Descarga gratis durante 30 días
Iniciar sesión
Cargar
Idioma (ES)
Atención al cliente
Empresariales
Móvil
Redes sociales
Marketing
Tecnología
Arte y fotografía
Empleo
Diseño
Educación
Presentaciones y charlas públicas
Gobierno y org. sin ánimo de lucro
Atención sanitaria
Internet
Derecho
Liderazgo y gestión
Motor
Ingeniería
Software
Reclutamiento y RR. HH.
Venta al por menor
Ventas
Servicios
Ciencias
PYMES y liderazgo
Alimentación
Medio ambiente
Economía y finanzas
Datos y análisis
Relaciones con inversores
Deportes
Meditación
Noticias y política
Viajes
Desarrollo personal
Sector inmobiliario
Entretenimiento y humor
Salud y medicina
Dispositivos y hardware
Estilo de vida
Cambiar idioma
Idioma
English
Español
Português
Français
Deutsche
Cancelar
Guardar
ES
Subido por
Heder Ithamar Romero
PPT, PDF
282 vistas
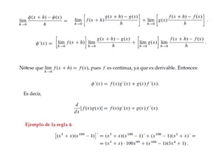
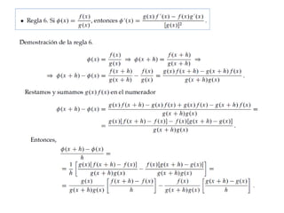
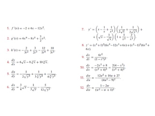
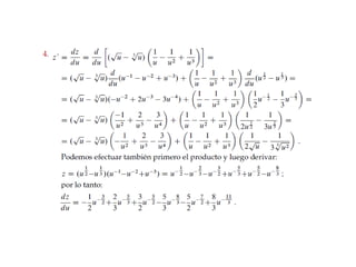
Derivada Reglas Basicas
Explica las reglas bsica para la derivacion.
Ingeniería
◦
Leer más
0
Guardar
Compartir
Insertar
Incrustar presentación
Descargar
Descargar para leer sin conexión
1
/ 27
2
/ 27
3
/ 27
4
/ 27
5
/ 27
6
/ 27
7
/ 27
8
/ 27
9
/ 27
10
/ 27
11
/ 27
12
/ 27
13
/ 27
14
/ 27
15
/ 27
16
/ 27
17
/ 27
18
/ 27
19
/ 27
20
/ 27
21
/ 27
22
/ 27
23
/ 27
24
/ 27
25
/ 27
26
/ 27
27
/ 27
Más contenido relacionado
PDF
Technology and Business Innovation in China: Presentation and Discussion at S...
por
Mark Mueller-Eberstein
PPTX
Cold fusion
por
Heder Ithamar Romero
PPTX
C++
por
Heder Ithamar Romero
PDF
Configuacion de estaciones de trabajo
por
Heder Ithamar Romero
PPTX
Administración de memoria
por
Heder Ithamar Romero
PPTX
Evolución y clasificación de los sistemas operativos
por
Heder Ithamar Romero
PPTX
Oracle
por
Heder Ithamar Romero
PPTX
ESTADO DE RESULTADOS
por
Heder Ithamar Romero
Technology and Business Innovation in China: Presentation and Discussion at S...
por
Mark Mueller-Eberstein
Cold fusion
por
Heder Ithamar Romero
C++
por
Heder Ithamar Romero
Configuacion de estaciones de trabajo
por
Heder Ithamar Romero
Administración de memoria
por
Heder Ithamar Romero
Evolución y clasificación de los sistemas operativos
por
Heder Ithamar Romero
Oracle
por
Heder Ithamar Romero
ESTADO DE RESULTADOS
por
Heder Ithamar Romero
Más de Heder Ithamar Romero
DOC
Matematicas Discretas - Sistemas Numericos
por
Heder Ithamar Romero
PPT
Derivadas de Funciones Trigonometricas
por
Heder Ithamar Romero
PPT
Derivada y Razones de Campbio - Tangente
por
Heder Ithamar Romero
PPT
Derivada - La Recta Tangente
por
Heder Ithamar Romero
PPT
Derivada - Regla de los cuatro pasos.
por
Heder Ithamar Romero
PDF
Numeros Reales
por
Heder Ithamar Romero
PPT
Resolucion de Desigualdades Parte 2
por
Heder Ithamar Romero
PPT
Numeros Reales
por
Heder Ithamar Romero
PPT
Resolucion de Desigualdades Parte 3
por
Heder Ithamar Romero
PPT
Orden de los numeros reales
por
Heder Ithamar Romero
PPT
Reglas de Derivacion.
por
Heder Ithamar Romero
PPTX
Investigacion de Operaciones - Problemas de sillas
por
Heder Ithamar Romero
PPTX
Inglaterra
por
Heder Ithamar Romero
DOCX
Tres Teorias Del Fin Del Mundo
por
Heder Ithamar Romero
PPT
Tipos de Empresa
por
Heder Ithamar Romero
PPT
Administracion de proyectos
por
Heder Ithamar Romero
PPTX
Administracion y el entorno de las empresas
por
Heder Ithamar Romero
Matematicas Discretas - Sistemas Numericos
por
Heder Ithamar Romero
Derivadas de Funciones Trigonometricas
por
Heder Ithamar Romero
Derivada y Razones de Campbio - Tangente
por
Heder Ithamar Romero
Derivada - La Recta Tangente
por
Heder Ithamar Romero
Derivada - Regla de los cuatro pasos.
por
Heder Ithamar Romero
Numeros Reales
por
Heder Ithamar Romero
Resolucion de Desigualdades Parte 2
por
Heder Ithamar Romero
Numeros Reales
por
Heder Ithamar Romero
Resolucion de Desigualdades Parte 3
por
Heder Ithamar Romero
Orden de los numeros reales
por
Heder Ithamar Romero
Reglas de Derivacion.
por
Heder Ithamar Romero
Investigacion de Operaciones - Problemas de sillas
por
Heder Ithamar Romero
Inglaterra
por
Heder Ithamar Romero
Tres Teorias Del Fin Del Mundo
por
Heder Ithamar Romero
Tipos de Empresa
por
Heder Ithamar Romero
Administracion de proyectos
por
Heder Ithamar Romero
Administracion y el entorno de las empresas
por
Heder Ithamar Romero
Descargar