1
SEMESTRE
2
SEMESTRE
Gastos 1 Trimestre
2
Trimestre 3 Trimestre
4
Trimestre Totales
Promedi
o
Tanto %
sobre total
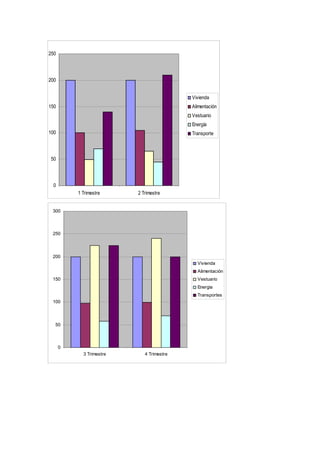
Vivienda 200 200 200 200 800 200 28,6
Alimentación 100 105 98 99 402 100,5 14,4
Vestuario 49 65 225 240 579 144,75 20,7
Energía 70 45 58 70 243 60,75 8,7
Transportes 140 210 225 200 775 193,75 27,7
TOTALES 559 625 806 809 2799 699,75 100,0
0
50
100
150
200
250
1 Trimestre 2 Trimestre
Vivienda
Alimentación
Vestuario
Energía
Transporte
0
50
100
150
200
250
300
3 Trimestre 4 Trimestre
Vivienda
Alimentación
Vestuario
Energia
Transportes

Lu 3 2

  • 1.
    1 SEMESTRE 2 SEMESTRE Gastos 1 Trimestre 2 Trimestre3 Trimestre 4 Trimestre Totales Promedi o Tanto % sobre total Vivienda 200 200 200 200 800 200 28,6 Alimentación 100 105 98 99 402 100,5 14,4 Vestuario 49 65 225 240 579 144,75 20,7 Energía 70 45 58 70 243 60,75 8,7 Transportes 140 210 225 200 775 193,75 27,7 TOTALES 559 625 806 809 2799 699,75 100,0
  • 2.
    0 50 100 150 200 250 1 Trimestre 2Trimestre Vivienda Alimentación Vestuario Energía Transporte 0 50 100 150 200 250 300 3 Trimestre 4 Trimestre Vivienda Alimentación Vestuario Energia Transportes