Descarga gratis durante 30 días
Iniciar sesión
Cargar
Idioma (ES)
Atención al cliente
Empresariales
Móvil
Redes sociales
Marketing
Tecnología
Arte y fotografía
Empleo
Diseño
Educación
Presentaciones y charlas públicas
Gobierno y org. sin ánimo de lucro
Atención sanitaria
Internet
Derecho
Liderazgo y gestión
Motor
Ingeniería
Software
Reclutamiento y RR. HH.
Venta al por menor
Ventas
Servicios
Ciencias
PYMES y liderazgo
Alimentación
Medio ambiente
Economía y finanzas
Datos y análisis
Relaciones con inversores
Deportes
Meditación
Noticias y política
Viajes
Desarrollo personal
Sector inmobiliario
Entretenimiento y humor
Salud y medicina
Dispositivos y hardware
Estilo de vida
Cambiar idioma
Idioma
English
Español
Português
Français
Deutsche
Cancelar
Guardar
Enviar búsqueda
ES
JN
Subido por
jennifer duque naranjo
202 vistas
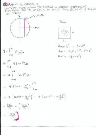
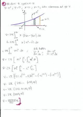
Actividad 5. Segunda guia de ejercicios
Calculo 2 Segunda guia de ejercicios matematica 2 integrales
Leer más
0
Guardar
Compartir
Insertar
Incrustar presentación
Descargar
Descargar para leer sin conexión
1
/ 4
2
/ 4
3
/ 4
4
/ 4
Más contenido relacionado
DOCX
Ejercicios unidad 5 calculo 2 Robinson Duran.
por
robinsonduran15
DOCX
Ejercicios 2
por
ColmenaresJJ
PDF
Ejercicios2
por
jennifer duque naranjo
PDF
Danielzamora
por
danielzamorauft
PDF
Tarea 2 - Armando Alcalá
por
alcalarmando
PPTX
Matematica 2 ejercicios que faltan
por
LauraeIsmenia2
DOCX
Jose colmenarez
por
josecolmenarez12
PPTX
Universidad fermín toro
por
risked1992
Ejercicios unidad 5 calculo 2 Robinson Duran.
por
robinsonduran15
Ejercicios 2
por
ColmenaresJJ
Ejercicios2
por
jennifer duque naranjo
Danielzamora
por
danielzamorauft
Tarea 2 - Armando Alcalá
por
alcalarmando
Matematica 2 ejercicios que faltan
por
LauraeIsmenia2
Jose colmenarez
por
josecolmenarez12
Universidad fermín toro
por
risked1992
Destacado
PDF
A Guide to SlideShare Analytics - Excerpts from Hubspot's Step by Step Guide ...
por
Slideshare
DOCX
Ejercicios de matematica 2, unidad 3
por
josecolmenarez12
DOCX
ejercicios de matematica
por
ederson11
DOCX
Daniel zamora on line 2
por
danielzamorauft
DOCX
Asignacion matematica 2
por
danielzamorauft
PPSX
Shildeshare
por
naidyvera
PPTX
Ejercicios 2
por
carlos-p18
PPTX
Ejercicios 1
por
carlos-p18
DOCX
Jose colmenarez
por
josecolmenarez12
DOCX
Ejercicios de matematica
por
Jonathan Leonardo Bustamante Sanchez
DOC
Ejercicios matematica
por
xzsd
DOCX
Jen nifer duquee-83194230
por
jennifer duque naranjo
PPTX
Matematica II
por
sofelixmar falcon
PDF
Aplicaciones de la_integral definida
por
Fabio Obando Herrera
DOCX
Matematica ejercicios
por
Luis Salas
DOC
Ejercicios
por
UFT
DOCX
Envio de traba mat 3 javi
por
Javier Torres
DOCX
Ejercicios propuestos 4...
por
moisesmo19
PPTX
calculo 2 saia
por
lospenkas
DOCX
Asignacion 2
por
MximoPrz
A Guide to SlideShare Analytics - Excerpts from Hubspot's Step by Step Guide ...
por
Slideshare
Ejercicios de matematica 2, unidad 3
por
josecolmenarez12
ejercicios de matematica
por
ederson11
Daniel zamora on line 2
por
danielzamorauft
Asignacion matematica 2
por
danielzamorauft
Shildeshare
por
naidyvera
Ejercicios 2
por
carlos-p18
Ejercicios 1
por
carlos-p18
Jose colmenarez
por
josecolmenarez12
Ejercicios de matematica
por
Jonathan Leonardo Bustamante Sanchez
Ejercicios matematica
por
xzsd
Jen nifer duquee-83194230
por
jennifer duque naranjo
Matematica II
por
sofelixmar falcon
Aplicaciones de la_integral definida
por
Fabio Obando Herrera
Matematica ejercicios
por
Luis Salas
Ejercicios
por
UFT
Envio de traba mat 3 javi
por
Javier Torres
Ejercicios propuestos 4...
por
moisesmo19
calculo 2 saia
por
lospenkas
Asignacion 2
por
MximoPrz
Más de jennifer duque naranjo
DOC
Jennifer duque-83194230
por
jennifer duque naranjo
PDF
Jennifer duque-83194230
por
jennifer duque naranjo
PDF
Jennifer duque-83194230
por
jennifer duque naranjo
DOCX
Jennifer duque-83194230
por
jennifer duque naranjo
DOC
Ejercicios propuestos
por
jennifer duque naranjo
DOCX
Jennifer duque-83194230.
por
jennifer duque naranjo
DOCX
Jennifer duque-83194230...
por
jennifer duque naranjo
Jennifer duque-83194230
por
jennifer duque naranjo
Jennifer duque-83194230
por
jennifer duque naranjo
Jennifer duque-83194230
por
jennifer duque naranjo
Jennifer duque-83194230
por
jennifer duque naranjo
Ejercicios propuestos
por
jennifer duque naranjo
Jennifer duque-83194230.
por
jennifer duque naranjo
Jennifer duque-83194230...
por
jennifer duque naranjo
Descargar