Incrustar presentación
Descargar para leer sin conexión















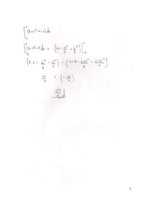
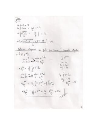
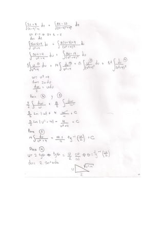
La alumna Claudia Hernández del programa de Ingeniería en la Universidad Fermín Toro realizó ejercicios de Matemática II bajo la supervisión del profesor Domingo Méndez. Este documento se enmarca en el contexto académico de la facultad.














