Estadísticos

                                                                  aquepueblicoleg productoquema
               quemarcaderop    enquefrecuenci   cuantoustedgast ustaacomprarro     sadquierelagent
                     a                a                a            pademarca             e

N   Válidos                 8                8                8                 8                 8

    Perdidos                0                0                0                 0                 0


                      Estadísticos

               enquemessead     ausadomarcasd    enquelgarusted
               quieremasprodu   eprendadfamos    compraropadev
               stodevestuario        as               estir

N   Válidos                 8                8                8

    Perdidos                0                0                0
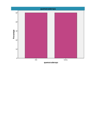
quemarcaderopa

                                                Porcentaje        Porcentaje
                  Frecuencia      Porcentaje      válido          acumulado

Válidos   nine             4             50,0              50,0           50,0

          tommy            4             50,0              50,0          100,0

          Total            8           100,0           100,0
enquefrecuencia

                                              Porcentaje        Porcentaje
                   Frecuencia   Porcentaje      válido          acumulado

Válidos   dia               2          25,0              25,0           25,0

          semana            5          62,5              62,5           87,5

          mes               1          12,5              12,5          100,0

          Total             8        100,0           100,0
cuantoustedgasta

                                                  Porcentaje        Porcentaje
                  Frecuencia      Porcentaje        válido          acumulado

Válidos   20               3             37,5                37,5           37,5

          30               4             50,0                50,0           87,5

          60               1             12,5                12,5          100,0

          Total            8           100,0             100,0
aquepueblicolegustaacomprarropademarca

                                                  Porcentaje        Porcentaje
                       Frecuencia   Porcentaje      válido          acumulado

Válidos   mujeres               4          50,0              50,0           50,0

          hombres               3          37,5              37,5           87,5

          niños                 1          12,5              12,5          100,0

          Total                 8        100,0           100,0
productoquemasadquierelagente

                                               Porcentaje        Porcentaje
                    Frecuencia   Porcentaje      válido          acumulado

Válidos   blusas             6          75,0              75,0           75,0

          camisas            2          25,0              25,0          100,0

          Total              8        100,0           100,0
enquemesseadquieremasprodustodevestuario

                                                    Porcentaje        Porcentaje
                         Frecuencia   Porcentaje      válido          acumulado

Válidos   diciembre               4          50,0              50,0           50,0

          febrero                 4          50,0              50,0          100,0

          Total                   8        100,0           100,0
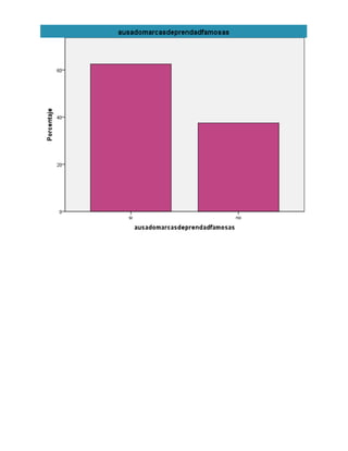
ausadomarcasdeprendadfamosas

                                             Porcentaje        Porcentaje
                  Frecuencia   Porcentaje      válido          acumulado

Válidos   si               5          62,5              62,5           62,5

          no               3          37,5              37,5          100,0

          Total            8        100,0           100,0
enquelgarustedcompraropadevestir

                                                Porcentaje        Porcentaje
                     Frecuencia   Porcentaje      válido          acumulado

Válidos   boutique            3          37,5              37,5           37,5

          almacen             5          62,5              62,5          100,0

          Total               8        100,0            100,0
Tabulacion
Tabulacion
Tabulacion
Tabulacion
Tabulacion
Tabulacion
Tabulacion
Tabulacion

Tabulacion

  • 1.
    Estadísticos aquepueblicoleg productoquema quemarcaderop enquefrecuenci cuantoustedgast ustaacomprarro sadquierelagent a a a pademarca e N Válidos 8 8 8 8 8 Perdidos 0 0 0 0 0 Estadísticos enquemessead ausadomarcasd enquelgarusted quieremasprodu eprendadfamos compraropadev stodevestuario as estir N Válidos 8 8 8 Perdidos 0 0 0
  • 2.
    quemarcaderopa Porcentaje Porcentaje Frecuencia Porcentaje válido acumulado Válidos nine 4 50,0 50,0 50,0 tommy 4 50,0 50,0 100,0 Total 8 100,0 100,0
  • 3.
    enquefrecuencia Porcentaje Porcentaje Frecuencia Porcentaje válido acumulado Válidos dia 2 25,0 25,0 25,0 semana 5 62,5 62,5 87,5 mes 1 12,5 12,5 100,0 Total 8 100,0 100,0
  • 4.
    cuantoustedgasta Porcentaje Porcentaje Frecuencia Porcentaje válido acumulado Válidos 20 3 37,5 37,5 37,5 30 4 50,0 50,0 87,5 60 1 12,5 12,5 100,0 Total 8 100,0 100,0
  • 5.
    aquepueblicolegustaacomprarropademarca Porcentaje Porcentaje Frecuencia Porcentaje válido acumulado Válidos mujeres 4 50,0 50,0 50,0 hombres 3 37,5 37,5 87,5 niños 1 12,5 12,5 100,0 Total 8 100,0 100,0
  • 6.
    productoquemasadquierelagente Porcentaje Porcentaje Frecuencia Porcentaje válido acumulado Válidos blusas 6 75,0 75,0 75,0 camisas 2 25,0 25,0 100,0 Total 8 100,0 100,0
  • 7.
    enquemesseadquieremasprodustodevestuario Porcentaje Porcentaje Frecuencia Porcentaje válido acumulado Válidos diciembre 4 50,0 50,0 50,0 febrero 4 50,0 50,0 100,0 Total 8 100,0 100,0
  • 8.
    ausadomarcasdeprendadfamosas Porcentaje Porcentaje Frecuencia Porcentaje válido acumulado Válidos si 5 62,5 62,5 62,5 no 3 37,5 37,5 100,0 Total 8 100,0 100,0
  • 9.
    enquelgarustedcompraropadevestir Porcentaje Porcentaje Frecuencia Porcentaje válido acumulado Válidos boutique 3 37,5 37,5 37,5 almacen 5 62,5 62,5 100,0 Total 8 100,0 100,0