LIBRO DE
WORD
[Subtítulo del documento]
Indice
Ejercicio1
Ejercicio 2
Ejercicio 3
Ejercicio 4
Ejercicio 5
Ejercicio 6
Ejercicio 7
Ejercicio 8
Ejercicio 9
Ejercicio 10
Ejercicio 11
Ejercicio 12
Ejercicio 13
Ejercicio 14
Ejercicio 15
Ejercicio 16
Ejercicio 17
Ejercicio 18
Ejercicio 19
Indice
AMLANG, S.L.
Cursos de aprendizaje y perfeccionamiento de idiomas para empresas
Estimado cliente:
Nos dirigimos a usted para presentarle el “PROGRAMA DE IDIOMAS
MULTINIVEL PARA LA EMPRESA” ofrecido.
El éxito de nuestra labor se basa en la preparación en nuestras clases
dirigiendo el aprendizaje de los alumnos.
El programa multinivel que les presentamos en esta carta está basada en
12 niveles de competencia de 20 h.
AmLang, S.L.
Departamento comercial
Avda. San Juan, 42
Madrid 28003
Teléfono 915578923/24/25
Indice
Destino Tiempo ...........Transporte Precio
París 7 días ......................Avión 900.00 €
Roma 10 días .....................Avión 1.200.00 €
Barcelona 7 días .................. Autobús 550.00 €
Lisboa 10 días ................. Autobús 750.00 €
Los resultados de las ventas efectuadas en el último período son los siguientes:
Empresa Provincia...........Nº. Ventas Importe
MacroCar, S. L. Toledo ...........................21 324.540.60 €
Coches Juanmi, S. L. Madrid ...........................36 462.325.30 €
Guadalcar, S. L. Guadalajara .......................25 382.842.80 €
El resultado ha sido más positivo que el del mes anterior, sin embargo, aún no se han
conseguido las previsiones planteadas a comienzo de año.
Indice
Filetes de Ternera
Precio / Ración
Filetes de Ternera ...................................................... 6’75 €
Macarrones ................................................................ 7’00 €
Pulpo .......................................................................... 7’00 €
Croquetas................................................................... 7’00 €
Costillas con patatas .................................................. 7’00 €
Albondigas.................................................................. 7’00 €
Arroz negro................................................................. 6’00 €
Hamburguesas........................................................... 7’00 €
Arroz al horno............................................................. 5’00 €
Paella de Carne: ( precio único)
Pollo, conejo, costilla, pato, o caracoles .................... 6’75
Indice
Hora Lunes Martes Miércoles Jueves Viernes
9:30 -
10:20
Tutoría Gallego Informática Historia Música/
Biología
10:20
-11:10
Historia Matemáticas Ed. Física Informática Castellano
11:10
-12:00
Plástica/
Física
Plástica/
Física
Religión/
Alternativa
Música/
Biología
Informática
12:00
-12:30
Recreo Recreo Recreo Recreo Recreo
12:30-
13:20
Gallego Tecnología Inglés Gallego Ed. Física
13:20
-14:10
Música/
Biología
Historia Ética Matemáticas Tecnología
14:10
-15:00
Inglés Inglés Tecnología Castellano Plástica/
Física
17:00
-17:50
Matemáticas
17:50
-18:40
Castellano
Indice
El Sistema Operativo Windows
1. El Sistema Operativo Windows..................................................... 26
2. El ratón.......................................................................................... 26
2.1.Operaciones básicas con el ratón .......................................... 27
3. La pantalla..................................................................................... 27
3.1.Iconos ..................................................................................... 28
3.2.Ventanas................................................................................. 29
3.3.Cuadros de diálogo................................................................. 32
4. El menú Inicio................................................................................ 34
4.1.Opciones del menú Inicio....................................................... 35
4.2.Apagar sistema....................................................................... 36
5. El escritorio ................................................................................... 37
5.1.Los documentos ..................................................................... 38
5.2.Las carpetas............................................................................ 39
6. La barra de tareas ......................................................................... 50
7. El panel de control ........................................................................ 55
Indice
Código cliente:
Fecha
Factura nº:
Concepto Cantidad Precio Importe
Base Imponible
IVA 16%
Total a pagar
Indice
Para la preparacion de los equipos participarán en la vuelta ciclista de Castilla-La Mancha, se
ha celebrado una carrera con tres etapas diferentes. Las etapas disputadas han sido:
Etapa.................................... Tiempo.......................................Km
Toledo.................................. 4:50h..........................................152,400
Albacete............................... 3:56h..........................................135,100
Cuenca................................. 5:18h..........................................168,752
Los ganadores de cada una de las etapas fueron.
Etapa Ganador Equipo
Toledo Alberto Ramírez Sanz Caja Sur Andalucía
Albacete Juan María Sánchez Pol Real Club Ciclista del Tajo
Cuenca Manuel Aranda Castro Club Cerámica Talavera
Indice
Ejemplos de autoformas:
Con texto agregado y cuadros de texto:
Líneas Formas básicas Flechas de bloque
Cintas y estrellas
LLAMADA LLAMADA
LLAMADA
LLAMADA
Llamadas
Círculo
con
sombra
Círculos 3D Cuadro
volcado, con
línea gruesa y
relleno
Sigue la flecha
Dibujo con éxito
CUADRO DE
TEXTO
CUADRO DE
TEXTO
CUADRODE
TEXTO
CUADRODE
TEXTO
Normas Básicas para
comportarme en clase
Escuchas en
silencio
Compañeros
Profesores
No hablar
todos a la vez
Esperar mi
turno
Preguntar
cuando no
entiendo
Levantar la
mano
Esperar que el
profesor termine
la expliciacion
No interrumpir
Si presto
atención
en clase
Voy a entender mejor los temas que se ven
Va a ser mas fácil estudiar después en casa
Indice
Un animal de compañía o mascota es un animal doméstico
conservado con el propósito de brindar compañía o para el
disfrute del poseedor. A diferencia de los animales de
laboratorio, animales para la crianza o ganado, animales de
tiro, animales para el transporte o animales para el deporte;
los animales de compañía no son conservados para traer
beneficios económicos o alimenticios.
Los animales de compañía son
seleccionados por su comportamiento y
adaptabilidad, y por su interacción con los
humanos, en la que posiblemente se utilicen como herramientas de
caza o seguridad. Se cree que el poseer una mascota puede traer a la
salud consecuencias tanto positivas como negativas. Las mascotas más
populares son el perro y el gato.
Las especies salvajes o exóticas son un conjunto de especies
animales que requieren de una rigurosa imitación de las
condiciones normales de su hábitat natural para su conservación en
un ambiente hogareño. Entre las especies animales salvajes existen
gran cantidad de animales que son conservados por afición o por
fines decorativos, únicamente para el disfrute del poseedor y no
como compañía.
Las especies domésticas son aquellas
especies de animales que se han adaptado a los factores
ambientales en los que habitan (caseros), siendo innecesaria
la reproducción exacta de las condiciones de su ambiente
silvestre para su supervivencia en un ambiente hogareño.
Los mamíferos y las aves son animales más domesticables
por su gran adaptabilidad, a diferencia de algunos reptiles,
que requieren un entorno en el que se imiten las
condiciones de un desierto o una selva, o los peces de agua
salada, que requieren que se imite un ecosistema marino.
Las Mascotas
Indice
Madrid a 1 de Noviembre de 2012
Estimados Padres:
La asociación de padres junto al instituto de nustros hijos ha considerado conveniente poner a
vuestra disposición un curso gratiuti de informática sobre la evolución de las nuevas tecnología
, cuyo aspecto central será Internet.
Con este cuirso pretendemos que los padres que no tienen experiencia en el uso de Internet la
s adquieran y puedan ayudar y controlar a sus hijos en la utilización de estas herramientas que
cada vez son más comunes en los centros educativos y en nuestros hogares.
El curso comenzará el día 15 de Noviembre y terminara el dia 25 dels mismo mes. El curso
consta de 20 horas, las cuales se impartirán de lunes a jueves de 19:30 a 22:00 horas. Todos
aquellos que estén interesados en realizar el curso deben devolver al centro la parte inferior
rellenada antes del dia 12 de noviembre.
El contenido principal del curso será:
¿Qué es internet?
¿Qué hay en Internet?
¿Qué es Internet Explorer?
¿Cómo localizar información en Internet?
¿Cómo controlar los contenidos que se visualizan en el ordenador?
Este apartado debe ser rellenado y
devuelto al centro antes del dia 12 de
noviembre.
Nombre de la persona que
realizará el curso:
Padre
Madre
Otros
Dirección:
Teléfono: Móvil:+
Nombre del alumno/a Grupo:
Asociacion de Padres y alumnos
Curso de Nuevas Tecnologias
Importante. Es necesarion tener nos conocimientos básicos de manejo del sistema operativo Windows para
realizar este curso.
Torneo De Ajedrez
Primera Partida Segunda Partida Tercera Partida Cuarta Partida Ganador
Pocoyo
Barney Stinson
Barney Stinson
Barney Stinson
Sheldon Cooper
Barney Stinson
Chuck Norris
Chuck Norris
RajKuthrappaly
Amador Rivas
Antonio Recio
Antonio Recio
Antonio Recio
Howard Wolowitz
Howard Wolowitz
Ted Mosby
Narutouzumaki
Narutouzumaki
Sheldon Cooper
Sheldon Cooper
Pikachu
Charlie Sheen
Sheldon Cooper
Sheldon Cooper
Oliver Atom
Oliver Atom
Son Goku
Benji Quark
Son Goku
Son Goku
Celula
Indice
Informe elaborado a petición del excelentísimo ayuntamiento e nuestra ciudad sobre el
conocimiento de los ciudadanos sorbe el reciclaje de productos en el hogar y los distintos
sistemas, procedimientos y métodos para llevarlo a cabo.
Objetivos:
El objetivo principal de este informe es evaluar los sistemas y servicios que ofrece el
ayuntamiento de nuestra ciudad, el conocimiento que los ciudadanos tienen de ellos y el grado
de utilización de los mismos para conseguir de nuestra ciudad sostenible y respetuosa con el
medio ambiente en el apartado del reciclaje.
Metodos y procedimientos.
 Reciclaje de basura del hogar:
Separar basura: organica, papel, plástico, latas,pilas y vidrio.
Localizar puntos limpios cercanos al domicilio.
Informarse sobre horarios de recogida.
 Reciclaje de otras basuras:
Existen empresas publicas y privadas dedicadas exclusivamente al reciclaje de
muebles, materiales de obra, neumáticos, metales, etc. El Ayuntamiento dispone de
teléfonos de contacto para la recogida de estos materiales.
Medicamentos. En todas las farmacias existen puntos de reciclaje de mediamentos.
Aceites: Algunas gasolineras disponen de depósitos de recogida para su filtración ,
depuración y neutralización.
MedAmbi, S.L
Consultores medio ambientales.
Informe sobre Reciclaje en el Hogar
Indice
Problemas destacados.
Se ha realizado una encuesta a la población obteniendo los siguientes resultados:
1. ¿Dispone usted de suficiente información sobre los métodos y sistemas de
reciclaje disponibles en su ciudad?
Sí........................................................34,5%
No......................................................65,5%
2. ¿Conoce usted cuál es el punto limpio mas cercano a su domicilio?
Sí........................................................13,0%
No......................................................87,0%
3. ¿Separa o clasifica su basura?
Sí..........................................................5,0%
No......................................................95,0%
4. ¿Conoce y utiliza los servicios de empresas privadas o públicas de reciclaje?
Sí..........................................................3,0%
No......................................................97,0%
Conclusiones y puntos de actuación.
Creemos que los resultados del informe son aceptables sobre la existencia de puntos
limpios y sistemas de reciclaje. Sin embargo, nuestra valoración es negativa ante la
falta de utilización de los mismos por los ciudadanos, debido, generalmente, a una
gran falta de información e incentivos sobre las posibilidades existentes.
Aconsejamos llevar a cabo las siguientes acciones para mejorar la situación actual:
Campañas semestrales de información sobre la conveniencia del reciclaje.
Carteles, paneles, señalización, etc. Indicando puntos limpios cercanos.
Publicitar listados telefónicos de empresas publicas y privadas de reciclaje.
Campañas de sensibilización en colegios, institutos, colectivos, etc.
Plan de seguimiento de dichos puntos de actuación.
Indice
Estudio sobre el consumo de drogas en jóvenes
Importante: esta es una encuesta anónima. Nadie puede conocer que es lo que has escrito en
ella. Por ello te pedimos que rellenes todas las cuestiones de forma sincera y con total libertad.
Centro de estudios: Curso: Edad:
Cuestión Respuesta
¿Sabes lo que son las drogas? Si No
¿Crees que tienes suficiente información sobre las drogas y consumo? Si No
¿Piensas que las drogas son malas? Si No
¿Te han hablado en tu centro educativo sobre las drogas? Si No
¿Has hablado con tus padres sobre las drogas? Si No
¿Hablas con tus amigos sobre las drogas? Si No
¿Te parece que las drogas son un tema preocupante para los jóvenes? Si No
¿Conoces a alguien que consuma drogas? Si No
¿Crees que en tu entorno de amistades hay jóvenes que consumen drogas? Si No
¿Has consumido drogas alguna vez? Si No
¿Consumes drogas los fines de semana? Si No
¿Consumes drogas todos los días? Si No
¿Cees que se pueden consumir drogas y tener el control sobre lo que consumes? Si No
¿Crees que las drogas pueden ser una solución a los problemas que tengas? Si No
¿Crees que eres adicto a las drogas? Si No
¿Suministras drogas a tus amigos o compañeros? Si No
¿Consideras que el tabaco es una droga? Si No
¿Consideras que el alcohol es una droga? Si No
¿Crees que en tu clase hay compañeros que consumen drogas? Si No
Indice
Cliente: Nombre fiscal 2
Avda hispanidad 456
28555 Alcala de Henares
Madrid
CIF-NIF 125456678-V
Numero de Factura:
A-4567890
Fecha factura:
23/05/2010
Observaciones
Estas son las observaciones que pueden ir en cada factura
Articulo Precio Cantidad Descuento % Total
Televisión HD Sony 1599,99 1 0,1 1439,99€
Ordenador sobremesa Mac 1999,99 1 0,2 1599,99€
Iphone 5 799,99 1 0,3 559,99€
Marisco Recio 999 10 0,2 7992€
Ferrari 100000 1 0,2 80000€
Bugatti Veyron 2000000 1 0,2 1600000€
Importe Neto
1691591,97€
%IVA
16
IVA
270654,72 €
Total Factura
1962246,69 €
Forma de pago
A 30 días
En caso de cualquier duda llame al teléfono y de elnumero de factura.
Registro Mercantil XXXXX Tomo 9999- Libro 9999- Hoja bbbbbbb- hhhhhhhhhhh
Forma Elementos Formula Perímetro Fórmula Área
Triángulo B: Base
H: Altura
P = l +m + n
Nombre de su empresa
Dirección de su empresa
28222 Alcala de Henares
Madrid
34567890-444456789
Indice
l: Lado1
m: Lado2
n: Lado3
Cuadrado
A: Lado P = 4a
Rectángulo
b: Base
h: Altura
P = 2b+2h
Rombo
A : Lado
d: Diagonal menor
D: Diagonal mayor
P = 4a
Romboide
b: Base
h: Altura
P = 2b+2h
Trapecio
l: Lado1
m: Lado2
n: Lado3
o: Lado4
b: Base menor
B: Base mayor
H: Altura
P = l + m + n + o
Indice
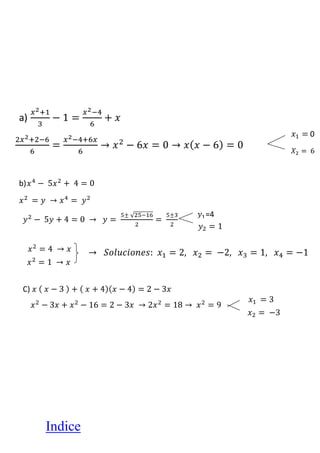
a)
b)
C)
0
=4
Indice
Libro de word

Libro de word

  • 1.
  • 2.
    Indice Ejercicio1 Ejercicio 2 Ejercicio 3 Ejercicio4 Ejercicio 5 Ejercicio 6 Ejercicio 7 Ejercicio 8 Ejercicio 9 Ejercicio 10 Ejercicio 11 Ejercicio 12 Ejercicio 13 Ejercicio 14 Ejercicio 15 Ejercicio 16 Ejercicio 17 Ejercicio 18 Ejercicio 19
  • 3.
    Indice AMLANG, S.L. Cursos deaprendizaje y perfeccionamiento de idiomas para empresas Estimado cliente: Nos dirigimos a usted para presentarle el “PROGRAMA DE IDIOMAS MULTINIVEL PARA LA EMPRESA” ofrecido. El éxito de nuestra labor se basa en la preparación en nuestras clases dirigiendo el aprendizaje de los alumnos. El programa multinivel que les presentamos en esta carta está basada en 12 niveles de competencia de 20 h. AmLang, S.L. Departamento comercial Avda. San Juan, 42 Madrid 28003 Teléfono 915578923/24/25
  • 4.
    Indice Destino Tiempo ...........TransportePrecio París 7 días ......................Avión 900.00 € Roma 10 días .....................Avión 1.200.00 € Barcelona 7 días .................. Autobús 550.00 € Lisboa 10 días ................. Autobús 750.00 € Los resultados de las ventas efectuadas en el último período son los siguientes: Empresa Provincia...........Nº. Ventas Importe MacroCar, S. L. Toledo ...........................21 324.540.60 € Coches Juanmi, S. L. Madrid ...........................36 462.325.30 € Guadalcar, S. L. Guadalajara .......................25 382.842.80 € El resultado ha sido más positivo que el del mes anterior, sin embargo, aún no se han conseguido las previsiones planteadas a comienzo de año.
  • 5.
    Indice Filetes de Ternera Precio/ Ración Filetes de Ternera ...................................................... 6’75 € Macarrones ................................................................ 7’00 € Pulpo .......................................................................... 7’00 € Croquetas................................................................... 7’00 € Costillas con patatas .................................................. 7’00 € Albondigas.................................................................. 7’00 € Arroz negro................................................................. 6’00 € Hamburguesas........................................................... 7’00 € Arroz al horno............................................................. 5’00 € Paella de Carne: ( precio único) Pollo, conejo, costilla, pato, o caracoles .................... 6’75
  • 6.
    Indice Hora Lunes MartesMiércoles Jueves Viernes 9:30 - 10:20 Tutoría Gallego Informática Historia Música/ Biología 10:20 -11:10 Historia Matemáticas Ed. Física Informática Castellano 11:10 -12:00 Plástica/ Física Plástica/ Física Religión/ Alternativa Música/ Biología Informática 12:00 -12:30 Recreo Recreo Recreo Recreo Recreo 12:30- 13:20 Gallego Tecnología Inglés Gallego Ed. Física 13:20 -14:10 Música/ Biología Historia Ética Matemáticas Tecnología 14:10 -15:00 Inglés Inglés Tecnología Castellano Plástica/ Física 17:00 -17:50 Matemáticas 17:50 -18:40 Castellano
  • 7.
    Indice El Sistema OperativoWindows 1. El Sistema Operativo Windows..................................................... 26 2. El ratón.......................................................................................... 26 2.1.Operaciones básicas con el ratón .......................................... 27 3. La pantalla..................................................................................... 27 3.1.Iconos ..................................................................................... 28 3.2.Ventanas................................................................................. 29 3.3.Cuadros de diálogo................................................................. 32 4. El menú Inicio................................................................................ 34 4.1.Opciones del menú Inicio....................................................... 35 4.2.Apagar sistema....................................................................... 36 5. El escritorio ................................................................................... 37 5.1.Los documentos ..................................................................... 38 5.2.Las carpetas............................................................................ 39 6. La barra de tareas ......................................................................... 50 7. El panel de control ........................................................................ 55
  • 8.
    Indice Código cliente: Fecha Factura nº: ConceptoCantidad Precio Importe Base Imponible IVA 16% Total a pagar
  • 9.
    Indice Para la preparacionde los equipos participarán en la vuelta ciclista de Castilla-La Mancha, se ha celebrado una carrera con tres etapas diferentes. Las etapas disputadas han sido: Etapa.................................... Tiempo.......................................Km Toledo.................................. 4:50h..........................................152,400 Albacete............................... 3:56h..........................................135,100 Cuenca................................. 5:18h..........................................168,752 Los ganadores de cada una de las etapas fueron. Etapa Ganador Equipo Toledo Alberto Ramírez Sanz Caja Sur Andalucía Albacete Juan María Sánchez Pol Real Club Ciclista del Tajo Cuenca Manuel Aranda Castro Club Cerámica Talavera
  • 10.
    Indice Ejemplos de autoformas: Contexto agregado y cuadros de texto: Líneas Formas básicas Flechas de bloque Cintas y estrellas LLAMADA LLAMADA LLAMADA LLAMADA Llamadas Círculo con sombra Círculos 3D Cuadro volcado, con línea gruesa y relleno Sigue la flecha Dibujo con éxito CUADRO DE TEXTO CUADRO DE TEXTO CUADRODE TEXTO CUADRODE TEXTO
  • 11.
    Normas Básicas para comportarmeen clase Escuchas en silencio Compañeros Profesores No hablar todos a la vez Esperar mi turno Preguntar cuando no entiendo Levantar la mano Esperar que el profesor termine la expliciacion No interrumpir Si presto atención en clase Voy a entender mejor los temas que se ven Va a ser mas fácil estudiar después en casa
  • 13.
    Indice Un animal decompañía o mascota es un animal doméstico conservado con el propósito de brindar compañía o para el disfrute del poseedor. A diferencia de los animales de laboratorio, animales para la crianza o ganado, animales de tiro, animales para el transporte o animales para el deporte; los animales de compañía no son conservados para traer beneficios económicos o alimenticios. Los animales de compañía son seleccionados por su comportamiento y adaptabilidad, y por su interacción con los humanos, en la que posiblemente se utilicen como herramientas de caza o seguridad. Se cree que el poseer una mascota puede traer a la salud consecuencias tanto positivas como negativas. Las mascotas más populares son el perro y el gato. Las especies salvajes o exóticas son un conjunto de especies animales que requieren de una rigurosa imitación de las condiciones normales de su hábitat natural para su conservación en un ambiente hogareño. Entre las especies animales salvajes existen gran cantidad de animales que son conservados por afición o por fines decorativos, únicamente para el disfrute del poseedor y no como compañía. Las especies domésticas son aquellas especies de animales que se han adaptado a los factores ambientales en los que habitan (caseros), siendo innecesaria la reproducción exacta de las condiciones de su ambiente silvestre para su supervivencia en un ambiente hogareño. Los mamíferos y las aves son animales más domesticables por su gran adaptabilidad, a diferencia de algunos reptiles, que requieren un entorno en el que se imiten las condiciones de un desierto o una selva, o los peces de agua salada, que requieren que se imite un ecosistema marino. Las Mascotas
  • 14.
    Indice Madrid a 1de Noviembre de 2012 Estimados Padres: La asociación de padres junto al instituto de nustros hijos ha considerado conveniente poner a vuestra disposición un curso gratiuti de informática sobre la evolución de las nuevas tecnología , cuyo aspecto central será Internet. Con este cuirso pretendemos que los padres que no tienen experiencia en el uso de Internet la s adquieran y puedan ayudar y controlar a sus hijos en la utilización de estas herramientas que cada vez son más comunes en los centros educativos y en nuestros hogares. El curso comenzará el día 15 de Noviembre y terminara el dia 25 dels mismo mes. El curso consta de 20 horas, las cuales se impartirán de lunes a jueves de 19:30 a 22:00 horas. Todos aquellos que estén interesados en realizar el curso deben devolver al centro la parte inferior rellenada antes del dia 12 de noviembre. El contenido principal del curso será: ¿Qué es internet? ¿Qué hay en Internet? ¿Qué es Internet Explorer? ¿Cómo localizar información en Internet? ¿Cómo controlar los contenidos que se visualizan en el ordenador? Este apartado debe ser rellenado y devuelto al centro antes del dia 12 de noviembre. Nombre de la persona que realizará el curso: Padre Madre Otros Dirección: Teléfono: Móvil:+ Nombre del alumno/a Grupo: Asociacion de Padres y alumnos Curso de Nuevas Tecnologias Importante. Es necesarion tener nos conocimientos básicos de manejo del sistema operativo Windows para realizar este curso.
  • 15.
    Torneo De Ajedrez PrimeraPartida Segunda Partida Tercera Partida Cuarta Partida Ganador Pocoyo Barney Stinson Barney Stinson Barney Stinson Sheldon Cooper Barney Stinson Chuck Norris Chuck Norris RajKuthrappaly Amador Rivas Antonio Recio Antonio Recio Antonio Recio Howard Wolowitz Howard Wolowitz Ted Mosby Narutouzumaki Narutouzumaki Sheldon Cooper Sheldon Cooper Pikachu Charlie Sheen Sheldon Cooper Sheldon Cooper Oliver Atom Oliver Atom Son Goku Benji Quark Son Goku Son Goku Celula
  • 17.
    Indice Informe elaborado apetición del excelentísimo ayuntamiento e nuestra ciudad sobre el conocimiento de los ciudadanos sorbe el reciclaje de productos en el hogar y los distintos sistemas, procedimientos y métodos para llevarlo a cabo. Objetivos: El objetivo principal de este informe es evaluar los sistemas y servicios que ofrece el ayuntamiento de nuestra ciudad, el conocimiento que los ciudadanos tienen de ellos y el grado de utilización de los mismos para conseguir de nuestra ciudad sostenible y respetuosa con el medio ambiente en el apartado del reciclaje. Metodos y procedimientos.  Reciclaje de basura del hogar: Separar basura: organica, papel, plástico, latas,pilas y vidrio. Localizar puntos limpios cercanos al domicilio. Informarse sobre horarios de recogida.  Reciclaje de otras basuras: Existen empresas publicas y privadas dedicadas exclusivamente al reciclaje de muebles, materiales de obra, neumáticos, metales, etc. El Ayuntamiento dispone de teléfonos de contacto para la recogida de estos materiales. Medicamentos. En todas las farmacias existen puntos de reciclaje de mediamentos. Aceites: Algunas gasolineras disponen de depósitos de recogida para su filtración , depuración y neutralización. MedAmbi, S.L Consultores medio ambientales. Informe sobre Reciclaje en el Hogar
  • 18.
    Indice Problemas destacados. Se harealizado una encuesta a la población obteniendo los siguientes resultados: 1. ¿Dispone usted de suficiente información sobre los métodos y sistemas de reciclaje disponibles en su ciudad? Sí........................................................34,5% No......................................................65,5% 2. ¿Conoce usted cuál es el punto limpio mas cercano a su domicilio? Sí........................................................13,0% No......................................................87,0% 3. ¿Separa o clasifica su basura? Sí..........................................................5,0% No......................................................95,0% 4. ¿Conoce y utiliza los servicios de empresas privadas o públicas de reciclaje? Sí..........................................................3,0% No......................................................97,0% Conclusiones y puntos de actuación. Creemos que los resultados del informe son aceptables sobre la existencia de puntos limpios y sistemas de reciclaje. Sin embargo, nuestra valoración es negativa ante la falta de utilización de los mismos por los ciudadanos, debido, generalmente, a una gran falta de información e incentivos sobre las posibilidades existentes. Aconsejamos llevar a cabo las siguientes acciones para mejorar la situación actual: Campañas semestrales de información sobre la conveniencia del reciclaje. Carteles, paneles, señalización, etc. Indicando puntos limpios cercanos. Publicitar listados telefónicos de empresas publicas y privadas de reciclaje. Campañas de sensibilización en colegios, institutos, colectivos, etc. Plan de seguimiento de dichos puntos de actuación.
  • 19.
    Indice Estudio sobre elconsumo de drogas en jóvenes Importante: esta es una encuesta anónima. Nadie puede conocer que es lo que has escrito en ella. Por ello te pedimos que rellenes todas las cuestiones de forma sincera y con total libertad. Centro de estudios: Curso: Edad: Cuestión Respuesta ¿Sabes lo que son las drogas? Si No ¿Crees que tienes suficiente información sobre las drogas y consumo? Si No ¿Piensas que las drogas son malas? Si No ¿Te han hablado en tu centro educativo sobre las drogas? Si No ¿Has hablado con tus padres sobre las drogas? Si No ¿Hablas con tus amigos sobre las drogas? Si No ¿Te parece que las drogas son un tema preocupante para los jóvenes? Si No ¿Conoces a alguien que consuma drogas? Si No ¿Crees que en tu entorno de amistades hay jóvenes que consumen drogas? Si No ¿Has consumido drogas alguna vez? Si No ¿Consumes drogas los fines de semana? Si No ¿Consumes drogas todos los días? Si No ¿Cees que se pueden consumir drogas y tener el control sobre lo que consumes? Si No ¿Crees que las drogas pueden ser una solución a los problemas que tengas? Si No ¿Crees que eres adicto a las drogas? Si No ¿Suministras drogas a tus amigos o compañeros? Si No ¿Consideras que el tabaco es una droga? Si No ¿Consideras que el alcohol es una droga? Si No ¿Crees que en tu clase hay compañeros que consumen drogas? Si No
  • 20.
    Indice Cliente: Nombre fiscal2 Avda hispanidad 456 28555 Alcala de Henares Madrid CIF-NIF 125456678-V Numero de Factura: A-4567890 Fecha factura: 23/05/2010 Observaciones Estas son las observaciones que pueden ir en cada factura Articulo Precio Cantidad Descuento % Total Televisión HD Sony 1599,99 1 0,1 1439,99€ Ordenador sobremesa Mac 1999,99 1 0,2 1599,99€ Iphone 5 799,99 1 0,3 559,99€ Marisco Recio 999 10 0,2 7992€ Ferrari 100000 1 0,2 80000€ Bugatti Veyron 2000000 1 0,2 1600000€ Importe Neto 1691591,97€ %IVA 16 IVA 270654,72 € Total Factura 1962246,69 € Forma de pago A 30 días En caso de cualquier duda llame al teléfono y de elnumero de factura. Registro Mercantil XXXXX Tomo 9999- Libro 9999- Hoja bbbbbbb- hhhhhhhhhhh Forma Elementos Formula Perímetro Fórmula Área Triángulo B: Base H: Altura P = l +m + n Nombre de su empresa Dirección de su empresa 28222 Alcala de Henares Madrid 34567890-444456789
  • 21.
    Indice l: Lado1 m: Lado2 n:Lado3 Cuadrado A: Lado P = 4a Rectángulo b: Base h: Altura P = 2b+2h Rombo A : Lado d: Diagonal menor D: Diagonal mayor P = 4a Romboide b: Base h: Altura P = 2b+2h Trapecio l: Lado1 m: Lado2 n: Lado3 o: Lado4 b: Base menor B: Base mayor H: Altura P = l + m + n + o
  • 22.
  • 23.