El Club Ajedrez Motril Campeón                XABCDEFGHY
         de Andalucía
                                              8r+lwqk+ntr(
La final del Campeonato de Andalucía de
                                              7zpp+-+pvlp'
División de Honor se celebró, el 11 y 12 de   6-+nzp-+p+&
diciembre, en el hotel Corona de Granada,
con la organización de DSBInnova y la         5+-zpNzp-+-%
Delegación Granadina y arbitraje de           4-+P+P+-+$
Guillermo Barranco y Pepe Cañete.
El C.A. Motril era el principal favorito ya   3zP-+P+N+-#
que llegaba con 6 puntos de la fase           2-zP-+-zPPzP"
previa. Le seguían la Peña Oromana de
Alcalá de Guadaira con 4, Natación Sevilla    1tR-vLQmKL+R!
y Trebejos de Málaga con 3, Shahmat de
Sanlúcar de Barrameda con 1 y Cruz Roja
                                              xabcdefghy
de Linares con 0.
Motril revalidó el título con total           Con esta estructura central los planes
merecimiento, logrando los 15 puntos          suelen ser romper en b4 o b5 o en f4 o f5.
posibles, al vencer 4-1 a Shahmat, 4.5-0.5    El blanco tiene listo b4 y el negro f5. Con
                                              los enroques cortos el negro tomará la
a Natación y 3-2 a Oromana.
                                              iniciativa 7...h6 controla g5 para desarrollar
Oromana se proclamó, también con              el Cg8 por e7 y reforzar f5; el blanco no
claridad, subcampeón con 10 puntos al         prepara f4 ni realiza b4 8.Ae3 Cge7 9.Dd2
vencer 4-1 a Cruz Roja y 5-0 a Trebejos.      f5 10.g3 Cxd5 11.cxd5 Cd4 la amenaza en
El bronce, con 7 puntos, fue para             b3 y f3 y la imposibilidad de 12.Cxd4
                                              concede al negro la todavía pequeña
Natación que venció 3-2 a Trebejos y
                                              ventaja de la pareja de alfiles 12.Axd4
empató, 2.5-2.5, con Cruz Roja.               cxd4 13.Ae2 [el intento 13.Ch4 para
Shahmat y Cruz Roja quedaron 4º y 5º          intentar jugar rápidamente f4 fracasaría por
empatados a 4 puntos. Trebejos, que tuvo      13...Df6 14.Ag2 0–0 15.0–0 f4³] 13...0–0
dificultades para contar con sus mejores      14.h3 suena raro jugar Ae2 y h3 en lugar
                                              de Ag2 y 0–0, pero en este caso el ataque
tableros finalizó 6º con 3 puntos.            negro con f4, g5, Ah3, Df6 se conduciría
Dado que Motril está clasificado para la      solo. Jesús intenta dificultarlo preparando
1ª División Nacional, será la Peña            g4 como respuesta a un eventual f4
Oromana el representante andaluz en la        14...Ad7 15.Rf1 Df6 16.Tc1 g5
2ª División Nacional. Si hay más plazas se    Diagrama
adjudicarán por orden de clasificación.       XABCDEFGHY
El momento clave fue el match Motril-
Oromana. Pese a la ventaja de Motril una
                                              8r+-+-trk+(
victoria de Oromana daría el título a los     7zpp+l+-vl-'
sevillanos. Hubo tablas en los tableros 1 y
5 y victorias cruzadas en el 3 y 4. La
                                              6-+-zp-wq-zp&
lucha entre dos MI en el 2º tablero puede     5+-+Pzppzp-%
considerarse, no como la mejor partida
pero sí como la más decisiva.                 4-+-zpP+-+$
                                              3zP-+P+NzPP#
Garrido, Jesús - Cuenca, José [B40]
Oromana - Motril, 12.12.2010                  2-zP-wQLzP-+"
1.e4 c5 2.Cf3 Cc6 3.c4 e5 4.Cc3 g6 5.d3
Ag7 6.Cd5 d6 7.a3 Diagrama                    1+-tR-+K+R!
                                              xabcdefghy
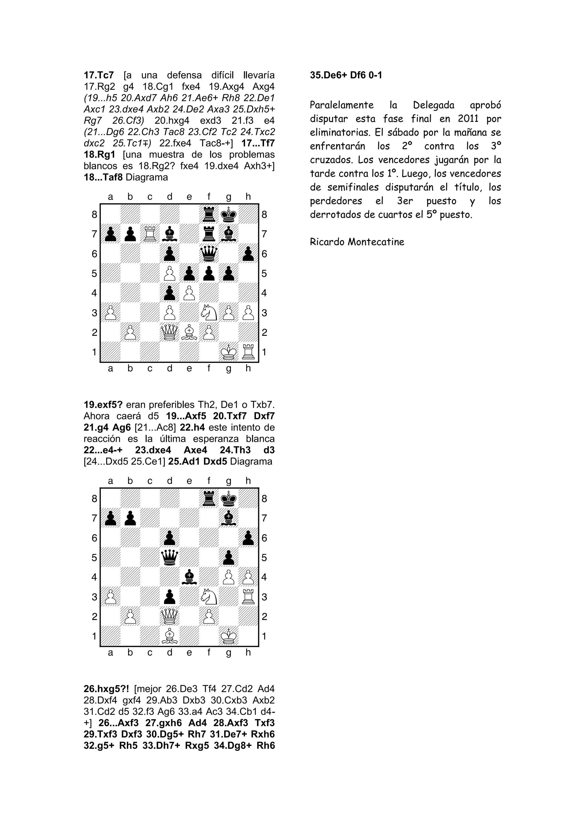
17.Tc7 [a una defensa difícil llevaría       35.De6+ Df6 0–1
17.Rg2 g4 18.Cg1 fxe4 19.Axg4 Axg4
(19...h5 20.Axd7 Ah6 21.Ae6+ Rh8 22.De1
Axc1 23.dxe4 Axb2 24.De2 Axa3 25.Dxh5+       Paralelamente     la   Delegada     aprobó
Rg7 26.Cf3) 20.hxg4 exd3 21.f3 e4            disputar esta fase final en 2011 por
(21...Dg6 22.Ch3 Tac8 23.Cf2 Tc2 24.Txc2     eliminatorias. El sábado por la mañana se
dxc2 25.Tc1µ) 22.fxe4 Tac8–+] 17...Tf7       enfrentarán los 2º contra los 3º
18.Rg1 [una muestra de los problemas
                                             cruzados. Los vencedores jugarán por la
blancos es 18.Rg2? fxe4 19.dxe4 Axh3+]
18...Taf8 Diagrama                           tarde contra los 1º. Luego, los vencedores
                                             de semifinales disputarán el título, los
XABCDEFGHY                                   perdedores el 3er puesto y los
8-+-+-trk+(                                  derrotados de cuartos el 5º puesto.

7zpptRl+rvl-'                                Ricardo Montecatine
6-+-zp-wq-zp&
5+-+Pzppzp-%
4-+-zpP+-+$
3zP-+P+NzPP#
2-zP-wQLzP-+"
1+-+-+-mKR!
xabcdefghy
19.exf5? eran preferibles Th2, De1 o Txb7.
Ahora caerá d5 19...Axf5 20.Txf7 Dxf7
21.g4 Ag6 [21...Ac8] 22.h4 este intento de
reacción es la última esperanza blanca
22...e4–+ 23.dxe4 Axe4 24.Th3 d3
[24...Dxd5 25.Ce1] 25.Ad1 Dxd5 Diagrama
XABCDEFGHY
8-+-+-trk+(
7zpp+-+-vl-'
6-+-zp-+-zp&
5+-+q+-zp-%
4-+-+l+PzP$
3zP-+p+N+R#
2-zP-wQ-zP-+"
1+-+L+-mK-!
xabcdefghy
26.hxg5?! [mejor 26.De3 Tf4 27.Cd2 Ad4
28.Dxf4 gxf4 29.Ab3 Dxb3 30.Cxb3 Axb2
31.Cd2 d5 32.f3 Ag6 33.a4 Ac3 34.Cb1 d4–
+] 26...Axf3 27.gxh6 Ad4 28.Axf3 Txf3
29.Txf3 Dxf3 30.Dg5+ Rh7 31.De7+ Rxh6
32.g5+ Rh5 33.Dh7+ Rxg5 34.Dg8+ Rh6

Final dh

  • 1.
    El Club AjedrezMotril Campeón XABCDEFGHY de Andalucía 8r+lwqk+ntr( La final del Campeonato de Andalucía de 7zpp+-+pvlp' División de Honor se celebró, el 11 y 12 de 6-+nzp-+p+& diciembre, en el hotel Corona de Granada, con la organización de DSBInnova y la 5+-zpNzp-+-% Delegación Granadina y arbitraje de 4-+P+P+-+$ Guillermo Barranco y Pepe Cañete. El C.A. Motril era el principal favorito ya 3zP-+P+N+-# que llegaba con 6 puntos de la fase 2-zP-+-zPPzP" previa. Le seguían la Peña Oromana de Alcalá de Guadaira con 4, Natación Sevilla 1tR-vLQmKL+R! y Trebejos de Málaga con 3, Shahmat de Sanlúcar de Barrameda con 1 y Cruz Roja xabcdefghy de Linares con 0. Motril revalidó el título con total Con esta estructura central los planes merecimiento, logrando los 15 puntos suelen ser romper en b4 o b5 o en f4 o f5. posibles, al vencer 4-1 a Shahmat, 4.5-0.5 El blanco tiene listo b4 y el negro f5. Con los enroques cortos el negro tomará la a Natación y 3-2 a Oromana. iniciativa 7...h6 controla g5 para desarrollar Oromana se proclamó, también con el Cg8 por e7 y reforzar f5; el blanco no claridad, subcampeón con 10 puntos al prepara f4 ni realiza b4 8.Ae3 Cge7 9.Dd2 vencer 4-1 a Cruz Roja y 5-0 a Trebejos. f5 10.g3 Cxd5 11.cxd5 Cd4 la amenaza en El bronce, con 7 puntos, fue para b3 y f3 y la imposibilidad de 12.Cxd4 concede al negro la todavía pequeña Natación que venció 3-2 a Trebejos y ventaja de la pareja de alfiles 12.Axd4 empató, 2.5-2.5, con Cruz Roja. cxd4 13.Ae2 [el intento 13.Ch4 para Shahmat y Cruz Roja quedaron 4º y 5º intentar jugar rápidamente f4 fracasaría por empatados a 4 puntos. Trebejos, que tuvo 13...Df6 14.Ag2 0–0 15.0–0 f4³] 13...0–0 dificultades para contar con sus mejores 14.h3 suena raro jugar Ae2 y h3 en lugar de Ag2 y 0–0, pero en este caso el ataque tableros finalizó 6º con 3 puntos. negro con f4, g5, Ah3, Df6 se conduciría Dado que Motril está clasificado para la solo. Jesús intenta dificultarlo preparando 1ª División Nacional, será la Peña g4 como respuesta a un eventual f4 Oromana el representante andaluz en la 14...Ad7 15.Rf1 Df6 16.Tc1 g5 2ª División Nacional. Si hay más plazas se Diagrama adjudicarán por orden de clasificación. XABCDEFGHY El momento clave fue el match Motril- Oromana. Pese a la ventaja de Motril una 8r+-+-trk+( victoria de Oromana daría el título a los 7zpp+l+-vl-' sevillanos. Hubo tablas en los tableros 1 y 5 y victorias cruzadas en el 3 y 4. La 6-+-zp-wq-zp& lucha entre dos MI en el 2º tablero puede 5+-+Pzppzp-% considerarse, no como la mejor partida pero sí como la más decisiva. 4-+-zpP+-+$ 3zP-+P+NzPP# Garrido, Jesús - Cuenca, José [B40] Oromana - Motril, 12.12.2010 2-zP-wQLzP-+" 1.e4 c5 2.Cf3 Cc6 3.c4 e5 4.Cc3 g6 5.d3 Ag7 6.Cd5 d6 7.a3 Diagrama 1+-tR-+K+R! xabcdefghy
  • 2.
    17.Tc7 [a unadefensa difícil llevaría 35.De6+ Df6 0–1 17.Rg2 g4 18.Cg1 fxe4 19.Axg4 Axg4 (19...h5 20.Axd7 Ah6 21.Ae6+ Rh8 22.De1 Axc1 23.dxe4 Axb2 24.De2 Axa3 25.Dxh5+ Paralelamente la Delegada aprobó Rg7 26.Cf3) 20.hxg4 exd3 21.f3 e4 disputar esta fase final en 2011 por (21...Dg6 22.Ch3 Tac8 23.Cf2 Tc2 24.Txc2 eliminatorias. El sábado por la mañana se dxc2 25.Tc1µ) 22.fxe4 Tac8–+] 17...Tf7 enfrentarán los 2º contra los 3º 18.Rg1 [una muestra de los problemas cruzados. Los vencedores jugarán por la blancos es 18.Rg2? fxe4 19.dxe4 Axh3+] 18...Taf8 Diagrama tarde contra los 1º. Luego, los vencedores de semifinales disputarán el título, los XABCDEFGHY perdedores el 3er puesto y los 8-+-+-trk+( derrotados de cuartos el 5º puesto. 7zpptRl+rvl-' Ricardo Montecatine 6-+-zp-wq-zp& 5+-+Pzppzp-% 4-+-zpP+-+$ 3zP-+P+NzPP# 2-zP-wQLzP-+" 1+-+-+-mKR! xabcdefghy 19.exf5? eran preferibles Th2, De1 o Txb7. Ahora caerá d5 19...Axf5 20.Txf7 Dxf7 21.g4 Ag6 [21...Ac8] 22.h4 este intento de reacción es la última esperanza blanca 22...e4–+ 23.dxe4 Axe4 24.Th3 d3 [24...Dxd5 25.Ce1] 25.Ad1 Dxd5 Diagrama XABCDEFGHY 8-+-+-trk+( 7zpp+-+-vl-' 6-+-zp-+-zp& 5+-+q+-zp-% 4-+-+l+PzP$ 3zP-+p+N+R# 2-zP-wQ-zP-+" 1+-+L+-mK-! xabcdefghy 26.hxg5?! [mejor 26.De3 Tf4 27.Cd2 Ad4 28.Dxf4 gxf4 29.Ab3 Dxb3 30.Cxb3 Axb2 31.Cd2 d5 32.f3 Ag6 33.a4 Ac3 34.Cb1 d4– +] 26...Axf3 27.gxh6 Ad4 28.Axf3 Txf3 29.Txf3 Dxf3 30.Dg5+ Rh7 31.De7+ Rxh6 32.g5+ Rh5 33.Dh7+ Rxg5 34.Dg8+ Rh6