Incrustar presentación
Descargar como PDF, PPTX














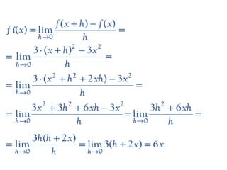
La derivada de una función en un punto es el valor del límite de un cociente incremental cuando el incremento tiende a cero. La derivada de una constante es cero. Para derivar funciones como suma, producto o cociente se usan reglas como multiplicar el exponente por el coeficiente y reducir el exponente en uno, o derivar cada término por separado.












