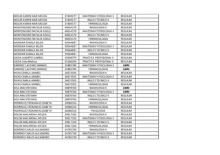
TECNICO SUPERIOR EN DIAGNOSTICO POR IMÁGENES
INSCRIPTOS MESAS EXAMENES AGOSTO 2015
Dia inscripcion: 10 de Julio MATERIAS DE 2do AÑO
APELLIDO Y NOMBRE DNI MATERIA CONDICION OBSERVACIONES
ACUÑA MARIA DESIREE 37467633 RADIOLOGIA II REGULAR
ACUÑA MARIA DESIREE 37467633 ANATOMIA Y FISIOLOGIA II REGULAR
ACUÑA MARIA DESIREE 37467633 INGLES TECNICO II REGULAR
ACUÑA MARIA DESIREE 37467633 FARMACOLOGIA REGULAR
AGUAYO JOSE EZEQUIEL 37684180 RADIOLOGIA II REGULAR
AGUAYO JOSE EZEQUIEL 37684180 ANATOMIA Y FISIOLOGIA II LIBRE
AGUAYO JOSE EZEQUIEL 37684180 INGLES TECNICO II REGULAR
AGUAYO JOSE EZEQUIEL 37684180 FARMACOLOGIA REGULAR
ALEGRE ROCIO BELEN 36268252 PRACTICA PROFESIONAL II REGULAR CONDICIONAL
ALEGRE ROCIO BELEN 36268252 FARMACOLOGIA REGULAR
ALMIRON, Giuliana Isabel 36548504 ANATOMIA Y FISIOLOGIA II LIBRE
ALMIRON,Silvia Gisela 36388356 ANATOMIA Y FISIOLOGIA II REGULAR
ALMIRON,Silvia Gisela 36388356 FARMACOLOGIA REGULAR
ALVAREZ MATIAS NICOLAS 39125846 RADIOLOGIA II REGULAR
ALVAREZ MATIAS NICOLAS 39125846 ANATOMIA Y FISIOLOGIA II REGULAR
ALVAREZ MATIAS NICOLAS 39125846 INGLES TECNICO II REGULAR
ALVAREZ MATIAS NICOLAS 39125846 FARMACOLOGIA REGULAR
ARTIN RODRIGO NICOLAS 38310442 RADIOLOGIA II REGULAR
ARTIN RODRIGO NICOLAS 38310442 ANATOMIA Y FISIOLOGIA II REGULAR
ARTIN RODRIGO NICOLAS 38310442 INGLES TECNICO II REGULAR
ARTIN RODRIGO NICOLAS 38310442 FARMACOLOGIA REGULAR
BAEZ MIGUEL RUBEN ARMANDO 37427806 RADIOLOGIA II REGULAR
BAEZ MIGUEL RUBEN ARMANDO 37427806 ANATOMIA Y FISIOLOGIA II REGULAR
BAEZ MIGUEL RUBEN ARMANDO 37427806 INGLES TECNICO II REGULAR
BAEZ MIGUEL RUBEN ARMANDO 37427806 FARMACOLOGIA REGULAR
BALMACEDA CAROLINA BEATRIZ 35267057 RADIOLOGIA II REGULAR
BALMACEDA CAROLINA BEATRIZ 35267057 ANATOMIA Y FISIOLOGIA II REGULAR
BALMACEDA CAROLINA BEATRIZ 35267057 INGLES TECNICO II REGULAR
BALMACEDA CAROLINA BEATRIZ 35267057 FARMACOLOGIA REGULAR
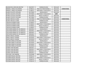
BANDEO, YAMILA ALEJANDRA 37798151 PRACTICA PROFESIONAL II REGULAR CONDICIONAL
BANDEO, YAMILA ALEJANDRA 37798151 ANATOMIA Y FISIOLOGIA II REGULAR
BLANCO CELESTE CATALINA 39775834 RADIOLOGIA II REGULAR
BLANCO CELESTE CATALINA 39775834 ANATOMIA Y FISIOLOGIA II LIBRE
BLANCO CELESTE CATALINA 39775834 INGLES TECNICO II REGULAR
BLANCO CELESTE CATALINA 39775834 FARMACOLOGIA REGULAR
BLANCO MELISA LILIANA 37327060 PRACTICA PROFESIONAL II REGULAR CONDICIONAL
BLANCO MELISA LILIANA 37327060 FARMACOLOGIA REGULAR
CARVALHO MIRNA IVONE 37160022 RADIOLOGIA II REGULAR
CARVALHO MIRNA IVONE 37160022 ANATOMIA Y FISIOLOGIA II REGULAR
CARVALHO MIRNA IVONE 37160022 INGLES TECNICO II REGULAR
CARVALHO MIRNA IVONE 37160022 FARMACOLOGIA REGULAR
CENTURION MARIA DE LOS ANGELES 39634461 RADIOLOGIA II REGULAR
CENTURION MARIA DE LOS ANGELES 39634461 ANATOMIA Y FISIOLOGIA II REGULAR
CENTURION MARIA DE LOS ANGELES 39634461 INGLES TECNICO II REGULAR
CENTURION MARIA DE LOS ANGELES 39634461 FARMACOLOGIA REGULAR
DIARTE ARACELI DAIANA 39193450 RADIOLOGIA II REGULAR
DIARTE ARACELI DAIANA 39193450 ANATOMIA Y FISIOLOGIA II REGULAR
DIARTE ARACELI DAIANA 39193450 INGLES TECNICO II REGULAR
DOLZANI ORNELLA PAOLINA 39124934 RADIOLOGIA II REGULAR
DOLZANI ORNELLA PAOLINA 39124934 ANATOMIA Y FISIOLOGIA II REGULAR
DOLZANI ORNELLA PAOLINA 39124934 INGLES TECNICO II REGULAR
DOLZANI ORNELLA PAOLINA 39124934 FARMACOLOGIA REGULAR
DURAN JUAN ANTONIO 29923011 RADIOLOGIA II REGULAR
DURAN JUAN ANTONIO 29923011 ANATOMIA Y FISIOLOGIA II REGULAR
DURAN JUAN ANTONIO 29923011 INGLES TECNICO II REGULAR
DURAN JUAN ANTONIO 29923011 FARMACOLOGIA REGULAR
ENTIVERO, JOSE RAMON 31076586 ANATOMIA Y FISIOLOGIA II REGULAR
ESCOBAR RAQUEL BEATRIZ 37394122 RADIOLOGIA II REGULAR
ESCOBAR RAQUEL BEATRIZ 37394122 ANATOMIA Y FISIOLOGIA II REGULAR
ESCOBAR RAQUEL BEATRIZ 37394122 INGLES TECNICO II REGULAR
ESCOBAR RAQUEL BEATRIZ 37394122 FARMACOLOGIA REGULAR
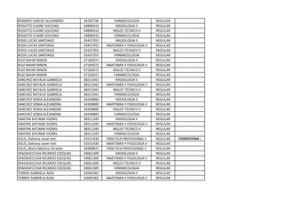
FERNANDEZ DAHIANA NEREA 38317944 RADIOLOGIA II REGULAR
FERNANDEZ DAHIANA NEREA 38317944 ANATOMIA Y FISIOLOGIA II REGULAR
FERNANDEZ DAHIANA NEREA 38317944 INGLES TECNICO II REGULAR
FERNANDEZ DAHIANA NEREA 38317944 FARMACOLOGIA LIBRE
FERNANDEZ ERCILIA ALEJANDRA 36057335 RADIOLOGIA II REGULAR
FERNANDEZ ERCILIA ALEJANDRA 36057335 ANATOMIA Y FISIOLOGIA II REGULAR
FERNANDEZ ERCILIA ALEJANDRA 36057335 INGLES TECNICO II REGULAR
FERNANDEZ ERCILIA ALEJANDRA 36057335 FARMACOLOGIA REGULAR
FLORES ACOSTA PAULA PIERINA 33792595 PRACTICA PROFESIONAL II REGULAR CONDICIONAL
FLORES ACOSTA PAULA PIERINA 33792595 ANATOMIA Y FISIOLOGIA II REGULAR
GALEANO ALEJANDRO MARCELO 37044320 ANATOMIA Y FISIOLOGIA II REGULAR
GALEANO ALEJANDRO MARCELO 37044320 PRACTICA PROFESIONAL II REGULAR CONDICIONAL
GARCIA NORMA YANINA 35223185 PRACTICA PROFESIONAL II REGULAR CONDICIONAL
GARCIA NORMA YANINA 35223185 ANATOMIA Y FISIOLOGIA II REGULAR
GARCIA PERALTA FEBE ISABELLA 39750899 RADIOLOGIA II REGULAR
GARCIA PERALTA FEBE ISABELLA 39750899 ANATOMIA Y FISIOLOGIA II REGULAR
GARCIA PERALTA FEBE ISABELLA 39750899 INGLES TECNICO II REGULAR
GARCIA PERALTA FEBE ISABELLA 39750899 FARMACOLOGIA REGULAR
GONZALEZ MARIA BELEN 28303913 PRACTICA PROFESIONAL II REGULAR CONDICIONAL
GONZALEZ MARIA BELEN 28303913 ANATOMIA Y FISIOLOGIA II REGULAR
GONZALEZ NOELIA VIVIANA 37327193 RADIOLOGIA II REGULAR
GONZALEZ NOELIA VIVIANA 37327193 ANATOMIA Y FISIOLOGIA II REGULAR
GONZALEZ NOELIA VIVIANA 37327193 INGLES TECNICO II REGULAR
GONZALEZ NOELIA VIVIANA 37327193 FARMACOLOGIA REGULAR
LENCINAS MARIA SOLEDAD 37888582 RADIOLOGIA II REGULAR
LENCINAS MARIA SOLEDAD 37888582 ANATOMIA Y FISIOLOGIA II REGULAR
LENCINAS MARIA SOLEDAD 37888582 INGLES TECNICO II REGULAR
LENCINAS MARIA SOLEDAD 37888582 FARMACOLOGIA REGULAR
LEYES GONZALEZ NOELIA ITATI 38870449 RADIOLOGIA II REGULAR
LEYES GONZALEZ NOELIA ITATI 38870449 ANATOMIA Y FISIOLOGIA II REGULAR
LEYES GONZALEZ NOELIA ITATI 38870449 INGLES TECNICO II LIBRE
LEYES GONZALEZ NOELIA ITATI 38870449 FARMACOLOGIA REGULAR
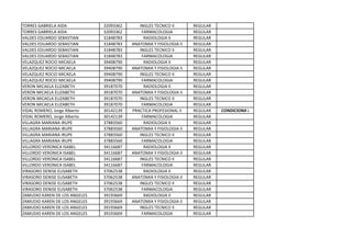
LOPEZ VERONICA MARIEL 34655009 RADIOLOGIA II REGULAR
LOPEZ VERONICA MARIEL 34655009 ANATOMIA Y FISIOLOGIA II REGULAR
LOPEZ VERONICA MARIEL 34655009 INGLES TECNICO II REGULAR
LOPEZ VERONICA MARIEL 34655009 FARMACOLOGIA REGULAR
LUNA TEVEZ GUADALUPE 36863429 RADIOLOGIA II REGULAR
LUNA TEVEZ GUADALUPE 36863429 ANATOMIA Y FISIOLOGIA II REGULAR
LUNA TEVEZ GUADALUPE 36863429 INGLES TECNICO II REGULAR
LUNA TEVEZ GUADALUPE 36863429 FARMACOLOGIA LIBRE
LUXEN KATHERIN DE LOS ANGELES 38712225 RADIOLOGIA II REGULAR
LUXEN KATHERIN DE LOS ANGELES 38712225 ANATOMIA Y FISIOLOGIA II REGULAR
LUXEN KATHERIN DE LOS ANGELES 38712225 INGLES TECNICO II REGULAR
LUXEN KATHERIN DE LOS ANGELES 38712225 FARMACOLOGIA REGULAR
MACHUCA MARIA ISABEL 26770817 RADIOLOGIA II REGULAR
MACHUCA MARIA ISABEL 26770817 ANATOMIA Y FISIOLOGIA II REGULAR
MACHUCA MARIA ISABEL 26770817 INGLES TECNICO II REGULAR
MACHUCA MARIA ISABEL 26770817 FARMACOLOGIA REGULAR
MAIDANA JONATHAN GUSTAVO 38308290 PRACTICA PROFESIONAL II REGULAR CONDICIONAL
MAIDANA JONATHAN GUSTAVO 38308290 RADIOLOGIA II REGULAR
MALDONADO ERICK ROBERTO 34966418 RADIOLOGIA II REGULAR
MALDONADO ERICK ROBERTO 34966418 ANATOMIA Y FISIOLOGIA II REGULAR
MALDONADO ERICK ROBERTO 34966418 INGLES TECNICO II REGULAR
MALDONADO ERICK ROBERTO 34966418 FARMACOLOGIA REGULAR
MANCEDO MARIELA ISABEL 36673977 RADIOLOGIA II REGULAR
MANCEDO MARIELA ISABEL 36673977 INGLES TECNICO II REGULAR
MANCEDO MARIELA ISABEL 36673977 FARMACOLOGIA LIBRE
MANSILLA TAIANA MACARENA 37468359 RADIOLOGIA II REGULAR
MANSILLA TAIANA MACARENA 37468359 ANATOMIA Y FISIOLOGIA II REGULAR
MANSILLA TAIANA MACARENA 37468359 INGLES TECNICO II REGULAR
MANSILLA TAIANA MACARENA 37468359 FARMACOLOGIA REGULAR
MENDEZ, LUCRECIA ALICIA 35001050 PRACTICA PROFESIONAL II REGULAR CONDICIONAL
MENDEZ, LUCRECIA ALICIA 35001050 ANATOMIA Y FISIOLOGIA II REGULAR
MENDOZA, Romina Gissel 36744721 PRACTICA PROFESIONAL II REGULAR CONDICIONAL
MENDOZA, Romina Gissel 36744721 ANATOMIA Y FISIOLOGIA II REGULAR
MOLAS KAREN NAIR MELISA 37469177 RADIOLOGIA II REGULAR
MOLAS KAREN NAIR MELISA 37469177 ANATOMIA Y FISIOLOGIA II REGULAR
MOLAS KAREN NAIR MELISA 37469177 INGLES TECNICO II REGULAR
MOLAS KAREN NAIR MELISA 37469177 FARMACOLOGIA REGULAR
MONTENEGRO NATALIA GISELE 40654170 RADIOLOGIA II REGULAR
MONTENEGRO NATALIA GISELE 40654170 ANATOMIA Y FISIOLOGIA II REGULAR
MONTENEGRO NATALIA GISELE 40654170 INGLES TECNICO II REGULAR
MONTENEGRO NATALIA GISELE 40654170 FARMACOLOGIA REGULAR
MOREIRA CAMILA BELEN 39564837 RADIOLOGIA II REGULAR
MOREIRA CAMILA BELEN 39564837 ANATOMIA Y FISIOLOGIA II REGULAR
MOREIRA CAMILA BELEN 39564837 INGLES TECNICO II REGULAR
MOREIRA CAMILA BELEN 39564837 FARMACOLOGIA REGULAR
OJEDA ALBERTO GABRIEL 35948779 PRACTICA PROFESIONAL II REGULAR
OJEDA Lidia Melissa 35186204 PRACTICA PROFESIONAL II REGULAR
RAMIREZ LAUTARO IMANOL 35885784 ANATOMIA Y FISIOLOGIA II LIBRE
RAMIREZ LAUTARO IMANOL 35885784 FARMACOLOGIA LIBRE
RIVAS CAMILA ANABEL 36673505 RADIOLOGIA II REGULAR
RIVAS CAMILA ANABEL 36673505 ANATOMIA Y FISIOLOGIA II REGULAR
RIVAS CAMILA ANABEL 36673505 INGLES TECNICO II REGULAR
RIVAS CAMILA ANABEL 36673505 FARMACOLOGIA REGULAR
ROA ANA STEFANIA 30870769 RADIOLOGIA II LIBRE
ROA ANA STEFANIA 30870769 ANATOMIA Y FISIOLOGIA II LIBRE
ROA ANA STEFANIA 30870769 INGLES TECNICO II REGULAR
ROA ANA STEFANIA 30870769 FARMACOLOGIA REGULAR
RODRIGUEZ ROXANA ELIZABETH 20086316 RADIOLOGIA II REGULAR
RODRIGUEZ ROXANA ELIZABETH 20086316 FARMACOLOGIA REGULAR
RODRIGUEZ ROXANA ELIZABETH 20086316 PSICOLOGIA REGULAR
ROLON MACARENA AYELEN 39617326 RADIOLOGIA II REGULAR
ROLON MACARENA AYELEN 39617326 ANATOMIA Y FISIOLOGIA II REGULAR
ROLON MACARENA AYELEN 39617326 INGLES TECNICO II REGULAR
ROLON MACARENA AYELEN 39617326 FARMACOLOGIA REGULAR
ROMERO CARLOS ALEJANDRO 34782730 RADIOLOGIA II REGULAR
ROMERO CARLOS ALEJANDRO 34782730 ANATOMIA Y FISIOLOGIA II REGULAR
ROMERO CARLOS ALEJANDRO 34782730 INGLES TECNICO II REGULAR
ROMERO CARLOS ALEJANDRO 34782730 FARMACOLOGIA REGULAR
ROSATTO ELAINE SOLEDAD 34890410 RADIOLOGIA II REGULAR
ROSATTO ELAINE SOLEDAD 34890410 INGLES TECNICO II REGULAR
ROSATTO ELAINE SOLEDAD 34890410 FARMACOLOGIA REGULAR
ROSSI LUCAS SANTIAGO 35437355 RADIOLOGIA II REGULAR
ROSSI LUCAS SANTIAGO 35437355 ANATOMIA Y FISIOLOGIA II REGULAR
ROSSI LUCAS SANTIAGO 35437355 INGLES TECNICO II REGULAR
ROSSI LUCAS SANTIAGO 35437355 FARMACOLOGIA REGULAR
RUIZ NAHIR NINON 37183072 RADIOLOGIA II REGULAR
RUIZ NAHIR NINON 37183072 ANATOMIA Y FISIOLOGIA II REGULAR
RUIZ NAHIR NINON 37183072 INGLES TECNICO II REGULAR
RUIZ NAHIR NINON 37183072 FARMACOLOGIA REGULAR
SANCHEZ NATALIA GABRIELA 38313342 RADIOLOGIA II REGULAR
SANCHEZ NATALIA GABRIELA 38313342 ANATOMIA Y FISIOLOGIA II REGULAR
SANCHEZ NATALIA GABRIELA 38313342 INGLES TECNICO II REGULAR
SANCHEZ NATALIA GABRIELA 38313342 FARMACOLOGIA REGULAR
SANCHEZ SONIA ALEJANDRA 34349800 RADIOLOGIA II REGULAR
SANCHEZ SONIA ALEJANDRA 34349800 ANATOMIA Y FISIOLOGIA II REGULAR
SANCHEZ SONIA ALEJANDRA 34349800 INGLES TECNICO II REGULAR
SANCHEZ SONIA ALEJANDRA 34349800 FARMACOLOGIA REGULAR
SINATRA KATIANA YAZMIL 38311249 RADIOLOGIA II REGULAR
SINATRA KATIANA YAZMIL 38311249 ANATOMIA Y FISIOLOGIA II REGULAR
SINATRA KATIANA YAZMIL 38311249 INGLES TECNICO II REGULAR
SINATRA KATIANA YAZMIL 38311249 FARMACOLOGIA REGULAR
SOLIS, Dahiana Janet Itati 32551430 PRACTICA PROFESIONAL II REGULAR CONDICIONA L
SOLIS, Dahiana Janet Itati 32551430 ANATOMIA Y FISIOLOGIA II REGULAR
SOLIS, Maira Malvina Yeraldin 36989872 PRACTICA PROFESIONAL II REGULAR
SPADAVECCHIA RICARDO EZEQUIEL 34061309 RADIOLOGIA II REGULAR
SPADAVECCHIA RICARDO EZEQUIEL 34061309 ANATOMIA Y FISIOLOGIA II REGULAR
SPADAVECCHIA RICARDO EZEQUIEL 34061309 INGLES TECNICO II REGULAR
SPADAVECCHIA RICARDO EZEQUIEL 34061309 FARMACOLOGIA REGULAR
TORRES GABRIELA AIDA 32093362 RADIOLOGIA II REGULAR
TORRES GABRIELA AIDA 32093362 ANATOMIA Y FISIOLOGIA II REGULAR
FERNANDEZ DAHIANA NEREA 38317944 RADIOLOGIA II REGULAR
FERNANDEZ DAHIANA NEREA 38317944 ANATOMIA Y FISIOLOGIA II REGULAR
FERNANDEZ DAHIANA NEREA 38317944 INGLES TECNICO II REGULAR
FERNANDEZ DAHIANA NEREA 38317944 FARMACOLOGIA LIBRE
FERNANDEZ ERCILIA ALEJANDRA 36057335 RADIOLOGIA II REGULAR
FERNANDEZ ERCILIA ALEJANDRA 36057335 ANATOMIA Y FISIOLOGIA II REGULAR
FERNANDEZ ERCILIA ALEJANDRA 36057335 INGLES TECNICO II REGULAR
FERNANDEZ ERCILIA ALEJANDRA 36057335 FARMACOLOGIA REGULAR
FLORES ACOSTA PAULA PIERINA 33792595 PRACTICA PROFESIONAL II REGULAR CONDICIONAL
FLORES ACOSTA PAULA PIERINA 33792595 ANATOMIA Y FISIOLOGIA II REGULAR
GALEANO ALEJANDRO MARCELO 37044320 ANATOMIA Y FISIOLOGIA II REGULAR
GALEANO ALEJANDRO MARCELO 37044320 PRACTICA PROFESIONAL II REGULAR CONDICIONAL
GARCIA NORMA YANINA 35223185 PRACTICA PROFESIONAL II REGULAR CONDICIONAL
GARCIA NORMA YANINA 35223185 ANATOMIA Y FISIOLOGIA II REGULAR
GARCIA PERALTA FEBE ISABELLA 39750899 RADIOLOGIA II REGULAR
GARCIA PERALTA FEBE ISABELLA 39750899 ANATOMIA Y FISIOLOGIA II REGULAR
GARCIA PERALTA FEBE ISABELLA 39750899 INGLES TECNICO II REGULAR
GARCIA PERALTA FEBE ISABELLA 39750899 FARMACOLOGIA REGULAR
GONZALEZ MARIA BELEN 28303913 PRACTICA PROFESIONAL II REGULAR CONDICIONAL
GONZALEZ MARIA BELEN 28303913 ANATOMIA Y FISIOLOGIA II REGULAR
GONZALEZ NOELIA VIVIANA 37327193 RADIOLOGIA II REGULAR
GONZALEZ NOELIA VIVIANA 37327193 ANATOMIA Y FISIOLOGIA II REGULAR
GONZALEZ NOELIA VIVIANA 37327193 INGLES TECNICO II REGULAR
GONZALEZ NOELIA VIVIANA 37327193 FARMACOLOGIA REGULAR
LENCINAS MARIA SOLEDAD 37888582 RADIOLOGIA II REGULAR
LENCINAS MARIA SOLEDAD 37888582 ANATOMIA Y FISIOLOGIA II REGULAR
LENCINAS MARIA SOLEDAD 37888582 INGLES TECNICO II REGULAR
LENCINAS MARIA SOLEDAD 37888582 FARMACOLOGIA REGULAR
LEYES GONZALEZ NOELIA ITATI 38870449 RADIOLOGIA II REGULAR
LEYES GONZALEZ NOELIA ITATI 38870449 ANATOMIA Y FISIOLOGIA II REGULAR
LEYES GONZALEZ NOELIA ITATI 38870449 INGLES TECNICO II LIBRE
LEYES GONZALEZ NOELIA ITATI 38870449 FARMACOLOGIA REGULAR
LOPEZ VERONICA MARIEL 34655009 RADIOLOGIA II REGULAR

Diagnostico2

  • 1.
    TECNICO SUPERIOR ENDIAGNOSTICO POR IMÁGENES INSCRIPTOS MESAS EXAMENES AGOSTO 2015 Dia inscripcion: 10 de Julio MATERIAS DE 2do AÑO APELLIDO Y NOMBRE DNI MATERIA CONDICION OBSERVACIONES ACUÑA MARIA DESIREE 37467633 RADIOLOGIA II REGULAR ACUÑA MARIA DESIREE 37467633 ANATOMIA Y FISIOLOGIA II REGULAR ACUÑA MARIA DESIREE 37467633 INGLES TECNICO II REGULAR ACUÑA MARIA DESIREE 37467633 FARMACOLOGIA REGULAR AGUAYO JOSE EZEQUIEL 37684180 RADIOLOGIA II REGULAR AGUAYO JOSE EZEQUIEL 37684180 ANATOMIA Y FISIOLOGIA II LIBRE AGUAYO JOSE EZEQUIEL 37684180 INGLES TECNICO II REGULAR AGUAYO JOSE EZEQUIEL 37684180 FARMACOLOGIA REGULAR ALEGRE ROCIO BELEN 36268252 PRACTICA PROFESIONAL II REGULAR CONDICIONAL ALEGRE ROCIO BELEN 36268252 FARMACOLOGIA REGULAR ALMIRON, Giuliana Isabel 36548504 ANATOMIA Y FISIOLOGIA II LIBRE ALMIRON,Silvia Gisela 36388356 ANATOMIA Y FISIOLOGIA II REGULAR ALMIRON,Silvia Gisela 36388356 FARMACOLOGIA REGULAR ALVAREZ MATIAS NICOLAS 39125846 RADIOLOGIA II REGULAR ALVAREZ MATIAS NICOLAS 39125846 ANATOMIA Y FISIOLOGIA II REGULAR ALVAREZ MATIAS NICOLAS 39125846 INGLES TECNICO II REGULAR ALVAREZ MATIAS NICOLAS 39125846 FARMACOLOGIA REGULAR ARTIN RODRIGO NICOLAS 38310442 RADIOLOGIA II REGULAR ARTIN RODRIGO NICOLAS 38310442 ANATOMIA Y FISIOLOGIA II REGULAR ARTIN RODRIGO NICOLAS 38310442 INGLES TECNICO II REGULAR ARTIN RODRIGO NICOLAS 38310442 FARMACOLOGIA REGULAR BAEZ MIGUEL RUBEN ARMANDO 37427806 RADIOLOGIA II REGULAR BAEZ MIGUEL RUBEN ARMANDO 37427806 ANATOMIA Y FISIOLOGIA II REGULAR BAEZ MIGUEL RUBEN ARMANDO 37427806 INGLES TECNICO II REGULAR BAEZ MIGUEL RUBEN ARMANDO 37427806 FARMACOLOGIA REGULAR BALMACEDA CAROLINA BEATRIZ 35267057 RADIOLOGIA II REGULAR BALMACEDA CAROLINA BEATRIZ 35267057 ANATOMIA Y FISIOLOGIA II REGULAR BALMACEDA CAROLINA BEATRIZ 35267057 INGLES TECNICO II REGULAR
  • 2.
    BALMACEDA CAROLINA BEATRIZ35267057 FARMACOLOGIA REGULAR BANDEO, YAMILA ALEJANDRA 37798151 PRACTICA PROFESIONAL II REGULAR CONDICIONAL BANDEO, YAMILA ALEJANDRA 37798151 ANATOMIA Y FISIOLOGIA II REGULAR BLANCO CELESTE CATALINA 39775834 RADIOLOGIA II REGULAR BLANCO CELESTE CATALINA 39775834 ANATOMIA Y FISIOLOGIA II LIBRE BLANCO CELESTE CATALINA 39775834 INGLES TECNICO II REGULAR BLANCO CELESTE CATALINA 39775834 FARMACOLOGIA REGULAR BLANCO MELISA LILIANA 37327060 PRACTICA PROFESIONAL II REGULAR CONDICIONAL BLANCO MELISA LILIANA 37327060 FARMACOLOGIA REGULAR CARVALHO MIRNA IVONE 37160022 RADIOLOGIA II REGULAR CARVALHO MIRNA IVONE 37160022 ANATOMIA Y FISIOLOGIA II REGULAR CARVALHO MIRNA IVONE 37160022 INGLES TECNICO II REGULAR CARVALHO MIRNA IVONE 37160022 FARMACOLOGIA REGULAR CENTURION MARIA DE LOS ANGELES 39634461 RADIOLOGIA II REGULAR CENTURION MARIA DE LOS ANGELES 39634461 ANATOMIA Y FISIOLOGIA II REGULAR CENTURION MARIA DE LOS ANGELES 39634461 INGLES TECNICO II REGULAR CENTURION MARIA DE LOS ANGELES 39634461 FARMACOLOGIA REGULAR DIARTE ARACELI DAIANA 39193450 RADIOLOGIA II REGULAR DIARTE ARACELI DAIANA 39193450 ANATOMIA Y FISIOLOGIA II REGULAR DIARTE ARACELI DAIANA 39193450 INGLES TECNICO II REGULAR DOLZANI ORNELLA PAOLINA 39124934 RADIOLOGIA II REGULAR DOLZANI ORNELLA PAOLINA 39124934 ANATOMIA Y FISIOLOGIA II REGULAR DOLZANI ORNELLA PAOLINA 39124934 INGLES TECNICO II REGULAR DOLZANI ORNELLA PAOLINA 39124934 FARMACOLOGIA REGULAR DURAN JUAN ANTONIO 29923011 RADIOLOGIA II REGULAR DURAN JUAN ANTONIO 29923011 ANATOMIA Y FISIOLOGIA II REGULAR DURAN JUAN ANTONIO 29923011 INGLES TECNICO II REGULAR DURAN JUAN ANTONIO 29923011 FARMACOLOGIA REGULAR ENTIVERO, JOSE RAMON 31076586 ANATOMIA Y FISIOLOGIA II REGULAR ESCOBAR RAQUEL BEATRIZ 37394122 RADIOLOGIA II REGULAR ESCOBAR RAQUEL BEATRIZ 37394122 ANATOMIA Y FISIOLOGIA II REGULAR ESCOBAR RAQUEL BEATRIZ 37394122 INGLES TECNICO II REGULAR ESCOBAR RAQUEL BEATRIZ 37394122 FARMACOLOGIA REGULAR
  • 3.
    FERNANDEZ DAHIANA NEREA38317944 RADIOLOGIA II REGULAR FERNANDEZ DAHIANA NEREA 38317944 ANATOMIA Y FISIOLOGIA II REGULAR FERNANDEZ DAHIANA NEREA 38317944 INGLES TECNICO II REGULAR FERNANDEZ DAHIANA NEREA 38317944 FARMACOLOGIA LIBRE FERNANDEZ ERCILIA ALEJANDRA 36057335 RADIOLOGIA II REGULAR FERNANDEZ ERCILIA ALEJANDRA 36057335 ANATOMIA Y FISIOLOGIA II REGULAR FERNANDEZ ERCILIA ALEJANDRA 36057335 INGLES TECNICO II REGULAR FERNANDEZ ERCILIA ALEJANDRA 36057335 FARMACOLOGIA REGULAR FLORES ACOSTA PAULA PIERINA 33792595 PRACTICA PROFESIONAL II REGULAR CONDICIONAL FLORES ACOSTA PAULA PIERINA 33792595 ANATOMIA Y FISIOLOGIA II REGULAR GALEANO ALEJANDRO MARCELO 37044320 ANATOMIA Y FISIOLOGIA II REGULAR GALEANO ALEJANDRO MARCELO 37044320 PRACTICA PROFESIONAL II REGULAR CONDICIONAL GARCIA NORMA YANINA 35223185 PRACTICA PROFESIONAL II REGULAR CONDICIONAL GARCIA NORMA YANINA 35223185 ANATOMIA Y FISIOLOGIA II REGULAR GARCIA PERALTA FEBE ISABELLA 39750899 RADIOLOGIA II REGULAR GARCIA PERALTA FEBE ISABELLA 39750899 ANATOMIA Y FISIOLOGIA II REGULAR GARCIA PERALTA FEBE ISABELLA 39750899 INGLES TECNICO II REGULAR GARCIA PERALTA FEBE ISABELLA 39750899 FARMACOLOGIA REGULAR GONZALEZ MARIA BELEN 28303913 PRACTICA PROFESIONAL II REGULAR CONDICIONAL GONZALEZ MARIA BELEN 28303913 ANATOMIA Y FISIOLOGIA II REGULAR GONZALEZ NOELIA VIVIANA 37327193 RADIOLOGIA II REGULAR GONZALEZ NOELIA VIVIANA 37327193 ANATOMIA Y FISIOLOGIA II REGULAR GONZALEZ NOELIA VIVIANA 37327193 INGLES TECNICO II REGULAR GONZALEZ NOELIA VIVIANA 37327193 FARMACOLOGIA REGULAR LENCINAS MARIA SOLEDAD 37888582 RADIOLOGIA II REGULAR LENCINAS MARIA SOLEDAD 37888582 ANATOMIA Y FISIOLOGIA II REGULAR LENCINAS MARIA SOLEDAD 37888582 INGLES TECNICO II REGULAR LENCINAS MARIA SOLEDAD 37888582 FARMACOLOGIA REGULAR LEYES GONZALEZ NOELIA ITATI 38870449 RADIOLOGIA II REGULAR LEYES GONZALEZ NOELIA ITATI 38870449 ANATOMIA Y FISIOLOGIA II REGULAR LEYES GONZALEZ NOELIA ITATI 38870449 INGLES TECNICO II LIBRE LEYES GONZALEZ NOELIA ITATI 38870449 FARMACOLOGIA REGULAR LOPEZ VERONICA MARIEL 34655009 RADIOLOGIA II REGULAR
  • 4.
    LOPEZ VERONICA MARIEL34655009 ANATOMIA Y FISIOLOGIA II REGULAR LOPEZ VERONICA MARIEL 34655009 INGLES TECNICO II REGULAR LOPEZ VERONICA MARIEL 34655009 FARMACOLOGIA REGULAR LUNA TEVEZ GUADALUPE 36863429 RADIOLOGIA II REGULAR LUNA TEVEZ GUADALUPE 36863429 ANATOMIA Y FISIOLOGIA II REGULAR LUNA TEVEZ GUADALUPE 36863429 INGLES TECNICO II REGULAR LUNA TEVEZ GUADALUPE 36863429 FARMACOLOGIA LIBRE LUXEN KATHERIN DE LOS ANGELES 38712225 RADIOLOGIA II REGULAR LUXEN KATHERIN DE LOS ANGELES 38712225 ANATOMIA Y FISIOLOGIA II REGULAR LUXEN KATHERIN DE LOS ANGELES 38712225 INGLES TECNICO II REGULAR LUXEN KATHERIN DE LOS ANGELES 38712225 FARMACOLOGIA REGULAR MACHUCA MARIA ISABEL 26770817 RADIOLOGIA II REGULAR MACHUCA MARIA ISABEL 26770817 ANATOMIA Y FISIOLOGIA II REGULAR MACHUCA MARIA ISABEL 26770817 INGLES TECNICO II REGULAR MACHUCA MARIA ISABEL 26770817 FARMACOLOGIA REGULAR MAIDANA JONATHAN GUSTAVO 38308290 PRACTICA PROFESIONAL II REGULAR CONDICIONAL MAIDANA JONATHAN GUSTAVO 38308290 RADIOLOGIA II REGULAR MALDONADO ERICK ROBERTO 34966418 RADIOLOGIA II REGULAR MALDONADO ERICK ROBERTO 34966418 ANATOMIA Y FISIOLOGIA II REGULAR MALDONADO ERICK ROBERTO 34966418 INGLES TECNICO II REGULAR MALDONADO ERICK ROBERTO 34966418 FARMACOLOGIA REGULAR MANCEDO MARIELA ISABEL 36673977 RADIOLOGIA II REGULAR MANCEDO MARIELA ISABEL 36673977 INGLES TECNICO II REGULAR MANCEDO MARIELA ISABEL 36673977 FARMACOLOGIA LIBRE MANSILLA TAIANA MACARENA 37468359 RADIOLOGIA II REGULAR MANSILLA TAIANA MACARENA 37468359 ANATOMIA Y FISIOLOGIA II REGULAR MANSILLA TAIANA MACARENA 37468359 INGLES TECNICO II REGULAR MANSILLA TAIANA MACARENA 37468359 FARMACOLOGIA REGULAR MENDEZ, LUCRECIA ALICIA 35001050 PRACTICA PROFESIONAL II REGULAR CONDICIONAL MENDEZ, LUCRECIA ALICIA 35001050 ANATOMIA Y FISIOLOGIA II REGULAR MENDOZA, Romina Gissel 36744721 PRACTICA PROFESIONAL II REGULAR CONDICIONAL MENDOZA, Romina Gissel 36744721 ANATOMIA Y FISIOLOGIA II REGULAR MOLAS KAREN NAIR MELISA 37469177 RADIOLOGIA II REGULAR
  • 5.
    MOLAS KAREN NAIRMELISA 37469177 ANATOMIA Y FISIOLOGIA II REGULAR MOLAS KAREN NAIR MELISA 37469177 INGLES TECNICO II REGULAR MOLAS KAREN NAIR MELISA 37469177 FARMACOLOGIA REGULAR MONTENEGRO NATALIA GISELE 40654170 RADIOLOGIA II REGULAR MONTENEGRO NATALIA GISELE 40654170 ANATOMIA Y FISIOLOGIA II REGULAR MONTENEGRO NATALIA GISELE 40654170 INGLES TECNICO II REGULAR MONTENEGRO NATALIA GISELE 40654170 FARMACOLOGIA REGULAR MOREIRA CAMILA BELEN 39564837 RADIOLOGIA II REGULAR MOREIRA CAMILA BELEN 39564837 ANATOMIA Y FISIOLOGIA II REGULAR MOREIRA CAMILA BELEN 39564837 INGLES TECNICO II REGULAR MOREIRA CAMILA BELEN 39564837 FARMACOLOGIA REGULAR OJEDA ALBERTO GABRIEL 35948779 PRACTICA PROFESIONAL II REGULAR OJEDA Lidia Melissa 35186204 PRACTICA PROFESIONAL II REGULAR RAMIREZ LAUTARO IMANOL 35885784 ANATOMIA Y FISIOLOGIA II LIBRE RAMIREZ LAUTARO IMANOL 35885784 FARMACOLOGIA LIBRE RIVAS CAMILA ANABEL 36673505 RADIOLOGIA II REGULAR RIVAS CAMILA ANABEL 36673505 ANATOMIA Y FISIOLOGIA II REGULAR RIVAS CAMILA ANABEL 36673505 INGLES TECNICO II REGULAR RIVAS CAMILA ANABEL 36673505 FARMACOLOGIA REGULAR ROA ANA STEFANIA 30870769 RADIOLOGIA II LIBRE ROA ANA STEFANIA 30870769 ANATOMIA Y FISIOLOGIA II LIBRE ROA ANA STEFANIA 30870769 INGLES TECNICO II REGULAR ROA ANA STEFANIA 30870769 FARMACOLOGIA REGULAR RODRIGUEZ ROXANA ELIZABETH 20086316 RADIOLOGIA II REGULAR RODRIGUEZ ROXANA ELIZABETH 20086316 FARMACOLOGIA REGULAR RODRIGUEZ ROXANA ELIZABETH 20086316 PSICOLOGIA REGULAR ROLON MACARENA AYELEN 39617326 RADIOLOGIA II REGULAR ROLON MACARENA AYELEN 39617326 ANATOMIA Y FISIOLOGIA II REGULAR ROLON MACARENA AYELEN 39617326 INGLES TECNICO II REGULAR ROLON MACARENA AYELEN 39617326 FARMACOLOGIA REGULAR ROMERO CARLOS ALEJANDRO 34782730 RADIOLOGIA II REGULAR ROMERO CARLOS ALEJANDRO 34782730 ANATOMIA Y FISIOLOGIA II REGULAR ROMERO CARLOS ALEJANDRO 34782730 INGLES TECNICO II REGULAR
  • 6.
    ROMERO CARLOS ALEJANDRO34782730 FARMACOLOGIA REGULAR ROSATTO ELAINE SOLEDAD 34890410 RADIOLOGIA II REGULAR ROSATTO ELAINE SOLEDAD 34890410 INGLES TECNICO II REGULAR ROSATTO ELAINE SOLEDAD 34890410 FARMACOLOGIA REGULAR ROSSI LUCAS SANTIAGO 35437355 RADIOLOGIA II REGULAR ROSSI LUCAS SANTIAGO 35437355 ANATOMIA Y FISIOLOGIA II REGULAR ROSSI LUCAS SANTIAGO 35437355 INGLES TECNICO II REGULAR ROSSI LUCAS SANTIAGO 35437355 FARMACOLOGIA REGULAR RUIZ NAHIR NINON 37183072 RADIOLOGIA II REGULAR RUIZ NAHIR NINON 37183072 ANATOMIA Y FISIOLOGIA II REGULAR RUIZ NAHIR NINON 37183072 INGLES TECNICO II REGULAR RUIZ NAHIR NINON 37183072 FARMACOLOGIA REGULAR SANCHEZ NATALIA GABRIELA 38313342 RADIOLOGIA II REGULAR SANCHEZ NATALIA GABRIELA 38313342 ANATOMIA Y FISIOLOGIA II REGULAR SANCHEZ NATALIA GABRIELA 38313342 INGLES TECNICO II REGULAR SANCHEZ NATALIA GABRIELA 38313342 FARMACOLOGIA REGULAR SANCHEZ SONIA ALEJANDRA 34349800 RADIOLOGIA II REGULAR SANCHEZ SONIA ALEJANDRA 34349800 ANATOMIA Y FISIOLOGIA II REGULAR SANCHEZ SONIA ALEJANDRA 34349800 INGLES TECNICO II REGULAR SANCHEZ SONIA ALEJANDRA 34349800 FARMACOLOGIA REGULAR SINATRA KATIANA YAZMIL 38311249 RADIOLOGIA II REGULAR SINATRA KATIANA YAZMIL 38311249 ANATOMIA Y FISIOLOGIA II REGULAR SINATRA KATIANA YAZMIL 38311249 INGLES TECNICO II REGULAR SINATRA KATIANA YAZMIL 38311249 FARMACOLOGIA REGULAR SOLIS, Dahiana Janet Itati 32551430 PRACTICA PROFESIONAL II REGULAR CONDICIONA L SOLIS, Dahiana Janet Itati 32551430 ANATOMIA Y FISIOLOGIA II REGULAR SOLIS, Maira Malvina Yeraldin 36989872 PRACTICA PROFESIONAL II REGULAR SPADAVECCHIA RICARDO EZEQUIEL 34061309 RADIOLOGIA II REGULAR SPADAVECCHIA RICARDO EZEQUIEL 34061309 ANATOMIA Y FISIOLOGIA II REGULAR SPADAVECCHIA RICARDO EZEQUIEL 34061309 INGLES TECNICO II REGULAR SPADAVECCHIA RICARDO EZEQUIEL 34061309 FARMACOLOGIA REGULAR TORRES GABRIELA AIDA 32093362 RADIOLOGIA II REGULAR TORRES GABRIELA AIDA 32093362 ANATOMIA Y FISIOLOGIA II REGULAR
  • 7.
    FERNANDEZ DAHIANA NEREA38317944 RADIOLOGIA II REGULAR FERNANDEZ DAHIANA NEREA 38317944 ANATOMIA Y FISIOLOGIA II REGULAR FERNANDEZ DAHIANA NEREA 38317944 INGLES TECNICO II REGULAR FERNANDEZ DAHIANA NEREA 38317944 FARMACOLOGIA LIBRE FERNANDEZ ERCILIA ALEJANDRA 36057335 RADIOLOGIA II REGULAR FERNANDEZ ERCILIA ALEJANDRA 36057335 ANATOMIA Y FISIOLOGIA II REGULAR FERNANDEZ ERCILIA ALEJANDRA 36057335 INGLES TECNICO II REGULAR FERNANDEZ ERCILIA ALEJANDRA 36057335 FARMACOLOGIA REGULAR FLORES ACOSTA PAULA PIERINA 33792595 PRACTICA PROFESIONAL II REGULAR CONDICIONAL FLORES ACOSTA PAULA PIERINA 33792595 ANATOMIA Y FISIOLOGIA II REGULAR GALEANO ALEJANDRO MARCELO 37044320 ANATOMIA Y FISIOLOGIA II REGULAR GALEANO ALEJANDRO MARCELO 37044320 PRACTICA PROFESIONAL II REGULAR CONDICIONAL GARCIA NORMA YANINA 35223185 PRACTICA PROFESIONAL II REGULAR CONDICIONAL GARCIA NORMA YANINA 35223185 ANATOMIA Y FISIOLOGIA II REGULAR GARCIA PERALTA FEBE ISABELLA 39750899 RADIOLOGIA II REGULAR GARCIA PERALTA FEBE ISABELLA 39750899 ANATOMIA Y FISIOLOGIA II REGULAR GARCIA PERALTA FEBE ISABELLA 39750899 INGLES TECNICO II REGULAR GARCIA PERALTA FEBE ISABELLA 39750899 FARMACOLOGIA REGULAR GONZALEZ MARIA BELEN 28303913 PRACTICA PROFESIONAL II REGULAR CONDICIONAL GONZALEZ MARIA BELEN 28303913 ANATOMIA Y FISIOLOGIA II REGULAR GONZALEZ NOELIA VIVIANA 37327193 RADIOLOGIA II REGULAR GONZALEZ NOELIA VIVIANA 37327193 ANATOMIA Y FISIOLOGIA II REGULAR GONZALEZ NOELIA VIVIANA 37327193 INGLES TECNICO II REGULAR GONZALEZ NOELIA VIVIANA 37327193 FARMACOLOGIA REGULAR LENCINAS MARIA SOLEDAD 37888582 RADIOLOGIA II REGULAR LENCINAS MARIA SOLEDAD 37888582 ANATOMIA Y FISIOLOGIA II REGULAR LENCINAS MARIA SOLEDAD 37888582 INGLES TECNICO II REGULAR LENCINAS MARIA SOLEDAD 37888582 FARMACOLOGIA REGULAR LEYES GONZALEZ NOELIA ITATI 38870449 RADIOLOGIA II REGULAR LEYES GONZALEZ NOELIA ITATI 38870449 ANATOMIA Y FISIOLOGIA II REGULAR LEYES GONZALEZ NOELIA ITATI 38870449 INGLES TECNICO II LIBRE LEYES GONZALEZ NOELIA ITATI 38870449 FARMACOLOGIA REGULAR LOPEZ VERONICA MARIEL 34655009 RADIOLOGIA II REGULAR