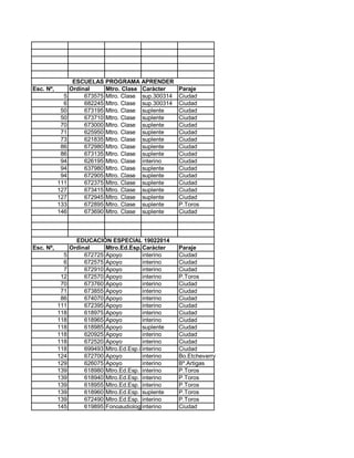
Esc. Nº,
1
2
2
2
2
2
2
2
2
2
2
2
2
2
2
8
144
144
144
145
145
145
145

Esc. Nº,
4
6
9
13
53
61
124
132
155

Esc. Nº,

ESCUELAS DE PRÀCTICA
Ordinal
Mtro.clase Caràcter
672305 Mtro.clase
interino
673740 Mtro.clase
interino
672350 Mtro.clase
interino
674000 Mtro.clase
interino
672475 Mtro.clase
interino
672460 Mtro.clase
interino
672455 Mtro.clase
interino
672955 Mtro.clase
interino
672355 Mtro.clase
interino
672260 Mtro.clase
interino
672265 Mtro.clase
interino
673450 Mtro.clase
interino
672495 Mtro.clase
interino
681155 Mtro.clase
interino
672255 Mtro.clase
interino
674055 Mtro.clase
suplente
673835 Mtro.clase
suplente
681535 Mtro.clase
sup.300314
673915 Mtro.clase
suplente
678740 Mtro.clase
suplente
673925 Mtro.clase
suplente
672450 Mtro.clase
suplente

Paraje
Ciudad
Ciudad
Ciudad
Ciudad
Ciudad
Ciudad
Ciudad
Ciudad
Ciudad
Ciudad
Ciudad
Ciudad
Ciudad
Ciudad
Ciudad
Ciudad
Ciudad
Lima Gancio
Ciudad
Ciudad
Ciudad
Ciudad

EDUCACIÒN INICIAL
Ordinal
Mtro.Ed.Ini, Caràcter
672325 Mtro.Ed.Ini, interino
672765 Mtro.Ed.Ini, suplente
678030 Mtro.Ed.Ini, suplente
627305 Mtro.Ed.Ini, suplente
678245 Mtro.Ed.Ini, interino
678255 Mtro.Ed.Ini, suplente
672815 Mtro.Ed.Ini, suplente
672220 Mtro.Ed.Ini, interino
683215 Mtro.Ed.Ini, suplente

Paraje
Achar
Ciudad
Ciudad
Ciudad
Sauce Batovì
C:Caraguatà
B.Etcheverry
Ciudad
Tambores

ESCUELAS DE TIEMPO COMPLETO
Ordinal
Mtro.clase Caràcter
112
620605 Mtro.clase
suplente
122
673055 Mtro.clase
interino
137
675245 Mtro.clase
suplente

Paraje
P.Toros
Las Toscas
Ciudad
5
6
50
50
70
71
73
86
86
94
94
94
111
127
127
133
146

ESCUELAS PROGRAMA APRENDER
Ordinal
Mtro. Clase Caràcter
673575 Mtro. Clase sup.300314
682245 Mtro. Clase sup.300314
673195 Mtro. Clase suplente
673710 Mtro. Clase suplente
673000 Mtro. Clase suplente
625950 Mtro. Clase suplente
621835 Mtro. Clase suplente
672980 Mtro. Clase suplente
673135 Mtro. Clase suplente
626195 Mtro. Clase interino
637980 Mtro. Clase suplente
672905 Mtro. Clase suplente
672375 Mtro. Clase suplente
673415 Mtro. Clase suplente
672945 Mtro. Clase suplente
672895 Mtro. Clase suplente
673690 Mtro. Clase suplente

Paraje
Ciudad
Ciudad
Ciudad
Ciudad
Ciudad
Ciudad
Ciudad
Ciudad
Ciudad
Ciudad
Ciudad
Ciudad
Ciudad
Ciudad
Ciudad
P.Toros
Ciudad

5
6
7
12
70
71
86
111
118
118
118
118
118
118
124
129
139
139
139
139
139
145

EDUCACIÒN ESPECIAL 19022014
Ordinal
Mtro.Ed.Esp. Caràcter
672725 Apoyo
interino
672575 Apoyo
interino
672910 Apoyo
interino
672570 Apoyo
interino
673760 Apoyo
interino
673855 Apoyo
interino
674070 Apoyo
interino
672395 Apoyo
interino
618975 Apoyo
interino
618965 Apoyo
interino
618985 Apoyo
suplente
620925 Apoyo
interino
672520 Apoyo
interino
699493 Mtro.Ed.Esp.interino
interino
672700 Apoyo
interino
626075 Apoyo
interino
618980 Mtro.Ed.Esp. interino
618940 Mtro.Ed.Esp. interino
618955 Mtro.Ed.Esp. interino
618960 Mtro.Ed.Esp. suplente
672490 Mtro.Ed.Esp. interino
619895 Fonoaudiolog interino

Paraje
Ciudad
Ciudad
Ciudad
P.Toros
Ciudad
Ciudad
Ciudad
Ciudad
Ciudad
Ciudad
Ciudad
Ciudad
Ciudad
Ciudad
Bo.Etcheverry
Bº.Artigas
P.Toros
P.Toros
P.Toros
P.Toros
P.Toros
Ciudad

Esc. Nº,

Esc. Nº,
146
147
148
149

672550
673750
697871
672535

Apoyo
Apoyo
Apoyo
Apoyo

interino
interino
interino
interino

Ciudad
S.Gregorio
P.Toros
Ciudad

Cargos

  • 1.
    Esc. Nº, 1 2 2 2 2 2 2 2 2 2 2 2 2 2 2 8 144 144 144 145 145 145 145 Esc. Nº, 4 6 9 13 53 61 124 132 155 Esc.Nº, ESCUELAS DE PRÀCTICA Ordinal Mtro.clase Caràcter 672305 Mtro.clase interino 673740 Mtro.clase interino 672350 Mtro.clase interino 674000 Mtro.clase interino 672475 Mtro.clase interino 672460 Mtro.clase interino 672455 Mtro.clase interino 672955 Mtro.clase interino 672355 Mtro.clase interino 672260 Mtro.clase interino 672265 Mtro.clase interino 673450 Mtro.clase interino 672495 Mtro.clase interino 681155 Mtro.clase interino 672255 Mtro.clase interino 674055 Mtro.clase suplente 673835 Mtro.clase suplente 681535 Mtro.clase sup.300314 673915 Mtro.clase suplente 678740 Mtro.clase suplente 673925 Mtro.clase suplente 672450 Mtro.clase suplente Paraje Ciudad Ciudad Ciudad Ciudad Ciudad Ciudad Ciudad Ciudad Ciudad Ciudad Ciudad Ciudad Ciudad Ciudad Ciudad Ciudad Ciudad Lima Gancio Ciudad Ciudad Ciudad Ciudad EDUCACIÒN INICIAL Ordinal Mtro.Ed.Ini, Caràcter 672325 Mtro.Ed.Ini, interino 672765 Mtro.Ed.Ini, suplente 678030 Mtro.Ed.Ini, suplente 627305 Mtro.Ed.Ini, suplente 678245 Mtro.Ed.Ini, interino 678255 Mtro.Ed.Ini, suplente 672815 Mtro.Ed.Ini, suplente 672220 Mtro.Ed.Ini, interino 683215 Mtro.Ed.Ini, suplente Paraje Achar Ciudad Ciudad Ciudad Sauce Batovì C:Caraguatà B.Etcheverry Ciudad Tambores ESCUELAS DE TIEMPO COMPLETO Ordinal Mtro.clase Caràcter 112 620605 Mtro.clase suplente 122 673055 Mtro.clase interino 137 675245 Mtro.clase suplente Paraje P.Toros Las Toscas Ciudad
  • 2.
    5 6 50 50 70 71 73 86 86 94 94 94 111 127 127 133 146 ESCUELAS PROGRAMA APRENDER Ordinal Mtro.Clase Caràcter 673575 Mtro. Clase sup.300314 682245 Mtro. Clase sup.300314 673195 Mtro. Clase suplente 673710 Mtro. Clase suplente 673000 Mtro. Clase suplente 625950 Mtro. Clase suplente 621835 Mtro. Clase suplente 672980 Mtro. Clase suplente 673135 Mtro. Clase suplente 626195 Mtro. Clase interino 637980 Mtro. Clase suplente 672905 Mtro. Clase suplente 672375 Mtro. Clase suplente 673415 Mtro. Clase suplente 672945 Mtro. Clase suplente 672895 Mtro. Clase suplente 673690 Mtro. Clase suplente Paraje Ciudad Ciudad Ciudad Ciudad Ciudad Ciudad Ciudad Ciudad Ciudad Ciudad Ciudad Ciudad Ciudad Ciudad Ciudad P.Toros Ciudad 5 6 7 12 70 71 86 111 118 118 118 118 118 118 124 129 139 139 139 139 139 145 EDUCACIÒN ESPECIAL 19022014 Ordinal Mtro.Ed.Esp. Caràcter 672725 Apoyo interino 672575 Apoyo interino 672910 Apoyo interino 672570 Apoyo interino 673760 Apoyo interino 673855 Apoyo interino 674070 Apoyo interino 672395 Apoyo interino 618975 Apoyo interino 618965 Apoyo interino 618985 Apoyo suplente 620925 Apoyo interino 672520 Apoyo interino 699493 Mtro.Ed.Esp.interino interino 672700 Apoyo interino 626075 Apoyo interino 618980 Mtro.Ed.Esp. interino 618940 Mtro.Ed.Esp. interino 618955 Mtro.Ed.Esp. interino 618960 Mtro.Ed.Esp. suplente 672490 Mtro.Ed.Esp. interino 619895 Fonoaudiolog interino Paraje Ciudad Ciudad Ciudad P.Toros Ciudad Ciudad Ciudad Ciudad Ciudad Ciudad Ciudad Ciudad Ciudad Ciudad Bo.Etcheverry Bº.Artigas P.Toros P.Toros P.Toros P.Toros P.Toros Ciudad Esc. Nº, Esc. Nº,
  • 3.