Incrustar presentación
Descargar para leer sin conexión


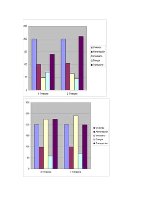
Este documento presenta un cuadro con los gastos realizados por trimestre durante dos semestres. Los mayores gastos fueron en transportes con un 27.7% del total, seguido de vestuario con un 20.7% y vivienda con un 28.6%. La alimentación representó el gasto menor con un 14.4% del total.

