Unidad I: Matrices
Las matrices son conjuntos de números o expresiones dispuestos en
forma rectangular, formando filas y columnas. Para nombrar matrices se
utilizan letras mayúsculas.
Ejemplos:
A =
6 6 −7
10 −5/2 3/4
1
4
−1
−20
0
9
1.1-) ¿Qué es una Matriz?
𝑃 =
2𝑎 𝑏 −7
10 −5/2 3/4
1
4
𝑥2 − 1
−20
0
9
1.2-) Orden de una matriz
El orden de una matriz se refiere a las dimensiones de una matriz y se
representa por medio del producto del número filas y el número de
columnas de la matriz, si se desarrolla este producto el resultado sería la
cantidad de elementos de la matriz.
C =
2 0 −7
10 −5/2 3/4
1
4
0
−20
0
9
Las matrices pueden tener diferentes dimensiones.
P =
2 0 −1
5 1/4 −9
J =
1 0
20 −10
3 1
N =
1 5
0 −1
Un elemento se distingue de otro por la posición que ocupa, es decir, la fila y la
columna a la que pertenece. Para nombrar los elementos de una matriz se
utilizan letras minúsculas que tendrán sub-índices para establecer la posición del
elemento.
¿Cómo se distinguen los elementos de una matriz ?
P =
2 0 −1
5 1/4 −9
Ejemplo:
1.3 - Tipos de Matrices
Una matriz fila está constituida por una sola fila.
1.3.1 - Matriz fila.
𝐴 = 1 0 −2
Una matriz columna está constituida por una sola columna.
1.3.2- Matriz columna.
𝐴 =
1/2
−9
0
Dada una matriz A, se llama matriz traspuesta de A a la matriz que se obtiene
cambiando ordenadamente las filas por las columnas.
1.3.3 - Matriz transpuesta
A =
2 0 −1
5 1/4 −9
; 𝐴𝑡
=
2 5
0 1/4
−1 −9
Ejemplo:
J =
6 6 −7
10 −5/2 3/4
1
4
−1
−20
0
9
Jt =?
C =
2𝑎 𝑏 1 0
10 −5/2 4 −2
1
4
𝑥2
− 1
−20
9 0
9 6
Ct =?
1.3.4 - Matriz Nula
En una matriz nula todos los elementos son ceros.
𝐴 =
0 0 0
0 0 0
; 𝐵 =
0 0
0 0
0 0
Ejemplos:
C = 0 0 0
La matriz cuadrada tiene el mismo número de filas que de
columnas.
1.3.5 - Matriz Cuadrada
A =
1 5
3 0
; 𝐵 =
1 2 5
9 5 6
1 0 0
1.3.6 - Matriz diagonal
Es una matriz cuadrada donde todos los elementos que no están situados en
la diagonal principal son nulos.
𝐵 =
3 0 0
0 5 0
0 0 5
; 𝐴 =
1 0
0 9
Ejemplos:
1.3.7 - Matriz diagonal
Es una matriz diagonal donde todos los elementos de la diagonal principal son
iguales.
𝐵 =
2 0 0
0 2 0
0 0 2
; 𝐴 =
9 0
0 9
Ejemplos:
1.3.8 - Matriz Identidad
Una matriz identidad es una matriz diagonal en la que los elementos de la
diagonal principal son iguales a 1, generalmente se denota con la letra I, y se
coloca un subíndice para indicar la dimensión de la matriz.
𝐼3 =
1 0 0
0 1 0
0 0 1
; 𝐼2 =
1 0
0 1
Ejemplos:
1.3.8 - Matriz Identidad
Importante: toda matriz multiplicada por la matriz identidad da como resultado
la misma matriz .
A =
−3 0 6
0 4 7
0 0 1
Ejemplo:
I =
1 0 0
0 1 0
0 0 1
A. I =
−3 0 6
0 4 7
0 0 1
1 0 0
0 1 0
0 0 1
=
−3 0 6
0 4 7
0 0 1
Es una matriz donde los elementos situados por debajo de la diagonal
principal son ceros.
1.3.9 - Matriz triangular superior
𝐵 =
4 −1 9
0 1 1/2
0 0 1
; 𝐴 =
1 7
0 1
Ejemplos:
Es una matriz donde los elementos situados por encima de la diagonal
principal son ceros.
1.3.10 - Matriz triangular inferior
𝐵 =
4 0 0
−7 1 0
4 2 1
; 𝐴 =
1 0
9 1
Ejemplos:
Una Matriz Simétrica es aquella matriz cuadrada que es
igual a su traspuesta.
1.3.11 - Matriz simétrica
𝐴 =
5 1 3
1 8 2
3 2 5
; 𝐴𝑡
=
5 1 3
1 8 2
3 2 5
Ejemplos:
𝐵 =
3 −4
−4 3
; 𝐵𝑡 =
3 −4
−4 3
Matriz cuadrada que es igual a su transpuesta cambiada de signo y
los elementos de la diagonal principal son solo ceros.
1.3.12 - Matriz Antisimétrica
𝐴 =
0 1 −8
−1 0 6
8 −6 0
; 𝐴𝑡 =
0 −1 8
1 0 −6
−8 6 0
Ejemplos:
B =
0 −5
5 0
𝐵𝑡
=
0 5
−5 0
1.3.13 - Matriz Opuesta
Una matriz opuesta es la que tiene todos los elementos de signo
contrario a la matriz original.
𝐴 =
10 1 −8
−1 −7 6
11 −6 0
; −𝐴 =
−10 −1 8
1 7 −6
−11 6 0
Ejemplos:
B =
0 −5
5 0
−𝐵=
0 5
−5 0
1.3.14 - Matrices escalonadas
Una matriz es escalonada si:
1-) El primer elemento no nulo (por la izquierda) de cada fila está a la
derecha del primer elemento no nulo de la fila anterior, es decir, bajo el
primer elemento no nulo de cada fila solo hay ceros. Este primer
elemento no nulo se llama elemento principal.
2)- Las filas nulas, si hay, están bajo las otras filas.
Importante: a partir de una matriz cualquiera, haciendo operaciones
elementales, es posible obtener matrices escalonadas.
Ejemplos de matrices escalonadas, el símbolo ∗ puede ser un número
real cualquiera.
Ejemplos de matrices escalonadas
Importante: escalonar un matriz se utiliza en diversos procedimientos tales
como: resolver ecuaciones por el método de Gauss, cálculo de matriz
inversa, rango de una matriz entre otros.
La Opuesta de la matriz 𝐴 =
4 0 −1
0 −2 1
es
a)
−4 0
0 2
1 −1
b) La matriz A no tiene opuesta
c) Ninguna de las anteriores
Una matriz 𝐴 es escalar si se cumple que
a) Los elementos no pertenecientes a la diagonal principal son iguales a 1.
b) Es diagonal y los elementos de la diagonal son todos iguales
c) Todos los elementos de la diagonal principal son 0
1.3 - Tipos de Matrices
1.4 - Operaciones con Matrices
A =
0 1 −8
−1 0 6
8 −6 0
𝐵 =
3 −1 13
6 0 7
−8 6 9
𝐴 + 𝐵 =
0 + 3 1 − 1 −8 + 13
−1 + 6 0 7 + 6
8 − 8 −6 + 6 0 + 9
1.4.1 - Suma de matrices
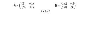
A =
2 −1
3/4 0
B =
1/2 −5
1/8 5
A + B = ?
-A + 4B = ?
C =
4 −1 9
0 1 1/2
0 0 1
A + C
A =
2 −1
3/4 0 B =
1/2 −5
1/8 5
A + B = ?
A =
2 −1
3/4 0 B =
1/2 −5
1/8 5
-A + 2B = ?
A =
2 −1
3/4 0
C =
4 −1 9
0 1 1/2
0 0 1
A + C
• La suma de dos matrices de orden mxn da como resultado otra matriz
de orden mxn.
• Se cumple la propiedad asociativa de la suma.
𝐴 + (𝐵 + 𝐶) = (𝐴 + 𝐵) + 𝐶
• Elemento neutro: toda matriz que se le sume la matriz nula dará como
resultado la misma matriz.
𝐴 + 𝑂 = 𝐴
Propiedades de la suma de matrices
• Elemento opuesto: toda matriz que se le sume su matriz opuesta dará
como resultado la matriz nula.
𝐴 + (−𝐴) = 𝑂
• Se cumpla la propiedad conmutativa:
𝐴 + 𝐵 = 𝐵 + 𝐴
Propiedades de la suma de matrices
1.4.2 - Multiplicación de una matriz por un número real
B =
1/2 −5
1/8 5
5
2
B = ?
Dos matrices A y B son multiplicables si el número de columnas de
A coincide con el número de filas de B.
A =
4 −1 9
0 1 1/2
0 0 1
B =
1 −5
7 8
0 1
3x3 3x2
1.4.3 - Multiplicación de Matrices
Coinciden, por lo tanto se puede
efectuar la multiplicación A.B
Sean dos matrices A y B, el producto A.B puede realizarse siempre y
cuando el número de columnas de A coincide con el número de filas
de B.
A =
4 −1 9
0 1 1/2
0 0 1
B =
1 −5
7 8
0 1
3x3 3x2
¿ Cuáles serían las dimensiones de la matriz C que se
obtiene al multiplicar las matrices A y B ?
Las dimensiones de C serían el número de filas de la matriz A por el
número de columnas de la matriz B.
A =
4 −1 9
0 1 1/2
0 0 1
B =
1 −5
7 8
0 1
3x3 3x2
¿ Cuáles serían las dimensiones de la matriz C que se
obtiene al multiplicar las matrices A y B ?
Las dimensiones de la matriz C que se obtiene de efectuar el
producto A.B serían.
A =
4 −1 9
0 1 1/2
0 0 1
B =
1 −5
7 8
0 1
3x3 3x2
3x2 serán las dimensiones de la
matriz C que se obtiene al
efectuar la multiplicación A.B
¿ Cuáles serían las dimensiones de la matriz C que se
obtiene al multiplicar las matrices A y B ?
A =
4 −1 9
0 1 1/2
0 0 1
B =
1 −5
7 8
0 1
3x3 3x2
¿Cómo se efectuaría la multiplicación de matrices A.B?
Los elementos 𝒄𝒊𝒋 de la matriz C que se obtienen al multiplicar las
matrices A y B se obtienen multiplicando los elementos de cada fila de
la matriz A por los elementos de cada columna de la matriz B, los
resultados obtenidos de cada multiplicación se suman de forma
algebraica.
La multiplicación A.B sería:
A =
4 −1 9
0 1 1/2
0 0 1
B =
1 −5
7 8
0 1
La multiplicación A.B sería:
A =
4 −1 9
0 1 1/2
0 0 1
B =
1 −5
7 8
0 1
P =
𝑝11 𝑝12
𝑝21 𝑝22
𝑝31 𝑝32
• Propiedad asociativa
𝐴. 𝐵. 𝐶 = (𝐴. 𝐵). 𝐶
• Elemento neutro: toda matriz A multiplicada por la matriz identidad dará como
resultado la misma matriz A.
𝐴. 𝐼 = 𝐴
• La multiplicación de matrices no es conmutativa
𝐴. 𝐵 ≠ 𝐵. 𝐴
• Propiedad distributiva
𝐴 𝐵 + 𝐶 = 𝐴. 𝐵 + 𝐴. 𝐶
Propiedades de la multiplicación de matrices
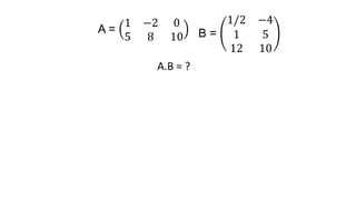
Efectuar las siguientes multiplicaciones de matrices:
A =
1 −2 0
5 8 10 B =
1/2 −4
1 5
12 10
C =
1 −5
7 12
A.B = ? A.C = ? B.C = ?
A =
1 −2 0
5 8 10 B =
1/2 −4
1 5
12 10
A.B = ?
C =
1 −5
7 12
B.C = ?
B =
1/2 −4
1 5
12 10
Una empresa constructora ha vendido en enero 4 pisos y dos naves industriales.
Y en febrero 2 pisos y 1 nave industrial. El precio de los pisos en enero era de
150.000€ y el de las naves industriales 200.000 mientras que en febrero estos
precios bajaron un 5% en el caso de los pisos y un 10% las naves industriales.
Escribir las matrices que representan las unidades vendidas en enero y febrero
(A) y los precios de venta de las mismas (B). Calcular los elementos de la
diagonal de la matriz A por B y dar su significado.
Clara trabaja como telefonista en una empresa de lunes a viernes entre las nueve
de la mañana y las dos de la tarde. Además, cuida de un bebé de cuatro a siete de
la tarde los lunes, miércoles y viernes y es mecanógrafa en un bufete de abogados
los martes y jueves de cinco a nueve.
1. Escribir la matriz que expresa el número de horas que dedica a cada actividad a
lo largo de los días de la semana.
2. Si le pagan 9 euros por hora como telefonista, 7 euros por cada hora que cuida
al bebé y 12 euros por hora por su trabajo como mecanógrafa, expresar
matricialmente los ingresos diarios de Clara.
1.5 - Método de Gauss.
El método de gauss consiste en convertir una matriz cualquiera
en una matriz escalonada, este método es útil para determinar
el rango de una matriz, resolver un sistema de ecuaciones
lineales o calcular la inversa de una matriz. A continuación se
describen las operaciones algebraicas del método de Gauss
que pueden aplicarse para obtener una matriz escalonada.
1.5 - Método de Gauss.
Operaciones válidas para escalonar una matriz
• Se pueden intercambiar entre si dos filas.
• Se pueden multiplicar o dividir por un número distinto de
cero todos los elementos de una fila.
• A una fila se le puede sumar o restar otra fila.
• A una fila se le puede sumar o restar otra fila multiplicada
por un número distinto de cero.
• No se pueden sumar o restar columnas.
• Para resolver sistemas de ecuaciones se pueden intercambiar las
columnas de la matriz ampliada que contiene los coeficientes de las
variables pero estas columnas no se pueden intercambiar con la
columna que contiene los términos independientes.
Importante: Al intercambiar columnas cambia el orden de las variables
Convertir la siguiente matriz en una matriz estrictamente
escalonada
𝐴 =
4 −1 9
2 4 6
−1 0 5
𝐴 =
1 ⋯ ⋯
0 1 ⋯
0 0 1
𝐴 =
4 −1 9
2 4 6
−1 0 5
1.6 - Rango de una Matriz
Llamamos rango de la matriz 𝑨 y anotamos 𝒓(𝑨) ó 𝒓𝒈(𝑨)
al número de líneas de esa matriz (filas o columnas) que
son linealmente independientes. El rango de una matriz
puede obtenerse por el método de Gauss o por
determinantes.
1.6 - Rango de una Matriz
Determinar el rango de las siguientes matrices
2 2 1
2 6 −1
4 4 1
1 2 −3
4 3 6
Si se aplica el método de Gauss para calcular el rango de
una matriz, el número de escalones sería el rango de la
matriz.
2 2 1
2 6 −1
4 4 1
2 2 1
2 6 −1
4 4 2
1 2 −3
4 3 6
Sea A una matriz cuadrada de orden n. Diremos que 𝐀−𝟏 es
la matriz inversa de A, cuando se cumple el siguiente
producto.
1.7 - Matriz Inversa
A · 𝐀−𝟏 = 𝐀−𝟏 · A = I
Una manera de calcular la matriz inversa es por el método de Gauss-
Jordan, en el cual se utilizan las mismas operaciones del método de
Gauss pero con el objetivo de obtener una matriz identidad. Otra
manera de calcularla sería por medio de la matriz de adjuntos.
Calcular la inversa de la siguiente matriz
A =
1 2 3
0 1 2
1 2 4
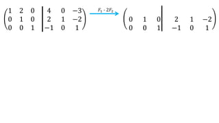
El primer paso es construir una matriz ampliada la cual contiene a la
matriz 𝑨 y la matriz identidad, tal como se muestra a continuación.
1 2 3
0 1 2
1 2 4
1 0 0
0 1 0
0 0 1
Posteriormente por medio de operaciones elementales se transforma la
matriz ampliada de tal manera que la matriz identidad quede del lado
opuesto a como estaba inicialmente y lo que se obtenga del otro lado de
la recta será la matriz inversa.
1 0 0
0 1 0
0 0 1
1 2 3
0 1 2
1 2 4
1 0 0
0 1 0
0 0 1
1 2 3
0 1 2
1 0 0
0 1 0
𝐹3 - 𝐹1
1 2 3
0 1 2
1 2 4
1 0 0
0 1 0
0 0 1
1 2 3
0 1 2
0 0 1
1 0 0
0 1 0
−1 0 1
1 2 3
0 1 2
0 0 1
1 0 0
0 1 0
−1 0 1
𝐹2 - 2𝐹3
1 2 3
0 0 1
1 0 0
−1 0 1
1 2 3
0 1 0
0 0 1
1 0 0
2 1 −2
−1 0 1
1 2 3
0 1 0
0 0 1
1 0 0
2 1 −2
−1 0 1
𝐹1 - 3𝐹3
0 1 0
0 0 1
2 1 −2
−1 0 1
1 2 0
0 1 0
0 0 1
4 0 −3
2 1 −2
−1 0 1
1 2 0
0 1 0
0 0 1
4 0 −3
2 1 −2
−1 0 1
𝐹1 - 2𝐹2
0 1 0
0 0 1
2 1 −2
−1 0 1
1 0 0
0 1 0
0 0 1
0 −2 1
2 1 −2
−1 0 1
0 −2 1
2 1 −2
−1 0 1
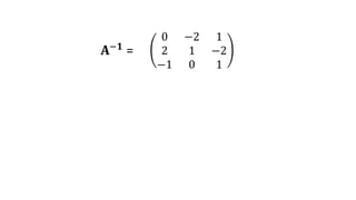
𝐀−𝟏 =
Calcular la inversa de la siguiente matriz
A =
2 1
1 −1
2 1
1 −1
1.8 - Ecuaciones Matriciales
Una ecuación matricial es una ecuación cuya incógnita es una matriz.
Para poder resolver una ecuación matricial, tendremos que sumar, restar
y multiplicar matrices y calcular matrices inversas.
Ejemplo: Dadas las matrices 𝐴, 𝐵 y 𝐶, resolver el sistema
𝐴 =
2 0
1 −1
𝐵 =
1 −3
2 −1
𝐶 =
1 −1
−1 0
𝑋 ∙ 𝐴−1 − 𝐵 = 𝐶
𝐴 =
2 0
1 −1
𝐵 =
1 −3
2 −1
𝐶 =
1 −1
−1 0
𝑋 ∙ 𝐴−1 − 𝐵 = 𝐶
𝐴 =
1 0
−1 1
; 𝐵 =
0 −1
−1 −1
; 𝐶 =
1 1
1 1
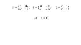
𝐴𝑋 + 𝐵 = 𝐶
Resolver el siguiente sistema de ecuaciones matriciales
𝐴 =
1 −3
−2 −8
𝐵 =
8 3
4 −1
ቊ
𝑋 − 2𝑌 = 𝐴
2𝑋 − 𝑌 = 𝐵
Resolver el siguiente sistema de ecuaciones matriciales
𝐴 =
1 −1 0
2 1 2
𝐵 =
0 −1 2
1 1 2
ቊ
𝑋 − 𝑌 = 𝐴
𝑋 + 2𝑌 = 𝐵
1.8 - Resolución de sistemas de ecuaciones
Lineales por el método de Gauss
El método de Gauss también es utilizado para resolver
problemas matemáticos que pueden ser interpretados por
medio de ecuaciones lineales(ecuaciones que tienen
variables con exponente 1). A continuación se describen
los pasos para resolver un sistema de ecuaciones lineales
aplicando el método de Gauss.
Resolver el siguiente sistema de ecuaciones aplicando el método de
Gauss.
3x + 2y + z = 1
5x + 3y + 4z = 2
x + y - z = 1
El primer paso en el método de Gauss es construir una matriz ampliada
a partir de un sistema de ecuaciones lineales ordenado, la cual
contendrá a los coeficientes de las variables y los términos
independientes de las ecuaciones separados por una recta.
L =
3 2 1 1
5 3 4 2
1 1 −1 1
3x + 2y + z = 1
5x + 3y + 4z = 2
x + y - z = 1
Al establecer la matriz ampliada se inicia con el proceso de reducción
por medio de operaciones elementales, con el objetivo de obtener una
matriz escalonada.
L =
3 2 1 1
5 3 4 2
1 1 −1 1
3 2 1 1
5 3 4 2
1 1 −1 1
1.10 - Tipos de solución de un sistema de ecuaciones
Un sistema de ecuaciones puede tener o no solución dependiendo del tipo
de sistema, estos se clasifican de la siguiente manera:
• Sistema incompatible(S.I): no tiene solución
• Sistema compatible: el sistema tiene soluciones y existen dos casos.
Sistema compatible determinado(S.C.D): tiene solución única
Sistema compatible indeterminado(S.C.I): tiene infinitas soluciones.
Sistema incompatible: no tiene solución.
Sistema compatible
Determinado: tiene solución
única o particular.
Indeterminado: tiene infinitas
soluciones.
1.10 - Tipos de solución de un sistema de ecuaciones
1.10 - Teorema de Rouché - Frobenius
Dado un sistema de ecuaciones lineales con 𝒏 incógnitas, a partir del cual
se obtienen la matriz ampliada 𝑴 y la matriz de coeficientes 𝑨, según el
rango de estas matrices se puede establecer el tipo de sistema.
1. Si 𝑟𝑔(𝑴) > 𝑟𝑔(𝑨) el sistema de ecuaciones es incompatible.
2. Si 𝑟𝑔 𝑴 = 𝑟𝑔 𝑨 = 𝒏 , el sistema de ecuaciones es compatible
determinado.
3. Si 𝑟𝑔 𝑴 = 𝑟𝑔 𝑨 < 𝒏 , el sistema de ecuaciones es compatible
indeterminado.
Ejemplo del Teorema de Rouché - Frobenius
1 1 −1 1
0 1 −4 2
0 0 1 1
M =
1 1 −1 1
0 1 −4 2
0 0 1 1
𝐴 =
1 1 −1
0 1 −4
0 0 1
2) Sistema Compatible Determinado (una única solución) si y sólo si la forma
escalonada de la matriz ampliada del sistema M y la forma escalonada de la
matriz de coeficientes A tienen el mismo número de elementos principales y
además es igual al número de incógnitas del sistema.
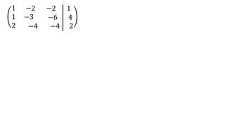
Resolver el siguiente sistema de ecuaciones y establecer que tipo de sistema es
según el Teorema de Rouché – Frobenius.
x - 2y - 2z = 1
x - 3y - 6z = 4
2x - 4y - 4z = 2
1 −2 −2 1
1 −3 −6 4
2 −4 −4 2
1 −2 −2 1
1 −3 −6 4
0 0 0 0
1 −2 −2 1
0 −1 −4 3
0 0 0 0
1 −2 −2 1
0 1 4 −3
0 0 0 0
𝐴 =
1 −2 −2
0 1 4
0 0 0
1 −2 −2 1
0 1 4 −3
0 0 0 0
3) Sistema compatible indeterminado (infinitas soluciones) si y sólo si la forma
escalonada de la matriz ampliada del sistema M y la forma escalonada de la
matriz de coeficientes A tienen el mismo número de elementos principales pero
es menor que el número de incógnitas del sistema.
Resolver el siguiente sistema de ecuaciones y establecer que tipo de sistema es
según el Teorema de Rouché – Frobenius.
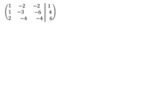
x - 2y - 2z = 1
x - 3y - 6z = 4
2x - 4y - 4z = 6
1 −2 −2 1
1 −3 −6 4
2 −4 −4 6
1 −2 −2 1
1 −3 −6 4
0 0 0 4
1 −2 −2 1
0 −1 −4 3
0 0 0 4
1 −2 −2 1
0 1 4 −3
0 0 0 4
𝐴 =
1 −2 −2
0 1 4
0 0 0
1 −2 −2 1
0 1 4 −3
0 0 0 1
1) Sistema Incompatible (sin solución) si y sólo si la forma escalonada de la
matriz ampliada M del sistema tiene un elemento principal mas que la forma
escalonada de la matriz de coeficientes A.
x - 2y - 2z = 1
x - 3y - 6z = 4
2x - 4y - 5z = 6
1 −2 −2 1
0 1 4 −3
0 0 6 1
Cuando el numero de escalones de “M” y “A” coinciden
con el número de variables, el sistema es compatible
determinado.
x + y + z = 1
x + ky + 2z = 5
kx + y + z = 1
Resolver el siguiente sistema de ecuaciones y discutir el resultado en
función de los valores del parámetro k.
1
1 1
1
k
1 5
2
1
k 1
1
1 1 1 1
1 𝑘 2 5
𝑘 1 1 1
𝐹2 − 𝐹1
1 1 1 1
𝑘 1 1 1
0 K-1 1 4
1 1 1 1
𝑘 1 1 1
0 K-1 1 4
0 k -1 1 4
k 1 1 1
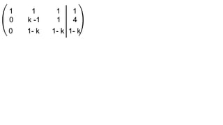
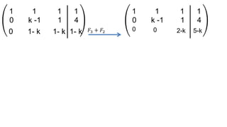
1 1 1 1
𝐹3 − 𝑘𝐹1
0 k -1 1 4
1 1 1 1
0 1-k 1-k 1- k
0 k -1 1 4
1 1 1 1
0 1- k 1- k 1- k
0 k -1 1 4
1 1 1 1
0 1- k 1- k 1- k
Tienen signo contrario, por lo tanto
al efectuar la suma 𝐹3 + 𝐹2 se anulan.
0 k -1 1 4
1 1 1 1
0 1- k 1- k 1- k
0 k -1 1 4
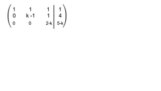
1 1 1 1
0 1- k 1- k 1- k 𝐹3 + 𝐹2
0 k -1 1 4
1 1 1 1
0 0 2-k 5-k
0 k -1 1 4
1 1 1 1
0 0 2-k 5-k
0 k -1 1 4
1 1 1 1
0 0 2-k 5-k
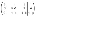
2 - k 5 - k
K - 1
K = 1
Evalúo cada valor de “k” en la matriz escalonada obtenida para establecer
que tipo de soluciones se obtienen para cada valor de “k”.
0 k -1 1 4
1 1 1 1
0 0 2-k 5-k
0 1 4
1 1 1 1
0 0
0
1 4
0 1 4
1 1 1 1
0 0
0
0 0
3) Sistema compatible indeterminado (infinitas soluciones) si y sólo si la forma
escalonada de la matriz ampliada del sistema M y la forma escalonada de la
matriz de coeficientes A tienen el mismo número de elementos principales pero
es menos que el número de incógnitas del sistema.
K = 2
0 k -1 1 4
1 1 1 1
0 0 2-k 5-k
0 1 4
1 1 1 1
0 0
1
0 3
1) Sistema Incompatible (sin solución) si y sólo si la forma escalonada de la
matriz ampliada M del sistema tiene un elemento principal mas que la forma
escalonada de la matriz de coeficientes A.
K = 5
0 k -1 1 4
1 1 1 1
0 0 2-k 5-k
0 -1 1 4
1 1 1 1
0 0 2 - 5 -
5
5 5
0 1 4
1 1 1 1
0 0
4
-3 0
0 1 4
1 1 1 1
0 0
4
-3 0
2) Sistema Compatible Determinado (una única solución) si y sólo si la forma
escalonada de la matriz ampliada del sistema M y la forma escalonada de la
matriz de coeficientes A tienen el mismo número de elementos principales y
además es igual al número de incógnitas del sistema.
𝑥 − 𝑦 = 𝑎
𝑥 + 𝑎2𝑧 = 2𝑎 + 1
𝑥 − 𝑦 + 𝑎(𝑎 − 1)𝑧 = 2𝑎
Resolver el siguiente sistema de ecuaciones y discutir el resultado en
función de los valores del parámetro 𝑎.
El determinante de una matriz A se utiliza en diversos procedimientos
de matrices, por ejemplo para obtener el rango de una matriz, obtener
una matriz inversa, resolver sistemas de ecuaciones, entre otros. El
determinante de una matriz puede obtenerse solo si la matriz es
cuadrada. La notación del determinante de una matriz A sería la
siguiente:
det(A) = |A|
1.11 - Determinante de una matriz
Para matrices de dimensiones 2X2, el determinante se puede obtener
aplicando el método de Sarrus, el cual consiste en lo siguiente:
H =
5 −8
1 2
F =
−3/4 1
7 −16
Importante: para matrices de dimensiones
3X3, los métodos mas utilizados para
calcular determinante son el método de
Sarrus(solo sirve hasta 3x3) y el método de
cofactores.
Calcular el determinante de esta matriz utilizando el método de
Sarrus.
El método de Sarrus puede hacerse de tres maneras, a
continuación se describe cada una.
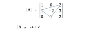
A =
1 0 2
1 −2 3
0 1 2
1era. Forma: repetir las primeras dos filas de la matriz
1 0 2
1 −2 3
0 1 2
A
A =
1 0 2
1 −2 3
0 1 2
=
1 0 2
1 -2 3
1 0 2
1 −2 3
0 1 2
A =
1 0 2
1 -2 3
Multiplico los términos de la
diagonales principales.
=
1 0 2
1 −2 3
0 1 2
A =
1 0 2
1 -2 3
Multiplico los términos de la diagonales
secundarias, los cuales serán
multiplicados por un signo menos y efectúo
la suma algebraica de todos los términos.
= - 4 + 2 + 0
A = - 5
1 0 2
1 −2 3
0 1 2
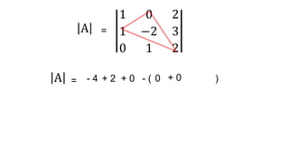
A =
2da. Forma: repetir las primeras dos columnas de la matriz
1 0 2
1 −2 3
0 1 2
A
A =
1 0 2
1 −2 3
0 1 2
=
1
1
0
0
−2
1
1 0 2
1 −2 3
0 1 2
A =
1
1
0
0
−2
1
Multiplico los términos de la
diagonales principales.
A =
1 0 2
1 −2 3
0 1 2
A =
1
1
0
0
−2
1
Multiplico los términos de la diagonales secundarias, los cuales serán
multiplicados por un signo menos y efectúo la suma algebraica de todos
los términos.
- 4 + 2
+ 0
A =
3era. Forma: consiste en multiplicar los términos de la matriz
de manera triangular a excepción de las diagonales
principales.
1 0 2
1 −2 3
0 1 2
A =
1 0 2
1 −2 3
0 1 2
A =
- 4
A =
1 0 2
1 −2 3
0 1 2
A =
- 4 + 2
A =
1 0 2
1 −2 3
0 1 2
A =
- 4 + 2
A = + 0
- ( )
1 0 2
1 −2 3
0 1 2
A =
- 4 + 2
A = + 0 0
- ( )
1 0 2
1 −2 3
0 1 2
A =
- 4 + 2
A = + 0 0 + 0
- ( )
1 0 2
1 −2 3
0 1 2
A =
- 4 + 2
A = + 0 0 + 0 + 3
A = - 5
Se llama adjunto 𝐀𝐢𝐣 del elemento 𝐚𝐢𝐣 a su menor complementario
anteponiendo:
• El signo es + si i + j es par.
• El signo es − si i + j es impar.
1.12 - Adjunto de un elemento
Aij = (−1)i+j
. Mij
Fila Columna
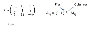
G =
−1 10 9
3 1 2
7 12 −4
Ejemplo: obtener los adjuntos 𝐴31, 𝐴33 y 𝐴21 de la siguiente matriz.
Aij = (−1)i+j.Mij
G =
−1 10 9
3 1 2
7 12 −4
𝐴31 =
Aij = (−1)i+j
. Mij
Fila Columna
G =
−1 10 9
3 1 2
7 12 −4
𝐴21 =
Aij = (−1)i+j
. Mij
Fila Columna
G =
−1 10 9
3 1 2
7 12 −4
𝐴33 =
Aij = (−1)i+j
. Mij
Fila Columna
1.13 - Propiedades de un Determinante
1. El determinante de una matriz cuadrada es igual al de su
traspuesta: 𝐴 = 𝐴𝑡 .
A =
2 0 −1
5
1
1/4
−2
−9
5
𝐴𝑡 =
2 5 1
0 1/4 −2
−1 −9 5
𝐴 = 𝐴𝑡
2-) El determinante de una matriz con dos filas o dos columnas
iguales es nulo.
A =
2 4 5
2
4
4
8
5
10
𝐴 = 0
3-) Cuando dos filas o dos columnas de una matriz son proporcionales
entre sí (una se puede obtener multiplicando la otra por un factor),
su determinante es cero.
A =
2 4 5
5
4
1/4
8
−9
10
𝐴 = 0
4-) El determinante de una matriz triangular o una matriz diagonal es igual
al producto de los elementos de su diagonal principal.
A =
2 4 5
0
0
4
0
−9
10
𝐴 = 2.4.10 = 80
B =
1 0 0
0
0
4
0
0
12
𝐴 = 1.4.12 = 48
5-) El determinante de un producto de matrices coincide con el producto de los
determinantes de cada matriz:|A.B| = |A|.|B|.
Ejemplo:
𝐴 =
1 −3
−4 6
𝐵 =
2 −5
6 8
𝐴. 𝐵 =
−16 −29
28 68
𝐴. 𝐵 =
−16 −29
28 68
= −276
𝐴 =
1 −3
−4 6
= −6 𝐵 =
2 −5
6 8
= 46
𝐴 . 𝐵 = −6 46 = −276
6-) Cuando una matriz tiene inversa, su determinante es distinto de cero;
análogamente, si el determinante de una matriz no es nulo, dicha matriz tiene inversa.
Ejemplos:
𝐴 =
1 −3
−4 6
1 −3
−4 6
= −6
El determinante de la matriz “A” es distinto de cero por lo tanto tiene inversa.
𝐵 =
1 −3
−3 9
1 −3
−3 9
= 0
El determinante de la matriz “B” es cero por lo tanto no tiene inversa.
7-) El determinante de la inversa de una matriz es igual al inverso del determinante de
la matriz.
Ejemplo:
𝐴 =
1 −3
−4 6
𝐴−1
=
−1 −1/2
−2/3 −1/6
𝐴 = −6 𝐴−1
= −1/6
Sea A una matriz cuadrada de dimensión n, la matriz inversa A−1 de A
viene dada por
𝐀−𝟏 =
𝑎𝑑𝑗(A) 𝑇
|A|
En donde |A| ≠ 0 y 𝑎𝑑𝑗(A) 𝑇
es la transpuesta de la matriz que contiene
todos los cofactores de A
Importante: este método es útil cuando se quiere conocer solo un
elemento de la matriz inversa sin necesidad de calcular toda la matriz
inversa. También es rápido para el cálculo de inversas de matrices 2x2.
1.14 - Matriz inversa por adjuntos cofactores
Dada la matriz A determinar A−1 utilizando cofactores.
𝐴 =
2 0 3
0 3 5
−1 1 0
Dada la matriz A determinar A−1 utilizando cofactores.
𝐴 =
1 3
−2 4
1.15 - Método de Cramer
La regla de Cramer se aplica para resolver sistemas de ecuaciones
lineales que cumplan las siguientes condiciones:
1 El número de ecuaciones es igual al número de incógnitas.
2 El determinante de la matriz de los coeficientes es distinto de cero.
Tales sistemas son sistemas compatibles determinados y se
denominan sistemas de Cramer.
¿En que consiste el método de Cramer?
A continuación se explicará paso a paso como resolver el siguiente
sistema de ecuaciones lineales aplicando el método de Cramer.
3x + 2y + z = 1
5x + 3y + 4z = 2
x + y - z = 1
Paso 1: calcular el determinante de la matriz que contendrá los coeficientes del
sistema dado, el determinante de dicha matriz se denotará con el símbolo “∆”.
3x + 2y + z = 1
5x + 3y + 4z = 2
x + y - z = 1
∆ =
3 2 1
5 3 4
1 1 −1
Paso 2: calcular el determinante “∆x” de la matriz que resulta de sustituir en la
matriz de coeficientes la columna que contiene los coeficientes de la variable
“x” por los términos independientes del sistema de ecuaciones, la matriz
obtenida se llamará .
3x + 2y + z = 1
5x + 3y + 4z = 2
x + y - z = 1
∆𝒙 =
1 2 1
2 3 4
1 1 −1
Paso 3: repetir el proceso anterior pero esta vez aplicando a los coeficientes de
la variable “y”.
3x + 2y + z = 1
5x + 3y + 4z = 2
x + y - z = 1
∆𝒚 =
3 1 1
5 2 4
1 1 −1
Paso 4: repetir el proceso anterior pero esta vez aplicando a los coeficientes de
la variable “z”.
3x + 2y + z = 1
5x + 3y + 4z = 2
x + y - z = 1
∆𝒛 =
3 2 1
5 3 2
1 1 1
∆𝒛 =
3 2 1
5 3 2
1 1 1
1.16 - Calculo del rango de una matriz por determinantes
El rango de una matriz se puede calcular usando determinantes tomando
en cuenta que el rango sería el orden de la mayor submatriz cuadrada no
nula.
Definición
Sea 𝑏𝜖𝑁, el rango de la matriz será mayor o igual a 𝑏 si existe alguna
submatriz cuadrada de orden 𝑏, tal que su determinante no sea nulo.
Los pasos a seguir para el cálculo del rango por determinantes se explican
a continuación.
• Descartamos las filas (o columnas) que cumplan con alguna de las
condiciones:
Todos sus coeficientes son ceros.
Hay dos filas (o columnas) iguales.
Una fila (o columna) es proporcional a otra.
Una fila (o columna) es combinación lineal de otras.
1.17 - Calculo del rango de una matriz por determinantes
• Si al menos un elemento de la matriz no es cero su determinante no será
nulo y, por tanto, el rango será mayor o igual a 1.
𝐴 =
1 −2 2
2 1 0
0 1 1
Calcular el rango de la siguiente matriz
𝐴 =
1 −2 2
2 1 0
2 −4 4
Calcular el rango de la siguiente matriz
𝐴 =
1 4 2
2 8 4
3 12 6
Calcular el rango de la siguiente matriz
Ejercicios final Unidad I
(Selectividad) Sea la matriz inversa 𝐴 =
1 −2 2
2 1 0
3 −2 2
y sea 𝐴−1
su matriz inversa.
Entonces el elemento 𝑎22 de la segunda fila y segunda columna de la matriz inversa
𝐴−1
es:
𝑎) 0
𝑏) − 1
𝑐) 1
(Selectividad) Sea la matriz 𝐴 =
2 1
−1 3
Entonces
𝑎) 𝐴2 =
4 1
1 9
𝑏) 𝐴2 =
4 1
−1 9
𝑐) 𝐴2 =
3 5
−5 8
(Selectividad) Elena, Pedro y Juan colocan diariamente hojas de propaganda sobre
los parabrisas de los coches aparcados en la calle. Pedro reparte siempre el 20 %
del total de la propaganda, Juan reparte 100 hojas más que Elena y entre Pedro y
Elena colocan 850 hojas en los parabrisas. Plantear un sistema de ecuaciones que
permita averiguar cuántas hojas reparten, respectivamente, Elena, Pedro y Juan y
calcular estos valores.
J - E = 100
P + E = 850
4P - J - E = 0
1-matrices-matematicasmatematicvvvvvvvas.pdf
1-matrices-matematicasmatematicvvvvvvvas.pdf
1-matrices-matematicasmatematicvvvvvvvas.pdf
1-matrices-matematicasmatematicvvvvvvvas.pdf
1-matrices-matematicasmatematicvvvvvvvas.pdf

1-matrices-matematicasmatematicvvvvvvvas.pdf

  • 2.
  • 3.
    Las matrices sonconjuntos de números o expresiones dispuestos en forma rectangular, formando filas y columnas. Para nombrar matrices se utilizan letras mayúsculas. Ejemplos: A = 6 6 −7 10 −5/2 3/4 1 4 −1 −20 0 9 1.1-) ¿Qué es una Matriz? 𝑃 = 2𝑎 𝑏 −7 10 −5/2 3/4 1 4 𝑥2 − 1 −20 0 9
  • 4.
    1.2-) Orden deuna matriz El orden de una matriz se refiere a las dimensiones de una matriz y se representa por medio del producto del número filas y el número de columnas de la matriz, si se desarrolla este producto el resultado sería la cantidad de elementos de la matriz. C = 2 0 −7 10 −5/2 3/4 1 4 0 −20 0 9
  • 5.
    Las matrices puedentener diferentes dimensiones. P = 2 0 −1 5 1/4 −9 J = 1 0 20 −10 3 1 N = 1 5 0 −1
  • 6.
    Un elemento sedistingue de otro por la posición que ocupa, es decir, la fila y la columna a la que pertenece. Para nombrar los elementos de una matriz se utilizan letras minúsculas que tendrán sub-índices para establecer la posición del elemento. ¿Cómo se distinguen los elementos de una matriz ? P = 2 0 −1 5 1/4 −9 Ejemplo:
  • 7.
    1.3 - Tiposde Matrices
  • 8.
    Una matriz filaestá constituida por una sola fila. 1.3.1 - Matriz fila. 𝐴 = 1 0 −2
  • 9.
    Una matriz columnaestá constituida por una sola columna. 1.3.2- Matriz columna. 𝐴 = 1/2 −9 0
  • 10.
    Dada una matrizA, se llama matriz traspuesta de A a la matriz que se obtiene cambiando ordenadamente las filas por las columnas. 1.3.3 - Matriz transpuesta A = 2 0 −1 5 1/4 −9 ; 𝐴𝑡 = 2 5 0 1/4 −1 −9 Ejemplo:
  • 11.
    J = 6 6−7 10 −5/2 3/4 1 4 −1 −20 0 9 Jt =?
  • 12.
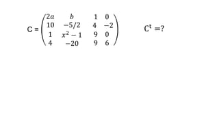
    C = 2𝑎 𝑏1 0 10 −5/2 4 −2 1 4 𝑥2 − 1 −20 9 0 9 6 Ct =?
  • 13.
    1.3.4 - MatrizNula En una matriz nula todos los elementos son ceros. 𝐴 = 0 0 0 0 0 0 ; 𝐵 = 0 0 0 0 0 0 Ejemplos: C = 0 0 0
  • 14.
    La matriz cuadradatiene el mismo número de filas que de columnas. 1.3.5 - Matriz Cuadrada A = 1 5 3 0 ; 𝐵 = 1 2 5 9 5 6 1 0 0
  • 15.
    1.3.6 - Matrizdiagonal Es una matriz cuadrada donde todos los elementos que no están situados en la diagonal principal son nulos. 𝐵 = 3 0 0 0 5 0 0 0 5 ; 𝐴 = 1 0 0 9 Ejemplos:
  • 16.
    1.3.7 - Matrizdiagonal Es una matriz diagonal donde todos los elementos de la diagonal principal son iguales. 𝐵 = 2 0 0 0 2 0 0 0 2 ; 𝐴 = 9 0 0 9 Ejemplos:
  • 17.
    1.3.8 - MatrizIdentidad Una matriz identidad es una matriz diagonal en la que los elementos de la diagonal principal son iguales a 1, generalmente se denota con la letra I, y se coloca un subíndice para indicar la dimensión de la matriz. 𝐼3 = 1 0 0 0 1 0 0 0 1 ; 𝐼2 = 1 0 0 1 Ejemplos:
  • 18.
    1.3.8 - MatrizIdentidad Importante: toda matriz multiplicada por la matriz identidad da como resultado la misma matriz . A = −3 0 6 0 4 7 0 0 1 Ejemplo: I = 1 0 0 0 1 0 0 0 1 A. I = −3 0 6 0 4 7 0 0 1 1 0 0 0 1 0 0 0 1 = −3 0 6 0 4 7 0 0 1
  • 19.
    Es una matrizdonde los elementos situados por debajo de la diagonal principal son ceros. 1.3.9 - Matriz triangular superior 𝐵 = 4 −1 9 0 1 1/2 0 0 1 ; 𝐴 = 1 7 0 1 Ejemplos:
  • 20.
    Es una matrizdonde los elementos situados por encima de la diagonal principal son ceros. 1.3.10 - Matriz triangular inferior 𝐵 = 4 0 0 −7 1 0 4 2 1 ; 𝐴 = 1 0 9 1 Ejemplos:
  • 21.
    Una Matriz Simétricaes aquella matriz cuadrada que es igual a su traspuesta. 1.3.11 - Matriz simétrica 𝐴 = 5 1 3 1 8 2 3 2 5 ; 𝐴𝑡 = 5 1 3 1 8 2 3 2 5 Ejemplos: 𝐵 = 3 −4 −4 3 ; 𝐵𝑡 = 3 −4 −4 3
  • 22.
    Matriz cuadrada quees igual a su transpuesta cambiada de signo y los elementos de la diagonal principal son solo ceros. 1.3.12 - Matriz Antisimétrica 𝐴 = 0 1 −8 −1 0 6 8 −6 0 ; 𝐴𝑡 = 0 −1 8 1 0 −6 −8 6 0 Ejemplos: B = 0 −5 5 0 𝐵𝑡 = 0 5 −5 0
  • 23.
    1.3.13 - MatrizOpuesta Una matriz opuesta es la que tiene todos los elementos de signo contrario a la matriz original. 𝐴 = 10 1 −8 −1 −7 6 11 −6 0 ; −𝐴 = −10 −1 8 1 7 −6 −11 6 0 Ejemplos: B = 0 −5 5 0 −𝐵= 0 5 −5 0
  • 24.
    1.3.14 - Matricesescalonadas Una matriz es escalonada si: 1-) El primer elemento no nulo (por la izquierda) de cada fila está a la derecha del primer elemento no nulo de la fila anterior, es decir, bajo el primer elemento no nulo de cada fila solo hay ceros. Este primer elemento no nulo se llama elemento principal. 2)- Las filas nulas, si hay, están bajo las otras filas. Importante: a partir de una matriz cualquiera, haciendo operaciones elementales, es posible obtener matrices escalonadas.
  • 25.
    Ejemplos de matricesescalonadas, el símbolo ∗ puede ser un número real cualquiera.
  • 26.
    Ejemplos de matricesescalonadas Importante: escalonar un matriz se utiliza en diversos procedimientos tales como: resolver ecuaciones por el método de Gauss, cálculo de matriz inversa, rango de una matriz entre otros.
  • 27.
    La Opuesta dela matriz 𝐴 = 4 0 −1 0 −2 1 es a) −4 0 0 2 1 −1 b) La matriz A no tiene opuesta c) Ninguna de las anteriores
  • 28.
    Una matriz 𝐴es escalar si se cumple que a) Los elementos no pertenecientes a la diagonal principal son iguales a 1. b) Es diagonal y los elementos de la diagonal son todos iguales c) Todos los elementos de la diagonal principal son 0
  • 29.
    1.3 - Tiposde Matrices
  • 32.
    1.4 - Operacionescon Matrices A = 0 1 −8 −1 0 6 8 −6 0 𝐵 = 3 −1 13 6 0 7 −8 6 9 𝐴 + 𝐵 = 0 + 3 1 − 1 −8 + 13 −1 + 6 0 7 + 6 8 − 8 −6 + 6 0 + 9
  • 33.
    1.4.1 - Sumade matrices A = 2 −1 3/4 0 B = 1/2 −5 1/8 5 A + B = ? -A + 4B = ? C = 4 −1 9 0 1 1/2 0 0 1 A + C
  • 34.
    A = 2 −1 3/40 B = 1/2 −5 1/8 5 A + B = ?
  • 36.
    A = 2 −1 3/40 B = 1/2 −5 1/8 5 -A + 2B = ?
  • 38.
    A = 2 −1 3/40 C = 4 −1 9 0 1 1/2 0 0 1 A + C
  • 39.
    • La sumade dos matrices de orden mxn da como resultado otra matriz de orden mxn. • Se cumple la propiedad asociativa de la suma. 𝐴 + (𝐵 + 𝐶) = (𝐴 + 𝐵) + 𝐶 • Elemento neutro: toda matriz que se le sume la matriz nula dará como resultado la misma matriz. 𝐴 + 𝑂 = 𝐴 Propiedades de la suma de matrices
  • 40.
    • Elemento opuesto:toda matriz que se le sume su matriz opuesta dará como resultado la matriz nula. 𝐴 + (−𝐴) = 𝑂 • Se cumpla la propiedad conmutativa: 𝐴 + 𝐵 = 𝐵 + 𝐴 Propiedades de la suma de matrices
  • 41.
    1.4.2 - Multiplicaciónde una matriz por un número real B = 1/2 −5 1/8 5 5 2 B = ?
  • 43.
    Dos matrices Ay B son multiplicables si el número de columnas de A coincide con el número de filas de B. A = 4 −1 9 0 1 1/2 0 0 1 B = 1 −5 7 8 0 1 3x3 3x2 1.4.3 - Multiplicación de Matrices
  • 44.
    Coinciden, por lotanto se puede efectuar la multiplicación A.B Sean dos matrices A y B, el producto A.B puede realizarse siempre y cuando el número de columnas de A coincide con el número de filas de B. A = 4 −1 9 0 1 1/2 0 0 1 B = 1 −5 7 8 0 1 3x3 3x2
  • 45.
    ¿ Cuáles seríanlas dimensiones de la matriz C que se obtiene al multiplicar las matrices A y B ? Las dimensiones de C serían el número de filas de la matriz A por el número de columnas de la matriz B. A = 4 −1 9 0 1 1/2 0 0 1 B = 1 −5 7 8 0 1 3x3 3x2
  • 46.
    ¿ Cuáles seríanlas dimensiones de la matriz C que se obtiene al multiplicar las matrices A y B ? Las dimensiones de la matriz C que se obtiene de efectuar el producto A.B serían. A = 4 −1 9 0 1 1/2 0 0 1 B = 1 −5 7 8 0 1 3x3 3x2 3x2 serán las dimensiones de la matriz C que se obtiene al efectuar la multiplicación A.B
  • 47.
    ¿ Cuáles seríanlas dimensiones de la matriz C que se obtiene al multiplicar las matrices A y B ? A = 4 −1 9 0 1 1/2 0 0 1 B = 1 −5 7 8 0 1 3x3 3x2
  • 48.
    ¿Cómo se efectuaríala multiplicación de matrices A.B? Los elementos 𝒄𝒊𝒋 de la matriz C que se obtienen al multiplicar las matrices A y B se obtienen multiplicando los elementos de cada fila de la matriz A por los elementos de cada columna de la matriz B, los resultados obtenidos de cada multiplicación se suman de forma algebraica.
  • 49.
    La multiplicación A.Bsería: A = 4 −1 9 0 1 1/2 0 0 1 B = 1 −5 7 8 0 1
  • 50.
    La multiplicación A.Bsería: A = 4 −1 9 0 1 1/2 0 0 1 B = 1 −5 7 8 0 1 P = 𝑝11 𝑝12 𝑝21 𝑝22 𝑝31 𝑝32
  • 52.
    • Propiedad asociativa 𝐴.𝐵. 𝐶 = (𝐴. 𝐵). 𝐶 • Elemento neutro: toda matriz A multiplicada por la matriz identidad dará como resultado la misma matriz A. 𝐴. 𝐼 = 𝐴 • La multiplicación de matrices no es conmutativa 𝐴. 𝐵 ≠ 𝐵. 𝐴 • Propiedad distributiva 𝐴 𝐵 + 𝐶 = 𝐴. 𝐵 + 𝐴. 𝐶 Propiedades de la multiplicación de matrices
  • 53.
    Efectuar las siguientesmultiplicaciones de matrices: A = 1 −2 0 5 8 10 B = 1/2 −4 1 5 12 10 C = 1 −5 7 12 A.B = ? A.C = ? B.C = ?
  • 54.
    A = 1 −20 5 8 10 B = 1/2 −4 1 5 12 10 A.B = ?
  • 56.
    C = 1 −5 712 B.C = ? B = 1/2 −4 1 5 12 10
  • 59.
    Una empresa constructoraha vendido en enero 4 pisos y dos naves industriales. Y en febrero 2 pisos y 1 nave industrial. El precio de los pisos en enero era de 150.000€ y el de las naves industriales 200.000 mientras que en febrero estos precios bajaron un 5% en el caso de los pisos y un 10% las naves industriales. Escribir las matrices que representan las unidades vendidas en enero y febrero (A) y los precios de venta de las mismas (B). Calcular los elementos de la diagonal de la matriz A por B y dar su significado.
  • 62.
    Clara trabaja comotelefonista en una empresa de lunes a viernes entre las nueve de la mañana y las dos de la tarde. Además, cuida de un bebé de cuatro a siete de la tarde los lunes, miércoles y viernes y es mecanógrafa en un bufete de abogados los martes y jueves de cinco a nueve. 1. Escribir la matriz que expresa el número de horas que dedica a cada actividad a lo largo de los días de la semana. 2. Si le pagan 9 euros por hora como telefonista, 7 euros por cada hora que cuida al bebé y 12 euros por hora por su trabajo como mecanógrafa, expresar matricialmente los ingresos diarios de Clara.
  • 65.
    1.5 - Métodode Gauss.
  • 66.
    El método degauss consiste en convertir una matriz cualquiera en una matriz escalonada, este método es útil para determinar el rango de una matriz, resolver un sistema de ecuaciones lineales o calcular la inversa de una matriz. A continuación se describen las operaciones algebraicas del método de Gauss que pueden aplicarse para obtener una matriz escalonada. 1.5 - Método de Gauss.
  • 67.
    Operaciones válidas paraescalonar una matriz • Se pueden intercambiar entre si dos filas. • Se pueden multiplicar o dividir por un número distinto de cero todos los elementos de una fila. • A una fila se le puede sumar o restar otra fila. • A una fila se le puede sumar o restar otra fila multiplicada por un número distinto de cero.
  • 68.
    • No sepueden sumar o restar columnas. • Para resolver sistemas de ecuaciones se pueden intercambiar las columnas de la matriz ampliada que contiene los coeficientes de las variables pero estas columnas no se pueden intercambiar con la columna que contiene los términos independientes. Importante: Al intercambiar columnas cambia el orden de las variables
  • 69.
    Convertir la siguientematriz en una matriz estrictamente escalonada 𝐴 = 4 −1 9 2 4 6 −1 0 5 𝐴 = 1 ⋯ ⋯ 0 1 ⋯ 0 0 1
  • 70.
    𝐴 = 4 −19 2 4 6 −1 0 5
  • 73.
    1.6 - Rangode una Matriz
  • 74.
    Llamamos rango dela matriz 𝑨 y anotamos 𝒓(𝑨) ó 𝒓𝒈(𝑨) al número de líneas de esa matriz (filas o columnas) que son linealmente independientes. El rango de una matriz puede obtenerse por el método de Gauss o por determinantes. 1.6 - Rango de una Matriz
  • 75.
    Determinar el rangode las siguientes matrices 2 2 1 2 6 −1 4 4 1 1 2 −3 4 3 6 Si se aplica el método de Gauss para calcular el rango de una matriz, el número de escalones sería el rango de la matriz.
  • 76.
    2 2 1 26 −1 4 4 1
  • 78.
    2 2 1 26 −1 4 4 2
  • 80.
  • 83.
    Sea A unamatriz cuadrada de orden n. Diremos que 𝐀−𝟏 es la matriz inversa de A, cuando se cumple el siguiente producto. 1.7 - Matriz Inversa A · 𝐀−𝟏 = 𝐀−𝟏 · A = I Una manera de calcular la matriz inversa es por el método de Gauss- Jordan, en el cual se utilizan las mismas operaciones del método de Gauss pero con el objetivo de obtener una matriz identidad. Otra manera de calcularla sería por medio de la matriz de adjuntos.
  • 84.
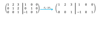
    Calcular la inversade la siguiente matriz A = 1 2 3 0 1 2 1 2 4
  • 85.
    El primer pasoes construir una matriz ampliada la cual contiene a la matriz 𝑨 y la matriz identidad, tal como se muestra a continuación. 1 2 3 0 1 2 1 2 4 1 0 0 0 1 0 0 0 1
  • 86.
    Posteriormente por mediode operaciones elementales se transforma la matriz ampliada de tal manera que la matriz identidad quede del lado opuesto a como estaba inicialmente y lo que se obtenga del otro lado de la recta será la matriz inversa. 1 0 0 0 1 0 0 0 1
  • 87.
    1 2 3 01 2 1 2 4 1 0 0 0 1 0 0 0 1
  • 88.
    1 2 3 01 2 1 0 0 0 1 0 𝐹3 - 𝐹1 1 2 3 0 1 2 1 2 4 1 0 0 0 1 0 0 0 1
  • 89.
    1 2 3 01 2 0 0 1 1 0 0 0 1 0 −1 0 1
  • 90.
    1 2 3 01 2 0 0 1 1 0 0 0 1 0 −1 0 1 𝐹2 - 2𝐹3 1 2 3 0 0 1 1 0 0 −1 0 1
  • 91.
    1 2 3 01 0 0 0 1 1 0 0 2 1 −2 −1 0 1
  • 92.
    1 2 3 01 0 0 0 1 1 0 0 2 1 −2 −1 0 1 𝐹1 - 3𝐹3 0 1 0 0 0 1 2 1 −2 −1 0 1
  • 93.
    1 2 0 01 0 0 0 1 4 0 −3 2 1 −2 −1 0 1
  • 94.
    1 2 0 01 0 0 0 1 4 0 −3 2 1 −2 −1 0 1 𝐹1 - 2𝐹2 0 1 0 0 0 1 2 1 −2 −1 0 1
  • 95.
    1 0 0 01 0 0 0 1 0 −2 1 2 1 −2 −1 0 1
  • 96.
    0 −2 1 21 −2 −1 0 1 𝐀−𝟏 =
  • 97.
    Calcular la inversade la siguiente matriz A = 2 1 1 −1
  • 98.
  • 101.
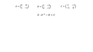
    1.8 - EcuacionesMatriciales Una ecuación matricial es una ecuación cuya incógnita es una matriz. Para poder resolver una ecuación matricial, tendremos que sumar, restar y multiplicar matrices y calcular matrices inversas. Ejemplo: Dadas las matrices 𝐴, 𝐵 y 𝐶, resolver el sistema 𝐴 = 2 0 1 −1 𝐵 = 1 −3 2 −1 𝐶 = 1 −1 −1 0 𝑋 ∙ 𝐴−1 − 𝐵 = 𝐶
  • 102.
    𝐴 = 2 0 1−1 𝐵 = 1 −3 2 −1 𝐶 = 1 −1 −1 0 𝑋 ∙ 𝐴−1 − 𝐵 = 𝐶
  • 104.
    𝐴 = 1 0 −11 ; 𝐵 = 0 −1 −1 −1 ; 𝐶 = 1 1 1 1 𝐴𝑋 + 𝐵 = 𝐶
  • 106.
    Resolver el siguientesistema de ecuaciones matriciales 𝐴 = 1 −3 −2 −8 𝐵 = 8 3 4 −1 ቊ 𝑋 − 2𝑌 = 𝐴 2𝑋 − 𝑌 = 𝐵
  • 108.
    Resolver el siguientesistema de ecuaciones matriciales 𝐴 = 1 −1 0 2 1 2 𝐵 = 0 −1 2 1 1 2 ቊ 𝑋 − 𝑌 = 𝐴 𝑋 + 2𝑌 = 𝐵
  • 111.
    1.8 - Resoluciónde sistemas de ecuaciones Lineales por el método de Gauss El método de Gauss también es utilizado para resolver problemas matemáticos que pueden ser interpretados por medio de ecuaciones lineales(ecuaciones que tienen variables con exponente 1). A continuación se describen los pasos para resolver un sistema de ecuaciones lineales aplicando el método de Gauss.
  • 112.
    Resolver el siguientesistema de ecuaciones aplicando el método de Gauss. 3x + 2y + z = 1 5x + 3y + 4z = 2 x + y - z = 1
  • 113.
    El primer pasoen el método de Gauss es construir una matriz ampliada a partir de un sistema de ecuaciones lineales ordenado, la cual contendrá a los coeficientes de las variables y los términos independientes de las ecuaciones separados por una recta. L = 3 2 1 1 5 3 4 2 1 1 −1 1 3x + 2y + z = 1 5x + 3y + 4z = 2 x + y - z = 1
  • 114.
    Al establecer lamatriz ampliada se inicia con el proceso de reducción por medio de operaciones elementales, con el objetivo de obtener una matriz escalonada. L = 3 2 1 1 5 3 4 2 1 1 −1 1
  • 115.
    3 2 11 5 3 4 2 1 1 −1 1
  • 118.
    1.10 - Tiposde solución de un sistema de ecuaciones Un sistema de ecuaciones puede tener o no solución dependiendo del tipo de sistema, estos se clasifican de la siguiente manera: • Sistema incompatible(S.I): no tiene solución • Sistema compatible: el sistema tiene soluciones y existen dos casos. Sistema compatible determinado(S.C.D): tiene solución única Sistema compatible indeterminado(S.C.I): tiene infinitas soluciones.
  • 119.
    Sistema incompatible: notiene solución. Sistema compatible Determinado: tiene solución única o particular. Indeterminado: tiene infinitas soluciones. 1.10 - Tipos de solución de un sistema de ecuaciones
  • 120.
    1.10 - Teoremade Rouché - Frobenius Dado un sistema de ecuaciones lineales con 𝒏 incógnitas, a partir del cual se obtienen la matriz ampliada 𝑴 y la matriz de coeficientes 𝑨, según el rango de estas matrices se puede establecer el tipo de sistema. 1. Si 𝑟𝑔(𝑴) > 𝑟𝑔(𝑨) el sistema de ecuaciones es incompatible. 2. Si 𝑟𝑔 𝑴 = 𝑟𝑔 𝑨 = 𝒏 , el sistema de ecuaciones es compatible determinado. 3. Si 𝑟𝑔 𝑴 = 𝑟𝑔 𝑨 < 𝒏 , el sistema de ecuaciones es compatible indeterminado.
  • 121.
    Ejemplo del Teoremade Rouché - Frobenius 1 1 −1 1 0 1 −4 2 0 0 1 1
  • 122.
    M = 1 1−1 1 0 1 −4 2 0 0 1 1 𝐴 = 1 1 −1 0 1 −4 0 0 1 2) Sistema Compatible Determinado (una única solución) si y sólo si la forma escalonada de la matriz ampliada del sistema M y la forma escalonada de la matriz de coeficientes A tienen el mismo número de elementos principales y además es igual al número de incógnitas del sistema.
  • 123.
    Resolver el siguientesistema de ecuaciones y establecer que tipo de sistema es según el Teorema de Rouché – Frobenius. x - 2y - 2z = 1 x - 3y - 6z = 4 2x - 4y - 4z = 2
  • 124.
    1 −2 −21 1 −3 −6 4 2 −4 −4 2
  • 125.
    1 −2 −21 1 −3 −6 4 0 0 0 0
  • 126.
    1 −2 −21 0 −1 −4 3 0 0 0 0
  • 127.
    1 −2 −21 0 1 4 −3 0 0 0 0
  • 128.
    𝐴 = 1 −2−2 0 1 4 0 0 0 1 −2 −2 1 0 1 4 −3 0 0 0 0 3) Sistema compatible indeterminado (infinitas soluciones) si y sólo si la forma escalonada de la matriz ampliada del sistema M y la forma escalonada de la matriz de coeficientes A tienen el mismo número de elementos principales pero es menor que el número de incógnitas del sistema.
  • 129.
    Resolver el siguientesistema de ecuaciones y establecer que tipo de sistema es según el Teorema de Rouché – Frobenius. x - 2y - 2z = 1 x - 3y - 6z = 4 2x - 4y - 4z = 6
  • 130.
    1 −2 −21 1 −3 −6 4 2 −4 −4 6
  • 131.
    1 −2 −21 1 −3 −6 4 0 0 0 4
  • 132.
    1 −2 −21 0 −1 −4 3 0 0 0 4
  • 133.
    1 −2 −21 0 1 4 −3 0 0 0 4
  • 134.
    𝐴 = 1 −2−2 0 1 4 0 0 0 1 −2 −2 1 0 1 4 −3 0 0 0 1 1) Sistema Incompatible (sin solución) si y sólo si la forma escalonada de la matriz ampliada M del sistema tiene un elemento principal mas que la forma escalonada de la matriz de coeficientes A.
  • 135.
    x - 2y- 2z = 1 x - 3y - 6z = 4 2x - 4y - 5z = 6
  • 136.
    1 −2 −21 0 1 4 −3 0 0 6 1 Cuando el numero de escalones de “M” y “A” coinciden con el número de variables, el sistema es compatible determinado.
  • 137.
    x + y+ z = 1 x + ky + 2z = 5 kx + y + z = 1 Resolver el siguiente sistema de ecuaciones y discutir el resultado en función de los valores del parámetro k.
  • 138.
  • 139.
    1 1 11 1 𝑘 2 5 𝑘 1 1 1 𝐹2 − 𝐹1 1 1 1 1 𝑘 1 1 1 0 K-1 1 4
  • 140.
    1 1 11 𝑘 1 1 1 0 K-1 1 4
  • 141.
    0 k -11 4 k 1 1 1 1 1 1 1 𝐹3 − 𝑘𝐹1 0 k -1 1 4 1 1 1 1 0 1-k 1-k 1- k
  • 142.
    0 k -11 4 1 1 1 1 0 1- k 1- k 1- k
  • 143.
    0 k -11 4 1 1 1 1 0 1- k 1- k 1- k Tienen signo contrario, por lo tanto al efectuar la suma 𝐹3 + 𝐹2 se anulan.
  • 144.
    0 k -11 4 1 1 1 1 0 1- k 1- k 1- k
  • 145.
    0 k -11 4 1 1 1 1 0 1- k 1- k 1- k 𝐹3 + 𝐹2 0 k -1 1 4 1 1 1 1 0 0 2-k 5-k
  • 146.
    0 k -11 4 1 1 1 1 0 0 2-k 5-k
  • 147.
    0 k -11 4 1 1 1 1 0 0 2-k 5-k 2 - k 5 - k K - 1
  • 148.
    K = 1 Evalúocada valor de “k” en la matriz escalonada obtenida para establecer que tipo de soluciones se obtienen para cada valor de “k”. 0 k -1 1 4 1 1 1 1 0 0 2-k 5-k
  • 149.
    0 1 4 11 1 1 0 0 0 1 4
  • 150.
    0 1 4 11 1 1 0 0 0 0 0 3) Sistema compatible indeterminado (infinitas soluciones) si y sólo si la forma escalonada de la matriz ampliada del sistema M y la forma escalonada de la matriz de coeficientes A tienen el mismo número de elementos principales pero es menos que el número de incógnitas del sistema.
  • 151.
    K = 2 0k -1 1 4 1 1 1 1 0 0 2-k 5-k
  • 152.
    0 1 4 11 1 1 0 0 1 0 3 1) Sistema Incompatible (sin solución) si y sólo si la forma escalonada de la matriz ampliada M del sistema tiene un elemento principal mas que la forma escalonada de la matriz de coeficientes A.
  • 153.
    K = 5 0k -1 1 4 1 1 1 1 0 0 2-k 5-k 0 -1 1 4 1 1 1 1 0 0 2 - 5 - 5 5 5 0 1 4 1 1 1 1 0 0 4 -3 0
  • 154.
    0 1 4 11 1 1 0 0 4 -3 0 2) Sistema Compatible Determinado (una única solución) si y sólo si la forma escalonada de la matriz ampliada del sistema M y la forma escalonada de la matriz de coeficientes A tienen el mismo número de elementos principales y además es igual al número de incógnitas del sistema.
  • 155.
    𝑥 − 𝑦= 𝑎 𝑥 + 𝑎2𝑧 = 2𝑎 + 1 𝑥 − 𝑦 + 𝑎(𝑎 − 1)𝑧 = 2𝑎 Resolver el siguiente sistema de ecuaciones y discutir el resultado en función de los valores del parámetro 𝑎.
  • 159.
    El determinante deuna matriz A se utiliza en diversos procedimientos de matrices, por ejemplo para obtener el rango de una matriz, obtener una matriz inversa, resolver sistemas de ecuaciones, entre otros. El determinante de una matriz puede obtenerse solo si la matriz es cuadrada. La notación del determinante de una matriz A sería la siguiente: det(A) = |A| 1.11 - Determinante de una matriz
  • 160.
    Para matrices dedimensiones 2X2, el determinante se puede obtener aplicando el método de Sarrus, el cual consiste en lo siguiente: H = 5 −8 1 2 F = −3/4 1 7 −16
  • 161.
    Importante: para matricesde dimensiones 3X3, los métodos mas utilizados para calcular determinante son el método de Sarrus(solo sirve hasta 3x3) y el método de cofactores.
  • 162.
    Calcular el determinantede esta matriz utilizando el método de Sarrus. El método de Sarrus puede hacerse de tres maneras, a continuación se describe cada una. A = 1 0 2 1 −2 3 0 1 2
  • 163.
    1era. Forma: repetirlas primeras dos filas de la matriz 1 0 2 1 −2 3 0 1 2 A A = 1 0 2 1 −2 3 0 1 2 = 1 0 2 1 -2 3
  • 164.
    1 0 2 1−2 3 0 1 2 A = 1 0 2 1 -2 3 Multiplico los términos de la diagonales principales. =
  • 165.
    1 0 2 1−2 3 0 1 2 A = 1 0 2 1 -2 3 Multiplico los términos de la diagonales secundarias, los cuales serán multiplicados por un signo menos y efectúo la suma algebraica de todos los términos. = - 4 + 2 + 0
  • 166.
    A = -5 1 0 2 1 −2 3 0 1 2 A =
  • 167.
    2da. Forma: repetirlas primeras dos columnas de la matriz 1 0 2 1 −2 3 0 1 2 A A = 1 0 2 1 −2 3 0 1 2 = 1 1 0 0 −2 1
  • 168.
    1 0 2 1−2 3 0 1 2 A = 1 1 0 0 −2 1 Multiplico los términos de la diagonales principales. A =
  • 169.
    1 0 2 1−2 3 0 1 2 A = 1 1 0 0 −2 1 Multiplico los términos de la diagonales secundarias, los cuales serán multiplicados por un signo menos y efectúo la suma algebraica de todos los términos. - 4 + 2 + 0 A =
  • 170.
    3era. Forma: consisteen multiplicar los términos de la matriz de manera triangular a excepción de las diagonales principales. 1 0 2 1 −2 3 0 1 2 A =
  • 171.
    1 0 2 1−2 3 0 1 2 A = - 4 A =
  • 172.
    1 0 2 1−2 3 0 1 2 A = - 4 + 2 A =
  • 173.
    1 0 2 1−2 3 0 1 2 A = - 4 + 2 A = + 0
  • 174.
    - ( ) 10 2 1 −2 3 0 1 2 A = - 4 + 2 A = + 0 0
  • 175.
    - ( ) 10 2 1 −2 3 0 1 2 A = - 4 + 2 A = + 0 0 + 0
  • 176.
    - ( ) 10 2 1 −2 3 0 1 2 A = - 4 + 2 A = + 0 0 + 0 + 3 A = - 5
  • 177.
    Se llama adjunto𝐀𝐢𝐣 del elemento 𝐚𝐢𝐣 a su menor complementario anteponiendo: • El signo es + si i + j es par. • El signo es − si i + j es impar. 1.12 - Adjunto de un elemento Aij = (−1)i+j . Mij Fila Columna
  • 178.
    G = −1 109 3 1 2 7 12 −4 Ejemplo: obtener los adjuntos 𝐴31, 𝐴33 y 𝐴21 de la siguiente matriz. Aij = (−1)i+j.Mij
  • 179.
    G = −1 109 3 1 2 7 12 −4 𝐴31 = Aij = (−1)i+j . Mij Fila Columna
  • 180.
    G = −1 109 3 1 2 7 12 −4 𝐴21 = Aij = (−1)i+j . Mij Fila Columna
  • 181.
    G = −1 109 3 1 2 7 12 −4 𝐴33 = Aij = (−1)i+j . Mij Fila Columna
  • 182.
    1.13 - Propiedadesde un Determinante 1. El determinante de una matriz cuadrada es igual al de su traspuesta: 𝐴 = 𝐴𝑡 . A = 2 0 −1 5 1 1/4 −2 −9 5 𝐴𝑡 = 2 5 1 0 1/4 −2 −1 −9 5 𝐴 = 𝐴𝑡
  • 183.
    2-) El determinantede una matriz con dos filas o dos columnas iguales es nulo. A = 2 4 5 2 4 4 8 5 10 𝐴 = 0
  • 184.
    3-) Cuando dosfilas o dos columnas de una matriz son proporcionales entre sí (una se puede obtener multiplicando la otra por un factor), su determinante es cero. A = 2 4 5 5 4 1/4 8 −9 10 𝐴 = 0
  • 185.
    4-) El determinantede una matriz triangular o una matriz diagonal es igual al producto de los elementos de su diagonal principal. A = 2 4 5 0 0 4 0 −9 10 𝐴 = 2.4.10 = 80 B = 1 0 0 0 0 4 0 0 12 𝐴 = 1.4.12 = 48
  • 186.
    5-) El determinantede un producto de matrices coincide con el producto de los determinantes de cada matriz:|A.B| = |A|.|B|. Ejemplo: 𝐴 = 1 −3 −4 6 𝐵 = 2 −5 6 8 𝐴. 𝐵 = −16 −29 28 68 𝐴. 𝐵 = −16 −29 28 68 = −276 𝐴 = 1 −3 −4 6 = −6 𝐵 = 2 −5 6 8 = 46 𝐴 . 𝐵 = −6 46 = −276
  • 187.
    6-) Cuando unamatriz tiene inversa, su determinante es distinto de cero; análogamente, si el determinante de una matriz no es nulo, dicha matriz tiene inversa. Ejemplos: 𝐴 = 1 −3 −4 6 1 −3 −4 6 = −6 El determinante de la matriz “A” es distinto de cero por lo tanto tiene inversa. 𝐵 = 1 −3 −3 9 1 −3 −3 9 = 0 El determinante de la matriz “B” es cero por lo tanto no tiene inversa.
  • 188.
    7-) El determinantede la inversa de una matriz es igual al inverso del determinante de la matriz. Ejemplo: 𝐴 = 1 −3 −4 6 𝐴−1 = −1 −1/2 −2/3 −1/6 𝐴 = −6 𝐴−1 = −1/6
  • 189.
    Sea A unamatriz cuadrada de dimensión n, la matriz inversa A−1 de A viene dada por 𝐀−𝟏 = 𝑎𝑑𝑗(A) 𝑇 |A| En donde |A| ≠ 0 y 𝑎𝑑𝑗(A) 𝑇 es la transpuesta de la matriz que contiene todos los cofactores de A Importante: este método es útil cuando se quiere conocer solo un elemento de la matriz inversa sin necesidad de calcular toda la matriz inversa. También es rápido para el cálculo de inversas de matrices 2x2. 1.14 - Matriz inversa por adjuntos cofactores
  • 190.
    Dada la matrizA determinar A−1 utilizando cofactores. 𝐴 = 2 0 3 0 3 5 −1 1 0
  • 193.
    Dada la matrizA determinar A−1 utilizando cofactores. 𝐴 = 1 3 −2 4
  • 196.
    1.15 - Métodode Cramer La regla de Cramer se aplica para resolver sistemas de ecuaciones lineales que cumplan las siguientes condiciones: 1 El número de ecuaciones es igual al número de incógnitas. 2 El determinante de la matriz de los coeficientes es distinto de cero. Tales sistemas son sistemas compatibles determinados y se denominan sistemas de Cramer.
  • 197.
    ¿En que consisteel método de Cramer? A continuación se explicará paso a paso como resolver el siguiente sistema de ecuaciones lineales aplicando el método de Cramer. 3x + 2y + z = 1 5x + 3y + 4z = 2 x + y - z = 1
  • 198.
    Paso 1: calcularel determinante de la matriz que contendrá los coeficientes del sistema dado, el determinante de dicha matriz se denotará con el símbolo “∆”. 3x + 2y + z = 1 5x + 3y + 4z = 2 x + y - z = 1
  • 199.
    ∆ = 3 21 5 3 4 1 1 −1
  • 200.
    Paso 2: calcularel determinante “∆x” de la matriz que resulta de sustituir en la matriz de coeficientes la columna que contiene los coeficientes de la variable “x” por los términos independientes del sistema de ecuaciones, la matriz obtenida se llamará . 3x + 2y + z = 1 5x + 3y + 4z = 2 x + y - z = 1
  • 201.
    ∆𝒙 = 1 21 2 3 4 1 1 −1
  • 202.
    Paso 3: repetirel proceso anterior pero esta vez aplicando a los coeficientes de la variable “y”. 3x + 2y + z = 1 5x + 3y + 4z = 2 x + y - z = 1
  • 203.
    ∆𝒚 = 3 11 5 2 4 1 1 −1
  • 204.
    Paso 4: repetirel proceso anterior pero esta vez aplicando a los coeficientes de la variable “z”. 3x + 2y + z = 1 5x + 3y + 4z = 2 x + y - z = 1 ∆𝒛 = 3 2 1 5 3 2 1 1 1
  • 205.
    ∆𝒛 = 3 21 5 3 2 1 1 1
  • 208.
    1.16 - Calculodel rango de una matriz por determinantes El rango de una matriz se puede calcular usando determinantes tomando en cuenta que el rango sería el orden de la mayor submatriz cuadrada no nula. Definición Sea 𝑏𝜖𝑁, el rango de la matriz será mayor o igual a 𝑏 si existe alguna submatriz cuadrada de orden 𝑏, tal que su determinante no sea nulo. Los pasos a seguir para el cálculo del rango por determinantes se explican a continuación.
  • 209.
    • Descartamos lasfilas (o columnas) que cumplan con alguna de las condiciones: Todos sus coeficientes son ceros. Hay dos filas (o columnas) iguales. Una fila (o columna) es proporcional a otra. Una fila (o columna) es combinación lineal de otras. 1.17 - Calculo del rango de una matriz por determinantes • Si al menos un elemento de la matriz no es cero su determinante no será nulo y, por tanto, el rango será mayor o igual a 1.
  • 210.
    𝐴 = 1 −22 2 1 0 0 1 1 Calcular el rango de la siguiente matriz
  • 213.
    𝐴 = 1 −22 2 1 0 2 −4 4 Calcular el rango de la siguiente matriz
  • 215.
    𝐴 = 1 42 2 8 4 3 12 6 Calcular el rango de la siguiente matriz
  • 218.
  • 220.
    (Selectividad) Sea lamatriz inversa 𝐴 = 1 −2 2 2 1 0 3 −2 2 y sea 𝐴−1 su matriz inversa. Entonces el elemento 𝑎22 de la segunda fila y segunda columna de la matriz inversa 𝐴−1 es: 𝑎) 0 𝑏) − 1 𝑐) 1
  • 225.
    (Selectividad) Sea lamatriz 𝐴 = 2 1 −1 3 Entonces 𝑎) 𝐴2 = 4 1 1 9 𝑏) 𝐴2 = 4 1 −1 9 𝑐) 𝐴2 = 3 5 −5 8
  • 234.
    (Selectividad) Elena, Pedroy Juan colocan diariamente hojas de propaganda sobre los parabrisas de los coches aparcados en la calle. Pedro reparte siempre el 20 % del total de la propaganda, Juan reparte 100 hojas más que Elena y entre Pedro y Elena colocan 850 hojas en los parabrisas. Plantear un sistema de ecuaciones que permita averiguar cuántas hojas reparten, respectivamente, Elena, Pedro y Juan y calcular estos valores.
  • 235.
    J - E= 100 P + E = 850 4P - J - E = 0