UNIVERSIDAD TÉCNICA DE MACHALA
FACULTAD DE CIENCIAS QUÍMICAS Y DE LA SALUD
ESCUELA DE ENFERMERÍA
PERIODO 2013 – 2014

CUESTIONARIO DE INFORMÁTICA I
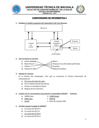
1. Grafique el modelo propuesto del matemático John Von Neuman.

2. Una con líneas lo correcto:
a. Charles Babbage
b. Blaise Pascal
c. Hollerit
d. Howard H. Aiken

Mark I
Propuso el uso de tarjetas perforadas.
Pascalina
Máquina Analítica.

3. Subraye lo correcto:
- En la historia del computador, ¿Por qué se caracteriza la Primera Generación de
computadoras?
a. Por el uso de tubos de vacío.
b. Por la implementación del cálculo.
c. Porque se reemplazó el ábaco.
d. Ninguna de las anteriores.
4. ¿Cuáles son las características que poseía la computadora EDVAC?
a. 18000 tubos
d. 12000 diodos
b. 6000 tubos
e. 7850 Kg
c. 56 KW
f. Fecha de creación 1941

(4 ítems)

5. ¿Cuánto espacio ocupaba la UNIVAC?
a. Un cuarto de 40*20 m
b. Un cuarto de 10*5 m
c. Un cuarto de 15*10 m
d. Un cuarto de 20*10 m
1
UNIVERSIDAD TÉCNICA DE MACHALA
FACULTAD DE CIENCIAS QUÍMICAS Y DE LA SALUD
ESCUELA DE ENFERMERÍA
PERIODO 2013 – 2014

6. Complete:
a. La computadora ENIAC fue creada porJhon W. Mauchly y PresperEckert en el año
1941 en la Universidad de Pensilvania.
7. Complete:
a. La IBM para introducir los datos utilizaba tarjetas perforadas.Fue comercializada a
partir de 1964, fue la primera en usar una palabra byte para referirse a 8 bits. La IBM
360 fue la primera en usar microprogramación.
8. Escriba una V si es verdadero o F si es falso según corresponda.
 En la Primera Generación:
a. Las PC usaban tarjetas perforadas para entrar datos y programas.
( V)
b. Usaban tubos al vacío para procesar información.
( V )
c. Las computadoras eran pequeñas.
( F)
d. Las PC no usaban cilindros magnéticos para almacenar información.(F)
9. ¿Un transistor reemplazó un equivalente de cuántos tubos al vacío?
a. 35
b. 30
c. 40
d. 45
10. Escriba una V si es verdadero o F si es falso según corresponda.
 En la Segunda Generación:
a. Grace Murria inventó el primer compilador en 1954.
( F )
b. Las computadoras de la Segunda Generación eran más pequeñas y rápidas
respecto a las de la Primera Generación.
( V
c. Los programas podían transferirse a otra computadora con mayor esfuerzo ( F
d. Se programaban con lenguajes de bajo nivel.
( F

con
)
)
)

11. Subraye las cualidades de las computadoras de la Segunda Generación: (4 ítems)
a. Más grandes.
b. Poca ventilación.
c. Más lentas.
d. Más rápidas.
e.Más pequeñas.
f.Uso de transistores.
12. Subraye lo correcto: (1 íem)
 En la Segunda Generación se dio el avance del Lenguaje:
a. Primario a Simbólico
b. Binario a Mímico
c. Binario a Simbólico
d. Primordial a Simbólico
2
UNIVERSIDAD TÉCNICA DE MACHALA
FACULTAD DE CIENCIAS QUÍMICAS Y DE LA SALUD
ESCUELA DE ENFERMERÍA
PERIODO 2013 – 2014

13. Subraye dos características principales de la Segunda Generación:
a. Mayor rapidez a la velocidad de datos.
b. Su componente principal eran los tubos de vacío.
c. Sus componentes principales fueron los transistores.
d. El Desarrollo de la Inteligencia Artificial.
e. Se creó la Máquina Analítica.
14. Subraye en qué año se inició la Tercera Generación de Computadoras:
a. 1895
b. 1960
c. 1961
d. 1962
15. Subraye las desventajas de las computadoras en la Tercera Generación: (2 ítems)
a. Más pequeñas.
b. Se introdujo el teclado y el ratón.
c. Requerían aire acondicionado.
d. Se necesitaba de tecnología altamente sofisticada para la fabricación del chip.
e. Mayor capacidad de almacenamiento.
f. Mucho más rápidos en el poder de computación.
16. ¿Qué significan minicomputadoras?
a. Computadoras pequeñas.
b. Reducción de sistemas de memoria.
c. Reducción de sistemas de lógica.
d. Las dos anteriores. (b, c)
17. ¿Cuál era la verdadera novedad de la generación de computadoras IBM 360?
a. La verdadera novedad consistía en la idea de reunir en un gran soporte un grupode
componentes, conocidos como circuitos integrados.
b. La verdadera novedad consistía en la idea de separar en un gran soporte un grupo de
componentes, conocidos como circuitos integrados.
c. La verdadera novedad consistía en la idea de reunir en un pequeño soporte un grupo
de componentes, conocidos como circuitos integrados.
18. Complete:
a. Los chips de circuitos integrados tienen la ventaja de ser más confiables, compactos,
y de menor costo, respecto de los transistores.
b. La Tercera Generación de computadoras permitía la renovación de periféricos.

3
UNIVERSIDAD TÉCNICA DE MACHALA
FACULTAD DE CIENCIAS QUÍMICAS Y DE LA SALUD
ESCUELA DE ENFERMERÍA
PERIODO 2013 – 2014

19. La Cuarta Generación está definida por:
a. Desarrollo de circuitos integrados.
b. Desarrollo del microprocesador.
c. Desarrollo de juegos y programas.
d. Desarrollo de transistores.

(1 ítem)

20. Señale en qué fecha se inició la Cuarta Generación:
a. 1960 - 1970
b. 1971 – 1981
c. 1984 – 1993
d. 1670 – 1680
21. Señale, ¿Cuál fue el primer microprocesador?
a. 8 bits Intel 8080
b. 8 bits Intel 8008
c. 8 bits Intel 8070
d. 8 bits Intel 8000
22. Subraye las características de la Cuarta Generación:
a. Se desarrollan los circuitos integrados.
b. La capacidad de almacenamiento disminuye.
c. Sistemas de tratamiento de bases de datos.
d. Memorias electrónicas más rápidas.
e. Se utilizaban las tarjetas perforadas.
23. ¿En qué año la IBM lanza la computadora personal?
a. 1971
b. 1984
c. 1970
d. 1981
24. Una con líneas los personajes dados con sus respectivos conceptos.
 Seymour Crayf
- Diseñó la Primera Computadora en
1982.
 Guido Van Rossum
- Responsable de haber introducido
el término “inteligencia artificial”.
 RasmusLerdorf
- Creador del PHP.
 John McCarthy
- Conocido por ser el gran autor del
Lenguaje llamado Python.

4
UNIVERSIDAD TÉCNICA DE MACHALA
FACULTAD DE CIENCIAS QUÍMICAS Y DE LA SALUD
ESCUELA DE ENFERMERÍA
PERIODO 2013 – 2014

25. Escriba una V si es verdadero o F si es falso según corresponda.
 ¿Cuáles eran los campos de investigación según la Quinta Generación?
a. Tecnologías para el proceso del conocimiento.
b. Tecnologías funcionales no distribuidas.
c. Sitios de trabajo de alto rendimiento.
d. Informáticas funcionales distribuidas.

(
(
(
(

V
F
V
F

)
)
)
)

26. Subraye lo correcto:
( 4 ítems)
 De los siguientes enunciados subraye los principales eventos que se identifican en la
Quinta Generación:
a. La Robótica.
b. Porque se reemplazó el ábaco.
c. Se implementó la Inteligencia Artificial.
d. Se desarrollan las Redes de Comunicaciones.
e. Se usaban cilindros magnéticos para almacenar información.
f. Por el uso de tubos de vacío.
g. Surgen los Sistemas Expertos.
h. Usaban transistores para procesar información.
27. Escriba una V si es verdadero o F si es falso según corresponda.
 Las características principales de la Quinta Generación:
a. Se desarrolló el microprocesador.
b. Mayor velocidad.
c. Nuevos lenguajes de programación como el COBOL y FORTRAN.
d. Mayor miniaturización de los elementos.
e. Lenguaje Natural.
f. Surge la multiprogramación.
g. Multiprocesador.
h. Emerge la industria del software.
28. ¿A qué país se le atribuye el llamado “programa de la quinta generación de
computadoras”?
a. España.
b. E.E.U.U.
c. Japón.
d. Inglaterra.
e. E.E.U.U. y Japón
f. Todas las anteriores.
g. Ninguna de las anteriores.

5
UNIVERSIDAD TÉCNICA DE MACHALA
FACULTAD DE CIENCIAS QUÍMICAS Y DE LA SALUD
ESCUELA DE ENFERMERÍA
PERIODO 2013 – 2014

29. Señale en qué fecha se inició la Quinta Generación:
a. 1971 – al presente
b. 1974 – al presente
c. 1981 – al presente
d. 1983 – al presente
30. Una con líneas la clasificación de las computadoras.
Macrocomputadoras
Procesan enormes cantidades de información en
poco tiempo y son dedicadas a una tarea
Microcomputadoras
específica.
También conocidas como Mainframes.
Supercomputadoras
Tienen un sistema multiproceso capaz de soportar de
10 hasta 200 usuarios simultáneamente.
Minicomputadoras
Computadoras Personales (PC´s)

NOTA: ESTUDIAR Y SUBIR AL BLOG.

6

Cuestionario generaciones

  • 1.
    UNIVERSIDAD TÉCNICA DEMACHALA FACULTAD DE CIENCIAS QUÍMICAS Y DE LA SALUD ESCUELA DE ENFERMERÍA PERIODO 2013 – 2014 CUESTIONARIO DE INFORMÁTICA I 1. Grafique el modelo propuesto del matemático John Von Neuman. 2. Una con líneas lo correcto: a. Charles Babbage b. Blaise Pascal c. Hollerit d. Howard H. Aiken Mark I Propuso el uso de tarjetas perforadas. Pascalina Máquina Analítica. 3. Subraye lo correcto: - En la historia del computador, ¿Por qué se caracteriza la Primera Generación de computadoras? a. Por el uso de tubos de vacío. b. Por la implementación del cálculo. c. Porque se reemplazó el ábaco. d. Ninguna de las anteriores. 4. ¿Cuáles son las características que poseía la computadora EDVAC? a. 18000 tubos d. 12000 diodos b. 6000 tubos e. 7850 Kg c. 56 KW f. Fecha de creación 1941 (4 ítems) 5. ¿Cuánto espacio ocupaba la UNIVAC? a. Un cuarto de 40*20 m b. Un cuarto de 10*5 m c. Un cuarto de 15*10 m d. Un cuarto de 20*10 m 1
  • 2.
    UNIVERSIDAD TÉCNICA DEMACHALA FACULTAD DE CIENCIAS QUÍMICAS Y DE LA SALUD ESCUELA DE ENFERMERÍA PERIODO 2013 – 2014 6. Complete: a. La computadora ENIAC fue creada porJhon W. Mauchly y PresperEckert en el año 1941 en la Universidad de Pensilvania. 7. Complete: a. La IBM para introducir los datos utilizaba tarjetas perforadas.Fue comercializada a partir de 1964, fue la primera en usar una palabra byte para referirse a 8 bits. La IBM 360 fue la primera en usar microprogramación. 8. Escriba una V si es verdadero o F si es falso según corresponda.  En la Primera Generación: a. Las PC usaban tarjetas perforadas para entrar datos y programas. ( V) b. Usaban tubos al vacío para procesar información. ( V ) c. Las computadoras eran pequeñas. ( F) d. Las PC no usaban cilindros magnéticos para almacenar información.(F) 9. ¿Un transistor reemplazó un equivalente de cuántos tubos al vacío? a. 35 b. 30 c. 40 d. 45 10. Escriba una V si es verdadero o F si es falso según corresponda.  En la Segunda Generación: a. Grace Murria inventó el primer compilador en 1954. ( F ) b. Las computadoras de la Segunda Generación eran más pequeñas y rápidas respecto a las de la Primera Generación. ( V c. Los programas podían transferirse a otra computadora con mayor esfuerzo ( F d. Se programaban con lenguajes de bajo nivel. ( F con ) ) ) 11. Subraye las cualidades de las computadoras de la Segunda Generación: (4 ítems) a. Más grandes. b. Poca ventilación. c. Más lentas. d. Más rápidas. e.Más pequeñas. f.Uso de transistores. 12. Subraye lo correcto: (1 íem)  En la Segunda Generación se dio el avance del Lenguaje: a. Primario a Simbólico b. Binario a Mímico c. Binario a Simbólico d. Primordial a Simbólico 2
  • 3.
    UNIVERSIDAD TÉCNICA DEMACHALA FACULTAD DE CIENCIAS QUÍMICAS Y DE LA SALUD ESCUELA DE ENFERMERÍA PERIODO 2013 – 2014 13. Subraye dos características principales de la Segunda Generación: a. Mayor rapidez a la velocidad de datos. b. Su componente principal eran los tubos de vacío. c. Sus componentes principales fueron los transistores. d. El Desarrollo de la Inteligencia Artificial. e. Se creó la Máquina Analítica. 14. Subraye en qué año se inició la Tercera Generación de Computadoras: a. 1895 b. 1960 c. 1961 d. 1962 15. Subraye las desventajas de las computadoras en la Tercera Generación: (2 ítems) a. Más pequeñas. b. Se introdujo el teclado y el ratón. c. Requerían aire acondicionado. d. Se necesitaba de tecnología altamente sofisticada para la fabricación del chip. e. Mayor capacidad de almacenamiento. f. Mucho más rápidos en el poder de computación. 16. ¿Qué significan minicomputadoras? a. Computadoras pequeñas. b. Reducción de sistemas de memoria. c. Reducción de sistemas de lógica. d. Las dos anteriores. (b, c) 17. ¿Cuál era la verdadera novedad de la generación de computadoras IBM 360? a. La verdadera novedad consistía en la idea de reunir en un gran soporte un grupode componentes, conocidos como circuitos integrados. b. La verdadera novedad consistía en la idea de separar en un gran soporte un grupo de componentes, conocidos como circuitos integrados. c. La verdadera novedad consistía en la idea de reunir en un pequeño soporte un grupo de componentes, conocidos como circuitos integrados. 18. Complete: a. Los chips de circuitos integrados tienen la ventaja de ser más confiables, compactos, y de menor costo, respecto de los transistores. b. La Tercera Generación de computadoras permitía la renovación de periféricos. 3
  • 4.
    UNIVERSIDAD TÉCNICA DEMACHALA FACULTAD DE CIENCIAS QUÍMICAS Y DE LA SALUD ESCUELA DE ENFERMERÍA PERIODO 2013 – 2014 19. La Cuarta Generación está definida por: a. Desarrollo de circuitos integrados. b. Desarrollo del microprocesador. c. Desarrollo de juegos y programas. d. Desarrollo de transistores. (1 ítem) 20. Señale en qué fecha se inició la Cuarta Generación: a. 1960 - 1970 b. 1971 – 1981 c. 1984 – 1993 d. 1670 – 1680 21. Señale, ¿Cuál fue el primer microprocesador? a. 8 bits Intel 8080 b. 8 bits Intel 8008 c. 8 bits Intel 8070 d. 8 bits Intel 8000 22. Subraye las características de la Cuarta Generación: a. Se desarrollan los circuitos integrados. b. La capacidad de almacenamiento disminuye. c. Sistemas de tratamiento de bases de datos. d. Memorias electrónicas más rápidas. e. Se utilizaban las tarjetas perforadas. 23. ¿En qué año la IBM lanza la computadora personal? a. 1971 b. 1984 c. 1970 d. 1981 24. Una con líneas los personajes dados con sus respectivos conceptos.  Seymour Crayf - Diseñó la Primera Computadora en 1982.  Guido Van Rossum - Responsable de haber introducido el término “inteligencia artificial”.  RasmusLerdorf - Creador del PHP.  John McCarthy - Conocido por ser el gran autor del Lenguaje llamado Python. 4
  • 5.
    UNIVERSIDAD TÉCNICA DEMACHALA FACULTAD DE CIENCIAS QUÍMICAS Y DE LA SALUD ESCUELA DE ENFERMERÍA PERIODO 2013 – 2014 25. Escriba una V si es verdadero o F si es falso según corresponda.  ¿Cuáles eran los campos de investigación según la Quinta Generación? a. Tecnologías para el proceso del conocimiento. b. Tecnologías funcionales no distribuidas. c. Sitios de trabajo de alto rendimiento. d. Informáticas funcionales distribuidas. ( ( ( ( V F V F ) ) ) ) 26. Subraye lo correcto: ( 4 ítems)  De los siguientes enunciados subraye los principales eventos que se identifican en la Quinta Generación: a. La Robótica. b. Porque se reemplazó el ábaco. c. Se implementó la Inteligencia Artificial. d. Se desarrollan las Redes de Comunicaciones. e. Se usaban cilindros magnéticos para almacenar información. f. Por el uso de tubos de vacío. g. Surgen los Sistemas Expertos. h. Usaban transistores para procesar información. 27. Escriba una V si es verdadero o F si es falso según corresponda.  Las características principales de la Quinta Generación: a. Se desarrolló el microprocesador. b. Mayor velocidad. c. Nuevos lenguajes de programación como el COBOL y FORTRAN. d. Mayor miniaturización de los elementos. e. Lenguaje Natural. f. Surge la multiprogramación. g. Multiprocesador. h. Emerge la industria del software. 28. ¿A qué país se le atribuye el llamado “programa de la quinta generación de computadoras”? a. España. b. E.E.U.U. c. Japón. d. Inglaterra. e. E.E.U.U. y Japón f. Todas las anteriores. g. Ninguna de las anteriores. 5
  • 6.
    UNIVERSIDAD TÉCNICA DEMACHALA FACULTAD DE CIENCIAS QUÍMICAS Y DE LA SALUD ESCUELA DE ENFERMERÍA PERIODO 2013 – 2014 29. Señale en qué fecha se inició la Quinta Generación: a. 1971 – al presente b. 1974 – al presente c. 1981 – al presente d. 1983 – al presente 30. Una con líneas la clasificación de las computadoras. Macrocomputadoras Procesan enormes cantidades de información en poco tiempo y son dedicadas a una tarea Microcomputadoras específica. También conocidas como Mainframes. Supercomputadoras Tienen un sistema multiproceso capaz de soportar de 10 hasta 200 usuarios simultáneamente. Minicomputadoras Computadoras Personales (PC´s) NOTA: ESTUDIAR Y SUBIR AL BLOG. 6