TOTAL DE ALUMNOS POR CRITERIOS
Version 6.0
Fecha: Feb 20,

4:37:03 PM

SECRETARIA: HELICONIA
AÑO: 2014

INSTITUCION

SEDE

JORNADA

GRADO

GRUPO

MODELO

ESTADO

TOTAL

ESCUELA
NUEVA
ESCUELA
NUEVA
ESCUELA
NUEVA
ESCUELA
NUEVA
ESCUELA
NUEVA
ESCUELA
NUEVA
ESCUELA
NUEVA
ESCUELA
NUEVA
ESCUELA
NUEVA
ESCUELA
NUEVA
ESCUELA
NUEVA
ESCUELA
NUEVA

MATRICULADO

7

MATRICULADO

26

MATRICULADO

12

MATRICULADO

9

MATRICULADO

10

MATRICULADO

10

MATRICULADO

3

MATRICULADO

3

MATRICULADO

1

MATRICULADO

8

MATRICULADO

8

MATRICULADO

9

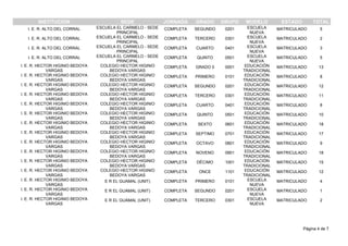
C. E. R. EL LLANO

C. E. R. EL LLANO

COMPLETA

GRADO 0

0001

C. E. R. EL LLANO

C. E. R. EL LLANO

COMPLETA

PRIMERO

0101

C. E. R. EL LLANO

C. E. R. EL LLANO

COMPLETA

SEGUNDO

0201

C. E. R. EL LLANO

C. E. R. EL LLANO

COMPLETA

TERCERO

0301

C. E. R. EL LLANO

C. E. R. EL LLANO

COMPLETA

CUARTO

0401

C. E. R. EL LLANO

C. E. R. EL LLANO

COMPLETA

QUINTO

0501

C. E. R. LA CAÑADA

C. E. R. LA CA#ADA

COMPLETA

PRIMERO

0101

C. E. R. LA CAÑADA

C. E. R. LA CA#ADA

COMPLETA

TERCERO

0301

C. E. R. LA CAÑADA

C. E. R. LA CA#ADA

COMPLETA

QUINTO

0501

C. E. R. LA PAVA

C. E. R. LA PAVA

COMPLETA

GRADO 0

0001

C. E. R. LA PAVA

C. E. R. LA PAVA

COMPLETA

PRIMERO

0101

C. E. R. LA PAVA

C. E. R. LA PAVA

COMPLETA

SEGUNDO

0201

Página 1 de 7
INSTITUCION

SEDE

JORNADA

GRADO

GRUPO

MODELO

ESTADO

TOTAL

ESCUELA
NUEVA
ESCUELA
NUEVA
ESCUELA
NUEVA
ESCUELA
NUEVA
ESCUELA
NUEVA
ESCUELA
NUEVA
ESCUELA
NUEVA
ESCUELA
NUEVA
ESCUELA
NUEVA
ESCUELA
NUEVA
ESCUELA
NUEVA
ESCUELA
NUEVA
ESCUELA
NUEVA
ESCUELA
NUEVA
ESCUELA
NUEVA
ESCUELA
NUEVA
ESCUELA
NUEVA
ESCUELA
NUEVA
ESCUELA
NUEVA

MATRICULADO

11

MATRICULADO

8

MATRICULADO

5

MATRICULADO

6

MATRICULADO

4

MATRICULADO

6

MATRICULADO

4

MATRICULADO

9

MATRICULADO

1

MATRICULADO

3

MATRICULADO

5

MATRICULADO

10

MATRICULADO

3

MATRICULADO

3

MATRICULADO

3

MATRICULADO

1

MATRICULADO

2

MATRICULADO

5

MATRICULADO

2

C. E. R. LA PAVA

C. E. R. LA PAVA

COMPLETA

TERCERO

0301

C. E. R. LA PAVA

C. E. R. LA PAVA

COMPLETA

CUARTO

0401

C. E. R. LA PAVA

C. E. R. LA PAVA

COMPLETA

QUINTO

0501

C. E. R. LAS BRISAS

C. E. R. LAS BRISAS

COMPLETA

PRIMERO

0101

C. E. R. LAS BRISAS

C. E. R. LAS BRISAS

COMPLETA

SEGUNDO

0201

C. E. R. LAS BRISAS

C. E. R. LAS BRISAS

COMPLETA

TERCERO

0301

C. E. R. LAS BRISAS

C. E. R. LAS BRISAS

COMPLETA

CUARTO

0401

C. E. R. LAS BRISAS

C. E. R. LAS BRISAS

COMPLETA

QUINTO

0501

C. E. R. PALOBLANCO

C. E. R. PALOBLANCO

COMPLETA

GRADO 0

00

C. E. R. PALOBLANCO

C. E. R. PALOBLANCO

COMPLETA

PRIMERO

0101

C. E. R. PALOBLANCO

C. E. R. PALOBLANCO

COMPLETA

SEGUNDO

0201

C. E. R. PALOBLANCO

C. E. R. PALOBLANCO

COMPLETA

TERCERO

0301

C. E. R. PALOBLANCO

C. E. R. PALOBLANCO

COMPLETA

CUARTO

0401

C. E. R. PALOBLANCO

C. E. R. PALOBLANCO

COMPLETA

QUINTO

0501

C. E. R. SANTA ISABEL

C. E. R. SANTA ISABEL

COMPLETA

GRADO 0

0001

C. E. R. SANTA ISABEL

C. E. R. SANTA ISABEL

COMPLETA

PRIMERO

0101

C. E. R. SANTA ISABEL

C. E. R. SANTA ISABEL

COMPLETA

SEGUNDO

0201

C. E. R. SANTA ISABEL

C. E. R. SANTA ISABEL

COMPLETA

TERCERO

0301

C. E. R. SANTA ISABEL

C. E. R. SANTA ISABEL

COMPLETA

CUARTO

0401

Página 2 de 7
INSTITUCION

SEDE

JORNADA

GRADO

GRUPO

MODELO

ESTADO

TOTAL

ESCUELA
NUEVA
ESCUELA
NUEVA
ESCUELA
NUEVA
ESCUELA
NUEVA
ESCUELA
NUEVA
ESCUELA
NUEVA
ESCUELA
NUEVA
EDUCACIÓN
TRADICIONAL
EDUCACIÓN
TRADICIONAL
EDUCACIÓN
TRADICIONAL
EDUCACIÓN
TRADICIONAL
EDUCACIÓN
TRADICIONAL
EDUCACIÓN
TRADICIONAL
ESCUELA
NUEVA
ESCUELA
NUEVA
ESCUELA
NUEVA
ESCUELA
NUEVA
ESCUELA
NUEVA
ESCUELA
NUEVA

MATRICULADO

1

MATRICULADO

11

MATRICULADO

8

MATRICULADO

15

MATRICULADO

13

MATRICULADO

16

MATRICULADO

16

MATRICULADO

29

MATRICULADO

13

MATRICULADO

12

MATRICULADO

3

MATRICULADO

10

MATRICULADO

6

MATRICULADO

6

MATRICULADO

6

MATRICULADO

7

MATRICULADO

3

MATRICULADO

5

MATRICULADO

1

C. E. R. SANTA ISABEL

C. E. R. SANTA ISABEL

COMPLETA

QUINTO

0501

I. E. R. ALTO DEL CORRAL

COLEGIO ALTO DEL CORRAL

COMPLETA

GRADO 0

0001

I. E. R. ALTO DEL CORRAL

COLEGIO ALTO DEL CORRAL

COMPLETA

PRIMERO

0101

I. E. R. ALTO DEL CORRAL

COLEGIO ALTO DEL CORRAL

COMPLETA

SEGUNDO

0201

I. E. R. ALTO DEL CORRAL

COLEGIO ALTO DEL CORRAL

COMPLETA

TERCERO

0301

I. E. R. ALTO DEL CORRAL

COLEGIO ALTO DEL CORRAL

COMPLETA

CUARTO

0401

I. E. R. ALTO DEL CORRAL

COLEGIO ALTO DEL CORRAL

COMPLETA

QUINTO

0501

I. E. R. ALTO DEL CORRAL

COLEGIO ALTO DEL CORRAL

COMPLETA

SEXTO

0601

I. E. R. ALTO DEL CORRAL

COLEGIO ALTO DEL CORRAL

COMPLETA

SEPTIMO

0701

I. E. R. ALTO DEL CORRAL

COLEGIO ALTO DEL CORRAL

COMPLETA

OCTAVO

0801

I. E. R. ALTO DEL CORRAL

COLEGIO ALTO DEL CORRAL

COMPLETA

NOVENO

0901

I. E. R. ALTO DEL CORRAL

COLEGIO ALTO DEL CORRAL

COMPLETA

DÉCIMO

1001

I. E. R. ALTO DEL CORRAL

COLEGIO ALTO DEL CORRAL

COMPLETA

ONCE

1101

I. E. R. ALTO DEL CORRAL

ER LA HONDURA - SEDE
PRINCIPAL
ER LA HONDURA - SEDE
PRINCIPAL
ER LA HONDURA - SEDE
PRINCIPAL
ER LA HONDURA - SEDE
PRINCIPAL
ER LA HONDURA - SEDE
PRINCIPAL
ESCUELA EL CARMELO - SEDE
PRINCIPAL

COMPLETA

PRIMERO

0101

COMPLETA

SEGUNDO

0201

COMPLETA

TERCERO

0301

COMPLETA

CUARTO

0401

COMPLETA

QUINTO

0501

COMPLETA

PRIMERO

0101

I. E. R. ALTO DEL CORRAL
I. E. R. ALTO DEL CORRAL
I. E. R. ALTO DEL CORRAL
I. E. R. ALTO DEL CORRAL
I. E. R. ALTO DEL CORRAL

Página 3 de 7
INSTITUCION

SEDE

I. E. R. ALTO DEL CORRAL

ESCUELA EL CARMELO - SEDE
PRINCIPAL
ESCUELA EL CARMELO - SEDE
PRINCIPAL
ESCUELA EL CARMELO - SEDE
PRINCIPAL
ESCUELA EL CARMELO - SEDE
PRINCIPAL
COLEGIO HECTOR HIGINIO
BEDOYA VARGAS
COLEGIO HECTOR HIGINIO
BEDOYA VARGAS
COLEGIO HECTOR HIGINIO
BEDOYA VARGAS
COLEGIO HECTOR HIGINIO
BEDOYA VARGAS
COLEGIO HECTOR HIGINIO
BEDOYA VARGAS
COLEGIO HECTOR HIGINIO
BEDOYA VARGAS
COLEGIO HECTOR HIGINIO
BEDOYA VARGAS
COLEGIO HECTOR HIGINIO
BEDOYA VARGAS
COLEGIO HECTOR HIGINIO
BEDOYA VARGAS
COLEGIO HECTOR HIGINIO
BEDOYA VARGAS
COLEGIO HECTOR HIGINIO
BEDOYA VARGAS
COLEGIO HECTOR HIGINIO
BEDOYA VARGAS
E R EL GUAMAL (UNIT)

COMPLETA

I. E. R. ALTO DEL CORRAL
I. E. R. ALTO DEL CORRAL
I. E. R. ALTO DEL CORRAL
I. E. R. HECTOR HIGINIO BEDOYA
VARGAS
I. E. R. HECTOR HIGINIO BEDOYA
VARGAS
I. E. R. HECTOR HIGINIO BEDOYA
VARGAS
I. E. R. HECTOR HIGINIO BEDOYA
VARGAS
I. E. R. HECTOR HIGINIO BEDOYA
VARGAS
I. E. R. HECTOR HIGINIO BEDOYA
VARGAS
I. E. R. HECTOR HIGINIO BEDOYA
VARGAS
I. E. R. HECTOR HIGINIO BEDOYA
VARGAS
I. E. R. HECTOR HIGINIO BEDOYA
VARGAS
I. E. R. HECTOR HIGINIO BEDOYA
VARGAS
I. E. R. HECTOR HIGINIO BEDOYA
VARGAS
I. E. R. HECTOR HIGINIO BEDOYA
VARGAS
I. E. R. HECTOR HIGINIO BEDOYA
VARGAS
I. E. R. HECTOR HIGINIO BEDOYA
VARGAS
I. E. R. HECTOR HIGINIO BEDOYA
VARGAS

JORNADA

GRADO

GRUPO

MODELO

ESTADO

TOTAL

SEGUNDO

0201

MATRICULADO

5

COMPLETA

TERCERO

0301

MATRICULADO

2

COMPLETA

CUARTO

0401

MATRICULADO

3

COMPLETA

QUINTO

0501

MATRICULADO

5

COMPLETA

GRADO 0

0001

MATRICULADO

13

COMPLETA

PRIMERO

0101

MATRICULADO

8

COMPLETA

SEGUNDO

0201

MATRICULADO

12

COMPLETA

TERCERO

0301

MATRICULADO

11

COMPLETA

CUARTO

0401

MATRICULADO

8

COMPLETA

QUINTO

0501

MATRICULADO

10

COMPLETA

SEXTO

0601

MATRICULADO

18

COMPLETA

SEPTIMO

0701

MATRICULADO

17

COMPLETA

OCTAVO

0801

MATRICULADO

9

COMPLETA

NOVENO

0901

MATRICULADO

18

COMPLETA

DÉCIMO

1001

MATRICULADO

15

COMPLETA

ONCE

1101

MATRICULADO

12

COMPLETA

PRIMERO

0101

MATRICULADO

4

E R EL GUAMAL (UNIT)

COMPLETA

SEGUNDO

0201

MATRICULADO

1

E R EL GUAMAL (UNIT)

COMPLETA

TERCERO

0301

ESCUELA
NUEVA
ESCUELA
NUEVA
ESCUELA
NUEVA
ESCUELA
NUEVA
EDUCACIÓN
TRADICIONAL
EDUCACIÓN
TRADICIONAL
EDUCACIÓN
TRADICIONAL
EDUCACIÓN
TRADICIONAL
EDUCACIÓN
TRADICIONAL
EDUCACIÓN
TRADICIONAL
EDUCACIÓN
TRADICIONAL
EDUCACIÓN
TRADICIONAL
EDUCACIÓN
TRADICIONAL
EDUCACIÓN
TRADICIONAL
EDUCACIÓN
TRADICIONAL
EDUCACIÓN
TRADICIONAL
ESCUELA
NUEVA
ESCUELA
NUEVA
ESCUELA
NUEVA

MATRICULADO

2

Página 4 de 7
INSTITUCION
I. E. R. HECTOR HIGINIO BEDOYA
VARGAS
I. E. R. HECTOR HIGINIO BEDOYA
VARGAS
I. E. R. HECTOR HIGINIO BEDOYA
VARGAS
I. E. R. HECTOR HIGINIO BEDOYA
VARGAS
I. E. R. HECTOR HIGINIO BEDOYA
VARGAS
I. E. R. HECTOR HIGINIO BEDOYA
VARGAS
I. E. R. HECTOR HIGINIO BEDOYA
VARGAS
I. E. R. HECTOR HIGINIO BEDOYA
VARGAS
I. E. R. HECTOR HIGINIO BEDOYA
VARGAS
I. E. R. HECTOR HIGINIO BEDOYA
VARGAS
I. E. R. HECTOR HIGINIO BEDOYA
VARGAS
I. E. SAN RAFAEL

SEDE

JORNADA

GRADO

GRUPO

MODELO

ESTADO

TOTAL

ESCUELA
NUEVA
ESCUELA
NUEVA
ESCUELA
NUEVA
ESCUELA
NUEVA
ESCUELA
NUEVA
ESCUELA
NUEVA
ESCUELA
NUEVA
ESCUELA
NUEVA
ESCUELA
NUEVA
ESCUELA
NUEVA
ESCUELA
NUEVA
EDUCACIÓN
TRADICIONAL
EDUCACIÓN
TRADICIONAL
EDUCACIÓN
TRADICIONAL
EDUCACIÓN
TRADICIONAL
EDUCACIÓN
TRADICIONAL
EDUCACIÓN
TRADICIONAL
EDUCACIÓN
TRADICIONAL
EDUCACIÓN
TRADICIONAL

MATRICULADO

3

MATRICULADO

2

MATRICULADO

1

MATRICULADO

5

MATRICULADO

1

MATRICULADO

10

MATRICULADO

2

MATRICULADO

4

MATRICULADO

1

MATRICULADO

3

MATRICULADO

2

MATRICULADO

20

MATRICULADO

19

MATRICULADO

15

MATRICULADO

24

MATRICULADO

26

MATRICULADO

26

MATRICULADO

26

MATRICULADO

28

E R EL GUAMAL (UNIT)

COMPLETA

CUARTO

0401

E R EL GUAMAL (UNIT)

COMPLETA

QUINTO

0501

E R MORRITOS (UNIT)

COMPLETA

PRIMERO

0101

E R MORRITOS (UNIT)

COMPLETA

TERCERO

0301

E R MORRITOS (UNIT)

COMPLETA

CUARTO

0401

E R PUEBLO VIEJO (UNIT)

COMPLETA

GRADO 0

0001

E R PUEBLO VIEJO (UNIT)

COMPLETA

PRIMERO

0101

E R PUEBLO VIEJO (UNIT)

COMPLETA

SEGUNDO

0201

E R PUEBLO VIEJO (UNIT)

COMPLETA

TERCERO

0301

E R PUEBLO VIEJO (UNIT)

COMPLETA

CUARTO

0401

E R PUEBLO VIEJO (UNIT)

COMPLETA

QUINTO

0501

E U CORAZON DE JESUS

COMPLETA

PRIMERO

0101

I. E. SAN RAFAEL

E U CORAZON DE JESUS

COMPLETA

SEGUNDO

0201

I. E. SAN RAFAEL

E U CORAZON DE JESUS

COMPLETA

TERCERO

0301

I. E. SAN RAFAEL

E U CORAZON DE JESUS

COMPLETA

CUARTO

0401

I. E. SAN RAFAEL

E U CRISTO REY

COMPLETA

GRADO 0

0001

I. E. SAN RAFAEL

E U CRISTO REY

COMPLETA

PRIMERO

0101

I. E. SAN RAFAEL

E U CRISTO REY

COMPLETA

SEGUNDO

0201

I. E. SAN RAFAEL

E U CRISTO REY

COMPLETA

TERCERO

0301

Página 5 de 7
INSTITUCION

SEDE

JORNADA

GRADO

GRUPO

MODELO

ESTADO

TOTAL

EDUCACIÓN
TRADICIONAL
EDUCACIÓN
TRADICIONAL
EDUCACIÓN
TRADICIONAL
EDUCACIÓN
TRADICIONAL
EDUCACIÓN
TRADICIONAL
EDUCACIÓN
TRADICIONAL
EDUCACIÓN
TRADICIONAL
EDUCACIÓN
TRADICIONAL
EDUCACIÓN
TRADICIONAL
EDUCACIÓN
TRADICIONAL
EDUCACIÓN
TRADICIONAL
EDUCACIÓN
TRADICIONAL
SAT
PRESENCIAL
SAT
PRESENCIAL
SAT
PRESENCIAL
SAT
PRESENCIAL
SAT
PRESENCIAL
SAT
PRESENCIAL

MATRICULADO

23

MATRICULADO

18

MATRICULADO

19

MATRICULADO

19

MATRICULADO

21

MATRICULADO

19

MATRICULADO

22

MATRICULADO

24

MATRICULADO

45

MATRICULADO

30

MATRICULADO

27

MATRICULADO

37

MATRICULADO

31

MATRICULADO

21

MATRICULADO

18

MATRICULADO

30

MATRICULADO

12

MATRICULADO

11

I. E. SAN RAFAEL

E U CRISTO REY

COMPLETA

CUARTO

0401

I. E. SAN RAFAEL

E U CRISTO REY

COMPLETA

QUINTO

0501

I. E. SAN RAFAEL

E U CRISTO REY

COMPLETA

QUINTO

0502

I. E. SAN RAFAEL

LICEO SAN RAFAEL

COMPLETA

SEXTO

0601

I. E. SAN RAFAEL

LICEO SAN RAFAEL

COMPLETA

SEXTO

0602

I. E. SAN RAFAEL

LICEO SAN RAFAEL

COMPLETA

SEXTO

0603

I. E. SAN RAFAEL

LICEO SAN RAFAEL

COMPLETA

SEPTIMO

0701

I. E. SAN RAFAEL

LICEO SAN RAFAEL

COMPLETA

SEPTIMO

0702

I. E. SAN RAFAEL

LICEO SAN RAFAEL

COMPLETA

OCTAVO

0801

I. E. SAN RAFAEL

LICEO SAN RAFAEL

COMPLETA

NOVENO

0901

I. E. SAN RAFAEL

LICEO SAN RAFAEL

COMPLETA

DÉCIMO

1001

I. E. SAN RAFAEL

LICEO SAN RAFAEL

COMPLETA

ONCE

1101

INSTITUTO REGIONAL COREDI

INSTITUTO REGIONAL COREDI

COMPLETA

SEXTO

0601

INSTITUTO REGIONAL COREDI

INSTITUTO REGIONAL COREDI

COMPLETA

SEPTIMO

0701

INSTITUTO REGIONAL COREDI

INSTITUTO REGIONAL COREDI

COMPLETA

OCTAVO

0801

INSTITUTO REGIONAL COREDI

INSTITUTO REGIONAL COREDI

COMPLETA

NOVENO

0901

INSTITUTO REGIONAL COREDI

INSTITUTO REGIONAL COREDI

COMPLETA

DÉCIMO

1001

INSTITUTO REGIONAL COREDI

INSTITUTO REGIONAL COREDI

COMPLETA

ONCE

1101

Página 6 de 7
Total

1196

Reporte al 20 de febrero

  • 1.
    TOTAL DE ALUMNOSPOR CRITERIOS Version 6.0 Fecha: Feb 20, 4:37:03 PM SECRETARIA: HELICONIA AÑO: 2014 INSTITUCION SEDE JORNADA GRADO GRUPO MODELO ESTADO TOTAL ESCUELA NUEVA ESCUELA NUEVA ESCUELA NUEVA ESCUELA NUEVA ESCUELA NUEVA ESCUELA NUEVA ESCUELA NUEVA ESCUELA NUEVA ESCUELA NUEVA ESCUELA NUEVA ESCUELA NUEVA ESCUELA NUEVA MATRICULADO 7 MATRICULADO 26 MATRICULADO 12 MATRICULADO 9 MATRICULADO 10 MATRICULADO 10 MATRICULADO 3 MATRICULADO 3 MATRICULADO 1 MATRICULADO 8 MATRICULADO 8 MATRICULADO 9 C. E. R. EL LLANO C. E. R. EL LLANO COMPLETA GRADO 0 0001 C. E. R. EL LLANO C. E. R. EL LLANO COMPLETA PRIMERO 0101 C. E. R. EL LLANO C. E. R. EL LLANO COMPLETA SEGUNDO 0201 C. E. R. EL LLANO C. E. R. EL LLANO COMPLETA TERCERO 0301 C. E. R. EL LLANO C. E. R. EL LLANO COMPLETA CUARTO 0401 C. E. R. EL LLANO C. E. R. EL LLANO COMPLETA QUINTO 0501 C. E. R. LA CAÑADA C. E. R. LA CA#ADA COMPLETA PRIMERO 0101 C. E. R. LA CAÑADA C. E. R. LA CA#ADA COMPLETA TERCERO 0301 C. E. R. LA CAÑADA C. E. R. LA CA#ADA COMPLETA QUINTO 0501 C. E. R. LA PAVA C. E. R. LA PAVA COMPLETA GRADO 0 0001 C. E. R. LA PAVA C. E. R. LA PAVA COMPLETA PRIMERO 0101 C. E. R. LA PAVA C. E. R. LA PAVA COMPLETA SEGUNDO 0201 Página 1 de 7
  • 2.
    INSTITUCION SEDE JORNADA GRADO GRUPO MODELO ESTADO TOTAL ESCUELA NUEVA ESCUELA NUEVA ESCUELA NUEVA ESCUELA NUEVA ESCUELA NUEVA ESCUELA NUEVA ESCUELA NUEVA ESCUELA NUEVA ESCUELA NUEVA ESCUELA NUEVA ESCUELA NUEVA ESCUELA NUEVA ESCUELA NUEVA ESCUELA NUEVA ESCUELA NUEVA ESCUELA NUEVA ESCUELA NUEVA ESCUELA NUEVA ESCUELA NUEVA MATRICULADO 11 MATRICULADO 8 MATRICULADO 5 MATRICULADO 6 MATRICULADO 4 MATRICULADO 6 MATRICULADO 4 MATRICULADO 9 MATRICULADO 1 MATRICULADO 3 MATRICULADO 5 MATRICULADO 10 MATRICULADO 3 MATRICULADO 3 MATRICULADO 3 MATRICULADO 1 MATRICULADO 2 MATRICULADO 5 MATRICULADO 2 C. E. R.LA PAVA C. E. R. LA PAVA COMPLETA TERCERO 0301 C. E. R. LA PAVA C. E. R. LA PAVA COMPLETA CUARTO 0401 C. E. R. LA PAVA C. E. R. LA PAVA COMPLETA QUINTO 0501 C. E. R. LAS BRISAS C. E. R. LAS BRISAS COMPLETA PRIMERO 0101 C. E. R. LAS BRISAS C. E. R. LAS BRISAS COMPLETA SEGUNDO 0201 C. E. R. LAS BRISAS C. E. R. LAS BRISAS COMPLETA TERCERO 0301 C. E. R. LAS BRISAS C. E. R. LAS BRISAS COMPLETA CUARTO 0401 C. E. R. LAS BRISAS C. E. R. LAS BRISAS COMPLETA QUINTO 0501 C. E. R. PALOBLANCO C. E. R. PALOBLANCO COMPLETA GRADO 0 00 C. E. R. PALOBLANCO C. E. R. PALOBLANCO COMPLETA PRIMERO 0101 C. E. R. PALOBLANCO C. E. R. PALOBLANCO COMPLETA SEGUNDO 0201 C. E. R. PALOBLANCO C. E. R. PALOBLANCO COMPLETA TERCERO 0301 C. E. R. PALOBLANCO C. E. R. PALOBLANCO COMPLETA CUARTO 0401 C. E. R. PALOBLANCO C. E. R. PALOBLANCO COMPLETA QUINTO 0501 C. E. R. SANTA ISABEL C. E. R. SANTA ISABEL COMPLETA GRADO 0 0001 C. E. R. SANTA ISABEL C. E. R. SANTA ISABEL COMPLETA PRIMERO 0101 C. E. R. SANTA ISABEL C. E. R. SANTA ISABEL COMPLETA SEGUNDO 0201 C. E. R. SANTA ISABEL C. E. R. SANTA ISABEL COMPLETA TERCERO 0301 C. E. R. SANTA ISABEL C. E. R. SANTA ISABEL COMPLETA CUARTO 0401 Página 2 de 7
  • 3.
    INSTITUCION SEDE JORNADA GRADO GRUPO MODELO ESTADO TOTAL ESCUELA NUEVA ESCUELA NUEVA ESCUELA NUEVA ESCUELA NUEVA ESCUELA NUEVA ESCUELA NUEVA ESCUELA NUEVA EDUCACIÓN TRADICIONAL EDUCACIÓN TRADICIONAL EDUCACIÓN TRADICIONAL EDUCACIÓN TRADICIONAL EDUCACIÓN TRADICIONAL EDUCACIÓN TRADICIONAL ESCUELA NUEVA ESCUELA NUEVA ESCUELA NUEVA ESCUELA NUEVA ESCUELA NUEVA ESCUELA NUEVA MATRICULADO 1 MATRICULADO 11 MATRICULADO 8 MATRICULADO 15 MATRICULADO 13 MATRICULADO 16 MATRICULADO 16 MATRICULADO 29 MATRICULADO 13 MATRICULADO 12 MATRICULADO 3 MATRICULADO 10 MATRICULADO 6 MATRICULADO 6 MATRICULADO 6 MATRICULADO 7 MATRICULADO 3 MATRICULADO 5 MATRICULADO 1 C. E. R.SANTA ISABEL C. E. R. SANTA ISABEL COMPLETA QUINTO 0501 I. E. R. ALTO DEL CORRAL COLEGIO ALTO DEL CORRAL COMPLETA GRADO 0 0001 I. E. R. ALTO DEL CORRAL COLEGIO ALTO DEL CORRAL COMPLETA PRIMERO 0101 I. E. R. ALTO DEL CORRAL COLEGIO ALTO DEL CORRAL COMPLETA SEGUNDO 0201 I. E. R. ALTO DEL CORRAL COLEGIO ALTO DEL CORRAL COMPLETA TERCERO 0301 I. E. R. ALTO DEL CORRAL COLEGIO ALTO DEL CORRAL COMPLETA CUARTO 0401 I. E. R. ALTO DEL CORRAL COLEGIO ALTO DEL CORRAL COMPLETA QUINTO 0501 I. E. R. ALTO DEL CORRAL COLEGIO ALTO DEL CORRAL COMPLETA SEXTO 0601 I. E. R. ALTO DEL CORRAL COLEGIO ALTO DEL CORRAL COMPLETA SEPTIMO 0701 I. E. R. ALTO DEL CORRAL COLEGIO ALTO DEL CORRAL COMPLETA OCTAVO 0801 I. E. R. ALTO DEL CORRAL COLEGIO ALTO DEL CORRAL COMPLETA NOVENO 0901 I. E. R. ALTO DEL CORRAL COLEGIO ALTO DEL CORRAL COMPLETA DÉCIMO 1001 I. E. R. ALTO DEL CORRAL COLEGIO ALTO DEL CORRAL COMPLETA ONCE 1101 I. E. R. ALTO DEL CORRAL ER LA HONDURA - SEDE PRINCIPAL ER LA HONDURA - SEDE PRINCIPAL ER LA HONDURA - SEDE PRINCIPAL ER LA HONDURA - SEDE PRINCIPAL ER LA HONDURA - SEDE PRINCIPAL ESCUELA EL CARMELO - SEDE PRINCIPAL COMPLETA PRIMERO 0101 COMPLETA SEGUNDO 0201 COMPLETA TERCERO 0301 COMPLETA CUARTO 0401 COMPLETA QUINTO 0501 COMPLETA PRIMERO 0101 I. E. R. ALTO DEL CORRAL I. E. R. ALTO DEL CORRAL I. E. R. ALTO DEL CORRAL I. E. R. ALTO DEL CORRAL I. E. R. ALTO DEL CORRAL Página 3 de 7
  • 4.
    INSTITUCION SEDE I. E. R.ALTO DEL CORRAL ESCUELA EL CARMELO - SEDE PRINCIPAL ESCUELA EL CARMELO - SEDE PRINCIPAL ESCUELA EL CARMELO - SEDE PRINCIPAL ESCUELA EL CARMELO - SEDE PRINCIPAL COLEGIO HECTOR HIGINIO BEDOYA VARGAS COLEGIO HECTOR HIGINIO BEDOYA VARGAS COLEGIO HECTOR HIGINIO BEDOYA VARGAS COLEGIO HECTOR HIGINIO BEDOYA VARGAS COLEGIO HECTOR HIGINIO BEDOYA VARGAS COLEGIO HECTOR HIGINIO BEDOYA VARGAS COLEGIO HECTOR HIGINIO BEDOYA VARGAS COLEGIO HECTOR HIGINIO BEDOYA VARGAS COLEGIO HECTOR HIGINIO BEDOYA VARGAS COLEGIO HECTOR HIGINIO BEDOYA VARGAS COLEGIO HECTOR HIGINIO BEDOYA VARGAS COLEGIO HECTOR HIGINIO BEDOYA VARGAS E R EL GUAMAL (UNIT) COMPLETA I. E. R. ALTO DEL CORRAL I. E. R. ALTO DEL CORRAL I. E. R. ALTO DEL CORRAL I. E. R. HECTOR HIGINIO BEDOYA VARGAS I. E. R. HECTOR HIGINIO BEDOYA VARGAS I. E. R. HECTOR HIGINIO BEDOYA VARGAS I. E. R. HECTOR HIGINIO BEDOYA VARGAS I. E. R. HECTOR HIGINIO BEDOYA VARGAS I. E. R. HECTOR HIGINIO BEDOYA VARGAS I. E. R. HECTOR HIGINIO BEDOYA VARGAS I. E. R. HECTOR HIGINIO BEDOYA VARGAS I. E. R. HECTOR HIGINIO BEDOYA VARGAS I. E. R. HECTOR HIGINIO BEDOYA VARGAS I. E. R. HECTOR HIGINIO BEDOYA VARGAS I. E. R. HECTOR HIGINIO BEDOYA VARGAS I. E. R. HECTOR HIGINIO BEDOYA VARGAS I. E. R. HECTOR HIGINIO BEDOYA VARGAS I. E. R. HECTOR HIGINIO BEDOYA VARGAS JORNADA GRADO GRUPO MODELO ESTADO TOTAL SEGUNDO 0201 MATRICULADO 5 COMPLETA TERCERO 0301 MATRICULADO 2 COMPLETA CUARTO 0401 MATRICULADO 3 COMPLETA QUINTO 0501 MATRICULADO 5 COMPLETA GRADO 0 0001 MATRICULADO 13 COMPLETA PRIMERO 0101 MATRICULADO 8 COMPLETA SEGUNDO 0201 MATRICULADO 12 COMPLETA TERCERO 0301 MATRICULADO 11 COMPLETA CUARTO 0401 MATRICULADO 8 COMPLETA QUINTO 0501 MATRICULADO 10 COMPLETA SEXTO 0601 MATRICULADO 18 COMPLETA SEPTIMO 0701 MATRICULADO 17 COMPLETA OCTAVO 0801 MATRICULADO 9 COMPLETA NOVENO 0901 MATRICULADO 18 COMPLETA DÉCIMO 1001 MATRICULADO 15 COMPLETA ONCE 1101 MATRICULADO 12 COMPLETA PRIMERO 0101 MATRICULADO 4 E R EL GUAMAL (UNIT) COMPLETA SEGUNDO 0201 MATRICULADO 1 E R EL GUAMAL (UNIT) COMPLETA TERCERO 0301 ESCUELA NUEVA ESCUELA NUEVA ESCUELA NUEVA ESCUELA NUEVA EDUCACIÓN TRADICIONAL EDUCACIÓN TRADICIONAL EDUCACIÓN TRADICIONAL EDUCACIÓN TRADICIONAL EDUCACIÓN TRADICIONAL EDUCACIÓN TRADICIONAL EDUCACIÓN TRADICIONAL EDUCACIÓN TRADICIONAL EDUCACIÓN TRADICIONAL EDUCACIÓN TRADICIONAL EDUCACIÓN TRADICIONAL EDUCACIÓN TRADICIONAL ESCUELA NUEVA ESCUELA NUEVA ESCUELA NUEVA MATRICULADO 2 Página 4 de 7
  • 5.
    INSTITUCION I. E. R.HECTOR HIGINIO BEDOYA VARGAS I. E. R. HECTOR HIGINIO BEDOYA VARGAS I. E. R. HECTOR HIGINIO BEDOYA VARGAS I. E. R. HECTOR HIGINIO BEDOYA VARGAS I. E. R. HECTOR HIGINIO BEDOYA VARGAS I. E. R. HECTOR HIGINIO BEDOYA VARGAS I. E. R. HECTOR HIGINIO BEDOYA VARGAS I. E. R. HECTOR HIGINIO BEDOYA VARGAS I. E. R. HECTOR HIGINIO BEDOYA VARGAS I. E. R. HECTOR HIGINIO BEDOYA VARGAS I. E. R. HECTOR HIGINIO BEDOYA VARGAS I. E. SAN RAFAEL SEDE JORNADA GRADO GRUPO MODELO ESTADO TOTAL ESCUELA NUEVA ESCUELA NUEVA ESCUELA NUEVA ESCUELA NUEVA ESCUELA NUEVA ESCUELA NUEVA ESCUELA NUEVA ESCUELA NUEVA ESCUELA NUEVA ESCUELA NUEVA ESCUELA NUEVA EDUCACIÓN TRADICIONAL EDUCACIÓN TRADICIONAL EDUCACIÓN TRADICIONAL EDUCACIÓN TRADICIONAL EDUCACIÓN TRADICIONAL EDUCACIÓN TRADICIONAL EDUCACIÓN TRADICIONAL EDUCACIÓN TRADICIONAL MATRICULADO 3 MATRICULADO 2 MATRICULADO 1 MATRICULADO 5 MATRICULADO 1 MATRICULADO 10 MATRICULADO 2 MATRICULADO 4 MATRICULADO 1 MATRICULADO 3 MATRICULADO 2 MATRICULADO 20 MATRICULADO 19 MATRICULADO 15 MATRICULADO 24 MATRICULADO 26 MATRICULADO 26 MATRICULADO 26 MATRICULADO 28 E R EL GUAMAL (UNIT) COMPLETA CUARTO 0401 E R EL GUAMAL (UNIT) COMPLETA QUINTO 0501 E R MORRITOS (UNIT) COMPLETA PRIMERO 0101 E R MORRITOS (UNIT) COMPLETA TERCERO 0301 E R MORRITOS (UNIT) COMPLETA CUARTO 0401 E R PUEBLO VIEJO (UNIT) COMPLETA GRADO 0 0001 E R PUEBLO VIEJO (UNIT) COMPLETA PRIMERO 0101 E R PUEBLO VIEJO (UNIT) COMPLETA SEGUNDO 0201 E R PUEBLO VIEJO (UNIT) COMPLETA TERCERO 0301 E R PUEBLO VIEJO (UNIT) COMPLETA CUARTO 0401 E R PUEBLO VIEJO (UNIT) COMPLETA QUINTO 0501 E U CORAZON DE JESUS COMPLETA PRIMERO 0101 I. E. SAN RAFAEL E U CORAZON DE JESUS COMPLETA SEGUNDO 0201 I. E. SAN RAFAEL E U CORAZON DE JESUS COMPLETA TERCERO 0301 I. E. SAN RAFAEL E U CORAZON DE JESUS COMPLETA CUARTO 0401 I. E. SAN RAFAEL E U CRISTO REY COMPLETA GRADO 0 0001 I. E. SAN RAFAEL E U CRISTO REY COMPLETA PRIMERO 0101 I. E. SAN RAFAEL E U CRISTO REY COMPLETA SEGUNDO 0201 I. E. SAN RAFAEL E U CRISTO REY COMPLETA TERCERO 0301 Página 5 de 7
  • 6.
    INSTITUCION SEDE JORNADA GRADO GRUPO MODELO ESTADO TOTAL EDUCACIÓN TRADICIONAL EDUCACIÓN TRADICIONAL EDUCACIÓN TRADICIONAL EDUCACIÓN TRADICIONAL EDUCACIÓN TRADICIONAL EDUCACIÓN TRADICIONAL EDUCACIÓN TRADICIONAL EDUCACIÓN TRADICIONAL EDUCACIÓN TRADICIONAL EDUCACIÓN TRADICIONAL EDUCACIÓN TRADICIONAL EDUCACIÓN TRADICIONAL SAT PRESENCIAL SAT PRESENCIAL SAT PRESENCIAL SAT PRESENCIAL SAT PRESENCIAL SAT PRESENCIAL MATRICULADO 23 MATRICULADO 18 MATRICULADO 19 MATRICULADO 19 MATRICULADO 21 MATRICULADO 19 MATRICULADO 22 MATRICULADO 24 MATRICULADO 45 MATRICULADO 30 MATRICULADO 27 MATRICULADO 37 MATRICULADO 31 MATRICULADO 21 MATRICULADO 18 MATRICULADO 30 MATRICULADO 12 MATRICULADO 11 I. E. SANRAFAEL E U CRISTO REY COMPLETA CUARTO 0401 I. E. SAN RAFAEL E U CRISTO REY COMPLETA QUINTO 0501 I. E. SAN RAFAEL E U CRISTO REY COMPLETA QUINTO 0502 I. E. SAN RAFAEL LICEO SAN RAFAEL COMPLETA SEXTO 0601 I. E. SAN RAFAEL LICEO SAN RAFAEL COMPLETA SEXTO 0602 I. E. SAN RAFAEL LICEO SAN RAFAEL COMPLETA SEXTO 0603 I. E. SAN RAFAEL LICEO SAN RAFAEL COMPLETA SEPTIMO 0701 I. E. SAN RAFAEL LICEO SAN RAFAEL COMPLETA SEPTIMO 0702 I. E. SAN RAFAEL LICEO SAN RAFAEL COMPLETA OCTAVO 0801 I. E. SAN RAFAEL LICEO SAN RAFAEL COMPLETA NOVENO 0901 I. E. SAN RAFAEL LICEO SAN RAFAEL COMPLETA DÉCIMO 1001 I. E. SAN RAFAEL LICEO SAN RAFAEL COMPLETA ONCE 1101 INSTITUTO REGIONAL COREDI INSTITUTO REGIONAL COREDI COMPLETA SEXTO 0601 INSTITUTO REGIONAL COREDI INSTITUTO REGIONAL COREDI COMPLETA SEPTIMO 0701 INSTITUTO REGIONAL COREDI INSTITUTO REGIONAL COREDI COMPLETA OCTAVO 0801 INSTITUTO REGIONAL COREDI INSTITUTO REGIONAL COREDI COMPLETA NOVENO 0901 INSTITUTO REGIONAL COREDI INSTITUTO REGIONAL COREDI COMPLETA DÉCIMO 1001 INSTITUTO REGIONAL COREDI INSTITUTO REGIONAL COREDI COMPLETA ONCE 1101 Página 6 de 7
  • 7.