Introducción a Git
y algo de magia
!
! antonio
" wo'am
git
A  completely  
ignorant,  childish  
person  with  no  
manners
sistema  de  control  de  
versiones
herramienta  para  
ges6onar  código
registro  de  cambios
posibilita  colaboración
repositorio
commits
tags
branches
rebase
merge
conflictos
érase  una  vez  el  peor  
trabajo  del  mundo
sistema  de  control  de  
versiones  humano
Historia de git
Linux
BitKeeper
BitKeeper
distribuido  
rápido  
robusto
distribuido
rápido
capaz  de  ges6onar  
el  repositorio  de  Linux
robusto
pérdida  de  datos  
checksum
otras  caracterís6cas
poco  tamaño
Where  git  really  shines  is  
branching  and  working  
with  other  people
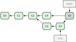
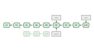
rebase
separación  de  contextos
experimentar
diGcil  de  dominar  
fácil  de  aprender
diGcil  de  dominar  
fácil  de  aprender
Cómo funciona git
.git
snapshots,  no  deltas
sistema  de  ficheros
rebase
rebase
offline
tres  estados
GitHub
Where  git  really  shines  is  
branching  and  working  
with  other  people
colaboración  entre  
desarrolladores
hizo  git  accesible
simplifica  git  y  le  añade  
funcionalidad
"    fork
copia  privada
#    pull  request
merge  inverso
revisión  de  código
comentarios
La magia
Si hubiera sabido de Git, no hubiera
inventado el Delorean
git  commit  —amend
cambiar  el  mensaje  del  
úlCmo  commit
rebase  -­‐i
cambiar  varios  
mensajes
reordenar  commits
comprimir  commits
separar  commits
crear  commits
editar  commits
borrar  commits
Un gran poder conlleva una gran
responsabilidad
sólo  se  cambia  lo  que  
no  ha  sido  sincronizado
git  stash
git  add  -­‐p
hub  /  gh  
!
h'ps://$.com/$/hub  
h'ps://$.com/jingweno/hub
git  svn
extender  git
aliases
comandos  
personalizados
git  bisect
git  bisect
git  bisect
diffs  inteligentes
git  reflog
Para aprender más
h'p://git-­‐scm.com/book  
h'p://gitref.orgs  
h'ps://help.$.com/  
h'ps://$.com/jlord/git-­‐it  
Introducción a Git y algo de magia

Introducción a Git y algo de magia