1 ¿Cuáles son los descriptores de un DLCI de Frame Relay? (Elija dos opciones).
dirección de Capa 2
un solo DLCI permitido por bucle local
extremo de circuito localmente importante
estándar de señalización entre DTE y DCE
proporciona estadísticas sobre las conexiones y el uso de PVC
2 Un ingeniero de NetworkingCompany responde una llamada donde se solicita asistencia para resolver
problemas técnicos en la red de un cliente. Después de resolver el problema, el ingeniero proporciona
una sesión de capacitación para el personal de soporte de red. ¿Qué rol cumple el ingeniero en el equip
compañía de networking?
ingeniero en el campo de posventas
ingeniero de preventas
diseñador de red
administrador de cuentas
3 Para que el personal de TI de una compañía comprenda la operación básica de las VPN, ¿qué caracterí
tecnologías debe identificar el diseñador de red como necesidades de capacitación? (Elija dos opcione
tunneling IPv6
funcionamiento de QoS
protocolos de tunneling
configuración de la VLAN
algoritmos de encriptación
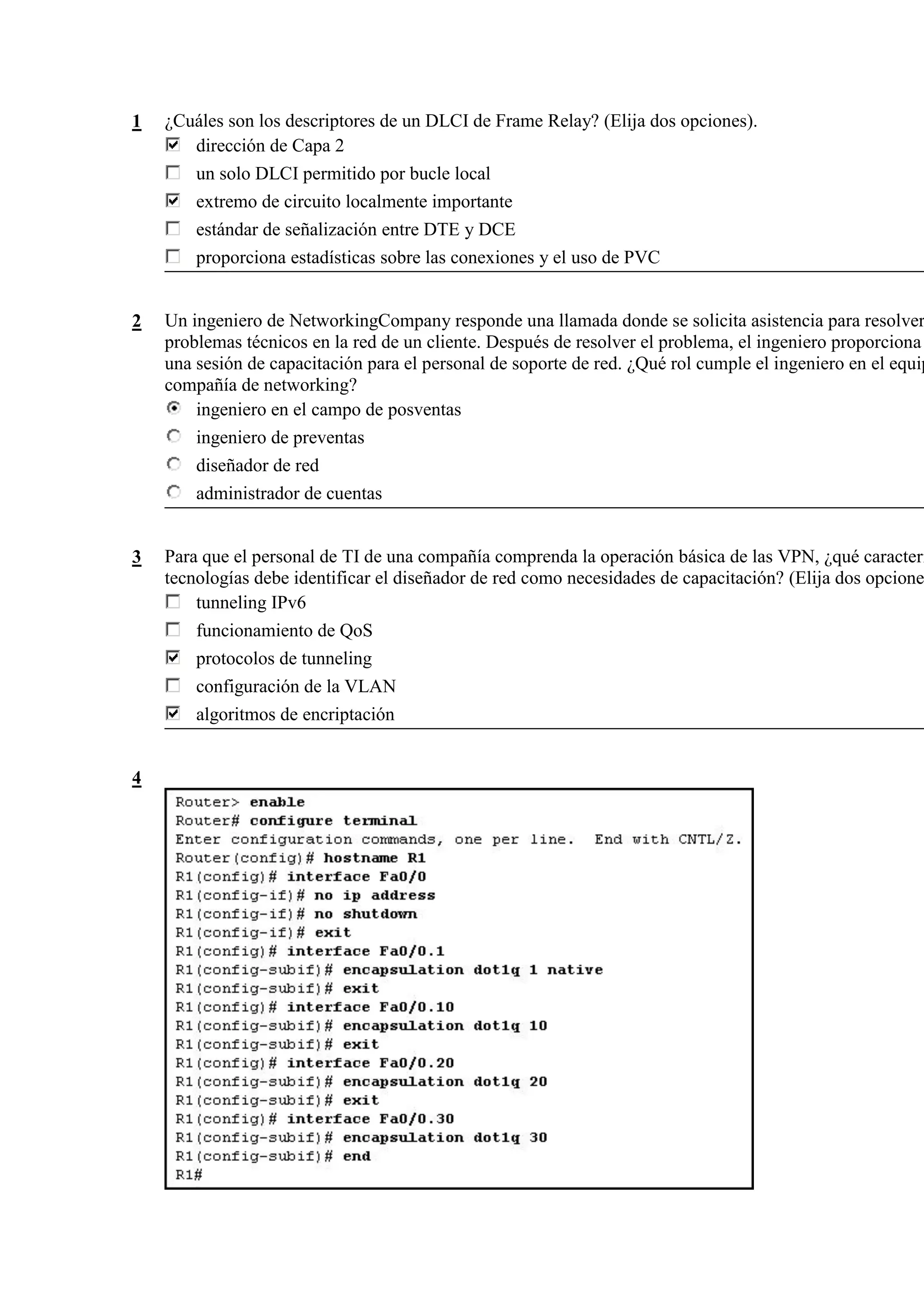
4
Consulte la ilustración. Un administrador de red configura un nuevo router para que proporcione enrut
entre redes VLAN. El administrador extrae el router de la caja y conecta la interfaz Fa0/0 a un puerto d
troncal en el switch. Una vez aplicada la configuración al router, tal como se muestra en la ilustración,
produce un error en el tráfico entre las redes VLAN. ¿Cuál es la causa de este error?
Debe configurarse un protocolo de enrutamiento en el router R1.
Las subinterfaces del router R1 deben tener direcciones IP aplicadas.
El router R1 debe tener tres interfaces Fast Ethernet adicionales instaladas.
Las subinterfaces del router R1 deben configurarse en la misma VLAN.
5 Cuando se configura Frame Relay, ¿qué identifica a un circuito virtual para el switch de la WAN?
LMI
CPE
PVC
DLCI
6 Un técnico agrega el comando Router(config-router)# variance 5 a un router usando EIGRP como pro
enrutamiento. ¿Cuál es el resultado de la introducción de este comando?
Se habilita el balanceo de carga con distinto costo.
Se ajusta la métrica de todas las rutas EIGRP a 5.
Se restringe la cantidad de rutas de sucesor factible EIGRP a 5.
Se activa el uso de todos los valores K en el cálculo de métrica compuesta.
Se habilita el balanceo de carga de mismo costo EIGRP en 5 rutas como máximo.
7 Durante una revisión de la lista de materiales propuesta, un administrador de cuentas de la compañía d
soluciones de red advierte que el ingeniero en sistemas incluyó un switch más económico y con menos
capacidades para la capa de acceso que el originalmente especificado por el diseñador de red. Cuando
preguntó por qué, el ingeniero en sistemas respondió que los switches especificados por el diseñador n
pudieron adquirir debido a las limitaciones en el presupuesto del cliente. ¿Qué medida debe adoptar el
administrador de cuentas?
Informar al cliente que el presupuesto del proyecto debe aumentarse.
Informar al cliente que el proyecto no se puede completar debido a las excesivas limitaciones del
presupuesto.
Comunicar los riesgos relacionados con la sustitución de los equipos y obtener la aprobación del c
para proceder.
Dado que probablemente el cliente es consciente de que las limitaciones en el presupuesto requeri
equipos más económicos y con menos capacidad, el administrador de cuentas no debe adoptar nin
medida.
8
Consulte la ilustración. ¿Cuál es el rol del árbol de expansión de todas las interfaces habilitadas de SW
alternativo
copia de seguridad
designado
raíz
9 Se solicita a un administrador de red de una compañía mediana que actualice el protocolo de enrutami
red para respaldar VLSM y sumarización de ruta. La red actual de la compañía tiene routers Cisco y ro
no son Cisco. ¿Qué protocolo de enrutamiento debe usarse para la actualización?
BGP
RIPv1
RIPv2
EIGRP
10 Se ha eliminado un router de la red para mantenimiento. Se ha descargado correctamente en un servido
imagen del nuevo software IOS de Cisco y se la ha copiado en la flash del router. ¿Qué se debe hacer a
volver a poner el router en funcionamiento?
realizar una copia de seguridad de la imagen nueva.
copiar la configuración en ejecución a la NVRAM.
eliminar de la flash la versión anterior del software IOS de Cisco.
reiniciar el router y verificar que la imagen nueva se inicie correctamente.
11
Consulte la ilustración. Conforme a un plan de prueba, el ingeniero en sistemas de red termina la confi
de un switch de capa de acceso y conecta tres PC. El ingeniero intenta hacer ping desde cada PC al rest
PC conectadas para probar la configuración. ¿Qué enunciado describe el resultado del último paso?
El Host 1 puede hacer ping con el Host 2.
El Host 1 puede hacer ping con el Host 3.
El Host 2 puede hacer ping con el Host 3.
Ningún host puede hacer ping con otro host.
12
Consulte la ilustración. La ACL denominada "Managers" ya existe en el router. ¿Qué sucederá cuand
administrador de red emita los comandos que se muestran en la ilustración?
Los comandos sobrescriben la ACL Managers existente.
Los comandos se agregan al final de la ACL Managers actual.
Los comandos se agregan al comienzo de la ACL Managers actual.
El administrador de red recibe un error que declara que la ACL ya existe.
13 La oficina principal de un cliente de NetworkingCompany se conecta actualmente a tres sucursales a tr
tres circuitos T1 punto a punto independientes. La red del cliente usa RIPv2 como protocolo de enrutam
tanto en la LAN como en la WAN. El administrador de cuentas propone cambiar a una red Frame Rela
los costos son menores. Una única conexión en bucle local puede instalarse en la oficina principal con
independientes para conectarse con las sucursales. ¿Cómo se puede configurar el router de extremo de
principal para permitir que el usuario continúe usando RIP como protocolo de enrutamiento de la WAN
Habilitar ARP inverso en la interfaz serial para conocer las rutas hacia las direcciones IP de los usu
remotos.
Impedir que la red Frame Relay genere un loop de enrutamiento al deshabilitar el horizonte dividid
interfaz serial.
Crear tres subinterfaces independientes punto a punto en la interfaz serial y asignar una dirección I
subred distinta a cada una.
Configurar la interfaz serial con un número de DLCI de interfaz única y crear sentencias de frame
map para cada dirección de sitio remoto.
14 ¿Qué componente de IOS puede usarse para descubrir y clasificar los protocolos del tráfico de red y ap
en uso?
CDP
NBAR
registro de ACL
Network Assistant
15 Un día lunes por la mañana, el soporte técnico de una gran compañía recibe una cantidad inusualmente
llamadas informando la falta de conectividad a Internet y a otros recursos de red. A excepción de esto,
funcionan normalmente. Los técnicos del soporte notan que todas las llamadas provienen de un solo
departamento, y todos los usuarios afectados están en el mismo piso del mismo edificio. ¿Dónde deber
sospechar los técnicos que radica el problema?
switch de grupo de trabajo
fuentes de energía de las PC
cables de conexión desde las PC hasta los conectores de la red
cableado desde los conectores de la red hasta el armario para el cableado
16 ¿Cuál es el propósito principal de la capa de acceso en una red diseñada jerárquicamente?
llevar a cabo la manipulación de paquetes y enrutamiento
suministrar redundancia y protección contra fallas
proporcionar una red troncal de baja latencia y alta velocidad
desempeñarse como punto de conexión de red para los dispositivos de usuarios finales
17 ¿Qué enunciado describe mejor la función de VPN denominada tunneling dividido?
Crea rutas divididas para distintas VLAN.
Crea dos túneles, uno para el tráfico del usuario y uno para el tráfico de administración, como CD
SNMP.
Permite que el tráfico del usuario destinado a la red corporativa viaje por el túnel VPN, mientras
tráfico destinado a Internet viaja a través de la LAN local del cliente VPN.
Permite túneles separados, de modo que el tráfico de alta prioridad, como el de voz y video, use e
mayor ancho de banda, mientras que todo otro tráfico del usuario viaja por el túnel de menor anc
banda.
18
Consulte la ilustración. ¿Qué hace el router JAX con el tráfico que se destina a un servidor Web con un
dirección IP de 128.107.10.24?
el tráfico se envía fuera de Serial 0/0/0.
el router envía el tráfico a todas las interfaces, excepto a la interfaz desde la que proviene.
se envía una solicitud a los routers vecinos para las rutas a la red 128.107.0.0.
los paquetes se colocan en cola hasta que se detecte una ruta mejor a través de RIP.
19 Durante la prueba del prototipo, el diseñador de redes realiza una prueba a fin de determinar la capacid
red para recuperarse de una falla del dispositivo o del enlace. ¿Qué objetivo de diseño se confirma si la
un éxito?
escalabilidad
facilidad de administración
disponibilidad
seguridad
20 Cuando se implementa una solución de telefonía IP, ¿para qué deben usarse redes VLAN?
Para permitir el uso de un solo gateway IP.
Para separar el tráfico de voz del tráfico de datos a fin de facilitar la priorización.
Para permitir que el PBX use los ID de las VLAN para filtrar tanto el tráfico de voz como el de da
Para permitir la conectividad entre dispositivos de telefonía tradicional y dispositivos de telefonía
IP.
21 ¿Qué enunciado describe el uso de una línea de base de red?
Crea un diagrama de red lógica de alto nivel.
Proporciona un punto de referencia para futuras evaluaciones.
Permite identificar con precisión la ubicación original de los equipos de red.
Debe establecerse apenas se detecta un problema en la red.
22 En una red convergente, ¿qué tipos de tráfico se categorizarían como tráfico en tiempo real? (Elija do
opciones).
correo electrónico
transferencia de archivos
exploración web
videoconferencia
voz sobre IP
video a pedido
23
Consulte la ilustración. Se ha creado una ACL extendida para denegar el tráfico proveniente de la red
192.168.30.0/24 hacia el servidor web cuya dirección IP es 209.165.201.30. Conforme a las mejores pr
establecidas por Cisco, ¿dónde debe aplicarse la ACL?
Fa0/0 de R3 entrante
S0/0/1 de R3 saliente
S0/0/1 de R2 entrante
Fa0/0 del ISP saliente
24 La Compañía XYZ necesita una conexión de WAN entre la casa matriz y las sucursales que tenga un a
de seguridad. La conexión debe proporcionar alto ancho de banda para respaldar VoIP y datos de trans
con la menor sobrecarga posible. ¿Cuál es la mejor solución de conectividad WAN para la Compañía X
DSL
cable
relay de celda
PPP en una línea arrendada
25 Un administrador de red ha configurado Frame Relay en una interfaz serial y ha emitido el comando sh
interfaces serial. El resultado muestra que la interfaz y el protocolo de línea están activados. Sin emba
produce un error al hacer ping con el router remoto a través del enlace. ¿Cuál debe ser el siguiente paso
asegurar que la dirección IP del router remoto aparezca en la tabla de asignación de Frame Relay del ro
local?
Configurar el router mediante el uso del comando no inverse-arp.
Asegurar que el tipo de LMI sea correcto para el circuito.
Configurar el router mediante el uso del comando frame-relay map ip.
Verificar que el router remoto tenga habilitada la encapsulación Frame Relay.
26 Una gran compañía planifica agregar varios servidores y desea que se pueda tener acceso a los servido
directamente desde Internet. ¿Qué acción ayudará a la compañía a cumplir este objetivo?
Asignar a cada servidor una dirección IP interna estática que se asigna estáticamente a una direcció
pública.
Colocar todos los servidores en su propia subred privada de clase C.
Proporcionar una dirección privada a cada servidor mediante el uso de DHCP.
Asignar direcciones desde un conjunto de direcciones públicas de clase B mediante el uso de DHC
27 ¿Qué valor es una representación alternativa de la dirección IPv6
2001:DB80:0000:0000:0C41:3EFF:FE00:0000?
2001:DB8::C41:3EFF:FE:
2001:DB80::C41:3EFF:FE00::
2001:DB80::C41:3EFF:FE00:0
2001:DB80:0:0:0:C41:3EFF:FE::
28
Consulte la ilustración. ¿Qué problema se asocia con el esquema de direccionamiento de la red?
Los enlaces WAN necesitan direcciones IP de otra red principal.
La LAN de R1 es incorrecta porque no se puede usar la subred cero con VLSM.
La dirección IP del enlace de WAN que conecta R1 a R3 tiene una máscara incorrecta.
Los enlaces de WAN de R1 a R3 y de R1a R2 tienen direcciones IP que se superponen.
La dirección IP de la WAN que conecta R1 a R2 se superpone con las direcciones IP de la LAN de
29 ¿Qué tipo de ACL permite el tráfico saliente, pero también permite el tráfico entrante únicamente si es
respuesta al tráfico que se inició desde el interior de la red?
dinámica
reflexiva
estándar
extendida
basada en el tiempo
30
Consulte la ilustración. Un administrador instala un módulo WIC-2T en un router Cisco 1841. Los inte
configurar la interfaz S0/0/0 no son satisfactorios. Como primer paso en la resolución de este problema
administrador emite el comando show version. ¿Cuál es una posible razón de esta falla?
La WIC no se instaló físicamente de manera adecuada.
La WIC se instaló en la ranura 1 en lugar de en la ranura 0.
El número y el tipo de interfaz no son válidos en un router 1841.
El registro de configuración tiene un valor incorrecto para agregar nuevos módulos.
31 Se instala una nueva WIC en una ranura del router disponible. ¿En qué momento de su proceso de inic
router prueba la tarjeta en busca de problemas de hardware?
una vez cargada la configuración de la NVRAM en la RAM
una vez cargada la configuración de la NVRAM en la ROM
cuando se carga el programa bootstrap en la RAM
durante la POST
32 Un cliente ha solicitado a un ingeniero de redes la creación del prototipo de la nueva estrategia de
sumarización y direccionamiento IP para la implementación de una gran red multisitio. ¿Qué herrami
adecuada para probar el esquema de direccionamiento completo?
SDM Cisco
herramienta de simulación de red
equipo de red real en un laboratorio
red actual del cliente
33
Consulte la ilustración. Un técnico del sitio ISP solicita al administrador de red del sitio cliente que cam
contraseña CHAP como parte del mantenimiento de seguridad del enrutamiento. Una vez que el admin
realiza el cambio y reinicia el router, el técnico emite un comando show interfaces serial 0/0/0. Según
resultado, ¿a qué conclusión se puede arribar sobre la conexión serial entre el sitio cliente y el sitio ISP
El router en el sitio cliente aún está en el proceso de reinicio.
El administrador probablemente usó una contraseña incorrecta en la configuración.
El administrador no ha emitido un comando no shut en la interfaz serial.
El administrador probablemente usó una dirección IP incorrecta en la configuración de la interfaz s
34
Consulte la ilustración. Un ingeniero en sistemas de preventa recibe un diagrama de la WAN actual de
cliente. EIGRP es el protocolo de enrutamiento que se usa en la WAN. Según el funcionamiento prede
de EIGRP, ¿qué enunciado sobre la tabla de enrutamiento en el router RE es verdadero?
Existe una sola ruta a la LAN 172.18.20.0/24 LAN a través de la conexión T1.
Existe una sola ruta a la LAN 172.18.20.0/24 a través de la conexión DSL.
EIGRP instala las tres rutas a la LAN 172.18.20.0/24 y realiza el balanceo de carga del tráfico.
Existe una sola ruta a la LAN 172.18.20.0/24 a través de la conexión Ethernet de 10 Mb.
35 ¿Cuáles de las siguientes son mejoras que ofrece IPv6 en comparación con IPv4? (Elija tres opciones).
implementación y configuración más sencillas
seguridad IP más efectiva
compatibilidad con movilidad de IP integrada
información del encabezado simplificada
menos direcciones IP reservadas
elimina la necesidad de implementar DHCP
36 Cuando se implementa una política de seguridad, ¿qué acciones deben incluirse como parte de la lista d
verificación de seguridad? (Elija dos opciones).
Deshabilitar todo registro
Habilitar Telnet en el puerto 23 de TCP.
Usar HTTP para administración web.
Configurar tiempos de espera y ACL en líneas VTY.
Cerrar todos los puertos e interfaces que no se usan.
37
Consulte la ilustración. ¿A qué conclusión puede arribar el ingeniero de campo sobre la autenticación
entre el RouterA y el RouterB?
Fallará la autenticación porque sólo una clave está configurada.
Fallará la autenticación porque no coinciden los nombres de la cadena de claves.
La autenticación se realizará satisfactoriamente y se podrán intercambiar las actualizaciones de E
Fallará la autenticación porque los nombres de la cadena de claves deben coincidir con los nomb
routers.
38
Consulte la ilustración. El diseñador de una compañía de networking revisa un diagrama de red de un
¿Cuáles son los problemas que deben resolverse en la topología que se muestra? (Elija dos opciones)
El router firewall y la conexión al ISP representan un punto de falla único.
Si falla uno de los switches de Capa 3, el administrador de llamadas de Cisco será inalcanzable.
Una falla en la fuente de energía de un switch de bloque de servidores causará una falla en todo e
de telefonía IP.
Si se usan switches de Capa 3 para interconectar los servidores del bloque a los teléfonos IP, se i
demasiado retardo.
Los teléfonos IP se deben conectar a los switches en forma redundante para evitar puntos de erro
en la capa de acceso.
39
Consulte la ilustración. Los routers están configurados con las opciones de configuración predetermin
RIPv2. Al intentar comunicarse con otras redes, los hosts de la red 10.0.11.0/24 revelan problemas de
conectividad. ¿Qué podría hacerse para resolver este problema?
Cambiar a un esquema de dirección IP pública.
Usar EIGRP con su configuración predeterminada como protocolo de enrutamiento.
Cambiar la máscara de subred en el enlace entre R2 y R3 a 255.255.255.0.
Deshabilitar la sumarización de ruta automática en todos los routers de la red.
40 Un técnico de red necesita instalar un módulo de switch de cuatro puertos en un router Cisco 1841 ope
que tiene una ranura HWIC disponible. ¿Qué debe hacer primero el técnico?
Desconectar la alimentación eléctrica del router antes de instalar el nuevo módulo.
Instalar el módulo de switch de cuatro puertos intercambiable en caliente directamente en la ranura
router 1841.
Mover el módulo WIC-2T actual a la ranura 1 e instalar el módulo de cuatro puertos en la ranura 0
Desconectar todos los puertos Fast Ethernet del router hasta que finalice la instalación del módulo
41 Si un router no puede encontrar un IOS adecuado para cargar en la RAM, ¿en qué modo termina el pro
inicio?
modo setup
modo usuario
modo rommon
modo privilegiado
42 ¿Qué datos se necesitan antes de que una imagen de IOS pueda cargarse en un router desde un servid
(Elija dos opciones).
la dirección IP del servidor TFTP
el nombre actual de la imagen de IOS en el router
el sistema operativo del servidor TFTP
el nombre del archivo de configuración en la NVRAM
el nombre de la imagen de IOS en el servidor TFTP
la encapsulación de la interfaz del router que está conectada al servidor TFTP
43 Un administrador de red integra IPv6 en una red IPv4 al encapsular el paquete de un protocolo dentro
protocolo. ¿Qué método de transición se está usando?
stack doble
tunneling
conexiones proxy y traducción
NAT con traductor de protocolo
44 ¿Cuál es una característica del tráfico de voz en una red convergente?
Se asigna prioridad secundaria al tráfico de datos.
Se procesa en tiempo real y no puede retransmitirse.
Consiste en grandes paquetes con flujos de datos irregulares y extensos.
Usa las funciones de verificación de errores de TCP para asegurar buena calidad de voz.
45 ¿Qué tipo de subinterfaz de Frame Relay debe usarse para conectar sitios remotos sin tener que deshab
horizonte dividido?
multipunto
multiacceso
punto a punto
multiacceso sin broadcast
46 El diseñador de red recomienda el uso de RSTP en el diseño de un nuevo centro de datos. El nuevo dis
contiene varios enlaces y switches de Capa 2 redundantes. ¿Qué beneficio tiene el uso de RSTP en lug
en esta situación?
No se bloquean los enlaces redundantes.
Las tablas de enrutamiento convergen más rápidamente.
Se reducen los tiempos de convergencia de árbol de expansión.
Se requieren menos enlaces redundantes para mantener la conectividad.
47 Durante el proceso de inicio y mediante el uso de la secuencia predeterminada, ¿cuál es la primera ub
donde el router buscará el IOS?
ROM
flash
NVRAM
servidor TFTP
48 Durante la prueba del prototipo, se produce un error en un switch de la LAN. Mientras el switch se re
usando parámetros predeterminados, un puerto conectado a una PC realiza transiciones al estado de r
un segundo. ¿Qué protocolo respaldaría esta función?
STP
RIP
BGP
VTP
RSTP
49 ¿Qué se puede emitir a través de la red inalámbrica para ayudar a un usuario a conectarse a la red y a
servicios inalámbricos?
SSID
claves de encriptación WPA
parámetros de VLAN de voz
dirección IP del punto de acceso
parámetros de VLAN de administración
50 En la capa de distribución de una red jerárquica, ¿qué ventajas tiene el uso de dispositivos de Capa 3 en
switches de Capa 2? (Elija dos opciones).
Proporciona conectividad confiable a los usuarios finales.
Crea menos subredes IP para configurar y administrar.
Reduce la cantidad de enlaces redundantes necesarios.
Proporciona conectividad entre distintas VLAN.
Habilita el filtrado de tráfico según las direcciones de subredes.

Exfinalccna4

  • 1.
    1 ¿Cuáles sonlos descriptores de un DLCI de Frame Relay? (Elija dos opciones). dirección de Capa 2 un solo DLCI permitido por bucle local extremo de circuito localmente importante estándar de señalización entre DTE y DCE proporciona estadísticas sobre las conexiones y el uso de PVC 2 Un ingeniero de NetworkingCompany responde una llamada donde se solicita asistencia para resolver problemas técnicos en la red de un cliente. Después de resolver el problema, el ingeniero proporciona una sesión de capacitación para el personal de soporte de red. ¿Qué rol cumple el ingeniero en el equip compañía de networking? ingeniero en el campo de posventas ingeniero de preventas diseñador de red administrador de cuentas 3 Para que el personal de TI de una compañía comprenda la operación básica de las VPN, ¿qué caracterí tecnologías debe identificar el diseñador de red como necesidades de capacitación? (Elija dos opcione tunneling IPv6 funcionamiento de QoS protocolos de tunneling configuración de la VLAN algoritmos de encriptación 4
  • 2.
    Consulte la ilustración.Un administrador de red configura un nuevo router para que proporcione enrut entre redes VLAN. El administrador extrae el router de la caja y conecta la interfaz Fa0/0 a un puerto d troncal en el switch. Una vez aplicada la configuración al router, tal como se muestra en la ilustración, produce un error en el tráfico entre las redes VLAN. ¿Cuál es la causa de este error? Debe configurarse un protocolo de enrutamiento en el router R1. Las subinterfaces del router R1 deben tener direcciones IP aplicadas. El router R1 debe tener tres interfaces Fast Ethernet adicionales instaladas. Las subinterfaces del router R1 deben configurarse en la misma VLAN. 5 Cuando se configura Frame Relay, ¿qué identifica a un circuito virtual para el switch de la WAN? LMI CPE PVC DLCI 6 Un técnico agrega el comando Router(config-router)# variance 5 a un router usando EIGRP como pro enrutamiento. ¿Cuál es el resultado de la introducción de este comando? Se habilita el balanceo de carga con distinto costo. Se ajusta la métrica de todas las rutas EIGRP a 5. Se restringe la cantidad de rutas de sucesor factible EIGRP a 5. Se activa el uso de todos los valores K en el cálculo de métrica compuesta. Se habilita el balanceo de carga de mismo costo EIGRP en 5 rutas como máximo. 7 Durante una revisión de la lista de materiales propuesta, un administrador de cuentas de la compañía d soluciones de red advierte que el ingeniero en sistemas incluyó un switch más económico y con menos capacidades para la capa de acceso que el originalmente especificado por el diseñador de red. Cuando preguntó por qué, el ingeniero en sistemas respondió que los switches especificados por el diseñador n pudieron adquirir debido a las limitaciones en el presupuesto del cliente. ¿Qué medida debe adoptar el administrador de cuentas? Informar al cliente que el presupuesto del proyecto debe aumentarse. Informar al cliente que el proyecto no se puede completar debido a las excesivas limitaciones del presupuesto. Comunicar los riesgos relacionados con la sustitución de los equipos y obtener la aprobación del c para proceder. Dado que probablemente el cliente es consciente de que las limitaciones en el presupuesto requeri equipos más económicos y con menos capacidad, el administrador de cuentas no debe adoptar nin medida. 8
  • 3.
    Consulte la ilustración.¿Cuál es el rol del árbol de expansión de todas las interfaces habilitadas de SW alternativo copia de seguridad designado raíz 9 Se solicita a un administrador de red de una compañía mediana que actualice el protocolo de enrutami red para respaldar VLSM y sumarización de ruta. La red actual de la compañía tiene routers Cisco y ro no son Cisco. ¿Qué protocolo de enrutamiento debe usarse para la actualización? BGP RIPv1 RIPv2 EIGRP 10 Se ha eliminado un router de la red para mantenimiento. Se ha descargado correctamente en un servido imagen del nuevo software IOS de Cisco y se la ha copiado en la flash del router. ¿Qué se debe hacer a volver a poner el router en funcionamiento? realizar una copia de seguridad de la imagen nueva. copiar la configuración en ejecución a la NVRAM. eliminar de la flash la versión anterior del software IOS de Cisco. reiniciar el router y verificar que la imagen nueva se inicie correctamente. 11
  • 4.
    Consulte la ilustración.Conforme a un plan de prueba, el ingeniero en sistemas de red termina la confi de un switch de capa de acceso y conecta tres PC. El ingeniero intenta hacer ping desde cada PC al rest PC conectadas para probar la configuración. ¿Qué enunciado describe el resultado del último paso? El Host 1 puede hacer ping con el Host 2. El Host 1 puede hacer ping con el Host 3. El Host 2 puede hacer ping con el Host 3. Ningún host puede hacer ping con otro host. 12 Consulte la ilustración. La ACL denominada "Managers" ya existe en el router. ¿Qué sucederá cuand administrador de red emita los comandos que se muestran en la ilustración? Los comandos sobrescriben la ACL Managers existente. Los comandos se agregan al final de la ACL Managers actual. Los comandos se agregan al comienzo de la ACL Managers actual. El administrador de red recibe un error que declara que la ACL ya existe. 13 La oficina principal de un cliente de NetworkingCompany se conecta actualmente a tres sucursales a tr tres circuitos T1 punto a punto independientes. La red del cliente usa RIPv2 como protocolo de enrutam tanto en la LAN como en la WAN. El administrador de cuentas propone cambiar a una red Frame Rela los costos son menores. Una única conexión en bucle local puede instalarse en la oficina principal con independientes para conectarse con las sucursales. ¿Cómo se puede configurar el router de extremo de
  • 5.
    principal para permitirque el usuario continúe usando RIP como protocolo de enrutamiento de la WAN Habilitar ARP inverso en la interfaz serial para conocer las rutas hacia las direcciones IP de los usu remotos. Impedir que la red Frame Relay genere un loop de enrutamiento al deshabilitar el horizonte dividid interfaz serial. Crear tres subinterfaces independientes punto a punto en la interfaz serial y asignar una dirección I subred distinta a cada una. Configurar la interfaz serial con un número de DLCI de interfaz única y crear sentencias de frame map para cada dirección de sitio remoto. 14 ¿Qué componente de IOS puede usarse para descubrir y clasificar los protocolos del tráfico de red y ap en uso? CDP NBAR registro de ACL Network Assistant 15 Un día lunes por la mañana, el soporte técnico de una gran compañía recibe una cantidad inusualmente llamadas informando la falta de conectividad a Internet y a otros recursos de red. A excepción de esto, funcionan normalmente. Los técnicos del soporte notan que todas las llamadas provienen de un solo departamento, y todos los usuarios afectados están en el mismo piso del mismo edificio. ¿Dónde deber sospechar los técnicos que radica el problema? switch de grupo de trabajo fuentes de energía de las PC cables de conexión desde las PC hasta los conectores de la red cableado desde los conectores de la red hasta el armario para el cableado 16 ¿Cuál es el propósito principal de la capa de acceso en una red diseñada jerárquicamente? llevar a cabo la manipulación de paquetes y enrutamiento suministrar redundancia y protección contra fallas proporcionar una red troncal de baja latencia y alta velocidad desempeñarse como punto de conexión de red para los dispositivos de usuarios finales 17 ¿Qué enunciado describe mejor la función de VPN denominada tunneling dividido? Crea rutas divididas para distintas VLAN. Crea dos túneles, uno para el tráfico del usuario y uno para el tráfico de administración, como CD SNMP. Permite que el tráfico del usuario destinado a la red corporativa viaje por el túnel VPN, mientras tráfico destinado a Internet viaja a través de la LAN local del cliente VPN. Permite túneles separados, de modo que el tráfico de alta prioridad, como el de voz y video, use e mayor ancho de banda, mientras que todo otro tráfico del usuario viaja por el túnel de menor anc banda.
  • 6.
    18 Consulte la ilustración.¿Qué hace el router JAX con el tráfico que se destina a un servidor Web con un dirección IP de 128.107.10.24? el tráfico se envía fuera de Serial 0/0/0. el router envía el tráfico a todas las interfaces, excepto a la interfaz desde la que proviene. se envía una solicitud a los routers vecinos para las rutas a la red 128.107.0.0. los paquetes se colocan en cola hasta que se detecte una ruta mejor a través de RIP. 19 Durante la prueba del prototipo, el diseñador de redes realiza una prueba a fin de determinar la capacid red para recuperarse de una falla del dispositivo o del enlace. ¿Qué objetivo de diseño se confirma si la un éxito? escalabilidad facilidad de administración disponibilidad seguridad 20 Cuando se implementa una solución de telefonía IP, ¿para qué deben usarse redes VLAN? Para permitir el uso de un solo gateway IP. Para separar el tráfico de voz del tráfico de datos a fin de facilitar la priorización. Para permitir que el PBX use los ID de las VLAN para filtrar tanto el tráfico de voz como el de da Para permitir la conectividad entre dispositivos de telefonía tradicional y dispositivos de telefonía IP. 21 ¿Qué enunciado describe el uso de una línea de base de red? Crea un diagrama de red lógica de alto nivel. Proporciona un punto de referencia para futuras evaluaciones. Permite identificar con precisión la ubicación original de los equipos de red. Debe establecerse apenas se detecta un problema en la red. 22 En una red convergente, ¿qué tipos de tráfico se categorizarían como tráfico en tiempo real? (Elija do opciones). correo electrónico
  • 7.
    transferencia de archivos exploraciónweb videoconferencia voz sobre IP video a pedido 23 Consulte la ilustración. Se ha creado una ACL extendida para denegar el tráfico proveniente de la red 192.168.30.0/24 hacia el servidor web cuya dirección IP es 209.165.201.30. Conforme a las mejores pr establecidas por Cisco, ¿dónde debe aplicarse la ACL? Fa0/0 de R3 entrante S0/0/1 de R3 saliente S0/0/1 de R2 entrante Fa0/0 del ISP saliente 24 La Compañía XYZ necesita una conexión de WAN entre la casa matriz y las sucursales que tenga un a de seguridad. La conexión debe proporcionar alto ancho de banda para respaldar VoIP y datos de trans con la menor sobrecarga posible. ¿Cuál es la mejor solución de conectividad WAN para la Compañía X DSL cable relay de celda PPP en una línea arrendada 25 Un administrador de red ha configurado Frame Relay en una interfaz serial y ha emitido el comando sh interfaces serial. El resultado muestra que la interfaz y el protocolo de línea están activados. Sin emba
  • 8.
    produce un erroral hacer ping con el router remoto a través del enlace. ¿Cuál debe ser el siguiente paso asegurar que la dirección IP del router remoto aparezca en la tabla de asignación de Frame Relay del ro local? Configurar el router mediante el uso del comando no inverse-arp. Asegurar que el tipo de LMI sea correcto para el circuito. Configurar el router mediante el uso del comando frame-relay map ip. Verificar que el router remoto tenga habilitada la encapsulación Frame Relay. 26 Una gran compañía planifica agregar varios servidores y desea que se pueda tener acceso a los servido directamente desde Internet. ¿Qué acción ayudará a la compañía a cumplir este objetivo? Asignar a cada servidor una dirección IP interna estática que se asigna estáticamente a una direcció pública. Colocar todos los servidores en su propia subred privada de clase C. Proporcionar una dirección privada a cada servidor mediante el uso de DHCP. Asignar direcciones desde un conjunto de direcciones públicas de clase B mediante el uso de DHC 27 ¿Qué valor es una representación alternativa de la dirección IPv6 2001:DB80:0000:0000:0C41:3EFF:FE00:0000? 2001:DB8::C41:3EFF:FE: 2001:DB80::C41:3EFF:FE00:: 2001:DB80::C41:3EFF:FE00:0 2001:DB80:0:0:0:C41:3EFF:FE:: 28 Consulte la ilustración. ¿Qué problema se asocia con el esquema de direccionamiento de la red? Los enlaces WAN necesitan direcciones IP de otra red principal. La LAN de R1 es incorrecta porque no se puede usar la subred cero con VLSM.
  • 9.
    La dirección IPdel enlace de WAN que conecta R1 a R3 tiene una máscara incorrecta. Los enlaces de WAN de R1 a R3 y de R1a R2 tienen direcciones IP que se superponen. La dirección IP de la WAN que conecta R1 a R2 se superpone con las direcciones IP de la LAN de 29 ¿Qué tipo de ACL permite el tráfico saliente, pero también permite el tráfico entrante únicamente si es respuesta al tráfico que se inició desde el interior de la red? dinámica reflexiva estándar extendida basada en el tiempo 30 Consulte la ilustración. Un administrador instala un módulo WIC-2T en un router Cisco 1841. Los inte configurar la interfaz S0/0/0 no son satisfactorios. Como primer paso en la resolución de este problema administrador emite el comando show version. ¿Cuál es una posible razón de esta falla? La WIC no se instaló físicamente de manera adecuada. La WIC se instaló en la ranura 1 en lugar de en la ranura 0. El número y el tipo de interfaz no son válidos en un router 1841. El registro de configuración tiene un valor incorrecto para agregar nuevos módulos. 31 Se instala una nueva WIC en una ranura del router disponible. ¿En qué momento de su proceso de inic router prueba la tarjeta en busca de problemas de hardware? una vez cargada la configuración de la NVRAM en la RAM una vez cargada la configuración de la NVRAM en la ROM cuando se carga el programa bootstrap en la RAM durante la POST
  • 10.
    32 Un clienteha solicitado a un ingeniero de redes la creación del prototipo de la nueva estrategia de sumarización y direccionamiento IP para la implementación de una gran red multisitio. ¿Qué herrami adecuada para probar el esquema de direccionamiento completo? SDM Cisco herramienta de simulación de red equipo de red real en un laboratorio red actual del cliente 33 Consulte la ilustración. Un técnico del sitio ISP solicita al administrador de red del sitio cliente que cam contraseña CHAP como parte del mantenimiento de seguridad del enrutamiento. Una vez que el admin realiza el cambio y reinicia el router, el técnico emite un comando show interfaces serial 0/0/0. Según resultado, ¿a qué conclusión se puede arribar sobre la conexión serial entre el sitio cliente y el sitio ISP El router en el sitio cliente aún está en el proceso de reinicio. El administrador probablemente usó una contraseña incorrecta en la configuración. El administrador no ha emitido un comando no shut en la interfaz serial. El administrador probablemente usó una dirección IP incorrecta en la configuración de la interfaz s 34
  • 11.
    Consulte la ilustración.Un ingeniero en sistemas de preventa recibe un diagrama de la WAN actual de cliente. EIGRP es el protocolo de enrutamiento que se usa en la WAN. Según el funcionamiento prede de EIGRP, ¿qué enunciado sobre la tabla de enrutamiento en el router RE es verdadero? Existe una sola ruta a la LAN 172.18.20.0/24 LAN a través de la conexión T1. Existe una sola ruta a la LAN 172.18.20.0/24 a través de la conexión DSL. EIGRP instala las tres rutas a la LAN 172.18.20.0/24 y realiza el balanceo de carga del tráfico. Existe una sola ruta a la LAN 172.18.20.0/24 a través de la conexión Ethernet de 10 Mb. 35 ¿Cuáles de las siguientes son mejoras que ofrece IPv6 en comparación con IPv4? (Elija tres opciones). implementación y configuración más sencillas seguridad IP más efectiva compatibilidad con movilidad de IP integrada información del encabezado simplificada menos direcciones IP reservadas elimina la necesidad de implementar DHCP 36 Cuando se implementa una política de seguridad, ¿qué acciones deben incluirse como parte de la lista d verificación de seguridad? (Elija dos opciones). Deshabilitar todo registro Habilitar Telnet en el puerto 23 de TCP. Usar HTTP para administración web. Configurar tiempos de espera y ACL en líneas VTY. Cerrar todos los puertos e interfaces que no se usan. 37
  • 12.
    Consulte la ilustración.¿A qué conclusión puede arribar el ingeniero de campo sobre la autenticación entre el RouterA y el RouterB? Fallará la autenticación porque sólo una clave está configurada. Fallará la autenticación porque no coinciden los nombres de la cadena de claves. La autenticación se realizará satisfactoriamente y se podrán intercambiar las actualizaciones de E Fallará la autenticación porque los nombres de la cadena de claves deben coincidir con los nomb routers. 38
  • 13.
    Consulte la ilustración.El diseñador de una compañía de networking revisa un diagrama de red de un ¿Cuáles son los problemas que deben resolverse en la topología que se muestra? (Elija dos opciones) El router firewall y la conexión al ISP representan un punto de falla único. Si falla uno de los switches de Capa 3, el administrador de llamadas de Cisco será inalcanzable. Una falla en la fuente de energía de un switch de bloque de servidores causará una falla en todo e de telefonía IP. Si se usan switches de Capa 3 para interconectar los servidores del bloque a los teléfonos IP, se i demasiado retardo. Los teléfonos IP se deben conectar a los switches en forma redundante para evitar puntos de erro en la capa de acceso. 39 Consulte la ilustración. Los routers están configurados con las opciones de configuración predetermin RIPv2. Al intentar comunicarse con otras redes, los hosts de la red 10.0.11.0/24 revelan problemas de conectividad. ¿Qué podría hacerse para resolver este problema? Cambiar a un esquema de dirección IP pública. Usar EIGRP con su configuración predeterminada como protocolo de enrutamiento. Cambiar la máscara de subred en el enlace entre R2 y R3 a 255.255.255.0. Deshabilitar la sumarización de ruta automática en todos los routers de la red. 40 Un técnico de red necesita instalar un módulo de switch de cuatro puertos en un router Cisco 1841 ope que tiene una ranura HWIC disponible. ¿Qué debe hacer primero el técnico? Desconectar la alimentación eléctrica del router antes de instalar el nuevo módulo. Instalar el módulo de switch de cuatro puertos intercambiable en caliente directamente en la ranura router 1841. Mover el módulo WIC-2T actual a la ranura 1 e instalar el módulo de cuatro puertos en la ranura 0 Desconectar todos los puertos Fast Ethernet del router hasta que finalice la instalación del módulo 41 Si un router no puede encontrar un IOS adecuado para cargar en la RAM, ¿en qué modo termina el pro inicio? modo setup
  • 14.
    modo usuario modo rommon modoprivilegiado 42 ¿Qué datos se necesitan antes de que una imagen de IOS pueda cargarse en un router desde un servid (Elija dos opciones). la dirección IP del servidor TFTP el nombre actual de la imagen de IOS en el router el sistema operativo del servidor TFTP el nombre del archivo de configuración en la NVRAM el nombre de la imagen de IOS en el servidor TFTP la encapsulación de la interfaz del router que está conectada al servidor TFTP 43 Un administrador de red integra IPv6 en una red IPv4 al encapsular el paquete de un protocolo dentro protocolo. ¿Qué método de transición se está usando? stack doble tunneling conexiones proxy y traducción NAT con traductor de protocolo 44 ¿Cuál es una característica del tráfico de voz en una red convergente? Se asigna prioridad secundaria al tráfico de datos. Se procesa en tiempo real y no puede retransmitirse. Consiste en grandes paquetes con flujos de datos irregulares y extensos. Usa las funciones de verificación de errores de TCP para asegurar buena calidad de voz. 45 ¿Qué tipo de subinterfaz de Frame Relay debe usarse para conectar sitios remotos sin tener que deshab horizonte dividido? multipunto multiacceso punto a punto multiacceso sin broadcast 46 El diseñador de red recomienda el uso de RSTP en el diseño de un nuevo centro de datos. El nuevo dis contiene varios enlaces y switches de Capa 2 redundantes. ¿Qué beneficio tiene el uso de RSTP en lug en esta situación? No se bloquean los enlaces redundantes. Las tablas de enrutamiento convergen más rápidamente. Se reducen los tiempos de convergencia de árbol de expansión. Se requieren menos enlaces redundantes para mantener la conectividad.
  • 15.
    47 Durante elproceso de inicio y mediante el uso de la secuencia predeterminada, ¿cuál es la primera ub donde el router buscará el IOS? ROM flash NVRAM servidor TFTP 48 Durante la prueba del prototipo, se produce un error en un switch de la LAN. Mientras el switch se re usando parámetros predeterminados, un puerto conectado a una PC realiza transiciones al estado de r un segundo. ¿Qué protocolo respaldaría esta función? STP RIP BGP VTP RSTP 49 ¿Qué se puede emitir a través de la red inalámbrica para ayudar a un usuario a conectarse a la red y a servicios inalámbricos? SSID claves de encriptación WPA parámetros de VLAN de voz dirección IP del punto de acceso parámetros de VLAN de administración 50 En la capa de distribución de una red jerárquica, ¿qué ventajas tiene el uso de dispositivos de Capa 3 en switches de Capa 2? (Elija dos opciones). Proporciona conectividad confiable a los usuarios finales. Crea menos subredes IP para configurar y administrar. Reduce la cantidad de enlaces redundantes necesarios. Proporciona conectividad entre distintas VLAN. Habilita el filtrado de tráfico según las direcciones de subredes.