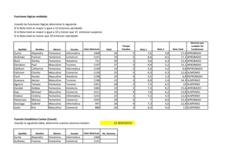
APELLIDOS Y NOMBRES DAYANA PUMA
CÉDULA 604004200
Función SI (IF)
Discrimine la información de acuerdo a:
Si la Nota Total es mayor igual a 15 por valor verdadero Aprobado caso contrario Reprobado
Apellido Nombre Género Escuela Valor Matrícula Edad
Tiempo
Estudios Nota 1 Nota 2 Nota Total
Alumnos que
cumplen las
Condiciones
Zurita Alejandra Femenino Informática 1468 24 3 7,6 9,8 17,4 APROVADO
Andrews Frances Femenino Comercio 1141 19 5 8,6 8,5 17,1 APROVADO
Bach Shirley Femenino Hotelería 721 20 2 9,6 6,3 15,9 APROVADO
Davidson Paul Masculino Turismo 1197 27 3 9,9 5,2 15,1 APROVADO
Edelhart Catherine Femenino Informática 1190 19 3 5,6 4,2 9,8 REPREBADO
Falconer Charles Masculino Comercio 1150 25 5 6,3 6,3 12,6 REPREBADO
Ford Hunter Masculino Hotelería 1198 19 4 4,5 2,3 6,8 REPREBADO
Guevara Hector Masculino Turismo 1108 23 3 8,9 5,4 14,3 REPREBADO
Aguirre Tatiana Femenino Turismo 1352 28 2 7,5 6,5 14 REPREBADO
Gandet Debbie Femenino Hotelería 1083 19 2 7,4 8,2 15,6 APROVADO
Gay Michael Masculino Comercio 1411 26 4 7,6 6,2 13,8 REPREBADO
Endara Cristina Femenino Informática 1232 22 1 7,2 5,4 12,6 REPREBADO
Halvorson Mónica Femenino Comercio 1454 20 5 7 8,4 15,4 APROVADO
Gonzaga Gabriel Masculino Informática 947 26 4 7,3 5,6 12,9 REPREBADO
Jacks Kris Masculino Comercio 880 26 3 6,5 4,5 11 REPREBADO
PRÁCTICA DE EXCEL
Funciones lógicas anidadas
Usando las funciones lógicas determine lo siguiente:
Si la Nota total es mayor o igual a 15 entonces aprobado
Si la Nota total es mayor o igual a 10 y menor que 15 entonces suspenso
Si la Nota total es menor que 10 entonces reprobado
Apellido Nombre Género Escuela Valor Matrícula Edad
Tiempo
Estudios Nota 1 Nota 2 Nota Total
Alumnos que
cumplen las
Condiciones
Zurita Alejandra Femenino Informática 1468 24 3 7,6 9,8 17,4 APROBADO
Andrews Frances Femenino Comercio 1141 19 5 8,6 8,5 17,1 APROBADO
Bach Shirley Femenino Hotelería 721 20 2 9,6 6,3 15,9 APROBADO
Davidson Paul Masculino Turismo 1197 27 3 9,9 5,2 15,1 APROBADO
Edelhart Catherine Femenino Informática 1190 19 3 5,6 4,2 9,8 REPROBADO
Falconer Charles Masculino Comercio 1150 25 5 6,3 6,3 12,6 SUSPENSO
Ford Hunter Masculino Hotelería 1198 19 4 4,5 2,3 6,8 REPROBADO
Guevara Hector Masculino Turismo 1108 23 3 8,9 5,4 14,3 SUSPENSO
Aguirre Tatiana Femenino Turismo 1352 28 2 7,5 6,5 14 SUSPENSO
Gandet Debbie Femenino Hotelería 1083 19 2 7,4 8,2 15,6 APROBADO
Gay Michael Masculino Comercio 1411 26 4 7,6 6,2 13,8 SUSPENSO
Endara Cristina Femenino Informática 1232 22 1 7,2 5,4 12,6 SUSPENSO
Halvorson Mónica Femenino Comercio 1454 20 5 7 8,4 15,4 APROBADO
Gonzaga Gabriel Masculino Informática 947 26 4 7,3 5,6 12,9 SUSPENSO
Jacks Kris Masculino Comercio 880 26 3 6,5 4,5 11 SUSPENSO
Función Estadística Contar (Count)
Usando la siguiente tabla, determine cuantos alumnos existen: 15 RESPUESTA
Apellido Nombre Género Escuela Valor Matrícula No. Alumnos
Zurita Alejandra Femenino Informática 1468
Andrews Frances Femenino Comercio 1141
Bach Shirley Femenino Hotelería 721
Davidson Paul Masculino Turismo 1197
Edelhart Catherine Femenino Informática 1190
Falconer Charles Masculino Comercio 1150
Ford Hunter Masculino Hotelería 1198
Guevara Hector Masculino Turismo 1108
Aguirre Tatiana Femenino Turismo 1352
Gandet Debbie Femenino Hotelería 1083
Gay Michael Masculino Comercio 1411
Endara Cristina Femenino Informática 1232
Halvorson Mónica Femenino Comercio 1454
Gonzaga Gabriel Masculino Informática 947
Jacks Kris Masculino Comercio 880
Función Estadística Contar.si (Countif)
Contar los alumnos que pertenecen a la Escuela de Informática
Contar los alumnos que pertenecen a la Escuela de Comercio
Contar los alumnos que pertenecen a la Escuela de Hotelería
Contar los alumnos que pertenecen a la Escuela de Turismo
Apellido Nombre Género Escuela Valor Matrícula
Zurita Alejandra Femenino Informática 1468
Andrews Frances Femenino Comercio 1141
Bach Shirley Femenino Hotelería 721
Davidson Paul Masculino Turismo 1197
Edelhart Catherine Femenino Informática 1190
Falconer Charles Masculino Comercio 1150
Ford Hunter Masculino Hotelería 1198
Guevara Hector Masculino Turismo 1108
Aguirre Tatiana Femenino Turismo 1352
Gandet Debbie Femenino Hotelería 1083
Gay Michael Masculino Comercio 1411
Endara Cristina Femenino Informática 1232
Halvorson Mónica Femenino Comercio 1454
Gonzaga Gabriel Masculino Informática 947
Jacks Kris Masculino Comercio 880
Contar los alumnos de Informática 4
Contar los alumnos de Comercio 5
Contar los alumnos de Hotelería 3
Contar los alumnos de Turismo 3
Función Estadística Promedio (Average)
Determine el promedio de la columna Valor matrícula
Apellido Nombre Género Escuela Valor Matrícula Promedio
Zurita Alejandra Femenino Informática 1468 1168,8
Andrews Frances Femenino Comercio 1141
Bach Shirley Femenino Hotelería 721
Davidson Paul Masculino Turismo 1197
Edelhart Catherine Femenino Informática 1190
Falconer Charles Masculino Comercio 1150
Ford Hunter Masculino Hotelería 1198
Guevara Hector Masculino Turismo 1108
Aguirre Tatiana Femenino Turismo 1352
Gandet Debbie Femenino Hotelería 1083
Gay Michael Masculino Comercio 1411
Endara Cristina Femenino Informática 1232
Halvorson Mónica Femenino Comercio 1454
Gonzaga Gabriel Masculino Informática 947
Jacks Kris Masculino Comercio 880
Función Estadística Desvest (Stdev)
Determine la desviación standard de la columna Valor matrícula
Apellido Nombre Género Escuela Valor Matrícula
Desviación
Standard
Zurita Alejandra Femenino Informática 1468
Andrews Frances Femenino Comercio 1141
Bach Shirley Femenino Hotelería 721 209,5035629
Davidson Paul Masculino Turismo 1197
Edelhart Catherine Femenino Informática 1190
Falconer Charles Masculino Comercio 1150
Ford Hunter Masculino Hotelería 1198
Guevara Hector Masculino Turismo 1108
Aguirre Tatiana Femenino Turismo 1352
Gandet Debbie Femenino Hotelería 1083
Gay Michael Masculino Comercio 1411
Endara Cristina Femenino Informática 1232
Halvorson Mónica Femenino Comercio 1454
Gonzaga Gabriel Masculino Informática 947
Jacks Kris Masculino Comercio 880
Función Estadística Max (Max)
Determine el valor más alto de la columna Valor matrícula
Apellido Nombre Género Escuela Valor Matrícula Valor Máximo
Zurita Alejandra Femenino Informática 1468
Andrews Frances Femenino Comercio 1141
Bach Shirley Femenino Hotelería 721
Davidson Paul Masculino Turismo 1197
Edelhart Catherine Femenino Informática 1190
Falconer Charles Masculino Comercio 1150
Ford Hunter Masculino Hotelería 1198
Guevara Hector Masculino Turismo 1108
Aguirre Tatiana Femenino Turismo 1352
Gandet Debbie Femenino Hotelería 1083
Gay Michael Masculino Comercio 1411
Endara Cristina Femenino Informática 1232
Halvorson Mónica Femenino Comercio 1454
Gonzaga Gabriel Masculino Informática 947
Jacks Kris Masculino Comercio 880
1468 RESPUESTA
Función Estadística Min (Min)
Determine el menor valor de la columna Valor matrícula
Apellido Nombre Género Escuela Valor Matrícula Valor Mínimo
Zurita Alejandra Femenino Informática 1468
Andrews Frances Femenino Comercio 1141
Bach Shirley Femenino Hotelería 721
Davidson Paul Masculino Turismo 1197
Edelhart Catherine Femenino Informática 1190
Falconer Charles Masculino Comercio 1150
Ford Hunter Masculino Hotelería 1198
Guevara Hector Masculino Turismo 1108
Aguirre Tatiana Femenino Turismo 1352
Gandet Debbie Femenino Hotelería 1083
Gay Michael Masculino Comercio 1411
Endara Cristina Femenino Informática 1232
Halvorson Mónica Femenino Comercio 1454
Gonzaga Gabriel Masculino Informática 947
Jacks Kris Masculino Comercio 880
721 RESPUESTA
Función Estadística Mediana (Mediana)
Determine la mediana de la columna Valor matrícula
Apellido Nombre Género Escuela Valor Matrícula Mediana
Zurita Alejandra Femenino Informática 1468 1190
Andrews Frances Femenino Comercio 1141
Bach Shirley Femenino Hotelería 721
Davidson Paul Masculino Turismo 1197
Edelhart Catherine Femenino Informática 1190
Falconer Charles Masculino Comercio 1150
Ford Hunter Masculino Hotelería 1198
Guevara Hector Masculino Turismo 1108
Aguirre Tatiana Femenino Turismo 1352
Gandet Debbie Femenino Hotelería 1083
Gay Michael Masculino Comercio 1411
Endara Cristina Femenino Informática 1232
Halvorson Mónica Femenino Comercio 1454
Gonzaga Gabriel Masculino Informática 947
Jacks Kris Masculino Comercio 880
Función Estadística Moda (Mode)
Determine la moda de la columna Valor matrícula
Apellido Nombre Género Escuela Valor Matrícula Moda
Zurita Alejandra Femenino Informática 1468 721 RESPUESTA
Andrews Frances Femenino Comercio 721
Bach Shirley Femenino Hotelería 721
Davidson Paul Masculino Turismo 1197
Edelhart Catherine Femenino Informática 1190
Falconer Charles Masculino Comercio 1150
Ford Hunter Masculino Hotelería 1198
Guevara Hector Masculino Turismo 1108
Aguirre Tatiana Femenino Turismo 1352
Gandet Debbie Femenino Hotelería 1083
Gay Michael Masculino Comercio 1411
Endara Cristina Femenino Informática 1232
Halvorson Mónica Femenino Comercio 1454
Gonzaga Gabriel Masculino Informática 947
Jacks Kris Masculino Comercio 880
APROBADO
APROBADO
APROBADO
APROBADO
SUSPENSO
SUSPENSO
REPROBADO
APROBADO
APROBADO
APROBADO
APROBADO
APROBADO
APROBADO
APROBADO
SUSPENSO

Dayana puma ejercicios con funciones

  • 1.
    APELLIDOS Y NOMBRESDAYANA PUMA CÉDULA 604004200 Función SI (IF) Discrimine la información de acuerdo a: Si la Nota Total es mayor igual a 15 por valor verdadero Aprobado caso contrario Reprobado Apellido Nombre Género Escuela Valor Matrícula Edad Tiempo Estudios Nota 1 Nota 2 Nota Total Alumnos que cumplen las Condiciones Zurita Alejandra Femenino Informática 1468 24 3 7,6 9,8 17,4 APROVADO Andrews Frances Femenino Comercio 1141 19 5 8,6 8,5 17,1 APROVADO Bach Shirley Femenino Hotelería 721 20 2 9,6 6,3 15,9 APROVADO Davidson Paul Masculino Turismo 1197 27 3 9,9 5,2 15,1 APROVADO Edelhart Catherine Femenino Informática 1190 19 3 5,6 4,2 9,8 REPREBADO Falconer Charles Masculino Comercio 1150 25 5 6,3 6,3 12,6 REPREBADO Ford Hunter Masculino Hotelería 1198 19 4 4,5 2,3 6,8 REPREBADO Guevara Hector Masculino Turismo 1108 23 3 8,9 5,4 14,3 REPREBADO Aguirre Tatiana Femenino Turismo 1352 28 2 7,5 6,5 14 REPREBADO Gandet Debbie Femenino Hotelería 1083 19 2 7,4 8,2 15,6 APROVADO Gay Michael Masculino Comercio 1411 26 4 7,6 6,2 13,8 REPREBADO Endara Cristina Femenino Informática 1232 22 1 7,2 5,4 12,6 REPREBADO Halvorson Mónica Femenino Comercio 1454 20 5 7 8,4 15,4 APROVADO Gonzaga Gabriel Masculino Informática 947 26 4 7,3 5,6 12,9 REPREBADO Jacks Kris Masculino Comercio 880 26 3 6,5 4,5 11 REPREBADO PRÁCTICA DE EXCEL
  • 2.
    Funciones lógicas anidadas Usandolas funciones lógicas determine lo siguiente: Si la Nota total es mayor o igual a 15 entonces aprobado Si la Nota total es mayor o igual a 10 y menor que 15 entonces suspenso Si la Nota total es menor que 10 entonces reprobado Apellido Nombre Género Escuela Valor Matrícula Edad Tiempo Estudios Nota 1 Nota 2 Nota Total Alumnos que cumplen las Condiciones Zurita Alejandra Femenino Informática 1468 24 3 7,6 9,8 17,4 APROBADO Andrews Frances Femenino Comercio 1141 19 5 8,6 8,5 17,1 APROBADO Bach Shirley Femenino Hotelería 721 20 2 9,6 6,3 15,9 APROBADO Davidson Paul Masculino Turismo 1197 27 3 9,9 5,2 15,1 APROBADO Edelhart Catherine Femenino Informática 1190 19 3 5,6 4,2 9,8 REPROBADO Falconer Charles Masculino Comercio 1150 25 5 6,3 6,3 12,6 SUSPENSO Ford Hunter Masculino Hotelería 1198 19 4 4,5 2,3 6,8 REPROBADO Guevara Hector Masculino Turismo 1108 23 3 8,9 5,4 14,3 SUSPENSO Aguirre Tatiana Femenino Turismo 1352 28 2 7,5 6,5 14 SUSPENSO Gandet Debbie Femenino Hotelería 1083 19 2 7,4 8,2 15,6 APROBADO Gay Michael Masculino Comercio 1411 26 4 7,6 6,2 13,8 SUSPENSO Endara Cristina Femenino Informática 1232 22 1 7,2 5,4 12,6 SUSPENSO Halvorson Mónica Femenino Comercio 1454 20 5 7 8,4 15,4 APROBADO Gonzaga Gabriel Masculino Informática 947 26 4 7,3 5,6 12,9 SUSPENSO Jacks Kris Masculino Comercio 880 26 3 6,5 4,5 11 SUSPENSO Función Estadística Contar (Count) Usando la siguiente tabla, determine cuantos alumnos existen: 15 RESPUESTA Apellido Nombre Género Escuela Valor Matrícula No. Alumnos Zurita Alejandra Femenino Informática 1468 Andrews Frances Femenino Comercio 1141
  • 3.
    Bach Shirley FemeninoHotelería 721 Davidson Paul Masculino Turismo 1197 Edelhart Catherine Femenino Informática 1190 Falconer Charles Masculino Comercio 1150 Ford Hunter Masculino Hotelería 1198 Guevara Hector Masculino Turismo 1108 Aguirre Tatiana Femenino Turismo 1352 Gandet Debbie Femenino Hotelería 1083 Gay Michael Masculino Comercio 1411 Endara Cristina Femenino Informática 1232 Halvorson Mónica Femenino Comercio 1454 Gonzaga Gabriel Masculino Informática 947 Jacks Kris Masculino Comercio 880 Función Estadística Contar.si (Countif) Contar los alumnos que pertenecen a la Escuela de Informática Contar los alumnos que pertenecen a la Escuela de Comercio Contar los alumnos que pertenecen a la Escuela de Hotelería Contar los alumnos que pertenecen a la Escuela de Turismo Apellido Nombre Género Escuela Valor Matrícula Zurita Alejandra Femenino Informática 1468 Andrews Frances Femenino Comercio 1141 Bach Shirley Femenino Hotelería 721 Davidson Paul Masculino Turismo 1197 Edelhart Catherine Femenino Informática 1190 Falconer Charles Masculino Comercio 1150 Ford Hunter Masculino Hotelería 1198 Guevara Hector Masculino Turismo 1108 Aguirre Tatiana Femenino Turismo 1352 Gandet Debbie Femenino Hotelería 1083
  • 4.
    Gay Michael MasculinoComercio 1411 Endara Cristina Femenino Informática 1232 Halvorson Mónica Femenino Comercio 1454 Gonzaga Gabriel Masculino Informática 947 Jacks Kris Masculino Comercio 880 Contar los alumnos de Informática 4 Contar los alumnos de Comercio 5 Contar los alumnos de Hotelería 3 Contar los alumnos de Turismo 3 Función Estadística Promedio (Average) Determine el promedio de la columna Valor matrícula Apellido Nombre Género Escuela Valor Matrícula Promedio Zurita Alejandra Femenino Informática 1468 1168,8 Andrews Frances Femenino Comercio 1141 Bach Shirley Femenino Hotelería 721 Davidson Paul Masculino Turismo 1197 Edelhart Catherine Femenino Informática 1190 Falconer Charles Masculino Comercio 1150 Ford Hunter Masculino Hotelería 1198 Guevara Hector Masculino Turismo 1108 Aguirre Tatiana Femenino Turismo 1352 Gandet Debbie Femenino Hotelería 1083 Gay Michael Masculino Comercio 1411 Endara Cristina Femenino Informática 1232 Halvorson Mónica Femenino Comercio 1454 Gonzaga Gabriel Masculino Informática 947 Jacks Kris Masculino Comercio 880
  • 5.
    Función Estadística Desvest(Stdev) Determine la desviación standard de la columna Valor matrícula Apellido Nombre Género Escuela Valor Matrícula Desviación Standard Zurita Alejandra Femenino Informática 1468 Andrews Frances Femenino Comercio 1141 Bach Shirley Femenino Hotelería 721 209,5035629 Davidson Paul Masculino Turismo 1197 Edelhart Catherine Femenino Informática 1190 Falconer Charles Masculino Comercio 1150 Ford Hunter Masculino Hotelería 1198 Guevara Hector Masculino Turismo 1108 Aguirre Tatiana Femenino Turismo 1352 Gandet Debbie Femenino Hotelería 1083 Gay Michael Masculino Comercio 1411 Endara Cristina Femenino Informática 1232 Halvorson Mónica Femenino Comercio 1454 Gonzaga Gabriel Masculino Informática 947 Jacks Kris Masculino Comercio 880 Función Estadística Max (Max) Determine el valor más alto de la columna Valor matrícula Apellido Nombre Género Escuela Valor Matrícula Valor Máximo Zurita Alejandra Femenino Informática 1468 Andrews Frances Femenino Comercio 1141 Bach Shirley Femenino Hotelería 721 Davidson Paul Masculino Turismo 1197 Edelhart Catherine Femenino Informática 1190
  • 6.
    Falconer Charles MasculinoComercio 1150 Ford Hunter Masculino Hotelería 1198 Guevara Hector Masculino Turismo 1108 Aguirre Tatiana Femenino Turismo 1352 Gandet Debbie Femenino Hotelería 1083 Gay Michael Masculino Comercio 1411 Endara Cristina Femenino Informática 1232 Halvorson Mónica Femenino Comercio 1454 Gonzaga Gabriel Masculino Informática 947 Jacks Kris Masculino Comercio 880 1468 RESPUESTA Función Estadística Min (Min) Determine el menor valor de la columna Valor matrícula Apellido Nombre Género Escuela Valor Matrícula Valor Mínimo Zurita Alejandra Femenino Informática 1468 Andrews Frances Femenino Comercio 1141 Bach Shirley Femenino Hotelería 721 Davidson Paul Masculino Turismo 1197 Edelhart Catherine Femenino Informática 1190 Falconer Charles Masculino Comercio 1150 Ford Hunter Masculino Hotelería 1198 Guevara Hector Masculino Turismo 1108 Aguirre Tatiana Femenino Turismo 1352 Gandet Debbie Femenino Hotelería 1083 Gay Michael Masculino Comercio 1411 Endara Cristina Femenino Informática 1232 Halvorson Mónica Femenino Comercio 1454 Gonzaga Gabriel Masculino Informática 947 Jacks Kris Masculino Comercio 880
  • 7.
    721 RESPUESTA Función EstadísticaMediana (Mediana) Determine la mediana de la columna Valor matrícula Apellido Nombre Género Escuela Valor Matrícula Mediana Zurita Alejandra Femenino Informática 1468 1190 Andrews Frances Femenino Comercio 1141 Bach Shirley Femenino Hotelería 721 Davidson Paul Masculino Turismo 1197 Edelhart Catherine Femenino Informática 1190 Falconer Charles Masculino Comercio 1150 Ford Hunter Masculino Hotelería 1198 Guevara Hector Masculino Turismo 1108 Aguirre Tatiana Femenino Turismo 1352 Gandet Debbie Femenino Hotelería 1083 Gay Michael Masculino Comercio 1411 Endara Cristina Femenino Informática 1232 Halvorson Mónica Femenino Comercio 1454 Gonzaga Gabriel Masculino Informática 947 Jacks Kris Masculino Comercio 880 Función Estadística Moda (Mode) Determine la moda de la columna Valor matrícula Apellido Nombre Género Escuela Valor Matrícula Moda Zurita Alejandra Femenino Informática 1468 721 RESPUESTA Andrews Frances Femenino Comercio 721 Bach Shirley Femenino Hotelería 721 Davidson Paul Masculino Turismo 1197 Edelhart Catherine Femenino Informática 1190
  • 8.
    Falconer Charles MasculinoComercio 1150 Ford Hunter Masculino Hotelería 1198 Guevara Hector Masculino Turismo 1108 Aguirre Tatiana Femenino Turismo 1352 Gandet Debbie Femenino Hotelería 1083 Gay Michael Masculino Comercio 1411 Endara Cristina Femenino Informática 1232 Halvorson Mónica Femenino Comercio 1454 Gonzaga Gabriel Masculino Informática 947 Jacks Kris Masculino Comercio 880
  • 10.