Incrustar presentación
Descargar para leer sin conexión



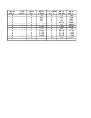
El documento lista colores, números y valores asociados con tres bandas de colores y una tolerancia de color. Luego proporciona los colores observados en cada banda para 11 lecturas diferentes junto con sus valores numéricos y una tolerancia de valor.

