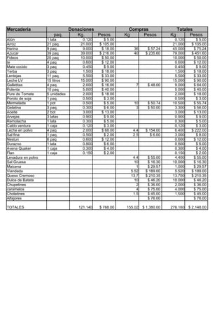
Mercadería                       Donaciones                 Compras                Totales
                       paq.         Kg.     Pesos         Kg     Pesos          Kg       Pesos
Atún                1 lata            0.120      $ 5.00                           0.120       $ 5.00
Arroz               21 paq.          21.000   $ 105.00                           21.000    $ 105.00
Harina              9 paq.            9.000    $ 18.00       36      $ 57.24     45.000     $ 75.24
Azucar              39 paq           39.000   $ 216.00       40     $ 235.60     79.000    $ 451.60
Fideos              20 paq           10.000    $ 50.00                           10.000     $ 50.00
te                  4 paq             0.600    $ 12.00                            0.600     $ 12.00
Mate cocido         3 paq             0.450      $ 9.00                           0.450       $ 9.00
Yerba               3 paq             1.500    $ 18.00                            1.500     $ 18.00
Lentejas            11 paq.           5.500    $ 33.00                            5.500     $ 33.00
Leche LV            15 litros        15.000    $ 90.00                           15.000     $ 90.00
Galletitas          4 paq.            2.000    $ 16.00        7      $ 48.00      9.000     $ 64.00
Polenta             10 paq            5.000    $ 40.00                            5.000     $ 40.00
Pure de Tomate      5 unidades        2.000    $ 18.00                            2.000     $ 18.00
Poroto de soja      1 paq.            0.500      $ 3.00                           0.500       $ 3.00
Mermelada           1 pot             0.500      $ 5.00      10      $ 50.74     10.500     $ 55.74
Gelatina            3 paq.            0.300      $ 6.00       3      $ 50.00      3.300     $ 56.00
Aceite              2 bot             3.000    $ 13.00                            3.000     $ 13.00
Arvejas             3 latas           0.900      $ 9.00                           0.900       $ 9.00
Remolacha           1 lata            0.300      $ 5.00                           0.300       $ 5.00
Caldo verdura       1 caja            0.120      $ 3.00                           0.120       $ 3.00
Leche en polvo      4 paq             2.000    $ 68.00       4.4    $ 154.00      6.400    $ 222.00
Sal fina            1 paq.            0.500      $ 2.00      2.5       $ 6.00     3.000       $ 8.00
Nestun              6 paq             0.600    $ 12.00                            0.600     $ 12.00
Durazno             1 lata            0.800      $ 6.00                           0.800       $ 6.00
Avena Quaker        1 caja            0.300      $ 4.00                           0.300       $ 4.00
Flan                1 caja            0.150      $ 2.00                           0.150       $ 2.00
Levadura en polvo                                            4.4     $ 55.00      4.400     $ 55.00
Sal Gruesa                                                    10     $ 16.30     10.000     $ 16.30
Maicena                                                        1     $ 29.57      1.000     $ 29.57
Viandada                                                    5.52    $ 189.00      5.520    $ 189.00
Queso Cremoso                                               13.7    $ 210.35     13.700    $ 210.35
Dulce de Batata                                               10     $ 46.20     10.000     $ 46.20
Chupetines                                                     2     $ 36.00      2.000     $ 36.00
caramelos                                                      4     $ 75.00      4.000     $ 75.00
Cholatines                                                   1.5     $ 45.00      1.500     $ 45.00
Alfajores                                                            $ 76.00                $ 76.00

TOTALES                             121.140   $ 768.00    155.02   $ 1,380.00   276.160   $ 2,148.00

Inventario mercaderia

  • 1.
    Mercadería Donaciones Compras Totales paq. Kg. Pesos Kg Pesos Kg Pesos Atún 1 lata 0.120 $ 5.00 0.120 $ 5.00 Arroz 21 paq. 21.000 $ 105.00 21.000 $ 105.00 Harina 9 paq. 9.000 $ 18.00 36 $ 57.24 45.000 $ 75.24 Azucar 39 paq 39.000 $ 216.00 40 $ 235.60 79.000 $ 451.60 Fideos 20 paq 10.000 $ 50.00 10.000 $ 50.00 te 4 paq 0.600 $ 12.00 0.600 $ 12.00 Mate cocido 3 paq 0.450 $ 9.00 0.450 $ 9.00 Yerba 3 paq 1.500 $ 18.00 1.500 $ 18.00 Lentejas 11 paq. 5.500 $ 33.00 5.500 $ 33.00 Leche LV 15 litros 15.000 $ 90.00 15.000 $ 90.00 Galletitas 4 paq. 2.000 $ 16.00 7 $ 48.00 9.000 $ 64.00 Polenta 10 paq 5.000 $ 40.00 5.000 $ 40.00 Pure de Tomate 5 unidades 2.000 $ 18.00 2.000 $ 18.00 Poroto de soja 1 paq. 0.500 $ 3.00 0.500 $ 3.00 Mermelada 1 pot 0.500 $ 5.00 10 $ 50.74 10.500 $ 55.74 Gelatina 3 paq. 0.300 $ 6.00 3 $ 50.00 3.300 $ 56.00 Aceite 2 bot 3.000 $ 13.00 3.000 $ 13.00 Arvejas 3 latas 0.900 $ 9.00 0.900 $ 9.00 Remolacha 1 lata 0.300 $ 5.00 0.300 $ 5.00 Caldo verdura 1 caja 0.120 $ 3.00 0.120 $ 3.00 Leche en polvo 4 paq 2.000 $ 68.00 4.4 $ 154.00 6.400 $ 222.00 Sal fina 1 paq. 0.500 $ 2.00 2.5 $ 6.00 3.000 $ 8.00 Nestun 6 paq 0.600 $ 12.00 0.600 $ 12.00 Durazno 1 lata 0.800 $ 6.00 0.800 $ 6.00 Avena Quaker 1 caja 0.300 $ 4.00 0.300 $ 4.00 Flan 1 caja 0.150 $ 2.00 0.150 $ 2.00 Levadura en polvo 4.4 $ 55.00 4.400 $ 55.00 Sal Gruesa 10 $ 16.30 10.000 $ 16.30 Maicena 1 $ 29.57 1.000 $ 29.57 Viandada 5.52 $ 189.00 5.520 $ 189.00 Queso Cremoso 13.7 $ 210.35 13.700 $ 210.35 Dulce de Batata 10 $ 46.20 10.000 $ 46.20 Chupetines 2 $ 36.00 2.000 $ 36.00 caramelos 4 $ 75.00 4.000 $ 75.00 Cholatines 1.5 $ 45.00 1.500 $ 45.00 Alfajores $ 76.00 $ 76.00 TOTALES 121.140 $ 768.00 155.02 $ 1,380.00 276.160 $ 2,148.00