Área: Tecnología
informática
Cuaderno digital

Nombre: wilmar guerrero
Profesora: Lydia acosta
DESARROLLO DEL TALLER
•   Que es internet?

    Para mi internet es un medio por el cual podemos estar actualizados y por
    el cual podemos hacer diferentes cosas como investigar. El internet se lo
    puede utilizar de diferentes maneras y también es importante saber utilizarlo
    porque en él también hay tanto cosas buenas como malas.




•   Cuáles son los diferentes servicios que ofrece?

    Los servicios que ofrece internet son que podemos comunicarnos con
    diferentes personas del mundo podemos intercambiar diferentes cosas
    como imágenes, videos etc. También en el podemos estar actualizados y
    visitar diferentes paginas que nos ofrece la red como encontrar recursos
    educativos para nuestro trabajo escolar.
•   De los servicios que ofrece Internet cuales usa de manera frecuente y por
    qué?

    De los servicios que ofrece el internet los que uso frecuentemente son
    facebook, Messenger, youtube, wiki pedía. Porque en el facebook se
    puede crear una cuenta y estar comunicado con diferentes personas y
    además el servicio que brinda es muy bueno. Messenger lo utilizo porque en
    él se mantiene comunicado se puede chatear con amigos. Youtube se lo
    puede utilizar de diferentes maneras como mirar videos.




•   Cuáles son los riesgos del uso de internet. Como evita algunos de estos
    riesgos?
Los riesgos que pueden ocurrir en el uso del internet son que en algunas
    páginas hay informacion poco confiable, correo basura, virus, malas
    amistades, estafas etc. Estos riegos se los puede evitar sabiendo leer bien
    mirando a quien se acepta como amigos no abriendo avisos que digan
    que te has ganado cosas porque esos pueden ser virus y eso te puede
    afectar a tu equipo.




•   Cuáles son algunos consejos para usar Internet de manera segura.
    Qué importancia tienen estos consejos para su vida cotidiana?

    Los consejos para los niñ@s serian que cuando consigan un amigo por la
    red nunca den la información de cómo donde viven, estudian ni mandar
    fotografías o responder a mensajes desagradables que envíen y también
    mantener en secreto sus claves de acceso. La importancia que tienen estos
    consejos en mi vida cotidiana son que si cumples con esto no puedes tener
    problemas de los que te puedas arrepentir.
•   Cuáles son sus 10 comportamientos digitales. Acompáñelos de un
    comentario personal?




    1. Utilizo las TIC respetando a los otros, respetándome y haciéndome
       respetar.

•   Cuando utilizo las TIC me respeto y respeto a los demás, siendo consciente
    de que todos somos personas dignas.

•   Conozco que la injuria, la calumnia y la difamación son un delito o
    agravio contra el honor y el buen nombre de las personas.

•   Sé que el ultraje de obra o de palabra, divulgado a través de ambientes
    tecnológicos puede lesionar e irrespetar los derechos, la intimidad y la
    dignidad de una persona u organización.



    2. Ejerzo mi derecho a la libertad y respeto la de los demás.

•   Entiendo la libertad como la posibilidad de hacer lo que no daña a otro.

•   Tengo la opción de decidir mi participación en cualquier actividad que me
    ofrezcan los ambientes tecnológicos y de hacer respetar mi decisión
    respetando siempre la de los demás.



    3. Hago uso de mi identidad de manera segura en mi interacción con
       otros en los ambientes tecnológicos.
•   Protejo mi identidad haciendo buen uso de mi información confidencial.

•   Me identifico con claridad y honestidad, protegiendo mi información
    confidencial

•   No utilizo identidades falsas para suplantar personas en ambientes
    tecnológicos.

•   No comparto con otros mis claves de seguridad de acceso a los
    ambientes tecnológicos, para evitar que me suplanten y no lo hago con las
    de los demás.

•   No violo la privacidad y confidencialidad de los otros en los ambientes
    tecnológicos, aun cuando no haya sido debidamente protegida.



    4. Protejo mi integridad y seguridad personal y la de los demás.

•   Me cuido en los ambientes tecnológicos como lo haría cuando salgo a la
    calle, utilizando mi criterio para escoger los sitios que visito y las personas
    con las que interactúo.

•   Tomo las precauciones necesarias en las relaciones que establezco con
    otras personas que he conocido en los ambientes tecnológicos.



    5. Soy responsable con mi intimidad y la de los demás.

•   En los ambientes tecnológicos comparto información sin afectar mi
    intimidad, ni la de otros.

•   Respeto la información que tengo de las personas que conozco y no la
    publico sin su autorización en los ambientes tecnológicos.



    6. Utilizo las TIC para el libre desarrollo de mi personalidad y mi autonomía,
       y a través de ella reconozco y hago respetar mis creencias y
       pensamientos, y los de los demás.

•   Participo en los ambientes tecnológicos expresando libre, respetuosa y
    responsablemente mis preferencias, respetando siempre la diversidad, las
    opiniones, las creencias y los pensamientos de los demás.
7. Participo en los ambientes tecnológicos expresando libre, respetuosa y
       responsablemente mis preferencias, respetando siempre la diversidad,
       las opiniones, las creencias y los pensamientos de los demás.

•   Utilizo las TIC para mi desarrollo personal integral, reconociéndolas como un
    aspecto de mi vida sin que esto afecte otras áreas de mi desarrollo.

•   Apropio y uso las TIC para mejorar mi calidad de vida. Aprovecho las TIC
    para apoyar mi crecimiento intelectual y fortalecer los aprendizajes en
    todas las áreas de conocimiento.

•   Me apoyo en las TIC para trabajar en grupo y colaborar con los miembros
    de mis equipos de trabajo.

•   Autorregulo el tiempo que dedico al uso de las TIC, asegurando tiempo
    para el desarrollo de los otros aspectos de mi vida.



    8. Soy consciente de que los menores de edad requieren especial
       cuidado y acompañamiento en el uso de las TIC.

•   Soy un buen ciudadano digital, le doy buen ejemplo a los menores de
    edad

•   Guío y acompaño a los menores de edad para que desarrollen
    competencias para el uso de las TIC de manera segura y enriquecedora.
•   Defino reglas de buen uso de las TIC para los menores de edad que
    acompaño.
•   Denuncio ante las autoridades las amenazas contra ellos y/o delitos en
    internet ante www.internetsano.gov.co, en el CAI virtual que encuentra en
    www.delitosinformaticos.gov.co, escribiendo a
    caivirtual@correo.policia.gov.co o directamente en una oficina la DIJIN de
    la Policía Nacional - Grupo Investigativo de Delitos Informáticos.

•   Aprendo y conozco sobre el uso y las experiencias que ellos tienen con las
    TIC.



    9. No utilizo las TIC para promover, consultar, ver, comprar, compartir
       actividades relacionadas con explotación de menores, pornografía
       infantil, prostitución infantil, trata de personas, promoción de conductas
       autodestructivas, organizaciones y/o actividades al margen de la ley o
       cualquier otra conducta que atente contra los derechos humanos.
•   No acepto, ni divulgo los sitios virtuales que promueven la autodestrucción,
       la xenofobia, la exclusión, la pornografía de menores, trata de personas, la
       intolerancia o cualquier actividad al margen de la ley.

   •   Utilizo las TIC para actividades sanas, seguras y constructivas, dentro del
       marco de la ley colombiana.



       10. Respeto los derechos de autor.

   •   Utilizo productos, herramientas y software de ambientes tecnológicos
       legalmente adquiridos.

   •   No copio, ni comercializo productos de las TIC que están protegidos por los
       derechos de autor.

   •   Cuando copio un fragmento de un trabajo en la red o un texto hago las
       citas de rigor.

   •   No compro ni promuevo el software pirata

   •   Apoyo el desarrollo de contenidos y de software legal, y sé que tengo la
       opción de generarlos.



   •   Hacemos un PACTO que nos sirva para usar Internet de manera
       segura y responsable?




                            PACTO
                       Me comprometo a...

Cuando navego y cuando me relaciono con otras personas en Internet,
pongo
Realmente todo mi empreño para no causar daño a nadie y para
mantenerme
Alejado de amenazas y problemas.
Por lo tanto, yo Wilmar guerreo Villota, me comprometo a:
1. No dar nunca, a personas que no conozca de manera presencial, mi
Información personal (dirección particular, número de teléfono, etc), mí
Institución Educativa (nombre, ubicación, etc) o mí familia (nombres de
Padres y hermanos, etc).
2. Respetar la información que tengo de mis amigos y no publicarla en
Internet sin su autorización.
3. No revelar nunca a nadie, que no sean mis padres o acudientes (ni siquiera
a mis mejores amigos), mis claves de acceso al correo electrónico y a las
Redes sociales. Esto evitará que me suplanten.
4. Utilizar contraseñas fuertes, difíciles de adivinar, con longitud de al menos 8
caracteres, que incluyan la combinación de números y letras.
5. Cerrar completamente tanto mis cuentas de correo electrónico como de
redes sociales cuando termino de utilizar el computador.
6. No enviar nunca fotografías mías o de mis familiares, sin el permiso de mis
Padres.
7. Informar a padres y profesores cuando encuentre información que me haga
sentir incómodo(a) y/o amenazado(a).
8. No realizar procedimientos en Internet que cuesten dinero, sin el permiso de
mis padres.
9. Nunca contestar a mensajes que sean agresivos, obscenos, amenazantes o
que me hagan sentir mal o amenazado.
10. No responder correos electrónicos de personas que yo no conozca
Personalmente.
11. Avisar a padres y docentes cuando alguien me ofrezca un regalo y me
Suministre una dirección a la que deba ir para recibirlo.
12. No aceptar citas de desconocidos y avisar inmediatamente a padres y
docentes. Siempre recuerdo que hay personas que no siempre son lo que
http://www.eduteka.org/InternetSeguro.php - Octubre 01 de 2010 - Pág. 2
dicen ser; por ejemplo, alguien me puede decir que es un niño de 12 años y
en realidad ser un señor 45.
13. Desconfiar de aquellas personas recién conocidas que quieren verme por
medio de la cámara Web del computador o que encienden su cámara sin
que yo lo haya solicitado.
14. Cuidarme en los ambientes tecnológicos como lo haría cuando salgo a la
calle; utilizando mi criterio para seleccionar los sitios que visito en la Red y
las personas con las que interactúo.
15. No permitirles a mis amigos por Internet, cosas que no les permito a mis
amigos del colegio o del barrio.
16. Permitir, en las redes sociales en las que participo (Facebook, Hi5,
MySpace,
etc), que únicamente mis amigos puedan ver y comentar lo que comparto,
lo que publico en el muro y en lo que yo esté etiquetado.
17. Permitir, en las redes sociales en las que participo (Facebook, Hi5, etc), que
solamente mis amigos puedan ver mi información de contacto y mis
fotografías.
18. Reflexionar, antes de subir una fotografía a un sitio social, si la foto se
presta para que otra persona la descargue y me haga daño a mí o a otras
personas.
19. Aceptar solicitudes de amistad en redes sociales que provengan
únicamente
de personas conocidas.
20. No utilizar, en las redes sociales en las que participo, identidades falsas
para
suplantar personas.
21. Nunca descargar, instalar o copiar nada de Internet sin el permiso previo
de
padres o docentes.
Firma estudiante: Wilmar Guerrero Villota
Firma acudiente: ___________________________
      Fecha: 2011-02-24




      GUIA N 2

      EDITOR DE ECUACIONES
1. ¿Qué es un Editor de Ecuaciones?

Microsoft Office para Windows cuenta con un Editor de ecuaciones llamado
“Microsoft Editor de Ecuaciones 3.0” el cual, proporciona las partes de la
estructura de una fórmula en las que se puede insertar números, textos,
símbolos, ecuaciones y otras estructuras adicionales para crear fórmulas
matemáticas en pantalla e imprimirlas.

2. ¿Cuáles son las formas de accede al Microsoft Editor de Ecuaciones 3.0?
Mostraremos como acceder al Editor de Ecuaciones de Office utilizando
Microsoft Word, pero es importante destacar que estos pasos se pueden seguir
de la misma manera, tanto en Microsoft Excel como en Microsoft PowerPoint.
1. Para abrir el editor de ecuaciones debemos acceder al menú Insertar
Objeto.
Se abrirá un cuadro de diálogo como el que vemos en la imagen (Imagen
1) donde podemos seleccionar el tipo de objeto que deseamos insertar
con la correspondiente herramienta.
2. Si desea puede activar la casilla de verificación Mostrar como ícono,
para que la formula quede representada con una imagen que permita
acceder al documento que está desarrollando (Imagen 2), en caso
contrario, aparecerá como una imagen (Imagen 3).
3. Hacer click en Aceptar.
3. ¿Qué forma escoge para trabajar y por qué?




NOTA: En ambas opciones Microsoft Editor de Ecuaciones muestra los mismos
menús y herramientas, pero es importante mencionar que en el desarrollo de
este documento se utilizó la opción Mostrar como ícono.
Después de haber insertado el objeto, aparecerá una nueva hoja en blanco, con
un recuadro donde podremos insertar la ecuación/fórmula que deseemos, y un
menú, con las distintas expresiones matemáticas de las que dispone el editor.




4. ¿Qué pasos se deben llevar a cabo para insertar una ecuación?

Comenzando A Utilizar El Editor De Ecuaciones

Para insertar una ecuación debe realizar los pasos que se detallan a
Continuación:

1. Haga click donde desee insertar la ecuación.
2. Para crear la ecuación, seleccione los símbolos de la barra de herramientas
Ecuación y escriba las variables y los números necesarios. En la fila
superior de la barra de herramientas Ecuación, puede elegir entre más de
150 símbolos matemáticos.
3. En la fila inferior, puede elegir entre varias plantillas o modelos que
contienen símbolos, como por ejemplo, fracciones, integrales y
sumatorias.

Al activar el editor de ecuaciones, ya sea desde el menú Insertar o desde el ícono
en la barra de herramientas (Anexo 2), se presentará una nueva barra de
herramientas con las opciones que ofrece el editor de ecuaciones: símbolos,
exponentes, operadores, letras griegas, etc.:
A su vez, podrá ver el cursor parpadeando dentro de una pequeña caja de
edición, en el lugar de la hoja de trabajo donde se escribirán las expresiones:

                                  cursor en espera, en zona de escritura.




5. ¿Cómo está dividida la barra de herramientas el Editor de Ecuaciones 3.0.
Explique cada uno de estos elementos?

Barra de Herramienta del Editor de Ecuaciones

La barra de herramienta de nombre “Ecuación” está dividida en 2 paletas: la
superior llamada “Paleta de Símbolos” y la inferior “Paleta de Plantillas”. Ambas
paletas disponen de botones para seleccionar Símbolos –matemáticos, griegos,
lógicos y otros caracteres o espacios que desee mostrar- y botones para
Seleccionar Plantillas.

Paleta De Símbolos

Los botones de la paleta de símbolos permiten insertar más de 150 símbolos
matemáticos. Para insertar un símbolo en una ecuación, haga click en cualquier
botón de la fila superior de la barra de herramientas para desplegarla y a
Continuación haga click sobre el símbolo específico que desee utilizar.

1 Símbolos de relación


2 Espacios y puntos suspensivos


3 Adornos para caracteres

4 Símbolos de operadores


5 Símbolos de flechas


6 Símbolos lógicos

7 Símbolos de la teoría de conjunto


8 Símbolos variados


9 Caracteres griegos (minúsculas)
10 Caracteres griegos (mayúsculas)

Paleta De Plantillas

Los botones de la paleta de plantillas permiten insertar más de 120 plantillas o
modelos que contienen símbolos, tales como fracciones, radicales, sumatorias,
integrales, productos, matrices y diversas barreras o pares correspondientes a
símbolos como corchetes y llaves. Muchas de las plantillas contienen casillas, que
son espacios en los que se escribe el texto y se insertan símbolos. Las plantillas
pueden anidar otras plantillas, es decir, insertar plantillas en las casillas de otras
Plantillas, para crear fórmulas jerárquicas complejas.

1. Plantilla de barreras

2. Plantilla para fracciones y raíces

3. Plantilla para superíndices y subíndices

4. Plantilla de sumatorias

5. Plantilla de integrales

6. Plantilla de barras subyacentes y superpuestas

7. Plantilla de flechas rotuladas


8. Plantilla de productos y teoría de conjuntos

9. Plantilla para matrices

Para conocer el nombre de un símbolo o de una plantilla, haga click en el botón
de su interés, a continuación deje el cursor por unos breves segundos sobre el
nombre del símbolo. Podrá leer el nombre en la esquina inferior derecha de la
Ventana del editor.

 6. Realice los tres ejemplos que se encuentra en el Recursos propuesto en la
sección de recursos siguiendo los pasos propuestos.


Ejemplo 1.

     − b ± b 2 − 4ac
x=
           2a
Ejemplo 2.

         1
                 (
                 2
p 2− p1 = . p. v1 − v1
         2
                       2
                           )
Ejemplo 3

   (        ) (          ) (
A× B × C = A• C B − A• B C     )



                                   TALLER 1
   1. Realizar las siguientes operaciones con apoyo del docente

        3 2 8 + 9 17
   1.    + =     =
        4 3  12    12

        5 8 48 − 45 3    1
   2.    − =       =   =
        6 9   54     54 18

        7 1 9 3
   3.    + − =
        5 4 10 4

        6 4 15
   4.    + =
        7 5 4
             5
      3  35    243
   5.   = 5 =
      4  4    1024

        7 4    3
         −
   6.
        8 5 = 40 = 1
         4     4  480
         9    9
                     6
            4   192
   7.   3     =
            5   125

   8.   Log 7 16807 = 5

   9.   Log 3 729 = 6
Inventar y solucionar 8 expresiones similares a las anteriores

     − 7 − 3 − 5 − 7 − 3 − 5 − 15    15
1.      +   +   =           =     =−
      4   4   4       4       4       4

     −3 7 −3+7 4
2.     + =    =
     2 2    2   2

     − 9 − 49   7   − 36 − 98 + 7 − 127
3.      +     +   =              =
     250 500 1000      1000        1000

4.   Log1,60 = 0,2041

      1     10
5.       =     = 0,31623
      10   10

6.   Log 36.000 = 4,35630

     7 2 7−2 5
7.    − =   =
     8 8  8   8

     −3            − 3 − 5 ( − 3) − ( − 20) − 3 + 20 17
8.      − ( − 5) =    −   =                =        =
     4              4   1          4            4     4
EJERCICIOS PRÁCTICOS
                              
         dA       A( u + ∆u ) − A( u )
1.          = lím
         du ∆A→0         ∆u
              ∂      ∂   ∂                          ∂A ∂A ∂A
2. ∇ •      A =  i + j + k  • ( A1i + A2 j + A3 k ) = 1 + 2 + 3
                 ∂x          
                      ∂y  ∂z                         ∂x  ∂y  ∂z

     Τ = ∑α −1 ∑β −1 aαβ qα q β
                  n           n
3.                        

                      ∞
                    2 1          nπx       nπx     nπct
4.
     Υ ( xt ) = ∑  l f ( x ) sen    dx sen     cos
                n−1  l            l         l       l
                        0



     ∂ 2Υ    2 ∂ Υ
                2

5.        =c
     ∂t 2      ∂x 2
                                                    
                                                    
      ∂Υ  2  ∂ 2 Υ ∂               Τ ∂Υ        
                                                     
  σ 1 + 
                                              ∂x
                    =                             
6.   ∂x   ∂t
                     ∂x               ∂Υ   
                                                 2
                                       1 +       
                                        ∂x   
                                                 
                          
                                                   


7. 1 H +1 H → 2 He + 0 n
     2       3            4        1



          I11        I12     I13 
                                  
8.   I =  I 21       I 22    I 23 
         I           I 32    I 33 
          31                      
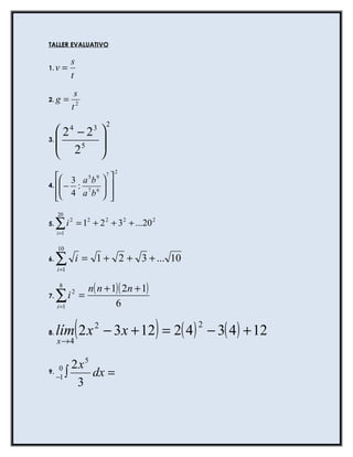
TALLER EVALUATIVO

              s
1. v   =
              t
               s
2. g      =
              t2
                               2
     2 −2    4        3
                           
3.   
      25                  
                           
                          
                                   2
    3 a 5 b 9  7 
4.  − :
     4 a 7b 6  
                
   
                 
     20
5.   ∑i
     i =1
              2
                  = 12 + 2 2 + 32 + ...20 2

     10
6.   ∑
     i =1
                  i = 1 + 2 + 3 + ... 10

      8
                      n( n + 1)( 2n + 1)
7.   ∑i2 =
     i =1                     6

8.
     x→4
                  (
     lím 2 x − 3x + 12 = 2( 4 ) − 3( 4 ) + 12
                       2
                                              )   2



              2x5
9.
    0
   −1       ∫     dx =
               3
TALLER 2


X =
       −b±    (b   2
                       − 4ac   )      −b±   (b   − 4ac   )     X =
                                                                     −b±   (b   − 4ac )
              2a                            2a                             2a


EXUACIONES CUADRATICAS

   1.    2 x 2 − 10 x + 8




         x=
              10 ±       (10 − ( 4)( 2)( 8) ) ⇒ x = 10 ±
                              2
                                                             100 − 64
                                                                      ⇒x=
                                                                          10 ± 36
                                                                                  ⇒x=
                                                                                      10 ± 6
                              2( 2)                           4               4         4


LAS RESPUESTAS SON:

       10 + 6 16
x1 =         =   =4
         4     4

       10 − 6 4
x2 =         = =1
         4    4

   2.
        15 x 2 + 7 x − 2 =

         x=
              7±        ( 7 − ( 4)(15)( − 2) ) ⇒ x = 7 ±
                          2
                                                             49 + 120
                                                                      ⇒x=
                                                                          7 ± 169
                                                                                  ⇒x=
                                                                                      7 ± 13
                              2(15)                          30              30         30


   3. EJEMPLO DE SU CLASE DE MATEMATICAS




         3( X − 1) 2( X − 1) ( X + 1)( X + 2)
                  −         =
             2         3             5




         3 X 2 − 27 = 0
X
      F(X ) =
                X +4




      F ( X ) = + −2




                  1
      F(X ) =
                 4− X




Las tecnologías de la comunicación y sus nuevos usos: Los Blogs
1. Que es un blog para usted?
2. Que puede realizar en un blog?
3. Cuantos programas podemos utilizar para realizar un blog.
4. Para realizar un blog utilizando Bloger que se necesita?
5. Cite algunos usos educativos de los Blog. Qué utilidad le daría Usted?
6. Que aporte le dieron las autoevaluaciones del primer recurso.
7. Crear un blog personal con las herramientas propuestas y las que usted
pueda investigar o conoce.
8. Las herramientas de slide, slideshare, scribd, pituretrail las veremos en la
medida que se necesiten pero ustedes debe registrarse en ellas. El profesor
indicara su proceso, las direcciones se encuentran en la sesión de recursos.
9 Sin embargo usted debe completar su cuaderno digital con la utilidad
de cada uno de estos programas o herramientas de la web 2.0 y
direcciones que le han servido para su consulta.
DESARROLLO

1. “Un blog, también conocido como web blog o bitácora, es un sitio web
periódicamente actualizado que recopila cronológicamente textos o
artículos de uno o varios autores, apareciendo primero el más reciente.
Habitualmente, en cada artículo, los lectores pueden escribir sus
comentarios y el autor darles respuesta, de forma que es posible establecer
un diálogo. El uso o temática de cada blog es particular, los hay de tipo
personal, periodístico, empresarial o corporativo, tecnológico, educativo”
etc.




2. Los blogs gozan actualmente de gran aceptación en todos los ámbitos
de trabajo del ser humano porque ofrecen un medio sencillo, ágil y eficaz
de intercambiar opiniones y de dar a conocer nuestro trabajo o sitios de
interés entre muchas cosas. No obstante, este servicio básico puede estar
complementado por otros, como contadores de visitas, álbumes de fotos,
organizadores de tareas, presentaciones, documentos y diferentes gadget
que nos proporcionar una herramienta eficaz para nuestro desarrollo
estudiantil y profesional.




3. Las herramientas de mantenimiento de weblogs se clasifican,
principalmente, en dos tipos: aquellas que ofrecen una solución completa
de alojamiento, gratuita (como Freewebs, Blogger y LiveJournal), y aquellas
soluciones consistentes en software que, al ser instalado en un sitio web,
permiten crear, editar, y administrar un blog, directamente en el servidor
que aloja el sitio (como es el caso de WordPress o de Movable Type). Este
software es una variante de las herramientas llamadas Sistemas de Gestión
de Contenido (CMS), y muchos son gratuitos. La mezcla de los dos tipos es
la solución planteada por la versión multiusuario de WordPress (WordPress
MU) a partir de la cual se pueden crear plataformas como Rebuscando.
INFO, Wordpress.com o CiberBlog.es o Blog total.




4. vamos a poner un nombre de usuario para identificarnos en Blogger ,
esto no tiene nada que ver con el futuro Blog que vamos a crear En Display
Name pondremos nuestro Nick o nombre que se vea cuando publiquemos
un post por ejemplo Una vez rellenados los datos, pulsaremos sobre
Continúe: En Blog titile pondremos el título de nuestro blog En Blog Address
(URL) pondremos su dirección en internet , que será algo así como
http://NOMBREESCOGIDO.blogspot.com Las opciones de debajo son
opcionales (valga la redundancia), por si queremos instalar blogger en un
sitio nuestro , pero en este tutorial vamos a explicar cómo crearlo en
blogger, ya que es lo más sencillo En el ejemplo , hemos puesto de título
para     el     blog    Tutorial Blogger,     y   en     Blog    Address   ,
http://tutorialblogger.blogspot.com Una vez rellenado, presionaremos
sobre Continue: Aquí escogeremos la apariencia de nuestro Blog , como
veréis, hay muchos estilos para escoger , presionando sobre el icono de la
lupa, veremos un ejemplo para decidirnos mejor Presionamos sobre el que
queramos escoger, y le daremos a Continue: Para el ejemplo, he decidido
usar el estilo Son of Moto Este es el mensaje de confirmación de que
nuestro blog ha sido creado con éxito , pulsaremos sobre Start posting para
comenzar a postear con Blogger.
2º Publicar nuestro mensaje

Esta es la primera ventana que veremos, es directamente ,para poner
un contenido, podemos no ponerlo ahora, pero si queremos, el proceso
es el siguiente En Title, pondremos el título del post que vayamos a poner
En el resto, podremos el contenido Para lo demás , podemos ayudarnos
de las herramientas estilo Wordpad , o editarlo en HTML directamente
Para el ejemplo , he puesto de título "Prueba" , y el siguiente texto en su
interior Una vez decidido lo que vayamos a publicar , presionaremos
sobre Publish Post para publicarlo Este es el mensaje de confirmación de
que nuestro post ha sido publicado con éxito , presionando sobre View
Blog, podremos ver cómo ha quedado: La imagen está puesta
pequeña y cortados los bordes, pero así veremos de manera fácil como
ha quedado el resultado En About me, aparece información sobre el
autor del Blog Previous post, una recopilación de enlaces a posts
anteriores Archives, es un archivo de posts anteriores, clasificados por
meses Cualquier usuario, si quiere, puede publicar comentarios en el
blog , salvo que especifiquemos lo contrario en las opciones

3º Configurar el blog
Este paso es opcional, es solo algunas reseñas para personalizarlo a
   nuestro gusto, o para eliminar el blog Iremos a la pestaña Settings En Title
   , podemos personalizar el título de nuestro blog En Description , una
   descripción del blog para quien nos visite por ejemplo , pueda verlo Las
   otras opciones no deberíamos tocarlas preferentemente Abajo, en
   Global settings , si presionamos sobre Save Changes, salvaremos los
   cambios que hayamos hecho, y si presionamos sobre Drop this Blog,
   eliminaremos nuestro blog completamente A la derecha, si presionamos
   sobre Comments, podremos cambiar opciones referentes a los
   comentarios que puedan hacernos si presionamos sobre Anyone,
   cualquiera podrá poner un comentario Only members , solo los
   miembros de nuestro blog Only Registered users, solamente los usuarios
   registrados en Blogger Presionando sobre members, podemos invitar a
   otras personas a hacerse miembros de nuestro blog, para que puedan
   publicar posts , nos ayuden en nuestro blog etc, básicamente
   pulsaremos el botón de Add Team members si queremos añadir a
   alguien Ponemos arriba su dirección de email, para poder invitar, hasta
   a 3 personas a la vez, y en Message , un mensaje explicativo que saldrá
   en el email. una vez que ellos reciban el email, podrán unirse como
   miembros a nuestro blog La opción de Template nos permite configurar ,
   si sabemos algo de HTML , nuestro blog en si , como si editáramos una
   página web Por último, la próxima vez que queramos publicar algo o
   manejar nuestro blog , iremos a www.blogger.com y en los botones de
   la imagen, pondremos nuestro nombre de usuario y nuestra contraseña,
   dejando marcada la casilla de Remember me para no identificarnos
   cada vez , y presionamos enter Si perdemos nuestra contraseña,
   presionaremos sobre el boton Forgot para recuperarla.

5. Los blogs pueden tener múltiples utilidades:

  5 Para buscar trabajo: Russell Beattie, un estadounidense que vivió un
  tiempo en Madrid, encontró trabajo en California gracias a que habían
  visto su weblog. Les gustó sus puntos de vista, opiniones y contratado. De
  vuelta a California.
  v Para estudiar: para debatir con compañeros o con el profesor
  material de la asignatura como sucede en las universidades.

  m Para pasarle al profesor los trabajos y los corrija.
  m Para mejorar en tu puesto de trabajo: muchas compañías en USA han
  creado blogs corporativos para que cada empleado aporte ideas para
mejorar el desarrollo de los productos de la empresa.


   Otros más:

   - Un blog nos obliga a estar actualizados y a organizar nuestro
   conocimiento.
   - Un blog baja al científico del pedestal, y le obliga a colaborar con la
   comunidad.
   - Un blog demuestra que Internet no es un medio menor para divulgar la
   ciencia.
   - Un blog permite hacer pruebas de ensayo y error, y recibir
   retroalimentación de la audiencia.
   - Un blog acaba con prejuicios estúpidos como que si publico algo
   enseguida me lo plagian.
   - Un blog castiga la prepotencia y el egoísmo, y premia la humildad y la
   generosidad.
   - Un blog nos obliga a ir al grano para explicarnos.
   - Un blog nos exige ponernos al día con la tecnología.
   - Un blog nos permite llegar al público que más interés tiene en lo que
   hablamos
   - En los blogs podemos ser nosotros mismos, no hay censuras. Si nos
   critican, nos explicamos.
   - Los blogs nos obligan a ser ágiles, constantes, pero también nos darán
   grandes ratos de diversión.

6. 1.-Internet: Es un conjunto descentralizado de redes de comunicación
interconectadas que utilizan la familia de protocolos TCP/IP, garantizando
que las redes físicas heterogéneas que la componen funcionen como una
red lógica única, de alcance mundial. Sus orígenes se remontan a 1969,
cuando se estableció la primera conexión de computadoras, conocida
como ARPANET, entre tres universidades en California y una en Utah,
Estados Unidos.

Uno de los servicios que más éxito ha tenido en Internet ha sido la World
Wide Web (WWW, o "la Web"), hasta tal punto que es habitual la confusión
entre ambos términos. La WWW es un conjunto de protocolos que permite,
de forma sencilla, la consulta remota de archivos de hipertexto. Ésta fue
un desarrollo posterior (1990) y utiliza Internet como medio de transmisión.

Existen, por tanto, muchos otros servicios y protocolos en Internet, aparte de
la Web: el envío de correo electrónico (SMTP), la transmisión de archivos
(FTP y P2P), las conversaciones en línea (IRC), la mensajería instantánea y
presencia, la transmisión de contenido y comunicación multimedia
-telefonía (VoIP), televisión (IPTV)-, los boletines electrónicos (NNTP), el
acceso remoto a otros dispositivos (SSH y Telnet) o los juegos en línea.

El género de la palabra Internet es ambiguo, según el Diccionario de la
Real Academia Española.[]



2.-Plantilla: 1. (page template o plantilla de página). Página pre-
desarrollada que es empleada para crear nuevas páginas con el mismo
diseño, patrón o estilo.

2. En programación, una herramienta para la programación,
especialmente en lenguaje C++, que permite a un programa usar tipos
polimórficos.

3. En metaprogramación, técnica de programación empleada por un
compilador para generar código fuente temporal.



3.-URL: URL son las siglas de Localizador de Recurso Uniforme (en inglés
Uniform Resource Locator), la dirección global de documentos y de otros
recursos en la World Wide Web.

La primera parte de la dirección indica qué protocolo utilizar, la segunda
parte especifica la dirección IP o nombre de dominio donde se localiza el
recurso.

Por ejemplo, las dos URLs de abajo apuntan a dos archivos diferentes en el
dominio tengodeudas.com. La primera especifica un fichero ejecutable
que se debe encontrar usando el protocolo FTP; la segunda especifica una
página web que se debe abrir usando el protocolo HTTP:



3.-Interfaz: es la conexión entre dos ordenadores o máquinas de cualquier
tipo dando una comunicación entre distintos niveles. Intefaz también hace
referencia al conjunto de métodos para lograr interactividad entre un
usuario y una computadora. Una interfaz puede ser del tipo GUI, o línea de
comandos, etc. También puede ser fanny. Además, la palabra interfaz se
maria jula y rober utiliza en distintos contextos:
1. Interfaz como instrumento: desde esta perspectiva la interfaz es una
      "prótesis" o "extensión" (McLuhan) de nuestro cuerpo. El mouse es un
      instrumento que extiende las funciones de nuestra mano y las lleva a
      la pantalla bajo forma de cursor. Así, por ejemplo, la pantalla de una
      computadora es una interfaz entre el usuario y el disco duro de la
      misma.
   2. Interfaz como superficie: algunos consideran que la interfaz nos
      trasmite instrucciones ("affordances") que nos informan sobre su uso.
      La superficie de un objeto (real o virtual) nos habla por medio de sus
      formas, texturas, colores, etc.
   3. Interfaz como espacio: desde esta perspectiva la interfaz es el lugar
      de la interacción, el espacio donde se desarrollan los intercambios y
      sus manualidades.




4.-Editor de Entradas: Desde él, podemos publicar nuestras entradas en
nuestro blog, y también nos permite enviar las entradas a varios blogs al
mismo tiempo, así como trabajar con fotos de flickr, o videos del youtube.



5.-Ficha: Las Fichas Técnicas de Registro son cédulas (pedazo de papel
escrito o documento) donde se registran los datos de las fuentes de
consulta que vamos encontrando al realizar la búsqueda de las fuentes.
Cuando las fuentes que registramos son libros, las Fichas Técnicas se llaman
Fichas Bibliográficas, si son revistas, se llaman Fichas Hemerográficas, si son
de Internet, podrían ser Fichas Cibergráficas. Con estas fichas se constituye
un catálogo de fuentes.


II.- CUESTIONARIO: Desarrolla las siguientes preguntas:



1.- ¿Qué entiendes por Blogger y Cuál es a tu parecer la importancia de sus
recursos?



2.- Con tus propias palabras ¿Qué es un Blog y que función tienen?
3.- ¿Qué materiales educativos puedes elaborar en tu área de trabajo con
     Blogger?



     SOLUCION



1.     Blogger es un servicio creado por Pyra Labs para crear y publicar una
     bitácora en línea. El usuario no tiene que escribir ningún código o instalar
     programas de servidor o de scripting. Blogger acepta para el alojamiento
     de las bitácoras su propio servidor (Blogspot) o el servidor que el usuario
     especifique (FTP o SFTP)



2.      Un blog, o en español también una bitácora, es un sitio web
     periódicamente actualizado que recopila cronológicamente textos o
     artículos de uno o varios autores, apareciendo primero el más reciente,
     donde el autor conserva siempre la libertad de dejar publicado lo que crea
     pertinente. El nombre bitácora está basado en los cuadernos de bitácora,
     cuadernos de viaje que se utilizaban en los barcos para relatar el desarrollo
     del viaje y que se guardaban en la bitácora. Aunque el nombre se ha
     popularizado en los últimos años a raíz de su utilización en diferentes
     ámbitos, el cuaderno de trabajo o bitácora ha sido utilizado desde
     siempre.



3.    Es una de las primeras herramientas de publicación de bitácora en líneas y
     es acreditado por haber ayudado a popularizar el uso de formularios.
I.- VOCABULARIO: Define los siguientes términos informáticos:



1.-Http



2.-Enlace



3. JPG



4.-Perfil



5.-Fuente



II.- CUESTIONARIO: Desarrolla las siguientes preguntas:



1.- ¿Qué diferencia hay entre la ficha Edición de HTML y Redactar del Editor
de Entradas?



2.- ¿Elabora un esquema de los elementos de la Página y explica las
funciones de cada uno de ellos?



3.- Si modificas la Plantilla de tu Blog, ¿Qué cambios se descartarán?



SOLUCION
1.    http: Hypertext Transfer Protocol o HTTP (en español protocolo de
     transferencia de hipertexto) es el protocolo usado en cada transacción de
     la World Wide Web.



2. Enlace: Acto de enlazar; Conexión de una cosa con otra; Unión; Conexión
   de hipertexto que permite llevar a un navegante de internet de un sitio a
   otro



3. Jpg: Los datos de una imagen pueden ser grabados en diferentes formatos.
   El jpg es, sin duda, el formato más popular. Su gran ventaja es ser un
   formato comprimido, lo que le permite ocupar poquísimo espacio en la
   memoria de la cámara o ser enviado con rapidez por internet. ...




4. Perfil: Es una selección de elementos de metadatos necesarios para
   satisfacer los requerimientos de documentación de información en alguna
   organización o país, estableciendo los tamaños y dominios para cada
   elemento. Así mismo, debe contener los elementos de metadatos
   obligatorios de la norma adoptada.



5. Fuente: Fuente documental (o simplemente la fuente) es el origen de una
   información, especialmente para la investigación, bien sea el periodismo,
   la historiografía o la producción de literatura académica en general. En
   determinados contextos, los términos autor y fuente son sinónimos.




     1. La siguiente lista muestra algunas reglas de XHTML 1.0 que lo diferencian
     de HTML 4.01. Muchas de estas diferencias vienen con el cambio de ser
     una aplicación SGML a ser una aplicación del más estricto XML:

        •   Los elementos vacíos deben cerrarse siempre:
               o Incorrecto: <br>
o    Correcto:      <br></br>      o     <br/>       o  <br    />
              Nota: Cualquiera de las tres formas es válida en XHTML. Para
              compatibilidad según el "Apéndice C" debe usarse <br />.
   •   Los elementos no vacíos también deben cerrarse siempre:
          o Incorrecto: <p>Primer párrafo<p>Segundo párrafo
          o Correcto: <p>Primer párrafo</p><p>Segundo párrafo</p>
   •   Los elementos anidados deben tener un correcto orden de apertura/
       cierre (el que se abre último, debe cerrarse primero).
          o Incorrecto: <em><strong>Texto</em></strong>
          o Correcto: <em><strong>Texto</strong></em>


2. Página Web: Documento realizado en HTML y que es parte de un sitio
Web. Aparte del HTML se pueden utilizar otros lenguajes complementarios
como PHP, ASP, JavascriptÉ

Sitio Web: Página principal y sus otras páginas, gráficos, documentos,
multimedia y otros archivos asociados que se almacenan en un servidor
Web o en el disco duro de un equipo.

HTML: (Lenguaje de marcado de hipertexto) Lenguaje estándar de marcas
empleado para documentos del World Wide Web.

Hipervínculo: Al hipervínculo se le suele llamar “enlace Web” o en su versión
anglosajona “link”. Un hipervínculo es una conexión de una página a otro
destino como, por ejemplo, otra página o una ubicación diferente en la
misma página.

Lenguaje de programación: Lenguaje con el que está desarrollada una
página Web.

Editor: Programa utilizado para crear páginas Web sin la necesidad de
tener que aprender el lenguaje. Ejemplos: M. Front Page 2000 y Macro-
media Dreamweaver.

Servidor: Máquina conectada a Internet que –entre otros servicios- ofrece
albergue para páginas Web haciendo que estén accesibles desde
cualquier punto de Internet.

Cliente FTP: Programa que permite conectarse al servidor para publicar
páginas Web.
Hosting: Hospedaje Web

Dominio: Dirección Web asociada a una página Web.

ISP: En el ámbito del desarrollo de sitios web, se puede decir que un ISP es
un proveedor de servicios para web. Los diferentes servicios que pueden
ofrecer son: conexión a Internet, registro de dominio, hospedaje de sitios
web, servicios de contadores de servicios, libros de visitas gratuitos,
estadísticas para web, entre otros.

URL: (Universal Resource Location / Localizador de recursos universal)
Cadena que proporciona la dirección de Internet de un sitio Web o un
recurso del World Wide Web, junto con el protocolo mediante el cual se
tiene acceso al sitio o al recurso.

El tipo más común de dirección URL es http://, que proporciona la
dirección de Internet de una página Web. Otros tipos de dirección URL son
gopher://, que proporciona la dirección de Internet de un directorio
Gopher, y ftp://, que proporciona la ubicación de red de un recurso FTP.
Ejemplos: http://www.mitecnologico.com , http://www.google.com

3. se descartarán los cambios efectuados en Fuentes y Colores.

Cuaderno digital

  • 1.
    Área: Tecnología informática Cuaderno digital Nombre:wilmar guerrero Profesora: Lydia acosta
  • 2.
    DESARROLLO DEL TALLER • Que es internet? Para mi internet es un medio por el cual podemos estar actualizados y por el cual podemos hacer diferentes cosas como investigar. El internet se lo puede utilizar de diferentes maneras y también es importante saber utilizarlo porque en él también hay tanto cosas buenas como malas. • Cuáles son los diferentes servicios que ofrece? Los servicios que ofrece internet son que podemos comunicarnos con diferentes personas del mundo podemos intercambiar diferentes cosas como imágenes, videos etc. También en el podemos estar actualizados y visitar diferentes paginas que nos ofrece la red como encontrar recursos educativos para nuestro trabajo escolar.
  • 3.
    De los servicios que ofrece Internet cuales usa de manera frecuente y por qué? De los servicios que ofrece el internet los que uso frecuentemente son facebook, Messenger, youtube, wiki pedía. Porque en el facebook se puede crear una cuenta y estar comunicado con diferentes personas y además el servicio que brinda es muy bueno. Messenger lo utilizo porque en él se mantiene comunicado se puede chatear con amigos. Youtube se lo puede utilizar de diferentes maneras como mirar videos. • Cuáles son los riesgos del uso de internet. Como evita algunos de estos riesgos?
  • 4.
    Los riesgos quepueden ocurrir en el uso del internet son que en algunas páginas hay informacion poco confiable, correo basura, virus, malas amistades, estafas etc. Estos riegos se los puede evitar sabiendo leer bien mirando a quien se acepta como amigos no abriendo avisos que digan que te has ganado cosas porque esos pueden ser virus y eso te puede afectar a tu equipo. • Cuáles son algunos consejos para usar Internet de manera segura. Qué importancia tienen estos consejos para su vida cotidiana? Los consejos para los niñ@s serian que cuando consigan un amigo por la red nunca den la información de cómo donde viven, estudian ni mandar fotografías o responder a mensajes desagradables que envíen y también mantener en secreto sus claves de acceso. La importancia que tienen estos consejos en mi vida cotidiana son que si cumples con esto no puedes tener problemas de los que te puedas arrepentir.
  • 5.
    Cuáles son sus 10 comportamientos digitales. Acompáñelos de un comentario personal? 1. Utilizo las TIC respetando a los otros, respetándome y haciéndome respetar. • Cuando utilizo las TIC me respeto y respeto a los demás, siendo consciente de que todos somos personas dignas. • Conozco que la injuria, la calumnia y la difamación son un delito o agravio contra el honor y el buen nombre de las personas. • Sé que el ultraje de obra o de palabra, divulgado a través de ambientes tecnológicos puede lesionar e irrespetar los derechos, la intimidad y la dignidad de una persona u organización. 2. Ejerzo mi derecho a la libertad y respeto la de los demás. • Entiendo la libertad como la posibilidad de hacer lo que no daña a otro. • Tengo la opción de decidir mi participación en cualquier actividad que me ofrezcan los ambientes tecnológicos y de hacer respetar mi decisión respetando siempre la de los demás. 3. Hago uso de mi identidad de manera segura en mi interacción con otros en los ambientes tecnológicos.
  • 6.
    Protejo mi identidad haciendo buen uso de mi información confidencial. • Me identifico con claridad y honestidad, protegiendo mi información confidencial • No utilizo identidades falsas para suplantar personas en ambientes tecnológicos. • No comparto con otros mis claves de seguridad de acceso a los ambientes tecnológicos, para evitar que me suplanten y no lo hago con las de los demás. • No violo la privacidad y confidencialidad de los otros en los ambientes tecnológicos, aun cuando no haya sido debidamente protegida. 4. Protejo mi integridad y seguridad personal y la de los demás. • Me cuido en los ambientes tecnológicos como lo haría cuando salgo a la calle, utilizando mi criterio para escoger los sitios que visito y las personas con las que interactúo. • Tomo las precauciones necesarias en las relaciones que establezco con otras personas que he conocido en los ambientes tecnológicos. 5. Soy responsable con mi intimidad y la de los demás. • En los ambientes tecnológicos comparto información sin afectar mi intimidad, ni la de otros. • Respeto la información que tengo de las personas que conozco y no la publico sin su autorización en los ambientes tecnológicos. 6. Utilizo las TIC para el libre desarrollo de mi personalidad y mi autonomía, y a través de ella reconozco y hago respetar mis creencias y pensamientos, y los de los demás. • Participo en los ambientes tecnológicos expresando libre, respetuosa y responsablemente mis preferencias, respetando siempre la diversidad, las opiniones, las creencias y los pensamientos de los demás.
  • 7.
    7. Participo enlos ambientes tecnológicos expresando libre, respetuosa y responsablemente mis preferencias, respetando siempre la diversidad, las opiniones, las creencias y los pensamientos de los demás. • Utilizo las TIC para mi desarrollo personal integral, reconociéndolas como un aspecto de mi vida sin que esto afecte otras áreas de mi desarrollo. • Apropio y uso las TIC para mejorar mi calidad de vida. Aprovecho las TIC para apoyar mi crecimiento intelectual y fortalecer los aprendizajes en todas las áreas de conocimiento. • Me apoyo en las TIC para trabajar en grupo y colaborar con los miembros de mis equipos de trabajo. • Autorregulo el tiempo que dedico al uso de las TIC, asegurando tiempo para el desarrollo de los otros aspectos de mi vida. 8. Soy consciente de que los menores de edad requieren especial cuidado y acompañamiento en el uso de las TIC. • Soy un buen ciudadano digital, le doy buen ejemplo a los menores de edad • Guío y acompaño a los menores de edad para que desarrollen competencias para el uso de las TIC de manera segura y enriquecedora. • Defino reglas de buen uso de las TIC para los menores de edad que acompaño. • Denuncio ante las autoridades las amenazas contra ellos y/o delitos en internet ante www.internetsano.gov.co, en el CAI virtual que encuentra en www.delitosinformaticos.gov.co, escribiendo a caivirtual@correo.policia.gov.co o directamente en una oficina la DIJIN de la Policía Nacional - Grupo Investigativo de Delitos Informáticos. • Aprendo y conozco sobre el uso y las experiencias que ellos tienen con las TIC. 9. No utilizo las TIC para promover, consultar, ver, comprar, compartir actividades relacionadas con explotación de menores, pornografía infantil, prostitución infantil, trata de personas, promoción de conductas autodestructivas, organizaciones y/o actividades al margen de la ley o cualquier otra conducta que atente contra los derechos humanos.
  • 8.
    No acepto, ni divulgo los sitios virtuales que promueven la autodestrucción, la xenofobia, la exclusión, la pornografía de menores, trata de personas, la intolerancia o cualquier actividad al margen de la ley. • Utilizo las TIC para actividades sanas, seguras y constructivas, dentro del marco de la ley colombiana. 10. Respeto los derechos de autor. • Utilizo productos, herramientas y software de ambientes tecnológicos legalmente adquiridos. • No copio, ni comercializo productos de las TIC que están protegidos por los derechos de autor. • Cuando copio un fragmento de un trabajo en la red o un texto hago las citas de rigor. • No compro ni promuevo el software pirata • Apoyo el desarrollo de contenidos y de software legal, y sé que tengo la opción de generarlos. • Hacemos un PACTO que nos sirva para usar Internet de manera segura y responsable? PACTO Me comprometo a... Cuando navego y cuando me relaciono con otras personas en Internet, pongo Realmente todo mi empreño para no causar daño a nadie y para mantenerme Alejado de amenazas y problemas. Por lo tanto, yo Wilmar guerreo Villota, me comprometo a: 1. No dar nunca, a personas que no conozca de manera presencial, mi Información personal (dirección particular, número de teléfono, etc), mí
  • 9.
    Institución Educativa (nombre,ubicación, etc) o mí familia (nombres de Padres y hermanos, etc). 2. Respetar la información que tengo de mis amigos y no publicarla en Internet sin su autorización. 3. No revelar nunca a nadie, que no sean mis padres o acudientes (ni siquiera a mis mejores amigos), mis claves de acceso al correo electrónico y a las Redes sociales. Esto evitará que me suplanten. 4. Utilizar contraseñas fuertes, difíciles de adivinar, con longitud de al menos 8 caracteres, que incluyan la combinación de números y letras. 5. Cerrar completamente tanto mis cuentas de correo electrónico como de redes sociales cuando termino de utilizar el computador. 6. No enviar nunca fotografías mías o de mis familiares, sin el permiso de mis Padres. 7. Informar a padres y profesores cuando encuentre información que me haga sentir incómodo(a) y/o amenazado(a). 8. No realizar procedimientos en Internet que cuesten dinero, sin el permiso de mis padres. 9. Nunca contestar a mensajes que sean agresivos, obscenos, amenazantes o que me hagan sentir mal o amenazado. 10. No responder correos electrónicos de personas que yo no conozca Personalmente. 11. Avisar a padres y docentes cuando alguien me ofrezca un regalo y me Suministre una dirección a la que deba ir para recibirlo. 12. No aceptar citas de desconocidos y avisar inmediatamente a padres y docentes. Siempre recuerdo que hay personas que no siempre son lo que http://www.eduteka.org/InternetSeguro.php - Octubre 01 de 2010 - Pág. 2 dicen ser; por ejemplo, alguien me puede decir que es un niño de 12 años y en realidad ser un señor 45. 13. Desconfiar de aquellas personas recién conocidas que quieren verme por medio de la cámara Web del computador o que encienden su cámara sin que yo lo haya solicitado. 14. Cuidarme en los ambientes tecnológicos como lo haría cuando salgo a la calle; utilizando mi criterio para seleccionar los sitios que visito en la Red y las personas con las que interactúo. 15. No permitirles a mis amigos por Internet, cosas que no les permito a mis amigos del colegio o del barrio. 16. Permitir, en las redes sociales en las que participo (Facebook, Hi5, MySpace, etc), que únicamente mis amigos puedan ver y comentar lo que comparto, lo que publico en el muro y en lo que yo esté etiquetado. 17. Permitir, en las redes sociales en las que participo (Facebook, Hi5, etc), que solamente mis amigos puedan ver mi información de contacto y mis fotografías. 18. Reflexionar, antes de subir una fotografía a un sitio social, si la foto se presta para que otra persona la descargue y me haga daño a mí o a otras personas.
  • 10.
    19. Aceptar solicitudesde amistad en redes sociales que provengan únicamente de personas conocidas. 20. No utilizar, en las redes sociales en las que participo, identidades falsas para suplantar personas. 21. Nunca descargar, instalar o copiar nada de Internet sin el permiso previo de padres o docentes. Firma estudiante: Wilmar Guerrero Villota Firma acudiente: ___________________________ Fecha: 2011-02-24 GUIA N 2 EDITOR DE ECUACIONES 1. ¿Qué es un Editor de Ecuaciones? Microsoft Office para Windows cuenta con un Editor de ecuaciones llamado “Microsoft Editor de Ecuaciones 3.0” el cual, proporciona las partes de la estructura de una fórmula en las que se puede insertar números, textos, símbolos, ecuaciones y otras estructuras adicionales para crear fórmulas matemáticas en pantalla e imprimirlas. 2. ¿Cuáles son las formas de accede al Microsoft Editor de Ecuaciones 3.0?
  • 11.
    Mostraremos como accederal Editor de Ecuaciones de Office utilizando Microsoft Word, pero es importante destacar que estos pasos se pueden seguir de la misma manera, tanto en Microsoft Excel como en Microsoft PowerPoint. 1. Para abrir el editor de ecuaciones debemos acceder al menú Insertar Objeto. Se abrirá un cuadro de diálogo como el que vemos en la imagen (Imagen 1) donde podemos seleccionar el tipo de objeto que deseamos insertar con la correspondiente herramienta. 2. Si desea puede activar la casilla de verificación Mostrar como ícono, para que la formula quede representada con una imagen que permita acceder al documento que está desarrollando (Imagen 2), en caso contrario, aparecerá como una imagen (Imagen 3). 3. Hacer click en Aceptar.
  • 12.
    3. ¿Qué formaescoge para trabajar y por qué? NOTA: En ambas opciones Microsoft Editor de Ecuaciones muestra los mismos menús y herramientas, pero es importante mencionar que en el desarrollo de este documento se utilizó la opción Mostrar como ícono.
  • 13.
    Después de haberinsertado el objeto, aparecerá una nueva hoja en blanco, con un recuadro donde podremos insertar la ecuación/fórmula que deseemos, y un menú, con las distintas expresiones matemáticas de las que dispone el editor. 4. ¿Qué pasos se deben llevar a cabo para insertar una ecuación? Comenzando A Utilizar El Editor De Ecuaciones Para insertar una ecuación debe realizar los pasos que se detallan a Continuación: 1. Haga click donde desee insertar la ecuación. 2. Para crear la ecuación, seleccione los símbolos de la barra de herramientas Ecuación y escriba las variables y los números necesarios. En la fila superior de la barra de herramientas Ecuación, puede elegir entre más de 150 símbolos matemáticos. 3. En la fila inferior, puede elegir entre varias plantillas o modelos que contienen símbolos, como por ejemplo, fracciones, integrales y sumatorias. Al activar el editor de ecuaciones, ya sea desde el menú Insertar o desde el ícono en la barra de herramientas (Anexo 2), se presentará una nueva barra de herramientas con las opciones que ofrece el editor de ecuaciones: símbolos, exponentes, operadores, letras griegas, etc.:
  • 14.
    A su vez,podrá ver el cursor parpadeando dentro de una pequeña caja de edición, en el lugar de la hoja de trabajo donde se escribirán las expresiones: cursor en espera, en zona de escritura. 5. ¿Cómo está dividida la barra de herramientas el Editor de Ecuaciones 3.0. Explique cada uno de estos elementos? Barra de Herramienta del Editor de Ecuaciones La barra de herramienta de nombre “Ecuación” está dividida en 2 paletas: la superior llamada “Paleta de Símbolos” y la inferior “Paleta de Plantillas”. Ambas paletas disponen de botones para seleccionar Símbolos –matemáticos, griegos, lógicos y otros caracteres o espacios que desee mostrar- y botones para Seleccionar Plantillas. Paleta De Símbolos Los botones de la paleta de símbolos permiten insertar más de 150 símbolos matemáticos. Para insertar un símbolo en una ecuación, haga click en cualquier botón de la fila superior de la barra de herramientas para desplegarla y a Continuación haga click sobre el símbolo específico que desee utilizar. 1 Símbolos de relación 2 Espacios y puntos suspensivos 3 Adornos para caracteres 4 Símbolos de operadores 5 Símbolos de flechas 6 Símbolos lógicos 7 Símbolos de la teoría de conjunto 8 Símbolos variados 9 Caracteres griegos (minúsculas)
  • 15.
    10 Caracteres griegos(mayúsculas) Paleta De Plantillas Los botones de la paleta de plantillas permiten insertar más de 120 plantillas o modelos que contienen símbolos, tales como fracciones, radicales, sumatorias, integrales, productos, matrices y diversas barreras o pares correspondientes a símbolos como corchetes y llaves. Muchas de las plantillas contienen casillas, que son espacios en los que se escribe el texto y se insertan símbolos. Las plantillas pueden anidar otras plantillas, es decir, insertar plantillas en las casillas de otras Plantillas, para crear fórmulas jerárquicas complejas. 1. Plantilla de barreras 2. Plantilla para fracciones y raíces 3. Plantilla para superíndices y subíndices 4. Plantilla de sumatorias 5. Plantilla de integrales 6. Plantilla de barras subyacentes y superpuestas 7. Plantilla de flechas rotuladas 8. Plantilla de productos y teoría de conjuntos 9. Plantilla para matrices Para conocer el nombre de un símbolo o de una plantilla, haga click en el botón de su interés, a continuación deje el cursor por unos breves segundos sobre el nombre del símbolo. Podrá leer el nombre en la esquina inferior derecha de la Ventana del editor. 6. Realice los tres ejemplos que se encuentra en el Recursos propuesto en la sección de recursos siguiendo los pasos propuestos. Ejemplo 1. − b ± b 2 − 4ac x= 2a
  • 16.
    Ejemplo 2. 1 ( 2 p 2− p1 = . p. v1 − v1 2 2 ) Ejemplo 3 ( ) ( ) ( A× B × C = A• C B − A• B C ) TALLER 1 1. Realizar las siguientes operaciones con apoyo del docente 3 2 8 + 9 17 1. + = = 4 3 12 12 5 8 48 − 45 3 1 2. − = = = 6 9 54 54 18 7 1 9 3 3. + − = 5 4 10 4 6 4 15 4. + = 7 5 4 5 3 35 243 5.   = 5 = 4 4 1024 7 4 3 − 6. 8 5 = 40 = 1 4 4 480 9 9 6 4 192 7. 3   = 5 125 8. Log 7 16807 = 5 9. Log 3 729 = 6
  • 17.
    Inventar y solucionar8 expresiones similares a las anteriores − 7 − 3 − 5 − 7 − 3 − 5 − 15 15 1. + + = = =− 4 4 4 4 4 4 −3 7 −3+7 4 2. + = = 2 2 2 2 − 9 − 49 7 − 36 − 98 + 7 − 127 3. + + = = 250 500 1000 1000 1000 4. Log1,60 = 0,2041 1 10 5. = = 0,31623 10 10 6. Log 36.000 = 4,35630 7 2 7−2 5 7. − = = 8 8 8 8 −3 − 3 − 5 ( − 3) − ( − 20) − 3 + 20 17 8. − ( − 5) = − = = = 4 4 1 4 4 4
  • 18.
    EJERCICIOS PRÁCTICOS    dA A( u + ∆u ) − A( u ) 1. = lím du ∆A→0 ∆u   ∂ ∂ ∂ ∂A ∂A ∂A 2. ∇ • A =  i + j + k  • ( A1i + A2 j + A3 k ) = 1 + 2 + 3  ∂x   ∂y ∂z  ∂x ∂y ∂z Τ = ∑α −1 ∑β −1 aαβ qα q β n n 3.   ∞ 2 1 nπx  nπx nπct 4. Υ ( xt ) = ∑  l f ( x ) sen dx sen cos n−1  l l  l l 0 ∂ 2Υ 2 ∂ Υ 2 5. =c ∂t 2 ∂x 2       ∂Υ  2  ∂ 2 Υ ∂  Τ ∂Υ   σ 1 +  ∂x   =   6.   ∂x   ∂t   ∂x    ∂Υ    2 1 +      ∂x          7. 1 H +1 H → 2 He + 0 n 2 3 4 1  I11 I12 I13    8. I =  I 21 I 22 I 23  I I 32 I 33   31 
  • 19.
    TALLER EVALUATIVO s 1. v = t s 2. g = t2 2 2 −2 4 3  3.   25     2  3 a 5 b 9  7  4.  − :  4 a 7b 6         20 5. ∑i i =1 2 = 12 + 2 2 + 32 + ...20 2 10 6. ∑ i =1 i = 1 + 2 + 3 + ... 10 8 n( n + 1)( 2n + 1) 7. ∑i2 = i =1 6 8. x→4 ( lím 2 x − 3x + 12 = 2( 4 ) − 3( 4 ) + 12 2 ) 2 2x5 9. 0 −1 ∫ dx = 3
  • 20.
    TALLER 2 X = −b± (b 2 − 4ac ) −b± (b − 4ac ) X = −b± (b − 4ac ) 2a 2a 2a EXUACIONES CUADRATICAS 1. 2 x 2 − 10 x + 8 x= 10 ± (10 − ( 4)( 2)( 8) ) ⇒ x = 10 ± 2 100 − 64 ⇒x= 10 ± 36 ⇒x= 10 ± 6 2( 2) 4 4 4 LAS RESPUESTAS SON: 10 + 6 16 x1 = = =4 4 4 10 − 6 4 x2 = = =1 4 4 2. 15 x 2 + 7 x − 2 = x= 7± ( 7 − ( 4)(15)( − 2) ) ⇒ x = 7 ± 2 49 + 120 ⇒x= 7 ± 169 ⇒x= 7 ± 13 2(15) 30 30 30 3. EJEMPLO DE SU CLASE DE MATEMATICAS 3( X − 1) 2( X − 1) ( X + 1)( X + 2) − = 2 3 5 3 X 2 − 27 = 0
  • 21.
    X F(X ) = X +4 F ( X ) = + −2 1 F(X ) = 4− X Las tecnologías de la comunicación y sus nuevos usos: Los Blogs 1. Que es un blog para usted? 2. Que puede realizar en un blog? 3. Cuantos programas podemos utilizar para realizar un blog. 4. Para realizar un blog utilizando Bloger que se necesita? 5. Cite algunos usos educativos de los Blog. Qué utilidad le daría Usted? 6. Que aporte le dieron las autoevaluaciones del primer recurso. 7. Crear un blog personal con las herramientas propuestas y las que usted pueda investigar o conoce. 8. Las herramientas de slide, slideshare, scribd, pituretrail las veremos en la medida que se necesiten pero ustedes debe registrarse en ellas. El profesor indicara su proceso, las direcciones se encuentran en la sesión de recursos. 9 Sin embargo usted debe completar su cuaderno digital con la utilidad de cada uno de estos programas o herramientas de la web 2.0 y direcciones que le han servido para su consulta. DESARROLLO 1. “Un blog, también conocido como web blog o bitácora, es un sitio web periódicamente actualizado que recopila cronológicamente textos o artículos de uno o varios autores, apareciendo primero el más reciente. Habitualmente, en cada artículo, los lectores pueden escribir sus comentarios y el autor darles respuesta, de forma que es posible establecer un diálogo. El uso o temática de cada blog es particular, los hay de tipo
  • 22.
    personal, periodístico, empresarialo corporativo, tecnológico, educativo” etc. 2. Los blogs gozan actualmente de gran aceptación en todos los ámbitos de trabajo del ser humano porque ofrecen un medio sencillo, ágil y eficaz de intercambiar opiniones y de dar a conocer nuestro trabajo o sitios de interés entre muchas cosas. No obstante, este servicio básico puede estar complementado por otros, como contadores de visitas, álbumes de fotos, organizadores de tareas, presentaciones, documentos y diferentes gadget que nos proporcionar una herramienta eficaz para nuestro desarrollo estudiantil y profesional. 3. Las herramientas de mantenimiento de weblogs se clasifican, principalmente, en dos tipos: aquellas que ofrecen una solución completa de alojamiento, gratuita (como Freewebs, Blogger y LiveJournal), y aquellas soluciones consistentes en software que, al ser instalado en un sitio web, permiten crear, editar, y administrar un blog, directamente en el servidor que aloja el sitio (como es el caso de WordPress o de Movable Type). Este
  • 23.
    software es unavariante de las herramientas llamadas Sistemas de Gestión de Contenido (CMS), y muchos son gratuitos. La mezcla de los dos tipos es la solución planteada por la versión multiusuario de WordPress (WordPress MU) a partir de la cual se pueden crear plataformas como Rebuscando. INFO, Wordpress.com o CiberBlog.es o Blog total. 4. vamos a poner un nombre de usuario para identificarnos en Blogger , esto no tiene nada que ver con el futuro Blog que vamos a crear En Display Name pondremos nuestro Nick o nombre que se vea cuando publiquemos un post por ejemplo Una vez rellenados los datos, pulsaremos sobre Continúe: En Blog titile pondremos el título de nuestro blog En Blog Address (URL) pondremos su dirección en internet , que será algo así como http://NOMBREESCOGIDO.blogspot.com Las opciones de debajo son opcionales (valga la redundancia), por si queremos instalar blogger en un sitio nuestro , pero en este tutorial vamos a explicar cómo crearlo en blogger, ya que es lo más sencillo En el ejemplo , hemos puesto de título para el blog Tutorial Blogger, y en Blog Address , http://tutorialblogger.blogspot.com Una vez rellenado, presionaremos sobre Continue: Aquí escogeremos la apariencia de nuestro Blog , como veréis, hay muchos estilos para escoger , presionando sobre el icono de la lupa, veremos un ejemplo para decidirnos mejor Presionamos sobre el que queramos escoger, y le daremos a Continue: Para el ejemplo, he decidido usar el estilo Son of Moto Este es el mensaje de confirmación de que nuestro blog ha sido creado con éxito , pulsaremos sobre Start posting para comenzar a postear con Blogger.
  • 24.
    2º Publicar nuestromensaje Esta es la primera ventana que veremos, es directamente ,para poner un contenido, podemos no ponerlo ahora, pero si queremos, el proceso es el siguiente En Title, pondremos el título del post que vayamos a poner En el resto, podremos el contenido Para lo demás , podemos ayudarnos de las herramientas estilo Wordpad , o editarlo en HTML directamente Para el ejemplo , he puesto de título "Prueba" , y el siguiente texto en su interior Una vez decidido lo que vayamos a publicar , presionaremos sobre Publish Post para publicarlo Este es el mensaje de confirmación de que nuestro post ha sido publicado con éxito , presionando sobre View Blog, podremos ver cómo ha quedado: La imagen está puesta pequeña y cortados los bordes, pero así veremos de manera fácil como ha quedado el resultado En About me, aparece información sobre el autor del Blog Previous post, una recopilación de enlaces a posts anteriores Archives, es un archivo de posts anteriores, clasificados por meses Cualquier usuario, si quiere, puede publicar comentarios en el blog , salvo que especifiquemos lo contrario en las opciones 3º Configurar el blog
  • 25.
    Este paso esopcional, es solo algunas reseñas para personalizarlo a nuestro gusto, o para eliminar el blog Iremos a la pestaña Settings En Title , podemos personalizar el título de nuestro blog En Description , una descripción del blog para quien nos visite por ejemplo , pueda verlo Las otras opciones no deberíamos tocarlas preferentemente Abajo, en Global settings , si presionamos sobre Save Changes, salvaremos los cambios que hayamos hecho, y si presionamos sobre Drop this Blog, eliminaremos nuestro blog completamente A la derecha, si presionamos sobre Comments, podremos cambiar opciones referentes a los comentarios que puedan hacernos si presionamos sobre Anyone, cualquiera podrá poner un comentario Only members , solo los miembros de nuestro blog Only Registered users, solamente los usuarios registrados en Blogger Presionando sobre members, podemos invitar a otras personas a hacerse miembros de nuestro blog, para que puedan publicar posts , nos ayuden en nuestro blog etc, básicamente pulsaremos el botón de Add Team members si queremos añadir a alguien Ponemos arriba su dirección de email, para poder invitar, hasta a 3 personas a la vez, y en Message , un mensaje explicativo que saldrá en el email. una vez que ellos reciban el email, podrán unirse como miembros a nuestro blog La opción de Template nos permite configurar , si sabemos algo de HTML , nuestro blog en si , como si editáramos una página web Por último, la próxima vez que queramos publicar algo o manejar nuestro blog , iremos a www.blogger.com y en los botones de la imagen, pondremos nuestro nombre de usuario y nuestra contraseña, dejando marcada la casilla de Remember me para no identificarnos cada vez , y presionamos enter Si perdemos nuestra contraseña, presionaremos sobre el boton Forgot para recuperarla. 5. Los blogs pueden tener múltiples utilidades: 5 Para buscar trabajo: Russell Beattie, un estadounidense que vivió un tiempo en Madrid, encontró trabajo en California gracias a que habían visto su weblog. Les gustó sus puntos de vista, opiniones y contratado. De vuelta a California. v Para estudiar: para debatir con compañeros o con el profesor material de la asignatura como sucede en las universidades. m Para pasarle al profesor los trabajos y los corrija. m Para mejorar en tu puesto de trabajo: muchas compañías en USA han creado blogs corporativos para que cada empleado aporte ideas para
  • 26.
    mejorar el desarrollode los productos de la empresa. Otros más: - Un blog nos obliga a estar actualizados y a organizar nuestro conocimiento. - Un blog baja al científico del pedestal, y le obliga a colaborar con la comunidad. - Un blog demuestra que Internet no es un medio menor para divulgar la ciencia. - Un blog permite hacer pruebas de ensayo y error, y recibir retroalimentación de la audiencia. - Un blog acaba con prejuicios estúpidos como que si publico algo enseguida me lo plagian. - Un blog castiga la prepotencia y el egoísmo, y premia la humildad y la generosidad. - Un blog nos obliga a ir al grano para explicarnos. - Un blog nos exige ponernos al día con la tecnología. - Un blog nos permite llegar al público que más interés tiene en lo que hablamos - En los blogs podemos ser nosotros mismos, no hay censuras. Si nos critican, nos explicamos. - Los blogs nos obligan a ser ágiles, constantes, pero también nos darán grandes ratos de diversión. 6. 1.-Internet: Es un conjunto descentralizado de redes de comunicación interconectadas que utilizan la familia de protocolos TCP/IP, garantizando que las redes físicas heterogéneas que la componen funcionen como una red lógica única, de alcance mundial. Sus orígenes se remontan a 1969, cuando se estableció la primera conexión de computadoras, conocida como ARPANET, entre tres universidades en California y una en Utah, Estados Unidos. Uno de los servicios que más éxito ha tenido en Internet ha sido la World Wide Web (WWW, o "la Web"), hasta tal punto que es habitual la confusión entre ambos términos. La WWW es un conjunto de protocolos que permite, de forma sencilla, la consulta remota de archivos de hipertexto. Ésta fue un desarrollo posterior (1990) y utiliza Internet como medio de transmisión. Existen, por tanto, muchos otros servicios y protocolos en Internet, aparte de la Web: el envío de correo electrónico (SMTP), la transmisión de archivos (FTP y P2P), las conversaciones en línea (IRC), la mensajería instantánea y presencia, la transmisión de contenido y comunicación multimedia
  • 27.
    -telefonía (VoIP), televisión(IPTV)-, los boletines electrónicos (NNTP), el acceso remoto a otros dispositivos (SSH y Telnet) o los juegos en línea. El género de la palabra Internet es ambiguo, según el Diccionario de la Real Academia Española.[] 2.-Plantilla: 1. (page template o plantilla de página). Página pre- desarrollada que es empleada para crear nuevas páginas con el mismo diseño, patrón o estilo. 2. En programación, una herramienta para la programación, especialmente en lenguaje C++, que permite a un programa usar tipos polimórficos. 3. En metaprogramación, técnica de programación empleada por un compilador para generar código fuente temporal. 3.-URL: URL son las siglas de Localizador de Recurso Uniforme (en inglés Uniform Resource Locator), la dirección global de documentos y de otros recursos en la World Wide Web. La primera parte de la dirección indica qué protocolo utilizar, la segunda parte especifica la dirección IP o nombre de dominio donde se localiza el recurso. Por ejemplo, las dos URLs de abajo apuntan a dos archivos diferentes en el dominio tengodeudas.com. La primera especifica un fichero ejecutable que se debe encontrar usando el protocolo FTP; la segunda especifica una página web que se debe abrir usando el protocolo HTTP: 3.-Interfaz: es la conexión entre dos ordenadores o máquinas de cualquier tipo dando una comunicación entre distintos niveles. Intefaz también hace referencia al conjunto de métodos para lograr interactividad entre un usuario y una computadora. Una interfaz puede ser del tipo GUI, o línea de comandos, etc. También puede ser fanny. Además, la palabra interfaz se maria jula y rober utiliza en distintos contextos:
  • 28.
    1. Interfaz comoinstrumento: desde esta perspectiva la interfaz es una "prótesis" o "extensión" (McLuhan) de nuestro cuerpo. El mouse es un instrumento que extiende las funciones de nuestra mano y las lleva a la pantalla bajo forma de cursor. Así, por ejemplo, la pantalla de una computadora es una interfaz entre el usuario y el disco duro de la misma. 2. Interfaz como superficie: algunos consideran que la interfaz nos trasmite instrucciones ("affordances") que nos informan sobre su uso. La superficie de un objeto (real o virtual) nos habla por medio de sus formas, texturas, colores, etc. 3. Interfaz como espacio: desde esta perspectiva la interfaz es el lugar de la interacción, el espacio donde se desarrollan los intercambios y sus manualidades. 4.-Editor de Entradas: Desde él, podemos publicar nuestras entradas en nuestro blog, y también nos permite enviar las entradas a varios blogs al mismo tiempo, así como trabajar con fotos de flickr, o videos del youtube. 5.-Ficha: Las Fichas Técnicas de Registro son cédulas (pedazo de papel escrito o documento) donde se registran los datos de las fuentes de consulta que vamos encontrando al realizar la búsqueda de las fuentes. Cuando las fuentes que registramos son libros, las Fichas Técnicas se llaman Fichas Bibliográficas, si son revistas, se llaman Fichas Hemerográficas, si son de Internet, podrían ser Fichas Cibergráficas. Con estas fichas se constituye un catálogo de fuentes. II.- CUESTIONARIO: Desarrolla las siguientes preguntas: 1.- ¿Qué entiendes por Blogger y Cuál es a tu parecer la importancia de sus recursos? 2.- Con tus propias palabras ¿Qué es un Blog y que función tienen?
  • 29.
    3.- ¿Qué materialeseducativos puedes elaborar en tu área de trabajo con Blogger? SOLUCION 1. Blogger es un servicio creado por Pyra Labs para crear y publicar una bitácora en línea. El usuario no tiene que escribir ningún código o instalar programas de servidor o de scripting. Blogger acepta para el alojamiento de las bitácoras su propio servidor (Blogspot) o el servidor que el usuario especifique (FTP o SFTP) 2. Un blog, o en español también una bitácora, es un sitio web periódicamente actualizado que recopila cronológicamente textos o artículos de uno o varios autores, apareciendo primero el más reciente, donde el autor conserva siempre la libertad de dejar publicado lo que crea pertinente. El nombre bitácora está basado en los cuadernos de bitácora, cuadernos de viaje que se utilizaban en los barcos para relatar el desarrollo del viaje y que se guardaban en la bitácora. Aunque el nombre se ha popularizado en los últimos años a raíz de su utilización en diferentes ámbitos, el cuaderno de trabajo o bitácora ha sido utilizado desde siempre. 3. Es una de las primeras herramientas de publicación de bitácora en líneas y es acreditado por haber ayudado a popularizar el uso de formularios.
  • 30.
    I.- VOCABULARIO: Definelos siguientes términos informáticos: 1.-Http 2.-Enlace 3. JPG 4.-Perfil 5.-Fuente II.- CUESTIONARIO: Desarrolla las siguientes preguntas: 1.- ¿Qué diferencia hay entre la ficha Edición de HTML y Redactar del Editor de Entradas? 2.- ¿Elabora un esquema de los elementos de la Página y explica las funciones de cada uno de ellos? 3.- Si modificas la Plantilla de tu Blog, ¿Qué cambios se descartarán? SOLUCION
  • 31.
    1. http: Hypertext Transfer Protocol o HTTP (en español protocolo de transferencia de hipertexto) es el protocolo usado en cada transacción de la World Wide Web. 2. Enlace: Acto de enlazar; Conexión de una cosa con otra; Unión; Conexión de hipertexto que permite llevar a un navegante de internet de un sitio a otro 3. Jpg: Los datos de una imagen pueden ser grabados en diferentes formatos. El jpg es, sin duda, el formato más popular. Su gran ventaja es ser un formato comprimido, lo que le permite ocupar poquísimo espacio en la memoria de la cámara o ser enviado con rapidez por internet. ... 4. Perfil: Es una selección de elementos de metadatos necesarios para satisfacer los requerimientos de documentación de información en alguna organización o país, estableciendo los tamaños y dominios para cada elemento. Así mismo, debe contener los elementos de metadatos obligatorios de la norma adoptada. 5. Fuente: Fuente documental (o simplemente la fuente) es el origen de una información, especialmente para la investigación, bien sea el periodismo, la historiografía o la producción de literatura académica en general. En determinados contextos, los términos autor y fuente son sinónimos. 1. La siguiente lista muestra algunas reglas de XHTML 1.0 que lo diferencian de HTML 4.01. Muchas de estas diferencias vienen con el cambio de ser una aplicación SGML a ser una aplicación del más estricto XML: • Los elementos vacíos deben cerrarse siempre: o Incorrecto: <br>
  • 32.
    o Correcto: <br></br> o <br/> o <br /> Nota: Cualquiera de las tres formas es válida en XHTML. Para compatibilidad según el "Apéndice C" debe usarse <br />. • Los elementos no vacíos también deben cerrarse siempre: o Incorrecto: <p>Primer párrafo<p>Segundo párrafo o Correcto: <p>Primer párrafo</p><p>Segundo párrafo</p> • Los elementos anidados deben tener un correcto orden de apertura/ cierre (el que se abre último, debe cerrarse primero). o Incorrecto: <em><strong>Texto</em></strong> o Correcto: <em><strong>Texto</strong></em> 2. Página Web: Documento realizado en HTML y que es parte de un sitio Web. Aparte del HTML se pueden utilizar otros lenguajes complementarios como PHP, ASP, JavascriptÉ Sitio Web: Página principal y sus otras páginas, gráficos, documentos, multimedia y otros archivos asociados que se almacenan en un servidor Web o en el disco duro de un equipo. HTML: (Lenguaje de marcado de hipertexto) Lenguaje estándar de marcas empleado para documentos del World Wide Web. Hipervínculo: Al hipervínculo se le suele llamar “enlace Web” o en su versión anglosajona “link”. Un hipervínculo es una conexión de una página a otro destino como, por ejemplo, otra página o una ubicación diferente en la misma página. Lenguaje de programación: Lenguaje con el que está desarrollada una página Web. Editor: Programa utilizado para crear páginas Web sin la necesidad de tener que aprender el lenguaje. Ejemplos: M. Front Page 2000 y Macro- media Dreamweaver. Servidor: Máquina conectada a Internet que –entre otros servicios- ofrece albergue para páginas Web haciendo que estén accesibles desde cualquier punto de Internet. Cliente FTP: Programa que permite conectarse al servidor para publicar páginas Web.
  • 33.
    Hosting: Hospedaje Web Dominio:Dirección Web asociada a una página Web. ISP: En el ámbito del desarrollo de sitios web, se puede decir que un ISP es un proveedor de servicios para web. Los diferentes servicios que pueden ofrecer son: conexión a Internet, registro de dominio, hospedaje de sitios web, servicios de contadores de servicios, libros de visitas gratuitos, estadísticas para web, entre otros. URL: (Universal Resource Location / Localizador de recursos universal) Cadena que proporciona la dirección de Internet de un sitio Web o un recurso del World Wide Web, junto con el protocolo mediante el cual se tiene acceso al sitio o al recurso. El tipo más común de dirección URL es http://, que proporciona la dirección de Internet de una página Web. Otros tipos de dirección URL son gopher://, que proporciona la dirección de Internet de un directorio Gopher, y ftp://, que proporciona la ubicación de red de un recurso FTP. Ejemplos: http://www.mitecnologico.com , http://www.google.com 3. se descartarán los cambios efectuados en Fuentes y Colores.