Ejercicios de algoritmo
Algoritmo: Conjunto de instruccionesenformaordenada.
Crear enWord un algoritmopara:
a) Realizarunacomida.
b) Algunatareadiariaque hacemos
Guardar comoEjercicio1 Programación_ AlgoritmosApellido.
Marcar en cada ejerciciocuandoydonde se utilizaunaestructurade control.
Estructuras principales
de control
Secuencia( Pasosordenadosunodetrásdel otro)
Decisión ( Si ocurre algo hacer…….)
Repetición oIteración( Repetirunaacciónhasta…….)
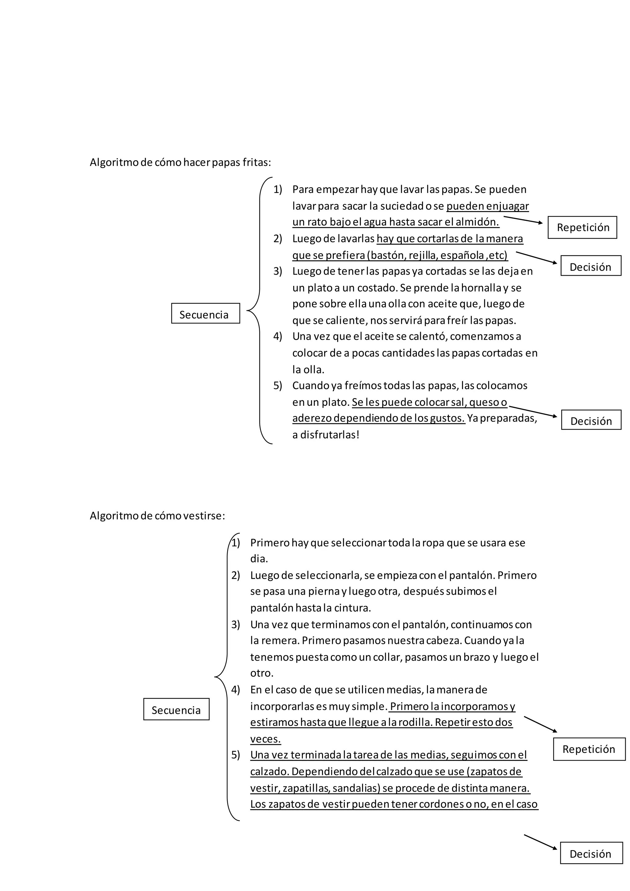
Algoritmode cómohacerpapas fritas:
1) Para empezarhayque lavar laspapas.Se pueden
lavarpara sacar la suciedadose pueden enjuagar
un rato bajoel agua hasta sacar el almidón.
2) Luegode lavarlas hay que cortarlasde lamanera
que se prefiera(bastón,rejilla,española,etc)
3) Luegode tenerlas papasya cortadas se las dejaen
un platoa un costado.Se prende lahornallay se
pone sobre ellaunaollacon aceite que,luegode
que se caliente,nosserviráparafreír laspapas.
4) Una vez que el aceite se calentó,comenzamosa
colocar de a pocas cantidadeslaspapascortadas en
la olla.
5) Cuandoya freímostodaslas papas,lascolocamos
enun plato. Se lespuede colocarsal,quesoo
aderezodependiendode losgustos. Yapreparadas,
a disfrutarlas!
Algoritmode cómovestirse:
1) Primerohayque seleccionartodalaropa que se usara ese
dia.
2) Luegode seleccionarla,se empiezaconel pantalón.Primero
se pasa una piernayluegootra, despuéssubimosel
pantalónhastala cintura.
3) Una vez que terminamosconel pantalón,continuamoscon
la remera.Primeropasamosnuestracabeza.Cuandoyala
tenemospuestacomouncollar,pasamosunbrazo y luegoel
otro.
4) En el caso de que se utilicenmedias,lamanerade
incorporarlasesmuysimple. Primerolaincorporamosy
estiramoshastaque llegue alarodilla.Repetirestodos
veces.
5) Una vez terminadalatareade las medias,seguimosconel
calzado.Dependiendodelcalzadoque se use (zapatosde
vestir,zapatillas,sandalias) se procede de distintamanera.
Los zapatosde vestirpuedentenercordonesono,enel caso
Repetición
Decisión
Decisión
Repetición
Decisión
Secuencia
Secuencia
de tenerhay que atar loscordoneshaciendounmoño.Lo
mismosucede conlaszapatillas,si tienencordonesse
procede conel moño y enel caso de que tengaabrojossolo
escuestiónde unirlos.Conlaszandaliasesmuydistinto,
generalmente tienenunhebillaotienenlaformade una
ojota.Con el caso de la hebillahay que engancharlaauno de
losagujerosde la tiraque la conforma.Si es comouna ojota,
solose debe incorporarlaal pie.
6) Para el abrigo,enel caso de que se utilice,se procede de
manerasimilara unaremerasi se trata de unbuzo.Si esuna
camperaprimerose pasa un brazoy luegoel otro.
Decisión
El restode la secuenciadel
algoritmode cómovestirse

Ejercicio 1 Programación Algoritmos

  • 1.
    Ejercicios de algoritmo Algoritmo:Conjunto de instruccionesenformaordenada. Crear enWord un algoritmopara: a) Realizarunacomida. b) Algunatareadiariaque hacemos Guardar comoEjercicio1 Programación_ AlgoritmosApellido. Marcar en cada ejerciciocuandoydonde se utilizaunaestructurade control. Estructuras principales de control Secuencia( Pasosordenadosunodetrásdel otro) Decisión ( Si ocurre algo hacer…….) Repetición oIteración( Repetirunaacciónhasta…….)
  • 2.
    Algoritmode cómohacerpapas fritas: 1)Para empezarhayque lavar laspapas.Se pueden lavarpara sacar la suciedadose pueden enjuagar un rato bajoel agua hasta sacar el almidón. 2) Luegode lavarlas hay que cortarlasde lamanera que se prefiera(bastón,rejilla,española,etc) 3) Luegode tenerlas papasya cortadas se las dejaen un platoa un costado.Se prende lahornallay se pone sobre ellaunaollacon aceite que,luegode que se caliente,nosserviráparafreír laspapas. 4) Una vez que el aceite se calentó,comenzamosa colocar de a pocas cantidadeslaspapascortadas en la olla. 5) Cuandoya freímostodaslas papas,lascolocamos enun plato. Se lespuede colocarsal,quesoo aderezodependiendode losgustos. Yapreparadas, a disfrutarlas! Algoritmode cómovestirse: 1) Primerohayque seleccionartodalaropa que se usara ese dia. 2) Luegode seleccionarla,se empiezaconel pantalón.Primero se pasa una piernayluegootra, despuéssubimosel pantalónhastala cintura. 3) Una vez que terminamosconel pantalón,continuamoscon la remera.Primeropasamosnuestracabeza.Cuandoyala tenemospuestacomouncollar,pasamosunbrazo y luegoel otro. 4) En el caso de que se utilicenmedias,lamanerade incorporarlasesmuysimple. Primerolaincorporamosy estiramoshastaque llegue alarodilla.Repetirestodos veces. 5) Una vez terminadalatareade las medias,seguimosconel calzado.Dependiendodelcalzadoque se use (zapatosde vestir,zapatillas,sandalias) se procede de distintamanera. Los zapatosde vestirpuedentenercordonesono,enel caso Repetición Decisión Decisión Repetición Decisión Secuencia Secuencia
  • 3.
    de tenerhay queatar loscordoneshaciendounmoño.Lo mismosucede conlaszapatillas,si tienencordonesse procede conel moño y enel caso de que tengaabrojossolo escuestiónde unirlos.Conlaszandaliasesmuydistinto, generalmente tienenunhebillaotienenlaformade una ojota.Con el caso de la hebillahay que engancharlaauno de losagujerosde la tiraque la conforma.Si es comouna ojota, solose debe incorporarlaal pie. 6) Para el abrigo,enel caso de que se utilice,se procede de manerasimilara unaremerasi se trata de unbuzo.Si esuna camperaprimerose pasa un brazoy luegoel otro. Decisión El restode la secuenciadel algoritmode cómovestirse