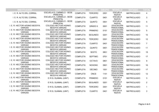
TOTAL DE ALUMNOS POR CRITERIOS
Version 6.0
Mar 31,Fecha: 10:01:45 AM
SECRETARIA:
AÑO:
HELICONIA
2014
ESTADOINSTITUCION SEDE JORNADA GRADO GRUPO MODELO TOTAL
MATRICULADOC. E. R. EL LLANO C. E. R. EL LLANO GRADO 0 0001 ESCUELA
NUEVA
7COMPLETA
MATRICULADOC. E. R. EL LLANO C. E. R. EL LLANO PRIMERO 0101 ESCUELA
NUEVA
24COMPLETA
MATRICULADOC. E. R. EL LLANO C. E. R. EL LLANO SEGUNDO 0201 ESCUELA
NUEVA
12COMPLETA
MATRICULADOC. E. R. EL LLANO C. E. R. EL LLANO TERCERO 0301 ESCUELA
NUEVA
9COMPLETA
MATRICULADOC. E. R. EL LLANO C. E. R. EL LLANO CUARTO 0401 ESCUELA
NUEVA
10COMPLETA
MATRICULADOC. E. R. EL LLANO C. E. R. EL LLANO QUINTO 0501 ESCUELA
NUEVA
10COMPLETA
MATRICULADOC. E. R. LA CAÑADA C. E. R. LA CA#ADA PRIMERO 0101 ESCUELA
NUEVA
3COMPLETA
MATRICULADOC. E. R. LA CAÑADA C. E. R. LA CA#ADA TERCERO 0301 ESCUELA
NUEVA
3COMPLETA
MATRICULADOC. E. R. LA CAÑADA C. E. R. LA CA#ADA QUINTO 0501 ESCUELA
NUEVA
1COMPLETA
MATRICULADOC. E. R. LA PAVA C. E. R. LA PAVA GRADO 0 0001 ESCUELA
NUEVA
8COMPLETA
MATRICULADOC. E. R. LA PAVA C. E. R. LA PAVA PRIMERO 0101 ESCUELA
NUEVA
7COMPLETA
MATRICULADOC. E. R. LA PAVA C. E. R. LA PAVA SEGUNDO 0201 ESCUELA
NUEVA
11COMPLETA
Página 1 de 6
ESTADOINSTITUCION SEDE JORNADA GRADO GRUPO MODELO TOTAL
MATRICULADOC. E. R. LA PAVA C. E. R. LA PAVA TERCERO 0301 ESCUELA
NUEVA
12COMPLETA
MATRICULADOC. E. R. LA PAVA C. E. R. LA PAVA CUARTO 0401 ESCUELA
NUEVA
7COMPLETA
MATRICULADOC. E. R. LA PAVA C. E. R. LA PAVA QUINTO 0501 ESCUELA
NUEVA
5COMPLETA
MATRICULADOC. E. R. LAS BRISAS C. E. R. LAS BRISAS PRIMERO 0101 ESCUELA
NUEVA
6COMPLETA
MATRICULADOC. E. R. LAS BRISAS C. E. R. LAS BRISAS SEGUNDO 0201 ESCUELA
NUEVA
4COMPLETA
MATRICULADOC. E. R. LAS BRISAS C. E. R. LAS BRISAS TERCERO 0301 ESCUELA
NUEVA
7COMPLETA
MATRICULADOC. E. R. LAS BRISAS C. E. R. LAS BRISAS CUARTO 0401 ESCUELA
NUEVA
4COMPLETA
MATRICULADOC. E. R. LAS BRISAS C. E. R. LAS BRISAS QUINTO 0501 ESCUELA
NUEVA
9COMPLETA
MATRICULADOC. E. R. PALOBLANCO C. E. R. PALOBLANCO GRADO 0 00 ESCUELA
NUEVA
1COMPLETA
MATRICULADOC. E. R. PALOBLANCO C. E. R. PALOBLANCO PRIMERO 0101 ESCUELA
NUEVA
4COMPLETA
MATRICULADOC. E. R. PALOBLANCO C. E. R. PALOBLANCO SEGUNDO 0201 ESCUELA
NUEVA
5COMPLETA
MATRICULADOC. E. R. PALOBLANCO C. E. R. PALOBLANCO TERCERO 0301 ESCUELA
NUEVA
10COMPLETA
MATRICULADOC. E. R. PALOBLANCO C. E. R. PALOBLANCO CUARTO 0401 ESCUELA
NUEVA
4COMPLETA
MATRICULADOC. E. R. PALOBLANCO C. E. R. PALOBLANCO QUINTO 0501 ESCUELA
NUEVA
3COMPLETA
MATRICULADOC. E. R. SANTA ISABEL C. E. R. SANTA ISABEL GRADO 0 0001 ESCUELA
NUEVA
3COMPLETA
MATRICULADOC. E. R. SANTA ISABEL C. E. R. SANTA ISABEL PRIMERO 0101 ESCUELA
NUEVA
1COMPLETA
MATRICULADOC. E. R. SANTA ISABEL C. E. R. SANTA ISABEL SEGUNDO 0201 ESCUELA
NUEVA
2COMPLETA
MATRICULADOC. E. R. SANTA ISABEL C. E. R. SANTA ISABEL TERCERO 0301 ESCUELA
NUEVA
5COMPLETA
MATRICULADOC. E. R. SANTA ISABEL C. E. R. SANTA ISABEL CUARTO 0401 ESCUELA
NUEVA
2COMPLETA
Página 2 de 6
ESTADOINSTITUCION SEDE JORNADA GRADO GRUPO MODELO TOTAL
MATRICULADOC. E. R. SANTA ISABEL C. E. R. SANTA ISABEL QUINTO 0501 ESCUELA
NUEVA
1COMPLETA
MATRICULADOI. E. R. ALTO DEL CORRAL COLEGIO ALTO DEL CORRAL GRADO 0 0001 ESCUELA
NUEVA
10COMPLETA
MATRICULADOI. E. R. ALTO DEL CORRAL COLEGIO ALTO DEL CORRAL PRIMERO 0101 ESCUELA
NUEVA
12COMPLETA
MATRICULADOI. E. R. ALTO DEL CORRAL COLEGIO ALTO DEL CORRAL SEGUNDO 0201 ESCUELA
NUEVA
15COMPLETA
MATRICULADOI. E. R. ALTO DEL CORRAL COLEGIO ALTO DEL CORRAL TERCERO 0301 ESCUELA
NUEVA
9COMPLETA
MATRICULADOI. E. R. ALTO DEL CORRAL COLEGIO ALTO DEL CORRAL CUARTO 0401 ESCUELA
NUEVA
15COMPLETA
MATRICULADOI. E. R. ALTO DEL CORRAL COLEGIO ALTO DEL CORRAL QUINTO 0501 ESCUELA
NUEVA
14COMPLETA
MATRICULADOI. E. R. ALTO DEL CORRAL COLEGIO ALTO DEL CORRAL SEXTO 0601 EDUCACIÓN
TRADICIONAL
25COMPLETA
MATRICULADOI. E. R. ALTO DEL CORRAL COLEGIO ALTO DEL CORRAL SEPTIMO 0701 EDUCACIÓN
TRADICIONAL
17COMPLETA
MATRICULADOI. E. R. ALTO DEL CORRAL COLEGIO ALTO DEL CORRAL OCTAVO 0801 EDUCACIÓN
TRADICIONAL
7COMPLETA
MATRICULADOI. E. R. ALTO DEL CORRAL COLEGIO ALTO DEL CORRAL NOVENO 0901 EDUCACIÓN
TRADICIONAL
2COMPLETA
MATRICULADOI. E. R. ALTO DEL CORRAL COLEGIO ALTO DEL CORRAL DÉCIMO 1001 EDUCACIÓN
TRADICIONAL
6COMPLETA
MATRICULADOI. E. R. ALTO DEL CORRAL COLEGIO ALTO DEL CORRAL ONCE 1101 EDUCACIÓN
TRADICIONAL
6COMPLETA
MATRICULADOI. E. R. ALTO DEL CORRAL ER LA HONDURA - SEDE
PRINCIPAL
PRIMERO 0101 ESCUELA
NUEVA
9COMPLETA
MATRICULADOI. E. R. ALTO DEL CORRAL ER LA HONDURA - SEDE
PRINCIPAL
SEGUNDO 0201 ESCUELA
NUEVA
2COMPLETA
MATRICULADOI. E. R. ALTO DEL CORRAL ER LA HONDURA - SEDE
PRINCIPAL
TERCERO 0301 ESCUELA
NUEVA
7COMPLETA
MATRICULADOI. E. R. ALTO DEL CORRAL ER LA HONDURA - SEDE
PRINCIPAL
CUARTO 0401 ESCUELA
NUEVA
3COMPLETA
MATRICULADOI. E. R. ALTO DEL CORRAL ER LA HONDURA - SEDE
PRINCIPAL
QUINTO 0501 ESCUELA
NUEVA
5COMPLETA
MATRICULADOI. E. R. ALTO DEL CORRAL ESCUELA EL CARMELO - SEDE
PRINCIPAL
PRIMERO 0101 ESCUELA
NUEVA
4COMPLETA
Página 3 de 6
ESTADOINSTITUCION SEDE JORNADA GRADO GRUPO MODELO TOTAL
MATRICULADOI. E. R. ALTO DEL CORRAL ESCUELA EL CARMELO - SEDE
PRINCIPAL
TERCERO 0301 ESCUELA
NUEVA
4COMPLETA
MATRICULADOI. E. R. ALTO DEL CORRAL ESCUELA EL CARMELO - SEDE
PRINCIPAL
CUARTO 0401 ESCUELA
NUEVA
3COMPLETA
MATRICULADOI. E. R. ALTO DEL CORRAL ESCUELA EL CARMELO - SEDE
PRINCIPAL
QUINTO 0501 ESCUELA
NUEVA
5COMPLETA
MATRICULADOI. E. R. HECTOR HIGINIO BEDOYA
VARGAS
COLEGIO HECTOR HIGINIO
BEDOYA VARGAS
GRADO 0 0001 EDUCACIÓN
TRADICIONAL
11COMPLETA
MATRICULADOI. E. R. HECTOR HIGINIO BEDOYA
VARGAS
COLEGIO HECTOR HIGINIO
BEDOYA VARGAS
PRIMERO 0101 EDUCACIÓN
TRADICIONAL
5COMPLETA
MATRICULADOI. E. R. HECTOR HIGINIO BEDOYA
VARGAS
COLEGIO HECTOR HIGINIO
BEDOYA VARGAS
SEGUNDO 0201 EDUCACIÓN
TRADICIONAL
10COMPLETA
MATRICULADOI. E. R. HECTOR HIGINIO BEDOYA
VARGAS
COLEGIO HECTOR HIGINIO
BEDOYA VARGAS
TERCERO 0301 EDUCACIÓN
TRADICIONAL
12COMPLETA
MATRICULADOI. E. R. HECTOR HIGINIO BEDOYA
VARGAS
COLEGIO HECTOR HIGINIO
BEDOYA VARGAS
CUARTO 0401 EDUCACIÓN
TRADICIONAL
7COMPLETA
MATRICULADOI. E. R. HECTOR HIGINIO BEDOYA
VARGAS
COLEGIO HECTOR HIGINIO
BEDOYA VARGAS
QUINTO 0501 EDUCACIÓN
TRADICIONAL
11COMPLETA
MATRICULADOI. E. R. HECTOR HIGINIO BEDOYA
VARGAS
COLEGIO HECTOR HIGINIO
BEDOYA VARGAS
SEXTO 0601 EDUCACIÓN
TRADICIONAL
19COMPLETA
MATRICULADOI. E. R. HECTOR HIGINIO BEDOYA
VARGAS
COLEGIO HECTOR HIGINIO
BEDOYA VARGAS
SEPTIMO 0701 EDUCACIÓN
TRADICIONAL
17COMPLETA
MATRICULADOI. E. R. HECTOR HIGINIO BEDOYA
VARGAS
COLEGIO HECTOR HIGINIO
BEDOYA VARGAS
OCTAVO 0801 EDUCACIÓN
TRADICIONAL
9COMPLETA
MATRICULADOI. E. R. HECTOR HIGINIO BEDOYA
VARGAS
COLEGIO HECTOR HIGINIO
BEDOYA VARGAS
NOVENO 0901 EDUCACIÓN
TRADICIONAL
16COMPLETA
MATRICULADOI. E. R. HECTOR HIGINIO BEDOYA
VARGAS
COLEGIO HECTOR HIGINIO
BEDOYA VARGAS
DÉCIMO 1001 EDUCACIÓN
TRADICIONAL
17COMPLETA
MATRICULADOI. E. R. HECTOR HIGINIO BEDOYA
VARGAS
COLEGIO HECTOR HIGINIO
BEDOYA VARGAS
ONCE 1101 EDUCACIÓN
TRADICIONAL
12COMPLETA
MATRICULADOI. E. R. HECTOR HIGINIO BEDOYA
VARGAS
E R EL GUAMAL (UNIT) PRIMERO 0101 ESCUELA
NUEVA
3COMPLETA
MATRICULADOI. E. R. HECTOR HIGINIO BEDOYA
VARGAS
E R EL GUAMAL (UNIT) SEGUNDO 0201 ESCUELA
NUEVA
2COMPLETA
MATRICULADOI. E. R. HECTOR HIGINIO BEDOYA
VARGAS
E R EL GUAMAL (UNIT) TERCERO 0301 ESCUELA
NUEVA
1COMPLETA
MATRICULADOI. E. R. HECTOR HIGINIO BEDOYA
VARGAS
E R EL GUAMAL (UNIT) CUARTO 0401 ESCUELA
NUEVA
3COMPLETA
Página 4 de 6
ESTADOINSTITUCION SEDE JORNADA GRADO GRUPO MODELO TOTAL
MATRICULADOI. E. R. HECTOR HIGINIO BEDOYA
VARGAS
E R EL GUAMAL (UNIT) QUINTO 0501 ESCUELA
NUEVA
2COMPLETA
MATRICULADOI. E. R. HECTOR HIGINIO BEDOYA
VARGAS
E R MORRITOS (UNIT) PRIMERO 0101 ESCUELA
NUEVA
1COMPLETA
MATRICULADOI. E. R. HECTOR HIGINIO BEDOYA
VARGAS
E R MORRITOS (UNIT) TERCERO 0301 ESCUELA
NUEVA
5COMPLETA
MATRICULADOI. E. R. HECTOR HIGINIO BEDOYA
VARGAS
E R MORRITOS (UNIT) CUARTO 0401 ESCUELA
NUEVA
1COMPLETA
MATRICULADOI. E. R. HECTOR HIGINIO BEDOYA
VARGAS
E R PUEBLO VIEJO (UNIT) GRADO 0 0001 ESCUELA
NUEVA
10COMPLETA
MATRICULADOI. E. R. HECTOR HIGINIO BEDOYA
VARGAS
E R PUEBLO VIEJO (UNIT) PRIMERO 0101 ESCUELA
NUEVA
3COMPLETA
MATRICULADOI. E. R. HECTOR HIGINIO BEDOYA
VARGAS
E R PUEBLO VIEJO (UNIT) SEGUNDO 0201 ESCUELA
NUEVA
4COMPLETA
MATRICULADOI. E. R. HECTOR HIGINIO BEDOYA
VARGAS
E R PUEBLO VIEJO (UNIT) TERCERO 0301 ESCUELA
NUEVA
1COMPLETA
MATRICULADOI. E. R. HECTOR HIGINIO BEDOYA
VARGAS
E R PUEBLO VIEJO (UNIT) CUARTO 0401 ESCUELA
NUEVA
3COMPLETA
MATRICULADOI. E. R. HECTOR HIGINIO BEDOYA
VARGAS
E R PUEBLO VIEJO (UNIT) QUINTO 0501 ESCUELA
NUEVA
2COMPLETA
MATRICULADOI. E. SAN RAFAEL E U CORAZON DE JESUS PRIMERO 0101 EDUCACIÓN
TRADICIONAL
19COMPLETA
MATRICULADOI. E. SAN RAFAEL E U CORAZON DE JESUS SEGUNDO 0201 EDUCACIÓN
TRADICIONAL
17COMPLETA
MATRICULADOI. E. SAN RAFAEL E U CORAZON DE JESUS TERCERO 0301 EDUCACIÓN
TRADICIONAL
19COMPLETA
MATRICULADOI. E. SAN RAFAEL E U CORAZON DE JESUS CUARTO 0401 EDUCACIÓN
TRADICIONAL
24COMPLETA
MATRICULADOI. E. SAN RAFAEL E U CORAZON DE JESUS QUINTO 0501 EDUCACIÓN
TRADICIONAL
19COMPLETA
MATRICULADOI. E. SAN RAFAEL E U CRISTO REY GRADO 0 0001 EDUCACIÓN
TRADICIONAL
27COMPLETA
MATRICULADOI. E. SAN RAFAEL E U CRISTO REY PRIMERO 0101 EDUCACIÓN
TRADICIONAL
28COMPLETA
MATRICULADOI. E. SAN RAFAEL E U CRISTO REY SEGUNDO 0201 EDUCACIÓN
TRADICIONAL
27COMPLETA
MATRICULADOI. E. SAN RAFAEL E U CRISTO REY TERCERO 0301 EDUCACIÓN
TRADICIONAL
24COMPLETA
Página 5 de 6
ESTADOINSTITUCION SEDE JORNADA GRADO GRUPO MODELO TOTAL
MATRICULADOI. E. SAN RAFAEL E U CRISTO REY CUARTO 0401 EDUCACIÓN
TRADICIONAL
23COMPLETA
MATRICULADOI. E. SAN RAFAEL E U CRISTO REY QUINTO 0501 EDUCACIÓN
TRADICIONAL
18COMPLETA
MATRICULADOI. E. SAN RAFAEL LICEO SAN RAFAEL SEXTO 0601 EDUCACIÓN
TRADICIONAL
22COMPLETA
MATRICULADOI. E. SAN RAFAEL LICEO SAN RAFAEL SEXTO 0602 EDUCACIÓN
TRADICIONAL
24COMPLETA
MATRICULADOI. E. SAN RAFAEL LICEO SAN RAFAEL SEXTO 0603 EDUCACIÓN
TRADICIONAL
19COMPLETA
MATRICULADOI. E. SAN RAFAEL LICEO SAN RAFAEL SEPTIMO 0701 EDUCACIÓN
TRADICIONAL
22COMPLETA
MATRICULADOI. E. SAN RAFAEL LICEO SAN RAFAEL SEPTIMO 0702 EDUCACIÓN
TRADICIONAL
23COMPLETA
MATRICULADOI. E. SAN RAFAEL LICEO SAN RAFAEL OCTAVO 0801 EDUCACIÓN
TRADICIONAL
44COMPLETA
MATRICULADOI. E. SAN RAFAEL LICEO SAN RAFAEL NOVENO 0901 EDUCACIÓN
TRADICIONAL
30COMPLETA
MATRICULADOI. E. SAN RAFAEL LICEO SAN RAFAEL DÉCIMO 1001 EDUCACIÓN
TRADICIONAL
27COMPLETA
MATRICULADOI. E. SAN RAFAEL LICEO SAN RAFAEL ONCE 1101 EDUCACIÓN
TRADICIONAL
37COMPLETA
MATRICULADOINSTITUTO REGIONAL COREDI INSTITUTO REGIONAL COREDI SEXTO 0601 SAT
PRESENCIAL
30COMPLETA
MATRICULADOINSTITUTO REGIONAL COREDI INSTITUTO REGIONAL COREDI SEPTIMO 0701 SAT
PRESENCIAL
21COMPLETA
MATRICULADOINSTITUTO REGIONAL COREDI INSTITUTO REGIONAL COREDI OCTAVO 0801 SAT
PRESENCIAL
18COMPLETA
MATRICULADOINSTITUTO REGIONAL COREDI INSTITUTO REGIONAL COREDI NOVENO 0901 SAT
PRESENCIAL
29COMPLETA
MATRICULADOINSTITUTO REGIONAL COREDI INSTITUTO REGIONAL COREDI DÉCIMO 1001 SAT
PRESENCIAL
12COMPLETA
MATRICULADOINSTITUTO REGIONAL COREDI INSTITUTO REGIONAL COREDI ONCE 1101 SAT
PRESENCIAL
11COMPLETA
1181Total
Página 6 de 6

Estudiantes al 31 de marzo

  • 1.
    TOTAL DE ALUMNOSPOR CRITERIOS Version 6.0 Mar 31,Fecha: 10:01:45 AM SECRETARIA: AÑO: HELICONIA 2014 ESTADOINSTITUCION SEDE JORNADA GRADO GRUPO MODELO TOTAL MATRICULADOC. E. R. EL LLANO C. E. R. EL LLANO GRADO 0 0001 ESCUELA NUEVA 7COMPLETA MATRICULADOC. E. R. EL LLANO C. E. R. EL LLANO PRIMERO 0101 ESCUELA NUEVA 24COMPLETA MATRICULADOC. E. R. EL LLANO C. E. R. EL LLANO SEGUNDO 0201 ESCUELA NUEVA 12COMPLETA MATRICULADOC. E. R. EL LLANO C. E. R. EL LLANO TERCERO 0301 ESCUELA NUEVA 9COMPLETA MATRICULADOC. E. R. EL LLANO C. E. R. EL LLANO CUARTO 0401 ESCUELA NUEVA 10COMPLETA MATRICULADOC. E. R. EL LLANO C. E. R. EL LLANO QUINTO 0501 ESCUELA NUEVA 10COMPLETA MATRICULADOC. E. R. LA CAÑADA C. E. R. LA CA#ADA PRIMERO 0101 ESCUELA NUEVA 3COMPLETA MATRICULADOC. E. R. LA CAÑADA C. E. R. LA CA#ADA TERCERO 0301 ESCUELA NUEVA 3COMPLETA MATRICULADOC. E. R. LA CAÑADA C. E. R. LA CA#ADA QUINTO 0501 ESCUELA NUEVA 1COMPLETA MATRICULADOC. E. R. LA PAVA C. E. R. LA PAVA GRADO 0 0001 ESCUELA NUEVA 8COMPLETA MATRICULADOC. E. R. LA PAVA C. E. R. LA PAVA PRIMERO 0101 ESCUELA NUEVA 7COMPLETA MATRICULADOC. E. R. LA PAVA C. E. R. LA PAVA SEGUNDO 0201 ESCUELA NUEVA 11COMPLETA Página 1 de 6
  • 2.
    ESTADOINSTITUCION SEDE JORNADAGRADO GRUPO MODELO TOTAL MATRICULADOC. E. R. LA PAVA C. E. R. LA PAVA TERCERO 0301 ESCUELA NUEVA 12COMPLETA MATRICULADOC. E. R. LA PAVA C. E. R. LA PAVA CUARTO 0401 ESCUELA NUEVA 7COMPLETA MATRICULADOC. E. R. LA PAVA C. E. R. LA PAVA QUINTO 0501 ESCUELA NUEVA 5COMPLETA MATRICULADOC. E. R. LAS BRISAS C. E. R. LAS BRISAS PRIMERO 0101 ESCUELA NUEVA 6COMPLETA MATRICULADOC. E. R. LAS BRISAS C. E. R. LAS BRISAS SEGUNDO 0201 ESCUELA NUEVA 4COMPLETA MATRICULADOC. E. R. LAS BRISAS C. E. R. LAS BRISAS TERCERO 0301 ESCUELA NUEVA 7COMPLETA MATRICULADOC. E. R. LAS BRISAS C. E. R. LAS BRISAS CUARTO 0401 ESCUELA NUEVA 4COMPLETA MATRICULADOC. E. R. LAS BRISAS C. E. R. LAS BRISAS QUINTO 0501 ESCUELA NUEVA 9COMPLETA MATRICULADOC. E. R. PALOBLANCO C. E. R. PALOBLANCO GRADO 0 00 ESCUELA NUEVA 1COMPLETA MATRICULADOC. E. R. PALOBLANCO C. E. R. PALOBLANCO PRIMERO 0101 ESCUELA NUEVA 4COMPLETA MATRICULADOC. E. R. PALOBLANCO C. E. R. PALOBLANCO SEGUNDO 0201 ESCUELA NUEVA 5COMPLETA MATRICULADOC. E. R. PALOBLANCO C. E. R. PALOBLANCO TERCERO 0301 ESCUELA NUEVA 10COMPLETA MATRICULADOC. E. R. PALOBLANCO C. E. R. PALOBLANCO CUARTO 0401 ESCUELA NUEVA 4COMPLETA MATRICULADOC. E. R. PALOBLANCO C. E. R. PALOBLANCO QUINTO 0501 ESCUELA NUEVA 3COMPLETA MATRICULADOC. E. R. SANTA ISABEL C. E. R. SANTA ISABEL GRADO 0 0001 ESCUELA NUEVA 3COMPLETA MATRICULADOC. E. R. SANTA ISABEL C. E. R. SANTA ISABEL PRIMERO 0101 ESCUELA NUEVA 1COMPLETA MATRICULADOC. E. R. SANTA ISABEL C. E. R. SANTA ISABEL SEGUNDO 0201 ESCUELA NUEVA 2COMPLETA MATRICULADOC. E. R. SANTA ISABEL C. E. R. SANTA ISABEL TERCERO 0301 ESCUELA NUEVA 5COMPLETA MATRICULADOC. E. R. SANTA ISABEL C. E. R. SANTA ISABEL CUARTO 0401 ESCUELA NUEVA 2COMPLETA Página 2 de 6
  • 3.
    ESTADOINSTITUCION SEDE JORNADAGRADO GRUPO MODELO TOTAL MATRICULADOC. E. R. SANTA ISABEL C. E. R. SANTA ISABEL QUINTO 0501 ESCUELA NUEVA 1COMPLETA MATRICULADOI. E. R. ALTO DEL CORRAL COLEGIO ALTO DEL CORRAL GRADO 0 0001 ESCUELA NUEVA 10COMPLETA MATRICULADOI. E. R. ALTO DEL CORRAL COLEGIO ALTO DEL CORRAL PRIMERO 0101 ESCUELA NUEVA 12COMPLETA MATRICULADOI. E. R. ALTO DEL CORRAL COLEGIO ALTO DEL CORRAL SEGUNDO 0201 ESCUELA NUEVA 15COMPLETA MATRICULADOI. E. R. ALTO DEL CORRAL COLEGIO ALTO DEL CORRAL TERCERO 0301 ESCUELA NUEVA 9COMPLETA MATRICULADOI. E. R. ALTO DEL CORRAL COLEGIO ALTO DEL CORRAL CUARTO 0401 ESCUELA NUEVA 15COMPLETA MATRICULADOI. E. R. ALTO DEL CORRAL COLEGIO ALTO DEL CORRAL QUINTO 0501 ESCUELA NUEVA 14COMPLETA MATRICULADOI. E. R. ALTO DEL CORRAL COLEGIO ALTO DEL CORRAL SEXTO 0601 EDUCACIÓN TRADICIONAL 25COMPLETA MATRICULADOI. E. R. ALTO DEL CORRAL COLEGIO ALTO DEL CORRAL SEPTIMO 0701 EDUCACIÓN TRADICIONAL 17COMPLETA MATRICULADOI. E. R. ALTO DEL CORRAL COLEGIO ALTO DEL CORRAL OCTAVO 0801 EDUCACIÓN TRADICIONAL 7COMPLETA MATRICULADOI. E. R. ALTO DEL CORRAL COLEGIO ALTO DEL CORRAL NOVENO 0901 EDUCACIÓN TRADICIONAL 2COMPLETA MATRICULADOI. E. R. ALTO DEL CORRAL COLEGIO ALTO DEL CORRAL DÉCIMO 1001 EDUCACIÓN TRADICIONAL 6COMPLETA MATRICULADOI. E. R. ALTO DEL CORRAL COLEGIO ALTO DEL CORRAL ONCE 1101 EDUCACIÓN TRADICIONAL 6COMPLETA MATRICULADOI. E. R. ALTO DEL CORRAL ER LA HONDURA - SEDE PRINCIPAL PRIMERO 0101 ESCUELA NUEVA 9COMPLETA MATRICULADOI. E. R. ALTO DEL CORRAL ER LA HONDURA - SEDE PRINCIPAL SEGUNDO 0201 ESCUELA NUEVA 2COMPLETA MATRICULADOI. E. R. ALTO DEL CORRAL ER LA HONDURA - SEDE PRINCIPAL TERCERO 0301 ESCUELA NUEVA 7COMPLETA MATRICULADOI. E. R. ALTO DEL CORRAL ER LA HONDURA - SEDE PRINCIPAL CUARTO 0401 ESCUELA NUEVA 3COMPLETA MATRICULADOI. E. R. ALTO DEL CORRAL ER LA HONDURA - SEDE PRINCIPAL QUINTO 0501 ESCUELA NUEVA 5COMPLETA MATRICULADOI. E. R. ALTO DEL CORRAL ESCUELA EL CARMELO - SEDE PRINCIPAL PRIMERO 0101 ESCUELA NUEVA 4COMPLETA Página 3 de 6
  • 4.
    ESTADOINSTITUCION SEDE JORNADAGRADO GRUPO MODELO TOTAL MATRICULADOI. E. R. ALTO DEL CORRAL ESCUELA EL CARMELO - SEDE PRINCIPAL TERCERO 0301 ESCUELA NUEVA 4COMPLETA MATRICULADOI. E. R. ALTO DEL CORRAL ESCUELA EL CARMELO - SEDE PRINCIPAL CUARTO 0401 ESCUELA NUEVA 3COMPLETA MATRICULADOI. E. R. ALTO DEL CORRAL ESCUELA EL CARMELO - SEDE PRINCIPAL QUINTO 0501 ESCUELA NUEVA 5COMPLETA MATRICULADOI. E. R. HECTOR HIGINIO BEDOYA VARGAS COLEGIO HECTOR HIGINIO BEDOYA VARGAS GRADO 0 0001 EDUCACIÓN TRADICIONAL 11COMPLETA MATRICULADOI. E. R. HECTOR HIGINIO BEDOYA VARGAS COLEGIO HECTOR HIGINIO BEDOYA VARGAS PRIMERO 0101 EDUCACIÓN TRADICIONAL 5COMPLETA MATRICULADOI. E. R. HECTOR HIGINIO BEDOYA VARGAS COLEGIO HECTOR HIGINIO BEDOYA VARGAS SEGUNDO 0201 EDUCACIÓN TRADICIONAL 10COMPLETA MATRICULADOI. E. R. HECTOR HIGINIO BEDOYA VARGAS COLEGIO HECTOR HIGINIO BEDOYA VARGAS TERCERO 0301 EDUCACIÓN TRADICIONAL 12COMPLETA MATRICULADOI. E. R. HECTOR HIGINIO BEDOYA VARGAS COLEGIO HECTOR HIGINIO BEDOYA VARGAS CUARTO 0401 EDUCACIÓN TRADICIONAL 7COMPLETA MATRICULADOI. E. R. HECTOR HIGINIO BEDOYA VARGAS COLEGIO HECTOR HIGINIO BEDOYA VARGAS QUINTO 0501 EDUCACIÓN TRADICIONAL 11COMPLETA MATRICULADOI. E. R. HECTOR HIGINIO BEDOYA VARGAS COLEGIO HECTOR HIGINIO BEDOYA VARGAS SEXTO 0601 EDUCACIÓN TRADICIONAL 19COMPLETA MATRICULADOI. E. R. HECTOR HIGINIO BEDOYA VARGAS COLEGIO HECTOR HIGINIO BEDOYA VARGAS SEPTIMO 0701 EDUCACIÓN TRADICIONAL 17COMPLETA MATRICULADOI. E. R. HECTOR HIGINIO BEDOYA VARGAS COLEGIO HECTOR HIGINIO BEDOYA VARGAS OCTAVO 0801 EDUCACIÓN TRADICIONAL 9COMPLETA MATRICULADOI. E. R. HECTOR HIGINIO BEDOYA VARGAS COLEGIO HECTOR HIGINIO BEDOYA VARGAS NOVENO 0901 EDUCACIÓN TRADICIONAL 16COMPLETA MATRICULADOI. E. R. HECTOR HIGINIO BEDOYA VARGAS COLEGIO HECTOR HIGINIO BEDOYA VARGAS DÉCIMO 1001 EDUCACIÓN TRADICIONAL 17COMPLETA MATRICULADOI. E. R. HECTOR HIGINIO BEDOYA VARGAS COLEGIO HECTOR HIGINIO BEDOYA VARGAS ONCE 1101 EDUCACIÓN TRADICIONAL 12COMPLETA MATRICULADOI. E. R. HECTOR HIGINIO BEDOYA VARGAS E R EL GUAMAL (UNIT) PRIMERO 0101 ESCUELA NUEVA 3COMPLETA MATRICULADOI. E. R. HECTOR HIGINIO BEDOYA VARGAS E R EL GUAMAL (UNIT) SEGUNDO 0201 ESCUELA NUEVA 2COMPLETA MATRICULADOI. E. R. HECTOR HIGINIO BEDOYA VARGAS E R EL GUAMAL (UNIT) TERCERO 0301 ESCUELA NUEVA 1COMPLETA MATRICULADOI. E. R. HECTOR HIGINIO BEDOYA VARGAS E R EL GUAMAL (UNIT) CUARTO 0401 ESCUELA NUEVA 3COMPLETA Página 4 de 6
  • 5.
    ESTADOINSTITUCION SEDE JORNADAGRADO GRUPO MODELO TOTAL MATRICULADOI. E. R. HECTOR HIGINIO BEDOYA VARGAS E R EL GUAMAL (UNIT) QUINTO 0501 ESCUELA NUEVA 2COMPLETA MATRICULADOI. E. R. HECTOR HIGINIO BEDOYA VARGAS E R MORRITOS (UNIT) PRIMERO 0101 ESCUELA NUEVA 1COMPLETA MATRICULADOI. E. R. HECTOR HIGINIO BEDOYA VARGAS E R MORRITOS (UNIT) TERCERO 0301 ESCUELA NUEVA 5COMPLETA MATRICULADOI. E. R. HECTOR HIGINIO BEDOYA VARGAS E R MORRITOS (UNIT) CUARTO 0401 ESCUELA NUEVA 1COMPLETA MATRICULADOI. E. R. HECTOR HIGINIO BEDOYA VARGAS E R PUEBLO VIEJO (UNIT) GRADO 0 0001 ESCUELA NUEVA 10COMPLETA MATRICULADOI. E. R. HECTOR HIGINIO BEDOYA VARGAS E R PUEBLO VIEJO (UNIT) PRIMERO 0101 ESCUELA NUEVA 3COMPLETA MATRICULADOI. E. R. HECTOR HIGINIO BEDOYA VARGAS E R PUEBLO VIEJO (UNIT) SEGUNDO 0201 ESCUELA NUEVA 4COMPLETA MATRICULADOI. E. R. HECTOR HIGINIO BEDOYA VARGAS E R PUEBLO VIEJO (UNIT) TERCERO 0301 ESCUELA NUEVA 1COMPLETA MATRICULADOI. E. R. HECTOR HIGINIO BEDOYA VARGAS E R PUEBLO VIEJO (UNIT) CUARTO 0401 ESCUELA NUEVA 3COMPLETA MATRICULADOI. E. R. HECTOR HIGINIO BEDOYA VARGAS E R PUEBLO VIEJO (UNIT) QUINTO 0501 ESCUELA NUEVA 2COMPLETA MATRICULADOI. E. SAN RAFAEL E U CORAZON DE JESUS PRIMERO 0101 EDUCACIÓN TRADICIONAL 19COMPLETA MATRICULADOI. E. SAN RAFAEL E U CORAZON DE JESUS SEGUNDO 0201 EDUCACIÓN TRADICIONAL 17COMPLETA MATRICULADOI. E. SAN RAFAEL E U CORAZON DE JESUS TERCERO 0301 EDUCACIÓN TRADICIONAL 19COMPLETA MATRICULADOI. E. SAN RAFAEL E U CORAZON DE JESUS CUARTO 0401 EDUCACIÓN TRADICIONAL 24COMPLETA MATRICULADOI. E. SAN RAFAEL E U CORAZON DE JESUS QUINTO 0501 EDUCACIÓN TRADICIONAL 19COMPLETA MATRICULADOI. E. SAN RAFAEL E U CRISTO REY GRADO 0 0001 EDUCACIÓN TRADICIONAL 27COMPLETA MATRICULADOI. E. SAN RAFAEL E U CRISTO REY PRIMERO 0101 EDUCACIÓN TRADICIONAL 28COMPLETA MATRICULADOI. E. SAN RAFAEL E U CRISTO REY SEGUNDO 0201 EDUCACIÓN TRADICIONAL 27COMPLETA MATRICULADOI. E. SAN RAFAEL E U CRISTO REY TERCERO 0301 EDUCACIÓN TRADICIONAL 24COMPLETA Página 5 de 6
  • 6.
    ESTADOINSTITUCION SEDE JORNADAGRADO GRUPO MODELO TOTAL MATRICULADOI. E. SAN RAFAEL E U CRISTO REY CUARTO 0401 EDUCACIÓN TRADICIONAL 23COMPLETA MATRICULADOI. E. SAN RAFAEL E U CRISTO REY QUINTO 0501 EDUCACIÓN TRADICIONAL 18COMPLETA MATRICULADOI. E. SAN RAFAEL LICEO SAN RAFAEL SEXTO 0601 EDUCACIÓN TRADICIONAL 22COMPLETA MATRICULADOI. E. SAN RAFAEL LICEO SAN RAFAEL SEXTO 0602 EDUCACIÓN TRADICIONAL 24COMPLETA MATRICULADOI. E. SAN RAFAEL LICEO SAN RAFAEL SEXTO 0603 EDUCACIÓN TRADICIONAL 19COMPLETA MATRICULADOI. E. SAN RAFAEL LICEO SAN RAFAEL SEPTIMO 0701 EDUCACIÓN TRADICIONAL 22COMPLETA MATRICULADOI. E. SAN RAFAEL LICEO SAN RAFAEL SEPTIMO 0702 EDUCACIÓN TRADICIONAL 23COMPLETA MATRICULADOI. E. SAN RAFAEL LICEO SAN RAFAEL OCTAVO 0801 EDUCACIÓN TRADICIONAL 44COMPLETA MATRICULADOI. E. SAN RAFAEL LICEO SAN RAFAEL NOVENO 0901 EDUCACIÓN TRADICIONAL 30COMPLETA MATRICULADOI. E. SAN RAFAEL LICEO SAN RAFAEL DÉCIMO 1001 EDUCACIÓN TRADICIONAL 27COMPLETA MATRICULADOI. E. SAN RAFAEL LICEO SAN RAFAEL ONCE 1101 EDUCACIÓN TRADICIONAL 37COMPLETA MATRICULADOINSTITUTO REGIONAL COREDI INSTITUTO REGIONAL COREDI SEXTO 0601 SAT PRESENCIAL 30COMPLETA MATRICULADOINSTITUTO REGIONAL COREDI INSTITUTO REGIONAL COREDI SEPTIMO 0701 SAT PRESENCIAL 21COMPLETA MATRICULADOINSTITUTO REGIONAL COREDI INSTITUTO REGIONAL COREDI OCTAVO 0801 SAT PRESENCIAL 18COMPLETA MATRICULADOINSTITUTO REGIONAL COREDI INSTITUTO REGIONAL COREDI NOVENO 0901 SAT PRESENCIAL 29COMPLETA MATRICULADOINSTITUTO REGIONAL COREDI INSTITUTO REGIONAL COREDI DÉCIMO 1001 SAT PRESENCIAL 12COMPLETA MATRICULADOINSTITUTO REGIONAL COREDI INSTITUTO REGIONAL COREDI ONCE 1101 SAT PRESENCIAL 11COMPLETA 1181Total Página 6 de 6