y= 4x²+2

     x     y
     -3    38
     -2    18
     -1     6                                              40
     0      2
                                                           30
     1      6
     2     18                                              20
     3     38
                                                           10


                                         -4           -2




                                                  y
                                        80
                                        70
                                        60
                                        50
                                        40
                                        30
                                        20
                                        10
                                         0
                -40   -30   -20   -10         0       10
y
40

30

20
                                   y
10

 0
     0            2        4




                                       y= 8x²+3

                                            x     y
                                           -30    68
                                           -25    50
                                           -20    20
                                           -15    15
                                           -10     8
                                            -5     6
                               y            0      2
                                            5      6
                                           10      8
                                           15     15
                                           20     20
 20          30       40                   25     50
                                           30     68
1                                                     80
                                       80
                             13                               2
                                       60                                                           60
                                       40
                   12                                                  3
                                       20
                                        0                                                           40
              11                      -20                                   4                   x
                                      -40                                                           20
                                                                                                y

                10                                                         5                         0
                                                                                                               1   2
                         9                                        6                                 -20
                                      8               7
                                                                                                    -40

120

100

 80

 60
                                                                                                y
 40
                                                                                                x
 20

  0
      1   2      3       4        5       6       7       8       9        10   11   12   13
-20

-40

                                                                                                      100
                        13
                                                                                                          80
                        11
                                                                                                          60
                         9
                                                                                                          40
                         7                                                                      y         20
                                                                                                x
                         5                                                                                  0

                         3                                                                                -20 1

                                                                                                          -40
                         1

-40       -20                0                 20                 40            60         80



                                                      y
                                          80
                                                                                                    80
                                          70                                                         60
70                                                      60
                          60                                                      40
                          50                                                      20
                          40                                                       0
                                                                              y   -20 1
                          30                                                              2
                          20                                                      -40

                          10
                              0
-40   -30   -20    -10                0        10    20        30        40


                                          y
                         80
                         70
                         60
                         50
                         40
                                                                              y
                         30
                         20
                         10
                          0
-40   -30   -20   -10             0           10    20    30        40
x
                                                                                y


2   3   4       5       6       7       8       9    10    11    12    13




                                x
                                                                            1
                                                                            2
                                                                            3
                                                                            4
                                                                            5
                                                                            6
                                                                            7
                                                                            8
                                                                            9




                                                                                y
                                                                                x

2   3   4   5       6       7       8       9   10    11    12    13
60-80
                                                        40-60
                                                        20-40
                                                        0-20
2   3   4   5   6   7                               x   -20-0
                        8   9   10   11   12   13       -40--20
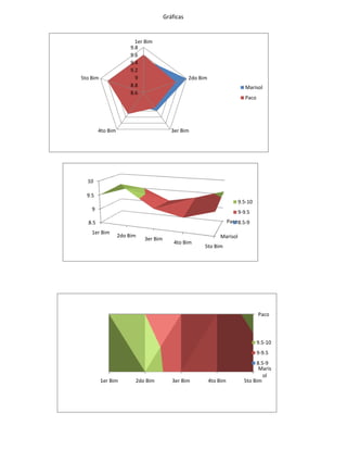
Gráficas




                Calificaciones
                    Marisol             Paco
1er Bim                           9.5               9.6
2do Bim                           9.8               9.5
3er Bim                           9.2               9.1
4to Bim                             9               9.3
5to Bim                           9.3               9.6




10

9.8

9.6

9.4
                                                                                    Marisol
9.2
                                                                                    Paco
 9

8.8

8.6
          1er Bim        2do Bim               3er Bim        4to Bim   5to Bim




      5to Bim


      4to Bim


      3er Bim                                                             Marisol
                                                                          Paco
      2do Bim


      1er Bim


                0             5           10             15        20
Gráficas



9.9
9.8
9.7
9.6
9.5
9.4                                                   Marisol
9.3                                                   Paco
9.2
9.1
 9
8.9
      0            2            4             6




                           Marisol
      10

  9.8

  9.6

  9.4
                                                        Marisol
  9.2

      9

  8.8
           0   1       2    3         4   5       6
Gráficas



 10

9.8

9.6

9.4
                                                                   Marisol
9.2
                                                                   Paco
  9

8.8

8.6
          1er Bim   2do Bim   3er Bim      4to Bim   5to Bim


9.9
9.8
9.7
9.6
9.5
9.4                                                                Marisol
9.3                                                                Paco
9.2
9.1
 9
8.9
      0         1        2       3              4    5         6




                                  Marisol


                                                                     1er Bim
                                                                     2do Bim
                                                                     3er Bim
                                                                     4to Bim
                                                                     5to Bim
Gráficas


                         1er Bim
                       9.8
                       9.6
                       9.4
                       9.2
5to Bim                  9                       2do Bim
                       8.8                                                   Marisol
                       8.6
                                                                             Paco




        4to Bim                          3er Bim




  10

  9.5
                                                                         9.5-10
    9
                                                                         9-9.5
  8.5                                                                Paco 8.5-9
    1er Bim
                  2do Bim                                      Marisol
                            3er Bim
                                          4to Bim
                                                       5to Bim




                                                                                    Paco



                                                                                    9.5-10
                                                                                    9-9.5
                                                                                 8.5-9
                                                                                  Maris
                                                                                    ol
          1er Bim        2do Bim         3er Bim           4to Bim          5to Bim
Gráficas




                 Marisol
1er Bim    2do Bim   3er Bim    4to Bim     5to Bim



           20%

                                              19%

     21%              39%

                                              20%

           20%




                                                               1er Bim
                                                               2do Bim
                                                               3er Bim
                                                               4to Bim
                                                               5to Bim




    10

   9.5

     9
                                                     Marisol

    8.5                                              Paco

     1er Bim 2do Bim                                Ma…
                     3er Bim
                               4to Bim
                                          5to Bim
Gráficas

Graficas

  • 1.
    y= 4x²+2 x y -3 38 -2 18 -1 6 40 0 2 30 1 6 2 18 20 3 38 10 -4 -2 y 80 70 60 50 40 30 20 10 0 -40 -30 -20 -10 0 10
  • 2.
    y 40 30 20 y 10 0 0 2 4 y= 8x²+3 x y -30 68 -25 50 -20 20 -15 15 -10 8 -5 6 y 0 2 5 6 10 8 15 15 20 20 20 30 40 25 50 30 68
  • 3.
    1 80 80 13 2 60 60 40 12 3 20 0 40 11 -20 4 x -40 20 y 10 5 0 1 2 9 6 -20 8 7 -40 120 100 80 60 y 40 x 20 0 1 2 3 4 5 6 7 8 9 10 11 12 13 -20 -40 100 13 80 11 60 9 40 7 y 20 x 5 0 3 -20 1 -40 1 -40 -20 0 20 40 60 80 y 80 80 70 60
  • 4.
    70 60 60 40 50 20 40 0 y -20 1 30 2 20 -40 10 0 -40 -30 -20 -10 0 10 20 30 40 y 80 70 60 50 40 y 30 20 10 0 -40 -30 -20 -10 0 10 20 30 40
  • 5.
    x y 2 3 4 5 6 7 8 9 10 11 12 13 x 1 2 3 4 5 6 7 8 9 y x 2 3 4 5 6 7 8 9 10 11 12 13
  • 6.
    60-80 40-60 20-40 0-20 2 3 4 5 6 7 x -20-0 8 9 10 11 12 13 -40--20
  • 7.
    Gráficas Calificaciones Marisol Paco 1er Bim 9.5 9.6 2do Bim 9.8 9.5 3er Bim 9.2 9.1 4to Bim 9 9.3 5to Bim 9.3 9.6 10 9.8 9.6 9.4 Marisol 9.2 Paco 9 8.8 8.6 1er Bim 2do Bim 3er Bim 4to Bim 5to Bim 5to Bim 4to Bim 3er Bim Marisol Paco 2do Bim 1er Bim 0 5 10 15 20
  • 8.
    Gráficas 9.9 9.8 9.7 9.6 9.5 9.4 Marisol 9.3 Paco 9.2 9.1 9 8.9 0 2 4 6 Marisol 10 9.8 9.6 9.4 Marisol 9.2 9 8.8 0 1 2 3 4 5 6
  • 9.
    Gráficas 10 9.8 9.6 9.4 Marisol 9.2 Paco 9 8.8 8.6 1er Bim 2do Bim 3er Bim 4to Bim 5to Bim 9.9 9.8 9.7 9.6 9.5 9.4 Marisol 9.3 Paco 9.2 9.1 9 8.9 0 1 2 3 4 5 6 Marisol 1er Bim 2do Bim 3er Bim 4to Bim 5to Bim
  • 10.
    Gráficas 1er Bim 9.8 9.6 9.4 9.2 5to Bim 9 2do Bim 8.8 Marisol 8.6 Paco 4to Bim 3er Bim 10 9.5 9.5-10 9 9-9.5 8.5 Paco 8.5-9 1er Bim 2do Bim Marisol 3er Bim 4to Bim 5to Bim Paco 9.5-10 9-9.5 8.5-9 Maris ol 1er Bim 2do Bim 3er Bim 4to Bim 5to Bim
  • 11.
    Gráficas Marisol 1er Bim 2do Bim 3er Bim 4to Bim 5to Bim 20% 19% 21% 39% 20% 20% 1er Bim 2do Bim 3er Bim 4to Bim 5to Bim 10 9.5 9 Marisol 8.5 Paco 1er Bim 2do Bim Ma… 3er Bim 4to Bim 5to Bim
  • 12.