Descarga gratis durante 30 días
Iniciar sesión
Cargar
Idioma (ES)
Atención al cliente
Empresariales
Móvil
Redes sociales
Marketing
Tecnología
Arte y fotografía
Empleo
Diseño
Educación
Presentaciones y charlas públicas
Gobierno y org. sin ánimo de lucro
Atención sanitaria
Internet
Derecho
Liderazgo y gestión
Motor
Ingeniería
Software
Reclutamiento y RR. HH.
Venta al por menor
Ventas
Servicios
Ciencias
PYMES y liderazgo
Alimentación
Medio ambiente
Economía y finanzas
Datos y análisis
Relaciones con inversores
Deportes
Meditación
Noticias y política
Viajes
Desarrollo personal
Sector inmobiliario
Entretenimiento y humor
Salud y medicina
Dispositivos y hardware
Estilo de vida
Cambiar idioma
Idioma
English
Español
Português
Français
Deutsche
Cancelar
Guardar
Enviar búsqueda
ES
Subido por
Inma Jiménez
312 vistas
Exponencial y logarítmica
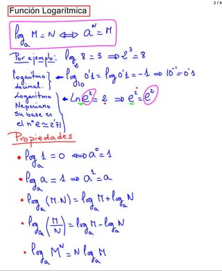
esquema de las funciones exponenciales y logarítmicas
Educación
◦
Leer más
1
Guardar
Compartir
Insertar
Incrustar presentación
Descargar
Descargar para leer sin conexión
1
/ 6
2
/ 6
3
/ 6
4
/ 6
5
/ 6
6
/ 6
Más contenido relacionado
PPT
test
por
sghogg
PDF
MEMOIRE
por
Alexandra Mourgou
PPTX
Farmacologia perinatal
por
Rosa Ma Barrón
PPTX
Tipos calendario pocoyo
por
aferes65
PPS
11 Septembre 2001
por
Beatris Lopes
PDF
Médias Sociaux - Blogs et Résaux Sociaux
por
Odomia
PPTX
2 laescueladeldiablo1-110910000656-phpapp01
por
Alberto Juan Fernández
PDF
Revue de Presse ODIMAT Referencement
por
ODIMAT Referencement
test
por
sghogg
MEMOIRE
por
Alexandra Mourgou
Farmacologia perinatal
por
Rosa Ma Barrón
Tipos calendario pocoyo
por
aferes65
11 Septembre 2001
por
Beatris Lopes
Médias Sociaux - Blogs et Résaux Sociaux
por
Odomia
2 laescueladeldiablo1-110910000656-phpapp01
por
Alberto Juan Fernández
Revue de Presse ODIMAT Referencement
por
ODIMAT Referencement
Destacado
PPT
Présentation ODIMAT et référencement
por
ODIMAT Referencement
PPTX
Trabajo de anatomía
por
janieliza93
PPT
Tema 1
por
Rosa Ma Barrón
PPTX
REUNION ENLACE
por
Alberto Juan Fernández
PDF
Re-Faire Ecole
por
Hubert Guillaud
PDF
box-preso
por
Alexandre Laporte CPA, CMA
PPS
Lafatigue
por
bigboss59
PPS
Automne Vivaldi
por
Beatris Lopes
PPS
Abrazotote
por
Ana Rosa Valdés Aguilar
PPT
Antidiarreicos
por
Rosa Ma Barrón
PDF
Proyecto Correlimos
por
Valores Santos
PPTX
Trivial verbal 6º
por
Daniel Díaz
DOCX
Proyecto de vida
por
Juan Jose Serna Montoya
PDF
Speed-atelier "Geek" aux JLPH 2014
por
Simon Letellier
PPT
Mondesvirtuels - vulgarisation
por
Hugues Aubin
PPT
Fisiologia srf
por
Rosa Ma Barrón
PPT
Farmacos de la motilidad g.i
por
Rosa Ma Barrón
PPTX
Pp joelle habchy
por
joellehabchy123
Présentation ODIMAT et référencement
por
ODIMAT Referencement
Trabajo de anatomía
por
janieliza93
Tema 1
por
Rosa Ma Barrón
REUNION ENLACE
por
Alberto Juan Fernández
Re-Faire Ecole
por
Hubert Guillaud
box-preso
por
Alexandre Laporte CPA, CMA
Lafatigue
por
bigboss59
Automne Vivaldi
por
Beatris Lopes
Abrazotote
por
Ana Rosa Valdés Aguilar
Antidiarreicos
por
Rosa Ma Barrón
Proyecto Correlimos
por
Valores Santos
Trivial verbal 6º
por
Daniel Díaz
Proyecto de vida
por
Juan Jose Serna Montoya
Speed-atelier "Geek" aux JLPH 2014
por
Simon Letellier
Mondesvirtuels - vulgarisation
por
Hugues Aubin
Fisiologia srf
por
Rosa Ma Barrón
Farmacos de la motilidad g.i
por
Rosa Ma Barrón
Pp joelle habchy
por
joellehabchy123
Último
PDF
El Conflicto en el Aula de Educación Básica Ccesa007.pdf
por
Demetrio Ccesa Rayme
PDF
Las fuerzas extrañas de Leopoldo Lugones
por
Yanina Gallardo
PDF
Estrategias de vinculacion Familia-Escuela Ccesa007.pdf
por
Demetrio Ccesa Rayme
PDF
Leyes de la Logica Proposicional LP2 Ccesa007.pdf
por
Demetrio Ccesa Rayme
PDF
Enseñar a Investigar - Ricardo Sanchez Ccesa007.pdf
por
Demetrio Ccesa Rayme
PDF
Como ganar Amigos e influir sobre las Personas - Dale Carnegie V2 Ccesa007.pdf
por
Demetrio Ccesa Rayme
PDF
La-normalizacion-del-endeudamiento-juvenil-en-la-publicidad-de-servicios-fina...
por
Alberto Soto
PPT
MODULO - 3 - CLASE - 3 - TAC EN LA EDUCACION - I PARTE.ppt
por
OscarRodrguez943873
PDF
Libro de Actas de la Alianza de Paisajes Culturales 2022
por
Alianza de Paisajes Culturales Patrimonio Mundial
PDF
Los Problemas de Matemática en la Práctica Ccesa007.pdf
por
Demetrio Ccesa Rayme
PDF
Como Lideran los Mejores Lideres - Brian Tracy Ccesa007.pdf
por
Demetrio Ccesa Rayme
PPTX
PRESENTACIÓN SOBRE LA SOCIEDAD EN LA HÉLADE Y LA EDUCACIÓN
por
profeRafa7
PDF
Tarea N°1: vocabulario ilustrativo de los conceptos básicos de las computadoras
por
nathalymartinez1892
PDF
Problemas de la Teoria de Probabilidades y la Estadistica Matematica Ccesa007...
por
Demetrio Ccesa Rayme
PDF
Escoger adecuada asesoría en tesis y proyectos (Hace Tesis)
por
Hacetesis
PDF
Conflicto en las Aulas - Propuestas Educativas Ccesa007.pdf
por
Demetrio Ccesa Rayme
PDF
Inteligencia Artificial El Nuevo Cerebro Electronico Ccesa007.pdf
por
Demetrio Ccesa Rayme
PDF
4°🦋♾️S17 Cuadernillo trabajo Juan Pablo.pdf
por
MonserratMora11
PDF
Serie Inteligencia Emocional - Proposito , Sentido y Pasion HBR Ccesa007.pdf
por
Demetrio Ccesa Rayme
PDF
La insoportable levedad del ser y los opuestos en la novela de Milan Kundera
por
Yanina Gallardo
El Conflicto en el Aula de Educación Básica Ccesa007.pdf
por
Demetrio Ccesa Rayme
Las fuerzas extrañas de Leopoldo Lugones
por
Yanina Gallardo
Estrategias de vinculacion Familia-Escuela Ccesa007.pdf
por
Demetrio Ccesa Rayme
Leyes de la Logica Proposicional LP2 Ccesa007.pdf
por
Demetrio Ccesa Rayme
Enseñar a Investigar - Ricardo Sanchez Ccesa007.pdf
por
Demetrio Ccesa Rayme
Como ganar Amigos e influir sobre las Personas - Dale Carnegie V2 Ccesa007.pdf
por
Demetrio Ccesa Rayme
La-normalizacion-del-endeudamiento-juvenil-en-la-publicidad-de-servicios-fina...
por
Alberto Soto
MODULO - 3 - CLASE - 3 - TAC EN LA EDUCACION - I PARTE.ppt
por
OscarRodrguez943873
Libro de Actas de la Alianza de Paisajes Culturales 2022
por
Alianza de Paisajes Culturales Patrimonio Mundial
Los Problemas de Matemática en la Práctica Ccesa007.pdf
por
Demetrio Ccesa Rayme
Como Lideran los Mejores Lideres - Brian Tracy Ccesa007.pdf
por
Demetrio Ccesa Rayme
PRESENTACIÓN SOBRE LA SOCIEDAD EN LA HÉLADE Y LA EDUCACIÓN
por
profeRafa7
Tarea N°1: vocabulario ilustrativo de los conceptos básicos de las computadoras
por
nathalymartinez1892
Problemas de la Teoria de Probabilidades y la Estadistica Matematica Ccesa007...
por
Demetrio Ccesa Rayme
Escoger adecuada asesoría en tesis y proyectos (Hace Tesis)
por
Hacetesis
Conflicto en las Aulas - Propuestas Educativas Ccesa007.pdf
por
Demetrio Ccesa Rayme
Inteligencia Artificial El Nuevo Cerebro Electronico Ccesa007.pdf
por
Demetrio Ccesa Rayme
4°🦋♾️S17 Cuadernillo trabajo Juan Pablo.pdf
por
MonserratMora11
Serie Inteligencia Emocional - Proposito , Sentido y Pasion HBR Ccesa007.pdf
por
Demetrio Ccesa Rayme
La insoportable levedad del ser y los opuestos en la novela de Milan Kundera
por
Yanina Gallardo
Descargar