NOMBRE DE SU
EMPRESA: TEXTILES JHON CLIENTE: MARIA PINTO
NIT: NOMBRE: MARIA PINTO FORMA DE ENTREGA : TERRESTRE
DIRECCION: CALLE 201 N* 19-39 DIRECCION:
CALLE 201N*19-
39
NOMBRE DEL
ORDENADOR: TEXTILES JHON
REGIMEN: SIMPLIFICADO CIUDAD: BUCARAMANGA FORMA DE PAGO: EFECTIVO
CIUDAD BUCARAMANGA TELEFONO: 6190248FECHA: 03/04/2014
TELEFONO: 6190248 TIEMPO DE VALIDEZ: 1 MES
E-MAIL:
JHONATHAN1101@GMAIL.C
OM
DATOS CONTABLES
FECHA
VALOR DE CONTADO 30%
VALOR A CREDITO VALOR
DESCUENTO VALOR
RECARGO VALOR
VALOR TOTAL CON
DESCUENTO VALOR
VALOR TOTAL CON RECARGO VALOR
NOMBRE DE SU EMPRESA: TEXTILES JHON CLIENTE: MARIA PINTO
NIT: NOMBRE: MARIA PINTO
FORMA DE
ENTREGA :
TERREST
RE
DIRECCION: CALLE 201 N* 19-39
DIRECCIO
N:
CALLE 201N*19-
39
NOMBRE DEL
ORDENADOR
:
TEXTILES
JHON
REGIMEN: SIMPLIFICADO CIUDAD: BUCARAMANGA
FORMA DE
PAGO:
EFECTIV
O
CIUDAD BUCARAMANGA
TELEFONO
: 6190248FECHA:
03/04/2
014
TELEFONO: 6190248
TIEMPO DE
VALIDEZ: 1 MES
E-MAIL:
JHONATHAN1101@GM
AIL.COM
CANTI
DAD
VALOR
UNIDAD
CARACTERISTICAS DEL
ARTICULO VALOR ANTES DE
DE
CONTADO A CREDITO
DESCUENTO
0.9
RECARG
O 0.4
VALOR TOTAL
CON DESCUENTO
VALOR TOTAL
CON RECARGO
26 209900pantalon azul 83044 5457400 1637220 3820180 1679,2 587,72 5455720,8 5456812,28
26 117900falda azul azul 391300 3065400 919620 2145780 943,2 330,12 3064456,8 3065069,88
26 169900vestido azul 3613001 4417400 1325220 3092180 1359,2 475,72 4416040,8 4416924,28
26 69900
camiseta rojo/negro
pvda186jsç 1817400 545220 1272180 559,2 195,72 1816840,8 1817204,28
26 49900legis negro rpba01924 1297400 389220 908180 399,2 139,72 1297000,8 1297260,28
26 59900legis jean fresa bpl15js 1557400 467220 1090180 479,2 167,72 1556920,8 1557232,28
26 139900abrigo gris cclo19ka 3637400 1091220 2546180 1119,2 391,72 3636280,8 3637008,28
26 69900
salida baño verde agua
bpf150js 1817400 545220 1272180 559,2 195,72 1816840,8 1817204,28
26 85900vestido baño verde 191989 2233400 670020 1563380 687,2 240,52 2232712,8 2233159,48
26 29900pantuflas rosadas 29po1al14 777400 233220 544180 239,2 83,72 777160,8 777316,28
26 60900pañoleta blanca 3195 1583400 475020 1108380 487,2 170,52 1582912,8 1583229,48
26 209900camisa rojo/dorado x23 680 5457400 1637220 3820180 1679,2 587,72 5455720,8 5456812,28
26 129900ciclista negro 520342 3377400 1013220 2364180 1039,2 363,72 3376360,8 3377036,28
26 29900pantaloneta rosada 120982 777400 233220 544180 239,2 83,72 777160,8 777316,28
26 59900camisa blanca 4104 1557400 467220 1090180 479,2 167,72 1556920,8 1557232,28
26 59900abrigo morado w 4110 1557400 467220 1090180 479,2 167,72 1556920,8 1557232,28
26 79900pantalon negro 1986 2077400 623220 1454180 639,2 223,72 2076760,8 2077176,28
26 20900boxer azul 102738 543400 163020 380380 167,2 58,52 543232,8 543341,48
26 20900buso blanco 1312116 543400 163020 380380 167,2 58,52 543232,8 543341,48
26 42900buso negro 108464 1115400 334620 780780 343,2 120,12 1115056,8 1115279,88
26 29900capri verde militar djfhu54545 777400 233220 544180 239,2 83,72 777160,8 777316,28
NOMBRE DE SU
EMPRESA: TEXTILES JHON CLIENTE:
MARIA
PINTO
NIT: NOMBRE:
MARIA
PINTO
FORMA DE
ENTREGA :
TERREST
RE
DIRECCION: CALLE 201 N* 19-39DIRECCION:
CALLE
201N*19-
39
NOMBRE DEL
ORDENADOR:
TEXTILES
JHON
REGIMEN: SIMPLIFICADO CIUDAD:
BUCARAMA
NGA
FORMA DE
PAGO: EFECTIVO
CIUDAD BUCARAMANGA TELEFONO: 6190248FECHA:
03/04/20
14
TELEFONO: 6190248
TIEMPO DE
VALIDEZ: 1 MES
E-MAIL:
JHONATHAN1101@
GMAIL.COM
NOMBRE DE SU
EMPRESA: TEXTILES JHON
CLIENT
E:
MARIA
PINTO
NIT:
NOMB
RE:
MARIA
PINTO
FORMA DE
ENTREGA :
TERREST
RE
DIRECCION: CALLE 201 N* 19-39
DIRECC
ION:
CALLE
201N*19-
39
NOMBRE DEL
ORDENADOR:
TEXTILES
JHON
REGIMEN: SIMPLIFICADO
CIUDA
D:
BUCARAM
ANGA
FORMA DE
PAGO:
EFECTIV
O
CIUDAD BUCARAMANGA
TELEFO
NO: 6190248FECHA:
03/04/20
14
TELEFONO: 6190248
TIEMPO DE
VALIDEZ: 1 MES
E-MAIL:
JHONATHAN1101@
GMAIL.COM
NOMBRE DE SU EMPRESA: TEXTILES JHON CLIENTE: MARIA PINTO
NIT: NOMBRE: MARIA PINTO FORMA DE ENTREGA : TERRESTRE
DIRECCION: CALLE 201 N* 19-39 DIRECCION: CALLE 201N*19-39NOMBRE DEL ORDENADOR: TEXTILES JHON
REGIMEN: SIMPLIFICADO CIUDAD: BUCARAMANGA FORMA DE PAGO: EFECTIVO
CIUDAD BUCARAMANGA TELEFONO: 6190248FECHA: 03/04/2014
TELEFONO: 6190248 TIEMPO DE VALIDEZ: 1 MES
E-MAIL: JHONATHAN1101@GMAIL.COM

Textiles jhon

  • 1.
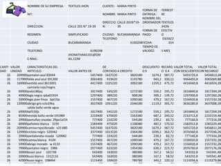
    NOMBRE DE SU EMPRESA:TEXTILES JHON CLIENTE: MARIA PINTO NIT: NOMBRE: MARIA PINTO FORMA DE ENTREGA : TERRESTRE DIRECCION: CALLE 201 N* 19-39 DIRECCION: CALLE 201N*19- 39 NOMBRE DEL ORDENADOR: TEXTILES JHON REGIMEN: SIMPLIFICADO CIUDAD: BUCARAMANGA FORMA DE PAGO: EFECTIVO CIUDAD BUCARAMANGA TELEFONO: 6190248FECHA: 03/04/2014 TELEFONO: 6190248 TIEMPO DE VALIDEZ: 1 MES E-MAIL: JHONATHAN1101@GMAIL.C OM DATOS CONTABLES FECHA VALOR DE CONTADO 30% VALOR A CREDITO VALOR DESCUENTO VALOR RECARGO VALOR VALOR TOTAL CON DESCUENTO VALOR VALOR TOTAL CON RECARGO VALOR
  • 2.
    NOMBRE DE SUEMPRESA: TEXTILES JHON CLIENTE: MARIA PINTO NIT: NOMBRE: MARIA PINTO FORMA DE ENTREGA : TERREST RE DIRECCION: CALLE 201 N* 19-39 DIRECCIO N: CALLE 201N*19- 39 NOMBRE DEL ORDENADOR : TEXTILES JHON REGIMEN: SIMPLIFICADO CIUDAD: BUCARAMANGA FORMA DE PAGO: EFECTIV O CIUDAD BUCARAMANGA TELEFONO : 6190248FECHA: 03/04/2 014 TELEFONO: 6190248 TIEMPO DE VALIDEZ: 1 MES E-MAIL: JHONATHAN1101@GM AIL.COM CANTI DAD VALOR UNIDAD CARACTERISTICAS DEL ARTICULO VALOR ANTES DE DE CONTADO A CREDITO DESCUENTO 0.9 RECARG O 0.4 VALOR TOTAL CON DESCUENTO VALOR TOTAL CON RECARGO 26 209900pantalon azul 83044 5457400 1637220 3820180 1679,2 587,72 5455720,8 5456812,28 26 117900falda azul azul 391300 3065400 919620 2145780 943,2 330,12 3064456,8 3065069,88 26 169900vestido azul 3613001 4417400 1325220 3092180 1359,2 475,72 4416040,8 4416924,28 26 69900 camiseta rojo/negro pvda186jsç 1817400 545220 1272180 559,2 195,72 1816840,8 1817204,28 26 49900legis negro rpba01924 1297400 389220 908180 399,2 139,72 1297000,8 1297260,28 26 59900legis jean fresa bpl15js 1557400 467220 1090180 479,2 167,72 1556920,8 1557232,28 26 139900abrigo gris cclo19ka 3637400 1091220 2546180 1119,2 391,72 3636280,8 3637008,28 26 69900 salida baño verde agua bpf150js 1817400 545220 1272180 559,2 195,72 1816840,8 1817204,28 26 85900vestido baño verde 191989 2233400 670020 1563380 687,2 240,52 2232712,8 2233159,48 26 29900pantuflas rosadas 29po1al14 777400 233220 544180 239,2 83,72 777160,8 777316,28 26 60900pañoleta blanca 3195 1583400 475020 1108380 487,2 170,52 1582912,8 1583229,48 26 209900camisa rojo/dorado x23 680 5457400 1637220 3820180 1679,2 587,72 5455720,8 5456812,28 26 129900ciclista negro 520342 3377400 1013220 2364180 1039,2 363,72 3376360,8 3377036,28 26 29900pantaloneta rosada 120982 777400 233220 544180 239,2 83,72 777160,8 777316,28 26 59900camisa blanca 4104 1557400 467220 1090180 479,2 167,72 1556920,8 1557232,28 26 59900abrigo morado w 4110 1557400 467220 1090180 479,2 167,72 1556920,8 1557232,28 26 79900pantalon negro 1986 2077400 623220 1454180 639,2 223,72 2076760,8 2077176,28 26 20900boxer azul 102738 543400 163020 380380 167,2 58,52 543232,8 543341,48 26 20900buso blanco 1312116 543400 163020 380380 167,2 58,52 543232,8 543341,48 26 42900buso negro 108464 1115400 334620 780780 343,2 120,12 1115056,8 1115279,88 26 29900capri verde militar djfhu54545 777400 233220 544180 239,2 83,72 777160,8 777316,28
  • 3.
    NOMBRE DE SU EMPRESA:TEXTILES JHON CLIENTE: MARIA PINTO NIT: NOMBRE: MARIA PINTO FORMA DE ENTREGA : TERREST RE DIRECCION: CALLE 201 N* 19-39DIRECCION: CALLE 201N*19- 39 NOMBRE DEL ORDENADOR: TEXTILES JHON REGIMEN: SIMPLIFICADO CIUDAD: BUCARAMA NGA FORMA DE PAGO: EFECTIVO CIUDAD BUCARAMANGA TELEFONO: 6190248FECHA: 03/04/20 14 TELEFONO: 6190248 TIEMPO DE VALIDEZ: 1 MES E-MAIL: JHONATHAN1101@ GMAIL.COM
  • 4.
    NOMBRE DE SU EMPRESA:TEXTILES JHON CLIENT E: MARIA PINTO NIT: NOMB RE: MARIA PINTO FORMA DE ENTREGA : TERREST RE DIRECCION: CALLE 201 N* 19-39 DIRECC ION: CALLE 201N*19- 39 NOMBRE DEL ORDENADOR: TEXTILES JHON REGIMEN: SIMPLIFICADO CIUDA D: BUCARAM ANGA FORMA DE PAGO: EFECTIV O CIUDAD BUCARAMANGA TELEFO NO: 6190248FECHA: 03/04/20 14 TELEFONO: 6190248 TIEMPO DE VALIDEZ: 1 MES E-MAIL: JHONATHAN1101@ GMAIL.COM
  • 5.
    NOMBRE DE SUEMPRESA: TEXTILES JHON CLIENTE: MARIA PINTO NIT: NOMBRE: MARIA PINTO FORMA DE ENTREGA : TERRESTRE DIRECCION: CALLE 201 N* 19-39 DIRECCION: CALLE 201N*19-39NOMBRE DEL ORDENADOR: TEXTILES JHON REGIMEN: SIMPLIFICADO CIUDAD: BUCARAMANGA FORMA DE PAGO: EFECTIVO CIUDAD BUCARAMANGA TELEFONO: 6190248FECHA: 03/04/2014 TELEFONO: 6190248 TIEMPO DE VALIDEZ: 1 MES E-MAIL: JHONATHAN1101@GMAIL.COM