Incrustar presentación
Descargar para leer sin conexión








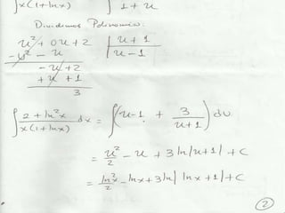
El documento es un reporte de ejercicios de matemática para un estudiante llamado Carlos Pereira en la Universidad Fermín Toro en Cabudare, Venezuela. El reporte fue generado por el Ministerio del Poder Popular para la Educación Superior de la República Bolivariana de Venezuela.







