD
COMUNIDAD
COMUNIDAD
COMUNIDAD
COMUNIDAD
COMUNIDAD
COMUNIDAD
COMUNIDAD
COMUNIDAD
COMUNIDAD
COMUNIDAD
COMUNIDAD
COMUNIDAD
COMUNIDAD
COMUNIDAD
COMUNIDAD
COMUNIDAD
COMUNIDAD
COMUNIDAD
COMUNIDAD
COMUNIDAD
COMUNIDAD
COMUNIDAD
COMUNIDAD
COMUNIDAD
COMUNIDAD
COMUNIDAD
COMUNIDAD
COMUNIDAD
COMUNIDAD
COMUNIDAD
COMUNIDAD
COMUNIDAD
COMUNIDAD
COMUNIDAD
COMUNIDAD
COMUNIDAD
COMUNIDAD
COMUNIDAD
COMUNIDAD
COMUNIDAD
COMUNIDAD
COMUNIDAD
COMUNIDAD
COMUNIDAD
COMUNIDAD
COMUNIDAD
COMUNIDAD
COMUNIDAD
COMUNIDAD
COMUNIDAD
COMUNIDAD
COMUNIDAD
COMUNIDAD
COMUNIDAD
COMUNIDAD
COMUNIDAD
COMUNIDAD
COMUNIDAD
COMUNIDAD
COMUNIDAD
COMUNIDAD
COMUNIDAD
COMUNIDAD
COMUNIDAD
COMUNIDAD
COMUNIDAD
COMUNIDAD
COMUNIDAD
COMUNIDAD
COMUNIDAD
COMUNIDAD
COMUNIDAD
COMUNIDAD
COMUNIDAD
COMUNIDAD
COMUNIDAD
COMUNIDAD
COMUNIDAD
COMUNIDAD
COMUNIDAD
COMUNIDAD
COMUNIDAD
COMUNIDAD
COMUNIDAD
COMUNIDAD
COMUNIDAD
COMUNIDAD
COMUNIDAD
COMUNIDAD
COMUNIDAD
COMUNIDAD
COMUNIDAD
COMUNIDAD
COMUNIDAD
COMUNIDAD
COMUNIDAD
COMUNIDAD
COMUNIDAD
COMUNIDAD
COMUNIDAD
COMUNIDAD
COMUNIDAD
COMUNIDAD
COMUNIDAD
COMUNIDAD
COMUNIDAD
COMUNIDAD
COMUNIDAD
COMUNIDAD
COMUNIDAD
COMUNIDAD
COMUNIDAD
COMUNIDAD
COMUNIDAD
COMUNIDAD
COMUNIDAD
COMUNIDAD
COMUNIDAD
COMUNIDAD
COMUNIDAD
COMUNIDAD
COMUNIDAD
COMUNIDAD
COMUNIDAD
COMUNIDAD
COMUNIDAD
COMUNIDAD
COMUNIDAD
COMUNIDAD
COMUNIDAD
COMUNIDAD
COMUNIDAD
COMUNIDAD
COMUNIDAD
COMUNIDAD
COMUNIDAD
COMUNIDAD
COMUNIDAD
COMUNIDAD
COMUNIDAD
COMUNIDAD
COMUNIDAD
COMUNIDAD
COMUNIDAD
COMUNIDAD
COMUNIDAD
COMUNIDAD
COMUNIDAD
COMUNIDAD
COMUNIDAD
COMUNIDAD
COMUNIDAD
COMUNIDAD
COMUNIDAD
COMUNIDAD
COMUNIDAD
COMUNIDAD
COMUNIDAD
COMUNIDAD
COMUNIDAD
COMUNIDAD
COMUNIDAD
COMUNIDAD
COMUNIDAD
COMUNIDAD
COMUNIDAD
COMUNIDAD
COMUNIDAD
COMUNIDAD
COMUNIDAD
COMUNIDAD
COMUNIDAD
COMUNIDAD
COMUNIDAD
COMUNIDAD
COMUNIDAD
COMUNIDAD
COMUNIDAD
COMUNIDAD
COMUNIDAD
COMUNIDAD
COMUNIDAD
COMUNIDAD
COMUNIDAD
COMUNIDAD
COMUNIDAD
COMUNIDAD
COMUNIDAD
COMUNIDAD
COMUNIDAD
COMUNIDAD
COMUNIDAD
COMUNIDAD
COMUNIDAD
COMUNIDAD
COMUNIDAD
COMUNIDAD
COMUNIDAD
COMUNIDAD
COMUNIDAD
COMUNIDAD
COMUNIDAD
COMUNIDAD
COMUNIDAD
COMUNIDAD
COMUNIDAD
COMUNIDAD
COMUNIDAD
COMUNIDAD
COMUNIDAD
COMUNIDAD
COMUNIDAD
COMUNIDAD
COMUNIDAD
COMUNIDAD
COMUNIDAD
COMUNIDAD
COMUNIDAD
COMUNIDAD
COMUNIDAD
COMUNIDAD
COMUNIDAD
COMUNIDAD
COMUNIDAD
COMUNIDAD
COMUNIDAD
COMUNIDAD
COMUNIDAD
COMUNIDAD
COMUNIDAD
COMUNIDAD
COMUNIDAD
COMUNIDAD
COMUNIDAD
COMUNIDAD
COMUNIDAD
COMUNIDAD
COMUNIDAD
COMUNIDAD
COMUNIDAD
COMUNIDAD
COMUNIDAD
COMUNIDAD
COMUNIDAD
COMUNIDAD
COMUNIDAD
COMUNIDAD
COMUNIDAD
COMUNIDAD
COMUNIDAD
COMUNIDAD
COMUNIDAD
COMUNIDAD
COMUNIDAD
COMUNIDAD
COMUNIDAD
COMUNIDAD
COMUNIDAD
COMUNIDAD
COMUNIDAD
COMUNIDAD
COMUNIDAD
COMUNIDAD
COMUNIDAD
COMUNIDAD
COMUNIDAD
COMUNIDAD
COMUNIDAD
COMUNIDAD
COMUNIDAD
COMUNIDAD
COMUNIDAD
COMUNIDAD
COMUNIDAD
COMUNIDAD
COMUNIDAD
COMUNIDAD
COMUNIDAD
COMUNIDAD
COMUNIDAD
COMUNIDAD
COMUNIDAD
COMUNIDAD
COMUNIDAD
COMUNIDAD
COMUNIDAD
COMUNIDAD
COMUNIDAD
COMUNIDAD
COMUNIDAD
COMUNIDAD
COMUNIDAD
COMUNIDAD
COMUNIDAD
COMUNIDAD
COMUNIDAD
COMUNIDAD
COMUNIDAD
COMUNIDAD
COMUNIDAD
COMUNIDAD
COMUNIDAD
COMUNIDAD
COMUNIDAD
COMUNIDAD
COMUNIDAD
COMUNIDAD
COMUNIDAD
COMUNIDAD
COMUNIDAD
COMUNIDAD
COMUNIDAD
COMUNIDAD
COMUNIDAD
COMUNIDAD
COMUNIDAD
COMUNIDAD
COMUNIDAD
COMUNIDAD
COMUNIDAD
COMUNIDAD
COMUNIDAD
COMUNIDAD
COMUNIDAD
COMUNIDAD
COMUNIDAD
COMUNIDAD
COMUNIDAD
COMUNIDAD
COMUNIDAD
COMUNIDAD
COMUNIDAD
COMUNIDAD
COMUNIDAD
COMUNIDAD
COMUNIDAD
COMUNIDAD
COMUNIDAD
COMUNIDAD
COMUNIDAD
COMUNIDAD
COMUNIDAD
COMUNIDAD
COMUNIDAD
COMUNIDAD
COMUNIDAD
COMUNIDAD
COMUNIDAD
COMUNIDAD
COMUNIDAD
COMUNIDAD
COMUNIDAD
COMUNIDAD
COMUNIDAD
COMUNIDAD
COMUNIDAD
COMUNIDAD
COMUNIDAD
COMUNIDAD
COMUNIDAD
COMUNIDAD
COMUNIDAD
COMUNIDAD
COMUNIDAD
COMUNIDAD
COMUNIDAD
COMUNIDAD
COMUNIDAD
COMUNIDAD
COMUNIDAD
COMUNIDAD
COMUNIDAD
COMUNIDAD
COMUNIDAD
COMUNIDAD
COMUNIDAD
COMUNIDAD
COMUNIDAD
COMUNIDAD
COMUNIDAD
COMUNIDAD
COMUNIDAD
COMUNIDAD
COMUNIDAD
COMUNIDAD
COMUNIDAD
COMUNIDAD
COMUNIDAD
COMUNIDAD
COMUNIDAD
COMUNIDAD
COMUNIDAD
COMUNIDAD
COMUNIDAD
COMUNIDAD
COMUNIDAD
COMUNIDAD
COMUNIDAD
COMUNIDAD
COMUNIDAD
COMUNIDAD
COMUNIDAD
COMUNIDAD
COMUNIDAD
COMUNIDAD
COMUNIDAD
COMUNIDAD
COMUNIDAD
COMUNIDAD
COMUNIDAD
COMUNIDAD
COMUNIDAD
COMUNIDAD
COMUNIDAD
COMUNIDAD
COMUNIDAD
COMUNIDAD
COMUNIDAD
COMUNIDAD
COMUNIDAD
COMUNIDAD
COMUNIDAD
COMUNIDAD
COMUNIDAD
COMUNIDAD
COMUNIDAD
COMUNIDAD
COMUNIDAD
COMUNIDAD
COMUNIDAD
COMUNIDAD
COMUNIDAD
COMUNIDAD
COMUNIDAD
COMUNIDAD
COMUNIDAD
COMUNIDAD
COMUNIDAD
COMUNIDAD
COMUNIDAD
COMUNIDAD
COMUNIDAD
COMUNIDAD
COMUNIDAD
COMUNIDAD
COMUNIDAD
COMUNIDAD
COMUNIDAD
COMUNIDAD
COMUNIDAD
COMUNIDAD
COMUNIDAD
COMUNIDAD
COMUNIDAD
COMUNIDAD
COMUNIDAD
COMUNIDAD
COMUNIDAD
COMUNIDAD
COMUNIDAD
COMUNIDAD
COMUNIDAD
COMUNIDAD
COMUNIDAD
COMUNIDAD
COMUNIDAD
COMUNIDAD
COMUNIDAD
COMUNIDAD
COMUNIDAD
COMUNIDAD
COMUNIDAD
COMUNIDAD
COMUNIDAD
COMUNIDAD
COMUNIDAD
COMUNIDAD
COMUNIDAD
COMUNIDAD
COMUNIDAD
COMUNIDAD
COMUNIDAD
COMUNIDAD
COMUNIDAD
COMUNIDAD
COMUNIDAD
COMUNIDAD
COMUNIDAD
COMUNIDAD
COMUNIDAD
COMUNIDAD
COMUNIDAD
COMUNIDAD
COMUNIDAD
COMUNIDAD
COMUNIDAD
COMUNIDAD
COMUNIDAD
COMUNIDAD
COMUNIDAD
COMUNIDAD
COMUNIDAD
COMUNIDAD
COMUNIDAD
COMUNIDAD
COMUNIDAD
COMUNIDAD
COMUNIDAD
COMUNIDAD
COMUNIDAD
COMUNIDAD
COMUNIDAD
COMUNIDAD
COMUNIDAD
COMUNIDAD
COMUNIDAD
COMUNIDAD
COMUNIDAD
COMUNIDAD
COMUNIDAD
COMUNIDAD
COMUNIDAD
COMUNIDAD
COMUNIDAD
COMUNIDAD
COMUNIDAD
COMUNIDAD
COMUNIDAD
COMUNIDAD
COMUNIDAD
COMUNIDAD
COMUNIDAD
COMUNIDAD
COMUNIDAD
COMUNIDAD
COMUNIDAD
COMUNIDAD
COMUNIDAD
COMUNIDAD
COMUNIDAD
COMUNIDAD
COMUNIDAD
COMUNIDAD
COMUNIDAD
COMUNIDAD
COMUNIDAD
COMUNIDAD
COMUNIDAD
COMUNIDAD
COMUNIDAD
COMUNIDAD
COMUNIDAD
COMUNIDAD
COMUNIDAD
COMUNIDAD
COMUNIDAD
COMUNIDAD
COMUNIDAD
COMUNIDAD
COMUNIDAD
COMUNIDAD
COMUNIDAD
COMUNIDAD
COMUNIDAD
COMUNIDAD
COMUNIDAD
COMUNIDAD
COMUNIDAD
COMUNIDAD
COMUNIDAD
COMUNIDAD
COMUNIDAD
COMUNIDAD
COMUNIDAD
COMUNIDAD
COMUNIDAD
COMUNIDAD
COMUNIDAD
COMUNIDAD
COMUNIDAD
COMUNIDAD
COMUNIDAD
COMUNIDAD
COMUNIDAD
COMUNIDAD
COMUNIDAD
COMUNIDAD
COMUNIDAD
COMUNIDAD
COMUNIDAD
COMUNIDAD
COMUNIDAD
COMUNIDAD
COMUNIDAD
COMUNIDAD
COMUNIDAD
COMUNIDAD
COMUNIDAD
COMUNIDAD
COMUNIDAD
COMUNIDAD
COMUNIDAD
COMUNIDAD
COMUNIDAD
COMUNIDAD
COMUNIDAD
COMUNIDAD
COMUNIDAD
COMUNIDAD
COMUNIDAD
COMUNIDAD
COMUNIDAD
COMUNIDAD
COMUNIDAD
COMUNIDAD
COMUNIDAD
COMUNIDAD
COMUNIDAD
COMUNIDAD
COMUNIDAD
COMUNIDAD
COMUNIDAD
COMUNIDAD
COMUNIDAD
COMUNIDAD
COMUNIDAD
COMUNIDAD
COMUNIDAD
COMUNIDAD
COMUNIDAD
COMUNIDAD
COMUNIDAD
COMUNIDAD
COMUNIDAD
COMUNIDAD
COMUNIDAD
COMUNIDAD
COMUNIDAD
COMUNIDAD
COMUNIDAD
COMUNIDAD
COMUNIDAD
COMUNIDAD
COMUNIDAD
COMUNIDAD
COMUNIDAD
COMUNIDAD
COMUNIDAD
COMUNIDAD
COMUNIDAD
COMUNIDAD
COMUNIDAD
COMUNIDAD
COMUNIDAD
COMUNIDAD
COMUNIDAD
COMUNIDAD
COMUNIDAD
COMUNIDAD
COMUNIDAD
COMUNIDAD
COMUNIDAD
COMUNIDAD
COMUNIDAD
COMUNIDAD
COMUNIDAD
COMUNIDAD
COMUNIDAD
COMUNIDAD
COMUNIDAD
COMUNIDAD
COMUNIDAD
COMUNIDAD
COMUNIDAD
COMUNIDAD
COMUNIDAD
COMUNIDAD
COMUNIDAD
COMUNIDAD
COMUNIDAD
COMUNIDAD
COMUNIDAD
COMUNIDAD
COMUNIDAD
COMUNIDAD
COMUNIDAD
COMUNIDAD
COMUNIDAD
COMUNIDAD
COMUNIDAD
COMUNIDAD
COMUNIDAD
COMUNIDAD
COMUNIDAD
COMUNIDAD
COMUNIDAD
COMUNIDAD
COMUNIDAD
COMUNIDAD
COMUNIDAD
COMUNIDAD
COMUNIDAD
COMUNIDAD
COMUNIDAD
COMUNIDAD
COMUNIDAD
COMUNIDAD
COMUNIDAD
COMUNIDAD
COMUNIDAD
COMUNIDAD
COMUNIDAD
COMUNIDAD
COMUNIDAD
COMUNIDAD
COMUNIDAD
COMUNIDAD
COMUNIDAD
COMUNIDAD
COMUNIDAD
COMUNIDAD
COMUNIDAD
COMUNIDAD
COMUNIDAD
COMUNIDAD
COMUNIDAD
COMUNIDAD
COMUNIDAD
COMUNIDAD
COMUNIDAD
COMUNIDAD
COMUNIDAD
COMUNIDAD
COMUNIDAD
COMUNIDAD
COMUNIDAD
COMUNIDAD
COMUNIDAD
COMUNIDAD
COMUNIDAD
COMUNIDAD
COMUNIDAD
COMUNIDAD
COMUNIDAD
COMUNIDAD
COMUNIDAD
COMUNIDAD
COMUNIDAD
COMUNIDAD
COMUNIDAD
COMUNIDAD
COMUNIDAD
COMUNIDAD
COMUNIDAD
COMUNIDAD
COMUNIDAD
COMUNIDAD
COMUNIDAD
COMUNIDAD
COMUNIDAD
COMUNIDAD
COMUNIDAD
COMUNIDAD
COMUNIDAD
COMUNIDAD
COMUNIDAD
COMUNIDAD
COMUNIDAD
COMUNIDAD
COMUNIDAD
COMUNIDAD
COMUNIDAD
COMUNIDAD
COMUNIDAD
COMUNIDAD
COMUNIDAD
COMUNIDAD
COMUNIDAD
COMUNIDAD
COMUNIDAD
COMUNIDAD
COMUNIDAD
COMUNIDAD
COMUNIDAD
COMUNIDAD
COMUNIDAD
COMUNIDAD
COMUNIDAD
COMUNIDAD
COMUNIDAD
COMUNIDAD
COMUNIDAD
COMUNIDAD
COMUNIDAD
COMUNIDAD
COMUNIDAD
COMUNIDAD
COMUNIDAD
COMUNIDAD
COMUNIDAD
COMUNIDAD
COMUNIDAD
COMUNIDAD
COMUNIDAD
COMUNIDAD
COMUNIDAD
COMUNIDAD
COMUNIDAD
COMUNIDAD
COMUNIDAD
COMUNIDAD
COMUNIDAD
COMUNIDAD
COMUNIDAD
COMUNIDAD
COMUNIDAD
COMUNIDAD
COMUNIDAD
COMUNIDAD
COMUNIDAD
COMUNIDAD
COMUNIDAD
COMUNIDAD
COMUNIDAD
COMUNIDAD
COMUNIDAD
COMUNIDAD
COMUNIDAD
COMUNIDAD
COMUNIDAD
COMUNIDAD
COMUNIDAD
COMUNIDAD
COMUNIDAD
COMUNIDAD
COMUNIDAD
COMUNIDAD
COMUNIDAD
COMUNIDAD
COMUNIDAD
COMUNIDAD
COMUNIDAD
COMUNIDAD
COMUNIDAD
COMUNIDAD
COMUNIDAD
COMUNIDAD
COMUNIDAD
COMUNIDAD
COMUNIDAD
COMUNIDAD
COMUNIDAD
COMUNIDAD
COMUNIDAD
COMUNIDAD
COMUNIDAD
COMUNIDAD
COMUNIDAD
COMUNIDAD
COMUNIDAD
COMUNIDAD
COMUNIDAD
COMUNIDAD
COMUNIDAD
COMUNIDAD
COMUNIDAD
COMUNIDAD
COMUNIDAD
COMUNIDAD
COMUNIDAD
COMUNIDAD
COMUNIDAD
COMUNIDAD
COMUNIDAD
COMUNIDAD
COMUNIDAD
COMUNIDAD
COMUNIDAD
COMUNIDAD
COMUNIDAD
COMUNIDAD
COMUNIDAD
COMUNIDAD
COMUNIDAD
COMUNIDAD
COMUNIDAD
COMUNIDAD
COMUNIDAD
COMUNIDAD
COMUNIDAD
COMUNIDAD
COMUNIDAD
COMUNIDAD
COMUNIDAD
COMUNIDAD
COMUNIDAD
COMUNIDAD
COMUNIDAD
COMUNIDAD
COMUNIDAD
COMUNIDAD
COMUNIDAD
COMUNIDAD
COMUNIDAD
COMUNIDAD
COMUNIDAD
COMUNIDAD
COMUNIDAD
COMUNIDAD
COMUNIDAD
COMUNIDAD
COMUNIDAD
COMUNIDAD
COMUNIDAD
COMUNIDAD
COMUNIDAD
COMUNIDAD
COMUNIDAD
COMUNIDAD
COMUNIDAD
COMUNIDAD
COMUNIDAD
COMUNIDAD
COMUNIDAD
COMUNIDAD
COMUNIDAD
COMUNIDAD
COMUNIDAD
COMUNIDAD
COMUNIDAD
COMUNIDAD
COMUNIDAD
COMUNIDAD
COMUNIDAD
COMUNIDAD
COMUNIDAD
COMUNIDAD
COMUNIDAD
COMUNIDAD
COMUNIDAD
COMUNIDAD
COMUNIDAD
COMUNIDAD
COMUNIDAD
COMUNIDAD
COMUNIDAD
COMUNIDAD
COMUNIDAD
COMUNIDAD
COMUNIDAD
COMUNIDAD
COMUNIDAD
COMUNIDAD
COMUNIDAD
COMUNIDAD
COMUNIDAD
COMUNIDAD
COMUNIDAD
COMUNIDAD
COMUNIDAD
COMUNIDAD
COMUNIDAD
COMUNIDAD
COMUNIDAD
COMUNIDAD
COMUNIDAD
COMUNIDAD
COMUNIDAD
COMUNIDAD
COMUNIDAD
COMUNIDAD
COMUNIDAD
COMUNIDAD
COMUNIDAD
COMUNIDAD
COMUNIDAD
COMUNIDAD
COMUNIDAD
COMUNIDAD
COMUNIDAD
COMUNIDAD
COMUNIDAD
COMUNIDAD
COMUNIDAD
COMUNIDAD
COMUNIDAD
COMUNIDAD
COMUNIDAD
COMUNIDAD
COMUNIDAD
COMUNIDAD
COMUNIDAD
COMUNIDAD
COMUNIDAD
COMUNIDAD
COMUNIDAD
COMUNIDAD
COMUNIDAD
COMUNIDAD
COMUNIDAD
COMUNIDAD
COMUNIDAD
COMUNIDAD
COMUNIDAD
COMUNIDAD
COMUNIDAD
COMUNIDAD
COMUNIDAD
COMUNIDAD
COMUNIDAD
COMUNIDAD
COMUNIDAD
COMUNIDAD
COMUNIDAD
COMUNIDAD
COMUNIDAD
COMUNIDAD
COMUNIDAD
COMUNIDAD
COMUNIDAD
COMUNIDAD
COMUNIDAD
COMUNIDAD
COMUNIDAD
COMUNIDAD
COMUNIDAD
COMUNIDAD
COMUNIDAD
COMUNIDAD
COMUNIDAD
COMUNIDAD
COMUNIDAD
COMUNIDAD
COMUNIDAD
COMUNIDAD
COMUNIDAD
COMUNIDAD
COMUNIDAD
COMUNIDAD
COMUNIDAD
COMUNIDAD
COMUNIDAD
COMUNIDAD
COMUNIDAD
COMUNIDAD
COMUNIDAD
COMUNIDAD
COMUNIDAD
COMUNIDAD
COMUNIDAD
COMUNIDAD
COMUNIDAD
COMUNIDAD
COMUNIDAD
COMUNIDAD
COMUNIDAD
COMUNIDAD
COMUNIDAD
COMUNIDAD
COMUNIDAD
COMUNIDAD
COMUNIDAD
COMUNIDAD
COMUNIDAD
COMUNIDAD
COMUNIDAD
COMUNIDAD
COMUNIDAD
COMUNIDAD
COMUNIDAD
COMUNIDAD
COMUNIDAD
COMUNIDAD
COMUNIDAD
COMUNIDAD
COMUNIDAD
COMUNIDAD
COMUNIDAD
COMUNIDAD
COMUNIDAD
COMUNIDAD
COMUNIDAD
COMUNIDAD
COMUNIDAD
COMUNIDAD
COMUNIDAD
COMUNIDAD
COMUNIDAD
COMUNIDAD
COMUNIDAD
COMUNIDAD
COMUNIDAD
COMUNIDAD
COMUNIDAD
COMUNIDAD
COMUNIDAD
COMUNIDAD
COMUNIDAD
COMUNIDAD
COMUNIDAD
COMUNIDAD
COMUNIDAD
COMUNIDAD
COMUNIDAD
COMUNIDAD
COMUNIDAD
COMUNIDAD
COMUNIDAD
COMUNIDAD
COMUNIDAD
COMUNIDAD
COMUNIDAD
COMUNIDAD
COMUNIDAD
COMUNIDAD
COMUNIDAD
COMUNIDAD
COMUNIDAD
COMUNIDAD
COMUNIDAD
COMUNIDAD
COMUNIDAD
COMUNIDAD
COMUNIDAD
COMUNIDAD
COMUNIDAD
COMUNIDAD
COMUNIDAD
COMUNIDAD
COMUNIDAD
COMUNIDAD
COMUNIDAD
COMUNIDAD
COMUNIDAD
COMUNIDAD
COMUNIDAD
COMUNIDAD
COMUNIDAD
COMUNIDAD
COMUNIDAD
COMUNIDAD
COMUNIDAD
COMUNIDAD
COMUNIDAD
COMUNIDAD
COMUNIDAD
COMUNIDAD
COMUNIDAD
COMUNIDAD
COMUNIDAD
COMUNIDAD
COMUNIDAD
COMUNIDAD
COMUNIDAD
COMUNIDAD
COMUNIDAD
COMUNIDAD
COMUNIDAD
COMUNIDAD
COMUNIDAD
COMUNIDAD
COMUNIDAD
COMUNIDAD
COMUNIDAD
COMUNIDAD
COMUNIDAD
COMUNIDAD
COMUNIDAD
COMUNIDAD
COMUNIDAD
COMUNIDAD
COMUNIDAD
COMUNIDAD
COMUNIDAD
COMUNIDAD
COMUNIDAD
COMUNIDAD
COMUNIDAD
COMUNIDAD
COMUNIDAD
COMUNIDAD
COMUNIDAD
COMUNIDAD
COMUNIDAD
COMUNIDAD
COMUNIDAD
COMUNIDAD
COMUNIDAD
COMUNIDAD
COMUNIDAD
COMUNIDAD
COMUNIDAD
COMUNIDAD
COMUNIDAD
COMUNIDAD
COMUNIDAD
COMUNIDAD
COMUNIDAD
COMUNIDAD
COMUNIDAD
COMUNIDAD
COMUNIDAD
COMUNIDAD
COMUNIDAD
COMUNIDAD
COMUNIDAD
COMUNIDAD
COMUNIDAD
COMUNIDAD
COMUNIDAD
COMUNIDAD
COMUNIDAD
COMUNIDAD
COMUNIDAD
COMUNIDAD
COMUNIDAD
COMUNIDAD
COMUNIDAD
COMUNIDAD
COMUNIDAD
COMUNIDAD
COMUNIDAD
COMUNIDAD
COMUNIDAD
COMUNIDAD
COMUNIDAD
COMUNIDAD
COMUNIDAD
COMUNIDAD
COMUNIDAD
COMUNIDAD
COMUNIDAD
COMUNIDAD
COMUNIDAD
COMUNIDAD
COMUNIDAD
COMUNIDAD
COMUNIDAD
COMUNIDAD
COMUNIDAD
COMUNIDAD
COMUNIDAD
COMUNIDAD
COMUNIDAD
COMUNIDAD
COMUNIDAD
COMUNIDAD
COMUNIDAD
COMUNIDAD
COMUNIDAD
COMUNIDAD
COMUNIDAD
COMUNIDAD
COMUNIDAD
COMUNIDAD
COMUNIDAD
COMUNIDAD
COMUNIDAD
COMUNIDAD
COMUNIDAD
COMUNIDAD
COMUNIDAD
COMUNIDAD
COMUNIDAD
COMUNIDAD
COMUNIDAD
COMUNIDAD
COMUNIDAD
COMUNIDAD
COMUNIDAD
COMUNIDAD
COMUNIDAD
COMUNIDAD
COMUNIDAD
COMUNIDAD
COMUNIDAD
COMUNIDAD
COMUNIDAD
COMUNIDAD
COMUNIDAD
COMUNIDAD
COMUNIDAD
COMUNIDAD
COMUNIDAD
COMUNIDAD
COMUNIDAD
COMUNIDAD
COMUNIDAD
COMUNIDAD
COMUNIDAD
COMUNIDAD
COMUNIDAD
COMUNIDAD
COMUNIDAD
COMUNIDAD
COMUNIDAD
COMUNIDAD
COMUNIDAD
COMUNIDAD
COMUNIDAD
COMUNIDAD
COMUNIDAD
COMUNIDAD
COMUNIDAD
COMUNIDAD
COMUNIDAD
COMUNIDAD
COMUNIDAD
COMUNIDAD
COMUNIDAD
COMUNIDAD
COMUNIDAD
COMUNIDAD
COMUNIDAD
COMUNIDAD
COMUNIDAD
COMUNIDAD
COMUNIDAD
COMUNIDAD
COMUNIDAD
COMUNIDAD
COMUNIDAD
COMUNIDAD
COMUNIDAD
COMUNIDAD
COMUNIDAD
COMUNIDAD
COMUNIDAD
COMUNIDAD
COMUNIDAD
COMUNIDAD
COMUNIDAD
COMUNIDAD
COMUNIDAD
COMUNIDAD
COMUNIDAD
COMUNIDAD
COMUNIDAD
COMUNIDAD
COMUNIDAD
COMUNIDAD
COMUNIDAD
COMUNIDAD
COMUNIDAD
COMUNIDAD
COMUNIDAD
COMUNIDAD
COMUNIDAD
COMUNIDAD
COMUNIDAD
COMUNIDAD
COMUNIDAD
COMUNIDAD
COMUNIDAD
COMUNIDAD
COMUNIDAD
COMUNIDAD
COMUNIDAD
COMUNIDAD
COMUNIDAD
COMUNIDAD
COMUNIDAD
COMUNIDAD
COMUNIDAD
COMUNIDAD
COMUNIDAD
COMUNIDAD
COMUNIDAD
COMUNIDAD
COMUNIDAD
COMUNIDAD
COMUNIDAD
COMUNIDAD
COMUNIDAD
COMUNIDAD
COMUNIDAD
COMUNIDAD
COMUNIDAD
COMUNIDAD
COMUNIDAD
COMUNIDAD
COMUNIDAD
COMUNIDAD
COMUNIDAD
COMUNIDAD
COMUNIDAD
COMUNIDAD
COMUNIDAD
COMUNIDAD
COMUNIDAD
COMUNIDAD
COMUNIDAD
COMUNIDAD
COMUNIDAD
COMUNIDAD
COMUNIDAD
COMUNIDAD
COMUNIDAD
COMUNIDAD
COMUNIDAD
COMUNIDAD
COMUNIDAD
COMUNIDAD
COMUNIDAD
COMUNIDAD
COMUNIDAD
COMUNIDAD
COMUNIDAD
COMUNIDAD
COMUNIDAD
COMUNIDAD
COMUNIDAD
COMUNIDAD
COMUNIDAD
COMUNIDAD
COMUNIDAD
COMUNIDAD
COMUNIDAD
COMUNIDAD
COMUNIDAD
COMUNIDAD
COMUNIDAD
COMUNIDAD
COMUNIDAD
COMUNIDAD
COMUNIDAD
COMUNIDAD
COMUNIDAD
COMUNIDAD
COMUNIDAD
COMUNIDAD
COMUNIDAD
COMUNIDAD
COMUNIDAD
COMUNIDAD
COMUNIDAD
COMUNIDAD
COMUNIDAD
COMUNIDAD
COMUNIDAD
COMUNIDAD
COMUNIDAD
COMUNIDAD
COMUNIDAD
COMUNIDAD
COMUNIDAD
COMUNIDAD
COMUNIDAD
COMUNIDAD
COMUNIDAD
COMUNIDAD
COMUNIDAD
COMUNIDAD
COMUNIDAD
COMUNIDAD
COMUNIDAD
COMUNIDAD
COMUNIDAD
COMUNIDAD
COMUNIDAD
COMUNIDAD
COMUNIDAD
COMUNIDAD
COMUNIDAD
COMUNIDAD
COMUNIDAD
COMUNIDAD
COMUNIDAD
COMUNIDAD
COMUNIDAD
COMUNIDAD
COMUNIDAD
COMUNIDAD
COMUNIDAD
COMUNIDAD
COMUNIDAD
COMUNIDAD
COMUNIDAD
COMUNIDAD
COMUNIDAD
COMUNIDAD
COMUNIDAD
COMUNIDAD
COMUNIDAD
COMUNIDAD
COMUNIDAD
COMUNIDAD
COMUNIDAD
COMUNIDAD
COMUNIDAD
COMUNIDAD
COMUNIDAD
COMUNIDAD
COMUNIDAD
COMUNIDAD
COMUNIDAD
COMUNIDAD
COMUNIDAD
COMUNIDAD
COMUNIDAD
COMUNIDAD
COMUNIDAD
COMUNIDAD
COMUNIDAD
COMUNIDAD
COMUNIDAD
COMUNIDAD
COMUNIDAD
COMUNIDAD
COMUNIDAD
COMUNIDAD
COMUNIDAD
COMUNIDAD
COMUNIDAD
COMUNIDAD
COMUNIDAD
COMUNIDAD
COMUNIDAD
COMUNIDAD
COMUNIDAD
COMUNIDAD
COMUNIDAD
COMUNIDAD
COMUNIDAD
COMUNIDAD
COMUNIDAD
COMUNIDAD
COMUNIDAD
COMUNIDAD
COMUNIDAD
COMUNIDAD
COMUNIDAD
COMUNIDAD
COMUNIDAD
COMUNIDAD
COMUNIDAD
COMUNIDAD
COMUNIDAD
COMUNIDAD
COMUNIDAD
COMUNIDAD
COMUNIDAD
COMUNIDAD
COMUNIDAD
COMUNIDAD
COMUNIDAD
COMUNIDAD
COMUNIDAD
COMUNIDAD
COMUNIDAD
COMUNIDAD
COMUNIDAD
COMUNIDAD
COMUNIDAD
COMUNIDAD
COMUNIDAD
COMUNIDAD
COMUNIDAD
COMUNIDAD
COMUNIDAD
COMUNIDAD
COMUNIDAD
COMUNIDAD
COMUNIDAD
COMUNIDAD
COMUNIDAD
COMUNIDAD
COMUNIDAD
COMUNIDAD
COMUNIDAD
COMUNIDAD
COMUNIDAD
COMUNIDAD
COMUNIDAD
COMUNIDAD
COMUNIDAD
COMUNIDAD
COMUNIDAD
COMUNIDAD
COMUNIDAD
COMUNIDAD
COMUNIDAD
COMUNIDAD
COMUNIDAD
COMUNIDAD
COMUNIDAD
COMUNIDAD
COMUNIDAD
COMUNIDAD
COMUNIDAD
COMUNIDAD
COMUNIDAD
COMUNIDAD
COMUNIDAD
COMUNIDAD
COMUNIDAD
COMUNIDAD
COMUNIDAD
COMUNIDAD
COMUNIDAD
COMUNIDAD
COMUNIDAD
COMUNIDAD
COMUNIDAD
COMUNIDAD
COMUNIDAD
COMUNIDAD
COMUNIDAD
COMUNIDAD
COMUNIDAD
COMUNIDAD
COMUNIDAD
COMUNIDAD
COMUNIDAD
COMUNIDAD
COMUNIDAD
COMUNIDAD
COMUNIDAD
COMUNIDAD
COMUNIDAD
COMUNIDAD
COMUNIDAD
COMUNIDAD
COMUNIDAD
COMUNIDAD
COMUNIDAD
COMUNIDAD
COMUNIDAD
COMUNIDAD
COMUNIDAD
COMUNIDAD
COMUNIDAD
COMUNIDAD
COMUNIDAD
COMUNIDAD
COMUNIDAD
COMUNIDAD
COMUNIDAD
COMUNIDAD
COMUNIDAD
COMUNIDAD
COMUNIDAD
COMUNIDAD
COMUNIDAD
COMUNIDAD
COMUNIDAD
COMUNIDAD
COMUNIDAD
COMUNIDAD
COMUNIDAD
COMUNIDAD
COMUNIDAD
COMUNIDAD
COMUNIDAD
COMUNIDAD
COMUNIDAD
COMUNIDAD
COMUNIDAD
COMUNIDAD
COMUNIDAD
COMUNIDAD
COMUNIDAD
COMUNIDAD
COMUNIDAD
COMUNIDAD
COMUNIDAD
COMUNIDAD
COMUNIDAD
COMUNIDAD
COMUNIDAD
COMUNIDAD
COMUNIDAD
COMUNIDAD
COMUNIDAD
COMUNIDAD
COMUNIDAD
COMUNIDAD
COMUNIDAD
COMUNIDAD
COMUNIDAD
COMUNIDAD
COMUNIDAD
COMUNIDAD
COMUNIDAD
COMUNIDAD
COMUNIDAD
COMUNIDAD
COMUNIDAD
COMUNIDAD
COMUNIDAD
COMUNIDAD
COMUNIDAD
COMUNIDAD
COMUNIDAD
COMUNIDAD
COMUNIDAD
COMUNIDAD
COMUNIDAD
COMUNIDAD
COMUNIDAD
COMUNIDAD
COMUNIDAD
COMUNIDAD
COMUNIDAD
COMUNIDAD
COMUNIDAD
COMUNIDAD
COMUNIDAD
COMUNIDAD
COMUNIDAD
COMUNIDAD
COMUNIDAD
COMUNIDAD
COMUNIDAD
COMUNIDAD
COMUNIDAD
COMUNIDAD
COMUNIDAD
COMUNIDAD
COMUNIDAD
COMUNIDAD
COMUNIDAD
COMUNIDAD
COMUNIDAD
COMUNIDAD
COMUNIDAD
COMUNIDAD
COMUNIDAD
COMUNIDAD
COMUNIDAD
COMUNIDAD
COMUNIDAD
COMUNIDAD
COMUNIDAD
COMUNIDAD
COMUNIDAD
COMUNIDAD
COMUNIDAD
COMUNIDAD
COMUNIDAD
COMUNIDAD
COMUNIDAD
COMUNIDAD
COMUNIDAD
COMUNIDAD
COMUNIDAD
COMUNIDAD
COMUNIDAD
COMUNIDAD
COMUNIDAD
COMUNIDAD
COMUNIDAD
COMUNIDAD
COMUNIDAD
COMUNIDAD
COMUNIDAD
COMUNIDAD
COMUNIDAD
COMUNIDAD
COMUNIDAD
COMUNIDAD
COMUNIDAD
COMUNIDAD
COMUNIDAD
COMUNIDAD
COMUNIDAD
COMUNIDAD
COMUNIDAD
COMUNIDAD
COMUNIDAD
COMUNIDAD
COMUNIDAD
COMUNIDAD
COMUNIDAD
COMUNIDAD
COMUNIDAD
COMUNIDAD
COMUNIDAD
COMUNIDAD
COMUNIDAD
COMUNIDAD
COMUNIDAD
COMUNIDAD
COMUNIDAD
COMUNIDAD
COMUNIDAD
COMUNIDAD
COMUNIDAD
COMUNIDAD
COMUNIDAD
COMUNIDAD
COMUNIDAD
COMUNIDAD
COMUNIDAD
COMUNIDAD
COMUNIDAD
COMUNIDAD
COMUNIDAD
COMUNIDAD
COMUNIDAD
COMUNIDAD
COMUNIDAD
COMUNIDAD
COMUNIDAD
COMUNIDAD
COMUNIDAD
COMUNIDAD
COMUNIDAD
COMUNIDAD
COMUNIDAD
COMUNIDAD
COMUNIDAD
COMUNIDAD
COMUNIDAD
COMUNIDAD
COMUNIDAD
COMUNIDAD
COMUNIDAD
COMUNIDAD
COMUNIDAD
COMUNIDAD
COMUNIDAD
COMUNIDAD
COMUNIDAD
COMUNIDAD
COMUNIDAD
COMUNIDAD
COMUNIDAD
COMUNIDAD
COMUNIDAD
COMUNIDAD
COMUNIDAD
COMUNIDAD
COMUNIDAD
COMUNIDAD
COMUNIDAD
COMUNIDAD
COMUNIDAD
COMUNIDAD
COMUNIDAD
COMUNIDAD
COMUNIDAD
COMUNIDAD
COMUNIDAD
COMUNIDAD
COMUNIDAD
COMUNIDAD
COMUNIDAD
COMUNIDAD
COMUNIDAD
COMUNIDAD
COMUNIDAD
COMUNIDAD
COMUNIDAD
COMUNIDAD
COMUNIDAD
COMUNIDAD
COMUNIDAD
COMUNIDAD
COMUNIDAD
COMUNIDAD
COMUNIDAD
COMUNIDAD
COMUNIDAD
COMUNIDAD
COMUNIDAD
COMUNIDAD
COMUNIDAD
COMUNIDAD
COMUNIDAD
COMUNIDAD
COMUNIDAD
COMUNIDAD
COMUNIDAD
COMUNIDAD
COMUNIDAD
COMUNIDAD
COMUNIDAD
COMUNIDAD
COMUNIDAD
COMUNIDAD
COMUNIDAD
COMUNIDAD
COMUNIDAD
COMUNIDAD
COMUNIDAD
COMUNIDAD
COMUNIDAD
COMUNIDAD
COMUNIDAD
COMUNIDAD
COMUNIDAD
COMUNIDAD
COMUNIDAD
COMUNIDAD
COMUNIDAD
COMUNIDAD
COMUNIDAD
COMUNIDAD
COMUNIDAD
COMUNIDAD
COMUNIDAD
COMUNIDAD
COMUNIDAD
COMUNIDAD
COMUNIDAD
COMUNIDAD
COMUNIDAD
COMUNIDAD
COMUNIDAD
COMUNIDAD
COMUNIDAD
COMUNIDAD
COMUNIDAD
COMUNIDAD
COMUNIDAD
COMUNIDAD
COMUNIDAD
COMUNIDAD
COMUNIDAD
COMUNIDAD
COMUNIDAD
COMUNIDAD
COMUNIDAD
COMUNIDAD
COMUNIDAD
COMUNIDAD
COMUNIDAD
COMUNIDAD
COMUNIDAD
COMUNIDAD
COMUNIDAD
COMUNIDAD
COMUNIDAD
COMUNIDAD
COMUNIDAD
COMUNIDAD
COMUNIDAD
COMUNIDAD
COMUNIDAD
COMUNIDAD
COMUNIDAD
COMUNIDAD
COMUNIDAD
COMUNIDAD
COMUNIDAD
COMUNIDAD
COMUNIDAD
COMUNIDAD
COMUNIDAD
COMUNIDAD
COMUNIDAD
COMUNIDAD
COMUNIDAD
COMUNIDAD
COMUNIDAD
COMUNIDAD
COMUNIDAD
COMUNIDAD
COMUNIDAD
COMUNIDAD
COMUNIDAD
COMUNIDAD
COMUNIDAD
COMUNIDAD
COMUNIDAD
COMUNIDAD
COMUNIDAD
COMUNIDAD
COMUNIDAD
COMUNIDAD
COMUNIDAD
COMUNIDAD
COMUNIDAD
COMUNIDAD
COMUNIDAD
COMUNIDAD
COMUNIDAD
COMUNIDAD
COMUNIDAD
COMUNIDAD
COMUNIDAD
COMUNIDAD
COMUNIDAD
COMUNIDAD
COMUNIDAD
COMUNIDAD
COMUNIDAD
COMUNIDAD
COMUNIDAD
COMUNIDAD
COMUNIDAD
COMUNIDAD
COMUNIDAD
COMUNIDAD
COMUNIDAD
COMUNIDAD
COMUNIDAD
COMUNIDAD
COMUNIDAD
COMUNIDAD
COMUNIDAD
COMUNIDAD
COMUNIDAD
COMUNIDAD
COMUNIDAD
COMUNIDAD
COMUNIDAD
COMUNIDAD
COMUNIDAD
COMUNIDAD
COMUNIDAD
COMUNIDAD
COMUNIDAD
COMUNIDAD
COMUNIDAD
COMUNIDAD
COMUNIDAD
COMUNIDAD
COMUNIDAD
COMUNIDAD
COMUNIDAD
COMUNIDAD
COMUNIDAD
COMUNIDAD
COMUNIDAD
COMUNIDAD
COMUNIDAD
COMUNIDAD
COMUNIDAD
COMUNIDAD
COMUNIDAD
COMUNIDAD
COMUNIDAD
COMUNIDAD
COMUNIDAD
COMUNIDAD
COMUNIDAD
COMUNIDAD
COMUNIDAD
COMUNIDAD
COMUNIDAD
COMUNIDAD
COMUNIDAD
COMUNIDAD
COMUNIDAD
COMUNIDAD
COMUNIDAD
COMUNIDAD
COMUNIDAD
COMUNIDAD
COMUNIDAD
COMUNIDAD
COMUNIDAD
COMUNIDAD
COMUNIDAD
COMUNIDAD
COMUNIDAD
COMUNIDAD
COMUNIDAD
COMUNIDAD
COMUNIDAD
COMUNIDAD
COMUNIDAD
COMUNIDAD
COMUNIDAD
COMUNIDAD
COMUNIDAD
COMUNIDAD
COMUNIDAD
COMUNIDAD
COMUNIDAD
COMUNIDAD
COMUNIDAD
COMUNIDAD
COMUNIDAD
COMUNIDAD
COMUNIDAD
COMUNIDAD
COMUNIDAD
COMUNIDAD
COMUNIDAD
COMUNIDAD
COMUNIDAD
COMUNIDAD
COMUNIDAD
COMUNIDAD
COMUNIDAD
COMUNIDAD
COMUNIDAD
COMUNIDAD
COMUNIDAD
COMUNIDAD
COMUNIDAD
COMUNIDAD
COMUNIDAD
COMUNIDAD
COMUNIDAD
COMUNIDAD
COMUNIDAD
COMUNIDAD
COMUNIDAD
COMUNIDAD
COMUNIDAD
COMUNIDAD
COMUNIDAD
COMUNIDAD
COMUNIDAD
COMUNIDAD
COMUNIDAD
COMUNIDAD
COMUNIDAD
COMUNIDAD
COMUNIDAD
COMUNIDAD
COMUNIDAD
COMUNIDAD
COMUNIDAD
COMUNIDAD
COMUNIDAD
COMUNIDAD
COMUNIDAD
COMUNIDAD
COMUNIDAD
COMUNIDAD
COMUNIDAD
COMUNIDAD
COMUNIDAD
COMUNIDAD
COMUNIDAD
COMUNIDAD
COMUNIDAD
COMUNIDAD
COMUNIDAD
COMUNIDAD
COMUNIDAD
COMUNIDAD
COMUNIDAD
COMUNIDAD
COMUNIDAD
COMUNIDAD
COMUNIDAD
COMUNIDAD
COMUNIDAD
COMUNIDAD
COMUNIDAD
COMUNIDAD
COMUNIDAD
COMUNIDAD
COMUNIDAD
COMUNIDAD
COMUNIDAD
COMUNIDAD
COMUNIDAD
COMUNIDAD
COMUNIDAD
COMUNIDAD
COMUNIDAD
COMUNIDAD
COMUNIDAD
COMUNIDAD
COMUNIDAD
COMUNIDAD
COMUNIDAD
COMUNIDAD
COMUNIDAD
COMUNIDAD
COMUNIDAD
COMUNIDAD
COMUNIDAD
COMUNIDAD
COMUNIDAD
COMUNIDAD
COMUNIDAD
COMUNIDAD
COMUNIDAD
COMUNIDAD
COMUNIDAD
COMUNIDAD
COMUNIDAD
COMUNIDAD
COMUNIDAD
COMUNIDAD
COMUNIDAD
COMUNIDAD
COMUNIDAD
COMUNIDAD
COMUNIDAD
COMUNIDAD
COMUNIDAD
COMUNIDAD
COMUNIDAD
COMUNIDAD
COMUNIDAD
COMUNIDAD
COMUNIDAD
COMUNIDAD
COMUNIDAD
COMUNIDAD
COMUNIDAD
COMUNIDAD
COMUNIDAD
COMUNIDAD
COMUNIDAD
COMUNIDAD
COMUNIDAD
COMUNIDAD
COMUNIDAD
COMUNIDAD
COMUNIDAD
COMUNIDAD
COMUNIDAD
COMUNIDAD
COMUNIDAD
COMUNIDAD
COMUNIDAD
COMUNIDAD
COMUNIDAD
COMUNIDAD
COMUNIDAD
COMUNIDAD
COMUNIDAD
COMUNIDAD
COMUNIDAD
COMUNIDAD
COMUNIDAD
COMUNIDAD
COMUNIDAD
COMUNIDAD
COMUNIDAD
COMUNIDAD
COMUNIDAD
COMUNIDAD
COMUNIDAD
COMUNIDAD
COMUNIDAD
COMUNIDAD
COMUNIDAD
COMUNIDAD
COMUNIDAD
COMUNIDAD
COMUNIDAD
COMUNIDAD
COMUNIDAD
COMUNIDAD
COMUNIDAD
COMUNIDAD
COMUNIDAD
COMUNIDAD
COMUNIDAD
COMUNIDAD
COMUNIDAD
COMUNIDAD
COMUNIDAD
COMUNIDAD
COMUNIDAD
COMUNIDAD
COMUNIDAD
COMUNIDAD
COMUNIDAD
COMUNIDAD
COMUNIDAD
COMUNIDAD
COMUNIDAD
COMUNIDAD
COMUNIDAD
COMUNIDAD
COMUNIDAD
COMUNIDAD
COMUNIDAD
COMUNIDAD
COMUNIDAD
COMUNIDAD
COMUNIDAD
COMUNIDAD
COMUNIDAD
COMUNIDAD
COMUNIDAD
COMUNIDAD
COMUNIDAD
COMUNIDAD
COMUNIDAD
COMUNIDAD
COMUNIDAD
COMUNIDAD
COMUNIDAD
COMUNIDAD
COMUNIDAD
COMUNIDAD
COMUNIDAD
COMUNIDAD
COMUNIDAD
COMUNIDAD
COMUNIDAD
COMUNIDAD
COMUNIDAD
COMUNIDAD
COMUNIDAD
COMUNIDAD
COMUNIDAD
COMUNIDAD
COMUNIDAD
COMUNIDAD
COMUNIDAD
COMUNIDAD
COMUNIDAD
COMUNIDAD
COMUNIDAD
COMUNIDAD
COMUNIDAD
COMUNIDAD
COMUNIDAD
COMUNIDAD
COMUNIDAD
COMUNIDAD
COMUNIDAD
COMUNIDAD
COMUNIDAD
COMUNIDAD
COMUNIDAD
COMUNIDAD
COMUNIDAD
COMUNIDAD
COMUNIDAD
COMUNIDAD
COMUNIDAD
COMUNIDAD
COMUNIDAD
COMUNIDAD
COMUNIDAD
COMUNIDAD
COMUNIDAD
COMUNIDAD
COMUNIDAD
COMUNIDAD
COMUNIDAD
COMUNIDAD
COMUNIDAD
COMUNIDAD
COMUNIDAD
COMUNIDAD
COMUNIDAD
COMUNIDAD
COMUNIDAD
COMUNIDAD
COMUNIDAD
COMUNIDAD
COMUNIDAD
COMUNIDAD
COMUNIDAD
COMUNIDAD
COMUNIDAD
COMUNIDAD
COMUNIDAD
COMUNIDAD
COMUNIDAD
COMUNIDAD
COMUNIDAD
COMUNIDAD
COMUNIDAD
COMUNIDAD
COMUNIDAD
COMUNIDAD
COMUNIDAD
COMUNIDAD
COMUNIDAD
COMUNIDAD
COMUNIDAD
COMUNIDAD
COMUNIDAD
COMUNIDAD
COMUNIDAD
COMUNIDAD
COMUNIDAD
COMUNIDAD
COMUNIDAD
COMUNIDAD
COMUNIDAD
COMUNIDAD
COMUNIDAD
COMUNIDAD
COMUNIDAD
COMUNIDAD
COMUNIDAD
COMUNIDAD
COMUNIDAD
COMUNIDAD
COMUNIDAD
COMUNIDAD
COMUNIDAD
COMUNIDAD
COMUNIDAD
COMUNIDAD
COMUNIDAD
COMUNIDAD
COMUNIDAD
COMUNIDAD
COMUNIDAD
COMUNIDAD
COMUNIDAD
COMUNIDAD
COMUNIDAD
COMUNIDAD
COMUNIDAD
COMUNIDAD
COMUNIDAD
COMUNIDAD
COMUNIDAD
COMUNIDAD
COMUNIDAD
COMUNIDAD
COMUNIDAD
COMUNIDAD
COMUNIDAD
COMUNIDAD
COMUNIDAD
COMUNIDAD
COMUNIDAD
COMUNIDAD
COMUNIDAD
COMUNIDAD
COMUNIDAD
COMUNIDAD
COMUNIDAD
COMUNIDAD
COMUNIDAD
COMUNIDAD
COMUNIDAD
COMUNIDAD
COMUNIDAD
COMUNIDAD
COMUNIDAD
COMUNIDAD
COMUNIDAD
COMUNIDAD
COMUNIDAD
COMUNIDAD
COMUNIDAD
COMUNIDAD
COMUNIDAD
COMUNIDAD
COMUNIDAD
COMUNIDAD
COMUNIDAD
COMUNIDAD
COMUNIDAD
COMUNIDAD
COMUNIDAD
COMUNIDAD
COMUNIDAD
COMUNIDAD
COMUNIDAD
COMUNIDAD
COMUNIDAD
COMUNIDAD
COMUNIDAD
COMUNIDAD
COMUNIDAD
COMUNIDAD
COMUNIDAD
COMUNIDAD
COMUNIDAD
COMUNIDAD
COMUNIDAD
COMUNIDAD
COMUNIDAD
COMUNIDAD
COMUNIDAD
COMUNIDAD
COMUNIDAD
COMUNIDAD
COMUNIDAD
COMUNIDAD
COMUNIDAD
COMUNIDAD
COMUNIDAD
COMUNIDAD
COMUNIDAD
COMUNIDAD
COMUNIDAD
COMUNIDAD
COMUNIDAD
COMUNIDAD
COMUNIDAD
COMUNIDAD
COMUNIDAD
COMUNIDAD
COMUNIDAD
COMUNIDAD
COMUNIDAD
COMUNIDAD
COMUNIDAD
COMUNIDAD
COMUNIDAD
COMUNIDAD
COMUNIDAD
COMUNIDAD
COMUNIDAD
COMUNIDAD
COMUNIDAD
COMUNIDAD
COMUNIDAD
COMUNIDAD
COMUNIDAD
COMUNIDAD
COMUNIDAD
COMUNIDAD
COMUNIDAD
COMUNIDAD
COMUNIDAD
COMUNIDAD
COMUNIDAD
COMUNIDAD
COMUNIDAD
COMUNIDAD
COMUNIDAD
COMUNIDAD
COMUNIDAD
COMUNIDAD
COMUNIDAD
COMUNIDAD
COMUNIDAD
COMUNIDAD
COMUNIDAD
COMUNIDAD
COMUNIDAD
COMUNIDAD
COMUNIDAD
COMUNIDAD
COMUNIDAD
COMUNIDAD
COMUNIDAD
COMUNIDAD
COMUNIDAD
COMUNIDAD
COMUNIDAD
COMUNIDAD
COMUNIDAD
COMUNIDAD
COMUNIDAD
COMUNIDAD
COMUNIDAD
COMUNIDAD
COMUNIDAD
COMUNIDAD
COMUNIDAD
COMUNIDAD
COMUNIDAD
COMUNIDAD
COMUNIDAD
COMUNIDAD
COMUNIDAD
COMUNIDAD
COMUNIDAD
COMUNIDAD
COMUNIDAD
COMUNIDAD
COMUNIDAD
COMUNIDAD
COMUNIDAD
COMUNIDAD
COMUNIDAD
COMUNIDAD
COMUNIDAD
COMUNIDAD
COMUNIDAD
COMUNIDAD
COMUNIDAD
COMUNIDAD
COMUNIDAD
COMUNIDAD
COMUNIDAD
COMUNIDAD
COMUNIDAD
COMUNIDAD
COMUNIDAD
COMUNIDAD
COMUNIDAD
COMUNIDAD
COMUNIDAD
COMUNIDAD
COMUNIDAD
COMUNIDAD
COMUNIDAD
COMUNIDAD
COMUNIDAD
COMUNIDAD
COMUNIDAD
COMUNIDAD
COMUNIDAD
COMUNIDAD
COMUNIDAD
COMUNIDAD
COMUNIDAD
COMUNIDAD
COMUNIDAD
COMUNIDAD
COMUNIDAD
COMUNIDAD
COMUNIDAD
COMUNIDAD
COMUNIDAD
COMUNIDAD
COMUNIDAD
COMUNIDAD
COMUNIDAD
COMUNIDAD
COMUNIDAD
COMUNIDAD
COMUNIDAD
COMUNIDAD
COMUNIDAD
COMUNIDAD
COMUNIDAD
COMUNIDAD
COMUNIDAD
COMUNIDAD
COMUNIDAD
COMUNIDAD
COMUNIDAD
COMUNIDAD
COMUNIDAD
COMUNIDAD
COMUNIDAD
COMUNIDAD
COMUNIDAD
COMUNIDAD
COMUNIDAD
COMUNIDAD
COMUNIDAD
COMUNIDAD
COMUNIDAD
COMUNIDAD
COMUNIDAD
COMUNIDAD
COMUNIDAD
COMUNIDAD
COMUNIDAD
COMUNIDAD
COMUNIDAD
COMUNIDAD
COMUNIDAD
COMUNIDAD
COMUNIDAD
COMUNIDAD
COMUNIDAD
COMUNIDAD
COMUNIDAD
COMUNIDAD
COMUNIDAD
COMUNIDAD
COMUNIDAD
COMUNIDAD
COMUNIDAD
COMUNIDAD
COMUNIDAD
COMUNIDAD
COMUNIDAD
COMUNIDAD
COMUNIDAD
COMUNIDAD
COMUNIDAD
COMUNIDAD
COMUNIDAD
COMUNIDAD
COMUNIDAD
COMUNIDAD
COMUNIDAD
COMUNIDAD
COMUNIDAD
COMUNIDAD
COMUNIDAD
COMUNIDAD
COMUNIDAD
COMUNIDAD
COMUNIDAD
COMUNIDAD
COMUNIDAD
COMUNIDAD
COMUNIDAD
COMUNIDAD
COMUNIDAD
COMUNIDAD
COMUNIDAD
COMUNIDAD
COMUNIDAD
COMUNIDAD
COMUNIDAD
COMUNIDAD
COMUNIDAD
COMUNIDAD
COMUNIDAD
COMUNIDAD
COMUNIDAD
COMUNIDAD
COMUNIDAD
COMUNIDAD
COMUNIDAD
COMUNIDAD
COMUNIDAD
COMUNIDAD
COMUNIDAD
COMUNIDAD
COMUNIDAD
COMUNIDAD
COMUNIDAD
COMUNIDAD
COMUNIDAD
COMUNIDAD
COMUNIDAD
COMUNIDAD
COMUNIDAD
COMUNIDAD
COMUNIDAD
COMUNIDAD
COMUNIDAD
COMUNIDAD
COMUNIDAD
COMUNIDAD
COMUNIDAD
COMUNIDAD
COMUNIDAD
COMUNIDAD
COMUNIDAD
COMUNIDAD
COMUNIDAD
COMUNIDAD
COMUNIDAD
COMUNIDAD
COMUNIDAD
COMUNIDAD
COMUNIDAD
COMUNIDAD
COMUNIDAD
COMUNIDAD
COMUNIDAD
COMUNIDAD
COMUNIDAD
COMUNIDAD
COMUNIDAD
COMUNIDAD
COMUNIDAD
COMUNIDAD
COMUNIDAD
COMUNIDAD
COMUNIDAD
COMUNIDAD
COMUNIDAD
COMUNIDAD
COMUNIDAD
COMUNIDAD
COMUNIDAD
COMUNIDAD
COMUNIDAD
COMUNIDAD
COMUNIDAD
COMUNIDAD
COMUNIDAD
COMUNIDAD
COMUNIDAD
COMUNIDAD
COMUNIDAD
COMUNIDAD
COMUNIDAD
COMUNIDAD
COMUNIDAD
COMUNIDAD
COMUNIDAD
COMUNIDAD
COMUNIDAD
COMUNIDAD
COMUNIDAD
COMUNIDAD
COMUNIDAD
COMUNIDAD
COMUNIDAD
COMUNIDAD
COMUNIDAD
COMUNIDAD
COMUNIDAD
COMUNIDAD
COMUNIDAD
COMUNIDAD
COMUNIDAD
COMUNIDAD
COMUNIDAD
COMUNIDAD
COMUNIDAD
COMUNIDAD
COMUNIDAD
COMUNIDAD
COMUNIDAD
COMUNIDAD
COMUNIDAD
COMUNIDAD
COMUNIDAD
COMUNIDAD
COMUNIDAD
COMUNIDAD
COMUNIDAD
COMUNIDAD
COMUNIDAD
COMUNIDAD
COMUNIDAD
COMUNIDAD
COMUNIDAD
COMUNIDAD
COMUNIDAD
COMUNIDAD
COMUNIDAD
COMUNIDAD
COMUNIDAD
COMUNIDAD
COMUNIDAD
COMUNIDAD
COMUNIDAD
COMUNIDAD
COMUNIDAD
COMUNIDAD
COMUNIDAD
COMUNIDAD
COMUNIDAD
COMUNIDAD
COMUNIDAD
COMUNIDAD
COMUNIDAD
COMUNIDAD
COMUNIDAD
COMUNIDAD
COMUNIDAD
COMUNIDAD
COMUNIDAD
COMUNIDAD
COMUNIDAD
COMUNIDAD
COMUNIDAD
COMUNIDAD
COMUNIDAD
COMUNIDAD
COMUNIDAD
COMUNIDAD
COMUNIDAD
COMUNIDAD
COMUNIDAD
COMUNIDAD
COMUNIDAD
COMUNIDAD
COMUNIDAD
COMUNIDAD
COMUNIDAD
COMUNIDAD
COMUNIDAD
COMUNIDAD
COMUNIDAD
COMUNIDAD
COMUNIDAD
COMUNIDAD
COMUNIDAD
COMUNIDAD
COMUNIDAD
COMUNIDAD
COMUNIDAD
COMUNIDAD
COMUNIDAD
COMUNIDAD
COMUNIDAD
COMUNIDAD
COMUNIDAD
COMUNIDAD
COMUNIDAD
COMUNIDAD
COMUNIDAD
COMUNIDAD
COMUNIDAD
COMUNIDAD
COMUNIDAD
COMUNIDAD
COMUNIDAD
COMUNIDAD
COMUNIDAD
COMUNIDAD
COMUNIDAD
COMUNIDAD
COMUNIDAD
COMUNIDAD
COMUNIDAD
COMUNIDAD
COMUNIDAD
COMUNIDAD
COMUNIDAD
COMUNIDAD
COMUNIDAD
COMUNIDAD
COMUNIDAD
COMUNIDAD
COMUNIDAD
COMUNIDAD
COMUNIDAD
COMUNIDAD
COMUNIDAD
COMUNIDAD
COMUNIDAD
COMUNIDAD
COMUNIDAD
COMUNIDAD
COMUNIDAD
COMUNIDAD
COMUNIDAD
COMUNIDAD
COMUNIDAD
COMUNIDAD
COMUNIDAD
COMUNIDAD
COMUNIDAD
COMUNIDAD
COMUNIDAD
COMUNIDAD
COMUNIDAD
COMUNIDAD
COMUNIDAD
COMUNIDAD
COMUNIDAD
COMUNIDAD
COMUNIDAD
COMUNIDAD
COMUNIDAD
COMUNIDAD
COMUNIDAD
COMUNIDAD
COMUNIDAD
COMUNIDAD
COMUNIDAD
COMUNIDAD
COMUNIDAD
COMUNIDAD
COMUNIDAD
COMUNIDAD
COMUNIDAD
COMUNIDAD
COMUNIDAD
COMUNIDAD
COMUNIDAD
COMUNIDAD
COMUNIDAD
COMUNIDAD
COMUNIDAD
COMUNIDAD
COMUNIDAD
COMUNIDAD
COMUNIDAD
COMUNIDAD
COMUNIDAD
COMUNIDAD
COMUNIDAD
COMUNIDAD
COMUNIDAD
COMUNIDAD
COMUNIDAD
COMUNIDAD
COMUNIDAD
COMUNIDAD
COMUNIDAD
COMUNIDAD
COMUNIDAD
COMUNIDAD
COMUNIDAD
COMUNIDAD
COMUNIDAD
COMUNIDAD
COMUNIDAD
COMUNIDAD
COMUNIDAD
COMUNIDAD
COMUNIDAD
COMUNIDAD
COMUNIDAD
COMUNIDAD
COMUNIDAD
COMUNIDAD
COMUNIDAD
COMUNIDAD
COMUNIDAD
COMUNIDAD
COMUNIDAD
COMUNIDAD
COMUNIDAD
COMUNIDAD
COMUNIDAD
COMUNIDAD
COMUNIDAD
COMUNIDAD
COMUNIDAD
COMUNIDAD
COMUNIDAD
COMUNIDAD
COMUNIDAD
COMUNIDAD
COMUNIDAD
COMUNIDAD
COMUNIDAD
COMUNIDAD
COMUNIDAD
COMUNIDAD
COMUNIDAD
COMUNIDAD
COMUNIDAD
COMUNIDAD
COMUNIDAD
COMUNIDAD
COMUNIDAD
COMUNIDAD
COMUNIDAD
COMUNIDAD
COMUNIDAD
COMUNIDAD
COMUNIDAD
COMUNIDAD
COMUNIDAD
COMUNIDAD
COMUNIDAD
COMUNIDAD
COMUNIDAD
COMUNIDAD
COMUNIDAD
COMUNIDAD
COMUNIDAD
COMUNIDAD
COMUNIDAD
COMUNIDAD
COMUNIDAD
COMUNIDAD
COMUNIDAD
COMUNIDAD
COMUNIDAD
COMUNIDAD
COMUNIDAD
COMUNIDAD
COMUNIDAD
COMUNIDAD
COMUNIDAD
COMUNIDAD
COMUNIDAD
COMUNIDAD
COMUNIDAD
COMUNIDAD
COMUNIDAD
COMUNIDAD
COMUNIDAD
COMUNIDAD
COMUNIDAD
COMUNIDAD
COMUNIDAD
COMUNIDAD
COMUNIDAD
COMUNIDAD
COMUNIDAD
COMUNIDAD
COMUNIDAD
COMUNIDAD
COMUNIDAD
COMUNIDAD
COMUNIDAD
COMUNIDAD
COMUNIDAD
COMUNIDAD
COMUNIDAD
COMUNIDAD
COMUNIDAD
COMUNIDAD
COMUNIDAD
COMUNIDAD
COMUNIDAD
COMUNIDAD
COMUNIDAD
COMUNIDAD
COMUNIDAD
COMUNIDAD
COMUNIDAD
COMUNIDAD
COMUNIDAD
COMUNIDAD
COMUNIDAD
COMUNIDAD
COMUNIDAD
COMUNIDAD
COMUNIDAD
COMUNIDAD
COMUNIDAD
COMUNIDAD
COMUNIDAD
COMUNIDAD
COMUNIDAD
COMUNIDAD
COMUNIDAD
COMUNIDAD
COMUNIDAD
COMUNIDAD
COMUNIDAD
COMUNIDAD
COMUNIDAD
COMUNIDAD
COMUNIDAD
COMUNIDAD
COMUNIDAD
COMUNIDAD
COMUNIDAD
COMUNIDAD
COMUNIDAD
COMUNIDAD
COMUNIDAD
COMUNIDAD
COMUNIDAD
COMUNIDAD
COMUNIDAD
COMUNIDAD
COMUNIDAD
COMUNIDAD
COMUNIDAD
COMUNIDAD
COMUNIDAD
COMUNIDAD
COMUNIDAD
COMUNIDAD
COMUNIDAD
COMUNIDAD
COMUNIDAD
COMUNIDAD
COMUNIDAD
COMUNIDAD
COMUNIDAD
COMUNIDAD
COMUNIDAD
COMUNIDAD
COMUNIDAD
COMUNIDAD
COMUNIDAD
COMUNIDAD
COMUNIDAD
COMUNIDAD
COMUNIDAD
COMUNIDAD
COMUNIDAD
COMUNIDAD
COMUNIDAD
COMUNIDAD
COMUNIDAD
COMUNIDAD
COMUNIDAD
COMUNIDAD
COMUNIDAD
COMUNIDAD
COMUNIDAD
COMUNIDAD
COMUNIDAD
COMUNIDAD
COMUNIDAD
COMUNIDAD
COMUNIDAD
COMUNIDAD
COMUNIDAD
COMUNIDAD
COMUNIDAD
COMUNIDAD
COMUNIDAD
COMUNIDAD
COMUNIDAD
COMUNIDAD
COMUNIDAD
COMUNIDAD
COMUNIDAD
COMUNIDAD
COMUNIDAD
COMUNIDAD
COMUNIDAD
COMUNIDAD
COMUNIDAD
COMUNIDAD
COMUNIDAD
COMUNIDAD
COMUNIDAD
COMUNIDAD
COMUNIDAD
COMUNIDAD
COMUNIDAD
COMUNIDAD
COMUNIDAD
COMUNIDAD
COMUNIDAD
COMUNIDAD
COMUNIDAD
COMUNIDAD
COMUNIDAD
COMUNIDAD
COMUNIDAD
COMUNIDAD
COMUNIDAD
COMUNIDAD
COMUNIDAD
COMUNIDAD
COMUNIDAD
COMUNIDAD
COMUNIDAD
COMUNIDAD
COMUNIDAD
COMUNIDAD
COMUNIDAD
COMUNIDAD
COMUNIDAD
COMUNIDAD
COMUNIDAD
COMUNIDAD
COMUNIDAD
COMUNIDAD
COMUNIDAD
COMUNIDAD
COMUNIDAD
COMUNIDAD
COMUNIDAD
COMUNIDAD
COMUNIDAD
COMUNIDAD
COMUNIDAD
COMUNIDAD
COMUNIDAD
COMUNIDAD
COMUNIDAD
COMUNIDAD
COMUNIDAD
COMUNIDAD
COMUNIDAD
COMUNIDAD
COMUNIDAD
COMUNIDAD
COMUNIDAD
COMUNIDAD
COMUNIDAD
COMUNIDAD
COMUNIDAD
COMUNIDAD
COMUNIDAD
COMUNIDAD
COMUNIDAD
COMUNIDAD
COMUNIDAD
COMUNIDAD
COMUNIDAD
COMUNIDAD
COMUNIDAD
COMUNIDAD
COMUNIDAD
COMUNIDAD
COMUNIDAD
COMUNIDAD
COMUNIDAD
COMUNIDAD
COMUNIDAD
COMUNIDAD
COMUNIDAD
COMUNIDAD
COMUNIDAD
COMUNIDAD
COMUNIDAD
COMUNIDAD
COMUNIDAD
COMUNIDAD
COMUNIDAD
COMUNIDAD
COMUNIDAD
COMUNIDAD
COMUNIDAD
COMUNIDAD
COMUNIDAD
COMUNIDAD
COMUNIDAD
COMUNIDAD
COMUNIDAD
COMUNIDAD
COMUNIDAD
COMUNIDAD
COMUNIDAD
COMUNIDAD
COMUNIDAD
COMUNIDAD
COMUNIDAD
COMUNIDAD
COMUNIDAD
COMUNIDAD
COMUNIDAD
COMUNIDAD
COMUNIDAD
COMUNIDAD
COMUNIDAD
COMUNIDAD
COMUNIDAD
COMUNIDAD
COMUNIDAD
COMUNIDAD
COMUNIDAD
COMUNIDAD
COMUNIDAD
COMUNIDAD
COMUNIDAD
COMUNIDAD
COMUNIDAD
COMUNIDAD
COMUNIDAD
COMUNIDAD
COMUNIDAD
COMUNIDAD
COMUNIDAD
COMUNIDAD
COMUNIDAD
COMUNIDAD
COMUNIDAD
COMUNIDAD
COMUNIDAD
COMUNIDAD
COMUNIDAD
COMUNIDAD
COMUNIDAD
COMUNIDAD
COMUNIDAD
COMUNIDAD
COMUNIDAD
COMUNIDAD
COMUNIDAD
COMUNIDAD
COMUNIDAD
COMUNIDAD
COMUNIDAD
COMUNIDAD
COMUNIDAD
COMUNIDAD
COMUNIDAD
COMUNIDAD
COMUNIDAD
COMUNIDAD
COMUNIDAD
COMUNIDAD
COMUNIDAD
COMUNIDAD
COMUNIDAD
COMUNIDAD
COMUNIDAD
COMUNIDAD
COMUNIDAD
COMUNIDAD
COMUNIDAD
COMUNIDAD
COMUNIDAD
COMUNIDAD
COMUNIDAD
COMUNIDAD
COMUNIDAD
COMUNIDAD
COMUNIDAD
COMUNIDAD
COMUNIDAD
COMUNIDAD
COMUNIDAD
COMUNIDAD
COMUNIDAD
COMUNIDAD
COMUNIDAD
COMUNIDAD
COMUNIDAD
COMUNIDAD
COMUNIDAD
COMUNIDAD
COMUNIDAD
COMUNIDAD
COMUNIDAD
COMUNIDAD
COMUNIDAD
COMUNIDAD
COMUNIDAD
COMUNIDAD
COMUNIDAD
COMUNIDAD
COMUNIDAD
COMUNIDAD
COMUNIDAD
COMUNIDAD
COMUNIDAD
COMUNIDAD
COMUNIDAD
COMUNIDAD
COMUNIDAD
COMUNIDAD
COMUNIDAD
COMUNIDAD
COMUNIDAD
COMUNIDAD
COMUNIDAD
COMUNIDAD
COMUNIDAD
COMUNIDAD
COMUNIDAD
COMUNIDAD
COMUNIDAD
COMUNIDAD
COMUNIDAD
COMUNIDAD
COMUNIDAD
COMUNIDAD
COMUNIDAD
COMUNIDAD
COMUNIDAD
COMUNIDAD
COMUNIDAD
COMUNIDAD
COMUNIDAD
COMUNIDAD
COMUNIDAD
COMUNIDAD
COMUNIDAD
COMUNIDAD
COMUNIDAD
COMUNIDAD
COMUNIDAD
COMUNIDAD
COMUNIDAD
COMUNIDAD
COMUNIDAD
COMUNIDAD
COMUNIDAD
COMUNIDAD
COMUNIDAD
COMUNIDAD
COMUNIDAD
COMUNIDAD
COMUNIDAD
COMUNIDAD
COMUNIDAD
COMUNIDAD
COMUNIDAD
COMUNIDAD
COMUNIDAD
COMUNIDAD
COMUNIDAD
COMUNIDAD
COMUNIDAD
COMUNIDAD
COMUNIDAD
COMUNIDAD
COMUNIDAD
COMUNIDAD
COMUNIDAD
COMUNIDAD
COMUNIDAD
COMUNIDAD
COMUNIDAD
COMUNIDAD
COMUNIDAD
COMUNIDAD
COMUNIDAD
COMUNIDAD
COMUNIDAD
COMUNIDAD
COMUNIDAD
COMUNIDAD
COMUNIDAD
COMUNIDAD
COMUNIDAD
COMUNIDAD
COMUNIDAD
COMUNIDAD
COMUNIDAD
COMUNIDAD
COMUNIDAD
COMUNIDAD
COMUNIDAD
COMUNIDAD
COMUNIDAD
COMUNIDAD
COMUNIDAD
COMUNIDAD
COMUNIDAD
COMUNIDAD
COMUNIDAD
COMUNIDAD
COMUNIDAD
COMUNIDAD
COMUNIDAD
COMUNIDAD
COMUNIDAD
COMUNIDAD
COMUNIDAD
COMUNIDAD
COMUNIDAD
COMUNIDAD
COMUNIDAD
COMUNIDAD
COMUNIDAD
COMUNIDAD
COMUNIDAD
COMUNIDAD
COMUNIDAD
COMUNIDAD
COMUNIDAD
COMUNIDAD
COMUNIDAD
COMUNIDAD
COMUNIDAD
COMUNIDAD
COMUNIDAD
COMUNIDAD
COMUNIDAD
COMUNIDAD
COMUNIDAD
COMUNIDAD
COMUNIDAD
COMUNIDAD
COMUNIDAD
COMUNIDAD
COMUNIDAD
COMUNIDAD
COMUNIDAD
COMUNIDAD
COMUNIDAD
COMUNIDAD
COMUNIDAD
COMUNIDAD
COMUNIDAD
COMUNIDAD
COMUNIDAD
COMUNIDAD
COMUNIDAD
COMUNIDAD
COMUNIDAD
COMUNIDAD
COMUNIDAD
COMUNIDAD
COMUNIDAD
COMUNIDAD
COMUNIDAD
COMUNIDAD
COMUNIDAD
COMUNIDAD
COMUNIDAD
COMUNIDAD
COMUNIDAD
COMUNIDAD
COMUNIDAD
COMUNIDAD
COMUNIDAD
COMUNIDAD
COMUNIDAD
COMUNIDAD
COMUNIDAD
COMUNIDAD
COMUNIDAD
COMUNIDAD
COMUNIDAD
COMUNIDAD
COMUNIDAD
COMUNIDAD
COMUNIDAD
COMUNIDAD
COMUNIDAD
COMUNIDAD
COMUNIDAD
COMUNIDAD
COMUNIDAD
COMUNIDAD
COMUNIDAD
COMUNIDAD
COMUNIDAD
COMUNIDAD
COMUNIDAD
COMUNIDAD
COMUNIDAD
COMUNIDAD
COMUNIDAD
COMUNIDAD
COMUNIDAD
COMUNIDAD
COMUNIDAD
COMUNIDAD
COMUNIDAD
COMUNIDAD
COMUNIDAD
COMUNIDAD
COMUNIDAD
COMUNIDAD
COMUNIDAD
COMUNIDAD
COMUNIDAD
COMUNIDAD
COMUNIDAD
COMUNIDAD
COMUNIDAD
COMUNIDAD
COMUNIDAD
COMUNIDAD
COMUNIDAD
COMUNIDAD
COMUNIDAD
COMUNIDAD
COMUNIDAD
COMUNIDAD
COMUNIDAD
COMUNIDAD
COMUNIDAD
COMUNIDAD
COMUNIDAD
COMUNIDAD
COMUNIDAD
COMUNIDAD
COMUNIDAD
COMUNIDAD
COMUNIDAD
COMUNIDAD
COMUNIDAD
COMUNIDAD
COMUNIDAD
COMUNIDAD
COMUNIDAD
COMUNIDAD
COMUNIDAD
COMUNIDAD
COMUNIDAD
COMUNIDAD
COMUNIDAD
COMUNIDAD
COMUNIDAD
COMUNIDAD
COMUNIDAD
COMUNIDAD
COMUNIDAD
COMUNIDAD
COMUNIDAD
COMUNIDAD
COMUNIDAD
COMUNIDAD
COMUNIDAD
COMUNIDAD
COMUNIDAD
COMUNIDAD
COMUNIDAD
COMUNIDAD
COMUNIDAD
COMUNIDAD
COMUNIDAD
COMUNIDAD
COMUNIDAD
COMUNIDAD
COMUNIDAD
COMUNIDAD
COMUNIDAD
COMUNIDAD
COMUNIDAD
COMUNIDAD
COMUNIDAD
COMUNIDAD
COMUNIDAD
COMUNIDAD
COMUNIDAD
COMUNIDAD
COMUNIDAD
COMUNIDAD
COMUNIDAD
COMUNIDAD
COMUNIDAD
COMUNIDAD
COMUNIDAD
COMUNIDAD
COMUNIDAD
COMUNIDAD
COMUNIDAD
COMUNIDAD
COMUNIDAD
COMUNIDAD
COMUNIDAD
COMUNIDAD
COMUNIDAD
COMUNIDAD
COMUNIDAD
COMUNIDAD
COMUNIDAD
COMUNIDAD
COMUNIDAD
COMUNIDAD
COMUNIDAD
COMUNIDAD
COMUNIDAD
COMUNIDAD
COMUNIDAD
COMUNIDAD
COMUNIDAD
COMUNIDAD
COMUNIDAD
COMUNIDAD
COMUNIDAD
COMUNIDAD
COMUNIDAD
COMUNIDAD
COMUNIDAD
COMUNIDAD
COMUNIDAD
COMUNIDAD
COMUNIDAD
COMUNIDAD
COMUNIDAD
COMUNIDAD
COMUNIDAD
COMUNIDAD
COMUNIDAD
COMUNIDAD
COMUNIDAD
COMUNIDAD
COMUNIDAD
COMUNIDAD
COMUNIDAD
COMUNIDAD
COMUNIDAD
COMUNIDAD
COMUNIDAD
COMUNIDAD
COMUNIDAD
COMUNIDAD
COMUNIDAD
COMUNIDAD
COMUNIDAD
COMUNIDAD
COMUNIDAD
COMUNIDAD
COMUNIDAD
COMUNIDAD
COMUNIDAD
COMUNIDAD
COMUNIDAD
COMUNIDAD
COMUNIDAD
COMUNIDAD
COMUNIDAD
COMUNIDAD
COMUNIDAD
COMUNIDAD
COMUNIDAD
COMUNIDAD
COMUNIDAD
COMUNIDAD
COMUNIDAD
COMUNIDAD
COMUNIDAD
COMUNIDAD
COMUNIDAD
COMUNIDAD
COMUNIDAD
COMUNIDAD
COMUNIDAD
COMUNIDAD
COMUNIDAD
COMUNIDAD
COMUNIDAD
COMUNIDAD
COMUNIDAD
COMUNIDAD
COMUNIDAD
COMUNIDAD
COMUNIDAD
COMUNIDAD
COMUNIDAD
COMUNIDAD
COMUNIDAD
COMUNIDAD
COMUNIDAD
COMUNIDAD
COMUNIDAD
COMUNIDAD
COMUNIDAD
COMUNIDAD
COMUNIDAD
COMUNIDAD
COMUNIDAD
COMUNIDAD
COMUNIDAD
COMUNIDAD
COMUNIDAD
COMUNIDAD
COMUNIDAD
COMUNIDAD
COMUNIDAD
COMUNIDAD
COMUNIDAD
COMUNIDAD
COMUNIDAD
COMUNIDAD
COMUNIDAD
COMUNIDAD
COMUNIDAD
COMUNIDAD
COMUNIDAD
COMUNIDAD
COMUNIDAD
COMUNIDAD
COMUNIDAD
COMUNIDAD
COMUNIDAD
COMUNIDAD
COMUNIDAD
COMUNIDAD
COMUNIDAD
COMUNIDAD
COMUNIDAD
COMUNIDAD
COMUNIDAD
COMUNIDAD
COMUNIDAD
COMUNIDAD
COMUNIDAD
COMUNIDAD
COMUNIDAD
COMUNIDAD
COMUNIDAD
COMUNIDAD
COMUNIDAD
COMUNIDAD
COMUNIDAD
COMUNIDAD
COMUNIDAD
COMUNIDAD
COMUNIDAD
COMUNIDAD
COMUNIDAD
COMUNIDAD
COMUNIDAD
COMUNIDAD
COMUNIDAD
COMUNIDAD
COMUNIDAD
COMUNIDAD
COMUNIDAD
COMUNIDAD
COMUNIDAD
COMUNIDAD
COMUNIDAD
COMUNIDAD
COMUNIDAD
COMUNIDAD
COMUNIDAD
COMUNIDAD
COMUNIDAD
COMUNIDAD
COMUNIDAD
COMUNIDAD
COMUNIDAD
COMUNIDAD
COMUNIDAD
COMUNIDAD
COMUNIDAD
COMUNIDAD
COMUNIDAD
COMUNIDAD
COMUNIDAD
COMUNIDAD
COMUNIDAD
COMUNIDAD
COMUNIDAD
COMUNIDAD
COMUNIDAD
COMUNIDAD
COMUNIDAD
COMUNIDAD
COMUNIDAD
COMUNIDAD
COMUNIDAD
COMUNIDAD
COMUNIDAD
COMUNIDAD
COMUNIDAD
COMUNIDAD
COMUNIDAD
COMUNIDAD
COMUNIDAD
COMUNIDAD
COMUNIDAD
COMUNIDAD
COMUNIDAD
COMUNIDAD
COMUNIDAD
COMUNIDAD
COMUNIDAD
COMUNIDAD
COMUNIDAD
COMUNIDAD
COMUNIDAD
COMUNIDAD
COMUNIDAD
COMUNIDAD
COMUNIDAD
COMUNIDAD
COMUNIDAD
COMUNIDAD
COMUNIDAD
COMUNIDAD
COMUNIDAD
COMUNIDAD
COMUNIDAD
COMUNIDAD
COMUNIDAD
COMUNIDAD
COMUNIDAD
COMUNIDAD
COMUNIDAD
COMUNIDAD
COMUNIDAD
COMUNIDAD
COMUNIDAD
COMUNIDAD
COMUNIDAD
COMUNIDAD
COMUNIDAD
COMUNIDAD
COMUNIDAD
COMUNIDAD
COMUNIDAD
COMUNIDAD
COMUNIDAD
COMUNIDAD
COMUNIDAD
COMUNIDAD
COMUNIDAD
COMUNIDAD
COMUNIDAD
COMUNIDAD
COMUNIDAD
COMUNIDAD
COMUNIDAD
COMUNIDAD
COMUNIDAD
COMUNIDAD
COMUNIDAD
COMUNIDAD
COMUNIDAD
COMUNIDAD
COMUNIDAD
COMUNIDAD
COMUNIDAD
COMUNIDAD
COMUNIDAD
COMUNIDAD
COMUNIDAD
COMUNIDAD
COMUNIDAD
COMUNIDAD
COMUNIDAD
COMUNIDAD
COMUNIDAD
COMUNIDAD
COMUNIDAD
COMUNIDAD
COMUNIDAD
COMUNIDAD
COMUNIDAD
COMUNIDAD
COMUNIDAD
COMUNIDAD
COMUNIDAD
COMUNIDAD
COMUNIDAD
COMUNIDAD
COMUNIDAD
COMUNIDAD
COMUNIDAD
COMUNIDAD
COMUNIDAD
COMUNIDAD
COMUNIDAD
COMUNIDAD
COMUNIDAD
COMUNIDAD
COMUNIDAD
COMUNIDAD
COMUNIDAD
COMUNIDAD
COMUNIDAD
COMUNIDAD
COMUNIDAD
COMUNIDAD
COMUNIDAD
COMUNIDAD
COMUNIDAD
COMUNIDAD
COMUNIDAD
COMUNIDAD
COMUNIDAD
COMUNIDAD
COMUNIDAD
COMUNIDAD
COMUNIDAD
COMUNIDAD
COMUNIDAD
COMUNIDAD
COMUNIDAD
COMUNIDAD
COMUNIDAD
COMUNIDAD
COMUNIDAD
COMUNIDAD
COMUNIDAD
COMUNIDAD
COMUNIDAD
COMUNIDAD
COMUNIDAD
COMUNIDAD
COMUNIDAD
COMUNIDAD
COMUNIDAD
COMUNIDAD
COMUNIDAD
COMUNIDAD
COMUNIDAD
COMUNIDAD
COMUNIDAD
COMUNIDAD
COMUNIDAD
COMUNIDAD
COMUNIDAD
COMUNIDAD
COMUNIDAD
COMUNIDAD
COMUNIDAD
COMUNIDAD
COMUNIDAD
COMUNIDAD
COMUNIDAD
COMUNIDAD
COMUNIDAD
COMUNIDAD
COMUNIDAD
COMUNIDAD
COMUNIDAD
COMUNIDAD
COMUNIDAD
COMUNIDAD
COMUNIDAD
COMUNIDAD
COMUNIDAD
COMUNIDAD
COMUNIDAD
COMUNIDAD
COMUNIDAD
COMUNIDAD
COMUNIDAD
COMUNIDAD
COMUNIDAD
COMUNIDAD
COMUNIDAD
COMUNIDAD
COMUNIDAD
COMUNIDAD
COMUNIDAD
COMUNIDAD
COMUNIDAD
COMUNIDAD
COMUNIDAD
COMUNIDAD
COMUNIDAD
COMUNIDAD
COMUNIDAD
COMUNIDAD
COMUNIDAD
COMUNIDAD
COMUNIDAD
COMUNIDAD
COMUNIDAD
COMUNIDAD
COMUNIDAD
COMUNIDAD
COMUNIDAD
COMUNIDAD
COMUNIDAD
COMUNIDAD
COMUNIDAD
COMUNIDAD
COMUNIDAD
COMUNIDAD
COMUNIDAD
COMUNIDAD
COMUNIDAD
COMUNIDAD
COMUNIDAD
COMUNIDAD
COMUNIDAD
COMUNIDAD
COMUNIDAD
COMUNIDAD
COMUNIDAD
COMUNIDAD
COMUNIDAD
COMUNIDAD
COMUNIDAD
COMUNIDAD
COMUNIDAD
COMUNIDAD
COMUNIDAD
COMUNIDAD
COMUNIDAD
COMUNIDAD
COMUNIDAD
COMUNIDAD
COMUNIDAD
COMUNIDAD
COMUNIDAD
COMUNIDAD
COMUNIDAD
COMUNIDAD
COMUNIDAD
COMUNIDAD
COMUNIDAD
COMUNIDAD
COMUNIDAD
COMUNIDAD
COMUNIDAD
COMUNIDAD
COMUNIDAD
COMUNIDAD
COMUNIDAD
COMUNIDAD
COMUNIDAD
COMUNIDAD
COMUNIDAD
COMUNIDAD
COMUNIDAD
COMUNIDAD
COMUNIDAD
COMUNIDAD
COMUNIDAD
COMUNIDAD
COMUNIDAD
COMUNIDAD
COMUNIDAD
COMUNIDAD
COMUNIDAD
COMUNIDAD
COMUNIDAD
COMUNIDAD
COMUNIDAD
COMUNIDAD
COMUNIDAD
COMUNIDAD
COMUNIDAD
COMUNIDAD
COMUNIDAD
COMUNIDAD
COMUNIDAD
COMUNIDAD
COMUNIDAD
COMUNIDAD
COMUNIDAD
COMUNIDAD
COMUNIDAD
COMUNIDAD
COMUNIDAD
COMUNIDAD
COMUNIDAD
COMUNIDAD
COMUNIDAD
COMUNIDAD
COMUNIDAD
COMUNIDAD
COMUNIDAD
COMUNIDAD
COMUNIDAD
COMUNIDAD
COMUNIDAD
COMUNIDAD
COMUNIDAD
COMUNIDAD
COMUNIDAD
COMUNIDAD
COMUNIDAD
COMUNIDAD
COMUNIDAD
COMUNIDAD
COMUNIDAD
COMUNIDAD
COMUNIDAD
COMUNIDAD
COMUNIDAD
COMUNIDAD
COMUNIDAD
COMUNIDAD
COMUNIDAD
COMUNIDAD
COMUNIDAD
COMUNIDAD
COMUNIDAD
COMUNIDAD
COMUNIDAD
COMUNIDAD
COMUNIDAD
COMUNIDAD
COMUNIDAD
COMUNIDAD
COMUNIDAD
COMUNIDAD
COMUNIDAD
COMUNIDAD
COMUNIDAD
COMUNIDAD
COMUNIDAD
COMUNIDAD
COMUNIDAD
COMUNIDAD
COMUNIDAD
COMUNIDAD
COMUNIDAD
COMUNIDAD
COMUNIDAD
COMUNIDAD
COMUNIDAD
COMUNIDAD
COMUNIDAD
COMUNIDAD
COMUNIDAD
COMUNIDAD
COMUNIDAD
COMUNIDAD
COMUNIDAD
COMUNIDAD
COMUNIDAD
COMUNIDAD
COMUNIDAD
COMUNIDAD
COMUNIDAD
COMUNIDAD
COMUNIDAD
COMUNIDAD
COMUNIDAD
COMUNIDAD
COMUNIDAD
COMUNIDAD
COMUNIDAD
COMUNIDAD
COMUNIDAD
COMUNIDAD
COMUNIDAD
COMUNIDAD
COMUNIDAD
COMUNIDAD
COMUNIDAD
COMUNIDAD
COMUNIDAD
COMUNIDAD
COMUNIDAD
COMUNIDAD
COMUNIDAD
COMUNIDAD
COMUNIDAD
COMUNIDAD
COMUNIDAD
COMUNIDAD
COMUNIDAD
COMUNIDAD
COMUNIDAD
COMUNIDAD
COMUNIDAD
COMUNIDAD
COMUNIDAD
COMUNIDAD
COMUNIDAD
COMUNIDAD
COMUNIDAD
COMUNIDAD
COMUNIDAD
COMUNIDAD
COMUNIDAD
COMUNIDAD
COMUNIDAD
COMUNIDAD
COMUNIDAD
COMUNIDAD
COMUNIDAD
COMUNIDAD
COMUNIDAD
COMUNIDAD
COMUNIDAD
COMUNIDAD
COMUNIDAD
COMUNIDAD
COMUNIDAD
COMUNIDAD
COMUNIDAD
COMUNIDAD
COMUNIDAD
COMUNIDAD
COMUNIDAD
COMUNIDAD
COMUNIDAD
COMUNIDAD
COMUNIDAD
COMUNIDAD
COMUNIDAD
COMUNIDAD
COMUNIDAD
COMUNIDAD
COMUNIDAD
COMUNIDAD
COMUNIDAD
COMUNIDAD
COMUNIDAD
COMUNIDAD
COMUNIDAD
COMUNIDAD
COMUNIDAD
COMUNIDAD
COMUNIDAD
COMUNIDAD
COMUNIDAD
COMUNIDAD
COMUNIDAD
COMUNIDAD
COMUNIDAD
COMUNIDAD
COMUNIDAD
COMUNIDAD
COMUNIDAD
COMUNIDAD
COMUNIDAD
COMUNIDAD
COMUNIDAD
COMUNIDAD
COMUNIDAD
COMUNIDAD
COMUNIDAD
COMUNIDAD
COMUNIDAD
COMUNIDAD
COMUNIDAD
COMUNIDAD
COMUNIDAD
COMUNIDAD
COMUNIDAD
COMUNIDAD
COMUNIDAD
COMUNIDAD
COMUNIDAD
COMUNIDAD
COMUNIDAD
COMUNIDAD
COMUNIDAD
COMUNIDAD
COMUNIDAD
COMUNIDAD
COMUNIDAD
COMUNIDAD
COMUNIDAD
COMUNIDAD
COMUNIDAD
COMUNIDAD
COMUNIDAD
COMUNIDAD
COMUNIDAD
COMUNIDAD
COMUNIDAD
COMUNIDAD
COMUNIDAD
COMUNIDAD
COMUNIDAD
COMUNIDAD
COMUNIDAD
COMUNIDAD
COMUNIDAD
COMUNIDAD
COMUNIDAD
COMUNIDAD
COMUNIDAD
COMUNIDAD
COMUNIDAD
COMUNIDAD
COMUNIDAD
COMUNIDAD
COMUNIDAD
COMUNIDAD
COMUNIDAD
COMUNIDAD
COMUNIDAD
COMUNIDAD
COMUNIDAD
COMUNIDAD
COMUNIDAD
COMUNIDAD
COMUNIDAD
COMUNIDAD
COMUNIDAD
COMUNIDAD
COMUNIDAD
COMUNIDAD
COMUNIDAD
COMUNIDAD
COMUNIDAD
COMUNIDAD
COMUNIDAD
COMUNIDAD
COMUNIDAD
COMUNIDAD
COMUNIDAD
COMUNIDAD
COMUNIDAD
COMUNIDAD
COMUNIDAD
COMUNIDAD
COMUNIDAD
COMUNIDAD
COMUNIDAD
COMUNIDAD
COMUNIDAD
COMUNIDAD
COMUNIDAD
COMUNIDAD
COMUNIDAD
COMUNIDAD
COMUNIDAD
COMUNIDAD
COMUNIDAD
COMUNIDAD
COMUNIDAD
COMUNIDAD
COMUNIDAD
COMUNIDAD
COMUNIDAD
COMUNIDAD
COMUNIDAD
COMUNIDAD
COMUNIDAD
COMUNIDAD
COMUNIDAD
COMUNIDAD
COMUNIDAD
COMUNIDAD
COMUNIDAD
COMUNIDAD
COMUNIDAD
COMUNIDAD
COMUNIDAD
COMUNIDAD
COMUNIDAD
COMUNIDAD
COMUNIDAD
COMUNIDAD
COMUNIDAD
COMUNIDAD
COMUNIDAD
COMUNIDAD
COMUNIDAD
COMUNIDAD
COMUNIDAD
COMUNIDAD
COMUNIDAD
COMUNIDAD
COMUNIDAD
COMUNIDAD
COMUNIDAD
COMUNIDAD
COMUNIDAD
COMUNIDAD
COMUNIDAD
COMUNIDAD
COMUNIDAD
COMUNIDAD
COMUNIDAD
COMUNIDAD
COMUNIDAD
COMUNIDAD
COMUNIDAD
COMUNIDAD
COMUNIDAD
COMUNIDAD
COMUNIDAD
COMUNIDAD
COMUNIDAD
COMUNIDAD
COMUNIDAD
COMUNIDAD
COMUNIDAD
COMUNIDAD
COMUNIDAD
COMUNIDAD
COMUNIDAD
COMUNIDAD
COMUNIDAD
COMUNIDAD
COMUNIDAD
COMUNIDAD
COMUNIDAD
COMUNIDAD
COMUNIDAD
COMUNIDAD
COMUNIDAD
COMUNIDAD
COMUNIDAD
COMUNIDAD
COMUNIDAD
COMUNIDAD
COMUNIDAD
COMUNIDAD
COMUNIDAD
COMUNIDAD
COMUNIDAD
COMUNIDAD
COMUNIDAD
COMUNIDAD
COMUNIDAD
COMUNIDAD
COMUNIDAD
COMUNIDAD
COMUNIDAD
COMUNIDAD
COMUNIDAD
COMUNIDAD
COMUNIDAD
COMUNIDAD
COMUNIDAD
COMUNIDAD
COMUNIDAD
COMUNIDAD
COMUNIDAD
COMUNIDAD
COMUNIDAD
COMUNIDAD
COMUNIDAD
COMUNIDAD
COMUNIDAD
COMUNIDAD
COMUNIDAD
COMUNIDAD
COMUNIDAD
COMUNIDAD
COMUNIDAD
COMUNIDAD
COMUNIDAD
COMUNIDAD
COMUNIDAD
COMUNIDAD
COMUNIDAD
COMUNIDAD
COMUNIDAD
COMUNIDAD
COMUNIDAD
COMUNIDAD
COMUNIDAD
COMUNIDAD
COMUNIDAD
COMUNIDAD
COMUNIDAD
COMUNIDAD
COMUNIDAD
COMUNIDAD
COMUNIDAD
COMUNIDAD
COMUNIDAD
COMUNIDAD
COMUNIDAD
COMUNIDAD
COMUNIDAD
COMUNIDAD
COMUNIDAD
COMUNIDAD
COMUNIDAD
COMUNIDAD
COMUNIDAD
COMUNIDAD
COMUNIDAD
COMUNIDAD
COMUNIDAD
COMUNIDAD
COMUNIDAD
COMUNIDAD
COMUNIDAD
COMUNIDAD
COMUNIDAD
COMUNIDAD
COMUNIDAD
COMUNIDAD
COMUNIDAD
COMUNIDAD
COMUNIDAD
COMUNIDAD
COMUNIDAD
COMUNIDAD
COMUNIDAD
COMUNIDAD
COMUNIDAD
COMUNIDAD
COMUNIDAD
COMUNIDAD
COMUNIDAD
COMUNIDAD
COMUNIDAD
COMUNIDAD
COMUNIDAD
COMUNIDAD
COMUNIDAD
COMUNIDAD
COMUNIDAD
COMUNIDAD
COMUNIDAD
COMUNIDAD
COMUNIDAD
COMUNIDAD
COMUNIDAD
COMUNIDAD
COMUNIDAD
COMUNIDAD
COMUNIDAD
COMUNIDAD
COMUNIDAD
COMUNIDAD
COMUNIDAD
COMUNIDAD
COMUNIDAD
COMUNIDAD
COMUNIDAD
COMUNIDAD
COMUNIDAD
COMUNIDAD
COMUNIDAD
COMUNIDAD
COMUNIDAD
COMUNIDAD
COMUNIDAD
COMUNIDAD
COMUNIDAD
COMUNIDAD
COMUNIDAD
COMUNIDAD
COMUNIDAD
COMUNIDAD
COMUNIDAD
COMUNIDAD
COMUNIDAD
COMUNIDAD
COMUNIDAD
COMUNIDAD
COMUNIDAD
COMUNIDAD
COMUNIDAD
COMUNIDAD
COMUNIDAD
COMUNIDAD
COMUNIDAD
COMUNIDAD
COMUNIDAD
COMUNIDAD
COMUNIDAD
COMUNIDAD
COMUNIDAD
COMUNIDAD
COMUNIDAD
COMUNIDAD
COMUNIDAD
COMUNIDAD
COMUNIDAD
COMUNIDAD
COMUNIDAD
COMUNIDAD
COMUNIDAD
COMUNIDAD
COMUNIDAD
COMUNIDAD
COMUNIDAD
COMUNIDAD
COMUNIDAD
COMUNIDAD
COMUNIDAD
COMUNIDAD
COMUNIDAD
COMUNIDAD
COMUNIDAD
COMUNIDAD
COMUNIDAD
COMUNIDAD
COMUNIDAD
COMUNIDAD
COMUNIDAD
COMUNIDAD
COMUNIDAD
COMUNIDAD
COMUNIDAD
COMUNIDAD
COMUNIDAD
COMUNIDAD
COMUNIDAD
COMUNIDAD
COMUNIDAD
COMUNIDAD
COMUNIDAD
COMUNIDAD
COMUNIDAD
COMUNIDAD
COMUNIDAD
COMUNIDAD
COMUNIDAD
COMUNIDAD
COMUNIDAD
COMUNIDAD
COMUNIDAD
COMUNIDAD
COMUNIDAD
COMUNIDAD
COMUNIDAD
COMUNIDAD
COMUNIDAD
COMUNIDAD
COMUNIDAD
COMUNIDAD
COMUNIDAD
COMUNIDAD
COMUNIDAD
COMUNIDAD
COMUNIDAD
COMUNIDAD
COMUNIDAD
COMUNIDAD
COMUNIDAD
COMUNIDAD
COMUNIDAD
COMUNIDAD
COMUNIDAD
COMUNIDAD
COMUNIDAD
COMUNIDAD
COMUNIDAD
COMUNIDAD
COMUNIDAD
COMUNIDAD
COMUNIDAD
COMUNIDAD
COMUNIDAD
COMUNIDAD
COMUNIDAD
COMUNIDAD
COMUNIDAD
COMUNIDAD
COMUNIDAD
COMUNIDAD
COMUNIDAD
COMUNIDAD
COMUNIDAD
COMUNIDAD
COMUNIDAD
COMUNIDAD
COMUNIDAD
COMUNIDAD
COMUNIDAD
COMUNIDAD
COMUNIDAD
COMUNIDAD
COMUNIDAD
COMUNIDAD
COMUNIDAD
COMUNIDAD
COMUNIDAD
COMUNIDAD
COMUNIDAD
COMUNIDAD
COMUNIDAD
COMUNIDAD
COMUNIDAD
COMUNIDAD
COMUNIDAD
COMUNIDAD
COMUNIDAD
COMUNIDAD
COMUNIDAD
COMUNIDAD
COMUNIDAD
COMUNIDAD
COMUNIDAD
COMUNIDAD
COMUNIDAD
COMUNIDAD
COMUNIDAD
COMUNIDAD
COMUNIDAD
COMUNIDAD
COMUNIDAD
COMUNIDAD
COMUNIDAD
COMUNIDAD
COMUNIDAD
COMUNIDAD
COMUNIDAD
COMUNIDAD
COMUNIDAD
COMUNIDAD
COMUNIDAD
COMUNIDAD
COMUNIDAD
COMUNIDAD
COMUNIDAD
COMUNIDAD
COMUNIDAD
COMUNIDAD
COMUNIDAD
COMUNIDAD
COMUNIDAD
COMUNIDAD
COMUNIDAD
COMUNIDAD
COMUNIDAD
COMUNIDAD
COMUNIDAD
COMUNIDAD
COMUNIDAD
COMUNIDAD
COMUNIDAD
COMUNIDAD
COMUNIDAD
COMUNIDAD
COMUNIDAD
COMUNIDAD
COMUNIDAD
COMUNIDAD
COMUNIDAD
COMUNIDAD
COMUNIDAD
COMUNIDAD
COMUNIDAD
COMUNIDAD
COMUNIDAD
COMUNIDAD
COMUNIDAD
COMUNIDAD
COMUNIDAD
COMUNIDAD
COMUNIDAD
COMUNIDAD
COMUNIDAD
COMUNIDAD
COMUNIDAD
COMUNIDAD
COMUNIDAD
COMUNIDAD
COMUNIDAD
COMUNIDAD
COMUNIDAD
COMUNIDAD
COMUNIDAD
COMUNIDAD
COMUNIDAD
COMUNIDAD
COMUNIDAD
COMUNIDAD
COMUNIDAD
COMUNIDAD
COMUNIDAD
COMUNIDAD
COMUNIDAD
COMUNIDAD
COMUNIDAD
COMUNIDAD
COMUNIDAD
COMUNIDAD
COMUNIDAD
COMUNIDAD
COMUNIDAD
COMUNIDAD
COMUNIDAD
COMUNIDAD
COMUNIDAD
COMUNIDAD
COMUNIDAD
COMUNIDAD
COMUNIDAD
COMUNIDAD
COMUNIDAD
COMUNIDAD
COMUNIDAD
COMUNIDAD
COMUNIDAD
COMUNIDAD
COMUNIDAD
COMUNIDAD
COMUNIDAD
COMUNIDAD
COMUNIDAD
COMUNIDAD
COMUNIDAD
COMUNIDAD
COMUNIDAD
COMUNIDAD
COMUNIDAD
COMUNIDAD
COMUNIDAD
COMUNIDAD
COMUNIDAD
COMUNIDAD
COMUNIDAD
COMUNIDAD
COMUNIDAD
COMUNIDAD
COMUNIDAD
COMUNIDAD
COMUNIDAD
COMUNIDAD
COMUNIDAD
COMUNIDAD
COMUNIDAD
COMUNIDAD
COMUNIDAD
COMUNIDAD
COMUNIDAD
COMUNIDAD
COMUNIDAD
COMUNIDAD
COMUNIDAD
COMUNIDAD
COMUNIDAD
COMUNIDAD
COMUNIDAD
COMUNIDAD
COMUNIDAD
COMUNIDAD
COMUNIDAD
COMUNIDAD
COMUNIDAD
COMUNIDAD
COMUNIDAD
COMUNIDAD
COMUNIDAD
COMUNIDAD
COMUNIDAD
COMUNIDAD
COMUNIDAD
COMUNIDAD
COMUNIDAD
COMUNIDAD
COMUNIDAD
COMUNIDAD
COMUNIDAD
COMUNIDAD
COMUNIDAD
COMUNIDAD
COMUNIDAD
COMUNIDAD
COMUNIDAD
COMUNIDAD
COMUNIDAD
COMUNIDAD
COMUNIDAD
COMUNIDAD
COMUNIDAD
COMUNIDAD
COMUNIDAD
COMUNIDAD
COMUNIDAD
COMUNIDAD
COMUNIDAD
COMUNIDAD
COMUNIDAD
COMUNIDAD
COMUNIDAD
COMUNIDAD
COMUNIDAD
COMUNIDAD
COMUNIDAD
COMUNIDAD
COMUNIDAD
COMUNIDAD
COMUNIDAD
COMUNIDAD
COMUNIDAD
COMUNIDAD
COMUNIDAD
COMUNIDAD
COMUNIDAD
COMUNIDAD
COMUNIDAD
COMUNIDAD
COMUNIDAD
COMUNIDAD
COMUNIDAD
COMUNIDAD
COMUNIDAD
COMUNIDAD
COMUNIDAD
COMUNIDAD
COMUNIDAD
COMUNIDAD
COMUNIDAD
COMUNIDAD
COMUNIDAD
COMUNIDAD
COMUNIDAD
COMUNIDAD
COMUNIDAD
COMUNIDAD
COMUNIDAD
COMUNIDAD
COMUNIDAD
COMUNIDAD
COMUNIDAD
COMUNIDAD
COMUNIDAD
COMUNIDAD
COMUNIDAD
COMUNIDAD
COMUNIDAD
COMUNIDAD
COMUNIDAD
COMUNIDAD
COMUNIDAD
COMUNIDAD
COMUNIDAD
COMUNIDAD
COMUNIDAD
COMUNIDAD
COMUNIDAD
COMUNIDAD
COMUNIDAD
COMUNIDAD
COMUNIDAD
COMUNIDAD
COMUNIDAD
COMUNIDAD
COMUNIDAD
COMUNIDAD
COMUNIDAD
COMUNIDAD
COMUNIDAD
COMUNIDAD
COMUNIDAD
COMUNIDAD
COMUNIDAD
COMUNIDAD
COMUNIDAD
COMUNIDAD
COMUNIDAD
COMUNIDAD
COMUNIDAD
COMUNIDAD
COMUNIDAD
COMUNIDAD
COMUNIDAD
COMUNIDAD
COMUNIDAD
COMUNIDAD
COMUNIDAD
COMUNIDAD
COMUNIDAD
COMUNIDAD
COMUNIDAD
COMUNIDAD
COMUNIDAD
COMUNIDAD
COMUNIDAD
COMUNIDAD
COMUNIDAD
COMUNIDAD
COMUNIDAD
COMUNIDAD
COMUNIDAD
COMUNIDAD
COMUNIDAD
COMUNIDAD
COMUNIDAD
COMUNIDAD
COMUNIDAD
COMUNIDAD
COMUNIDAD
COMUNIDAD
COMUNIDAD
COMUNIDAD
COMUNIDAD
COMUNIDAD
COMUNIDAD
COMUNIDAD
COMUNIDAD
COMUNIDAD
COMUNIDAD
COMUNIDAD
COMUNIDAD
COMUNIDAD
COMUNIDAD
COMUNIDAD
COMUNIDAD
COMUNIDAD
COMUNIDAD
COMUNIDAD
COMUNIDAD
COMUNIDAD
COMUNIDAD
COMUNIDAD
COMUNIDAD
COMUNIDAD
COMUNIDAD
COMUNIDAD
COMUNIDAD
COMUNIDAD
COMUNIDAD
COMUNIDAD
COMUNIDAD
COMUNIDAD
COMUNIDAD
COMUNIDAD
COMUNIDAD
COMUNIDAD
COMUNIDAD
COMUNIDAD
COMUNIDAD
COMUNIDAD
COMUNIDAD
COMUNIDAD
COMUNIDAD
COMUNIDAD
COMUNIDAD
COMUNIDAD
COMUNIDAD
COMUNIDAD
COMUNIDAD
COMUNIDAD
COMUNIDAD
COMUNIDAD
COMUNIDAD
COMUNIDAD
COMUNIDAD
COMUNIDAD
COMUNIDAD
COMUNIDAD
COMUNIDAD
COMUNIDAD
COMUNIDAD
COMUNIDAD
COMUNIDAD
COMUNIDAD
COMUNIDAD
COMUNIDAD
COMUNIDAD
COMUNIDAD
COMUNIDAD
COMUNIDAD
COMUNIDAD
COMUNIDAD
COMUNIDAD
COMUNIDAD
COMUNIDAD
COMUNIDAD
COMUNIDAD
COMUNIDAD
COMUNIDAD
COMUNIDAD
COMUNIDAD
COMUNIDAD
COMUNIDAD
COMUNIDAD
COMUNIDAD
COMUNIDAD
COMUNIDAD
COMUNIDAD
COMUNIDAD
COMUNIDAD
COMUNIDAD
COMUNIDAD
COMUNIDAD
COMUNIDAD
COMUNIDAD
COMUNIDAD
COMUNIDAD
COMUNIDAD
COMUNIDAD
COMUNIDAD
COMUNIDAD
COMUNIDAD
COMUNIDAD
COMUNIDAD
COMUNIDAD
COMUNIDAD
COMUNIDAD
COMUNIDAD
COMUNIDAD
COMUNIDAD
COMUNIDAD
COMUNIDAD
COMUNIDAD
COMUNIDAD
COMUNIDAD
COMUNIDAD
COMUNIDAD
COMUNIDAD
COMUNIDAD
COMUNIDAD
COMUNIDAD
COMUNIDAD
COMUNIDAD
COMUNIDAD
COMUNIDAD
COMUNIDAD
COMUNIDAD
COMUNIDAD
COMUNIDAD
COMUNIDAD
COMUNIDAD
COMUNIDAD
COMUNIDAD
COMUNIDAD
COMUNIDAD
COMUNIDAD
COMUNIDAD
COMUNIDAD
COMUNIDAD
COMUNIDAD
COMUNIDAD
COMUNIDAD
COMUNIDAD
COMUNIDAD
COMUNIDAD
COMUNIDAD
COMUNIDAD
COMUNIDAD
COMUNIDAD
COMUNIDAD
COMUNIDAD
COMUNIDAD
COMUNIDAD
COMUNIDAD
COMUNIDAD
COMUNIDAD
COMUNIDAD
COMUNIDAD
COMUNIDAD
COMUNIDAD
COMUNIDAD
COMUNIDAD
COMUNIDAD
COMUNIDAD
COMUNIDAD
COMUNIDAD
COMUNIDAD
COMUNIDAD
COMUNIDAD
COMUNIDAD
COMUNIDAD
COMUNIDAD
COMUNIDAD
COMUNIDAD
COMUNIDAD
COMUNIDAD
COMUNIDAD
COMUNIDAD
COMUNIDAD
COMUNIDAD
COMUNIDAD
COMUNIDAD
COMUNIDAD
COMUNIDAD
COMUNIDAD
COMUNIDAD
COMUNIDAD
COMUNIDAD
COMUNIDAD
COMUNIDAD
COMUNIDAD
COMUNIDAD
COMUNIDAD
COMUNIDAD
COMUNIDAD
COMUNIDAD
COMUNIDAD
COMUNIDAD
COMUNIDAD
COMUNIDAD
COMUNIDAD
COMUNIDAD
COMUNIDAD
COMUNIDAD
COMUNIDAD
COMUNIDAD
COMUNIDAD
COMUNIDAD
COMUNIDAD
COMUNIDAD
COMUNIDAD
COMUNIDAD
COMUNIDAD
COMUNIDAD
COMUNIDAD
COMUNIDAD
COMUNIDAD
COMUNIDAD
COMUNIDAD
COMUNIDAD
COMUNIDAD
COMUNIDAD
COMUNIDAD
COMUNIDAD
COMUNIDAD
COMUNIDAD
COMUNIDAD
COMUNIDAD
COMUNIDAD
COMUNIDAD
COMUNIDAD
COMUNIDAD
COMUNIDAD
COMUNIDAD
COMUNIDAD
COMUNIDAD
COMUNIDAD
COMUNIDAD
COMUNIDAD
COMUNIDAD
COMUNIDAD
COMUNIDAD
COMUNIDAD
COMUNIDAD
COMUNIDAD
COMUNIDAD
COMUNIDAD
COMUNIDAD
COMUNIDAD
COMUNIDAD
COMUNIDAD
COMUNIDAD
COMUNIDAD
COMUNIDAD
COMUNIDAD
COMUNIDAD
COMUNIDAD
COMUNIDAD
COMUNIDAD
COMUNIDAD
COMUNIDAD
COMUNIDAD
COMUNIDAD
COMUNIDAD
COMUNIDAD
COMUNIDAD
COMUNIDAD
COMUNIDAD
COMUNIDAD
COMUNIDAD
COMUNIDAD
COMUNIDAD
COMUNIDAD
COMUNIDAD
COMUNIDAD
COMUNIDAD
COMUNIDAD
COMUNIDAD
COMUNIDAD
COMUNIDAD
COMUNIDAD
COMUNIDAD
COMUNIDAD
COMUNIDAD
COMUNIDAD
COMUNIDAD
COMUNIDAD
COMUNIDAD
COMUNIDAD
COMUNIDAD
COMUNIDAD
COMUNIDAD
COMUNIDAD
COMUNIDAD
COMUNIDAD
COMUNIDAD
COMUNIDAD
COMUNIDAD
COMUNIDAD
COMUNIDAD
COMUNIDAD
COMUNIDAD
COMUNIDAD
COMUNIDAD
COMUNIDAD
COMUNIDAD
COMUNIDAD
COMUNIDAD
COMUNIDAD
COMUNIDAD
COMUNIDAD
COMUNIDAD
COMUNIDAD
COMUNIDAD
COMUNIDAD
COMUNIDAD
COMUNIDAD
COMUNIDAD
COMUNIDAD
COMUNIDAD
COMUNIDAD
COMUNIDAD
COMUNIDAD
COMUNIDAD
COMUNIDAD
COMUNIDAD
COMUNIDAD
COMUNIDAD
COMUNIDAD
COMUNIDAD
COMUNIDAD
COMUNIDAD
COMUNIDAD
COMUNIDAD
COMUNIDAD
COMUNIDAD
COMUNIDAD
COMUNIDAD
COMUNIDAD
COMUNIDAD
COMUNIDAD
COMUNIDAD
COMUNIDAD
COMUNIDAD
COMUNIDAD
COMUNIDAD
COMUNIDAD
COMUNIDAD
COMUNIDAD
COMUNIDAD
COMUNIDAD
COMUNIDAD
COMUNIDAD
COMUNIDAD
COMUNIDAD
COMUNIDAD
COMUNIDAD
COMUNIDAD
COMUNIDAD
COMUNIDAD
COMUNIDAD
COMUNIDAD
COMUNIDAD
COMUNIDAD
COMUNIDAD
COMUNIDAD
COMUNIDAD
COMUNIDAD
COMUNIDAD
COMUNIDAD
COMUNIDAD
COMUNIDAD
COMUNIDAD
COMUNIDAD
COMUNIDAD
COMUNIDAD
COMUNIDAD
COMUNIDAD
COMUNIDAD
COMUNIDAD
COMUNIDAD
COMUNIDAD
COMUNIDAD
COMUNIDAD
COMUNIDAD
COMUNIDAD
COMUNIDAD
COMUNIDAD
COMUNIDAD
COMUNIDAD
COMUNIDAD
COMUNIDAD
COMUNIDAD
COMUNIDAD
COMUNIDAD
COMUNIDAD
COMUNIDAD
COMUNIDAD
COMUNIDAD
COMUNIDAD
COMUNIDAD
COMUNIDAD
COMUNIDAD
COMUNIDAD
COMUNIDAD
COMUNIDAD
COMUNIDAD
COMUNIDAD
COMUNIDAD
COMUNIDAD
COMUNIDAD
COMUNIDAD
COMUNIDAD
COMUNIDAD
COMUNIDAD
COMUNIDAD
COMUNIDAD
COMUNIDAD
COMUNIDAD
COMUNIDAD
COMUNIDAD
COMUNIDAD
COMUNIDAD
COMUNIDAD
COMUNIDAD
COMUNIDAD
COMUNIDAD
COMUNIDAD
COMUNIDAD
COMUNIDAD
COMUNIDAD
COMUNIDAD
COMUNIDAD
COMUNIDAD
COMUNIDAD
COMUNIDAD
COMUNIDAD
COMUNIDAD
COMUNIDAD
COMUNIDAD
COMUNIDAD
COMUNIDAD
COMUNIDAD
COMUNIDAD
COMUNIDAD
COMUNIDAD
COMUNIDAD
COMUNIDAD
COMUNIDAD
COMUNIDAD
COMUNIDAD
COMUNIDAD
COMUNIDAD
COMUNIDAD
COMUNIDAD
COMUNIDAD
COMUNIDAD
COMUNIDAD
COMUNIDAD
COMUNIDAD
COMUNIDAD
COMUNIDAD
COMUNIDAD
COMUNIDAD
COMUNIDAD
COMUNIDAD
COMUNIDAD
COMUNIDAD
COMUNIDAD
COMUNIDAD
COMUNIDAD
COMUNIDAD
COMUNIDAD
COMUNIDAD
COMUNIDAD
COMUNIDAD
COMUNIDAD
COMUNIDAD
COMUNIDAD
COMUNIDAD
COMUNIDAD
COMUNIDAD
COMUNIDAD
COMUNIDAD
COMUNIDAD
COMUNIDAD
COMUNIDAD
COMUNIDAD
COMUNIDAD
COMUNIDAD
COMUNIDAD
COMUNIDAD
COMUNIDAD
COMUNIDAD
COMUNIDAD
COMUNIDAD
COMUNIDAD
COMUNIDAD
COMUNIDAD
COMUNIDAD
COMUNIDAD
COMUNIDAD
COMUNIDAD
COMUNIDAD
COMUNIDAD
COMUNIDAD
COMUNIDAD
COMUNIDAD
COMUNIDAD
COMUNIDAD
COMUNIDAD
COMUNIDAD
COMUNIDAD
COMUNIDAD
COMUNIDAD
COMUNIDAD
COMUNIDAD
COMUNIDAD
COMUNIDAD
COMUNIDAD
COMUNIDAD
COMUNIDAD
COMUNIDAD
COMUNIDAD
COMUNIDAD
COMUNIDAD
COMUNIDAD
COMUNIDAD
COMUNIDAD
COMUNIDAD
COMUNIDAD
COMUNIDAD
COMUNIDAD
COMUNIDAD
COMUNIDAD
COMUNIDAD
COMUNIDAD
COMUNIDAD
COMUNIDAD
COMUNIDAD
COMUNIDAD
COMUNIDAD
COMUNIDAD
COMUNIDAD
COMUNIDAD
COMUNIDAD
COMUNIDAD
COMUNIDAD
COMUNIDAD
COMUNIDAD
COMUNIDAD
COMUNIDAD
COMUNIDAD
COMUNIDAD
COMUNIDAD
COMUNIDAD
COMUNIDAD
COMUNIDAD
COMUNIDAD
COMUNIDAD
COMUNIDAD
COMUNIDAD
COMUNIDAD
COMUNIDAD
COMUNIDAD
COMUNIDAD
COMUNIDAD
COMUNIDAD
COMUNIDAD
COMUNIDAD
COMUNIDAD
COMUNIDAD
COMUNIDAD
COMUNIDAD
COMUNIDAD
COMUNIDAD
COMUNIDAD
COMUNIDAD
COMUNIDAD
COMUNIDAD
COMUNIDAD
COMUNIDAD
COMUNIDAD
COMUNIDAD
COMUNIDAD
COMUNIDAD
COMUNIDAD
COMUNIDAD
COMUNIDAD
COMUNIDAD
COMUNIDAD
COMUNIDAD
COMUNIDAD
COMUNIDAD
COMUNIDAD
COMUNIDAD
COMUNIDAD
COMUNIDAD
COMUNIDAD
COMUNIDAD
COMUNIDAD
COMUNIDAD
COMUNIDAD
COMUNIDAD
COMUNIDAD
COMUNIDAD
COMUNIDAD
COMUNIDAD
COMUNIDAD
COMUNIDAD
COMUNIDAD
COMUNIDAD
COMUNIDAD
COMUNIDAD
COMUNIDAD
COMUNIDAD
COMUNIDAD
COMUNIDAD
COMUNIDAD
COMUNIDAD
COMUNIDAD
COMUNIDAD
COMUNIDAD
COMUNIDAD
COMUNIDAD
COMUNIDAD
COMUNIDAD
COMUNIDAD
COMUNIDAD
COMUNIDAD
COMUNIDAD
COMUNIDAD
COMUNIDAD
COMUNIDAD
COMUNIDAD
COMUNIDAD
COMUNIDAD
COMUNIDAD
COMUNIDAD
COMUNIDAD
COMUNIDAD
COMUNIDAD
COMUNIDAD
COMUNIDAD
COMUNIDAD
COMUNIDAD
COMUNIDAD
COMUNIDAD
COMUNIDAD
COMUNIDAD
COMUNIDAD
COMUNIDAD
COMUNIDAD
COMUNIDAD
COMUNIDAD
COMUNIDAD
COMUNIDAD
COMUNIDAD
COMUNIDAD
COMUNIDAD
COMUNIDAD
COMUNIDAD
COMUNIDAD
COMUNIDAD
COMUNIDAD
COMUNIDAD
COMUNIDAD
COMUNIDAD
COMUNIDAD
COMUNIDAD
COMUNIDAD
COMUNIDAD
COMUNIDAD
COMUNIDAD
COMUNIDAD
COMUNIDAD
COMUNIDAD
COMUNIDAD
COMUNIDAD
COMUNIDAD
COMUNIDAD
COMUNIDAD
COMUNIDAD
COMUNIDAD
COMUNIDAD
COMUNIDAD
COMUNIDAD
COMUNIDAD
COMUNIDAD
COMUNIDAD
COMUNIDAD
COMUNIDAD
COMUNIDAD
COMUNIDAD
COMUNIDAD
COMUNIDAD
COMUNIDAD
COMUNIDAD
COMUNIDAD
COMUNIDAD
COMUNIDAD
COMUNIDAD
COMUNIDAD
COMUNIDAD
COMUNIDAD
COMUNIDAD
COMUNIDAD
COMUNIDAD
COMUNIDAD
COMUNIDAD
COMUNIDAD
COMUNIDAD
COMUNIDAD
COMUNIDAD
COMUNIDAD
COMUNIDAD
COMUNIDAD
COMUNIDAD
COMUNIDAD
COMUNIDAD
COMUNIDAD
COMUNIDAD
COMUNIDAD
COMUNIDAD
COMUNIDAD
COMUNIDAD
COMUNIDAD
COMUNIDAD
COMUNIDAD
COMUNIDAD
COMUNIDAD
COMUNIDAD
COMUNIDAD
COMUNIDAD
COMUNIDAD
COMUNIDAD
COMUNIDAD
COMUNIDAD
COMUNIDAD
COMUNIDAD
COMUNIDAD
COMUNIDAD
COMUNIDAD
COMUNIDAD
COMUNIDAD
COMUNIDAD
COMUNIDAD
COMUNIDAD
COMUNIDAD
COMUNIDAD
COMUNIDAD
COMUNIDAD
COMUNIDAD
COMUNIDAD
COMUNIDAD
COMUNIDAD
COMUNIDAD
COMUNIDAD
COMUNIDAD
COMUNIDAD
COMUNIDAD
COMUNIDAD
COMUNIDAD
COMUNIDAD
COMUNIDAD
COMUNIDAD
COMUNIDAD
COMUNIDAD
COMUNIDAD
COMUNIDAD
COMUNIDAD
COMUNIDAD
COMUNIDAD
COMUNIDAD
COMUNIDAD
COMUNIDAD
COMUNIDAD
COMUNIDAD
COMUNIDAD
COMUNIDAD
COMUNIDAD
COMUNIDAD
COMUNIDAD
COMUNIDAD
COMUNIDAD
COMUNIDAD
COMUNIDAD
COMUNIDAD
COMUNIDAD
COMUNIDAD
COMUNIDAD
COMUNIDAD
COMUNIDAD
COMUNIDAD
COMUNIDAD
COMUNIDAD
COMUNIDAD
COMUNIDAD
COMUNIDAD
COMUNIDAD
COMUNIDAD
COMUNIDAD
COMUNIDAD
COMUNIDAD
COMUNIDAD
COMUNIDAD
COMUNIDAD
COMUNIDAD
COMUNIDAD
COMUNIDAD
COMUNIDAD
COMUNIDAD
COMUNIDAD
COMUNIDAD
COMUNIDAD
COMUNIDAD
COMUNIDAD
COMUNIDAD
COMUNIDAD
COMUNIDAD
COMUNIDAD
COMUNIDAD
COMUNIDAD
COMUNIDAD
COMUNIDAD
COMUNIDAD
COMUNIDAD
COMUNIDAD
COMUNIDAD
COMUNIDAD
COMUNIDAD
COMUNIDAD
COMUNIDAD
COMUNIDAD
COMUNIDAD
COMUNIDAD
COMUNIDAD
COMUNIDAD
COMUNIDAD
COMUNIDAD
COMUNIDAD
COMUNIDAD
COMUNIDAD
COMUNIDAD
COMUNIDAD
COMUNIDAD
COMUNIDAD
COMUNIDAD
COMUNIDAD
COMUNIDAD
COMUNIDAD
COMUNIDAD
COMUNIDAD
COMUNIDAD
COMUNIDAD
COMUNIDAD
COMUNIDAD
COMUNIDAD
COMUNIDAD
COMUNIDAD
COMUNIDAD
COMUNIDAD
COMUNIDAD
COMUNIDAD
COMUNIDAD
COMUNIDAD
COMUNIDAD
COMUNIDAD
COMUNIDAD
COMUNIDAD
COMUNIDAD
COMUNIDAD
COMUNIDAD
COMUNIDAD
COMUNIDAD
COMUNIDAD
COMUNIDAD
COMUNIDAD
COMUNIDAD
COMUNIDAD
COMUNIDAD
COMUNIDAD
COMUNIDAD
COMUNIDAD
COMUNIDAD
COMUNIDAD
COMUNIDAD
COMUNIDAD
COMUNIDAD
COMUNIDAD
COMUNIDAD
COMUNIDAD
COMUNIDAD
COMUNIDAD
COMUNIDAD
COMUNIDAD
COMUNIDAD
COMUNIDAD
COMUNIDAD
COMUNIDAD
COMUNIDAD
COMUNIDAD
COMUNIDAD
COMUNIDAD
COMUNIDAD
COMUNIDAD
COMUNIDAD
COMUNIDAD
COMUNIDAD
COMUNIDAD
COMUNIDAD
COMUNIDAD
COMUNIDAD
COMUNIDAD
COMUNIDAD
COMUNIDAD
COMUNIDAD
COMUNIDAD
COMUNIDAD
COMUNIDAD
COMUNIDAD
COMUNIDAD
COMUNIDAD
COMUNIDAD
COMUNIDAD
COMUNIDAD
COMUNIDAD
COMUNIDAD
COMUNIDAD
COMUNIDAD
COMUNIDAD
COMUNIDAD
COMUNIDAD
COMUNIDAD
COMUNIDAD
COMUNIDAD
COMUNIDAD
COMUNIDAD
COMUNIDAD
COMUNIDAD
COMUNIDAD
COMUNIDAD
COMUNIDAD
COMUNIDAD
COMUNIDAD
COMUNIDAD
COMUNIDAD
COMUNIDAD
COMUNIDAD
COMUNIDAD
COMUNIDAD
COMUNIDAD
COMUNIDAD
COMUNIDAD
COMUNIDAD
COMUNIDAD
COMUNIDAD
COMUNIDAD
COMUNIDAD
COMUNIDAD
COMUNIDAD
COMUNIDAD
COMUNIDAD
COMUNIDAD
COMUNIDAD
COMUNIDAD
COMUNIDAD
COMUNIDAD
COMUNIDAD
COMUNIDAD
COMUNIDAD
COMUNIDAD
COMUNIDAD
COMUNIDAD
COMUNIDAD
COMUNIDAD
COMUNIDAD
COMUNIDAD
COMUNIDAD
COMUNIDAD
COMUNIDAD
COMUNIDAD
COMUNIDAD
COMUNIDAD
COMUNIDAD
COMUNIDAD
COMUNIDAD
COMUNIDAD
COMUNIDAD
COMUNIDAD
COMUNIDAD
COMUNIDAD
COMUNIDAD
COMUNIDAD
COMUNIDAD
COMUNIDAD
COMUNIDAD
COMUNIDAD
COMUNIDAD
COMUNIDAD
COMUNIDAD
COMUNIDAD
COMUNIDAD
COMUNIDAD
COMUNIDAD
COMUNIDAD
COMUNIDAD
COMUNIDAD
COMUNIDAD
COMUNIDAD
COMUNIDAD
COMUNIDAD
COMUNIDAD
COMUNIDAD
COMUNIDAD
COMUNIDAD
COMUNIDAD
COMUNIDAD
COMUNIDAD
COMUNIDAD
COMUNIDAD
COMUNIDAD
COMUNIDAD
COMUNIDAD
COMUNIDAD
COMUNIDAD
COMUNIDAD
COMUNIDAD
COMUNIDAD
COMUNIDAD
COMUNIDAD
COMUNIDAD
COMUNIDAD
COMUNIDAD
COMUNIDAD
COMUNIDAD
COMUNIDAD
COMUNIDAD
COMUNIDAD
COMUNIDAD
COMUNIDAD
COMUNIDAD
COMUNIDAD
COMUNIDAD
COMUNIDAD
COMUNIDAD
COMUNIDAD
COMUNIDAD
COMUNIDAD
COMUNIDAD
COMUNIDAD
COMUNIDAD
COMUNIDAD
COMUNIDAD
COMUNIDAD
COMUNIDAD
COMUNIDAD
COMUNIDAD
COMUNIDAD
COMUNIDAD
COMUNIDAD
COMUNIDAD
COMUNIDAD
COMUNIDAD
COMUNIDAD
COMUNIDAD
COMUNIDAD
COMUNIDAD
COMUNIDAD
COMUNIDAD
COMUNIDAD
COMUNIDAD
COMUNIDAD
COMUNIDAD
COMUNIDAD
COMUNIDAD
COMUNIDAD
COMUNIDAD
COMUNIDAD
COMUNIDAD
COMUNIDAD
COMUNIDAD
COMUNIDAD
COMUNIDAD
COMUNIDAD
COMUNIDAD
COMUNIDAD
COMUNIDAD
COMUNIDAD
COMUNIDAD
COMUNIDAD
COMUNIDAD
COMUNIDAD
COMUNIDAD
COMUNIDAD
COMUNIDAD
COMUNIDAD
COMUNIDAD
COMUNIDAD
COMUNIDAD
COMUNIDAD
COMUNIDAD
COMUNIDAD
COMUNIDAD
COMUNIDAD
COMUNIDAD
COMUNIDAD
COMUNIDAD
COMUNIDAD
COMUNIDAD
COMUNIDAD
COMUNIDAD
COMUNIDAD
COMUNIDAD
COMUNIDAD
COMUNIDAD
COMUNIDAD
COMUNIDAD
COMUNIDAD
COMUNIDAD
COMUNIDAD
COMUNIDAD
COMUNIDAD
COMUNIDAD
COMUNIDAD
COMUNIDAD
COMUNIDAD
COMUNIDAD
COMUNIDAD
COMUNIDAD
COMUNIDAD
COMUNIDAD
COMUNIDAD
COMUNIDAD
COMUNIDAD
COMUNIDAD
COMUNIDAD
COMUNIDAD
COMUNIDAD
COMUNIDAD
COMUNIDAD
COMUNIDAD
COMUNIDAD
COMUNIDAD
COMUNIDAD
COMUNIDAD
COMUNIDAD
COMUNIDAD
COMUNIDAD
COMUNIDAD
COMUNIDAD
COMUNIDAD
COMUNIDAD
COMUNIDAD
COMUNIDAD
COMUNIDAD
COMUNIDAD
COMUNIDAD
COMUNIDAD
COMUNIDAD
COMUNIDAD
COMUNIDAD
COMUNIDAD
COMUNIDAD
COMUNIDAD
COMUNIDAD
COMUNIDAD
COMUNIDAD
COMUNIDAD
COMUNIDAD
COMUNIDAD
COMUNIDAD
COMUNIDAD
COMUNIDAD
COMUNIDAD
COMUNIDAD
COMUNIDAD
COMUNIDAD
COMUNIDAD
COMUNIDAD
COMUNIDAD
COMUNIDAD
COMUNIDAD
COMUNIDAD
COMUNIDAD
COMUNIDAD
COMUNIDAD
COMUNIDAD
COMUNIDAD
COMUNIDAD
COMUNIDAD
COMUNIDAD
COMUNIDAD
COMUNIDAD
COMUNIDAD
COMUNIDAD
COMUNIDAD
COMUNIDAD
COMUNIDAD
COMUNIDAD
COMUNIDAD
COMUNIDAD
COMUNIDAD
COMUNIDAD
COMUNIDAD
COMUNIDAD
COMUNIDAD
COMUNIDAD
COMUNIDAD
COMUNIDAD
COMUNIDAD
COMUNIDAD
COMUNIDAD
COMUNIDAD
COMUNIDAD
COMUNIDAD
COMUNIDAD
COMUNIDAD
COMUNIDAD
COMUNIDAD
COMUNIDAD
COMUNIDAD
COMUNIDAD
COMUNIDAD
COMUNIDAD
COMUNIDAD
COMUNIDAD
COMUNIDAD
COMUNIDAD
COMUNIDAD
COMUNIDAD
COMUNIDAD
COMUNIDAD
COMUNIDAD
COMUNIDAD
COMUNIDAD
COMUNIDAD
COMUNIDAD
COMUNIDAD
COMUNIDAD
COMUNIDAD
COMUNIDAD
COMUNIDAD
COMUNIDAD
COMUNIDAD
COMUNIDAD
COMUNIDAD
COMUNIDAD
COMUNIDAD
COMUNIDAD
COMUNIDAD
COMUNIDAD
COMUNIDAD
COMUNIDAD
COMUNIDAD
COMUNIDAD
COMUNIDAD
COMUNIDAD
COMUNIDAD
COMUNIDAD
COMUNIDAD
COMUNIDAD
COMUNIDAD
COMUNIDAD
COMUNIDAD
COMUNIDAD
COMUNIDAD
COMUNIDAD
COMUNIDAD
COMUNIDAD
COMUNIDAD
COMUNIDAD
COMUNIDAD
COMUNIDAD
COMUNIDAD
COMUNIDAD
COMUNIDAD
COMUNIDAD
COMUNIDAD
COMUNIDAD
COMUNIDAD
COMUNIDAD
COMUNIDAD
COMUNIDAD
COMUNIDAD
COMUNIDAD
COMUNIDAD
COMUNIDAD
COMUNIDAD
COMUNIDAD
COMUNIDAD
COMUNIDAD
COMUNIDAD
COMUNIDAD
COMUNIDAD
COMUNIDAD
COMUNIDAD
COMUNIDAD
COMUNIDAD
COMUNIDAD
COMUNIDAD
COMUNIDAD
COMUNIDAD
COMUNIDAD
COMUNIDAD
COMUNIDAD
COMUNIDAD
COMUNIDAD
COMUNIDAD
COMUNIDAD
COMUNIDAD
COMUNIDAD
COMUNIDAD
COMUNIDAD
COMUNIDAD
COMUNIDAD
COMUNIDAD
COMUNIDAD
COMUNIDAD
COMUNIDAD
COMUNIDAD
COMUNIDAD
COMUNIDAD
COMUNIDAD
COMUNIDAD
COMUNIDAD
COMUNIDAD
COMUNIDAD
COMUNIDAD
COMUNIDAD
COMUNIDAD
COMUNIDAD
COMUNIDAD
COMUNIDAD
COMUNIDAD
COMUNIDAD
COMUNIDAD
COMUNIDAD
COMUNIDAD
COMUNIDAD
COMUNIDAD
COMUNIDAD
COMUNIDAD
COMUNIDAD
COMUNIDAD
COMUNIDAD
COMUNIDAD
COMUNIDAD
COMUNIDAD
COMUNIDAD
COMUNIDAD
COMUNIDAD
COMUNIDAD
COMUNIDAD
COMUNIDAD
COMUNIDAD
COMUNIDAD
COMUNIDAD
COMUNIDAD
COMUNIDAD
COMUNIDAD
COMUNIDAD
COMUNIDAD
COMUNIDAD
COMUNIDAD
COMUNIDAD
COMUNIDAD
COMUNIDAD
COMUNIDAD
COMUNIDAD
COMUNIDAD
COMUNIDAD
COMUNIDAD
COMUNIDAD
COMUNIDAD
COMUNIDAD
COMUNIDAD
COMUNIDAD
COMUNIDAD
COMUNIDAD
COMUNIDAD
COMUNIDAD
COMUNIDAD
COMUNIDAD
COMUNIDAD
COMUNIDAD
COMUNIDAD
COMUNIDAD
COMUNIDAD
COMUNIDAD
COMUNIDAD
COMUNIDAD
COMUNIDAD
COMUNIDAD
COMUNIDAD
COMUNIDAD
COMUNIDAD
COMUNIDAD
COMUNIDAD
COMUNIDAD
COMUNIDAD
COMUNIDAD
COMUNIDAD
COMUNIDAD
COMUNIDAD
COMUNIDAD
COMUNIDAD
COMUNIDAD
COMUNIDAD
COMUNIDAD
COMUNIDAD
COMUNIDAD
COMUNIDAD
COMUNIDAD
COMUNIDAD
COMUNIDAD
COMUNIDAD
COMUNIDAD
COMUNIDAD
COMUNIDAD
COMUNIDAD
COMUNIDAD
COMUNIDAD
COMUNIDAD
COMUNIDAD
COMUNIDAD
COMUNIDAD
COMUNIDAD
COMUNIDAD
COMUNIDAD
COMUNIDAD
COMUNIDAD
COMUNIDAD
COMUNIDAD
COMUNIDAD
COMUNIDAD
COMUNIDAD
COMUNIDAD
COMUNIDAD
COMUNIDAD
COMUNIDAD
COMUNIDAD
COMUNIDAD
COMUNIDAD
COMUNIDAD
COMUNIDAD
COMUNIDAD
COMUNIDAD
COMUNIDAD
COMUNIDAD
COMUNIDAD
COMUNIDAD
COMUNIDAD
COMUNIDAD
COMUNIDAD
COMUNIDAD
COMUNIDAD
COMUNIDAD
COMUNIDAD
COMUNIDAD
COMUNIDAD
COMUNIDAD
COMUNIDAD
COMUNIDAD
COMUNIDAD
COMUNIDAD
COMUNIDAD
COMUNIDAD
COMUNIDAD
COMUNIDAD
COMUNIDAD
COMUNIDAD
COMUNIDAD
COMUNIDAD
COMUNIDAD
COMUNIDAD
COMUNIDAD
COMUNIDAD
COMUNIDAD
COMUNIDAD
COMUNIDAD
COMUNIDAD
COMUNIDAD
COMUNIDAD
COMUNIDAD
COMUNIDAD
COMUNIDAD
COMUNIDAD
COMUNIDAD
COMUNIDAD
COMUNIDAD
COMUNIDAD
COMUNIDAD
COMUNIDAD
COMUNIDAD
COMUNIDAD
COMUNIDAD
COMUNIDAD
COMUNIDAD
COMUNIDAD
COMUNIDAD
COMUNIDAD
COMUNIDAD
COMUNIDAD
COMUNIDAD
COMUNIDAD
COMUNIDAD
COMUNIDAD
COMUNIDAD
COMUNIDAD
COMUNIDAD
COMUNIDAD
COMUNIDAD
COMUNIDAD
COMUNIDAD
COMUNIDAD
COMUNIDAD
COMUNIDAD
COMUNIDAD
COMUNIDAD
COMUNIDAD
COMUNIDAD
COMUNIDAD
COMUNIDAD
COMUNIDAD
COMUNIDAD
COMUNIDAD
COMUNIDAD
COMUNIDAD
COMUNIDAD
COMUNIDAD
COMUNIDAD
COMUNIDAD
COMUNIDAD
COMUNIDAD
COMUNIDAD
COMUNIDAD
COMUNIDAD
COMUNIDAD
COMUNIDAD
COMUNIDAD
COMUNIDAD
COMUNIDAD
COMUNIDAD
COMUNIDAD
COMUNIDAD
COMUNIDAD
COMUNIDAD
COMUNIDAD
COMUNIDAD
COMUNIDAD
COMUNIDAD
COMUNIDAD
COMUNIDAD
COMUNIDAD
COMUNIDAD
COMUNIDAD
COMUNIDAD
COMUNIDAD
COMUNIDAD
COMUNIDAD
COMUNIDAD
COMUNIDAD
COMUNIDAD
COMUNIDAD
COMUNIDAD
COMUNIDAD
COMUNIDAD
COMUNIDAD
COMUNIDAD
COMUNIDAD
COMUNIDAD
COMUNIDAD
COMUNIDAD
COMUNIDAD
COMUNIDAD
COMUNIDAD
COMUNIDAD
COMUNIDAD
COMUNIDAD
COMUNIDAD
COMUNIDAD
COMUNIDAD
COMUNIDAD
COMUNIDAD
COMUNIDAD
COMUNIDAD
COMUNIDAD
COMUNIDAD
COMUNIDAD
COMUNIDAD
COMUNIDAD
COMUNIDAD
COMUNIDAD
COMUNIDAD
COMUNIDAD
COMUNIDAD
COMUNIDAD
COMUNIDAD
COMUNIDAD
COMUNIDAD
COMUNIDAD
COMUNIDAD
COMUNIDAD
COMUNIDAD
COMUNIDAD
COMUNIDAD
COMUNIDAD
COMUNIDAD
COMUNIDAD
COMUNIDAD
COMUNIDAD
COMUNIDAD
COMUNIDAD
COMUNIDAD
COMUNIDAD
COMUNIDAD
COMUNIDAD
COMUNIDAD
COMUNIDAD
COMUNIDAD
COMUNIDAD
COMUNIDAD
COMUNIDAD
COMUNIDAD
COMUNIDAD
COMUNIDAD
COMUNIDAD
COMUNIDAD
COMUNIDAD
COMUNIDAD
COMUNIDAD
COMUNIDAD
COMUNIDAD
COMUNIDAD
COMUNIDAD
COMUNIDAD
COMUNIDAD
COMUNIDAD
COMUNIDAD
COMUNIDAD
COMUNIDAD
COMUNIDAD
COMUNIDAD
COMUNIDAD
COMUNIDAD
COMUNIDAD
COMUNIDAD
COMUNIDAD
COMUNIDAD
COMUNIDAD
COMUNIDAD
COMUNIDAD
COMUNIDAD
COMUNIDAD
COMUNIDAD
COMUNIDAD
COMUNIDAD
COMUNIDAD
COMUNIDAD
COMUNIDAD
COMUNIDAD
COMUNIDAD
COMUNIDAD
COMUNIDAD
COMUNIDAD
COMUNIDAD
COMUNIDAD
COMUNIDAD
COMUNIDAD
COMUNIDAD
COMUNIDAD
COMUNIDAD
COMUNIDAD
COMUNIDAD
COMUNIDAD
COMUNIDAD
COMUNIDAD
COMUNIDAD
COMUNIDAD
COMUNIDAD
COMUNIDAD
COMUNIDAD
COMUNIDAD
COMUNIDAD
COMUNIDAD
COMUNIDAD
COMUNIDAD
COMUNIDAD
COMUNIDAD
COMUNIDAD
COMUNIDAD
COMUNIDAD
COMUNIDAD
COMUNIDAD
COMUNIDAD
COMUNIDAD
COMUNIDAD
COMUNIDAD
COMUNIDAD
COMUNIDAD
COMUNIDAD
COMUNIDAD
COMUNIDAD
COMUNIDAD
COMUNIDAD
COMUNIDAD
COMUNIDAD
COMUNIDAD
COMUNIDAD
COMUNIDAD
COMUNIDAD
COMUNIDAD
COMUNIDAD
COMUNIDAD
COMUNIDAD
COMUNIDAD
COMUNIDAD
COMUNIDAD
COMUNIDAD
COMUNIDAD
COMUNIDAD
COMUNIDAD
COMUNIDAD
COMUNIDAD
COMUNIDAD
COMUNIDAD
COMUNIDAD
COMUNIDAD
COMUNIDAD
COMUNIDAD
COMUNIDAD
COMUNIDAD
COMUNIDAD
COMUNIDAD
COMUNIDAD
COMUNIDAD
COMUNIDAD
COMUNIDAD
COMUNIDAD
COMUNIDAD
COMUNIDAD
COMUNIDAD
COMUNIDAD
COMUNIDAD
COMUNIDAD
COMUNIDAD
COMUNIDAD
COMUNIDAD
COMUNIDAD
COMUNIDAD
COMUNIDAD
COMUNIDAD
COMUNIDAD
COMUNIDAD
COMUNIDAD
COMUNIDAD
COMUNIDAD
COMUNIDAD
COMUNIDAD
COMUNIDAD
COMUNIDAD
COMUNIDAD
COMUNIDAD
COMUNIDAD
COMUNIDAD
COMUNIDAD
COMUNIDAD
COMUNIDAD
COMUNIDAD
COMUNIDAD
COMUNIDAD
COMUNIDAD
COMUNIDAD
COMUNIDAD
COMUNIDAD
COMUNIDAD
COMUNIDAD
COMUNIDAD
COMUNIDAD
COMUNIDAD
COMUNIDAD
COMUNIDAD
COMUNIDAD
COMUNIDAD
COMUNIDAD
COMUNIDAD
COMUNIDAD
COMUNIDAD
COMUNIDAD
COMUNIDAD
COMUNIDAD
COMUNIDAD
COMUNIDAD
COMUNIDAD
COMUNIDAD
COMUNIDAD
COMUNIDAD
COMUNIDAD
COMUNIDAD
COMUNIDAD
COMUNIDAD
COMUNIDAD
COMUNIDAD
COMUNIDAD
COMUNIDAD
COMUNIDAD
COMUNIDAD
COMUNIDAD
COMUNIDAD
COMUNIDAD
COMUNIDAD
COMUNIDAD
COMUNIDAD
COMUNIDAD
COMUNIDAD
COMUNIDAD
COMUNIDAD
COMUNIDAD
COMUNIDAD
COMUNIDAD
COMUNIDAD
COMUNIDAD
COMUNIDAD
COMUNIDAD
COMUNIDAD
COMUNIDAD
COMUNIDAD
COMUNIDAD
COMUNIDAD
COMUNIDAD
COMUNIDAD
COMUNIDAD
COMUNIDAD
COMUNIDAD
COMUNIDAD
COMUNIDAD
COMUNIDAD
COMUNIDAD
COMUNIDAD
COMUNIDAD
COMUNIDAD
COMUNIDAD
COMUNIDAD
COMUNIDAD
COMUNIDAD
COMUNIDAD
COMUNIDAD
COMUNIDAD
COMUNIDAD
COMUNIDAD
COMUNIDAD
COMUNIDAD
COMUNIDAD
COMUNIDAD
COMUNIDAD
COMUNIDAD
COMUNIDAD
COMUNIDAD
COMUNIDAD
COMUNIDAD
COMUNIDAD
COMUNIDAD
COMUNIDAD
COMUNIDAD
COMUNIDAD
COMUNIDAD
COMUNIDAD
COMUNIDAD
COMUNIDAD
COMUNIDAD
COMUNIDAD
COMUNIDAD
COMUNIDAD
COMUNIDAD
COMUNIDAD
COMUNIDAD
COMUNIDAD
COMUNIDAD
COMUNIDAD
COMUNIDAD
COMUNIDAD
COMUNIDAD
COMUNIDAD
COMUNIDAD
COMUNIDAD
COMUNIDAD
COMUNIDAD
COMUNIDAD
COMUNIDAD
COMUNIDAD
COMUNIDAD
COMUNIDAD
COMUNIDAD
COMUNIDAD
COMUNIDAD
COMUNIDAD
COMUNIDAD
COMUNIDAD
COMUNIDAD
COMUNIDAD
COMUNIDAD
COMUNIDAD
COMUNIDAD
COMUNIDAD
COMUNIDAD
COMUNIDAD
COMUNIDAD
COMUNIDAD
COMUNIDAD
COMUNIDAD
COMUNIDAD
COMUNIDAD
COMUNIDAD
COMUNIDAD
COMUNIDAD
COMUNIDAD
COMUNIDAD
COMUNIDAD
COMUNIDAD
COMUNIDAD
COMUNIDAD
COMUNIDAD
COMUNIDAD
COMUNIDAD
COMUNIDAD
COMUNIDAD
COMUNIDAD
COMUNIDAD
COMUNIDAD
COMUNIDAD
COMUNIDAD
COMUNIDAD
COMUNIDAD
COMUNIDAD
COMUNIDAD
COMUNIDAD
COMUNIDAD
COMUNIDAD
COMUNIDAD
COMUNIDAD
COMUNIDAD
COMUNIDAD
COMUNIDAD
COMUNIDAD
COMUNIDAD
COMUNIDAD
COMUNIDAD
COMUNIDAD
COMUNIDAD
COMUNIDAD
COMUNIDAD
COMUNIDAD
COMUNIDAD
COMUNIDAD
COMUNIDAD
COMUNIDAD
COMUNIDAD
COMUNIDAD
COMUNIDAD
COMUNIDAD
COMUNIDAD
COMUNIDAD
COMUNIDAD
COMUNIDAD
COMUNIDAD
COMUNIDAD
COMUNIDAD
COMUNIDAD
COMUNIDAD
COMUNIDAD
COMUNIDAD
COMUNIDAD
COMUNIDAD
COMUNIDAD
COMUNIDAD
COMUNIDAD
COMUNIDAD
COMUNIDAD
COMUNIDAD
COMUNIDAD
COMUNIDAD
COMUNIDAD
COMUNIDAD
COMUNIDAD
COMUNIDAD
COMUNIDAD
COMUNIDAD
COMUNIDAD
COMUNIDAD
COMUNIDAD
COMUNIDAD
COMUNIDAD
COMUNIDAD
COMUNIDAD
COMUNIDAD
COMUNIDAD
COMUNIDAD
COMUNIDAD
COMUNIDAD
COMUNIDAD
COMUNIDAD
COMUNIDAD
COMUNIDAD
COMUNIDAD
COMUNIDAD
COMUNIDAD
COMUNIDAD
COMUNIDAD
COMUNIDAD
COMUNIDAD
COMUNIDAD
COMUNIDAD
COMUNIDAD
COMUNIDAD
COMUNIDAD
COMUNIDAD
COMUNIDAD
COMUNIDAD
COMUNIDAD
COMUNIDAD
COMUNIDAD
COMUNIDAD
COMUNIDAD
COMUNIDAD
COMUNIDAD
COMUNIDAD
COMUNIDAD
COMUNIDAD
COMUNIDAD
COMUNIDAD
COMUNIDAD
COMUNIDAD
COMUNIDAD
COMUNIDAD
COMUNIDAD
COMUNIDAD
COMUNIDAD
COMUNIDAD
COMUNIDAD
COMUNIDAD
COMUNIDAD
COMUNIDAD
COMUNIDAD
COMUNIDAD
COMUNIDAD
COMUNIDAD
COMUNIDAD
COMUNIDAD
COMUNIDAD
COMUNIDAD
COMUNIDAD
COMUNIDAD
COMUNIDAD
COMUNIDAD
COMUNIDAD
COMUNIDAD
COMUNIDAD
COMUNIDAD
COMUNIDAD
COMUNIDAD
COMUNIDAD
COMUNIDAD
COMUNIDAD
COMUNIDAD
COMUNIDAD
COMUNIDAD
COMUNIDAD
COMUNIDAD
COMUNIDAD
COMUNIDAD
COMUNIDAD
COMUNIDAD
COMUNIDAD
COMUNIDAD
COMUNIDAD
COMUNIDAD
COMUNIDAD
COMUNIDAD
COMUNIDAD
COMUNIDAD
COMUNIDAD
COMUNIDAD
COMUNIDAD
COMUNIDAD
COMUNIDAD
COMUNIDAD
COMUNIDAD
COMUNIDAD
COMUNIDAD
COMUNIDAD
COMUNIDAD
COMUNIDAD
COMUNIDAD
COMUNIDAD
COMUNIDAD
COMUNIDAD
COMUNIDAD
COMUNIDAD
COMUNIDAD
COMUNIDAD
COMUNIDAD
COMUNIDAD
COMUNIDAD
COMUNIDAD
COMUNIDAD
COMUNIDAD
COMUNIDAD
COMUNIDAD
COMUNIDAD
COMUNIDAD
COMUNIDAD
COMUNIDAD
COMUNIDAD
COMUNIDAD
COMUNIDAD
COMUNIDAD
COMUNIDAD
COMUNIDAD
COMUNIDAD
COMUNIDAD
COMUNIDAD
COMUNIDAD
COMUNIDAD
COMUNIDAD
COMUNIDAD
COMUNIDAD
COMUNIDAD
COMUNIDAD
COMUNIDAD
COMUNIDAD
COMUNIDAD
COMUNIDAD
COMUNIDAD
COMUNIDAD
COMUNIDAD
COMUNIDAD
COMUNIDAD
COMUNIDAD
COMUNIDAD
COMUNIDAD
COMUNIDAD
COMUNIDAD
COMUNIDAD
COMUNIDAD
COMUNIDAD
COMUNIDAD
COMUNIDAD
COMUNIDAD
COMUNIDAD
COMUNIDAD
COMUNIDAD
COMUNIDAD
COMUNIDAD
COMUNIDAD
COMUNIDAD
COMUNIDAD
COMUNIDAD
COMUNIDAD
COMUNIDAD
COMUNIDAD
COMUNIDAD
COMUNIDAD
COMUNIDAD
COMUNIDAD
COMUNIDAD
COMUNIDAD
COMUNIDAD
COMUNIDAD
COMUNIDAD
COMUNIDAD
COMUNIDAD
COMUNIDAD
COMUNIDAD
COMUNIDAD
COMUNIDAD
COMUNIDAD
COMUNIDAD
COMUNIDAD
COMUNIDAD
COMUNIDAD
COMUNIDAD
COMUNIDAD
COMUNIDAD
COMUNIDAD
COMUNIDAD
COMUNIDAD
COMUNIDAD
COMUNIDAD
COMUNIDAD
COMUNIDAD
COMUNIDAD
COMUNIDAD
COMUNIDAD
COMUNIDAD
COMUNIDAD
COMUNIDAD
COMUNIDAD
COMUNIDAD
COMUNIDAD
COMUNIDAD
COMUNIDAD
COMUNIDAD
COMUNIDAD
COMUNIDAD
COMUNIDAD
COMUNIDAD
COMUNIDAD
COMUNIDAD
COMUNIDAD
COMUNIDAD
COMUNIDAD
COMUNIDAD
COMUNIDAD
COMUNIDAD
COMUNIDAD
COMUNIDAD
COMUNIDAD
COMUNIDAD
COMUNIDAD
COMUNIDAD
COMUNIDAD
COMUNIDAD
COMUNIDAD
COMUNIDAD
COMUNIDAD
COMUNIDAD
COMUNIDAD
COMUNIDAD
COMUNIDAD
COMUNIDAD
COMUNIDAD
COMUNIDAD
COMUNIDAD
COMUNIDAD
COMUNIDAD
COMUNIDAD
COMUNIDAD
COMUNIDAD
COMUNIDAD
COMUNIDAD
COMUNIDAD
COMUNIDAD
COMUNIDAD
COMUNIDAD
COMUNIDAD
COMUNIDAD
COMUNIDAD
COMUNIDAD
COMUNIDAD
COMUNIDAD
COMUNIDAD
COMUNIDAD
COMUNIDAD
COMUNIDAD
COMUNIDAD
COMUNIDAD
COMUNIDAD
COMUNIDAD
COMUNIDAD
COMUNIDAD
COMUNIDAD
COMUNIDAD
COMUNIDAD
COMUNIDAD
COMUNIDAD
COMUNIDAD
COMUNIDAD
COMUNIDAD
COMUNIDAD
COMUNIDAD
COMUNIDAD
COMUNIDAD
COMUNIDAD
COMUNIDAD
COMUNIDAD
COMUNIDAD
COMUNIDAD
COMUNIDAD
COMUNIDAD
COMUNIDAD
COMUNIDAD
COMUNIDAD
COMUNIDAD
COMUNIDAD
COMUNIDAD
COMUNIDAD
COMUNIDAD
COMUNIDAD
COMUNIDAD
COMUNIDAD
COMUNIDAD
COMUNIDAD
COMUNIDAD
COMUNIDAD
COMUNIDAD
COMUNIDAD
COMUNIDAD
COMUNIDAD
COMUNIDAD
COMUNIDAD
COMUNIDAD
COMUNIDAD
COMUNIDAD
COMUNIDAD
COMUNIDAD
COMUNIDAD
COMUNIDAD
COMUNIDAD
COMUNIDAD
COMUNIDAD
COMUNIDAD
COMUNIDAD
COMUNIDAD
COMUNIDAD
COMUNIDAD
COMUNIDAD
COMUNIDAD
COMUNIDAD
COMUNIDAD
COMUNIDAD
COMUNIDAD
COMUNIDAD
COMUNIDAD
COMUNIDAD
COMUNIDAD
COMUNIDAD
COMUNIDAD
COMUNIDAD
COMUNIDAD
COMUNIDAD
COMUNIDAD
COMUNIDAD
COMUNIDAD
COMUNIDAD
COMUNIDAD
COMUNIDAD
COMUNIDAD
COMUNIDAD
COMUNIDAD
COMUNIDAD
COMUNIDAD
COMUNIDAD
COMUNIDAD
COMUNIDAD
COMUNIDAD
COMUNIDAD
COMUNIDAD
COMUNIDAD
COMUNIDAD
COMUNIDAD
COMUNIDAD
COMUNIDAD
COMUNIDAD
COMUNIDAD
COMUNIDAD
COMUNIDAD
COMUNIDAD
COMUNIDAD
COMUNIDAD
COMUNIDAD
COMUNIDAD
COMUNIDAD
COMUNIDAD
COMUNIDAD
COMUNIDAD
COMUNIDAD
COMUNIDAD
COMUNIDAD
COMUNIDAD
COMUNIDAD
COMUNIDAD
COMUNIDAD
COMUNIDAD
COMUNIDAD
COMUNIDAD
COMUNIDAD
COMUNIDAD
COMUNIDAD
COMUNIDAD
COMUNIDAD
COMUNIDAD
COMUNIDAD
COMUNIDAD
COMUNIDAD
COMUNIDAD
COMUNIDAD
COMUNIDAD
COMUNIDAD
COMUNIDAD
COMUNIDAD
COMUNIDAD
COMUNIDAD
COMUNIDAD
COMUNIDAD
COMUNIDAD
COMUNIDAD
COMUNIDAD
COMUNIDAD
COMUNIDAD
COMUNIDAD
COMUNIDAD
COMUNIDAD
COMUNIDAD
COMUNIDAD
COMUNIDAD
COMUNIDAD
COMUNIDAD
COMUNIDAD
COMUNIDAD
COMUNIDAD
COMUNIDAD
COMUNIDAD
COMUNIDAD
COMUNIDAD
COMUNIDAD
COMUNIDAD
COMUNIDAD
COMUNIDAD
COMUNIDAD
COMUNIDAD
COMUNIDAD
COMUNIDAD
COMUNIDAD
COMUNIDAD
COMUNIDAD
COMUNIDAD
COMUNIDAD
COMUNIDAD
COMUNIDAD
COMUNIDAD
COMUNIDAD
COMUNIDAD
COMUNIDAD
COMUNIDAD
COMUNIDAD
COMUNIDAD
COMUNIDAD
COMUNIDAD
COMUNIDAD
COMUNIDAD
COMUNIDAD
COMUNIDAD
COMUNIDAD
COMUNIDAD
COMUNIDAD
COMUNIDAD
COMUNIDAD
COMUNIDAD
COMUNIDAD
COMUNIDAD
COMUNIDAD
COMUNIDAD
COMUNIDAD
COMUNIDAD
COMUNIDAD
COMUNIDAD
COMUNIDAD
COMUNIDAD
COMUNIDAD
COMUNIDAD
COMUNIDAD
COMUNIDAD
COMUNIDAD
COMUNIDAD
COMUNIDAD
COMUNIDAD
COMUNIDAD
COMUNIDAD
COMUNIDAD
COMUNIDAD
COMUNIDAD
COMUNIDAD
COMUNIDAD
COMUNIDAD
COMUNIDAD
COMUNIDAD
COMUNIDAD
COMUNIDAD
COMUNIDAD
COMUNIDAD
COMUNIDAD
COMUNIDAD
COMUNIDAD
COMUNIDAD
COMUNIDAD
COMUNIDAD
COMUNIDAD
COMUNIDAD
COMUNIDAD
COMUNIDAD
COMUNIDAD
COMUNIDAD
COMUNIDAD
COMUNIDAD
COMUNIDAD
COMUNIDAD
COMUNIDAD
COMUNIDAD
COMUNIDAD
COMUNIDAD
COMUNIDAD
COMUNIDAD
COMUNIDAD
COMUNIDAD
COMUNIDAD
COMUNIDAD
COMUNIDAD
COMUNIDAD
COMUNIDAD
COMUNIDAD
COMUNIDAD
COMUNIDAD
COMUNIDAD
COMUNIDAD
COMUNIDAD
COMUNIDAD
COMUNIDAD
COMUNIDAD
COMUNIDAD
COMUNIDAD
COMUNIDAD
COMUNIDAD
COMUNIDAD
COMUNIDAD
COMUNIDAD
COMUNIDAD
COMUNIDAD
COMUNIDAD
COMUNIDAD
COMUNIDAD
COMUNIDAD
COMUNIDAD
COMUNIDAD
COMUNIDAD
COMUNIDAD
COMUNIDAD
COMUNIDAD
COMUNIDAD
COMUNIDAD
COMUNIDAD
COMUNIDAD
COMUNIDAD
COMUNIDAD
COMUNIDAD
COMUNIDAD
COMUNIDAD
COMUNIDAD
COMUNIDAD
COMUNIDAD
COMUNIDAD
COMUNIDAD
COMUNIDAD
COMUNIDAD
COMUNIDAD
COMUNIDAD
COMUNIDAD
COMUNIDAD
COMUNIDAD
COMUNIDAD
COMUNIDAD
COMUNIDAD
COMUNIDAD
COMUNIDAD
COMUNIDAD
COMUNIDAD
COMUNIDAD
COMUNIDAD
COMUNIDAD
COMUNIDAD
COMUNIDAD
COMUNIDAD
COMUNIDAD
COMUNIDAD
COMUNIDAD
COMUNIDAD
COMUNIDAD
COMUNIDAD
COMUNIDAD
COMUNIDAD
COMUNIDAD
COMUNIDAD
COMUNIDAD
COMUNIDAD
COMUNIDAD
COMUNIDAD
COMUNIDAD
COMUNIDAD
COMUNIDAD
COMUNIDAD
COMUNIDAD
COMUNIDAD
COMUNIDAD
COMUNIDAD
COMUNIDAD
COMUNIDAD
COMUNIDAD
COMUNIDAD
COMUNIDAD
COMUNIDAD
COMUNIDAD
COMUNIDAD
COMUNIDAD
COMUNIDAD
COMUNIDAD
COMUNIDAD
COMUNIDAD
COMUNIDAD
COMUNIDAD
COMUNIDAD
COMUNIDAD
COMUNIDAD
COMUNIDAD
COMUNIDAD
COMUNIDAD
COMUNIDAD
COMUNIDAD
COMUNIDAD
COMUNIDAD
COMUNIDAD
COMUNIDAD
COMUNIDAD
COMUNIDAD
COMUNIDAD
COMUNIDAD
COMUNIDAD
COMUNIDAD
COMUNIDAD
COMUNIDAD
COMUNIDAD
COMUNIDAD
COMUNIDAD
COMUNIDAD
COMUNIDAD
COMUNIDAD
COMUNIDAD
COMUNIDAD
COMUNIDAD
COMUNIDAD
COMUNIDAD
COMUNIDAD
COMUNIDAD
COMUNIDAD
COMUNIDAD
COMUNIDAD
COMUNIDAD
COMUNIDAD
COMUNIDAD
COMUNIDAD
COMUNIDAD
COMUNIDAD
COMUNIDAD
COMUNIDAD
COMUNIDAD
COMUNIDAD
COMUNIDAD
COMUNIDAD
COMUNIDAD
COMUNIDAD
COMUNIDAD
COMUNIDAD
COMUNIDAD
COMUNIDAD
COMUNIDAD
COMUNIDAD
COMUNIDAD
COMUNIDAD
COMUNIDAD
COMUNIDAD
COMUNIDAD
COMUNIDAD
COMUNIDAD
COMUNIDAD
COMUNIDAD
COMUNIDAD
COMUNIDAD
COMUNIDAD
COMUNIDAD
COMUNIDAD
COMUNIDAD
COMUNIDAD
COMUNIDAD
COMUNIDAD
COMUNIDAD
COMUNIDAD
COMUNIDAD
COMUNIDAD
COMUNIDAD
COMUNIDAD
COMUNIDAD
COMUNIDAD
COMUNIDAD
COMUNIDAD
COMUNIDAD
COMUNIDAD
COMUNIDAD
COMUNIDAD
COMUNIDAD
COMUNIDAD
COMUNIDAD
COMUNIDAD
COMUNIDAD
COMUNIDAD
COMUNIDAD
COMUNIDAD
COMUNIDAD
COMUNIDAD
COMUNIDAD
COMUNIDAD
COMUNIDAD
COMUNIDAD
COMUNIDAD
COMUNIDAD
COMUNIDAD
COMUNIDAD
COMUNIDAD
COMUNIDAD
COMUNIDAD
COMUNIDAD
COMUNIDAD
COMUNIDAD
COMUNIDAD
COMUNIDAD
COMUNIDAD
COMUNIDAD
COMUNIDAD
COMUNIDAD
COMUNIDAD
COMUNIDAD
COMUNIDAD
COMUNIDAD
COMUNIDAD
COMUNIDAD
COMUNIDAD
COMUNIDAD
COMUNIDAD
COMUNIDAD
COMUNIDAD
COMUNIDAD
COMUNIDAD
COMUNIDAD
COMUNIDAD
COMUNIDAD
COMUNIDAD
COMUNIDAD
COMUNIDAD
COMUNIDAD
COMUNIDAD
COMUNIDAD
COMUNIDAD
COMUNIDAD
COMUNIDAD
COMUNIDAD
COMUNIDAD
COMUNIDAD
COMUNIDAD
COMUNIDAD
COMUNIDAD
COMUNIDAD
COMUNIDAD
COMUNIDAD
COMUNIDAD
COMUNIDAD
COMUNIDAD
COMUNIDAD
COMUNIDAD
COMUNIDAD
COMUNIDAD
COMUNIDAD
COMUNIDAD
COMUNIDAD
COMUNIDAD
COMUNIDAD
COMUNIDAD
COMUNIDAD
COMUNIDAD
COMUNIDAD
COMUNIDAD
COMUNIDAD
COMUNIDAD
COMUNIDAD
COMUNIDAD
COMUNIDAD
COMUNIDAD
COMUNIDAD
COMUNIDAD
COMUNIDAD
COMUNIDAD
COMUNIDAD
COMUNIDAD
COMUNIDAD
COMUNIDAD
COMUNIDAD
COMUNIDAD
COMUNIDAD
COMUNIDAD
COMUNIDAD
COMUNIDAD
COMUNIDAD
COMUNIDAD
COMUNIDAD
COMUNIDAD
COMUNIDAD
COMUNIDAD
COMUNIDAD
COMUNIDAD
COMUNIDAD
COMUNIDAD
COMUNIDAD
COMUNIDAD
COMUNIDAD
COMUNIDAD
COMUNIDAD
COMUNIDAD
COMUNIDAD
COMUNIDAD
COMUNIDAD
COMUNIDAD
COMUNIDAD
COMUNIDAD
COMUNIDAD
COMUNIDAD
COMUNIDAD
COMUNIDAD
COMUNIDAD
COMUNIDAD
COMUNIDAD
COMUNIDAD
COMUNIDAD
COMUNIDAD
COMUNIDAD
COMUNIDAD
COMUNIDAD
COMUNIDAD
COMUNIDAD
COMUNIDAD
COMUNIDAD
COMUNIDAD
COMUNIDAD
COMUNIDAD
COMUNIDAD
COMUNIDAD
COMUNIDAD
COMUNIDAD
COMUNIDAD
COMUNIDAD
COMUNIDAD
COMUNIDAD
COMUNIDAD
COMUNIDAD
COMUNIDAD
COMUNIDAD
COMUNIDAD
COMUNIDAD
COMUNIDAD
COMUNIDAD
COMUNIDAD
COMUNIDAD
COMUNIDAD
COMUNIDAD
COMUNIDAD
COMUNIDAD
COMUNIDAD
COMUNIDAD
COMUNIDAD
COMUNIDAD
COMUNIDAD
COMUNIDAD
COMUNIDAD
COMUNIDAD
COMUNIDAD
COMUNIDAD
COMUNIDAD
COMUNIDAD
COMUNIDAD
COMUNIDAD
COMUNIDAD
COMUNIDAD
COMUNIDAD
COMUNIDAD
COMUNIDAD
COMUNIDAD
COMUNIDAD
COMUNIDAD
COMUNIDAD
COMUNIDAD
COMUNIDAD
COMUNIDAD
COMUNIDAD
COMUNIDAD
COMUNIDAD
COMUNIDAD
COMUNIDAD
COMUNIDAD
COMUNIDAD
COMUNIDAD
COMUNIDAD
COMUNIDAD
COMUNIDAD
COMUNIDAD
COMUNIDAD
COMUNIDAD
COMUNIDAD
COMUNIDAD
COMUNIDAD
COMUNIDAD
COMUNIDAD
COMUNIDAD
COMUNIDAD
COMUNIDAD
COMUNIDAD
COMUNIDAD
COMUNIDAD
COMUNIDAD
COMUNIDAD
COMUNIDAD
COMUNIDAD
COMUNIDAD
COMUNIDAD
COMUNIDAD
COMUNIDAD
COMUNIDAD
COMUNIDAD
COMUNIDAD
COMUNIDAD
COMUNIDAD
COMUNIDAD
COMUNIDAD
COMUNIDAD
COMUNIDAD
COMUNIDAD
COMUNIDAD
COMUNIDAD
COMUNIDAD
COMUNIDAD
COMUNIDAD
COMUNIDAD
COMUNIDAD
COMUNIDAD
COMUNIDAD
COMUNIDAD
COMUNIDAD
COMUNIDAD
COMUNIDAD
COMUNIDAD
COMUNIDAD
COMUNIDAD
COMUNIDAD
COMUNIDAD
COMUNIDAD
COMUNIDAD
COMUNIDAD
COMUNIDAD
COMUNIDAD
COMUNIDAD
COMUNIDAD
COMUNIDAD
COMUNIDAD
COMUNIDAD
COMUNIDAD
COMUNIDAD
COMUNIDAD
COMUNIDAD
COMUNIDAD
COMUNIDAD
COMUNIDAD
COMUNIDAD
COMUNIDAD
COMUNIDAD
COMUNIDAD
COMUNIDAD
COMUNIDAD
COMUNIDAD
COMUNIDAD
COMUNIDAD
COMUNIDAD
COMUNIDAD
COMUNIDAD
COMUNIDAD
COMUNIDAD
COMUNIDAD
COMUNIDAD
COMUNIDAD
COMUNIDAD
COMUNIDAD
COMUNIDAD
COMUNIDAD
COMUNIDAD
COMUNIDAD
COMUNIDAD
COMUNIDAD
COMUNIDAD
COMUNIDAD
COMUNIDAD
COMUNIDAD
COMUNIDAD
COMUNIDAD
COMUNIDAD
COMUNIDAD
COMUNIDAD
COMUNIDAD
COMUNIDAD
COMUNIDAD
COMUNIDAD
COMUNIDAD
COMUNIDAD
COMUNIDAD
COMUNIDAD
COMUNIDAD
COMUNIDAD
COMUNIDAD
COMUNIDAD
COMUNIDAD
COMUNIDAD
COMUNIDAD
COMUNIDAD
COMUNIDAD
COMUNIDAD
COMUNIDAD
COMUNIDAD
COMUNIDAD
COMUNIDAD
COMUNIDAD
COMUNIDAD
COMUNIDAD
COMUNIDAD
COMUNIDAD
COMUNIDAD
COMUNIDAD
COMUNIDAD
COMUNIDAD
COMUNIDAD
COMUNIDAD
COMUNIDAD
COMUNIDAD
COMUNIDAD
COMUNIDAD
COMUNIDAD
COMUNIDAD
COMUNIDAD
COMUNIDAD
COMUNIDAD
COMUNIDAD
COMUNIDAD
COMUNIDAD
COMUNIDAD
COMUNIDAD
COMUNIDAD
COMUNIDAD
COMUNIDAD
COMUNIDAD
COMUNIDAD
COMUNIDAD
COMUNIDAD
COMUNIDAD
COMUNIDAD
COMUNIDAD
COMUNIDAD
COMUNIDAD
COMUNIDAD
COMUNIDAD
COMUNIDAD
COMUNIDAD
COMUNIDAD
COMUNIDAD
COMUNIDAD
COMUNIDAD
COMUNIDAD
COMUNIDAD
COMUNIDAD
COMUNIDAD
COMUNIDAD
COMUNIDAD
COMUNIDAD
COMUNIDAD
COMUNIDAD
COMUNIDAD
COMUNIDAD
COMUNIDAD
COMUNIDAD
COMUNIDAD
COMUNIDAD
COMUNIDAD
COMUNIDAD
COMUNIDAD
COMUNIDAD
COMUNIDAD
COMUNIDAD
COMUNIDAD
COMUNIDAD
COMUNIDAD
COMUNIDAD
COMUNIDAD
COMUNIDAD
COMUNIDAD
COMUNIDAD
COMUNIDAD
COMUNIDAD
COMUNIDAD
COMUNIDAD
COMUNIDAD
COMUNIDAD
COMUNIDAD
COMUNIDAD
COMUNIDAD
COMUNIDAD
COMUNIDAD
COMUNIDAD
COMUNIDAD
COMUNIDAD
COMUNIDAD
COMUNIDAD
COMUNIDAD
COMUNIDAD
COMUNIDAD
COMUNIDAD
COMUNIDAD
COMUNIDAD
COMUNIDAD
COMUNIDAD
COMUNIDAD
COMUNIDAD
COMUNIDAD
COMUNIDAD
COMUNIDAD
COMUNIDAD
COMUNIDAD
COMUNIDAD
COMUNIDAD
COMUNIDAD
COMUNIDAD
COMUNIDAD
COMUNIDAD
COMUNIDAD
COMUNIDAD
COMUNIDAD
COMUNIDAD
COMUNIDAD
COMUNIDAD
COMUNIDAD
COMUNIDAD
COMUNIDAD
COMUNIDAD
COMUNIDAD
COMUNIDAD
COMUNIDAD
COMUNIDAD
COMUNIDAD
COMUNIDAD
COMUNIDAD
COMUNIDAD
COMUNIDAD
COMUNIDAD
COMUNIDAD
COMUNIDAD
COMUNIDAD
COMUNIDAD
COMUNIDAD
COMUNIDAD
COMUNIDAD
COMUNIDAD
COMUNIDAD
COMUNIDAD
COMUNIDAD
COMUNIDAD
COMUNIDAD
COMUNIDAD
COMUNIDAD
COMUNIDAD
COMUNIDAD
COMUNIDAD
COMUNIDAD
COMUNIDAD
COMUNIDAD
COMUNIDAD
COMUNIDAD
COMUNIDAD
COMUNIDAD
COMUNIDAD
COMUNIDAD
COMUNIDAD
COMUNIDAD
COMUNIDAD
COMUNIDAD
COMUNIDAD
COMUNIDAD
COMUNIDAD
COMUNIDAD
COMUNIDAD
COMUNIDAD
COMUNIDAD
COMUNIDAD
COMUNIDAD
COMUNIDAD
COMUNIDAD
COMUNIDAD
COMUNIDAD
COMUNIDAD
COMUNIDAD
COMUNIDAD
COMUNIDAD
COMUNIDAD
COMUNIDAD
COMUNIDAD
COMUNIDAD
COMUNIDAD
COMUNIDAD
COMUNIDAD
COMUNIDAD
COMUNIDAD
COMUNIDAD
COMUNIDAD
COMUNIDAD
COMUNIDAD
COMUNIDAD
COMUNIDAD
COMUNIDAD
COMUNIDAD
COMUNIDAD
COMUNIDAD
COMUNIDAD
COMUNIDAD
COMUNIDAD
COMUNIDAD
COMUNIDAD
COMUNIDAD
COMUNIDAD
COMUNIDAD
COMUNIDAD
COMUNIDAD
COMUNIDAD
COMUNIDAD
COMUNIDAD
COMUNIDAD
COMUNIDAD
COMUNIDAD
COMUNIDAD
COMUNIDAD
COMUNIDAD
COMUNIDAD
COMUNIDAD
COMUNIDAD
COMUNIDAD
COMUNIDAD
COMUNIDAD
COMUNIDAD
COMUNIDAD
COMUNIDAD
COMUNIDAD
COMUNIDAD
COMUNIDAD
COMUNIDAD
COMUNIDAD
COMUNIDAD
COMUNIDAD
COMUNIDAD
COMUNIDAD
COMUNIDAD
COMUNIDAD
COMUNIDAD
COMUNIDAD
COMUNIDAD
COMUNIDAD
COMUNIDAD
COMUNIDAD
COMUNIDAD
COMUNIDAD
COMUNIDAD
COMUNIDAD
COMUNIDAD
COMUNIDAD
COMUNIDAD
COMUNIDAD
COMUNIDAD
COMUNIDAD
COMUNIDAD
COMUNIDAD
COMUNIDAD
COMUNIDAD
COMUNIDAD
COMUNIDAD
COMUNIDAD
COMUNIDAD
COMUNIDAD
COMUNIDAD
COMUNIDAD
COMUNIDAD
COMUNIDAD
COMUNIDAD
COMUNIDAD
COMUNIDAD
COMUNIDAD
COMUNIDAD
COMUNIDAD
COMUNIDAD
COMUNIDAD
COMUNIDAD
COMUNIDAD
COMUNIDAD
COMUNIDAD
COMUNIDAD
COMUNIDAD
COMUNIDAD
COMUNIDAD
COMUNIDAD
COMUNIDAD
COMUNIDAD
COMUNIDAD
COMUNIDAD
COMUNIDAD
COMUNIDAD
COMUNIDAD
COMUNIDAD
COMUNIDAD
COMUNIDAD
COMUNIDAD
COMUNIDAD
COMUNIDAD
COMUNIDAD
COMUNIDAD
COMUNIDAD
COMUNIDAD
COMUNIDAD
COMUNIDAD
COMUNIDAD
COMUNIDAD
COMUNIDAD
COMUNIDAD
COMUNIDAD
COMUNIDAD
COMUNIDAD
COMUNIDAD
COMUNIDAD
COMUNIDAD
COMUNIDAD
COMUNIDAD
COMUNIDAD
COMUNIDAD
COMUNIDAD
COMUNIDAD
COMUNIDAD
COMUNIDAD
COMUNIDAD
COMUNIDAD
COMUNIDAD
COMUNIDAD
COMUNIDAD
COMUNIDAD
COMUNIDAD
COMUNIDAD
COMUNIDAD
COMUNIDAD
COMUNIDAD
COMUNIDAD
COMUNIDAD
COMUNIDAD
COMUNIDAD
COMUNIDAD
COMUNIDAD
COMUNIDAD
COMUNIDAD
COMUNIDAD
COMUNIDAD
COMUNIDAD
COMUNIDAD
COMUNIDAD
COMUNIDAD
COMUNIDAD
COMUNIDAD
COMUNIDAD
COMUNIDAD
COMUNIDAD
COMUNIDAD
COMUNIDAD
COMUNIDAD
COMUNIDAD
COMUNIDAD
COMUNIDAD
COMUNIDAD
COMUNIDAD
COMUNIDAD
COMUNIDAD
COMUNIDAD
COMUNIDAD
COMUNIDAD
COMUNIDAD
COMUNIDAD
COMUNIDAD
COMUNIDAD
COMUNIDAD
COMUNIDAD
COMUNIDAD
COMUNIDAD
COMUNIDAD
COMUNIDAD
COMUNIDAD
COMUNIDAD
COMUNIDAD
COMUNIDAD
COMUNIDAD
COMUNIDAD
COMUNIDAD
COMUNIDAD
COMUNIDAD
COMUNIDAD
COMUNIDAD
COMUNIDAD
COMUNIDAD
COMUNIDAD
COMUNIDAD
COMUNIDAD
COMUNIDAD
COMUNIDAD
COMUNIDAD
COMUNIDAD
COMUNIDAD
COMUNIDAD
COMUNIDAD
COMUNIDAD
COMUNIDAD
COMUNIDAD
COMUNIDAD
COMUNIDAD
COMUNIDAD
COMUNIDAD
COMUNIDAD
COMUNIDAD
COMUNIDAD
COMUNIDAD
COMUNIDAD
COMUNIDAD
COMUNIDAD
COMUNIDAD
COMUNIDAD
COMUNIDAD
COMUNIDAD
COMUNIDAD
COMUNIDAD
COMUNIDAD
COMUNIDAD
COMUNIDAD
COMUNIDAD
COMUNIDAD
COMUNIDAD
COMUNIDAD
COMUNIDAD
COMUNIDAD
COMUNIDAD
COMUNIDAD
COMUNIDAD
COMUNIDAD
COMUNIDAD
COMUNIDAD
COMUNIDAD
COMUNIDAD
COMUNIDAD
COMUNIDAD
COMUNIDAD
COMUNIDAD
COMUNIDAD
COMUNIDAD
COMUNIDAD
COMUNIDAD
COMUNIDAD
COMUNIDAD
COMUNIDAD
COMUNIDAD
COMUNIDAD
COMUNIDAD
COMUNIDAD
COMUNIDAD
COMUNIDAD
COMUNIDAD
COMUNIDAD
COMUNIDAD
COMUNIDAD
COMUNIDAD
COMUNIDAD
COMUNIDAD
COMUNIDAD
COMUNIDAD
COMUNIDAD
COMUNIDAD
COMUNIDAD
COMUNIDAD
COMUNIDAD
COMUNIDAD
COMUNIDAD
COMUNIDAD
COMUNIDAD
COMUNIDAD
COMUNIDAD
COMUNIDAD
COMUNIDAD
COMUNIDAD
COMUNIDAD
COMUNIDAD
COMUNIDAD
COMUNIDAD
COMUNIDAD
COMUNIDAD
COMUNIDAD
COMUNIDAD
COMUNIDAD
COMUNIDAD
COMUNIDAD
COMUNIDAD
COMUNIDAD
COMUNIDAD
COMUNIDAD
COMUNIDAD
COMUNIDAD
COMUNIDAD
COMUNIDAD
COMUNIDAD
COMUNIDAD
COMUNIDAD
COMUNIDAD
COMUNIDAD
COMUNIDAD
COMUNIDAD
COMUNIDAD
COMUNIDAD
COMUNIDAD
COMUNIDAD
COMUNIDAD
COMUNIDAD
COMUNIDAD
COMUNIDAD
COMUNIDAD
COMUNIDAD
COMUNIDAD
COMUNIDAD
COMUNIDAD
COMUNIDAD
COMUNIDAD
COMUNIDAD
COMUNIDAD
COMUNIDAD
COMUNIDAD
COMUNIDAD
COMUNIDAD
COMUNIDAD
COMUNIDAD
COMUNIDAD
COMUNIDAD
COMUNIDAD
COMUNIDAD
COMUNIDAD
COMUNIDAD
COMUNIDAD
COMUNIDAD
COMUNIDAD
COMUNIDAD
COMUNIDAD
COMUNIDAD
COMUNIDAD
COMUNIDAD
COMUNIDAD
COMUNIDAD
COMUNIDAD
COMUNIDAD
COMUNIDAD
COMUNIDAD
COMUNIDAD
COMUNIDAD
COMUNIDAD
COMUNIDAD
COMUNIDAD
COMUNIDAD
COMUNIDAD
COMUNIDAD
COMUNIDAD
COMUNIDAD
COMUNIDAD
COMUNIDAD
COMUNIDAD
COMUNIDAD
COMUNIDAD
COMUNIDAD
COMUNIDAD
COMUNIDAD
COMUNIDAD
COMUNIDAD
COMUNIDAD
COMUNIDAD
COMUNIDAD
COMUNIDAD
COMUNIDAD
COMUNIDAD
COMUNIDAD
COMUNIDAD
COMUNIDAD
COMUNIDAD
COMUNIDAD
COMUNIDAD
COMUNIDAD
COMUNIDAD
COMUNIDAD
COMUNIDAD
COMUNIDAD
COMUNIDAD
COMUNIDAD
COMUNIDAD
COMUNIDAD
COMUNIDAD
COMUNIDAD
COMUNIDAD
COMUNIDAD
COMUNIDAD
COMUNIDAD
COMUNIDAD
COMUNIDAD
COMUNIDAD
COMUNIDAD
COMUNIDAD
COMUNIDAD
COMUNIDAD
COMUNIDAD
COMUNIDAD
COMUNIDAD
COMUNIDAD
COMUNIDAD
COMUNIDAD
COMUNIDAD
COMUNIDAD
COMUNIDAD
COMUNIDAD
COMUNIDAD
COMUNIDAD
COMUNIDAD
COMUNIDAD
COMUNIDAD
COMUNIDAD
COMUNIDAD
COMUNIDAD
COMUNIDAD
COMUNIDAD
COMUNIDAD
COMUNIDAD
COMUNIDAD
COMUNIDAD
COMUNIDAD
COMUNIDAD
COMUNIDAD
COMUNIDAD
COMUNIDAD
COMUNIDAD
COMUNIDAD
COMUNIDAD
COMUNIDAD
COMUNIDAD
COMUNIDAD
COMUNIDAD
COMUNIDAD
COMUNIDAD
COMUNIDAD
COMUNIDAD
COMUNIDAD
COMUNIDAD
COMUNIDAD
COMUNIDAD
COMUNIDAD
COMUNIDAD
COMUNIDAD
COMUNIDAD
COMUNIDAD
COMUNIDAD
COMUNIDAD
COMUNIDAD
COMUNIDAD
COMUNIDAD
COMUNIDAD
COMUNIDAD
COMUNIDAD
COMUNIDAD
COMUNIDAD
COMUNIDAD
COMUNIDAD
COMUNIDAD
COMUNIDAD
COMUNIDAD
COMUNIDAD
COMUNIDAD
COMUNIDAD
COMUNIDAD
COMUNIDAD
COMUNIDAD
COMUNIDAD
COMUNIDAD
COMUNIDAD
COMUNIDAD
COMUNIDAD
COMUNIDAD
COMUNIDAD
COMUNIDAD
COMUNIDAD
COMUNIDAD
COMUNIDAD
COMUNIDAD
COMUNIDAD
COMUNIDAD
COMUNIDAD
COMUNIDAD
COMUNIDAD
COMUNIDAD
COMUNIDAD
COMUNIDAD
COMUNIDAD
COMUNIDAD
COMUNIDAD
COMUNIDAD
COMUNIDAD
COMUNIDAD
COMUNIDAD
COMUNIDAD
COMUNIDAD
COMUNIDAD
COMUNIDAD
COMUNIDAD
COMUNIDAD
COMUNIDAD
COMUNIDAD
COMUNIDAD
COMUNIDAD
COMUNIDAD
COMUNIDAD
COMUNIDAD
COMUNIDAD
COMUNIDAD
COMUNIDAD
COMUNIDAD
COMUNIDAD
COMUNIDAD
COMUNIDAD
COMUNIDAD
COMUNIDAD
COMUNIDAD
COMUNIDAD
COMUNIDAD
COMUNIDAD
COMUNIDAD
COMUNIDAD
COMUNIDAD
COMUNIDAD
COMUNIDAD
COMUNIDAD
COMUNIDAD
COMUNIDAD
COMUNIDAD
COMUNIDAD
COMUNIDAD
COMUNIDAD
COMUNIDAD
COMUNIDAD
COMUNIDAD
COMUNIDAD
COMUNIDAD
COMUNIDAD
COMUNIDAD
COMUNIDAD
COMUNIDAD
COMUNIDAD
COMUNIDAD
COMUNIDAD
COMUNIDAD
COMUNIDAD
COMUNIDAD
COMUNIDAD
COMUNIDAD
COMUNIDAD
COMUNIDAD
COMUNIDAD
COMUNIDAD
COMUNIDAD
COMUNIDAD
COMUNIDAD
COMUNIDAD
COMUNIDAD
COMUNIDAD
COMUNIDAD
COMUNIDAD
COMUNIDAD
COMUNIDAD
COMUNIDAD
COMUNIDAD
COMUNIDAD
COMUNIDAD
COMUNIDAD
COMUNIDAD
COMUNIDAD
COMUNIDAD
COMUNIDAD
COMUNIDAD
COMUNIDAD
COMUNIDAD
COMUNIDAD
COMUNIDAD
COMUNIDAD
COMUNIDAD
COMUNIDAD
COMUNIDAD
COMUNIDAD
COMUNIDAD
COMUNIDAD
COMUNIDAD
COMUNIDAD
COMUNIDAD
COMUNIDAD
COMUNIDAD
COMUNIDAD
COMUNIDAD
COMUNIDAD
COMUNIDAD
COMUNIDAD
COMUNIDAD
COMUNIDAD
COMUNIDAD
COMUNIDAD
COMUNIDAD
COMUNIDAD
COMUNIDAD
COMUNIDAD
COMUNIDAD
COMUNIDAD
COMUNIDAD
COMUNIDAD
COMUNIDAD
COMUNIDAD
COMUNIDAD
COMUNIDAD
COMUNIDAD
COMUNIDAD
COMUNIDAD
COMUNIDAD
COMUNIDAD
COMUNIDAD
COMUNIDAD
COMUNIDAD
COMUNIDAD
COMUNIDAD
COMUNIDAD
COMUNIDAD
COMUNIDAD
COMUNIDAD
COMUNIDAD
COMUNIDAD
COMUNIDAD
COMUNIDAD
COMUNIDAD
COMUNIDAD
COMUNIDAD
COMUNIDAD
COMUNIDAD
COMUNIDAD
COMUNIDAD
COMUNIDAD
COMUNIDAD
COMUNIDAD
COMUNIDAD
COMUNIDAD
COMUNIDAD
COMUNIDAD
COMUNIDAD
COMUNIDAD
COMUNIDAD
COMUNIDAD
COMUNIDAD
COMUNIDAD
COMUNIDAD
COMUNIDAD
COMUNIDAD
COMUNIDAD
COMUNIDAD
COMUNIDAD
COMUNIDAD
COMUNIDAD
COMUNIDAD
COMUNIDAD
COMUNIDAD
COMUNIDAD
COMUNIDAD
COMUNIDAD
COMUNIDAD
COMUNIDAD
COMUNIDAD
COMUNIDAD
COMUNIDAD
COMUNIDAD
COMUNIDAD
COMUNIDAD
COMUNIDAD
COMUNIDAD
COMUNIDAD
COMUNIDAD
COMUNIDAD
COMUNIDAD
COMUNIDAD
COMUNIDAD
COMUNIDAD
COMUNIDAD
COMUNIDAD
COMUNIDAD
COMUNIDAD
COMUNIDAD
COMUNIDAD
COMUNIDAD
COMUNIDAD
COMUNIDAD
COMUNIDAD
COMUNIDAD
COMUNIDAD
COMUNIDAD
COMUNIDAD
COMUNIDAD
COMUNIDAD
COMUNIDAD
COMUNIDAD
COMUNIDAD
COMUNIDAD
COMUNIDAD
COMUNIDAD
COMUNIDAD
COMUNIDAD
COMUNIDAD
COMUNIDAD
COMUNIDAD
COMUNIDAD
COMUNIDAD
COMUNIDAD
COMUNIDAD
COMUNIDAD
COMUNIDAD
COMUNIDAD
COMUNIDAD
COMUNIDAD
COMUNIDAD
COMUNIDAD
COMUNIDAD
COMUNIDAD
COMUNIDAD
COMUNIDAD
COMUNIDAD
COMUNIDAD
COMUNIDAD
COMUNIDAD
COMUNIDAD
COMUNIDAD
COMUNIDAD
COMUNIDAD
COMUNIDAD
COMUNIDAD
COMUNIDAD
COMUNIDAD
COMUNIDAD
COMUNIDAD
COMUNIDAD
COMUNIDAD
COMUNIDAD
COMUNIDAD
COMUNIDAD
COMUNIDAD
COMUNIDAD
COMUNIDAD
COMUNIDAD
COMUNIDAD
COMUNIDAD
COMUNIDAD
COMUNIDAD
COMUNIDAD
COMUNIDAD
COMUNIDAD
COMUNIDAD
COMUNIDAD
COMUNIDAD
COMUNIDAD
COMUNIDAD
COMUNIDAD
COMUNIDAD
COMUNIDAD
COMUNIDAD
COMUNIDAD
COMUNIDAD
COMUNIDAD
COMUNIDAD
COMUNIDAD
COMUNIDAD
COMUNIDAD
COMUNIDAD
COMUNIDAD
COMUNIDAD
COMUNIDAD
COMUNIDAD
COMUNIDAD
COMUNIDAD
COMUNIDAD
COMUNIDAD
COMUNIDAD
COMUNIDAD
COMUNIDAD
COMUNIDAD
COMUNIDAD
COMUNIDAD
COMUNIDAD
COMUNIDAD
COMUNIDAD
COMUNIDAD
COMUNIDAD
COMUNIDAD
COMUNIDAD
COMUNIDAD
COMUNIDAD
COMUNIDAD
COMUNIDAD
COMUNIDAD
COMUNIDAD
COMUNIDAD
COMUNIDAD
COMUNIDAD
COMUNIDAD
COMUNIDAD
COMUNIDAD
COMUNIDAD
COMUNIDAD
COMUNIDAD
COMUNIDAD
COMUNIDAD
COMUNIDAD
COMUNIDAD
COMUNIDAD
COMUNIDAD
COMUNIDAD
COMUNIDAD
COMUNIDAD
COMUNIDAD
COMUNIDAD
COMUNIDAD
COMUNIDAD
COMUNIDAD
COMUNIDAD
COMUNIDAD
COMUNIDAD
COMUNIDAD
COMUNIDAD
COMUNIDAD
COMUNIDAD
COMUNIDAD
COMUNIDAD
COMUNIDAD
COMUNIDAD
COMUNIDAD
COMUNIDAD
COMUNIDAD
COMUNIDAD
COMUNIDAD
COMUNIDAD
COMUNIDAD
COMUNIDAD
COMUNIDAD
COMUNIDAD
COMUNIDAD
COMUNIDAD
COMUNIDAD
COMUNIDAD
COMUNIDAD
COMUNIDAD
COMUNIDAD
COMUNIDAD
COMUNIDAD
COMUNIDAD
COMUNIDAD
COMUNIDAD
COMUNIDAD
COMUNIDAD
COMUNIDAD
COMUNIDAD
COMUNIDAD
COMUNIDAD
COMUNIDAD
COMUNIDAD
COMUNIDAD
COMUNIDAD
COMUNIDAD
COMUNIDAD
COMUNIDAD
COMUNIDAD
COMUNIDAD
COMUNIDAD
COMUNIDAD
COMUNIDAD
COMUNIDAD
COMUNIDAD
COMUNIDAD
COMUNIDAD
COMUNIDAD
COMUNIDAD
COMUNIDAD
COMUNIDAD
COMUNIDAD
COMUNIDAD
COMUNIDAD
COMUNIDAD
COMUNIDAD
COMUNIDAD
COMUNIDAD
COMUNIDAD
COMUNIDAD
COMUNIDAD
COMUNIDAD
COMUNIDAD
COMUNIDAD
COMUNIDAD
COMUNIDAD
COMUNIDAD
COMUNIDAD
COMUNIDAD
COMUNIDAD
COMUNIDAD
COMUNIDAD
COMUNIDAD
COMUNIDAD
COMUNIDAD
COMUNIDAD
COMUNIDAD
COMUNIDAD
COMUNIDAD
COMUNIDAD
COMUNIDAD
COMUNIDAD
COMUNIDAD
COMUNIDAD
COMUNIDAD
COMUNIDAD
COMUNIDAD
COMUNIDAD
COMUNIDAD
COMUNIDAD
COMUNIDAD
COMUNIDAD
COMUNIDAD
COMUNIDAD
COMUNIDAD
COMUNIDAD
COMUNIDAD
COMUNIDAD
COMUNIDAD
COMUNIDAD
COMUNIDAD
COMUNIDAD
COMUNIDAD
COMUNIDAD
COMUNIDAD
COMUNIDAD
COMUNIDAD
COMUNIDAD
COMUNIDAD
COMUNIDAD
COMUNIDAD
COMUNIDAD
COMUNIDAD
COMUNIDAD
COMUNIDAD
COMUNIDAD
COMUNIDAD
COMUNIDAD
COMUNIDAD
COMUNIDAD
COMUNIDAD
COMUNIDAD
COMUNIDAD
COMUNIDAD
COMUNIDAD
COMUNIDAD
COMUNIDAD
COMUNIDAD
COMUNIDAD
COMUNIDAD
COMUNIDAD
COMUNIDAD
COMUNIDAD
COMUNIDAD
COMUNIDAD
COMUNIDAD
COMUNIDAD
COMUNIDAD
COMUNIDAD
COMUNIDAD
COMUNIDAD
COMUNIDAD
COMUNIDAD
COMUNIDAD
COMUNIDAD
COMUNIDAD
COMUNIDAD
COMUNIDAD
COMUNIDAD
COMUNIDAD
COMUNIDAD
COMUNIDAD
COMUNIDAD
COMUNIDAD
COMUNIDAD
COMUNIDAD
COMUNIDAD
COMUNIDAD
COMUNIDAD
COMUNIDAD
COMUNIDAD
COMUNIDAD
COMUNIDAD
COMUNIDAD
COMUNIDAD
COMUNIDAD
COMUNIDAD
COMUNIDAD
COMUNIDAD
COMUNIDAD
COMUNIDAD
COMUNIDAD
COMUNIDAD
COMUNIDAD
COMUNIDAD
COMUNIDAD
COMUNIDAD
COMUNIDAD
COMUNIDAD
COMUNIDAD
COMUNIDAD
COMUNIDAD
COMUNIDAD
COMUNIDAD
COMUNIDAD
COMUNIDAD
COMUNIDAD
COMUNIDAD
COMUNIDAD
COMUNIDAD
COMUNIDAD
COMUNIDAD
COMUNIDAD
COMUNIDAD
COMUNIDAD
COMUNIDAD
COMUNIDAD
COMUNIDAD
COMUNIDAD
COMUNIDAD
COMUNIDAD
COMUNIDAD
COMUNIDAD
COMUNIDAD
COMUNIDAD
COMUNIDAD
COMUNIDAD
COMUNIDAD
COMUNIDAD
COMUNIDAD
COMUNIDAD
COMUNIDAD
COMUNIDAD
COMUNIDAD
COMUNIDAD
COMUNIDAD
COMUNIDAD
COMUNIDAD
COMUNIDAD
COMUNIDAD
COMUNIDAD
COMUNIDAD
COMUNIDAD
COMUNIDAD
COMUNIDAD
COMUNIDAD
COMUNIDAD
COMUNIDAD
COMUNIDAD
COMUNIDAD
COMUNIDAD
COMUNIDAD
COMUNIDAD
COMUNIDAD
COMUNIDAD
COMUNIDAD
COMUNIDAD
COMUNIDAD
COMUNIDAD
COMUNIDAD
COMUNIDAD
COMUNIDAD
COMUNIDAD
COMUNIDAD
COMUNIDAD
COMUNIDAD
COMUNIDAD
COMUNIDAD
COMUNIDAD
COMUNIDAD
COMUNIDAD
COMUNIDAD
COMUNIDAD
COMUNIDAD
COMUNIDAD
COMUNIDAD
COMUNIDAD
COMUNIDAD
COMUNIDAD
COMUNIDAD
COMUNIDAD
COMUNIDAD
COMUNIDAD
COMUNIDAD
COMUNIDAD
COMUNIDAD
COMUNIDAD
COMUNIDAD
COMUNIDAD
COMUNIDAD
COMUNIDAD
COMUNIDAD
COMUNIDAD
COMUNIDAD
COMUNIDAD
COMUNIDAD
COMUNIDAD
COMUNIDAD
COMUNIDAD
COMUNIDAD
COMUNIDAD
COMUNIDAD
COMUNIDAD
COMUNIDAD
COMUNIDAD
COMUNIDAD
COMUNIDAD
COMUNIDAD
COMUNIDAD
COMUNIDAD
COMUNIDAD
COMUNIDAD
COMUNIDAD
COMUNIDAD
COMUNIDAD
COMUNIDAD
COMUNIDAD
COMUNIDAD
COMUNIDAD
COMUNIDAD
COMUNIDAD
COMUNIDAD
COMUNIDAD
COMUNIDAD
COMUNIDAD
COMUNIDAD
COMUNIDAD
COMUNIDAD
COMUNIDAD
COMUNIDAD
COMUNIDAD
COMUNIDAD
COMUNIDAD
COMUNIDAD
COMUNIDAD
COMUNIDAD
COMUNIDAD
COMUNIDAD
COMUNIDAD
COMUNIDAD
COMUNIDAD
COMUNIDAD
COMUNIDAD
COMUNIDAD
COMUNIDAD
COMUNIDAD
COMUNIDAD
COMUNIDAD
COMUNIDAD
COMUNIDAD
COMUNIDAD
COMUNIDAD
COMUNIDAD
COMUNIDAD
COMUNIDAD
COMUNIDAD
COMUNIDAD
COMUNIDAD
COMUNIDAD
COMUNIDAD
COMUNIDAD
COMUNIDAD
COMUNIDAD
COMUNIDAD
COMUNIDAD
COMUNIDAD
COMUNIDAD
COMUNIDAD
COMUNIDAD
COMUNIDAD
COMUNIDAD
COMUNIDAD
COMUNIDAD
COMUNIDAD
COMUNIDAD
COMUNIDAD
COMUNIDAD
COMUNIDAD
COMUNIDAD
COMUNIDAD
COMUNIDAD
COMUNIDAD
COMUNIDAD
COMUNIDAD
COMUNIDAD
COMUNIDAD
COMUNIDAD
COMUNIDAD
COMUNIDAD
COMUNIDAD
COMUNIDAD
COMUNIDAD
COMUNIDAD
COMUNIDAD
COMUNIDAD
COMUNIDAD
COMUNIDAD
COMUNIDAD
COMUNIDAD
COMUNIDAD
COMUNIDAD
COMUNIDAD
COMUNIDAD
COMUNIDAD
COMUNIDAD
COMUNIDAD
COMUNIDAD
COMUNIDAD
COMUNIDAD
COMUNIDAD
COMUNIDAD
COMUNIDAD
COMUNIDAD
COMUNIDAD
COMUNIDAD
COMUNIDAD
COMUNIDAD
COMUNIDAD
COMUNIDAD
COMUNIDAD
COMUNIDAD
COMUNIDAD
COMUNIDAD
COMUNIDAD
COMUNIDAD
COMUNIDAD
COMUNIDAD
COMUNIDAD
COMUNIDAD
COMUNIDAD
COMUNIDAD
COMUNIDAD
COMUNIDAD
COMUNIDAD
COMUNIDAD
COMUNIDAD
COMUNIDAD
COMUNIDAD
COMUNIDAD
COMUNIDAD
COMUNIDAD
COMUNIDAD
COMUNIDAD
COMUNIDAD
COMUNIDAD
COMUNIDAD
COMUNIDAD
COMUNIDAD
COMUNIDAD
COMUNIDAD
COMUNIDAD
COMUNIDAD
COMUNIDAD
COMUNIDAD
COMUNIDAD
COMUNIDAD
COMUNIDAD
COMUNIDAD
COMUNIDAD
COMUNIDAD
COMUNIDAD
COMUNIDAD
COMUNIDAD
COMUNIDAD
COMUNIDAD
COMUNIDAD
COMUNIDAD
COMUNIDAD
COMUNIDAD
COMUNIDAD
COMUNIDAD
COMUNIDAD
COMUNIDAD
COMUNIDAD
COMUNIDAD
COMUNIDAD
COMUNIDAD
COMUNIDAD
COMUNIDAD
COMUNIDAD
COMUNIDAD
COMUNIDAD
COMUNIDAD
COMUNIDAD
COMUNIDAD
COMUNIDAD
COMUNIDAD
COMUNIDAD
COMUNIDAD
COMUNIDAD
COMUNIDAD
COMUNIDAD
COMUNIDAD
COMUNIDAD
COMUNIDAD
COMUNIDAD
COMUNIDAD
COMUNIDAD
COMUNIDAD
COMUNIDAD
COMUNIDAD
COMUNIDAD
COMUNIDAD
COMUNIDAD
COMUNIDAD
COMUNIDAD
COMUNIDAD
COMUNIDAD
COMUNIDAD
COMUNIDAD
COMUNIDAD
COMUNIDAD
COMUNIDAD
COMUNIDAD
COMUNIDAD
COMUNIDAD
COMUNIDAD
COMUNIDAD
COMUNIDAD
COMUNIDAD
COMUNIDAD
COMUNIDAD
COMUNIDAD
COMUNIDAD
COMUNIDAD
COMUNIDAD
COMUNIDAD
COMUNIDAD
COMUNIDAD
COMUNIDAD
COMUNIDAD
COMUNIDAD
COMUNIDAD
COMUNIDAD
COMUNIDAD
COMUNIDAD
COMUNIDAD
COMUNIDAD
COMUNIDAD
COMUNIDAD
COMUNIDAD
COMUNIDAD
COMUNIDAD
COMUNIDAD
COMUNIDAD
COMUNIDAD
COMUNIDAD
COMUNIDAD
COMUNIDAD
COMUNIDAD
COMUNIDAD
COMUNIDAD
COMUNIDAD
COMUNIDAD
COMUNIDAD
COMUNIDAD
COMUNIDAD
COMUNIDAD
COMUNIDAD
COMUNIDAD
COMUNIDAD
COMUNIDAD
COMUNIDAD
COMUNIDAD
COMUNIDAD
COMUNIDAD
COMUNIDAD
COMUNIDAD
COMUNIDAD
COMUNIDAD
COMUNIDAD
COMUNIDAD
COMUNIDAD
COMUNIDAD
COMUNIDAD
COMUNIDAD
COMUNIDAD
COMUNIDAD
COMUNIDAD
COMUNIDAD
COMUNIDAD
COMUNIDAD
COMUNIDAD
COMUNIDAD
COMUNIDAD
COMUNIDAD
COMUNIDAD
COMUNIDAD
COMUNIDAD
COMUNIDAD
COMUNIDAD
COMUNIDAD
COMUNIDAD
COMUNIDAD
COMUNIDAD
COMUNIDAD
COMUNIDAD
COMUNIDAD
COMUNIDAD
COMUNIDAD
COMUNIDAD
COMUNIDAD
COMUNIDAD
COMUNIDAD
COMUNIDAD
COMUNIDAD
COMUNIDAD
COMUNIDAD
COMUNIDAD
COMUNIDAD
COMUNIDAD
COMUNIDAD
COMUNIDAD
COMUNIDAD
COMUNIDAD
COMUNIDAD
COMUNIDAD
COMUNIDAD
COMUNIDAD
COMUNIDAD
COMUNIDAD
COMUNIDAD
COMUNIDAD
COMUNIDAD
COMUNIDAD
COMUNIDAD
COMUNIDAD
COMUNIDAD
COMUNIDAD
COMUNIDAD
COMUNIDAD
COMUNIDAD
COMUNIDAD
COMUNIDAD
COMUNIDAD
COMUNIDAD
COMUNIDAD
COMUNIDAD
COMUNIDAD
COMUNIDAD
COMUNIDAD
COMUNIDAD
COMUNIDAD
COMUNIDAD
COMUNIDAD
COMUNIDAD
COMUNIDAD
COMUNIDAD
COMUNIDAD
COMUNIDAD
COMUNIDAD
COMUNIDAD
COMUNIDAD
COMUNIDAD
COMUNIDAD
COMUNIDAD
COMUNIDAD
COMUNIDAD
COMUNIDAD
COMUNIDAD
COMUNIDAD
COMUNIDAD
COMUNIDAD
COMUNIDAD
COMUNIDAD
COMUNIDAD
COMUNIDAD
COMUNIDAD
COMUNIDAD
COMUNIDAD
COMUNIDAD
COMUNIDAD
COMUNIDAD
COMUNIDAD
COMUNIDAD
COMUNIDAD
COMUNIDAD
COMUNIDAD
COMUNIDAD
COMUNIDAD
COMUNIDAD
COMUNIDAD
COMUNIDAD
COMUNIDAD
COMUNIDAD
COMUNIDAD
COMUNIDAD
COMUNIDAD
COMUNIDAD
COMUNIDAD
COMUNIDAD
COMUNIDAD
COMUNIDAD
COMUNIDAD
COMUNIDAD
COMUNIDAD
COMUNIDAD
COMUNIDAD
COMUNIDAD
COMUNIDAD
COMUNIDAD
COMUNIDAD
COMUNIDAD
COMUNIDAD
COMUNIDAD
COMUNIDAD
COMUNIDAD
COMUNIDAD
COMUNIDAD
COMUNIDAD
COMUNIDAD
COMUNIDAD
COMUNIDAD
COMUNIDAD
COMUNIDAD
COMUNIDAD
COMUNIDAD
COMUNIDAD
COMUNIDAD
COMUNIDAD
COMUNIDAD
COMUNIDAD
COMUNIDAD
COMUNIDAD
COMUNIDAD
COMUNIDAD
COMUNIDAD
COMUNIDAD
COMUNIDAD
COMUNIDAD
COMUNIDAD
COMUNIDAD
COMUNIDAD
COMUNIDAD
COMUNIDAD
COMUNIDAD
COMUNIDAD
COMUNIDAD
COMUNIDAD
COMUNIDAD
COMUNIDAD
COMUNIDAD
COMUNIDAD
COMUNIDAD
COMUNIDAD
COMUNIDAD
COMUNIDAD
COMUNIDAD
COMUNIDAD
COMUNIDAD
COMUNIDAD
COMUNIDAD
COMUNIDAD
COMUNIDAD
COMUNIDAD
COMUNIDAD
COMUNIDAD
COMUNIDAD
COMUNIDAD
COMUNIDAD
COMUNIDAD
COMUNIDAD
COMUNIDAD
COMUNIDAD
COMUNIDAD
COMUNIDAD
COMUNIDAD
COMUNIDAD
COMUNIDAD
COMUNIDAD
COMUNIDAD
COMUNIDAD
COMUNIDAD
COMUNIDAD
COMUNIDAD
COMUNIDAD
COMUNIDAD
COMUNIDAD
COMUNIDAD
COMUNIDAD
COMUNIDAD
COMUNIDAD
COMUNIDAD
COMUNIDAD
COMUNIDAD
COMUNIDAD
COMUNIDAD
COMUNIDAD
COMUNIDAD
COMUNIDAD
COMUNIDAD
COMUNIDAD
COMUNIDAD
COMUNIDAD
COMUNIDAD
COMUNIDAD
COMUNIDAD
COMUNIDAD
COMUNIDAD
COMUNIDAD
COMUNIDAD
COMUNIDAD
COMUNIDAD
COMUNIDAD
COMUNIDAD
COMUNIDAD
COMUNIDAD
COMUNIDAD
COMUNIDAD
COMUNIDAD
COMUNIDAD
COMUNIDAD
COMUNIDAD
COMUNIDAD
COMUNIDAD
COMUNIDAD
COMUNIDAD
COMUNIDAD
COMUNIDAD
COMUNIDAD
COMUNIDAD
COMUNIDAD
COMUNIDAD
COMUNIDAD
COMUNIDAD
COMUNIDAD
COMUNIDAD
COMUNIDAD
COMUNIDAD
COMUNIDAD
COMUNIDAD
COMUNIDAD
COMUNIDAD
COMUNIDAD
COMUNIDAD
COMUNIDAD
COMUNIDAD
COMUNIDAD
COMUNIDAD
COMUNIDAD
COMUNIDAD
COMUNIDAD
COMUNIDAD
COMUNIDAD
COMUNIDAD
COMUNIDAD
COMUNIDAD
COMUNIDAD
COMUNIDAD
COMUNIDAD
COMUNIDAD
COMUNIDAD
COMUNIDAD
COMUNIDAD
COMUNIDAD
COMUNIDAD
COMUNIDAD
COMUNIDAD
COMUNIDAD
COMUNIDAD
COMUNIDAD
COMUNIDAD
COMUNIDAD
COMUNIDAD
COMUNIDAD
COMUNIDAD
COMUNIDAD
COMUNIDAD
COMUNIDAD
COMUNIDAD
COMUNIDAD
COMUNIDAD
COMUNIDAD
COMUNIDAD
COMUNIDAD
COMUNIDAD
COMUNIDAD
COMUNIDAD
COMUNIDAD
COMUNIDAD
COMUNIDAD
COMUNIDAD
COMUNIDAD
COMUNIDAD
COMUNIDAD
COMUNIDAD
COMUNIDAD
COMUNIDAD
COMUNIDAD
N° DE CEDULA
     43,894,432
     77,147,902
    7,719,343
    78,321,990
    3,672,418
    8.362.659
    8,047,432



      796,967
  10,322,476,694
    .22.238.836
     3.672.694
     3,551,113
     3.422.739

    15,107,022
    22,237,045
    22.243.489
    11,062,344
    50,852,942
    22,237,987
    26.344.125
    26,343,776



    98,610,494
    3,810,905,
    3,663,936
    32,357,167
    8,363,885

     3,670,689
11,058,934
 4,801,709
 4,440,158
43,693,385

 15,306,811

  4,813,013
  15,703,887
  70,136,003
  8,363,896
  3,442,817
  8,200,947
1,045,137,058
  3,810,905
  3,674,241
  8.201.329
  9,073,399
1,040,496,699
  98,611,570

 22,238,011



 3,998,059
 22,238,014

 98,475,676
 78,026,226
 22,236,868
 3,672,897
102,066,682

43,693,470
  3.442.817
 22.237..011
8.746.267

            71.720.857
            39.287.221

Listados jac,2012.