9-107-S21
R E V : M A Y 1 1 , 2 0 1 0
F . A S Í S M A R T Í N E Z - J E R E Z
R O S A R I O M A R T Í N E Z D E A L B O R N O Z
Hala Madrid: Dirigiendo el Club de fútbol Real
Madrid, el equipo del siglo
Introducción
En Junio de 2004, Carlos Martínez de Albornoz, gerente general corporativo de Real Madrid, un
equipo de fútbol líder español, estaba revisando el presupuesto del club para el periodo 2004-05 como
preparación para la conferencia de prensa que su presidente, Florentino Pérez, tenía programada.
En los dos años anteriores, ciertos miembros de la prensa española habían vaticinado una
catástrofe financiera para el Real Madrid luego de que el Club firmara contratos con el delantero
Ronaldo y la estrella británica Beckham. Sin embargo, luego de la elección de Florentino como
presidente en 20001 el equipo ganó varios títulos oficiales, incluyendo dos Ligas españolas y una Liga
Europea de Campeones, y el Real Madrid se había convertido en uno de los clubes de fútbol más
ricos del mundo. A pesar de estos éxitos, los pobres resultados obtenidos durante los dos últimos
meses de la temporada 2003-042 (incluyendo la eliminación de la Liga Europea de Campeones y la
derrota en cinco partidos consecutivos durante el torneo nacional) habían dejado a los ejecutivos,
jugadores y seguidores con un sabor amargo justo cuando Florentino estaba preparándose para
buscar la reelección. El desafío del presupuesto 2004-05 había sido incluir el costo por la adquisición
de los dos jugadores nuevos que recuperarían el apoyo de los aficionados del equipo al mismo
tiempo que se evitaban los excesos que casi causaron la bancarrota del equipo antes de la llegada de
Florentino.
Martínez de Albornoz, pensaba sobre las decisiones a tomar durante el proceso de planeación
sabiendo que la prensa cuestionaría a Florentino sobre tales decisiones durante su entrevista cara a
cara. Los periodistas disfrutaban especulando sobre cuántos jugadores más adquiriría el equipo3 y
quién sería la próxima estrella que se uniría a la “galaxia” del Real Madrid. A pesar de que la prensa
1 Salvo en contadas excepciones, usualmente se hace referencia a Florentino Pérez como Florentino tanto por la prensa como en
conversaciones públicas.
2 La temporada oficial de fútbol en España es entre fines de agosto y fines de mayo. El año fiscal para los clubes de fútbol
comienza el 1 de julio.
3 El club había anunciado recientemente la adquisición de Walter Samuel por 25 millones de Euros, el defensor de A.S. Roma y
la selección argentina de fútbol.
107-S21 Hala Madrid: Dirigiendo el Club de futbol Real Madrid, el equipo del siglo
2
se refería al Real Madrid como una organización con recursos ilimitados, la dirección del equipo
sabía que cualquier despilfarro les ocasionaría algunos problemas.
Historia del Club – Real Madrid, el Mito
Cuando un grupo de aficionados al fútbol fundó el Madrid Foot Ball Club en 1902, no eran
concientes de que se convertiría algún día en una leyenda. En 1920 fue rebautizado como Real
Madrid F.C. cuando el rey Alfonso XII le otorgó el título Real” al Club. El 23 de diciembre de 2000, la
FIFA (Fédération Internationale de Football Association) eligió al Real Madrid como “El mejor Club
del siglo XX.” Ningún otro club había obtenido tantos títulos: 9 Copas Europeas4, el título más
codiciado del fútbol europeo, 3 Copas Intercontinentales, 29 títulos de la Liga española, 17 Copas
Españolas, 2 copas UEFA5, 1 Súper Copa Europea, y al menos otros 30 títulos más.
El estadio del Club, bautizado Santiago Bernabéu en honor a su presidente más carismático, fue
considerado por muchos la catedral del fútbol mundial. Su mística era rivalizada únicamente por el
Maracaná (Río de Janeiro, Brasil) u Old Trafford (Manchester, Reino Unido).
El mito de Real Madrid comenzó en la década de 1950 cuando el equipo ganó cinco Copas
Europeas consecutivas, una hazaña sin precedentes en la historia del fútbol. Luego de ganar su sexta
Copa Europea en 1966, el equipo continuó disfrutando del éxito, pero no al mismo nivel. Durante esa
misma época nacieron las dinastías deportivas como Ajax Ámsterdam, Bayern Munich y A.C. Milan.
El Real Madrid ganó su séptima y octava Copas Europeas en 1998 y 2000, pero en aquellos
momentos el club estaba al borde de la bancarrota. Un nuevo liderazgo llegó para hacerse cargo
cuando en el verano de 2000 los socios eligieron a Florentino Pérez como presidente.
La Crisis de la Década de 1990
A fines de la década de 1990, el costo total de los jugadores de fútbol había alcanzado cifras
récord.6 Tres factores contribuyeron al incremento en el costo de los jugadores:
• El aumento en los ingresos por los derechos de TV
• Mayor inversión de fortunas personales en los clubes de fútbol, como Agnelli y Berlusconi en
Italia o Al Fayed en Reino Unido
• La llamada ley Bosman, que transformó el mercado europeo de jugadores de fútbol en un
mercado de agentes libres7
5 Union of the European Football Association.
6 Por ejemplo, en 1999 el Club Real Madrid pagó $35 millones de dólares al Arsenal por el delantero Nicholas Anelka, y el Inter
pagó $50 millones de dólares por Christian Vieri.
7 Jean-Marc Bosman fue un jugador profesional de fútbol que en 1990 demandó a su club, RC Liège, así como a la Federación
de Fútbol de Bélgica y a la UEFA por suspender su pase a un club de fútbol francés a pesar de que su contrato había vencido.
La corte nacional dictó que el caso era de la competencia de la Unión Europea. La Corte de Justicia Europea (ECJ) dictaminó en
1995 que los jugadores de fútbol eran iguales a cualquier otro profesional y anularon dos cláusulas de la UEFA: (1) La
limitación del número de jugadores extranjeros en un equipo de hasta tres jugadores de países no europeos, y dos jugadores de
países europeos: y (2) el derecho de los equipos para retener a un jugador en su nómina aún después de la terminación de su
contrato. Este dictamen convirtió al mercado europeo de jugadores de fútbol en un mercado de agentes libres. Los jugadores
de fútbol comenzaron a tomar el control de sus propios destinos conforme sus contratos finalizaban y los equipos de fútbol de
la Unión Europea no tenían limitaciones para contratar a jugadores de la Unión Europea. (Neil Merrick, “Euro ruling kicks up
soccer transfer fuss,” People Management, 25 de enero de 1996, Pág. 12: “UEFA Booked for obstruction,” Business Europe, 12 de
febrero de 1996, Pág. 5.)
Hala Madrid: Dirigiendo el Club de futbol Real Madrid, el equipo del siglo 107-S21
3
En este contexto, los equipos más exitosos fueron aquellos con mayores recursos financieros. Las
disputas por los mejores jugadores, impulsadas por la disponibilidad de nuevas fuentes de ingresos,
llevó a muchos equipos a poner su futuro en riesgo al endeudarse en exceso o al vender patrocinios y
derechos de TV por adelantado para financiar la adquisición de los jugadores. Sin embargo, para
algunos clubes, las nuevas fuentes de ingreso que se suponía serían una bendición, no resultaron tan
buenas.8 Real Madrid era uno de los clubes afectados y en 2000 ya había vendido la mayoría de sus
derechos de TV y patrocinios a futuro, y tenía una deuda neta equivalente a los ingresos de dos
temporadas u ocho veces el capital del club (véase Anexo 1).9
Florentino Pérez: La Modernización del Real Madrid
En la opinión de muchos el presidente recién elegido del Real Madrid había heredado una
situación difícil que requería una solución rápida y efectiva.10 Esto se logró con la venta de la
“Ciudad Deportiva,” el campo de entrenamiento del equipo ubicado en un área de negocios
exclusiva del norte de Madrid. El dinero obtenido permitió a Florentino “limpiar la casa”—saldar
toda su deuda, recomprar los palcos del estadio, recomprar algunos contratos de publicidad,
contratar a la mega estrella portuguesa Luis Figo, e iniciar la construcción de un nuevo complejo
deportivo en los suburbios, Ciudad del Real Madrid.11 Además, Florentino realizó una completa
renovación y modernización del sistema de administración del Real Madrid.
Florentino describió su visión:
Para garantizar un futuro sostenible de fortaleza financiera y éxito deportivo, el Club tenía
que ser exitoso en tres iniciativas estratégicas:
1. “Profesionalizar” el equipo directivo.
2. Explotar el enorme valor de la marca Real Madrid y la imagen de los jugadores para
aumentar los ingresos, lo que permitiría al Club competir en un nuevo entorno donde las
cuestiones financieras eran cada vez más relevantes.
3. Imponer disciplina financiera para asegurar que el equipo no excedería sus límites. Un
factor clave para esta disciplina fue limitar los gastos en jugadores. Con la nueva
estrategia de los Zidanes & Pavones, el Real Madrid contrataría a una estrella por año y
se concentraría en el desarrollo de jugadores a través de sus fuerzas básicas o cantera.
8 Clifford Coonan, “Germany ponders clubs TV bail-out,” ESPM soccernet, 2 de abril de 2002,
http//www.soccernet.com/Europe/news/2002/0402/20020404gerkirch.html.
9 Real Madrid C.F. Informe anual 2000, Notas sobre los balances consolidados 11 y 18.
10 José Félix Díaz, “Florentino Pérez: ‘Fichar a los mejores es barato,’” 31 de diciembre de 2001, Diario Marca,
http://www.marca.es/edicion/noticia/0,2458,91852,00.html.
11 La “Ciudad del Real Madrid” es un desarrollo de 120 ha. (300 acres) ubicado en el área de expansión de Madrid. Sus planos
incluyen infraestructura para el entrenamiento de todos los equipos de Real Madrid, un área de entretenimiento, un centro de
medicina deportiva, y un centro de convenciones. La construcción de la Ciudad del Real Madrid comenzó el 12 de mayo de
2004.
107-S21 Hala Madrid: Dirigiendo el Club de futbol Real Madrid, el equipo del siglo
4
La “Profesionalización” del Equipo Directivo
El Real Madrid era una organización sin fines de lucro propiedad de sus socios; su estructura de
propiedad se asemejaba a la de las asociaciones civiles, como las compañías cooperativas de
seguros.12 Los socios tenían dos derechos principales: entradas especiales para juegos de la
temporada regular y participación en la elección del presidente del Club (que debía ser, además, un
socio). En el caso de una contingencia financiera, la ley española exigía que el club se convirtiera en
una sociedad anónima, y que sus acciones pudieran ser subastadas al público.
El presidente y su consejo directivo, renovado cada cuatro años, definían los objetivos
organizacionales y monitoreaban a la dirección. Martínez de Albornoz comentó que “antes de la
gestión de Florentino, no había una dirección clara de las responsabilidades de la dirección y que el
consejo directivo interfería con las operaciones cotidianas del Club. El sistema de remuneración de los
empleados replicaba el de los jugadores e incluía un sueldo base, más un bono que dependía de los
resultados del equipo, independientemente del puesto y de las responsabilidades. Los gerentes de
nivel intermedio, eran contratados sin considerar ningún tipo de políticas formales de recursos
humanos.”
Florentino declaraba una y otra vez que la clave de la transformación del Real Madrid sería la
modernización de su equipo directivo.13 Primero, reestructuró la organización en cuatro unidades
principales que correspondían a sus prioridades estratégicas (véase el Anexo 2). La Unidad de la
Presidencia, que era la responsable del estadio, y la Unidad de Marketing, que era la responsable de
la marca, tenían asignado el incremento en la generación de ingresos. La misión de la División
Corporativa era inculcar la disciplina financiera necesaria en toda la compañía, enfocándose
primordialmente en la división deportiva que incurría en la mayoría de los gastos del Club. Las
responsabilidades de los gerentes de nivel medio también fueron ajustadas para dar soporte a las
cuatro nuevas áreas. Aún más importante fue que el equipo ejecutivo del Club se formó con una
plantilla de mayor calibre que la que se tenía antes.
Los sistemas de medición del desempeño y de compensación fueron renovados. Martínez de
Albornoz explicó que el objetivo era aumentar la motivación de los empleados mediante la
implementación de un sistema de remuneración variable que aumentara el patrimonio interno14 sin
aumentar los costos totales de remuneración. Los bonos para los empleados no relacionados
directamente con el deporte dejaron de estar relacionados al desempeño del equipo de fútbol. Bajo el
nuevo sistema, la remuneración variable estaba determinada por la obtención de resultados
financieros y no financieros relacionados al plan de negocios de cada departamento y de toda la
compañía según estaban establecidos en el Balanced Scorecard (véase Anexo 3 para una muestra de
la hoja de evaluación). Se implementó un sistema sofisticado de información directiva para facilitar
el monitoreo continuo y la medición de este enfoque.
12 En España la mayoría de los clubes de fútbol son sociedades anónimas, y únicamente el F.C. Barcelona, Athletic Club de
Bilbao, y C.A. Osasusna, sumados al Real Madrid, mantienen su status de organizaciones sin fines de lucro.
13 “Charle con Florentino Pérez,” El Mundo, http://www.el-mundo.es/encuentros/invitados/2000/07/67.
14 Patrimonio interno significa que las responsabilidades gerenciales similares a lo largo del Real Madrid recibían
remuneraciones similares.
Hala Madrid: Dirigiendo el Club de futbol Real Madrid, el equipo del siglo 107-S21
5
El Peso de la Marca
Una de las claves para alcanzar el objetivo de Florentino de un éxito sustentable fue el incrementar
los ingresos del club. El nombre “Real Madrid” evocaba en muchos la pasión por el fútbol y la
imagen de la victoria. Un gran apoyo global y el reconocimiento del nombre del Club a nivel mundial
significaba un enorme potencial en la fuerza de la marca. El desafío de la unidad de marketing era
comercializar esta imagen al mismo tiempo que reforzaba la esencia y los valores tradicionales del
“Madridismo.”15
El objetivo de Florentino era recuperar el espíritu que había caracterizado al Real Madrid por casi
un siglo, expresado en la frase “un campeón y un caballero.”16 Se desarrolló un nuevo código de
conducta para el club que promovió valores como la honestidad, la transparencia y la unidad. Por
ejemplo, todos los contratos y los suministros debían ser licitados públicamente, y a los directores que
tenían empresas propias se les prohibía participar en estas licitaciones. La dirección comunicó su
compromiso con la tradición designando al legendario Di Stefano, considerado por muchos
seguidores como el mejor jugador de fútbol de la historia, como presidente honorario para recordar al
público los orígenes del Club.
La Marca Real Madrid
Real Madrid era una marca poderosa. Según una encuesta realizada por Landor en 2002, Real
Madrid era el único equipo de fútbol con un fuerte perfil de “líder global”, no sólo reportando el más
alto nivel de admiración y respeto, sino también generando el más bajo nivel de hostilidad (véase el
Anexo 4). Aún así, la imagen del club estaba siendo ampliamente desaprovechada hasta la llegada
de Florentino en el 2000. Previamente, la actividad comercial del Real Madrid estaba limitada a
contratos de patrocinio técnico (relacionado con equipo deportivo) con fabricantes de indumentaria
deportiva, incluyendo Kelme y Adidas, y otros contratos de patrocinio en camisetas, principalmente
con compañías españolas, incluyendo a Teka y Otaysa.17 El nuevo equipo directivo decidió ampliar el
alcance de la marca enfocándose en mercados internacionales, y los ingresos de marketing por €18
millones de euros de la temporada 1999–2000 aumentaron a €85 millones durante las cuatro
temporadas siguientes.
Como resultado, el club decidió explotar agresivamente la marca mediante tres formas: 1)
patrocinios, derechos por el uso de imagen y publicidad; 2) distribución, artículos promocionales y
licencias de uso de marca; y 3) internacionalización y nuevas tecnologías.
Patrocinios, Derechos por el Uso de Imagen y Publicidad
Muchas compañías estaban dispuestas a pagar generosamente para asociarse con el Real Madrid,
aunque el desafío para el gerente general de marketing, José Ángel Sánchez, era maximizar los
ingresos y reforzar la imagen de Real Madrid. Todos los patrocinadores del Real Madrid eran
seleccionados en función de que compartieran los mismos valores: tradición, liderazgo, altos
15 Madridismo es una palabra española acuñada para referirse al sentimiento de un “verdadero” fanático del Real Madrid. Esta
palabra no está aceptada por la “Real Academia de la Lengua Española”.
16 “Charle con Florentino Pérez,” El Mundo.
17 Teka es un fabricante de muebles de cocina y Otaysa una cadena de agencias de automóviles. El contrato de patrocinios en
camisetas consistía en vender el derecho de exhibir el nombre del patrocinador en la camiseta oficial del equipo.
107-S21 Hala Madrid: Dirigiendo el Club de futbol Real Madrid, el equipo del siglo
6
estándares de desempeño, y contribución al progreso de la sociedad a nivel mundial. El modelo de
Real Madrid definía tres niveles de patrocinio dependiendo de la visibilidad de la alianza y del
acuerdo económico (véase el Anexo 5).
Antes de que Florentino llegara, los contratos publicitarios con los jugadores se negociaban
individualmente con cada uno, en procesos que podían llegar a ser hostiles y que algunas veces
creaban enemistad entre el Club y sus jugadores. En un giro innovador de marketing, el nuevo
equipo directivo estableció una política que exigía a todos los nuevos jugadores y a todas las
renovaciones de contrato ceder todos los derechos de uso de imagen al Club. Luego, entre los
jugadores y el club repartían los ingresos en una proporción previamente acordada. Estos contratos
reconocían que tanto el Real Madrid como los jugadores contribuían al valor de los anuncios. Por
ejemplo, si un comercial mostraba a varios jugadores del Real Madrid vistiendo sus uniformes, el
club percibía el 100% de los ingresos porque básicamente era considerado un comercial del equipo.
Cuando un jugador solo era contratado para un comercial y el club era dueño de su imagen, los
beneficios se repartían de dos maneras. Si el jugador no compartía los derechos con el club, él recibía
el 100% de los beneficios, pero no le era permitido participar en un comercial vistiendo la camiseta
del equipo a no ser que él negociara separadamente con el club.
La nueva política triplicó los ingresos por patrocinios, derechos de imagen, y publicidad durante
los primeros cuatro años de Florentino al frente del Club—significando más del 10% de los ingresos
del Real Madrid, o €25 millones para la temporada 2003–04.
Distribución, Artículos Promocionales y Licencias
Antes de que el nuevo equipo directivo tomara el mando, las camisetas eran el único producto
bajo licencia del Real Madrid. Sánchez estaba encargado de conseguir licenciatarios para crear
productos Real Madrid y llevar la marca Real Madrid a las tiendas minoristas. En 2004 él logró que
los ingresos por licencias aumentaran a €51 millones de euros, representando 80 licencias para más de
450 productos en 2004.18
Sumado a este crecimiento, el Club abrió varias tiendas minoristas propias en lugar de
franquiciarlas para proteger la integridad de la marca. Las tiendas, que ofrecían únicamente los
productos Real Madrid, fueron diseñadas para permitirle al cliente vivir la experiencia “blanca”,19
con monitores de televisión que reproducían de forma muy notoria los partidos del equipo e
imágenes de los jugadores así como memorabilia. La adición de una tienda on-line y ventas por
catálogo y por teléfono extendía el alcance de las tiendas de Madrid.
Para dar soporte a su estrategia de crecimiento, Real Madrid comenzó a estandarizar las licencias
y a combatir la piratería. El esfuerzo por lograr la estandarización abarcó no sólo la homogenización
de los contratos de licencia sino también la selección de licenciatarios de alta calidad y el control de la
consistencia de la imagen presentada en toda la gama de productos. Para reducir las pérdidas
causadas por la piratería, el club desarrolló una línea de menor precio, la colección Hala Madrid,
dirigida a segmentos de mercado específicos y que no canibalizaba a la línea de artículos
18 A pesar de que el Real Madrid ofreció 15 licencias generando 15 millones en su temporada 1999–2000, la definición
utilizada incluía lo que podría definirse más apropiadamente como patrocinios. En 2004, la definición de licencia había
cambiado. Por ejemplo: Pepsi era considerada una licenciataria en 2000 bajo un contrato; sin embargo años después era
considerada como una patrocinadora bajo la nueva definición. Solamente dos de las 15 “licencias” otorgadas en la temporada
1999–2000 hubieran calificado como tales en el 2004.
19 Con referencia al uniforme blanco de Real Madrid.
Hala Madrid: Dirigiendo el Club de futbol Real Madrid, el equipo del siglo 107-S21
7
comercializada conjuntamente con Adidas. Además, Real Madrid inició acciones legales contra la
piratería cuando fue necesario.
Internacionalización y Nuevas Tecnologías
Real Madrid estaba intentando aumentar su base de seguidores en España y en el resto del
mundo. Real Madrid era una marca que resultaba muy familiar en España y Sudamérica y era
también una marca fuerte en Europa, no así en Norteamérica y Asia. Para desarrollar estos nuevos
mercados, el club decidió incluirlos al momento de planear los destinos para los partidos de
pretemporada y le dió prioridad a la contratación de jugadores estrellas que ya fueran conocidos en
Asia y Norteamérica.
Los juegos de exhibición, especialmente durante la pretemporada, eran planeados con propósitos
de entrenamiento. Pero durante la era de Florentino, estos juegos también se convirtieron en un
elemento importante de la estrategia de marketing porque expandían la base de seguidores del Real
Madrid y también generaban ingresos (€17 millones, 5,5% de los ingresos, en la temporada 2003–
04).20
Las victorias del equipo, sus estrellas, y su penetración en nuevos mercados como Asia llevó a
ventas récord de camisetas. En la temporada de 1999–2000, se vendieron 80,000 camisetas, la mitad
de ellas cuando el equipo ganó su octavo título de la Liga de Campeones. En la temporada 2002–03, el
volumen de ventas superó las 900,000 camisetas vendidas del Manchester United. Para la temporada
2003–04, la cifra inicialmente proyectada por el departamento de marketing de 1.2 millones de
camisetas fue superada por un amplio margen, en parte debido a la nueva estrella David Beckham, a
quien se atribuyó que las camisetas con el número 23 se vendieran exitosamente a muchos seguidores
del icono británico.
En septiembre de 2004, el informe de “Global Football Monitor” publicado por Sport + Markt
afirmaba que el Real Madrid tenía una base potencial de seguidores de 490 millones en el mundo,
“100 millones más que su rival más cercano el club inglés de la Liga Premier inglesa, el Manchester
United, que tenía una base potencial de 350 millones de seguidores… Incluso en el mercado inglés,
14% de los entrevistados respondieron que estaban ‘muy interesados’ en el Real Madrid, apenas 6
puntos porcentuales detrás del Manchester United y solamente 1% detrás del club de la Liga Premier,
el Arsenal.”21
Finalmente, Real Madrid intentaba capitalizar algo del contenido que generaba a través de un
esfuerzo coordinado para aprovechar la variedad de medios, incluyendo Internet
(www.realmadrid.com), televisión (RealMadridTV),22 e inclusive telefonía móvil (distribución de
contenido a través de mensajes SMS).
Los ingresos por la internacionalización y las nuevas tecnologías representaron €8,5 millones de
euros en 2003–04 o 10% del total de los ingresos por marketing.
20 Los ingresos por los partidos de exhibición eran asignados a la división deportiva.
21 “Soccer Investor,” Edición 1643, Daily Bulletin, 13 de septiembre de 2004.
22 El Club planeó la transformación de RealmadridTV de un canal nacional de paga a un canal internacional gratuito para
aumentar su base de seguidores.
107-S21 Hala Madrid: Dirigiendo el Club de futbol Real Madrid, el equipo del siglo
8
Zidanes & Pavones
En relación al el juego en sí, Florentino quería revivir el mito del Real Madrid. En los años previos
a su elección más de 5,000 socios abandonaron el Club a pesar de la victoria del equipo en dos Copas
Europeas.23 El triunfar no era suficiente para sus seguidores; el fútbol del Real Madrid tenía que ser
también algo bello. Florentino decidió revivir una estrategia tradicional de Real Madrid que fue
implementada por primera vez por el carismático ex-presidente Santiago Bernabéu, que mezclaba a
las estrellas con jugadores de las fuerzas básicas o cantera24. Real Madrid esperaba usar a “Zidanes y
Pavones,”25 como era llamada esta estrategia por la prensa, para recuperar el lugar que le
correspondía en la cima de fútbol europeo.
Contrataciones de Estrellas Consagradas
Los equipos europeos de fútbol podían “vender” o “comprar” jugadores a cambio del pago de
una transferencia, con la condición de que el jugador y los equipos estuvieran de acuerdo en la
transacción. Un pago de transferencia era la compensación única que el equipo vendedor recibía del
equipo comprador para liberar a un jugador de las obligaciones contractuales existentes. Utilizando
este medio, los equipos desarrollaron diferentes estrategias para dar forma a sus escuadras. Mientras
que algunos equipos no incorporaban jugadores de otros equipos y se abastecían sólo internamente,
la mayoría adquirían jugadores jóvenes y prometedores con la expectativa de que ellos se
convirtieran en estrellas.
La estrategia de Florentino era distinta porque él se comprometió a contratar a un jugador de otro
equipo cada año. Él repetidamente hizo pública su preocupación de que, por muchos años, los
grandes jugadores de fútbol no venían al Real Madrid—ellos se iban a Italia o a veces a Inglaterra o a
Barcelona. Como presidente del equipo, Florentino estaba determinado a cambiar esta situación.
La incorporación regular de estrellas consagradas ayudaría a alimentar la experiencia de euforia y
emoción del partido que los fanáticos tanto amaban -y reforzaría la marca Real Madrid ayudando al
club a conseguir nuevos ingresos por marketing de la base de fanáticos leales que seguían a sus
megaestrellas favoritas de un equipo a otro. Florentino se refirió a esta estrategia como “el motor del
crecimiento económico.”
La primera megaestrella en unirse a Real Madrid fue Luis Figo, del archirival Barcelona, que se
convirtió en la pieza central de la campaña electoral de Florentino. Florentino contrató luego a
Zidane—considerado por muchos el mejor jugador activo en el mundo y uno de los cinco mejores en
la historia del fútbol—en 2001.26 En 2002 Florentino contrató a Ronaldo, el delantero más famoso del
mundo, y en 2003 la estrella inglesa e icono de los medios David Beckham se unió al Real Madrid
(véase Anexo 6).
23 “Charle con Florentino Pérez,” El Mundo, http://www.el-mundo.es/encuentros/invitados/2000/07/67.
24 El término Cantera se refiere genéricamente al sistema de fuerzas básicas que incluye dos equipos de las ligas menores y 10
equipos organizados por edades con jugadores de 9 a 19 años de edad.
25 La frase se refería al francés Zinedine Zidane, que era considerado por muchos el mejor jugador activo del mundo, y a
Francisco Pavón, un joven defensa que había llegado de un equipo del semillero cuando tenia 21 años, habiendo sido parte de
club desde que tenía 10 años de edad.
26 “Zidane scoops world honour,” BBC Sport, 15 de diciembre de 2003,
http://news.bbc.co.uk/sport1/hi/football/3321069.stm.
Hala Madrid: Dirigiendo el Club de futbol Real Madrid, el equipo del siglo 107-S21
9
Real Madrid podía ahora vanagloriarse de ser uno de los mejores equipos en la historia del fútbol.
De hecho, cinco de los 10 nominados al premio Jugador del Año 2003 de la FIFA jugaban para Real
Madrid. Esta constelación de estrellas, apodada por la prensa como los “galácticos”, impulsó la
expansión internacional y el aumento de los ingresos por marketing. Esta estrategia funcionó tan bien
con la prensa y el público que cada primavera había una enorme especulación de la prensa sobre
quién sería la próxima megaestrella.
Administración de La Cantera
La otra principal fuente de jugadores del Real Madrid era la cantera, que usualmente tenía
muchos candidatos sobresalientes comparables con jugadores famosos que también habían salido de
la cantera como Guti, Raúl, o Casillas.
La cantera tenía tres objetivos principales: identificar, desarrollar, y encontrar una vía de
colocación de jugadores. La misión del encargado era identificar nuevos jugadores jóvenes con la
ayuda de sus 24 ‘scouts’ o buscadores de talentos, 11 en el área de Madrid y 13 en el resto de España.
Los scouts eran contratistas independientes que recibían una cuota fija baja y una parte variable
según el desempeño de los jugadores que recomendaban. Fuera de España, el director de la cantera se
encargaba de la búsqueda de forma más limitada observando torneos e informes de terceros.
En cuanto al desarrollo, Real Madrid entrenaba a sus jugadores jóvenes y les brindaba formación
educativa general.27 El desarrollo de jugadores era una tarea delicada, porque mucha responsabilidad
a una edad muy temprana podría extenuarlos. Dos soluciones posibles eran incorporarlos
progresivamente al primer equipo o darlos en préstamo a otros equipos. Esta función crítica era
desempeñada por el entrenador, quien tenía que evaluar los resultados deportivos en el momento al
mismo tiempo que consideraba el futuro del equipo.
Finalmente, el entrenador del primer equipo era responsable de determinar el futuro de los
jugadores. Él los evaluaba para determinar si serían retenidos con la intención de ser promovidos al
primer equipo, si serían prestados, o si serían vendidos a otro equipo.
Una de las tareas más importantes y difíciles de la cantera era estructurar los contratos de los
jugadores. Si un jugador tenía potencial de convertirse en estrella, lo mejor era un contrato de largo
plazo porque ayudaba a retenerlo, mientras que un contrato de corto plazo motivaría al jugador a irse
al finalizar su contrato, forzando al Real Madrid a pagarle un sueldo más alto para retenerlo. Si esto
ocurría, el club nunca obtendría los beneficios por lo invertido durante su desarrollo. La desventaja
de un contrato de largo plazo se hacía evidente cuando el club accidentalmente firmaba con un
jugador mediocre que se negara a renunciar mientras pudiera obtener un salario sustancioso. Las
mismas consideraciones aplicaban también a los salarios: si Real Madrid pagaba muy poco, un buen
candidato podría ser adquirido por otro equipo, y si pagaba demasiado, podría quedarse con un
jugador caro y mediocre. En el caso de las estrellas consagradas, los contratos incluían bonos por los
logros deportivos y por la cantidad de partidos jugados, pero no incluían compensación alguna
basada en estadísticas de desempeño como goles, pases, o pelotas recuperadas.
27 Los jugadores menores de 18 años eran inscritos en escuelas privadas de Madrid mediante una beca del Real Madrid. Los
jugadores mayores de 18 años que quisieran ir a la universidad o hacerse de un título profesional recibían una beca completa
del Real Madrid.
107-S21 Hala Madrid: Dirigiendo el Club de futbol Real Madrid, el equipo del siglo
10
El Proceso Presupuestario
El director corporativo coordinaba el desarrollo del plan anual, que comenzaba cuando los
directores del equipo y los ejecutivos definían los objetivos para la nueva temporada a comienzos de
mayo (véase el Anexo 7). Estos objetivos, a su vez, eran utilizados para elaborar el presupuesto anual
para el nuevo año fiscal y para el plan de mediano plazo para los tres años siguientes. Mientras que
el presupuesto tenía que ser aprobado por los socios en la reunión anual, el plan de mediano plazo no
ya que era utilizado exclusivamente como una herramienta de control interno.
Con la guía de los objetivos estratégicos y los supuestos proporcionados por el director
corporativo (véase el Anexo 8), cada unidad operativa preparaba un presupuesto preliminar. A
pesar de su nombre, este documento era, en realidad, un plan de acción que incluía una descripción
de todas las iniciativas que la unidad quería llevar a cabo durante el nuevo periodo y la combinación
de Indicadores Clave de Desempeño (o Key Performance Indicators -KPIs) según los cuales se
evaluaría el desempeño de la dirección (véase el Anexo 3 para la lista de KPI). El presupuesto
preliminar estaba acompañado por una lista de recursos necesarios por cada unidad para alcanzar
sus objetivos.
Los recursos solicitados en el presupuesto preliminar eran luego evaluados por las respectivas
unidades corporativas (Recursos Humanos, Seguros, Infraestructura, etc.). Los recursos eran
asignados de forma preliminar a aquellas iniciativas con mayor prioridad, y posteriormente las
unidades operativas revisaban los presupuestos. Los planes resultantes eran luego consolidados
entre las cuatro áreas directivas antes de ser enviados para su aprobación a la junta directiva, al
consejo directivo, y a los socios. Durante la fase de evaluación económica y ejecución, el director
corporativo participaba en varias reuniones informales con las distintas unidades operativas, además
de participar en las reuniones formales de discusión del presupuesto.
El consejo directivo normalmente votaba sobre el presupuesto durante el fin de semana del primer
partido oficial de local de la temporada (a fines de agosto o comienzos de septiembre). Una vez
aprobado por el consejo directivo, el presupuesto era enviado a la Liga de Fútbol Profesional (LFP) y
al Consejo Superior de Deportes (CSD).28 La falta de presentación de presupuestos aceptables a estas
organizaciones provocaba que el equipo fuera excluido de los torneos oficiales. A comienzos de
octubre, la asamblea general de socios aprobaba los estados financieros del año fiscal anterior y el
presupuesto para la temporada que corría.
El control y el seguimiento del presupuesto se llevaba a cabo mensualmente por cada área según
su Balanced Scorecard, que incluía KPIs financieros y no financieros. Además, otros dos documentos
internos eran utilizados para implementar el presupuesto: el UPA (Última Previsión Anualizada),29
que se desarrollaba cada tres meses como la proyección de desempeño anual mas actualizada, y la
Síntesis Ejecutiva de Información Económica donde mensualmente analizaban los riesgos y las
oportunidades de cada área para la junta directiva.
28 La Liga de Fútbol Profesional (LFP) es la asociación que representa a los principales equipos de fútbol, supervisaba la
organización de los campeonatos nacionales y negociaba colectivamente los programas transmitidos por TV. El Consejo
Superior de Deportes (CSD) era parte del Ministerio de Educación Español y supervisaba a todas las organizaciones deportivas
privadas.
29 Proyección Anualizada más reciente.
Hala Madrid: Dirigiendo el Club de futbol Real Madrid, el equipo del siglo 107-S21
11
La Preparación del Presupuesto
Había sido un largo día en las oficinas del estadio Santiago Bernabéu. A pesar de que ya había
concluído la temporada 2003–04, el equipo de ejecutivos del Real Madrid no podía darse el lujo de
tomarse un merecido descanso. El año había sido decepcionante en el aspecto deportivo. A pesar de
que el equipo había luchado por ganar tres de los principales campeonatos, las derrotas de abril y
mayo los habían dejado con las manos vacías. Sin embargo, a pesar de los infortunios deportivos, la
temporada había sido un éxito total desde la perspectiva económica, generando ingresos récord
(véase el Anexo 9) y los cambios que habían comenzado en 2000 cuando Florentino ganó las
elecciones continuaban (véase el Anexo 10).
Los resultados deportivos decepcionantes, junto con las elecciones presidenciales del Club del 11
de Julio, volvían particularmente complejo al proceso presupuestario de la temporada 2004–05.
Valdano, director general deportivo, sintetizó la importancia del presupuesto con precisión: “Nadie
ha visto jamás una concentración [de jugadores y fanáticos] en La Cibeles30 celebrando un balance
general—pero es necesario un balance saludable si deseamos llegar a celebrar a La Cibeles.”
El presupuesto necesitaba estar razonablemente listo para la próxima conferencia de prensa y para
la reunión de la junta directiva que se llevaría a cabo justo antes, en la que se tomarían decisiones
importantes. La junta y los periodistas analizarían cada línea del presupuesto y cuestionarían las
suposiciones que la sustentan para evaluar la prudencia del plan. A ese respecto, la correcta
interpretación de las desviaciones del presupuesto 2003–04 sería importante para mejorar la precisión
del nuevo presupuesto (véase el Anexo 11).
Ingresos
Los miembros del Club y el estadio El estadio Santiago Bernabéu tenía una capacidad de
aproximadamente 80,000 asientos regulares y 200 palcos privados. Real Madrid había vendido ya el
70% de la capacidad de su estadio a seguidores que compraban boletos para toda la temporada. Los
precios de los boletos para toda la temporada tenían un descuento de aproximadamente 60% sobre el
precio de los boletos para un único partido a valor nominal, y su precio variaba entre €120 y €1,100
para 19 partidos locales. A pesar de que Real Madrid podía vender el estadio entero en paquetes para
toda la temporada, el club prefirió dejar 30% de los asientos abiertos para garantizar la ampliación y
renovación de la base de seguidores permitiendo que más personas pudieran presenciar los partidos.
Manuel Redondo, el gerente general de la presidencia, señaló que “esta política no tiene costo alguno
para Real Madrid porque ellos llenan el estadio la mayoría de los partidos.”
Históricamente los 200 palcos se alquilaban cada año, y sus precios, que dependían del número de
asientos, superaban hasta en cinco veces el precio de los asientos regulares en ubicaciones similares.
La lista de espera para los palcos era muy larga (más de 300 compañías). Los esfuerzos del club para
satisfacer esta valiosa demanda se encontró ante las limitaciones arquitectónicas del estadio (aunque
para la temporada 2004–05, el Club había logrado ampliar su capacidad en 20 palcos más). Debido a
la imposibilidad física para satisfacer esta demanda, el Real Madrid transformó algunas áreas del
estadio en sectores VIP, con áreas de servicios de comida premium y acceso restringido. El sector de
asientos VIP, que tenía un valor premium de 300%, fue introducido en 2002, y para la temporada
2004–05 su capacidad había aumentado de 670 a 1920 asientos. Como resultado de estas mejoras, los
30 La Cibeles es una fuente en el centro de Madrid en honor a la Antigua Diosa Madre Cibeles, donde los aficionados y los
jugadores de Real Madrid celebran los campeonatos del equipo.
107-S21 Hala Madrid: Dirigiendo el Club de futbol Real Madrid, el equipo del siglo
12
ingresos por los palcos y asientos premium para la temporada entrante se incrementarían de €12.5
millones de euros a €15.3 millones.
Los resultados de la temporada 2003–04 que Redondo presentaba mostraban que el club apenas
había alcanzado su objetivo presupuestal en esta área, a pesar de que los resultados excedían
normalmente el presupuesto. Redondo pensó que los ingresos provenientes de las taquillas no
crecerían demasiado debido a que:
1. Sus suposiciones ya incluían estadios llenos para la mayoría de los partidos oficiales, en
función a lo que había sucedido en el pasado (véase el Anexo 12).
2. Las desviaciones en los años anteriores se habían dado debido al gran desempeño del equipo
en la Liga de Campeones. Para los propósitos del presupuesto los ejecutivos habían supuesto
que el club podría alcanzar los cuartos de final (véase Anexo 8), a pesar de que Real Madrid
había llegado hasta las semifinales en cinco de los seis años anteriores.
Para el nuevo presupuesto, Redondo sostenía que habría un aumento del 5% en los ingresos del
estadio por asientos agregados con la construcción de una nueva tribuna y las mejoras descritas para
los asientos en las áreas premium alcanzando un total de €68 millones de euros.
Pretemporada, partidos internacionales y de exhibición Esta línea de ingresos incluyó bonos por
progreso, bonos pagados por UEFA, la gira de verano, y partidos de exhibición. Para la copa UEFA,
Butragueño, el subdirector deportivo, de nuevo había supuesto en el presupuesto que el equipo
avanzaría solamente hasta los cuartos de final de la Liga de Campeones.
Para los juegos de la pretemporada, el club estaba bajo presión porque su participación en la
ronda preliminar de la Liga de Campeones de 2004–05 a mediados de agosto reduciría
inevitablemente la cantidad de partidos que se jugarían en la gira de verano en Asia. Sin embargo,
luego de negociar con sus socios asiáticos, Martínez de Albornoz y Butragueño consiguieron ajustar
la gira de Asia a una agenda más reducida. Así, Butragueño esperaba continuar con el crecimiento de
esta línea de ingresos y obtener €25 millones de los juegos de pretemporada y de los bonos de la Liga
de Campeones.31
Derechos de TV/transmisión Esta línea del presupuesto incluía la participación del Real Madrid
en los ingresos de TV de las Ligas Española y Europeas-, transmisiones “pay-per-view”, y
RealMadridTV, un canal de TV de paga con contenido relacionado con el Real Madrid. Los ingresos
por TV no habían experimentado grandes cambios desde el inicio del mandato de Florentino hasta la
temporada 2003–04 cuando los ingresos aumentaron de aproximadamente €46 millones de euros a
€69 millones (véase el Anexo 13). Se esperaba que los ingresos se mantuvieran en el rango de los €70
millones de euros durante los próximos años hasta que los contratos vencieran en 2008.
Ingresos por Marketing Debido a que se esperaba que los ingresos por la venta de boletos y por
derechos de TV se mantuvieran prácticamente sin cambio, el Club se concentró en el marketing para
31 Para ganar el acceso a la Liga de Campeones de la UEFA, el equipo debía clasificar entre los cuatro mejores de la Liga de
España del año anterior. UEFA recibía todos los ingresos por TV, parte de los cuales eran distribuidos a los equipos
participantes por medio del sistema de bonos basado en triunfos y posiciones finales. Para la temporada 2003–04, cada equipo
participante en la Liga de Campeones recibió un bono por su participación de 1,6 millones de euros, 325.000 por victoria,
163.000 por empate, y un bono adicional que variaba entre 2,6 millones de euros para cada equipo que llegara a cuartos de
final y 6,5 millones para el ganador.
Hala Madrid: Dirigiendo el Club de futbol Real Madrid, el equipo del siglo 107-S21
13
aumentar sus ingresos. Sánchez (el director general de marketing) había conducido exitosamente al
club a un crecimiento espectacular de ingresos por marketing en los años anteriores—pero era un
ritmo de crecimiento que resultaba difícil de mantener. Él sentía que aumentar la venta de artículos y
los ingresos por publicidad sería un desafío enorme en el futuro.
Aunque no estaba claro cómo los resultados deportivos recientes afectarían los ingresos por
distribución y ventas de equipo deportivo a nivel mundial para el año entrante, el club esperaba abrir
tres nuevas tiendas en el área metropolitana de Madrid, expandir las licencias de productos, y
renegociar los acuerdos de licencias que estaban a punto de ser renovados. El club también esperaba
firmar más acuerdos de distribución en el extranjero, como el nuevo acuerdo con Platia, en Japón. Por
otro lado, se esperaba que los ingresos por publicidad crecieran 43% debido a los cambios legales en
la sociedad que administraba los derechos de imagen del club,32 que ahora requerían que Real
Madrid consolidara los ingresos provenientes de esa alianza y los gastos en sus propios estados
financieros.
La única otra forma de aumentar los ingresos por marketing sería atrayendo patrocinadores
adicionales o contratos de publicidad con los jugadores, parecidos a la ampliación del contrato de
patrocinio que el club acababa de negociar recientemente con Adidas. La dificultad estaría en
encontrar candidatos en nuevas industrias que no entraran en conflicto con los socios existentes y que
se alinearan bien con el Real Madrid. Debido a los planes de marketing descritos anteriormente, la
unidad de Sánchez esperaba ver un crecimiento de entre €40 millones y €125 millones de euros en el
siguiente año—más aún si obtuviera nuevos patrocinadores. Este número no incluía la actividad
promocional que resultaría de la adquisición de nuevos jugadores.
Resultados extraordinarios Los ingresos extraordinarios para la temporada 2003–04 eran
resultado mayormente de la venta de los terrenos de entrenamiento. Sin embargo, esta transacción no
tendría impacto sobre los estados financieros de 2004–05; y por lo tanto no se incluían ingresos
extraordinarios en el presupuesto salvo la transferencia de jugadores de la cantera que podría ocurrir
a más tardar el 31 de agosto.
Gastos
Salarios Los salarios eran el elemento más importante del gasto y habían aumentado de forma
sostenida durante los últimos años conforme las nuevas megaestrellas se sumaban al equipo. Los
aumentos fueron ligeramente mitigados durante la temporada 2003–04 (véase el Anexo 14).
Esta línea presupuestaria era un elemento importante las decisiones que la dirección tomaba
acerca de qué jugadores contratar para la siguiente temporada. Butragueño, Sánchez, y el director
técnico recientemente incorporado, José Antonio Camacho, eran los personajes claves en esta
decisión. Sin embargo, el consejo directivo tenía la última palabra sobre la adquisición de jugadores, y
siempre habían alineado a las decisiones de Florentino.
32 En 2001 Real Madrid firmó un acuerdo para la administración conjunta de los derechos de imagen con Caja Madrid,
Sogecable y Mediapro por un periodo de 11 años. Estas firmas obtendrían el 12,5%, 10,0%, y 7,5% de los derechos,
respectivamente, y Real Madrid retendría el 70% restante. En junio de 2004 estas firmas formaron una compañía
independiente, Real Madrid Gestión de Derechos, para administrar todos los derechos de imagen del club. Debido a que las
reglas de la contabilidad españolas requerían que Real Madrid consolidara todos los ingresos y costos de esta firma en sus
propios estados contables, —y las políticas del club exigían que los elementos del presupuesto reflejaran los estados
financieros—el club necesitaría reconocer un 43% de aumento en ingresos por publicidad en sus presupuestos para el año en
curso.
107-S21 Hala Madrid: Dirigiendo el Club de futbol Real Madrid, el equipo del siglo
14
Para la temporada 2004–05, Florentino insistió en contratar a una estrella de clase mundial que
pudiera ayudar al equipo a ganar más torneos y cuya popularidad mundial contribuyera a generar
un crecimiento de ingresos sostenible. Con un sueldo bruto de €10 millones de euros al año, la
historia reciente sugería que semejante jugador costaría entre €30 y €50 millones de euros,
dependiendo de su edad y del número de años pendientes para finalizar su actual contrato.33
También, el equipo de dirección tenía que decidir cuáles jugadores de la cantera estaban en
condiciones de sumarse al equipo y cuales debían ser transferidos. Los jugadores promocionados
internamente cobrarían entre €400.000 y €1 millón de euros. Sin embargo, muchos señalaban que el
equipo también necesitaba refuerzos menos espectaculares en varias posiciones para darle fortaleza a
la banca. En todo caso esto representaría un cambio significativo respecto de la estrategia anterior de
Zidanes & Pavones. El monto a pagar por la transferencia de estos jugadores estaba en el rango de
€15 a €25 millones de euros y sus sueldos entre €2 millones y €4 millones por año.
Los directores deportivos querían aprovechar la mayoría de estas opciones, si no es que todas; sin
embargo, cada nuevo contrato aumentaba más aún los gastos y se acercaba al límite establecido por
Real Madrid para gastos en salarios—50% de los ingresos ordinarios. Además, como el contrato típico
tenía una duración de cuatro años, las decisiones de contratación afectarían la flexibilidad financiera
en los periodos futuros. Todas estas consideraciones hacían que el proceso de la elaboración del
presupuesto se convirtiera en un difícil ejercicio de malabares.
Antes de considerar las decisiones de las nuevas contrataciones, el presupuesto de los gastos del
personal (incluyendo la sección de basketball y el equipo directivo) era de aproximadamente €130
millones de euros.
Gastos operativos Todos los demás gastos operativos incluyendo los de las operaciones del
estadio, marketing, la producción de Real Madrid TV, tecnología, e infraestructura tenían aún que ser
presupuestados. Los gastos operativos aumentarían también para la temporada 2004–05 en línea con
los cambios en el criterio de consolidación para Real Madrid Gestión de Derechos.34 El resultado neto
de todas estas tendencias era que los gastos operativos presupuestados para la temporada 2004-05
serían de €90 millones de euros.
Depreciación ordinaria Se presupuestó que la depreciación de la propiedad y de los equipos
aumentaría un 20% a €16 millones de euros debido a que el club capitalizó las mejoras en el estadio y
los costos de la construcción de la “Ciudad del Real Madrid.”
Amortización acelerada La línea de amortización capturaba el costo de los pagos por
transferencia de los jugadores. A pesar del hecho de que las reglas de la contabilidad en España
promovían la amortización de los pagos por transferencia a lo largo de toda la vigencia del contrato,
Real Madrid decidió amortizar el valor total de los pagos por transferencia el mismo año en que cada
jugador era adquirido. En los años previos, la adquisición de un jugador estrella al año dominaba esta
cuenta (Zidane 2001–02, Ronaldo 2002–03, y Beckham y Samuel 2003–04). Real Madrid aún no había
33 Por ejemplo, en agosto de 2004 Manchester United pagó £27 millones al Everton F.C. por la transferencia del delantero de 18
años Wayne Rooney, que recibiría £3 millones de libras de sueldo anual. (Chris Boffey, “Rooney signs for United in £27m
deal,” news.telegraph, 1 de septiembre de 2004,
http://www.sport.telegraph.co.uk/news/main.jhtml?xml=/news/2004/09/01/nroon01.xml.)
34 Véase referencia 32.
Hala Madrid: Dirigiendo el Club de futbol Real Madrid, el equipo del siglo 107-S21
15
presupuestado este concepto del estado de resultados y decidiría sobre este tema al final de la
temporada, cuando el Club tuviera una idea más clara de los ingresos netos del año.
* * * * *
Conforme Martínez de Albornoz revisaba el plan anual preliminar una vez más, pensaba en las
decisiones que vendrían. En los pocos años desde que Florentino llegara, Real Madrid se había
convertido en el equipo de fútbol económicamente más poderoso del mundo. Se había logrado
mucho, pero mantener este nivel de éxito no sería sencillo. Cada decisión, ya fuera la incorporación
de un nuevo jugador o la firma de un nuevo contrato de patrocinio, tenía que contribuir a un único
objetivo—convertir a Real Madrid en el equipo del Siglo XXI. Con esta filosofía el equipo estaba
considerando la adquisición de varios jugadores. Esto podría contribuir de forma definitiva al éxito
del equipo; sin embargo, el derroche de dinero en la nómina de jugadores podría poner en peligro el
futuro financiero del equipo.
107-S21-16-
Anexo1RealMadrid:CapitalNeto,VentasNetasyDeudaNeta
Fuente:Archivosdelclub.
aLaDeudaNetaesiguala:DeudaBancaria+PasivosdeLargoPlazo+ImpuestosporPagar–Efectivo–CapitaldeTrabajoNeto–CuentasporCobrardeLargoPlazo.
Capitalantes
delefectode
amortización
anticipada
€
millones
•IntheyearendedJune2000,netdebtwasequaltotwoyearsof
•IntheyearendedJune2004,netdebtwasequaltotwomonthsof
•IntheyearendedJune2000,netdebtwasequaltotwoyearsof
•IntheyearendedJune2004,netdebtwasequaltotwomonthsof
214
a
129
138
152
193
236
245
271
60
39
66
80
74
30
62
68
0
100
200
300
1999–20002000–20012001–20022002–20032003–2004
CapitalNeto
VentasNetas
DeudaNeta
•IntheyearendedJune2000,netdebtwasequaltotwoyearsof
•IntheyearendedJune2004,netdebtwasequaltotwomonthsof
•EnelañoqueterminóenJunio2000,ladeudanetaeraigualadosañosdeventasyochoveceselcapitalneto
•
214
EnelañoqueterminóenJunio2004,ladeudanetaeraigualadosmesesdeventasysólounterciodelcapitalneto
107-S21-17-
Anexo2OrganigramadelRealMadrid
Fuente:ArchivosdelClub.
ConsejoDirectivoPresidente
Direcciónde
Comunicación
ÁreaDeportivaÁreaCorporativaÁreadeMarketingÁreadePresidencia
Fútbol
Basquetbol
CentroMédico
PlaneaciónyControl
AsuntosLegales
Finanzas,Administración,
RR.HH.,OrganizaciónyServ.Grales.
TecnologíaySistemas…
ComercialyMarketing
ArtículosPromocionalesyLicencias
NuevasTecnologías
DesarrolloInternacional
AdministracióndelaCapacidad
UsodelasInstalaciones
Miembros
InfraestructurayOrganizacióndeEventos
RelacionesExternas
CONSEJODIRECTIVO:Definelosobjetivosymonitoreaeldesempeñodelaestructuraejecutiva’’
107-S21-18-
Anexo3HojasdeEvaluación
DIVISIÓNDEFUTBOL
ÉXITOINDICADORESCLAVEDEDESEMPEÑO(KPI)
OptimizarcostosCostosdelárea
FinanzasOptimizarlarentabilidaddelainversiónenlosjugadores
Ingresosporventas/transferenciadejugadores
Desviacióndelpresupuestoenrelaciónalossalariosdelosjugadores
MaximizarlosingresosIngresosdelárea
ClientesCalidadrecibidaporelclienteinterno/externoCalidadPercibida
Novatosdelprimerequipoqueseconviertenenintegrantesdelequipoenla
temporadasiguiente
OptimizarlaefectividaddeláreaNúmerodepartidosjugadospornovatoencompetenciasoficiales
ProcesosInternos
Porcentajedejugadorespromovidosalosequiposdecategoríasuperior
MaximizarlarentabilidaddeportivaLogrosdeportivos
AprendizajeyCrecimientoPlanesdeinnovaciónymejorasPorcentajedecumplimientodelplan(velocidad/calidad)
DIVISIÓNDEADMINSITRACIÓNDELACAPACIDADEINSTALACIONES
ÉXITOINDICADORESCLAVEDEDESEMPEÑO(KPI)
OptimizarcostosCostosdelárea
Financiero
MaximizarlosingresosIngresosdelárea
ClienteCalidadrecibidaporelclienteinterno/externoCalidadpercibida
Porcentajepromediodelacapacidadvendida
OptimizarlaadministracióndelacapacidadBoletosvendidosano-socios
MaximizarlaventadeboletosdelasáreasVIPCantidaddeboletosVIPvendidosenpaqueteparatodalatemporada
MinimizarlaventadeboletosvendidosenlastaquillasVentasdeboletosentaquilla/ventastotales
ProcesosInternos
MinimizarlosperiodosdeesperaTiempodeesperaparacomprarboletos
OptimizarlascuentasporcobrarenrelaciónapaquetesdeTasadeincobrablesdepaquetesdeboletosparatodalatemporada
boletosparatodalatemporada
Porcentajededueñosdepaquetesdeboletosparatodalatemporadacon
débitodirecto
Minimizarlosincidentesenmostradores,palcosyáreasVIPNúmerodeincidentes
AprendizajeycrecimientoPlanesdeinnovaciónymejoraPorcentajedecumplimientodelplan(velocidad/calidad)
Fuente:Archivosdelclub.
107-S21-19-
Anexo4LosGrandesClubes:PrestigioyApoyo
Fuente:Landor.
%Japon
%USA
%CentroySurAmerica
%Europa
2.13.86.6
6.56.57.4
8.94.14.1
12.95.421.0
4.70.21.3
7.15.95.3
9.41.84.0
20.413.928.9
4.01.52.6
8.58.2
7.914.518.6
12.011.022.6
9.2
2.33.26.2
4.611.917.0
7.019.526.3
8.222.349.6
2.64.9
8.526.7
11.36.512.9
13.418.443.9
3.6
16.8
RealMadrid
Manchester
BayernMunich
Barcelona
Juventus
161.8million
92.0
33.8
125.3million
87.6million
65.9million
55.5million
64.3
55.7
57.9
32.8
45.9
56.853.0
26.7
PoblaciónTotaldelos12Países:
1,019millonesdehabitantes
49,5%sonseguidoresdelfútbol
%desimpatíaespontánea
%deantipatíaespontáneay
sugerida
%deprestigiointernacional
espontáneo
11,200EntrevistasrealizadasenArgentina,Brasil,Francia,Alemania,Italia,Japon,Mexico,Portugal,España,UKyUSAen2001
107-S21-20-
Anexo5TiposdePatrocinio
Fuente:Archivosdelclub.Paíslocal
PatrocinadoresNacionales
Mundial
Patrocinadores
Internacionales
Mundial
Publicidad
menor
Publicidaden
mediosdelClub
UsodelaMarca
enEspacios
UsodelaMarcaen
Productos
DerechosdeImagen
Alcancedelos
Derechos
MainSponsor
TítulodePatrocinadorOficialdelReal
Madrid
DerechoausarlamarcaRealMadriden
materialespublicitariosypromocionales
Derechoausarimágenesdelequipo:
fotografíasovideosconfinesde
comunicación
Derechoafilmaruncomercialconun
númerodejugadoresdeterminadoporel
Club
TítulodePrincipalPatrocinadordelReal
Madrid
DerechoausarlamarcaRealMadriden
materialespublicitariosypromocionales
Derechoausarimágenesdelequipo:
fotografíasovideosconfinesde
comunicación
Derechoafilmaruncomercialconun
númerodejugadoresdeterminadoporel
Club
TítulodePatrocinadorOficialdelReal
Madrid
DerechoausarlamarcaRealMadriden
materialespublicitariosypromocionales
Derechoausarimágenesdelequipo:
fotografíasovideosconfinesde
comunicación
Marcasenkitsdejuego
ydeentrenamiento
Marcasenkitsdecopia
Bancasdeentrenadores
Anunciosperimetrales
Posicionesdeprensa
Micrófonosensalasde
prensa
Pasillosdelestadioy
entradas
Autobúsdelequipo
Anunciosperimetrales
Posicionesdeprensa
Pasillosdelestadioy
entradas
Autobúsdelequipo
Pasillosdelestadioy
entradas
Autobúsdelequipo
Revistasoficiales
TVoficial
Páginaweboficial
Revistasoficiales
TVoficial
Páginaweboficial
Taquillas
BoletosVIP
Boletos
normales
Taquillas
Boletos
VIP
Boletos
normales
Boletos
normales
Revistasoficiales
TVoficial
Páginaweboficial
107-S21-21-
Anexo6EstrellasContratadasporelRealMadridde2000a2003
Fuente:Archivosdelclub,análisisdelautordelcaso.
2003/04
BECKHAM
2002/03
RONALDO
2001/02
ZIDANE
2000/01
FIGO
€25+€10
1
millones€45millones€70millones€60millones
Preciode
Transferencia
ManchesterUnited(RU)InterdeMilán(Italia)JuventusdeTurin(Italia)F.C.Barcelona(España)EquipoAnterior
€25+€10
1
€€€
Notas:
(1)Los€10millonesestabancondicionadosaqueelClublograradeterminadosobjetivosdeportivosenlassiguientescuatrotemporadasposterioralaadquisición
107-S21-22-
Anexo7ProcesoPresupuestariodeRealMadrid
Fuente:Archivosdelclub,análisisdelautordelcaso.
MayoJunioJulio/Agosto
JuntaAnualde
Socios
Consejo
Alta
Dirección
Unidades
Corporativas
Unidadesde
Negocios
Strategic
Objectives:
Short&
sport
ofneeds
Coordination
ofunitbudgets
EconomicBudget
Vote
Approval
Approval
Strategic
Objectives:
ofneeds
Coordination
ofunitbudgets
EconomicBudget
Vote
Approval
Approval
Septiembre
Programa
Electoral
Objetivos
Estratégicos:
CortoyMediano
Plazo
Suposicionespara
laPlaneación:
Económicosy
Deportivos
Presupuestación
denecesidades:
-Personal
-Inversión
-Gastocorriente
Evaluación
económica
delas
necesidades
Presupuesto
Económico
Coordinaciónde
lospresupuestos
delasunidades
Aprobación
Aprobación
Aprobación
PlaneaciónyControl
Infrestructura,Seguro,etc)
(RecursosHumanos,
Unidadesdeapoyo
Hala Madrid: Dirigiendo el Club de futbol Real Madrid, el equipo del siglo 107-S21
23
Anexo 8 Presupuesto del Club de Fútbol Real Madrid para 2004–05, 2005–06, y 2006–07
Supuestos
SUPOSICIONES MACROECONÓMICAS
Para presupuestar ingresos y gastos se considerarán las siguientes variables macroeconómicas serán
siempre que sea necesario.
INFLACIÓN
Para ser considerada en los ingresos y gastos que contractualmente se ajusten en base al IPC y en
los gastos del personal según está establecido en el acuerdo general de sueldos
• España: 3,0%
• EE.UU.: 1,5%
TASA DE INTERÉS
Para ser considerada en el presupuesto financiero de ingresos y gastos
• EURIBOR 1 AÑO: 2,5%
TASAS DE CAMBIO
• 1,18 $/€
• 1,55 CHF/€ (ingresos de la UEFA)
• 0,68 ₤/€
SUPUESTOS DE RESULTADOS DEPORTIVOS (2004–05)
Al margen del objetivo de lograr la victoria en cada competencia, los siguientes objetivos se han
establecido para presupuestar los ingresos y los gastos.
PRIMER EQUIPO DE FÚTBOL
LA LIGA: Llegar a la tercera posición. Esto significa jugar 19 partidos en el Estadio Santiago
Bernabéu (ESB) y 19 partidos como visitantes.
COPA DEL REY: Llegar a cuartos de final. Esto significa jugar 2 partidos en ESB y 4 como fuera.
LIGA DE CAMPEONES: Llegar a cuartos de final. Esto significa jugar 5 partidos en ESB y 5
fuera.
PRIMER EQUIPO DE BASQUETBOL
LIGA ACB: Llegar a la cuarta posición. Esto significa jugar un mínimo de 19 partidos y un
máximo de 23 partidos como locales y un mínimo de 19 partidos y un máximo de 23 partidos
como visitantes.
COPA DEL REY:
EUROLIGA: Al momento, pendientes de definir su participarán en la temporada 2004–05.
Fuente: Archivos del club.
107-S21-24-
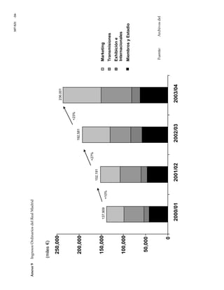
Anexo9IngresosOrdinariosdelRealMadrid
Fuente:Archivosdel
club.
0
50,000
100,000
150,000
200,000
250,000
2000/012001/022002/032003/04
Transmisiones
Exhibicióne
Internacionales
MiembrosyEstadio
+27%
+10%
+23%
137,909
152,191
192,581
236,001
(miles€)
Marketing
€)
Hala Madrid: Dirigiendo el Club de futbol Real Madrid, el equipo del siglo 107-S21
25
Anexo 10 EBITDA del Real Madrid
Fuente: Archivos del club.
(Millones €)
-24
-33
51
-40
-20
0
20
40
60
80
2000/01 2001/02 2002/03 2003/04
€)
-24
-33
1
51
107-S21 Hala Madrid: Dirigiendo el Club de futbol Real Madrid, el equipo del siglo
26
Anexo 11 Presupuesto y Resultados del Real Madrid 2003–04
Miles de €
Presupuesto
2003–04
Real
2003–04
Diferencia
2003–04
Ingresos por socios del club e ingresos por el estadio 61,604 62,575 971
Partidos de pretemporada, internacionales y de exhibición 20,487 18,604 -1,883
Ingresos por transmisión 70,409 69,517 -892
Ingresos por marketing 80,060 85,305 5,245
TOTAL INGRESOS ORDINARIOS 232,560 236,001 3,441
Gastos en personal deportivo y no deportivo -133,236 -123,646 9,590
Gastos operativos -61,503 -61,166 337
EBITDA 37,821 51,189 13,368
Depreciación ordinaria -16,226 -13,204 3,022
EBIT 21,595 37,985 16,390
Resultados financieros -1,318 104 1,422
UTILIDAD ANTES DE ELEMENTOS EXTRAORDINARIOS 20,277 38,089 17,812
Resultados extraordinarios 38,552 33,515 -5,037
Amortización aceleradaa 0 -63,491 -63,491
UTILIDAD ANTES DE IMPUESTOS 58,829 8,113 -50,716
Impuestos (25%) -14,707 -2,048 12,659
UTILIDAD DESPUES DE IMPUESTOS 44,122 6,065 -38,057
PRINCIPALES INDICADORES DE DIRECCION
Mezcla de Ingresos
Socios y estadio 27% 27% 0%
Exhibiciones e Internacional 9% 8% -1%
Transmisión 30% 29% -1%
Marketing 34% 36% 2%
Relación de Gastos en Personal / Ingresos 57% 52% -5%
Fuentes: Archivos del club.
aAmortización de todos pagos por transferencias de los jugadores incorporados al equipo durante la temporada (Beckham,
Samuel y otros) y amortización del costo por la recompra de los palcos del estadio.
Hala Madrid: Dirigiendo el Club de futbol Real Madrid, el equipo del siglo 107-S21
27
Anexo 12 Asistencia a Partidos
Fuente: Archivo del club.
42,200 43,147
57,707
60,394
66,133
71,500
0
10,000
20,000
30,000
40,000
50,000
60,000
70,000
80,000
1998/99 1999/00 2000/01 2001/02 2002/03 2003/04
Asistencia
Promedio
(número de
personas)
107-S21 Hala Madrid: Dirigiendo el Club de futbol Real Madrid, el equipo del siglo
28
Anexo 13 Evolución de los Ingresos por Transmisión
45,049
47,071 46,468
69,517
0
10,000
20,000
30,000
40,000
50,000
60,000
70,000
80,000
2000/01 2001/02 2002/03 2003/04
(thousand €)
45,049
47,071 46,468
69,517
0
10,000
20,000
30,000
40,000
50,000
60,000
70,000
80,000
2000/01 2001/02 2002/03 2003/04
(thousand €)
Fuente: Archivos del club.
(miles
Hala Madrid: Dirigiendo el Club de futbol Real Madrid, el equipo del siglo 107-S21
29
Anexo 14 Gastos en Personal como Porcentaje de los Ingresos Ordinarios
Fuente: Archivos del club.
0%
20%
40%
60%
80%
100%
2000/01 2001/02 2002/03 2003/04
86%
90%
72%
52%
Nivel máximo recomendado por el
G-14 para 2005 (70%)
118,602
€)
123,646138,659136,972
Gastos en Personal (miles

Caso de estudio real madrid

  • 1.
    9-107-S21 R E V: M A Y 1 1 , 2 0 1 0 F . A S Í S M A R T Í N E Z - J E R E Z R O S A R I O M A R T Í N E Z D E A L B O R N O Z Hala Madrid: Dirigiendo el Club de fútbol Real Madrid, el equipo del siglo Introducción En Junio de 2004, Carlos Martínez de Albornoz, gerente general corporativo de Real Madrid, un equipo de fútbol líder español, estaba revisando el presupuesto del club para el periodo 2004-05 como preparación para la conferencia de prensa que su presidente, Florentino Pérez, tenía programada. En los dos años anteriores, ciertos miembros de la prensa española habían vaticinado una catástrofe financiera para el Real Madrid luego de que el Club firmara contratos con el delantero Ronaldo y la estrella británica Beckham. Sin embargo, luego de la elección de Florentino como presidente en 20001 el equipo ganó varios títulos oficiales, incluyendo dos Ligas españolas y una Liga Europea de Campeones, y el Real Madrid se había convertido en uno de los clubes de fútbol más ricos del mundo. A pesar de estos éxitos, los pobres resultados obtenidos durante los dos últimos meses de la temporada 2003-042 (incluyendo la eliminación de la Liga Europea de Campeones y la derrota en cinco partidos consecutivos durante el torneo nacional) habían dejado a los ejecutivos, jugadores y seguidores con un sabor amargo justo cuando Florentino estaba preparándose para buscar la reelección. El desafío del presupuesto 2004-05 había sido incluir el costo por la adquisición de los dos jugadores nuevos que recuperarían el apoyo de los aficionados del equipo al mismo tiempo que se evitaban los excesos que casi causaron la bancarrota del equipo antes de la llegada de Florentino. Martínez de Albornoz, pensaba sobre las decisiones a tomar durante el proceso de planeación sabiendo que la prensa cuestionaría a Florentino sobre tales decisiones durante su entrevista cara a cara. Los periodistas disfrutaban especulando sobre cuántos jugadores más adquiriría el equipo3 y quién sería la próxima estrella que se uniría a la “galaxia” del Real Madrid. A pesar de que la prensa 1 Salvo en contadas excepciones, usualmente se hace referencia a Florentino Pérez como Florentino tanto por la prensa como en conversaciones públicas. 2 La temporada oficial de fútbol en España es entre fines de agosto y fines de mayo. El año fiscal para los clubes de fútbol comienza el 1 de julio. 3 El club había anunciado recientemente la adquisición de Walter Samuel por 25 millones de Euros, el defensor de A.S. Roma y la selección argentina de fútbol.
  • 2.
    107-S21 Hala Madrid:Dirigiendo el Club de futbol Real Madrid, el equipo del siglo 2 se refería al Real Madrid como una organización con recursos ilimitados, la dirección del equipo sabía que cualquier despilfarro les ocasionaría algunos problemas. Historia del Club – Real Madrid, el Mito Cuando un grupo de aficionados al fútbol fundó el Madrid Foot Ball Club en 1902, no eran concientes de que se convertiría algún día en una leyenda. En 1920 fue rebautizado como Real Madrid F.C. cuando el rey Alfonso XII le otorgó el título Real” al Club. El 23 de diciembre de 2000, la FIFA (Fédération Internationale de Football Association) eligió al Real Madrid como “El mejor Club del siglo XX.” Ningún otro club había obtenido tantos títulos: 9 Copas Europeas4, el título más codiciado del fútbol europeo, 3 Copas Intercontinentales, 29 títulos de la Liga española, 17 Copas Españolas, 2 copas UEFA5, 1 Súper Copa Europea, y al menos otros 30 títulos más. El estadio del Club, bautizado Santiago Bernabéu en honor a su presidente más carismático, fue considerado por muchos la catedral del fútbol mundial. Su mística era rivalizada únicamente por el Maracaná (Río de Janeiro, Brasil) u Old Trafford (Manchester, Reino Unido). El mito de Real Madrid comenzó en la década de 1950 cuando el equipo ganó cinco Copas Europeas consecutivas, una hazaña sin precedentes en la historia del fútbol. Luego de ganar su sexta Copa Europea en 1966, el equipo continuó disfrutando del éxito, pero no al mismo nivel. Durante esa misma época nacieron las dinastías deportivas como Ajax Ámsterdam, Bayern Munich y A.C. Milan. El Real Madrid ganó su séptima y octava Copas Europeas en 1998 y 2000, pero en aquellos momentos el club estaba al borde de la bancarrota. Un nuevo liderazgo llegó para hacerse cargo cuando en el verano de 2000 los socios eligieron a Florentino Pérez como presidente. La Crisis de la Década de 1990 A fines de la década de 1990, el costo total de los jugadores de fútbol había alcanzado cifras récord.6 Tres factores contribuyeron al incremento en el costo de los jugadores: • El aumento en los ingresos por los derechos de TV • Mayor inversión de fortunas personales en los clubes de fútbol, como Agnelli y Berlusconi en Italia o Al Fayed en Reino Unido • La llamada ley Bosman, que transformó el mercado europeo de jugadores de fútbol en un mercado de agentes libres7 5 Union of the European Football Association. 6 Por ejemplo, en 1999 el Club Real Madrid pagó $35 millones de dólares al Arsenal por el delantero Nicholas Anelka, y el Inter pagó $50 millones de dólares por Christian Vieri. 7 Jean-Marc Bosman fue un jugador profesional de fútbol que en 1990 demandó a su club, RC Liège, así como a la Federación de Fútbol de Bélgica y a la UEFA por suspender su pase a un club de fútbol francés a pesar de que su contrato había vencido. La corte nacional dictó que el caso era de la competencia de la Unión Europea. La Corte de Justicia Europea (ECJ) dictaminó en 1995 que los jugadores de fútbol eran iguales a cualquier otro profesional y anularon dos cláusulas de la UEFA: (1) La limitación del número de jugadores extranjeros en un equipo de hasta tres jugadores de países no europeos, y dos jugadores de países europeos: y (2) el derecho de los equipos para retener a un jugador en su nómina aún después de la terminación de su contrato. Este dictamen convirtió al mercado europeo de jugadores de fútbol en un mercado de agentes libres. Los jugadores de fútbol comenzaron a tomar el control de sus propios destinos conforme sus contratos finalizaban y los equipos de fútbol de la Unión Europea no tenían limitaciones para contratar a jugadores de la Unión Europea. (Neil Merrick, “Euro ruling kicks up soccer transfer fuss,” People Management, 25 de enero de 1996, Pág. 12: “UEFA Booked for obstruction,” Business Europe, 12 de febrero de 1996, Pág. 5.)
  • 3.
    Hala Madrid: Dirigiendoel Club de futbol Real Madrid, el equipo del siglo 107-S21 3 En este contexto, los equipos más exitosos fueron aquellos con mayores recursos financieros. Las disputas por los mejores jugadores, impulsadas por la disponibilidad de nuevas fuentes de ingresos, llevó a muchos equipos a poner su futuro en riesgo al endeudarse en exceso o al vender patrocinios y derechos de TV por adelantado para financiar la adquisición de los jugadores. Sin embargo, para algunos clubes, las nuevas fuentes de ingreso que se suponía serían una bendición, no resultaron tan buenas.8 Real Madrid era uno de los clubes afectados y en 2000 ya había vendido la mayoría de sus derechos de TV y patrocinios a futuro, y tenía una deuda neta equivalente a los ingresos de dos temporadas u ocho veces el capital del club (véase Anexo 1).9 Florentino Pérez: La Modernización del Real Madrid En la opinión de muchos el presidente recién elegido del Real Madrid había heredado una situación difícil que requería una solución rápida y efectiva.10 Esto se logró con la venta de la “Ciudad Deportiva,” el campo de entrenamiento del equipo ubicado en un área de negocios exclusiva del norte de Madrid. El dinero obtenido permitió a Florentino “limpiar la casa”—saldar toda su deuda, recomprar los palcos del estadio, recomprar algunos contratos de publicidad, contratar a la mega estrella portuguesa Luis Figo, e iniciar la construcción de un nuevo complejo deportivo en los suburbios, Ciudad del Real Madrid.11 Además, Florentino realizó una completa renovación y modernización del sistema de administración del Real Madrid. Florentino describió su visión: Para garantizar un futuro sostenible de fortaleza financiera y éxito deportivo, el Club tenía que ser exitoso en tres iniciativas estratégicas: 1. “Profesionalizar” el equipo directivo. 2. Explotar el enorme valor de la marca Real Madrid y la imagen de los jugadores para aumentar los ingresos, lo que permitiría al Club competir en un nuevo entorno donde las cuestiones financieras eran cada vez más relevantes. 3. Imponer disciplina financiera para asegurar que el equipo no excedería sus límites. Un factor clave para esta disciplina fue limitar los gastos en jugadores. Con la nueva estrategia de los Zidanes & Pavones, el Real Madrid contrataría a una estrella por año y se concentraría en el desarrollo de jugadores a través de sus fuerzas básicas o cantera. 8 Clifford Coonan, “Germany ponders clubs TV bail-out,” ESPM soccernet, 2 de abril de 2002, http//www.soccernet.com/Europe/news/2002/0402/20020404gerkirch.html. 9 Real Madrid C.F. Informe anual 2000, Notas sobre los balances consolidados 11 y 18. 10 José Félix Díaz, “Florentino Pérez: ‘Fichar a los mejores es barato,’” 31 de diciembre de 2001, Diario Marca, http://www.marca.es/edicion/noticia/0,2458,91852,00.html. 11 La “Ciudad del Real Madrid” es un desarrollo de 120 ha. (300 acres) ubicado en el área de expansión de Madrid. Sus planos incluyen infraestructura para el entrenamiento de todos los equipos de Real Madrid, un área de entretenimiento, un centro de medicina deportiva, y un centro de convenciones. La construcción de la Ciudad del Real Madrid comenzó el 12 de mayo de 2004.
  • 4.
    107-S21 Hala Madrid:Dirigiendo el Club de futbol Real Madrid, el equipo del siglo 4 La “Profesionalización” del Equipo Directivo El Real Madrid era una organización sin fines de lucro propiedad de sus socios; su estructura de propiedad se asemejaba a la de las asociaciones civiles, como las compañías cooperativas de seguros.12 Los socios tenían dos derechos principales: entradas especiales para juegos de la temporada regular y participación en la elección del presidente del Club (que debía ser, además, un socio). En el caso de una contingencia financiera, la ley española exigía que el club se convirtiera en una sociedad anónima, y que sus acciones pudieran ser subastadas al público. El presidente y su consejo directivo, renovado cada cuatro años, definían los objetivos organizacionales y monitoreaban a la dirección. Martínez de Albornoz comentó que “antes de la gestión de Florentino, no había una dirección clara de las responsabilidades de la dirección y que el consejo directivo interfería con las operaciones cotidianas del Club. El sistema de remuneración de los empleados replicaba el de los jugadores e incluía un sueldo base, más un bono que dependía de los resultados del equipo, independientemente del puesto y de las responsabilidades. Los gerentes de nivel intermedio, eran contratados sin considerar ningún tipo de políticas formales de recursos humanos.” Florentino declaraba una y otra vez que la clave de la transformación del Real Madrid sería la modernización de su equipo directivo.13 Primero, reestructuró la organización en cuatro unidades principales que correspondían a sus prioridades estratégicas (véase el Anexo 2). La Unidad de la Presidencia, que era la responsable del estadio, y la Unidad de Marketing, que era la responsable de la marca, tenían asignado el incremento en la generación de ingresos. La misión de la División Corporativa era inculcar la disciplina financiera necesaria en toda la compañía, enfocándose primordialmente en la división deportiva que incurría en la mayoría de los gastos del Club. Las responsabilidades de los gerentes de nivel medio también fueron ajustadas para dar soporte a las cuatro nuevas áreas. Aún más importante fue que el equipo ejecutivo del Club se formó con una plantilla de mayor calibre que la que se tenía antes. Los sistemas de medición del desempeño y de compensación fueron renovados. Martínez de Albornoz explicó que el objetivo era aumentar la motivación de los empleados mediante la implementación de un sistema de remuneración variable que aumentara el patrimonio interno14 sin aumentar los costos totales de remuneración. Los bonos para los empleados no relacionados directamente con el deporte dejaron de estar relacionados al desempeño del equipo de fútbol. Bajo el nuevo sistema, la remuneración variable estaba determinada por la obtención de resultados financieros y no financieros relacionados al plan de negocios de cada departamento y de toda la compañía según estaban establecidos en el Balanced Scorecard (véase Anexo 3 para una muestra de la hoja de evaluación). Se implementó un sistema sofisticado de información directiva para facilitar el monitoreo continuo y la medición de este enfoque. 12 En España la mayoría de los clubes de fútbol son sociedades anónimas, y únicamente el F.C. Barcelona, Athletic Club de Bilbao, y C.A. Osasusna, sumados al Real Madrid, mantienen su status de organizaciones sin fines de lucro. 13 “Charle con Florentino Pérez,” El Mundo, http://www.el-mundo.es/encuentros/invitados/2000/07/67. 14 Patrimonio interno significa que las responsabilidades gerenciales similares a lo largo del Real Madrid recibían remuneraciones similares.
  • 5.
    Hala Madrid: Dirigiendoel Club de futbol Real Madrid, el equipo del siglo 107-S21 5 El Peso de la Marca Una de las claves para alcanzar el objetivo de Florentino de un éxito sustentable fue el incrementar los ingresos del club. El nombre “Real Madrid” evocaba en muchos la pasión por el fútbol y la imagen de la victoria. Un gran apoyo global y el reconocimiento del nombre del Club a nivel mundial significaba un enorme potencial en la fuerza de la marca. El desafío de la unidad de marketing era comercializar esta imagen al mismo tiempo que reforzaba la esencia y los valores tradicionales del “Madridismo.”15 El objetivo de Florentino era recuperar el espíritu que había caracterizado al Real Madrid por casi un siglo, expresado en la frase “un campeón y un caballero.”16 Se desarrolló un nuevo código de conducta para el club que promovió valores como la honestidad, la transparencia y la unidad. Por ejemplo, todos los contratos y los suministros debían ser licitados públicamente, y a los directores que tenían empresas propias se les prohibía participar en estas licitaciones. La dirección comunicó su compromiso con la tradición designando al legendario Di Stefano, considerado por muchos seguidores como el mejor jugador de fútbol de la historia, como presidente honorario para recordar al público los orígenes del Club. La Marca Real Madrid Real Madrid era una marca poderosa. Según una encuesta realizada por Landor en 2002, Real Madrid era el único equipo de fútbol con un fuerte perfil de “líder global”, no sólo reportando el más alto nivel de admiración y respeto, sino también generando el más bajo nivel de hostilidad (véase el Anexo 4). Aún así, la imagen del club estaba siendo ampliamente desaprovechada hasta la llegada de Florentino en el 2000. Previamente, la actividad comercial del Real Madrid estaba limitada a contratos de patrocinio técnico (relacionado con equipo deportivo) con fabricantes de indumentaria deportiva, incluyendo Kelme y Adidas, y otros contratos de patrocinio en camisetas, principalmente con compañías españolas, incluyendo a Teka y Otaysa.17 El nuevo equipo directivo decidió ampliar el alcance de la marca enfocándose en mercados internacionales, y los ingresos de marketing por €18 millones de euros de la temporada 1999–2000 aumentaron a €85 millones durante las cuatro temporadas siguientes. Como resultado, el club decidió explotar agresivamente la marca mediante tres formas: 1) patrocinios, derechos por el uso de imagen y publicidad; 2) distribución, artículos promocionales y licencias de uso de marca; y 3) internacionalización y nuevas tecnologías. Patrocinios, Derechos por el Uso de Imagen y Publicidad Muchas compañías estaban dispuestas a pagar generosamente para asociarse con el Real Madrid, aunque el desafío para el gerente general de marketing, José Ángel Sánchez, era maximizar los ingresos y reforzar la imagen de Real Madrid. Todos los patrocinadores del Real Madrid eran seleccionados en función de que compartieran los mismos valores: tradición, liderazgo, altos 15 Madridismo es una palabra española acuñada para referirse al sentimiento de un “verdadero” fanático del Real Madrid. Esta palabra no está aceptada por la “Real Academia de la Lengua Española”. 16 “Charle con Florentino Pérez,” El Mundo. 17 Teka es un fabricante de muebles de cocina y Otaysa una cadena de agencias de automóviles. El contrato de patrocinios en camisetas consistía en vender el derecho de exhibir el nombre del patrocinador en la camiseta oficial del equipo.
  • 6.
    107-S21 Hala Madrid:Dirigiendo el Club de futbol Real Madrid, el equipo del siglo 6 estándares de desempeño, y contribución al progreso de la sociedad a nivel mundial. El modelo de Real Madrid definía tres niveles de patrocinio dependiendo de la visibilidad de la alianza y del acuerdo económico (véase el Anexo 5). Antes de que Florentino llegara, los contratos publicitarios con los jugadores se negociaban individualmente con cada uno, en procesos que podían llegar a ser hostiles y que algunas veces creaban enemistad entre el Club y sus jugadores. En un giro innovador de marketing, el nuevo equipo directivo estableció una política que exigía a todos los nuevos jugadores y a todas las renovaciones de contrato ceder todos los derechos de uso de imagen al Club. Luego, entre los jugadores y el club repartían los ingresos en una proporción previamente acordada. Estos contratos reconocían que tanto el Real Madrid como los jugadores contribuían al valor de los anuncios. Por ejemplo, si un comercial mostraba a varios jugadores del Real Madrid vistiendo sus uniformes, el club percibía el 100% de los ingresos porque básicamente era considerado un comercial del equipo. Cuando un jugador solo era contratado para un comercial y el club era dueño de su imagen, los beneficios se repartían de dos maneras. Si el jugador no compartía los derechos con el club, él recibía el 100% de los beneficios, pero no le era permitido participar en un comercial vistiendo la camiseta del equipo a no ser que él negociara separadamente con el club. La nueva política triplicó los ingresos por patrocinios, derechos de imagen, y publicidad durante los primeros cuatro años de Florentino al frente del Club—significando más del 10% de los ingresos del Real Madrid, o €25 millones para la temporada 2003–04. Distribución, Artículos Promocionales y Licencias Antes de que el nuevo equipo directivo tomara el mando, las camisetas eran el único producto bajo licencia del Real Madrid. Sánchez estaba encargado de conseguir licenciatarios para crear productos Real Madrid y llevar la marca Real Madrid a las tiendas minoristas. En 2004 él logró que los ingresos por licencias aumentaran a €51 millones de euros, representando 80 licencias para más de 450 productos en 2004.18 Sumado a este crecimiento, el Club abrió varias tiendas minoristas propias en lugar de franquiciarlas para proteger la integridad de la marca. Las tiendas, que ofrecían únicamente los productos Real Madrid, fueron diseñadas para permitirle al cliente vivir la experiencia “blanca”,19 con monitores de televisión que reproducían de forma muy notoria los partidos del equipo e imágenes de los jugadores así como memorabilia. La adición de una tienda on-line y ventas por catálogo y por teléfono extendía el alcance de las tiendas de Madrid. Para dar soporte a su estrategia de crecimiento, Real Madrid comenzó a estandarizar las licencias y a combatir la piratería. El esfuerzo por lograr la estandarización abarcó no sólo la homogenización de los contratos de licencia sino también la selección de licenciatarios de alta calidad y el control de la consistencia de la imagen presentada en toda la gama de productos. Para reducir las pérdidas causadas por la piratería, el club desarrolló una línea de menor precio, la colección Hala Madrid, dirigida a segmentos de mercado específicos y que no canibalizaba a la línea de artículos 18 A pesar de que el Real Madrid ofreció 15 licencias generando 15 millones en su temporada 1999–2000, la definición utilizada incluía lo que podría definirse más apropiadamente como patrocinios. En 2004, la definición de licencia había cambiado. Por ejemplo: Pepsi era considerada una licenciataria en 2000 bajo un contrato; sin embargo años después era considerada como una patrocinadora bajo la nueva definición. Solamente dos de las 15 “licencias” otorgadas en la temporada 1999–2000 hubieran calificado como tales en el 2004. 19 Con referencia al uniforme blanco de Real Madrid.
  • 7.
    Hala Madrid: Dirigiendoel Club de futbol Real Madrid, el equipo del siglo 107-S21 7 comercializada conjuntamente con Adidas. Además, Real Madrid inició acciones legales contra la piratería cuando fue necesario. Internacionalización y Nuevas Tecnologías Real Madrid estaba intentando aumentar su base de seguidores en España y en el resto del mundo. Real Madrid era una marca que resultaba muy familiar en España y Sudamérica y era también una marca fuerte en Europa, no así en Norteamérica y Asia. Para desarrollar estos nuevos mercados, el club decidió incluirlos al momento de planear los destinos para los partidos de pretemporada y le dió prioridad a la contratación de jugadores estrellas que ya fueran conocidos en Asia y Norteamérica. Los juegos de exhibición, especialmente durante la pretemporada, eran planeados con propósitos de entrenamiento. Pero durante la era de Florentino, estos juegos también se convirtieron en un elemento importante de la estrategia de marketing porque expandían la base de seguidores del Real Madrid y también generaban ingresos (€17 millones, 5,5% de los ingresos, en la temporada 2003– 04).20 Las victorias del equipo, sus estrellas, y su penetración en nuevos mercados como Asia llevó a ventas récord de camisetas. En la temporada de 1999–2000, se vendieron 80,000 camisetas, la mitad de ellas cuando el equipo ganó su octavo título de la Liga de Campeones. En la temporada 2002–03, el volumen de ventas superó las 900,000 camisetas vendidas del Manchester United. Para la temporada 2003–04, la cifra inicialmente proyectada por el departamento de marketing de 1.2 millones de camisetas fue superada por un amplio margen, en parte debido a la nueva estrella David Beckham, a quien se atribuyó que las camisetas con el número 23 se vendieran exitosamente a muchos seguidores del icono británico. En septiembre de 2004, el informe de “Global Football Monitor” publicado por Sport + Markt afirmaba que el Real Madrid tenía una base potencial de seguidores de 490 millones en el mundo, “100 millones más que su rival más cercano el club inglés de la Liga Premier inglesa, el Manchester United, que tenía una base potencial de 350 millones de seguidores… Incluso en el mercado inglés, 14% de los entrevistados respondieron que estaban ‘muy interesados’ en el Real Madrid, apenas 6 puntos porcentuales detrás del Manchester United y solamente 1% detrás del club de la Liga Premier, el Arsenal.”21 Finalmente, Real Madrid intentaba capitalizar algo del contenido que generaba a través de un esfuerzo coordinado para aprovechar la variedad de medios, incluyendo Internet (www.realmadrid.com), televisión (RealMadridTV),22 e inclusive telefonía móvil (distribución de contenido a través de mensajes SMS). Los ingresos por la internacionalización y las nuevas tecnologías representaron €8,5 millones de euros en 2003–04 o 10% del total de los ingresos por marketing. 20 Los ingresos por los partidos de exhibición eran asignados a la división deportiva. 21 “Soccer Investor,” Edición 1643, Daily Bulletin, 13 de septiembre de 2004. 22 El Club planeó la transformación de RealmadridTV de un canal nacional de paga a un canal internacional gratuito para aumentar su base de seguidores.
  • 8.
    107-S21 Hala Madrid:Dirigiendo el Club de futbol Real Madrid, el equipo del siglo 8 Zidanes & Pavones En relación al el juego en sí, Florentino quería revivir el mito del Real Madrid. En los años previos a su elección más de 5,000 socios abandonaron el Club a pesar de la victoria del equipo en dos Copas Europeas.23 El triunfar no era suficiente para sus seguidores; el fútbol del Real Madrid tenía que ser también algo bello. Florentino decidió revivir una estrategia tradicional de Real Madrid que fue implementada por primera vez por el carismático ex-presidente Santiago Bernabéu, que mezclaba a las estrellas con jugadores de las fuerzas básicas o cantera24. Real Madrid esperaba usar a “Zidanes y Pavones,”25 como era llamada esta estrategia por la prensa, para recuperar el lugar que le correspondía en la cima de fútbol europeo. Contrataciones de Estrellas Consagradas Los equipos europeos de fútbol podían “vender” o “comprar” jugadores a cambio del pago de una transferencia, con la condición de que el jugador y los equipos estuvieran de acuerdo en la transacción. Un pago de transferencia era la compensación única que el equipo vendedor recibía del equipo comprador para liberar a un jugador de las obligaciones contractuales existentes. Utilizando este medio, los equipos desarrollaron diferentes estrategias para dar forma a sus escuadras. Mientras que algunos equipos no incorporaban jugadores de otros equipos y se abastecían sólo internamente, la mayoría adquirían jugadores jóvenes y prometedores con la expectativa de que ellos se convirtieran en estrellas. La estrategia de Florentino era distinta porque él se comprometió a contratar a un jugador de otro equipo cada año. Él repetidamente hizo pública su preocupación de que, por muchos años, los grandes jugadores de fútbol no venían al Real Madrid—ellos se iban a Italia o a veces a Inglaterra o a Barcelona. Como presidente del equipo, Florentino estaba determinado a cambiar esta situación. La incorporación regular de estrellas consagradas ayudaría a alimentar la experiencia de euforia y emoción del partido que los fanáticos tanto amaban -y reforzaría la marca Real Madrid ayudando al club a conseguir nuevos ingresos por marketing de la base de fanáticos leales que seguían a sus megaestrellas favoritas de un equipo a otro. Florentino se refirió a esta estrategia como “el motor del crecimiento económico.” La primera megaestrella en unirse a Real Madrid fue Luis Figo, del archirival Barcelona, que se convirtió en la pieza central de la campaña electoral de Florentino. Florentino contrató luego a Zidane—considerado por muchos el mejor jugador activo en el mundo y uno de los cinco mejores en la historia del fútbol—en 2001.26 En 2002 Florentino contrató a Ronaldo, el delantero más famoso del mundo, y en 2003 la estrella inglesa e icono de los medios David Beckham se unió al Real Madrid (véase Anexo 6). 23 “Charle con Florentino Pérez,” El Mundo, http://www.el-mundo.es/encuentros/invitados/2000/07/67. 24 El término Cantera se refiere genéricamente al sistema de fuerzas básicas que incluye dos equipos de las ligas menores y 10 equipos organizados por edades con jugadores de 9 a 19 años de edad. 25 La frase se refería al francés Zinedine Zidane, que era considerado por muchos el mejor jugador activo del mundo, y a Francisco Pavón, un joven defensa que había llegado de un equipo del semillero cuando tenia 21 años, habiendo sido parte de club desde que tenía 10 años de edad. 26 “Zidane scoops world honour,” BBC Sport, 15 de diciembre de 2003, http://news.bbc.co.uk/sport1/hi/football/3321069.stm.
  • 9.
    Hala Madrid: Dirigiendoel Club de futbol Real Madrid, el equipo del siglo 107-S21 9 Real Madrid podía ahora vanagloriarse de ser uno de los mejores equipos en la historia del fútbol. De hecho, cinco de los 10 nominados al premio Jugador del Año 2003 de la FIFA jugaban para Real Madrid. Esta constelación de estrellas, apodada por la prensa como los “galácticos”, impulsó la expansión internacional y el aumento de los ingresos por marketing. Esta estrategia funcionó tan bien con la prensa y el público que cada primavera había una enorme especulación de la prensa sobre quién sería la próxima megaestrella. Administración de La Cantera La otra principal fuente de jugadores del Real Madrid era la cantera, que usualmente tenía muchos candidatos sobresalientes comparables con jugadores famosos que también habían salido de la cantera como Guti, Raúl, o Casillas. La cantera tenía tres objetivos principales: identificar, desarrollar, y encontrar una vía de colocación de jugadores. La misión del encargado era identificar nuevos jugadores jóvenes con la ayuda de sus 24 ‘scouts’ o buscadores de talentos, 11 en el área de Madrid y 13 en el resto de España. Los scouts eran contratistas independientes que recibían una cuota fija baja y una parte variable según el desempeño de los jugadores que recomendaban. Fuera de España, el director de la cantera se encargaba de la búsqueda de forma más limitada observando torneos e informes de terceros. En cuanto al desarrollo, Real Madrid entrenaba a sus jugadores jóvenes y les brindaba formación educativa general.27 El desarrollo de jugadores era una tarea delicada, porque mucha responsabilidad a una edad muy temprana podría extenuarlos. Dos soluciones posibles eran incorporarlos progresivamente al primer equipo o darlos en préstamo a otros equipos. Esta función crítica era desempeñada por el entrenador, quien tenía que evaluar los resultados deportivos en el momento al mismo tiempo que consideraba el futuro del equipo. Finalmente, el entrenador del primer equipo era responsable de determinar el futuro de los jugadores. Él los evaluaba para determinar si serían retenidos con la intención de ser promovidos al primer equipo, si serían prestados, o si serían vendidos a otro equipo. Una de las tareas más importantes y difíciles de la cantera era estructurar los contratos de los jugadores. Si un jugador tenía potencial de convertirse en estrella, lo mejor era un contrato de largo plazo porque ayudaba a retenerlo, mientras que un contrato de corto plazo motivaría al jugador a irse al finalizar su contrato, forzando al Real Madrid a pagarle un sueldo más alto para retenerlo. Si esto ocurría, el club nunca obtendría los beneficios por lo invertido durante su desarrollo. La desventaja de un contrato de largo plazo se hacía evidente cuando el club accidentalmente firmaba con un jugador mediocre que se negara a renunciar mientras pudiera obtener un salario sustancioso. Las mismas consideraciones aplicaban también a los salarios: si Real Madrid pagaba muy poco, un buen candidato podría ser adquirido por otro equipo, y si pagaba demasiado, podría quedarse con un jugador caro y mediocre. En el caso de las estrellas consagradas, los contratos incluían bonos por los logros deportivos y por la cantidad de partidos jugados, pero no incluían compensación alguna basada en estadísticas de desempeño como goles, pases, o pelotas recuperadas. 27 Los jugadores menores de 18 años eran inscritos en escuelas privadas de Madrid mediante una beca del Real Madrid. Los jugadores mayores de 18 años que quisieran ir a la universidad o hacerse de un título profesional recibían una beca completa del Real Madrid.
  • 10.
    107-S21 Hala Madrid:Dirigiendo el Club de futbol Real Madrid, el equipo del siglo 10 El Proceso Presupuestario El director corporativo coordinaba el desarrollo del plan anual, que comenzaba cuando los directores del equipo y los ejecutivos definían los objetivos para la nueva temporada a comienzos de mayo (véase el Anexo 7). Estos objetivos, a su vez, eran utilizados para elaborar el presupuesto anual para el nuevo año fiscal y para el plan de mediano plazo para los tres años siguientes. Mientras que el presupuesto tenía que ser aprobado por los socios en la reunión anual, el plan de mediano plazo no ya que era utilizado exclusivamente como una herramienta de control interno. Con la guía de los objetivos estratégicos y los supuestos proporcionados por el director corporativo (véase el Anexo 8), cada unidad operativa preparaba un presupuesto preliminar. A pesar de su nombre, este documento era, en realidad, un plan de acción que incluía una descripción de todas las iniciativas que la unidad quería llevar a cabo durante el nuevo periodo y la combinación de Indicadores Clave de Desempeño (o Key Performance Indicators -KPIs) según los cuales se evaluaría el desempeño de la dirección (véase el Anexo 3 para la lista de KPI). El presupuesto preliminar estaba acompañado por una lista de recursos necesarios por cada unidad para alcanzar sus objetivos. Los recursos solicitados en el presupuesto preliminar eran luego evaluados por las respectivas unidades corporativas (Recursos Humanos, Seguros, Infraestructura, etc.). Los recursos eran asignados de forma preliminar a aquellas iniciativas con mayor prioridad, y posteriormente las unidades operativas revisaban los presupuestos. Los planes resultantes eran luego consolidados entre las cuatro áreas directivas antes de ser enviados para su aprobación a la junta directiva, al consejo directivo, y a los socios. Durante la fase de evaluación económica y ejecución, el director corporativo participaba en varias reuniones informales con las distintas unidades operativas, además de participar en las reuniones formales de discusión del presupuesto. El consejo directivo normalmente votaba sobre el presupuesto durante el fin de semana del primer partido oficial de local de la temporada (a fines de agosto o comienzos de septiembre). Una vez aprobado por el consejo directivo, el presupuesto era enviado a la Liga de Fútbol Profesional (LFP) y al Consejo Superior de Deportes (CSD).28 La falta de presentación de presupuestos aceptables a estas organizaciones provocaba que el equipo fuera excluido de los torneos oficiales. A comienzos de octubre, la asamblea general de socios aprobaba los estados financieros del año fiscal anterior y el presupuesto para la temporada que corría. El control y el seguimiento del presupuesto se llevaba a cabo mensualmente por cada área según su Balanced Scorecard, que incluía KPIs financieros y no financieros. Además, otros dos documentos internos eran utilizados para implementar el presupuesto: el UPA (Última Previsión Anualizada),29 que se desarrollaba cada tres meses como la proyección de desempeño anual mas actualizada, y la Síntesis Ejecutiva de Información Económica donde mensualmente analizaban los riesgos y las oportunidades de cada área para la junta directiva. 28 La Liga de Fútbol Profesional (LFP) es la asociación que representa a los principales equipos de fútbol, supervisaba la organización de los campeonatos nacionales y negociaba colectivamente los programas transmitidos por TV. El Consejo Superior de Deportes (CSD) era parte del Ministerio de Educación Español y supervisaba a todas las organizaciones deportivas privadas. 29 Proyección Anualizada más reciente.
  • 11.
    Hala Madrid: Dirigiendoel Club de futbol Real Madrid, el equipo del siglo 107-S21 11 La Preparación del Presupuesto Había sido un largo día en las oficinas del estadio Santiago Bernabéu. A pesar de que ya había concluído la temporada 2003–04, el equipo de ejecutivos del Real Madrid no podía darse el lujo de tomarse un merecido descanso. El año había sido decepcionante en el aspecto deportivo. A pesar de que el equipo había luchado por ganar tres de los principales campeonatos, las derrotas de abril y mayo los habían dejado con las manos vacías. Sin embargo, a pesar de los infortunios deportivos, la temporada había sido un éxito total desde la perspectiva económica, generando ingresos récord (véase el Anexo 9) y los cambios que habían comenzado en 2000 cuando Florentino ganó las elecciones continuaban (véase el Anexo 10). Los resultados deportivos decepcionantes, junto con las elecciones presidenciales del Club del 11 de Julio, volvían particularmente complejo al proceso presupuestario de la temporada 2004–05. Valdano, director general deportivo, sintetizó la importancia del presupuesto con precisión: “Nadie ha visto jamás una concentración [de jugadores y fanáticos] en La Cibeles30 celebrando un balance general—pero es necesario un balance saludable si deseamos llegar a celebrar a La Cibeles.” El presupuesto necesitaba estar razonablemente listo para la próxima conferencia de prensa y para la reunión de la junta directiva que se llevaría a cabo justo antes, en la que se tomarían decisiones importantes. La junta y los periodistas analizarían cada línea del presupuesto y cuestionarían las suposiciones que la sustentan para evaluar la prudencia del plan. A ese respecto, la correcta interpretación de las desviaciones del presupuesto 2003–04 sería importante para mejorar la precisión del nuevo presupuesto (véase el Anexo 11). Ingresos Los miembros del Club y el estadio El estadio Santiago Bernabéu tenía una capacidad de aproximadamente 80,000 asientos regulares y 200 palcos privados. Real Madrid había vendido ya el 70% de la capacidad de su estadio a seguidores que compraban boletos para toda la temporada. Los precios de los boletos para toda la temporada tenían un descuento de aproximadamente 60% sobre el precio de los boletos para un único partido a valor nominal, y su precio variaba entre €120 y €1,100 para 19 partidos locales. A pesar de que Real Madrid podía vender el estadio entero en paquetes para toda la temporada, el club prefirió dejar 30% de los asientos abiertos para garantizar la ampliación y renovación de la base de seguidores permitiendo que más personas pudieran presenciar los partidos. Manuel Redondo, el gerente general de la presidencia, señaló que “esta política no tiene costo alguno para Real Madrid porque ellos llenan el estadio la mayoría de los partidos.” Históricamente los 200 palcos se alquilaban cada año, y sus precios, que dependían del número de asientos, superaban hasta en cinco veces el precio de los asientos regulares en ubicaciones similares. La lista de espera para los palcos era muy larga (más de 300 compañías). Los esfuerzos del club para satisfacer esta valiosa demanda se encontró ante las limitaciones arquitectónicas del estadio (aunque para la temporada 2004–05, el Club había logrado ampliar su capacidad en 20 palcos más). Debido a la imposibilidad física para satisfacer esta demanda, el Real Madrid transformó algunas áreas del estadio en sectores VIP, con áreas de servicios de comida premium y acceso restringido. El sector de asientos VIP, que tenía un valor premium de 300%, fue introducido en 2002, y para la temporada 2004–05 su capacidad había aumentado de 670 a 1920 asientos. Como resultado de estas mejoras, los 30 La Cibeles es una fuente en el centro de Madrid en honor a la Antigua Diosa Madre Cibeles, donde los aficionados y los jugadores de Real Madrid celebran los campeonatos del equipo.
  • 12.
    107-S21 Hala Madrid:Dirigiendo el Club de futbol Real Madrid, el equipo del siglo 12 ingresos por los palcos y asientos premium para la temporada entrante se incrementarían de €12.5 millones de euros a €15.3 millones. Los resultados de la temporada 2003–04 que Redondo presentaba mostraban que el club apenas había alcanzado su objetivo presupuestal en esta área, a pesar de que los resultados excedían normalmente el presupuesto. Redondo pensó que los ingresos provenientes de las taquillas no crecerían demasiado debido a que: 1. Sus suposiciones ya incluían estadios llenos para la mayoría de los partidos oficiales, en función a lo que había sucedido en el pasado (véase el Anexo 12). 2. Las desviaciones en los años anteriores se habían dado debido al gran desempeño del equipo en la Liga de Campeones. Para los propósitos del presupuesto los ejecutivos habían supuesto que el club podría alcanzar los cuartos de final (véase Anexo 8), a pesar de que Real Madrid había llegado hasta las semifinales en cinco de los seis años anteriores. Para el nuevo presupuesto, Redondo sostenía que habría un aumento del 5% en los ingresos del estadio por asientos agregados con la construcción de una nueva tribuna y las mejoras descritas para los asientos en las áreas premium alcanzando un total de €68 millones de euros. Pretemporada, partidos internacionales y de exhibición Esta línea de ingresos incluyó bonos por progreso, bonos pagados por UEFA, la gira de verano, y partidos de exhibición. Para la copa UEFA, Butragueño, el subdirector deportivo, de nuevo había supuesto en el presupuesto que el equipo avanzaría solamente hasta los cuartos de final de la Liga de Campeones. Para los juegos de la pretemporada, el club estaba bajo presión porque su participación en la ronda preliminar de la Liga de Campeones de 2004–05 a mediados de agosto reduciría inevitablemente la cantidad de partidos que se jugarían en la gira de verano en Asia. Sin embargo, luego de negociar con sus socios asiáticos, Martínez de Albornoz y Butragueño consiguieron ajustar la gira de Asia a una agenda más reducida. Así, Butragueño esperaba continuar con el crecimiento de esta línea de ingresos y obtener €25 millones de los juegos de pretemporada y de los bonos de la Liga de Campeones.31 Derechos de TV/transmisión Esta línea del presupuesto incluía la participación del Real Madrid en los ingresos de TV de las Ligas Española y Europeas-, transmisiones “pay-per-view”, y RealMadridTV, un canal de TV de paga con contenido relacionado con el Real Madrid. Los ingresos por TV no habían experimentado grandes cambios desde el inicio del mandato de Florentino hasta la temporada 2003–04 cuando los ingresos aumentaron de aproximadamente €46 millones de euros a €69 millones (véase el Anexo 13). Se esperaba que los ingresos se mantuvieran en el rango de los €70 millones de euros durante los próximos años hasta que los contratos vencieran en 2008. Ingresos por Marketing Debido a que se esperaba que los ingresos por la venta de boletos y por derechos de TV se mantuvieran prácticamente sin cambio, el Club se concentró en el marketing para 31 Para ganar el acceso a la Liga de Campeones de la UEFA, el equipo debía clasificar entre los cuatro mejores de la Liga de España del año anterior. UEFA recibía todos los ingresos por TV, parte de los cuales eran distribuidos a los equipos participantes por medio del sistema de bonos basado en triunfos y posiciones finales. Para la temporada 2003–04, cada equipo participante en la Liga de Campeones recibió un bono por su participación de 1,6 millones de euros, 325.000 por victoria, 163.000 por empate, y un bono adicional que variaba entre 2,6 millones de euros para cada equipo que llegara a cuartos de final y 6,5 millones para el ganador.
  • 13.
    Hala Madrid: Dirigiendoel Club de futbol Real Madrid, el equipo del siglo 107-S21 13 aumentar sus ingresos. Sánchez (el director general de marketing) había conducido exitosamente al club a un crecimiento espectacular de ingresos por marketing en los años anteriores—pero era un ritmo de crecimiento que resultaba difícil de mantener. Él sentía que aumentar la venta de artículos y los ingresos por publicidad sería un desafío enorme en el futuro. Aunque no estaba claro cómo los resultados deportivos recientes afectarían los ingresos por distribución y ventas de equipo deportivo a nivel mundial para el año entrante, el club esperaba abrir tres nuevas tiendas en el área metropolitana de Madrid, expandir las licencias de productos, y renegociar los acuerdos de licencias que estaban a punto de ser renovados. El club también esperaba firmar más acuerdos de distribución en el extranjero, como el nuevo acuerdo con Platia, en Japón. Por otro lado, se esperaba que los ingresos por publicidad crecieran 43% debido a los cambios legales en la sociedad que administraba los derechos de imagen del club,32 que ahora requerían que Real Madrid consolidara los ingresos provenientes de esa alianza y los gastos en sus propios estados financieros. La única otra forma de aumentar los ingresos por marketing sería atrayendo patrocinadores adicionales o contratos de publicidad con los jugadores, parecidos a la ampliación del contrato de patrocinio que el club acababa de negociar recientemente con Adidas. La dificultad estaría en encontrar candidatos en nuevas industrias que no entraran en conflicto con los socios existentes y que se alinearan bien con el Real Madrid. Debido a los planes de marketing descritos anteriormente, la unidad de Sánchez esperaba ver un crecimiento de entre €40 millones y €125 millones de euros en el siguiente año—más aún si obtuviera nuevos patrocinadores. Este número no incluía la actividad promocional que resultaría de la adquisición de nuevos jugadores. Resultados extraordinarios Los ingresos extraordinarios para la temporada 2003–04 eran resultado mayormente de la venta de los terrenos de entrenamiento. Sin embargo, esta transacción no tendría impacto sobre los estados financieros de 2004–05; y por lo tanto no se incluían ingresos extraordinarios en el presupuesto salvo la transferencia de jugadores de la cantera que podría ocurrir a más tardar el 31 de agosto. Gastos Salarios Los salarios eran el elemento más importante del gasto y habían aumentado de forma sostenida durante los últimos años conforme las nuevas megaestrellas se sumaban al equipo. Los aumentos fueron ligeramente mitigados durante la temporada 2003–04 (véase el Anexo 14). Esta línea presupuestaria era un elemento importante las decisiones que la dirección tomaba acerca de qué jugadores contratar para la siguiente temporada. Butragueño, Sánchez, y el director técnico recientemente incorporado, José Antonio Camacho, eran los personajes claves en esta decisión. Sin embargo, el consejo directivo tenía la última palabra sobre la adquisición de jugadores, y siempre habían alineado a las decisiones de Florentino. 32 En 2001 Real Madrid firmó un acuerdo para la administración conjunta de los derechos de imagen con Caja Madrid, Sogecable y Mediapro por un periodo de 11 años. Estas firmas obtendrían el 12,5%, 10,0%, y 7,5% de los derechos, respectivamente, y Real Madrid retendría el 70% restante. En junio de 2004 estas firmas formaron una compañía independiente, Real Madrid Gestión de Derechos, para administrar todos los derechos de imagen del club. Debido a que las reglas de la contabilidad españolas requerían que Real Madrid consolidara todos los ingresos y costos de esta firma en sus propios estados contables, —y las políticas del club exigían que los elementos del presupuesto reflejaran los estados financieros—el club necesitaría reconocer un 43% de aumento en ingresos por publicidad en sus presupuestos para el año en curso.
  • 14.
    107-S21 Hala Madrid:Dirigiendo el Club de futbol Real Madrid, el equipo del siglo 14 Para la temporada 2004–05, Florentino insistió en contratar a una estrella de clase mundial que pudiera ayudar al equipo a ganar más torneos y cuya popularidad mundial contribuyera a generar un crecimiento de ingresos sostenible. Con un sueldo bruto de €10 millones de euros al año, la historia reciente sugería que semejante jugador costaría entre €30 y €50 millones de euros, dependiendo de su edad y del número de años pendientes para finalizar su actual contrato.33 También, el equipo de dirección tenía que decidir cuáles jugadores de la cantera estaban en condiciones de sumarse al equipo y cuales debían ser transferidos. Los jugadores promocionados internamente cobrarían entre €400.000 y €1 millón de euros. Sin embargo, muchos señalaban que el equipo también necesitaba refuerzos menos espectaculares en varias posiciones para darle fortaleza a la banca. En todo caso esto representaría un cambio significativo respecto de la estrategia anterior de Zidanes & Pavones. El monto a pagar por la transferencia de estos jugadores estaba en el rango de €15 a €25 millones de euros y sus sueldos entre €2 millones y €4 millones por año. Los directores deportivos querían aprovechar la mayoría de estas opciones, si no es que todas; sin embargo, cada nuevo contrato aumentaba más aún los gastos y se acercaba al límite establecido por Real Madrid para gastos en salarios—50% de los ingresos ordinarios. Además, como el contrato típico tenía una duración de cuatro años, las decisiones de contratación afectarían la flexibilidad financiera en los periodos futuros. Todas estas consideraciones hacían que el proceso de la elaboración del presupuesto se convirtiera en un difícil ejercicio de malabares. Antes de considerar las decisiones de las nuevas contrataciones, el presupuesto de los gastos del personal (incluyendo la sección de basketball y el equipo directivo) era de aproximadamente €130 millones de euros. Gastos operativos Todos los demás gastos operativos incluyendo los de las operaciones del estadio, marketing, la producción de Real Madrid TV, tecnología, e infraestructura tenían aún que ser presupuestados. Los gastos operativos aumentarían también para la temporada 2004–05 en línea con los cambios en el criterio de consolidación para Real Madrid Gestión de Derechos.34 El resultado neto de todas estas tendencias era que los gastos operativos presupuestados para la temporada 2004-05 serían de €90 millones de euros. Depreciación ordinaria Se presupuestó que la depreciación de la propiedad y de los equipos aumentaría un 20% a €16 millones de euros debido a que el club capitalizó las mejoras en el estadio y los costos de la construcción de la “Ciudad del Real Madrid.” Amortización acelerada La línea de amortización capturaba el costo de los pagos por transferencia de los jugadores. A pesar del hecho de que las reglas de la contabilidad en España promovían la amortización de los pagos por transferencia a lo largo de toda la vigencia del contrato, Real Madrid decidió amortizar el valor total de los pagos por transferencia el mismo año en que cada jugador era adquirido. En los años previos, la adquisición de un jugador estrella al año dominaba esta cuenta (Zidane 2001–02, Ronaldo 2002–03, y Beckham y Samuel 2003–04). Real Madrid aún no había 33 Por ejemplo, en agosto de 2004 Manchester United pagó £27 millones al Everton F.C. por la transferencia del delantero de 18 años Wayne Rooney, que recibiría £3 millones de libras de sueldo anual. (Chris Boffey, “Rooney signs for United in £27m deal,” news.telegraph, 1 de septiembre de 2004, http://www.sport.telegraph.co.uk/news/main.jhtml?xml=/news/2004/09/01/nroon01.xml.) 34 Véase referencia 32.
  • 15.
    Hala Madrid: Dirigiendoel Club de futbol Real Madrid, el equipo del siglo 107-S21 15 presupuestado este concepto del estado de resultados y decidiría sobre este tema al final de la temporada, cuando el Club tuviera una idea más clara de los ingresos netos del año. * * * * * Conforme Martínez de Albornoz revisaba el plan anual preliminar una vez más, pensaba en las decisiones que vendrían. En los pocos años desde que Florentino llegara, Real Madrid se había convertido en el equipo de fútbol económicamente más poderoso del mundo. Se había logrado mucho, pero mantener este nivel de éxito no sería sencillo. Cada decisión, ya fuera la incorporación de un nuevo jugador o la firma de un nuevo contrato de patrocinio, tenía que contribuir a un único objetivo—convertir a Real Madrid en el equipo del Siglo XXI. Con esta filosofía el equipo estaba considerando la adquisición de varios jugadores. Esto podría contribuir de forma definitiva al éxito del equipo; sin embargo, el derroche de dinero en la nómina de jugadores podría poner en peligro el futuro financiero del equipo.
  • 16.
    107-S21-16- Anexo1RealMadrid:CapitalNeto,VentasNetasyDeudaNeta Fuente:Archivosdelclub. aLaDeudaNetaesiguala:DeudaBancaria+PasivosdeLargoPlazo+ImpuestosporPagar–Efectivo–CapitaldeTrabajoNeto–CuentasporCobrardeLargoPlazo. Capitalantes delefectode amortización anticipada € millones •IntheyearendedJune2000,netdebtwasequaltotwoyearsof •IntheyearendedJune2004,netdebtwasequaltotwomonthsof •IntheyearendedJune2000,netdebtwasequaltotwoyearsof •IntheyearendedJune2004,netdebtwasequaltotwomonthsof 214 a 129 138 152 193 236 245 271 60 39 66 80 74 30 62 68 0 100 200 300 1999–20002000–20012001–20022002–20032003–2004 CapitalNeto VentasNetas DeudaNeta •IntheyearendedJune2000,netdebtwasequaltotwoyearsof •IntheyearendedJune2004,netdebtwasequaltotwomonthsof •EnelañoqueterminóenJunio2000,ladeudanetaeraigualadosañosdeventasyochoveceselcapitalneto • 214 EnelañoqueterminóenJunio2004,ladeudanetaeraigualadosmesesdeventasysólounterciodelcapitalneto
  • 17.
  • 18.
    107-S21-18- Anexo3HojasdeEvaluación DIVISIÓNDEFUTBOL ÉXITOINDICADORESCLAVEDEDESEMPEÑO(KPI) OptimizarcostosCostosdelárea FinanzasOptimizarlarentabilidaddelainversiónenlosjugadores Ingresosporventas/transferenciadejugadores Desviacióndelpresupuestoenrelaciónalossalariosdelosjugadores MaximizarlosingresosIngresosdelárea ClientesCalidadrecibidaporelclienteinterno/externoCalidadPercibida Novatosdelprimerequipoqueseconviertenenintegrantesdelequipoenla temporadasiguiente OptimizarlaefectividaddeláreaNúmerodepartidosjugadospornovatoencompetenciasoficiales ProcesosInternos Porcentajedejugadorespromovidosalosequiposdecategoríasuperior MaximizarlarentabilidaddeportivaLogrosdeportivos AprendizajeyCrecimientoPlanesdeinnovaciónymejorasPorcentajedecumplimientodelplan(velocidad/calidad) DIVISIÓNDEADMINSITRACIÓNDELACAPACIDADEINSTALACIONES ÉXITOINDICADORESCLAVEDEDESEMPEÑO(KPI) OptimizarcostosCostosdelárea Financiero MaximizarlosingresosIngresosdelárea ClienteCalidadrecibidaporelclienteinterno/externoCalidadpercibida Porcentajepromediodelacapacidadvendida OptimizarlaadministracióndelacapacidadBoletosvendidosano-socios MaximizarlaventadeboletosdelasáreasVIPCantidaddeboletosVIPvendidosenpaqueteparatodalatemporada MinimizarlaventadeboletosvendidosenlastaquillasVentasdeboletosentaquilla/ventastotales ProcesosInternos MinimizarlosperiodosdeesperaTiempodeesperaparacomprarboletos OptimizarlascuentasporcobrarenrelaciónapaquetesdeTasadeincobrablesdepaquetesdeboletosparatodalatemporada boletosparatodalatemporada Porcentajededueñosdepaquetesdeboletosparatodalatemporadacon débitodirecto Minimizarlosincidentesenmostradores,palcosyáreasVIPNúmerodeincidentes AprendizajeycrecimientoPlanesdeinnovaciónymejoraPorcentajedecumplimientodelplan(velocidad/calidad) Fuente:Archivosdelclub.
  • 19.
  • 20.
    107-S21-20- Anexo5TiposdePatrocinio Fuente:Archivosdelclub.Paíslocal PatrocinadoresNacionales Mundial Patrocinadores Internacionales Mundial Publicidad menor Publicidaden mediosdelClub UsodelaMarca enEspacios UsodelaMarcaen Productos DerechosdeImagen Alcancedelos Derechos MainSponsor TítulodePatrocinadorOficialdelReal Madrid DerechoausarlamarcaRealMadriden materialespublicitariosypromocionales Derechoausarimágenesdelequipo: fotografíasovideosconfinesde comunicación Derechoafilmaruncomercialconun númerodejugadoresdeterminadoporel Club TítulodePrincipalPatrocinadordelReal Madrid DerechoausarlamarcaRealMadriden materialespublicitariosypromocionales Derechoausarimágenesdelequipo: fotografíasovideosconfinesde comunicación Derechoafilmaruncomercialconun númerodejugadoresdeterminadoporel Club TítulodePatrocinadorOficialdelReal Madrid DerechoausarlamarcaRealMadriden materialespublicitariosypromocionales Derechoausarimágenesdelequipo: fotografíasovideosconfinesde comunicación Marcasenkitsdejuego ydeentrenamiento Marcasenkitsdecopia Bancasdeentrenadores Anunciosperimetrales Posicionesdeprensa Micrófonosensalasde prensa Pasillosdelestadioy entradas Autobúsdelequipo Anunciosperimetrales Posicionesdeprensa Pasillosdelestadioy entradas Autobúsdelequipo Pasillosdelestadioy entradas Autobúsdelequipo Revistasoficiales TVoficial Páginaweboficial Revistasoficiales TVoficial Páginaweboficial Taquillas BoletosVIP Boletos normales Taquillas Boletos VIP Boletos normales Boletos normales Revistasoficiales TVoficial Páginaweboficial
  • 21.
  • 22.
    107-S21-22- Anexo7ProcesoPresupuestariodeRealMadrid Fuente:Archivosdelclub,análisisdelautordelcaso. MayoJunioJulio/Agosto JuntaAnualde Socios Consejo Alta Dirección Unidades Corporativas Unidadesde Negocios Strategic Objectives: Short& sport ofneeds Coordination ofunitbudgets EconomicBudget Vote Approval Approval Strategic Objectives: ofneeds Coordination ofunitbudgets EconomicBudget Vote Approval Approval Septiembre Programa Electoral Objetivos Estratégicos: CortoyMediano Plazo Suposicionespara laPlaneación: Económicosy Deportivos Presupuestación denecesidades: -Personal -Inversión -Gastocorriente Evaluación económica delas necesidades Presupuesto Económico Coordinaciónde lospresupuestos delasunidades Aprobación Aprobación Aprobación PlaneaciónyControl Infrestructura,Seguro,etc) (RecursosHumanos, Unidadesdeapoyo
  • 23.
    Hala Madrid: Dirigiendoel Club de futbol Real Madrid, el equipo del siglo 107-S21 23 Anexo 8 Presupuesto del Club de Fútbol Real Madrid para 2004–05, 2005–06, y 2006–07 Supuestos SUPOSICIONES MACROECONÓMICAS Para presupuestar ingresos y gastos se considerarán las siguientes variables macroeconómicas serán siempre que sea necesario. INFLACIÓN Para ser considerada en los ingresos y gastos que contractualmente se ajusten en base al IPC y en los gastos del personal según está establecido en el acuerdo general de sueldos • España: 3,0% • EE.UU.: 1,5% TASA DE INTERÉS Para ser considerada en el presupuesto financiero de ingresos y gastos • EURIBOR 1 AÑO: 2,5% TASAS DE CAMBIO • 1,18 $/€ • 1,55 CHF/€ (ingresos de la UEFA) • 0,68 ₤/€ SUPUESTOS DE RESULTADOS DEPORTIVOS (2004–05) Al margen del objetivo de lograr la victoria en cada competencia, los siguientes objetivos se han establecido para presupuestar los ingresos y los gastos. PRIMER EQUIPO DE FÚTBOL LA LIGA: Llegar a la tercera posición. Esto significa jugar 19 partidos en el Estadio Santiago Bernabéu (ESB) y 19 partidos como visitantes. COPA DEL REY: Llegar a cuartos de final. Esto significa jugar 2 partidos en ESB y 4 como fuera. LIGA DE CAMPEONES: Llegar a cuartos de final. Esto significa jugar 5 partidos en ESB y 5 fuera. PRIMER EQUIPO DE BASQUETBOL LIGA ACB: Llegar a la cuarta posición. Esto significa jugar un mínimo de 19 partidos y un máximo de 23 partidos como locales y un mínimo de 19 partidos y un máximo de 23 partidos como visitantes. COPA DEL REY: EUROLIGA: Al momento, pendientes de definir su participarán en la temporada 2004–05. Fuente: Archivos del club.
  • 24.
  • 25.
    Hala Madrid: Dirigiendoel Club de futbol Real Madrid, el equipo del siglo 107-S21 25 Anexo 10 EBITDA del Real Madrid Fuente: Archivos del club. (Millones €) -24 -33 51 -40 -20 0 20 40 60 80 2000/01 2001/02 2002/03 2003/04 €) -24 -33 1 51
  • 26.
    107-S21 Hala Madrid:Dirigiendo el Club de futbol Real Madrid, el equipo del siglo 26 Anexo 11 Presupuesto y Resultados del Real Madrid 2003–04 Miles de € Presupuesto 2003–04 Real 2003–04 Diferencia 2003–04 Ingresos por socios del club e ingresos por el estadio 61,604 62,575 971 Partidos de pretemporada, internacionales y de exhibición 20,487 18,604 -1,883 Ingresos por transmisión 70,409 69,517 -892 Ingresos por marketing 80,060 85,305 5,245 TOTAL INGRESOS ORDINARIOS 232,560 236,001 3,441 Gastos en personal deportivo y no deportivo -133,236 -123,646 9,590 Gastos operativos -61,503 -61,166 337 EBITDA 37,821 51,189 13,368 Depreciación ordinaria -16,226 -13,204 3,022 EBIT 21,595 37,985 16,390 Resultados financieros -1,318 104 1,422 UTILIDAD ANTES DE ELEMENTOS EXTRAORDINARIOS 20,277 38,089 17,812 Resultados extraordinarios 38,552 33,515 -5,037 Amortización aceleradaa 0 -63,491 -63,491 UTILIDAD ANTES DE IMPUESTOS 58,829 8,113 -50,716 Impuestos (25%) -14,707 -2,048 12,659 UTILIDAD DESPUES DE IMPUESTOS 44,122 6,065 -38,057 PRINCIPALES INDICADORES DE DIRECCION Mezcla de Ingresos Socios y estadio 27% 27% 0% Exhibiciones e Internacional 9% 8% -1% Transmisión 30% 29% -1% Marketing 34% 36% 2% Relación de Gastos en Personal / Ingresos 57% 52% -5% Fuentes: Archivos del club. aAmortización de todos pagos por transferencias de los jugadores incorporados al equipo durante la temporada (Beckham, Samuel y otros) y amortización del costo por la recompra de los palcos del estadio.
  • 27.
    Hala Madrid: Dirigiendoel Club de futbol Real Madrid, el equipo del siglo 107-S21 27 Anexo 12 Asistencia a Partidos Fuente: Archivo del club. 42,200 43,147 57,707 60,394 66,133 71,500 0 10,000 20,000 30,000 40,000 50,000 60,000 70,000 80,000 1998/99 1999/00 2000/01 2001/02 2002/03 2003/04 Asistencia Promedio (número de personas)
  • 28.
    107-S21 Hala Madrid:Dirigiendo el Club de futbol Real Madrid, el equipo del siglo 28 Anexo 13 Evolución de los Ingresos por Transmisión 45,049 47,071 46,468 69,517 0 10,000 20,000 30,000 40,000 50,000 60,000 70,000 80,000 2000/01 2001/02 2002/03 2003/04 (thousand €) 45,049 47,071 46,468 69,517 0 10,000 20,000 30,000 40,000 50,000 60,000 70,000 80,000 2000/01 2001/02 2002/03 2003/04 (thousand €) Fuente: Archivos del club. (miles
  • 29.
    Hala Madrid: Dirigiendoel Club de futbol Real Madrid, el equipo del siglo 107-S21 29 Anexo 14 Gastos en Personal como Porcentaje de los Ingresos Ordinarios Fuente: Archivos del club. 0% 20% 40% 60% 80% 100% 2000/01 2001/02 2002/03 2003/04 86% 90% 72% 52% Nivel máximo recomendado por el G-14 para 2005 (70%) 118,602 €) 123,646138,659136,972 Gastos en Personal (miles