Matricu
  la:




    Los Medios y sus Audiencia
    Análisis programa “Noches de futbol”




                                              Maestro: Rómulo Flores
                                    Alumno: Jesús Fernando Ortiz Terán
                                                   Matricula: 1469551
Índice


Portada…………………………………………………………………………………………………1


Introducción………………………………………………………………………………………….2


Mapa conceptual…………………………………………………………………………………..3


Conclusión…………………………………………………………………………………………….4
Los Medios y la Audiencia
Los medios y la audiencia juegan un papel primordial en la vida cotidiana, debido a que existe un papel importantísimo
de parte de los medios que emiten un mensaje que será recibido por cierto grupo de personas, que son parte de una
audiencia especifica, que a su vez se siente identificada por gustos, temas a fin, región, ideologías, costumbres, etc. que
determinan la cultura de la audiencia, que a su vez es receptora de ese mensaje por parte de los medios de
comunicación, y para ello haremos un análisis de uno de los programas de más alto raiting de la actualidad en el estado
de Nuevo León, concretamente en Monterrey.



Noches de futbol con “Chavana”:



El programa de “Chavana” es un programa enfocado al entretenimiento humorístico, consta de su conductor “Chavana” el
cual se enfoca en acentuar la rivalidad de ambos equipos de futbol en dicha ciudad, mediante sketch, cortometrajes,
videos musicales y coreografías.

Cabe mencionar que este programa sale al aire en el horario estelar, de entre 9 a 11 pm siendo el mas visto en la
televisión regiomontana.

Analizaremos el contenido de este programa partiendo de varios métodos y partiendo de varios puntos.

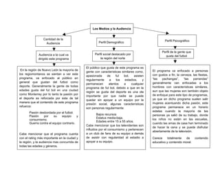
Características de la audiencia:

   •   Cantidad de la audiencia.
   •   Perfil demográfico.
   •   Perfil Psicográfico.
Los Medios y la Audiencia


                 Cantidad de la
                                                                                                     Perfil Psicográfico
                   Audiencia                           Perfil Demográfico


                                                                                                   Perfil de la gente que
             Audiencia a la cual va                 Perfil social destacado por
                                                                                                     gusta del futbol
             dirigido este programa                     la región del norte


                                              El público que gusta de este programa es
 En la región de Nuevo León la mayoría de                                                   El programa va enfocado a personas
                                              gente con características similares como,
los regiomontanos se sientan a ver este                                                     con gustos a fin, la cerveza, las fiestas,
                                              apasionada     de    fut    bol,    asisten
programa, va enfocado al público en                                                         “las   pachangas”,     “las    parrandas”
                                              regularmente    a     los    estadios,    y
general que gustan del futbol como                                                          generalmente van enfocadas a los
                                              permanecen      atentos     a    cualquier
deporte. Generalmente la gente de todas                                                     hombres con características similares,
                                              programa de fut bol, debido a que en la
edades gusta del fut bol en una ciudad                                                      aun que las mujeres son también objeto
                                              región se gusta del deporte es una ola
como Monterrey por lo tanto la pasión por                                                   de enfoque para este tipo de programas,
                                              importante por que nadie se puede
el deporte es reforzada por este de tal                                                     ya que en dicho programa suelen salir
                                              quedar sin apoyar a un equipo por la
manera que el contenido de este programa                                                    mujeres acentuando dicha pasión, este
                                              presión social, algunas características
refuerza:                                                                                   programa permanece en un horario
                                              son personas regularmente:
       Pasión desbordada por el futbol.                                                     estelas cuando la mayoría de las
                                                      Bajos recursos                        personas ya salió de su trabajo, donde
       Pasión    por     su    equipo     y
                                                      Estatus media-baja.                   los niños no están en las escuelas,
       consumismo.
                                                      Edades entre 15 a 55 años.
       Guerra contra el equipo contrario.                                                   cuando las amas de casa han terminado
                                              Cabe mencionar que los televidentes son
                                                                                            de hacer la cena y se puede disfrutar
                                              influidos por el consumismo y pertenecen
                                                                                            abiertamente de la televisión.
Cabe mencionar que el programa cuenta         a un club de fans de su equipo a demás
con el rating más importante en la ciudad y   de asistir con regularidad al estadio a       Carece     totalmente   de      contenido
la región, y la audiencia mas concurrida de   apoyar a su equipo.                           educativo y contenido moral.
todas las edades y géneros.
Conclusión


Para concluir en el análisis del programa “Noches de futbol” que el público al que va enfocado es un público con características
importantes como gustos a fin, cultura, regionalismos, clases sociales, géneros y edades establecidas que permiten posicionar
demográficamente al publico al cual va dirigido.

En el análisis hecho a dicho programa podemos identificar algunos aspectos importantes que notamos en la programación de dicho
programa, en el cual carece de contenido educativo, carece de moral, desvirtúa a la mujer, tiene un contenido altamente sexual, no
cuenta con contenido familiar, promueve el doble sentido haciendo referencia a frases obscenas.

Por conclusión podemos ver que el programa está enfocado a personas de bajos recursos con tendencias consumistas hacia los
equipos locales de futbol, en donde se acentúa la rivalidad entre ambos equipos, promoviendo la pasión desbordada de sus
integrantes y promueve la euforia desmedida hacia un bando de los equipos que cada persona se sienta a fin.

Los medios y la au

  • 1.
    Matricu la: Los Medios y sus Audiencia Análisis programa “Noches de futbol” Maestro: Rómulo Flores Alumno: Jesús Fernando Ortiz Terán Matricula: 1469551
  • 2.
  • 3.
    Los Medios yla Audiencia Los medios y la audiencia juegan un papel primordial en la vida cotidiana, debido a que existe un papel importantísimo de parte de los medios que emiten un mensaje que será recibido por cierto grupo de personas, que son parte de una audiencia especifica, que a su vez se siente identificada por gustos, temas a fin, región, ideologías, costumbres, etc. que determinan la cultura de la audiencia, que a su vez es receptora de ese mensaje por parte de los medios de comunicación, y para ello haremos un análisis de uno de los programas de más alto raiting de la actualidad en el estado de Nuevo León, concretamente en Monterrey. Noches de futbol con “Chavana”: El programa de “Chavana” es un programa enfocado al entretenimiento humorístico, consta de su conductor “Chavana” el cual se enfoca en acentuar la rivalidad de ambos equipos de futbol en dicha ciudad, mediante sketch, cortometrajes, videos musicales y coreografías. Cabe mencionar que este programa sale al aire en el horario estelar, de entre 9 a 11 pm siendo el mas visto en la televisión regiomontana. Analizaremos el contenido de este programa partiendo de varios métodos y partiendo de varios puntos. Características de la audiencia: • Cantidad de la audiencia. • Perfil demográfico. • Perfil Psicográfico.
  • 4.
    Los Medios yla Audiencia Cantidad de la Perfil Psicográfico Audiencia Perfil Demográfico Perfil de la gente que Audiencia a la cual va Perfil social destacado por gusta del futbol dirigido este programa la región del norte El público que gusta de este programa es En la región de Nuevo León la mayoría de El programa va enfocado a personas gente con características similares como, los regiomontanos se sientan a ver este con gustos a fin, la cerveza, las fiestas, apasionada de fut bol, asisten programa, va enfocado al público en “las pachangas”, “las parrandas” regularmente a los estadios, y general que gustan del futbol como generalmente van enfocadas a los permanecen atentos a cualquier deporte. Generalmente la gente de todas hombres con características similares, programa de fut bol, debido a que en la edades gusta del fut bol en una ciudad aun que las mujeres son también objeto región se gusta del deporte es una ola como Monterrey por lo tanto la pasión por de enfoque para este tipo de programas, importante por que nadie se puede el deporte es reforzada por este de tal ya que en dicho programa suelen salir quedar sin apoyar a un equipo por la manera que el contenido de este programa mujeres acentuando dicha pasión, este presión social, algunas características refuerza: programa permanece en un horario son personas regularmente: Pasión desbordada por el futbol. estelas cuando la mayoría de las Bajos recursos personas ya salió de su trabajo, donde Pasión por su equipo y Estatus media-baja. los niños no están en las escuelas, consumismo. Edades entre 15 a 55 años. Guerra contra el equipo contrario. cuando las amas de casa han terminado Cabe mencionar que los televidentes son de hacer la cena y se puede disfrutar influidos por el consumismo y pertenecen abiertamente de la televisión. Cabe mencionar que el programa cuenta a un club de fans de su equipo a demás con el rating más importante en la ciudad y de asistir con regularidad al estadio a Carece totalmente de contenido la región, y la audiencia mas concurrida de apoyar a su equipo. educativo y contenido moral. todas las edades y géneros.
  • 5.
    Conclusión Para concluir enel análisis del programa “Noches de futbol” que el público al que va enfocado es un público con características importantes como gustos a fin, cultura, regionalismos, clases sociales, géneros y edades establecidas que permiten posicionar demográficamente al publico al cual va dirigido. En el análisis hecho a dicho programa podemos identificar algunos aspectos importantes que notamos en la programación de dicho programa, en el cual carece de contenido educativo, carece de moral, desvirtúa a la mujer, tiene un contenido altamente sexual, no cuenta con contenido familiar, promueve el doble sentido haciendo referencia a frases obscenas. Por conclusión podemos ver que el programa está enfocado a personas de bajos recursos con tendencias consumistas hacia los equipos locales de futbol, en donde se acentúa la rivalidad entre ambos equipos, promoviendo la pasión desbordada de sus integrantes y promueve la euforia desmedida hacia un bando de los equipos que cada persona se sienta a fin.