PONTIFICIA UNICERSIDAD CATÓLICA DEL ECUADOR
FACULTAD DE CIENCIAS DE LA EDUCACIÓN
MODALIDAD SEMIPRESENCIAL
CARRERA: INICAL BÁSICA Y BACHILLERATO
MATERIA: INFORMÁTICA APLICADA A LA EDUCACIÓN
Guía didáctica de Ciencias Naturales de Noveno Año
Roxana Bonilla
Rocío Núñez
25-04-2014
BLOQUE 1: Biorregiones
AL FINALIZAR ESTA UNIDAD SERÉ COMPETENTE PARA:
1.- Relacionar el origen de las Biorregiones del Planeta Tierra con el movimiento de las Placas Tectónicas.
Explicando la influencia de los procesos geológicos internos sobre la superficie terrestre, para la formación de
la estructura de la Tierra.
2.- Diferenciar las características y componentes de todas las Biorregiones del mundo.
Contrastando características entre cada Biorregión del mundo.
 Interpretando gráficos y la descripción de cada Biorregión.
Definiendo y reconociendo los endemismos de cada Biorregión del mundo.
3.- Reconocer la importancia de la ubicación geográfica del Ecuador en la Biorregión Neotropical como factor
determinante para su biodiversidad.
Explicando la influencia de la ubicación geográfica en las características particulares que presentan las
ecozonas.
Interpretando mapas y descripciones , así como las relaciones de la flora y fauna en la Biorregión
Neotropical.
Comparando las características geográficas y ambientales del Corredor del Chocó y su biodiversidad.
4.-Valorar la importancia de la conservación y el manejo sustentable de la biodiversidad representativa de
las regiones del Ecuador.
Conociendo el manejo sustentable para el cuidado de la riqueza de la Biorregión Neotropical.
Reconociendo cada cuidado que necesita la flora y fauna endémica del corredor del Chocó.
Proponiendo acciones para mantener la biodiversidad y estimular el desarrollo del país.
PRE-REQUISITO: Placas Tectónicas
APREHENDIZAJES: Proposiciones del concepto Biorregión
RECURSOS: Libro Curtis Biología, Naturaleza Viva 10 Ciencias Naturales Norma, pinturas, plastilina, cartulinas, tijeras,
mapamundi, videos sobre los endemismos del corredor Chocó.
PLACAS
TECTÓNICAS
Componente de la
Corteza
- Fracturas Tectónicas
•Son fragmentos de Litósfera
formados por magma
solidificado.
•Poseen interacciones:
divergencia, convergencia y
falla transformante.
•Se desplazan por la
astenósfera: vulcanismo,
orogénesis, sismicidad.
•Se estudia en la base a la
teoría de la tectónica de
placas.
Placas Principales o
Continentales Microplacas
Placas Secundarias o
Medianas o Menores
PRE-REQUISITO: TEORÍA DE LA TECTÓNICA DE PLACAS
• Sudamericana
• Norteamericana
• Euroasiática
• Indoaustraliana
• Antártica
• Pacífica
• Africana
•Cocos
•Nazca
•Filipina
•Arábiga
•Escocesa
•Del Caribe
MOTIVACIÓN:
ACTIVIDAD RETO: Como actividad de motivación se realizará el mapamundi de las Biorregiones en un
pliego de cartulina, donde ubicaremos cada una de las Biorregiones con papel brillante de diferente color
hasta formar el mapamundi. Dentro de cada Biorregión pegaremos a modo de collage la flora y fauna
específica y representativa de cada una, con láminas de animales y plantas correspondientes a cada
Biorregión.
De esta manera los chicos se interesarán en saber cómo se formaron las mencionadas Biorregiones para
obtener la biodiversidad tan diferenciada de cada uno; se hará un énfasis especial en la Biorregión
Neotropical donde ubicaremos a Ecuador y las especies endémicas de nuestro país.
PREGUNTAS AFECTIVAS: Después de esta actividad y comprendiendo la gran biodiversidad y especies
específicas de cada Biorregión:
• ¿Valoran la importancia de conocer cómo se forma esa diversidad tan diferenciada?
• ¿Por qué se ha dado tanta diversificación entre cada Biorregión?
• ¿Qué sucede con el Ecuador al estar ubicado en la Biorregión Neotropical? ¿Influirá en nuestra riqueza
en cuanto flora y fauna?
ARGUMENTOS: Conocer las Biorregiones y su formación nos ayuda a comprender la riqueza en de
especies, tanto de flora como fauna. Además para poder cuidar algo necesitamos conocerlo, saber qué
debo cuidar y cómo hacerlo, por eso es necesario primero conocer la diversidad de cada Biorregión y en
especial de la Neotropical que es donde se encuentra nuestro país, para así poder preservarla mediante
un manejo sustentable que nos permitirá seguir disfrutando de tanta riqueza natural por mucho más
tiempo.
Según su tamaño
•Egeo
•Anatolia
•Del Mar Negro
Teoría de la Tectónica de Placas
La litósfera es la capa sólida más externa de la Tierra. Aunque es rígida, no forma un bloque único y
compacto, sino que se encuentra dividida en grandes fragmentos llamados placas. Las placas están
unidas unas con otras como si se tratara de un rompecabezas.
Las placas tectónicas no son estáticas, se mueven constantemente, ya que se encuentran “flotando”
sobre una capa más elástica del manto terrestre llamada astenósfera. Se desplazan a una velocidad
de 5 a 10 cm por año, pero esto es imperceptible para nosotros debido al tamaño de las placas.
La Teoría de la tectónica de placas revolucionó la geología al proponer que la corteza de la tierra está
formada por placas en movimiento.
Esta teoría explica que el calor del centro de la Tierra provoca celdas de convección en la astenósfera.
En ciertas regiones, como en los dorsales marinos, el magma se eleva a la superficie, se enfría y forma
una nueva litósfera que empuja a las placas tectónicas hacia los lados. Cuando dos placas se
encuentran, una de ellas se desliza bajo la otra, provocando la subducción, fenómeno que genera un
movimiento capaz de producir terremotos o formar montañas.
NOTA:
El movimiento de las Placas Tectónicas influyó en la formación de la cordillera de los Andes
En el Oligoceno, el movimiento de las placas tectónicas produjo que las placas de Nazca y de
Sudamérica se encontraran, provocando la subducción de la primera, lo cual produjo la elevación del
terreno y una gran actividad volcánica y sísmica en nuestro continente. Esta elevación es lo que hoy
conocemos como la Cordillera de los Andes, que determinó la actual configuración geográfica de
nuestro territorio, dando origen a las tres grandes regiones: la Costa, de relieve plano, en la parte
occidental de nuestro territorio; la Sierra conformada por la cordillera de los Andes, en la parte
central; y la región Amazónica en la parte oriental.
Definición de Términos:
Convección: Forma de transferir calor entre zonas con diferentes temperaturas a través de un fluido.
Oligoceno: es uno de los períodos geológicos que se llevo a cabo hace 37 millones de años, donde se
produjeron importantes movimientos de placas tectónicas.
TAREA: Consultar sobre el Movimiento de los continentes durante la Deriva Continental, realizar un
resumen y pegar en el cuaderno junto con el gráfico.
COPIA pág. 17
APREHENDIZAJEs: Biorregión
Paquete proposicional
P1- Toda Biorregión es un nivel de organización externa de la materia viva.
P2.1.- Toda biorregión es Territorio extenso con condiciones y factores ambientales
desarrollada por el aislamiento mediante barreras naturales.
P3.1.- Ninguna Biorregión es ecosistema ni bioma.
P4.- Las Biorregiones según el movimiento de las placas tectónicas son: Antártica,
Etiópica, Australiana, Oceánica, Neártica, Paleártica, Neotropical, Oriental.
PROPOSICIÓN COMPLEMENTARIA PARA EL BUEN VIVIR
PC: El cuidado de la biodiversidad del Ecuador se debe basar en el Desarrollo
Sustentable.
Niveles de 0rganización
Externa de la Materia Viva
- Bioma
- Ecosistema
•Territorio extenso con
condiciones y factores
ambientales desarrollada por el
aislamiento mediante barreras
naturales.
Biorregión
Según el movimiento de las placas tectónicas
Antártica Neoártica Etiópica Peleártica Australiana Neotropical Oceánica Oriental
MENTEFACTO CONCEPTUAL
ANÁLISIS PROPOSICIONAL
P1: Toda Biorregión es un nivel de organización externo de la materia viva.
Argumentación:
Ya que la materia viva se encuentra organizada según su complejidad en categorías. Son niveles externos
porque están formados por la unión de individuos u organismos y los factores de la naturaleza.
P2.1: Toda Biorregión es territorio con condiciones y factores ambientales desarrollada por el
aislamiento mediante barreras naturales.
Argumentación:
La Biorregión es un espacio de la Tierra extenso formado por seres bióticos y abióticos, que se han originado
desde la separación de Pangea durante la deriva continental; debido a esto se han formado barreras
naturales como son los océanos, cordilleras, quebradas o cualquier tipo geográfico de aislamiento que han
dado origen al desarrollo de las 8 Biorregiones del planeta cada una con sus factores ambientales y especies
específicas. Estas representan patrones de distribución donde las plantas y los animales se desarrollaron en
aislamiento durante largos períodos de tiempo debido al movimiento de las placas tectónicas.
TAREA:
Consultar cuales son las principales barreras naturales que causan aislamiento de las Biorregiones.
Pegar un mapamundi de las Biorregiones.
P3.1: Ninguna Biorregión es ecosistema ni bioma.
Argumentación:
La Biorregión , el ecosistema y el bioma son todos niveles de organización externo de la materia viva; sin
embargo la Biorregión es más extensa que ambos y claramente delimitados por las barreras naturales;
además se encuentra formado por el conjunto de varios ecosistemas y estos a su vez de biomas.
TAREA: Investigar qué es ecosistema , bioma y Biorregión ( media carilla de cada uno).
EJERCICIO EN CLASE:
Realizar un cuadro comparativo investigando las principales diferencias de Biorregión, ecosistema o bioma.
P4.1: Las Biorregiones según el movimiento de las placas tectónicas son: Antártica, Etiópica, Australiana,
Oceánica, Neártica, Paleártica, Neotropical, Oriental.
Debido al movimiento de los continentes durante la deriva continental, hace 225 millones de años hasta la
actualidad, se han formado las 8 grandes regiones a nivel mundial que presentan patrones de distribución
específicos de flora y fauna, debido al aislamiento producido y las barreras naturales formadas.
A continuación revisaremos las principales características de cada biorregión:
Copia cuadros página: 22, 23, 24, 25.
EJERCICIO: Analiza el siguiente mentefacto de silogismo, extrae las premisas y conclusión.
Biorregión
EcosistemaBioma
TAREA: Completa la siguiente tabla resumen sobre las Biorregiones
BIORREGIÓN
Ubicación
Superficie
Característica
Principal
Fauna
Flora
TAREA: Completa la siguiente tabla resumen sobre las Biorregiones
BIORREGIÓN
Ubicación
Superficie
Característica
Principal
Fauna
Flora
P4.6: La Neotropical es una Biorregión.
Argumentación:
La Neotropical es una Biorregión que se ubica en Centro y Sudamérica y las Antillas ubicada sobre la placa
tectónica Sudamericana y la de Nazca; su clima es muy variado desde regiones frías y otras cálidas, incluye los
bosques tropicales más grandes del mundo.
UBICACIÓN DEL ECUADOR EN LA BIORREGIÓN NEOTROPICAL
Ecuador se ubica longitudinalmente desde 1º30`N hasta los 5º 5`S, y la parte continental entre las longitudes
75º20`O y 81ºO. Por su ubicación ecuatorial, el territorio marítimo de nuestro país constituye una zona de
transición del Pacífico Este, en donde confluyen las aguas tropicales cálidas del norte y las subtropicales frías
localizadas al sur. Además, las corrientes marinas de El Niño (cálidos) y de La Niña (fríos), que producen
fluctuaciones naturales que influyen en el clima de la región.
CORREDOR DEL CHOCÓ
EL CORREDOR DEL CHOCÓ EN ECUADOR
En Ecuador los bosques húmedos tropicales del Chocó se distribuyen principalmente en la provincia de
Esmeraldas, aunque también se extienden hasta Manabí, Carchi, Imbabura y Pichincha.
Pág. 27 libro CCNN 10 copia región chocó
(ubicación del corredor en el gráfico y
diversidad)
CORREDOR DEL CHOCÓ
Características
Formado por bosque tropical húmedo y muy
húmedo, se extiende al pie del monte donde se
concentra el mayor nivel de endemismo.
El nivel de endemismo es uno de los más altos de
todos las regiones tropicales del mundo con
elevada diversidad biológica .
Ubicada en la Biorregión Neotropical , se
encuentra comprendido entre el este de Panamá
hasta el Cabo Pasado en Manabí (Ecuador).
Atraviesa las costas del Océano Pacífico y gran
parte de las estribaciones occidentales de los
Andes donde se atrapa el aire húmedo de la Costa.
Se extiende en una región de aproximadamente
192 000 Km2.
Alta pluviosidad, con un promedio de 6000mm al
año, influenciado por la corriente del Niño.
En el país, la región del Chocó intenta ser preservada en las áreas protegidas: Reserva
Ecológica Mache-Chindul, Reserva ecológica Cayapas- Mataje Reserva ecológica Cotacachi-Cayapas
Reserva El Chontal, Reserva étnica Awá y el Bosque protector los Cedros. Que cubren el 12,5% del territorio del
Chocó.
EJERCICIO: Consultar un animal y una planta específico de cada Reserva y realizar un cuadro resumen.
IMPORTANCIA DEL CORREDOR DEL CHOCÓ EN EL ECUADOR
RIQUEZA CULTURAL: Tiene una gran riqueza cultural donde habitan 250 comunidades entre las que se
encuentran las etnias: Chachi, Tsáchilas, Awa
Tarea: Consultar las características de las siguientes etnias: Chachi, Tsáchilas y Awá.
HOT SPOTS: Un hot spots es un punto caliente que debido a sus condiciones posee gran diversidad de especies.
Estos surgen por la unión de ciertas placas tectónicas, que generan condiciones únicas para el desarrollo de gran
cantidad de especies endémicas que habitan en un pequeño sector.
Según Conservación Internacional, organismo que tiene como labor salvaguardar estos lugares, existen 34
puntos calientes de biodiversidad en el planeta, donde se concentran al menos la mitad de las especies de flora
y fauna del mundo, sobretodo se destaca la diversidad y el endemismo de los anfibios en esta zona. Por lo que la
destrucción de sus hábitats los pone en un peligro crítico de extinción.
Esta región no solo posee una gran biodiversidad, sino que también mantiene la única selva lluviosa tropical
continua del Pacífico sudamericano. Al mantener una alta pluviosidad, esta zona alimenta
a algunos ríos importantes como los ríos Guayas y Esmeraldas.
Tarea: Investiga y realiza un resumen sobre la Conservación Internacional y sus funciones.
CORREDOR DEL CHOCÓ
Características
Formado por bosque tropical húmedo y muy
húmedo, se extiende al pie del monte donde se
concentra el mayor nivel de endemismo.
El nivel de endemismo es uno de los más altos de
todos las regiones tropicales del mundo con
elevada diversidad biológica .
Ubicada en la Biorregión Neotropical , se
encuentra comprendido entre el este de Panamá
hasta el Cabo Pasado en Manabí (Ecuador).
Atraviesa las costas del Océano Pacífico y gran
parte de las estribaciones occidentales de los
Andes donde se atrapa el aire húmedo de la Costa.
Se extiende en una región de aproximadamente
192 000 Km2.
Alta pluviosidad, con un promedio de 6000 mm al
año, influenciado por la corriente del Niño.
CORREDOR DEL CHOCÓ
Características
Formado por bosque tropical húmedo y muy
húmedo, se extiende al pie del monte donde se
concentra el mayor nivel de endemismo.
El nivel de endemismo es uno de los más altos de
todos las regiones tropicales del mundo con
elevada diversidad biológica .
Ubicada en la Biorregión Neotropical , se
encuentra comprendido entre el este de Panamá
hasta el Cabo Pasado en Manabí (Ecuador).
Atraviesa las costas del Océano Pacífico y gran
parte de las estribaciones occidentales de los
Andes donde se atrapa el aire húmedo de la Costa.
Se extiende en una región de aproximadamente
192 000 Km2.
Alta pluviosidad, con un promedio de 6000 mm al
año, influenciado por la corriente del Niño.
CORREDOR DEL CHOCÓ
Características
Formado por bosque tropical húmedo y muy
húmedo, se extiende al pie del monte donde se
concentra el mayor nivel de endemismo.
El nivel de endemismo es uno de los más altos de
todos las regiones tropicales del mundo con
elevada diversidad biológica .
Ubicada en la Biorregión Neotropical , se
encuentra comprendido entre el este de Panamá
hasta el Cabo Pasado en Manabí (Ecuador).
Atraviesa las costas del Océano Pacífico y gran
parte de las estribaciones occidentales de los
Andes donde se atrapa el aire húmedo de la Costa.
Se extiende en una región de aproximadamente
192 000 Km2.
Alta pluviosidad, con un promedio de 6000 mm al
año, influenciado por la corriente del Niño.
CORREDOR DEL CHOCÓ
Características
Formado por bosque tropical húmedo y muy
húmedo, se extiende al pie del monte donde se
concentra el mayor nivel de endemismo.
El nivel de endemismo es uno de los más altos de
todos las regiones tropicales del mundo con
elevada diversidad biológica .
Ubicada en la Biorregión Neotropical , se
encuentra comprendido entre el este de Panamá
hasta el Cabo Pasado en Manabí (Ecuador).
Atraviesa las costas del Océano Pacífico y gran
parte de las estribaciones occidentales de los
Andes donde se atrapa el aire húmedo de la Costa.
Se extiende en una región de aproximadamente
192 000 Km2.
Alta pluviosidad, con un promedio de 6000 mm al
año, influenciado por la corriente del Niño.
TAREA:
1) Investigar cinco especies de animales y cinco de plantas representativas del Chocó, realice un collage
con las imágenes de cada uno y una característica esencial.
2) ¿Cuál es la diferencia entre las fronteras políticas y las fronteras naturales.
3) Investigue cuales factores están poniendo en riesgo las especies endémicas del Chocó.
EJERCICIO EN CLASE:
1) Ubique en un mapa del continente americano todo el corredor del Chocó y escriba cuáles son los
países por los que atraviesa esta zona tan importante.
2) Realiza un silogismo válido con los siguiente términos: Mayor: Biorregión, Tmenor: Ecosistema, y T
medio: Biorregión Neotropical.
TAREA:
1) Investigar cinco especies de animales y cinco de plantas representativas del Chocó, realice un collage
con las imágenes de cada uno y una característica esencial.
2) ¿Cuál es la diferencia entre las fronteras políticas y las fronteras naturales.
3) Investigue cuales factores están poniendo en riesgo las especies endémicas del Chocó.
EJERCICIO EN CLASE:
1) Ubique en un mapa del continente americano todo el corredor del Chocó y escriba cuáles son los
países por los que atraviesa esta zona tan importante.
2) Realiza un silogismo válido con los siguiente términos: TMayor: Biorregión, Tmenor: Ecosistema, y T
medio: Biorregión Neotropical.
TAREA:
1) Investigar cinco especies de animales y cinco de plantas representativas del Chocó, realice un collage
con las imágenes de cada uno y una característica esencial.
2) ¿Cuál es la diferencia entre las fronteras políticas y las fronteras naturales.
3) Investigue cuales factores están poniendo en riesgo las especies endémicas del Chocó.
EJERCICIO EN CLASE:
1) Ubique en un mapa del continente americano todo el corredor del Chocó y escriba cuáles son los
países por los que atraviesa esta zona tan importante.
2) Realiza un silogismo válido con los siguiente términos: Mayor: Biorregión, Menor: Ecosistema, y T
medio: Biorregión Neotropical.
TAREA:
1) Investigar cinco especies de animales y cinco de plantas representativas del Chocó, realice un collage
con las imágenes de cada uno y una característica esencial.
2) ¿Cuál es la diferencia entre las fronteras políticas y las fronteras naturales.
3) Investigue cuales factores están poniendo en riesgo las especies endémicas del Chocó.
EJERCICIO EN CLASE:
1) Ubique en un mapa del continente americano todo el corredor del Chocó y escriba cuáles son los
países por los que atraviesa esta zona tan importante.
2) Realiza un silogismo válido con los siguiente términos: TMayor: Biorregión, Menor: Ecosistema, y T
medio: Biorregión Neotropical.
COMPLEMENTACIÓN
PROPOSICIÓN COMPLEMENTARIA PARA EL BUEN VIVIR
PC: El cuidado de la biodiversidad del Ecuador se debe basar en el Desarrollo Sustentable.
Definición de términos:
DESARROLLO SUSTENTABLE: uso de los recursos para satisfacer nuestras necesidades,
sin comprometer la capacidad de las futuras generaciones para satisfacer las suyas.
Argumentación:
El ambiente y sus componentes son importantes al igual que las personas quienes ocupamos un lugar esencial
ya que a la naturaleza la conformamos seres bióticos y abióticos interrelacionados. Sin embargo la influencia
del Ser Humano en ella no ha sido del todo beneficiosa, ejemplo de esto es la contaminación y la
sobreexplotación de los recursos.
En 1987 se realizó el Informe Brundtland que analizó la situación del planeta y demostró que la forma de vida
que se llevaba en ese momento estaba destruyendo el ambiente. Además, concluyeron que su destrucción
conlleva más pobreza al quedarnos sin recursos y a la par, el número de habitantes de nuestro planeta sigue
cada día incrementándose. De modo que empezaron a buscar una solución.
Evidentemente, éste representaba un gran problema; por lo que se indicó que no se podía seguir con el
crecimiento económico tradicional, sino que tendríamos que vivir bajo un nuevo modelo llamado
“sustentable”.
Este modelo tenía que permitir a la humanidad satisfacer sus necesidades, pero sin complicar la capacidad de
las generaciones futuras para satisfacer las suyas propias.
EJEMPLO: Imagina una fábrica que realiza actividades que contaminan mucho un sector de la ciudad, y no
están haciendo nada para evitar que los químicos peligrosos que utilizan afecten a la naturaleza y a la gente
que habitan en el lugar. Algunos individuos podrían pensar que la mejor solución es cerrar la fábrica. Pero
esto dejaría a muchas familias sin trabajo. Así, esta zona se empobrecería y podría traer consigo hambre,
enfermedades y más daño en el ambiente. Es entonces cuando el desarrollo sustentable busca una solución
equilibrada que permita proteger a la naturaleza y también a las personas de esa comunidad.
Principios de una sociedad sustentable
Las personas protegen los sistemas naturales y se utilizan los recursos sabiamente.
Las personas valoran el desarrollo adecuado y la satisfacción de las necesidades básicas para todos.
Las personas y las naciones toman sus decisiones por medios justos y democráticos.
La gente se preocupa por los demás y valora la justicia social y la paz.
Copia 2 en 1
TAREA:
1) Investigue el Corredor de Conservación Chocó-Manabí del Ecuador, cuales son las medidas que ha tomado
nuestro país para proteger esta zona rica en biodiversidad.
ENTÉRATE:
Ecuador ganó un premio por excelencia en manejo sustentable del turismo en mayo del 2009,
otorgado por la organización internacional Rainforest Alliance, por proveer medios de vida
sostenible, conservar la biodiversidad y minimizar los impactos ambientales. Gracias a estas
iniciativas, mantienen su forma de vida tradicional a la vez que enseñan y comparten su
maravilloso mundo.
APLICACIÓN
Como aplicación del Bloque de Biorregión se creará un Reglamento Ambiental para el mantenimiento de la
biodiversidad de la Biorregión Neotropical, especialmente por la ubicación del Corredor del Chocó. Para
esto es necesario que los alumnos pongan en práctica sus conocimientos sobre la biodiversidad existente,
investiguen acerca de la principal problemática que presenta esta Biorregión y propongan medios para
protegerlo utilizando los conceptos de manejo sustentable.
El Reglamento Ambiental debe ser presentado a manera de libreto con un mínimo de 3 páginas, con
artículos definiendo la actividad que debe llevarse a cabo para el manejo sustentable.
Después de realizar el reglamento general , realizaremos en grupo el Reglamento Ambiental Interno de la
Institución, encaminado al Buen Vivir y aplicable inmediatamente.
BLOQUE 2: contaminación
del suelo
AL FINALIZAR ESTA UNIDAD SERÉ COMPETENTE PARA:
1.- Reconocer la influencia de las actividades que contaminan los suelos en las diversas regiones del
país.
Enunciado las actividades que generan contaminación del suelo.
Interpretando gráficos, imágenes y documentos audiovisuales sobre la contaminación del suelo.
Comparando datos obtenidos de diversas fuentes sobre la contaminación del suelo,
2.- Analizar los impactos ambientales antrópicos: explotación petrolera, minera y urbanización que influyen
en el relieve de los suelos.
Explicando los impactos que genera la explotación minera, petrolera y urbanización sobre el suelo-
Enumerando las causas y consecuencias de cada tipo de contaminación del suelo.
3. Relacionar la importancia de las medidas de prevención: control, mitigación y remediación de los suelos
y su influencia en la reducción del impacto ambiental.
Definiendo cada medida de prevención para la contaminación del suelo.
Comparando la reducción del impacto ambiental del suelo cuando se aplican medidas de prevención.
PRE-REQUISITO: SUELO
APREHENDIZAJES: Proposiciones del concepto Contaminación del Suelo
RECURSOS: Libro Curtis Biología, Naturaleza Viva 10 Ciencias Naturales Norma, pinturas, plastilina, cartulinas, tijeras,
mapas e imágenes sobre la contaminación del suelo, videos sobre la contaminación del suelo.
MOTIVACIÓN:
ACTIVIDAD RETO: Como actividad reto observaremos dos videos sobre la contaminación del
suelo; donde los jóvenes observen el problema que esta causando en la actualidad este tipo de
contaminación al planeta Tierra y la población en general, las imágenes muestran de manera
impactante la problemática y ayuda a concientizar sobre lo que estamos haciendo como seres
humanos a la naturaleza y que es urgente que cambiemos nuestra manera de pensar y nuestras
actitudes para colaborar con la disminución del impacto de los seres humanos sobre el suelo.
Después de observar el video realizaremos una mesa redonda para debatir sobre las imágenes y
las ideas sobre el video observado; todos los estudiantes deberán participar por lo menos una
vez. Para finalizar se retroalimentara sobre lo comentado y los conceptos principales del video y
se escribirá en el cuaderno un comentario personal sobre el video y su impacto para cada
estudiante.
PREGUNTAS AFECTIVAS: Después de esta actividad y comprendiendo la importancia del impacto
que esta causando la contaminación del suelo: ¿Valoran la importancia de conocer como se de la
contaminación de los suelos de mundo y del Ecuador para poder contrarrestarla? ¿Por qué se ha
originado esta contaminación con mayor fuerza en los últimos años? ¿Qué sucede con los suelos
cuando ya se encuentran totalmente contaminados? ¿Influye en nuestra vida cotidiana, en
especial en la salud la contaminación del suelo? ¿Cómo podemos disminuir la contaminación del
suelo? ¿Se puede contrarrestar los daños que ya han sido causados al suelo? Para lograr un
cambio de los problemas de contaminación primero necesitamos entender que es la
contaminación, cuál es su origen y como podemos disminuirla.
ARGUMENTOS: Entender que es la contaminación ambiental y en especial la del suelo nos ayuda
a valorar lo que ahora tenemos y comprender que las actividades humanas están dañando al
suelo, acabando con el; sin darse cuenta que es el suelo es una parte fundamental de nuestra
vida donde la llevamos acabo, que se encuentra dando origen a los ecosistemas terrestres y en
especial a las plantas que son los principales organismos dentro de la cadena trófica, sino lo
cuidamos y detenemos el deterioro que actualmente esta sufriendo, perderemos su
productividad y las funciones que cumple dentro de los ecosistemas; por eso debemos recordar
siempre que la naturaleza no es parte nuestra sino que los seres humanos somos parte de la
naturaleza, no somos más que huéspedes dentro de ella, por lo tanto debemos tratarla con
respeto, cuidado y sobre todo cariño ya que es el lugar que nos alberga a nosotros y nuestros
seres queridos; cuidemos nuestro planeta no solo por nosotros sino por las generaciones futuras.
PRE – REQUISITO: SUELO
El suelo es la capa superficial de la Tierra, es un componente primordial de los ecosistemas terrestres,
ya que contiene elementos vitales para los seres vivos como son el agua y los nutrientes. Además, es
sobre el suelo que las plantas se anclan y de su composición depende el tipo de nutrientes que
adquieren para su crecimiento. Así, del suelo depende el desarrollo de todos los ecosistemas, puesto
que las plantas son el inicio de todas las cadenas y redes tróficas.
FORMACIÓN DEL SUELO: La roca atraviesa un proceso de meteorización debido a la influencia de
agentes meteorológicos: calor, frío, precipitaciones, oxidaciones, etcétera. Estos agentes provocan que
la roca se vaya fragmentando, y esos fragmentos se mezclan con organismos muertos o en
descomposición, heces, materia vegetal, bacterias, hongos y otros. Al pasar el tiempo, toda esta materia
se estratifica y termina por formar lo que conocemos como suelo:
COMPOSICIÓN DEL SUELO: Los suelos, según su composición química, se pueden dividir en
orgánicos e inorgánicos. Las partículas de origen inorgánico son los minerales que representan el
50 % del total. Las dominantes son arena, arcilla y caliza. Mientras que en menor proporción se
encuentran los hidróxidos de hierro, óxidos y sales. Las partículas de origen orgánico componen el 5 %
del suelo. El 45 % restante está compuesto por aire y agua, dos elementos muy importantes, ya que
permiten la infiltración y disolución de los demás compuestos a través de la arena del suelo.
ESTRUCTURA DEL SUELO: La estructura vertical del suelo está formada por capas llamadas
horizontes, los cuales tienen diversos tamaños. El conjunto de estos se denomina perfil del suelo.
Horizonte A: Es el suelo superficial, de color oscuro por su alto contenido de humus y de materia
orgánica, y presenta gran cantidad de raíces y de seres vivos.
Horizonte B: Llamado también subsuelo. Su color es más claro porque no contiene humus. Es rico en
arcillas y sales minerales. Contiene pocos seres vivos.
Horizonte C: Corresponde al material parental o roca que se encuentra en diferentes grados de
meteorización. La meteorización es el proceso de fragmentación de las rocas en partículas minerales
que se genera debido a la acción de la humedad y la temperatura.
TAREA:
1. Pega un gráfico de la estructura del suelo, señala cada uno de sus horizontes.
2. Consulta la definición de Suelo arenoso, arcilloso y calizo.
3. Investiga y detalla los pasos de la formación del suelo, resúmelos en un cuadro.
4.Realiza un ensayo sobre la “Importancia del suelo para los seres vivos” (mínimo 18 líneas)
Meteorización Fragmentación
Mezcla con
materia
orgánica
Estratificación Suelo formado
Propiedad
Tipo de Suelo
ARENOSO ARCILLOSO CALIZO
Permeabilidad Alta Nula Media
Almacenamiento
de agua
Poco Mucho Poco
Aireación Buena Mala Buena
Nutrientes Pocos Muchos Mucho calcio
PROPIEDADES DEL SUELO SEGÚN SU COMPOSICIÓN
CONTAMINACIÓN
AMBIENTAL
Contaminación del
aire.
Contaminación del
agua.
•Es la degradación del suelo por la
presencia de agentes que afectan la
calidad del mismo.
•Provoca pérdida de productividad del
suelo.
•Tiene medidas de prevención, control,
mitigación y remediación para la
contaminación del suelo.
APREHENDIZAJE: CONTAMINACIÓN DEL SUELO
CONTAMINACIÓN
DEL SUELO
Según la actividad antropogénica.
Contaminación del
suelo por el
petróleo
Contaminación del
suelo por la
urbanización
(Residuos Sólidos)
Contaminación del
suelo por la
industrialización
Contaminación del
suelo por la
agricultura
Contaminación del
suelo por la
ganadería
Contaminación del
suelo por la
minería
PAQUETE PROPOSICIONAL
P1.- La Contaminación del Suelo es contaminación ambiental.
P2.1.-La Contaminación del Suelo es la degradación del suelo por la presencia de agentes
que afectan la calidad del mismo.
P2.2.-La Contaminación del Suelo provoca la pérdida de productividad del suelo.
P2.3.-La Contaminación del Suelo tiene medidas de prevención, control, mitigación y
remediación.
P3.1.- La Contaminación del Suelo no es contaminación del agua ni del aire.
P4.1.- La Contaminación del Suelo según la actividad antropogénica puede ser contaminación
del suelo por la minería.
P4.2.- La Contaminación del Suelo según la actividad antropogénica puede ser contaminación
del suelo por el petróleo.
P4.3.- La Contaminación del Suelo según la actividad antropogénica puede ser contaminación
del suelo por la agricultura.
P4.4.- La Contaminación del Suelo según la actividad antropogénica puede ser contaminación
del suelo por la ganadería.
P4.5.- La Contaminación del Suelo según la actividad antropogénica puede ser contaminación
del suelo por la urbanización.
P4.6.- La Contaminación del Suelo según la actividad antropogénica puede ser contaminación
del suelo por la industrialización.
ANÁLISIS PROPOSICIONAL
P1 .Toda contaminación del suelo es contaminación ambiental.
La contaminación ambiental es la alteración nociva del estado natural de un medio como consecuencia de
la introducción de un agente totalmente ajeno a ese medio (contaminante), causando daño o malestar en
un ecosistema. En el caso de la contaminación del suelo se encuentra afectando a los distintos horizontes
del suelo, disminuyendo la productividad del mismo, lo que repercute como una consecuencia negativa
para los seres humanos.
P2.1. La contaminación del suelo es la degradación del suelo por la presencia de agentes que afectan la
calidad del mismo.
Definición de términos:
Actividades antrópicas: Cualquier acción o intervención que el ser humano implementa sobre el planeta
Tierra, por lo general provoca problemas ambientales.
Argumentación:
El suelo es considerado vital para los ecosistemas y el ser humano por contener agua y nutrientes que
utilizan todos los seres vivos. Los horizontes y el relieve de los suelos se ve afectado de manera acelerada
por agentes contaminantes que por lo general son sustancias que sobrepasan los niveles normales de los
que se encuentran en la naturaleza y afectan negativamente al suelo; estos la mayoría de veces se
producen por actividades antrópicas
Una serie de actividades del ser humano, es decir antrópicas, como la producción de alimentos, la crianza
de animales, la obtención de agua, petróleo, minerales, plantación de árboles, entre otras actividades, nos
hace depender de él.
En la actualidad, se considera que los problemas que deterioran la calidad de los suelos están directamente
derivados del uso antrópico que hacemos de ellos.
Se calcula que 2 000 millones de hectáreas de tierra firme están siendo degradadas en todos los
continentes, por el uso que se les da para pastoreo, tierra de cultivos, crecimiento de las poblaciones,
construcción de carreteras, minería , relleno sanitario y explotación petrolera.
¿Sabías que?
P2.2. La Contaminación del Suelo provoca la pérdida de la productividad del suelo.
Hablamos de productividad del suelo refiriéndonos a todas las actividades que podemos realizar con él y
sobre él como son: asentamientos de poblaciones, cultivos, bosques y biodiversidad, ganadería, obtención
de diversos recursos naturales como el petróleo, los alimentos vegetales, los minerales, entre otros; siendo
estos ejemplos de productividad del suelo que benefician directamente a los humanos. Actualmente la
erosión del suelo, la pérdida de bosques por talarlos y grandes tierras de cultivo sin los cuidados
necesarios, reduce la capacidad de conservación de la humedad en los suelos, lo cual está
comprometiendo la capacidad futura de producir alimentos y todos las demás actividades que nos permite
realizar el suelo.
Uno de los problemas principales que puede experimentar el suelo es la adición de una fase líquida, la cual
es distinta a la producida por la lluvia, ya que contiene metales pesados.
Estos contaminantes se acumulan en formas inestables y muy solubles, por lo cual están disponibles para
las plantas y animales que pueden captarlos y sufrir efectos tóxicos. Además, en esta forma pueden
contaminar las fuentes de agua, que van luego a regar campos, o sirven para el consumo humano o de
ganado. Así pueden causar grandes perjuicios a la población.
EJERCICIO DE APLICACIÓN:
1) Se requiere de un promedio de 500 años para la renovación de 2,5 cm de suelo. Calcula lo siguiente: Si
se realiza una excavación de 3,8 m de profundidad, ¿cuánto tiempo tardará en regenerarse este suelo?
2) Realiza un mentefacto de silogismo válido con los siguientes términos, con las respectivas premisas:
S: Degradación del suelo por actividades antrópicas
P: Contaminación del suelo
TM: Contaminación ambiental.
TAREA: Investiga cada una de las actividades que provocan la pérdida de productividad del suelo,
organízalas en un organigrama.
P2.3.-La Contaminación del Suelo tiene medidas de prevención, control, mitigación y remediación
de suelos.
Debido a las evidencias de la grave contaminación que están sufriendo los suelos se ha creado una
conciencia de sus efectos, se han ido desarrollando medidas de prevención, control, mitigación y
remediación de suelos:
 Medidas de prevención: en primer lugar, se debe minimizar la producción de residuos a través
de cambios practicados en los productos y procesos industriales, cuidando los suelos antes de
que sea demasiado tarde.
 Medidas de control: otro paso a seguir es tomar medidas de aislamiento y control, a lo largo de
los procesos productivos de todas las actividades industriales sospechosas de poder alterar las
propiedades del suelo, así como en el almacenamiento y transporte de residuos.
 Medidas de mitigación y remediación de suelos: una vez que se ha detectado la contaminación
que esta sufriendo el suelo, se recurre a mitigar, es decir suspender dicha actividad e
inmediatamente se remedia o restaura los daños causados, mediante distintos lavado del suelo
hasta compostaje.
TAREA:
1) ¿Cuál es la importancia del cuidado de los suelos en la actualidad?
2) ¿Cuándo es necesario realizar una remediación del suelo?
3) Consulta que tipos de remediación de suelo existen.
4) Consulta un ejemplo concreto donde se ha realizado remediación de suelo, resúmelo en 10
líneas.
5) Realiza un mapa conceptual sobre las medidas del cuidado del suelo estudiadas.
P3.1.- La Contaminación del Suelo no es contaminación del agua ni del aire.
La diferencia entre estos tres tipos de contaminación ambiental es el sustrato al cuál contaminan así
se puede ver afectado el suelo como estamos estudiando; en el caso del agua su contaminación es
un problema grave, ya que los seres humanos necesitamos de ella para vivir y al contaminarse por
diferentes causas se daña la calidad del agua de consumo humano que apenas es el 0.3%
aproximadamente del agua del planeta; es igual de preocupante la contaminación del aire, porque lo
necesitamos para respirar, y su contaminación debido a la industrialización, tala de bosques, entre
otros, a causado la destrucción de la capa de ozono, perjudicando nuestra salud.
TAREA: Consulta sobre la contaminación del agua y del aire.
EJERCICIO EN CLASE: Realizar un cuadro comparativo entre los tres tipos de contaminación
ambiental.
Contaminación
del suelo
Contaminación
del agua
Contaminación
del aire
P4.1.- La Contaminación del Suelo según la actividad antropogénica puede ser contaminación del suelo por la
minería.
La explotación minera crea alteraciones en el ambiente, causan impactos desde el inicio de estas actividades,
durante el tiempo que se desarrollan y en el momento que cesan. El problema de la contaminación del suelo es
uno de los efectos que se presenta con mayor frecuencia en la minería, ya que el suelo es el depósito final de los
desechos.
El impacto que la minería produce en el ambiente puede ser diverso. Esta actividad puede provocar acciones que
impliquen la emisión de contaminantes al suelo y al agua, que modifiquen el relieve del suelo y, por tanto, el
paisaje. También, la minería involucra acciones que conllevan la sobreexplotación de los recursos.
Específicamente sobre el suelo, la minería puede provocar su infertilidad o, aún peor, mantener su fertilidad,
pero permitir el paso de contaminantes a la cadena alimenticia.
Contaminantes líquidos, sólidos y químicos de la minería
El proceso completo de la minería trae consigo una serie de contaminantes líquidos, sólidos y gaseosos que
terminan en el suelo. Los contaminantes gaseosos se suspenden en la atmósfera en forma de partículas que caen
al suelo por acción de la lluvia. Por su parte, los contaminantes sólidos y líquidos se depositan en el suelo debido
al vertido directo o por la infiltración de productos de lixiviación. Las emisiones gaseosas más contaminantes son
las de ácidos como el sulfúrico, componente de la lluvia ácida. Cuando éste llega al suelo, se infiltra y destruye la
microflora y microfauna por la acidificación del sustrato. Este proceso degrada y oxida la materia orgánica,
reduciendo su productividad agrícola.
Los desechos más peligrosos relacionados con la minería son los metales pesados, las cenizas de carbón, los
hidrocarburos y los radio nucleídos artificiales.
¿SABIAS QUE? En Ecuador, la actividad minera se remonta a la época preincásica. Las culturas precolombinas
extrajeron oro, plata, cobre y platino para fabricar objetos decorativos y usar los minerales como moneda de
intercambio. Actualmente todavía se realiza la minería de manera artesanal, pero también a gran escala con la
utilización de explosivos y maquinaria pesada, está es la que ha causado una grave contaminación ambiental.
Definición de términos:
Hidrocarburos: compuestos orgánicos altamente contaminantes formados únicamente por carbono y oxígeno.
Radionucleídos artificiales: son elementos químicos fabricados con una configuración inestable que presentan
una desintegración radioactiva y son causantes de diferentes problemas de contaminación.
Microfauna: microorganismos formados por células animales y procariotas, pueden ser: los nematodos, protistas,
etc.
Microflora: mircoorganismos formados por células vegetales y procariotas, representados por hongos, algas y
vegetales microscópicos .
Lixiviación: es un proceso de lavado de una sustancia pulverizada para extraer las partes solubles , produce gran
contaminación al extraer metales por el cianuro que se utiliza.
Preincáica: son los periodos de culturas antes de que el Imperio Inca domine a nuestros territorios.
EJERCICIO EN CLASE: Realiza un silogismo válido con los siguientes términos: S: Contaminación del Suelo P: Contaminación
antropogénica del suelo por la minería y TM: Contaminación Ambiental. Escribe las premisas y la conclusión.
TAREA:
1) Consulta cuáles son los principales lugares del Ecuador donde se realiza minería artesanal y a gran escala, explica la
contaminación que han producido.
2) Investiga los tipos de contaminantes que produce la minería, resúmelos en un organigrama.
DESERTIFICACIÓN MODIFICACIÓN DEL RELIEVE MEZCLA DE HORIZONTES
La minería a cielo abierto
provoca la deforestación. El
suelo descubierto queda
expuesto a la acción del
viento y la lluvia, agentes
que lo dejan vulnerable.
Las numerosas excavaciones que se
realizan para la explotación minera,
causan la desestabilización de las
laderas y el relleno o sobrecarga de
diversos sectores. Estas acciones
cambian el relieve del suelo y
producen derrumbes.
Al excavar y remover el suelo
se da una mezcla de los
horizontes, dejando en la
superficie arena, arcilla o
rocas.
Efectos de la modificación del suelo por la explotación minera
P4.2.- La Contaminación del Suelo según la actividad antropogénica puede ser contaminación del suelo por el
petróleo.
El petróleo es un hidrocarburo líquido oleoso de origen natural compuesto por sustancias orgánicas. Se utiliza como
materia prima para los combustibles, plásticos, pinturas y textiles. Se encuentra en grandes cantidades bajo la
superficie terrestre, motivo por el cual se ha desplegado toda una tecnología para su extracción. El problema radica en
que causa diferentes efectos sobre la composición y el relieve de los suelos, ya que los contamina durante su proceso
de extracción, es importante también mencionar que todos los derivados del petróleo continúan contaminando.
Para la explotación petrolera existe una serie de procesos que afectan al suelo para poder extraerlo y utilizarlo:
 Apertura de caminos: Para iniciar la explotación en un pozo, se realiza el alisado del terreno para el
desplazamiento de los equipos. Esta acción destruye la vegetación, ahuyenta a los animales y compacta el suelo.
Una de las técnicas más utilizadas para la apertura de caminos consiste en remover los primeros 20 o 30 cm de
suelo para nivelar el terreno. Al retirarse el material grueso, queda expuesto el suelo formado por granos más
finos, el cual se va perdiendo por acción del viento y del agua, produciéndose su erosión. El tránsito constante de
la maquinaria pesada provoca una gran compactación del suelo.
 Establecimiento de locaciones: Son las áreas de explotación que consisten en superficies niveladas con maquinaria
pesada. Presentan una gran compactación del terreno y es allí en donde se producen los derrames.
 Perforación: Las perforaciones tienen profundidades considerables, que llegan a medir 6 000 m bajo la superficie,
se usan taladros de perforación direccional que pueden dirigirse hacia zonas inaccesibles.
 Extracción de material de canteras: Se realiza a los lados de los caminos para extraer material de construcción.
Modifica el perfil del suelo porque son sitios donde el relieve queda con huecos que pueden tener varios metros de
profundidad. Cuando son abandonados, suelen terminar como basurales.
Contaminantes del petróleo: Puede ocurrir por la liberación accidental de este hidrocarburo en cualquier punto de las
operaciones de explotación o transporte del petróleo. El petróleo contiene varios contaminantes que se mezclan en el
suelo, deteriorando su calidad, y son tóxicos para cualquier ser vivo que dependa de él. Entre ellos están algunos
compuestos orgánicos volátiles (COVs), hidrocarburos aromáticos policíclicos (PAHs) y metales pesados. Los más
alarmantes son los PAHs y sus derivados. Se consideran compuestos persistentes, ya que tienen la capacidad de
mantenerse en el suelo durante períodos largos. No son solubles en agua pero sí en las grasas, lo cual hace que se
acumulen en los tejidos grasos de los animales. Al entrar en las cadenas alimenticias causan efectos irreversibles en la
materia genética, produciendo mutaciones y tumores malignos en los diversos tipos de seres vivos que entren en
contacto con el suelo o las aguas contaminadas.
¿SABIAS QUE existió un gran derrame de petróleo en Cuyabeno?
El derrame de petróleo ocurrido en 2006, en el pozo Cuyabeno, ha vuelto a teñir de negro las lagunas y suelos de esta
reserva. Es un lugar de inmenso valor biológico por poseer 14 ecosistemas únicos en el país y, algunos de ellos, únicos
en el mundo; por ser considerada una de las zonas más ricas en especies de peces; por contar con un elevado
endemismo de aves y por constituir un refugio para las aves migratorias del continente americano.
Definición de términos:
COVs: son el conjunto de los compuestos orgánicos volátiles que se convierten fácilmente en vapores y gases
contaminando al suelo y al aire; son liberados por la quema de gasolina, madera, carbón o gas natural.
PAHs: son los hidrocarburos aromáticos policíclicos, compuestos altamente contaminantes.
Alisado del terreno: es el proceso por el cuál se desase de los primeros 15cm de terreno compactándolo para que
quede liso el suelo.
EJERCICIO EN CLASE: Realiza un silogismo válido con los siguientes términos: S: Contaminación del Suelo P:
Contaminación antropogénica del suelo por la minería y TM: Contaminación Ambiental. Escribe las premisas y la
conclusión.
TAREA:
1) Investiga que son los COVs y sus principales ejemplos.
2) Consulta cuáles son los derivados del petróleo que los seres humanos utilizamos actualmente.
3) Investiga a nivel mundial cuales han sido los peores derrames de petróleo, explica cada uno.
4) Realiza un collage con la contaminación que existe a causa del petróleo y sus derivados.
5) ¿Crees tú que actualmente podemos vivir sin el petróleo? ¿Por qué?
6) ¿Qué tipo de soluciones podrías mencionar para NO depender del petróleo?
P4.3.- La Contaminación del Suelo según la actividad antropogénica puede ser contaminación del
suelo por la agricultura.
Debido a las actividades de agricultura, el suelo e ve afectado ya que existen una serie de
productos químicos, como los abonos sintéticos, herbicidas e insecticidas, que son sumamente
útiles para la agricultura, pero que cuando se usan en forma inadecuada (abuso) producen
alteraciones en el suelo y aguas subterráneas.
Los principales compuestos que contaminan al suelo por la agricultura son:
Los abonos sintéticos (urea, nitratos, fosfatos, cloruros, etc.), su abuso intoxica y mata la fauna
(lombrices, insectos, ácaros) y flora (hongos, bacterias) del suelo; por esto es preferible usar
abonos orgánicos naturales.
Los pesticidas o plaguicidas son compuestos químicos utilizados para controlar plagas (insectos,
hongos, bacterias, roedores, malezas, algas). Su uso prolongado daña al suelo.
Con el uso indebido de los mencionados químicos contaminan también las fuentes de agua, que
van luego a regar campos, o sirven para el consumo humano o ganado. Así pueden causar grandes
perjuicios a la población.
P4.4.- La Contaminación del Suelo según la actividad antropogénica puede ser contaminación del
suelo por la ganadería.
La ganadería, que es la cría de animales domesticados, genera problemas de contaminación
principalmente por nitratos que se filtran en el suelo y lo destruyen echando a perder tierras
fértiles.
La concentración de animales explotados en granjas facilita la propagación de infecciones, con lo
cual se abusa de los antibiótico, esto también provoca una grave contaminación, ya que los restos
de estos antibióticos se expulsan a través de la orina de los animales y se filtran al suelo,
dañándolo.
Por otro lado, los desechos de las granjas no sirven para abono ya que los animales consumen
piensos artificiales ricos en proteínas y hormonas para el crecimiento, por esta razón son altamente
nocivos, destruyen el suelo y desprenden gases tóxicos muy contaminantes. Siendo estas las
principales causas de contaminación de la ganadería para el suelo.
EJERCICIO: Realiza un silogismo válido con los siguientes términos: S: Contaminación del Suelo P:
Contaminación antropogénica del suelo por ganadería y TM: Contaminación antropogénica del
suelo por agricultura. Escribe las premisas y la conclusión.
TAREA:
1) Realiza un cuadro comparativo de las diferencias de la contaminación del suelo por agricultura y
ganadería.
2) Consulta la importancia de la agricultura para nuestro país.
3) Consulta la importancia de la ganadería para nuestro país.
4) ¿Cuales son las provincias de nuestro país que subsisten de agricultura?
5) ¿Cuáles son las provincias de nuestro país que subsisten de ganadería?
6) Investiga que medidas de precaución se toman en nuestro país para minimizar la
contaminación del suelo por agricultura y ganadería.
P4.5.- La Contaminación del Suelo según la actividad antropogénica puede ser contaminación del suelo por
la urbanización.
Definición de términos:
Urbanización: Crecimiento y avance de las ciudades, trae consigo el establecimiento de nuevas
poblaciones que se ubican sobre el suelo fértil.
Argumentación:
El crecimiento de las poblaciones ha obligado a que se incremente la urbanización de los suelos y la
pérdida del terreno agrícola. A su vez, este desarrollo de las ciudades impide la recarga de los
depósitos de agua subterránea, destruye la flora y la fauna que habitan en estos, debido
principalmente a la contaminación mediante basura, compactación del suelo debido al
desplazamiento constante de personas y vehículos por el mismo lugar, esto causa la desaparición de
los espacios de aire que existen en el interior del suelo, con la consecuente disminución de oxígeno
y agua.
La capacidad del suelo de asimilar las intervenciones humanas se ve sobrepasada por la producción
y acumulación de residuos urbanos; siendo el principal problema el relleno sanitario de las ciudades
que se colocan en el suelo. Asociado al crecimiento de los asentamientos humanos, está la mala
eliminación de la basura y la ausencia de tratamientos de la misma. Los suelos se ven contaminados
con residuos orgánicos e inorgánicos, incluidos metales pesados y otras sustancias que lo destruyen
y contaminan las aguas subterráneas.
P4.6.- La Contaminación del Suelo según la actividad antropogénica puede ser contaminación del
suelo por la industrialización.
Definición de términos:
Industrialización: es el proceso de creación de las diversas industrias en las que se fabrican los
distintos bienes y servicios útiles para satisfacer las necesidades del ser humano.
Argumentación:
Los procesos industriales contaminan el suelo por las emisiones que pueden depositarse en los
suelos y en la vegetación, y por los residuos industriales que son colocados en el suelo, dañando su
composición química lo que hace que pierdan su fertilidad.
Los contaminantes más habituales que se pueden encontrar en los suelos debido a la
industrialización son: metales pesados, hidrocarburos, aceites minerales, pesticidas y desechos de
las industrias que son colocados directamente en el suelo.
Las principales industrias que causan este tipo de contaminación son: la industria maderera, de
calzado, de papel, la construcción, textil, entre las más representativas.
APLICACIÓN
Como aplicación para el bloque de Contaminación del Suelo, realizaremos una remediación del suelo
mediante un experimento casero seleccionado por los estudiantes de cada curso.
BLOQUE 3: endemismos del
ecuador
AL FINALIZAR ESTA UNIDAD SERÉ COMPETENTE EN
1.-Analizar la relación de la flora endémica e introducida y las implicaciones del impacto humano a
través de la historia.
Definiendo los endemismos y las especies introducidas.
Conociendo las relaciones de flora y fauna endémica con los seres humanos.
Diferenciando la flora endémica de la introducida.
2.-Conocer la competencia existente entre las especies introducidas, endémicas y nativas del Ecuador
por un mismo hábitat.
Explicando las relaciones interespecíficas existentes entre especies introducidas, endémicas y
nativas, enfatizando en la competencia.
3. Explicar el impacto que tiene en el ecosistema el reemplazo e introducción de flora y fauna y sus
consecuencias en los procesos de conservación y protección ambiental.
Conociendo las introducciones de flora y fauna en el Ecuador.
Ejemplificando el impacto que se produce en los ecosistemas debido a la introducción y reemplazo
de flora y fauna.
Mencionando los procesos de conservación y protección ambiental existentes actualmente y su
relación con el impacto de las especies introducidas.
PRE-REQUISITO: Endemismos, Especies Nativas y Especies Introducidas.
APREHENDIZAJES: Pre -proposiciones de Especies endémicas del Ecuador.
RECURSOS: Libro Curtis Biología, Naturaleza Viva 10 Ciencias Naturales Norma, pinturas, plastilina, cartulinas, tijeras,
imágenes de especies endémicas, introducidas y nativas del Ecuador, videos sobre las relaciones interespecíficas.
MOTIVACIÓN:
ACTIVIDAD RETO: Como actividad reto presentaremos en el aula imágenes de orquídeas
endémicas, piquero de patas azules, pinzones, delfines rosados, iguanas endémicas, etc.
Luego analizaremos si los estudiantes conocen las especies presentadas, en qué lugares del
Ecuador se encuentran, sus nombres, posible peligro de extinción, importancia para nuestra
biodiversidad; de esta manera sentirán interés de conocer sobre las especies.
PREGUNTAS AFECTIVAS: Después de esta actividad y observando las hermosas especies
endémicas de nuestro país y hacer la indagación anterior, preguntaré cuál es su reflexión, a partir
de las siguientes preguntas:
• ¿Creen ustedes que es necesario cuidarlas con una protección especializada?
• ¿Cuántas especies endémicas creen ustedes que existen en nuestro país?
• ¿Qué especie endémica más les gusto?
• ¿En qué lugar de nuestro país creen ustedes que tenemos mayor cantidad de especies
endémicas? ¿Por qué?
ARGUMENTOS: Conocer las especies endémicas de nuestro país nos ayudará a valorar la
riqueza natural del mismo, reconociéndolo como uno de los países con mayor diversidad a nivel
mundial. Las especies más preciadas de nuestro país son las endémicas ya que son únicas en el
mundo; por eso debemos protegerlas y cuidarlas de todas las maneras posibles, tanto cada
persona desde su hogar y en todo momento como el Estado ecuatoriano mediante la legislación
ambiental y el Ministerio del Ambiente, es sumamente importante valorarlas, reconocerlas,
saber su ubicación para así poder mantenerlas por mucho tiempo más, evitando su posible
extinción, lo cuál sería un problema ambiental mundial, no solo de nuestro país.
Como ecuatorianos debemos aprender a cuidarlas y para lograr eso primero las conoceremos;
“NO SE AMA NI SE CUIDA LO QUE NO SE CONOCE”
PRE – REQUISITO: ENDEMISMOS- ESPECIES INTRODUCIDAS – ESPECIES NATIVAS – especies invasoras
Especies endémicas o ENDEMISMO: Es un término que describe la tendencia de algunos seres vivos a limitar su
rango de distribución a una determinada zona geográfica, dentro de la cual son endémicos. El endemismo es relativo,
ya que puede considerar regiones geográficas muy amplias o muy estrechas; sin embargo, hay que diferenciar las
fronteras políticas de las fronteras naturales.
Una planta puede ser endémica de una quebrada o de toda una cadena montañosa. Además, si nos referimos al
endemismo de un país, estamos hablando de endemismo político, el cual contrasta con el endemismo en una
biorregión, que toma en cuenta límites naturales como diferentes ecosistemas o zonas del mismo origen sea volcánico
o tectónico.
ESPECIES INTRODUCIDAS: El término especie introducida se refiere a especies que han sido transportadas más allá
de su distribución geográfica nativa por acción humana y que han logrado aclimatarse o naturalizarse. Estas
introducciones pueden ser accidentales o intencionales.
Intencional: es cuando la introducción es intencional por parte del ser humano de organismos en el nuevo ambiente.
Tal vez el principal motivo de introducir especies intencionalmente es la ganancia económica. En años recientes muchas
especies han sido introducidas para combatir plagas, especialmente si las plagas mismas son también especies
introducidas.
 Accidental: las introducciones accidentales ocurren cuando las especies son transportadas por vectores humanos,
por ejemplo tres especies de ratas se han desparramado por todo el mundo al ser transportadas en barcos. Muchas
especies marinas han sido introducidas en otras regiones al ser llevadas en el agua usada como lastre por los barcos y
descartada más tarde. Con el gran aumento de los viajes las oportunidades de que muchas especies sean introducidas
accidentalmente ha crecido considerablemente.
ESPECIES NATIVAS: en una biorregión, una especie nativa, especie indígena o autóctona es una especie que
pertenece a una región o ecosistema determinados. Su presencia en esa región es el resultado de fenómenos naturales
sin intervención humana. Todos los organismos naturales, en contraste con organismos domesticados, tienen su área
de distribución dentro de la cual se consideran nativos. Fuera de esa región si son llevadas por los humanos se las
considera especies introducidas.
ESPECIES INVASORAS: son especies de animales, plantas u otros organismos transportados e introducidos por
el ser humano en lugares fuera de su área de distribución natural y que han conseguido establecerse y dispersarse en la
nueva región, donde resultan dañinos. Que una especie invasora resulta dañina, significa que produce cambios
importantes en la composición, la estructura o los procesos de los ecosistemas naturales, poniendo en peligro
la diversidad biológica nativa. Debido a sus impactos en los ecosistemas donde han sido introducidas tales especies son
consideradas ingenieros de ecosistemas. Existen claros ejemplos de especies invasores en Galápagos como son los
chivos, perros, gatos, chanchos, la mora, guayaba, etc.
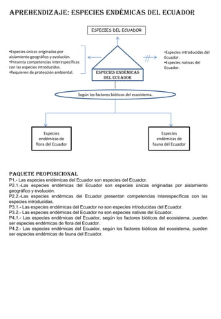
ESPECIES DEL ECUADOR
•Especies introducidas del
Ecuador.
•Especies nativas del
Ecuador.
•Especies únicas originadas por
aislamiento geográfico y evolución.
•Presenta competencias interespecíficas
con las especies introducidas.
•Requieren de protección ambiental.
APREHENDIZAJE: ESPECIES ENDÉMICAS DEL ECUADOR
ESPECIES ENDÉMICAS
DEL ECUADOR
Según los factores bióticos del ecosistema.
Especies
endémicas de
fauna del Ecuador
Especies
endémicas de
flora del Ecuador
PAQUETE PROPOSICIONAL
P1.- Las especies endémicas del Ecuador son especies del Ecuador.
P2.1.-Las especies endémicas del Ecuador son especies únicas originadas por aislamiento
geográfico y evolución.
P2.2.-Las especies endémicas del Ecuador presentan competencias interespecíficas con las
especies introducidas.
P3.1.- Las especies endémicas del Ecuador no son especies introducidas del Ecuador.
P3.2.- Las especies endémicas del Ecuador no son especies nativas del Ecuador.
P4.1.- Las especies endémicas del Ecuador, según los factores bióticos del ecosistema, pueden
ser especies endémicas de flora del Ecuador.
P4.2.- Las especies endémicas del Ecuador, según los factores bióticos del ecosistema, pueden
ser especies endémicas de fauna del Ecuador.
ANÁLISIS PROPOSICIONAL
P1 .Las especies endémicas del Ecuador son especies del Ecuador.
Una especie es….., las especies que se encuentran dentro del territorio ecuatoriano, siendo tomado en cuenta
como un país mediante fronteras políticas, son especies ecuatorianas, las mismas que pueden ser: nativas,
introducidas o endémicas.
Tarea: Consulta las principales especies endémicas del Ecuador, debes colocar la imagen y su nombre común y
científico, realiza un cuadro de resumen.
P2.1. Las especies endémicas del Ecuador son especies únicas originadas por aislamiento geográfico y
evolución.
El endemismo en el mundo y de igual manera en Ecuador es el resultado de dos eventos importantes: el
aislamiento geográfico y la evolución que han sufrido las especies. Cuando una población de una determinada
especie queda aislada por un largo período de tiempo de otras poblaciones de la misma especie, se va
diferenciando a de generaciones sucesivas. El resultado es que se diferenciará tanto, que será una especie
distinta como resultado de su evolución.
EJEMPLO: Un buen ejemplo de los procesos descritos está en las islas Galápagos. Al haber emergido del mar por
procesos volcánicos, nunca estuvieron unidas al continente. Por tanto, las especies que llegaron mantuvieron sus
poblaciones aisladas por largo tiempo, lo que provocó que se fueran adaptando al nuevo hábitat y cambiando la
forma de sus picos y cuerpos. Cuando los primeros piratas llegaron al archipiélago, se encontraron con
organismos únicos en el mundo (ENDÉMICAS).
Ejercicio: ¿Crees que actualmente podrían formarse nuevas especies endémicas en algún lugar del planeta? ¿Por
qué?
Tarea: Consulta dos ejemplos más de lugares donde se han originado especies endémicas.
P2.2.-Las especies endémicas del Ecuador presentan competencias interespecíficas con las especies
introducidas.
Definición de Términos:
Nicho ecológico: es el espacio donde habita una especie, junto con la estrategia de supervivencia que utiliza;
incluye la forma de alimentarse, competencias, defenderse, en otras palabras es el “oficio” de un organismo en el
lugar determinado donde habita.
Argumentación:
Las especies endémicas se ven afectadas por la introducción de especies llamada INTRODUCIDAS, esto es
perjudicial, ya que atenta contra la estabilidad de las poblaciones de las especies nativas y endémicas. Ocurre
porque el ecosistema al recibir una nueva especie está acogiendo un nuevo depredador, competidor o un agente
de enfermedades desconocidas. Los organismos nativos y endémicos no tienen estrategias para competir o
defenderse, por lo cual terminan desapareciendo. Esta aptitud entre especies endémicas e introducidas se
considera una competencia interespecífica, pues se refiere a la interacción de dos o más organismos que tratan
de obtener un mismo recurso.
En algunas circunstancias, la competencia se vuelve más intensa cuando los organismos involucrados también
compiten por el nicho ecológico. En el caso de las plantas, dos especies pueden competir por la luz, el agua o los
nutrientes del suelo. Mientras que los animales lo hacen por una presa, el agua, el lugar de anidación, entre
otros.
EJEMPLO: En Galápagos, de manera intencionada, pero sin conocer aún las consecuencias devastadoras que
tendría, se introdujeron el chivo, el gato, el cerdo, la guayaba y la cascarilla; mientras que de forma accidental
llegaron las ratas. El resultado fue que estos organismos se reprodujeron hasta el punto de convertirse en
verdaderas plagas, poniendo en peligro la flora y la fauna de esta región.
La introducción de la cascarilla en Galápagos es un claro ejemplo de competencia. Es una de las plantas invasoras
más peligrosas. Tiene una tasa de crecimiento, reproducción y expansión muy altos. Cambia la composición de
los suelos y compite con las especies endémicas, ya que las cubre del sol, impidiendo su crecimiento.
Tarea: 1) Consulta cuales son los problemas que existen en Galápagos por la introducción de especies.
La depredación es un ejemplo de competencia interespecífica existente entre especies introducidas,
Existen dos acepciones para este término:
La primera es la ecológica que se refiere a la relación interespecífica establecida entre dos individuos,
en la que uno provoca la muerte del otro con el fin de alimentarse o conseguir algún recurso. Por
ejemplo, un gato caza ratones para alimentarse. Otro tipo de depredación es el herbivorismo, en el cual
un herbívoro depreda a una planta que puede o no matar. En este caso, un oso de anteojos come una
bromelia.
La segunda, es la depredación que el ser humano ha realizado sobre los recursos naturales. Nuestros
ancestros vivían haciendo uso de la naturaleza sin causar un gran impacto. Cazaban únicamente las presas
que necesitaban para consumir o recogían solo los frutos necesarios para un tiempo específico.
Además, al ser nómadas, no se quedaban en un área el tiempo suficiente como para erosionar el suelo o
acabar con los recursos propios del lugar. Pero con el crecimiento de las poblaciones humanas y el
desarrollo de la tecnología, aumentaron las necesidades y, a la par, adquirimos la capacidad de explotar
los recursos de manera más intensa.
Comenzaron a aparecer máquinas antes inimaginables: sierras eléctricas, grandes barcos que viajan largas
distancias, congeladores, trenes, rifles, etc. Se desarrollaron la ganadería, la pesca, el cultivo, la minería, la
explotación de los bosques y otras actividades humanas que fueron destruyendo el ambiente natural.
P2.3 Las especies endémicas del Ecuador requieren de protección ambiental.
La protección ambiental se refiere a cualquier actividad que tenga por objetivo restaurar o mantener la
integridad del ambiente. Abarca todos los programas, planes, políticas, normas y acciones que tengan
como destino prevenir y controlar el deterioro del ambiente.
Los gobiernos se vieron en la obligación de decretar leyes y regulaciones para controlar este uso que se
ha ido incrementando cada vez más. Así, se han establecido áreas protegidas, temporadas de veda,
lugares y temporadas de cacería, entre otros.
Esta es una tarea que debe ser realizada en conjunto entre: EL ESTADO + LA COMUNIDAD + ONG +
SECTOR PRIVADO, es necesaria la colaboración de todos para poder lograr una verdadera protección
ambiental. La protección ambiental incluye 3 aspectos:
.
Cumpliendo con estos aspectos se debe cuidar como los elementos más valiosos de cada ecosistema a las
especies endémicas y nativas, ya que son irremplazables consideradas como recursos naturales no
renovables.
IMPORTANTE: La amplia gama de ecosistemas que existe en nuestro país ha permitido el desarrollo de
la increíble diversidad de especies que hacen que Ecuador sea uno de los doce países megadiversos del
mundo. Se considera que estos doce países poseen en conjunto el 70 % de las especies vegetales y
animales de todo el planeta. Este reconocimiento internacional nos pone a las puertas del gran
compromiso de conservar nuestra biodiversidad, la cual se encuentra seriamente amenazada por las
actividades antrópicas.
TAREA:
1) Investiga la protección ambiental vigente en el Ecuador, realiza un resumen sobre este manejo en
nuestro país.
2) ¿Qué especies endémicas del Ecuador consideras tú que deben ser protegidas?
3) ¿Quiénes son los encargados de proteger estas especies endémicas?
EJERCICIOS
P3.1.- Las especies endémicas del Ecuador no son especies introducidas del Ecuador.
Las especies introducidas del Ecuador son aquellas que se encuentran en un área de nuestro país, de la cual
no son originarias, debido a actividades humanas voluntarias o accidentales que han logrado que se
establezcan en ese lugar; existen especies introducidas en todas las regiones de nuestro país.
TAREA:
1) Consulta las principales especies introducidas del Ecuador de flora y fauna.
2) Realiza un collage con las especies introducidas del Ecuador.
EJERCICIO EN CLASE:
1) Resume las especies consultadas en un cuadro sinóptico.
P3.2.- Las especies endémicas del Ecuador no son especies nativas del Ecuador.
Las especies nativas del Ecuador son aquellas especies también denominadas indígenas o autóctonas que
pertenecen a ecosistemas únicamente ubicados dentro del Ecuador, su presencia en nuestro país es el
resultado de fenómenos naturales sin intervención humana alguna.
TAREA:
1) Consulta las principales especies nativas del Ecuador de flora y fauna.
2) Realiza un collage con las especies nativas del Ecuador.
EJERCICIO EN CLASE:
1) Resume las especies consultadas en un cuadro sinóptico.
P3.3.- Las especies endémicas del Ecuador no son especies invasoras
Las especies invasoras son la segunda amenaza más grave contra la biodiversidad en el mundo debido a sus
efectos en el ambiente, la economía y la salud humana. Se trata de los virus, aves, mamíferos, peces, anfibios,
reptiles, invertebrados, plantas y hongos que llegan a ecosistemas donde se reproducen sin control y acaban
con otras especies; introducidos a nuestro país ya sea de manera intencional o accidental.
Los ejemplos abundan: conejos en Australia, plantas invasivas en los Estados Unidos, hormigas en Hawái,
pinos en Sudáfrica, ácaros de la miel en Nueva Zelanda, cangrejos en España, caracoles en los arrozales de
Filipinas, truchas en Colombia, tilapias en Costa Rica y las percas del Nilo en el lago Victoria.
TAREA:
1) Consulta las principales especies invasoras del Ecuador de flora y fauna.
2) Realiza un collage con las especies invasoras del Ecuador.
EJERCICIO EN CLASE:
1) Resume las especies consultadas en un cuadro sinóptico
UNA ESPECIE INVASORA ES NECESARIAMENTE INTRODUCIDA??
UNA ESPECIE ENDÉMICA ES NATIVA???
Creo que hay un criterio para clasificar a las especies tanto en endémicas, nativas, introducidas o invasoras.
O lo de especies invasoras solo es con respecto a que en las relaciones interespecíficas éstas causan daño, y
se debe mencionar ahí, porque el criterio para estas es completamente diferente
P4.1.- Las especies endémicas del Ecuador, según los factores bióticos del ecosistema, pueden ser especies
endémicas de flora del Ecuador.
Definición de términos:
Flora: se trata de todas las especies vegetales que se hallan en una determinada región.
Plantas vasculares:
Argumentación:
En Ecuador la flora posee gran diversidad y endemismo, debido a las especiales y variadas características
geográficas y la formación de diversos ecosistemas y microclimas existentes en todo el país, podemos resaltar
que se estima que en Ecuador habitan unas 20 000 especies de plantas, de las cuales aproximadamente el
30% son endémicas. Esta diversidad coloca a nuestro país en el séptimo lugar en lo que se refiere a la
diversidad de plantas vasculares a nivel mundial.
El grupo de las orquídeas es el que mas aporta a la biodiversidad de plantas de Ecuador ya que cuenta con
3000 especies, siendo endémicas el 43%.
Endemismo de la flora ecuatoriana por regiones
TAREA:
1) Investiga las principales especies endémicas de cada región ecuatoriana, en un cuadro escribe 5 de cada
una y pega las imágenes correspondientes.
2) Investiga el nombre de 10 especies de orquídeas endémicas del Ecuador.
3) ¿Qué es la flora?
4) Realiza un collage con las plantas que utilizamos del Ecuador para alimentarnos.
REGIÓN DATOS EJEMPLOS
COSTA Total de especies: 4 463 (30 % del total
nacional)
Número de especies endémicas: 13-20 %
SIERRA Total de especies: 9 865 (64,4 % del total
nacional)
Número de especies endémicas: 1 261
AMAZONÍA Total de especies: 4 857 (31,7 % del total
nacional)
Número de especies endémicas: 235
GALÁPAGOS Total de especies: 1 030
Número de especies endémicas: 474
¿SABIASQUÉ?
Muchas de estas especies endémicas han sido utilizadas de diferente manera a lo largo de la historia de nuestro país.
Los pueblos indígenas y la población, en general, les han dado diversos usos:
Alimentación: En todo el planeta, más del 90 % de la alimentación procede de 103 especies de plantas. Aunque el
número de especies comestibles alcanza un número de 70 000. Las especies de mayor consumo en Ecuador son: arroz,
plátano, trigo, papa, palma africana, maíz y caña de azúcar. Todas son introducidas, excepto la papa que fue utilizada
desde la época precolombina. Las especies endémicas propias de nuestro país más consumidas son: chocho, oca,
melloco, chonta, chirimoya, maíz, fréjol, yuca, zapallo, naranjilla, babaco, tomate de árbol y papa.
Condimentos de alimentos: En Ecuador se utilizan 55 especies nativas como saborizantes de comidas y bebidas.
Comúnmente, los conocemos como “condimentos”. Para la colada morada, bebida el Día de los Difuntos, se añade
canela, ishpingo, clavo de olor, hojas de hierbaluisa y cedrón. La chicha de yuca se aromatiza con frutos de ungurahua.
Las hojas de guayusa y la corteza de chukchuwasa se usan para el aguardiente. Todos los grupos indígenas de la
Amazonia utilizan hojas del culantro nativo. En la Sierra se emplean las flores de anís de campo, hojas de tilo y frutos
de ajenjo. En todo Ecuador se usan varias especies nativas de ají.
Colorantes: El más usado es el achiote, cuya cubierta de la semilla contiene un colorante rojo utilizado en todo el
país para preparar distintas comidas, otros ejemplos son el maíz negro y mortiño.
Alimento de animales de crianza Las plantas más empleadas son el pitiu y la alfalfa. Este uso es importante, debido a
que la domesticación de animales fue uno de los hechos más significativos en la evolución de las culturas, puesto que
les permitió tener una fuente de leche y carne, además de pieles para la elaboración de vestimentas.
Combustibles: Es posible quemar las plantas enteras o sus partes, haciendo de ellas leña o carbón, pero también se
utilizan los aceites, resinas, látex y otros derivados como combustibles o iniciadores de la combustión. Así, el carrá,
Huberodendron patinoi que es endémico del corredor del Chocó. Al encenderlo, no hace llama, pero tampoco se apaga
con facilidad. Los afroecuatorianos que viven en estos bosques llevan un pedazp del tronco encendido durante horas
para espantar los mosquitos con el humo y para preparar sus alimentos.
Tóxicos: Las comunidades ancestrales reconocieron las propiedades venenosas de las plantas desde la antigüedad, lo
cual aportó a sus estrategias de supervivencia y adaptación al ambiente. Les ayudó a evitar enfermedades, curarse y
para capturar presas. Así, el barbasco se utiliza para la pesca.
Fabricación de materiales: La flora del Ecuador ha sido utilizada desde épocas ancestrales como materia prima, para
fabricar enseres que ayudan a cubrir necesidades básicas como son: textiles, perfumes, pegamentos, utensillos,
muebles, hasta viviendas. Así, el cedro, el peine de mono y la balsa se utilizan para la construcción de canoas, el shanshi
para el tenido de pieles, las almohadas y colchones se rellenan con la ceiba, la cabuya y la chambira para elaborar
cuerdas, el látex de la palma real, la higuerilla y la unguragua se utiliza para impermeabilizar.
Medicinales: Se contabilizan 3 118 especies de plantas medicinales utilizadas en Ecuador. De éstas, solo el 5% son
endémicas, por ejemplo el matico, que es utilizado como cicatrizante de heridas internas y externas.
Debido a su uso intensivo y a que no son cultivadas sino únicamente recogidas de forma silvestre, se reporta que
algunas de las principales plantas medicinales del Ecuador que son nativas, se encuentran en peligro de extinción. Estas
son: cascarilla, uña de gato, sangre de drago, chuchuhuaso y floripondio, además de la zaragotana, inchi, cascarilla o
quina, laurel nogal, canelo, caimito y bálsamo. Si se extinguen estas y otras plantas cuyo potencial curativo aún se
desconoce, entonces la humanidad se estará perdiendo de posibles curas y tratamientos para diversas enfermedades.
TAREA: Consulta los usos medicinales de las plantas medicinales descritas del Ecuador, describe sus usos en un cuadro
de resumen.
P4.2.- Las especies endémicas del Ecuador, según los factores bióticos del ecosistema, pueden ser especies
endémicas de fauna del Ecuador.
Definición de términos:
Fauna: es el conjunto de especies animales que habitan en una región geográfica, que son propias de
un período geológico o que se pueden encontrar en un ecosistema determinado
Argumentación:
Son las especies de animales que se han originado en el Ecuador por aislamiento y evolución a lo largo del
tiempo, un claro ejemplo de riqueza en especies endémicas son las pertenecientes al Archipiélago de
Galápagos, la flora y la fauna de estas islas presentan un gran endemismo, ya que las especies originales
fueron adaptándose a las nuevas condiciones, a continuación conoceremos las especies de fauna endémica
más representativas:
SE DEBEN MENCIONAR TODA FAUNA ENDÉMICA DEL ECUADOR, NO SOLO DE GALÁPAGOS, O ES LA ÚNICA??
EJERCICIO: De las 5 725 especies reconocidas, 1 839 son endémicas de Galápagos. La tasa de endemismo por
grupo es de 95% en reptiles, 89% en mamíferos, 79% en aves y 96% en moluscos. Realiza un gráfico circular
que muestre estos datos.
UN GRAVE PROBLEMA:
El reemplazo de la fauna endémica por fauna introducida y sus consecuencias
En las migraciones que ha efectuado el ser humano, algunos animales desde el ganado vacuno hasta pequeños
piojos y pulgas, han acompañado al mismo, atravesando grandes distancias, incluyendo los océanos. La
consecuencia ha sido la introducción de especies a lugares a los que nunca hubieran llegado sus poblaciones de
manera natural, debido a las barreras geográficas del planeta. En ocasiones ha ocurrido de forma intencionada
y, otras veces, accidental. Las especies introducidas causan daño a la fauna nativa porque provocan la muerte
de las especies, les transmiten enfermedades, las depredan o aumentan la competencia por el alimento dentro
del ecosistema.
•Introducción de animales en Galápagos: Debido a la introducción de especies exóticas, la biodiversidad de
estas islas se ha visto gravemente amenazada por el alto impacto que éstas han provocado sobre la fauna
nativa. El mayor problema radica en que se han convertido en plagas que han puesto en peligro la
supervivencia o han llevado a la extinción de las especies nativas. Las principales especies de fauna introducida
son:
COPIA PÁG 75 Los cuadros que son pequeños elaborémoslos, y solamente se aclara que es tomado de tal libro.
EJERCICIO EN CLASE: Investiga la problemática de la introducción de cada una de las siguientes especies en
Galápagos: cancho, rana arbórea, chivos, ratones, palomas, gatos y perros; resúmelas en el cuadro:
ANIMAL INTRODUCIDO A
GALÁPAGOS
PROBLEMA
Chancho
Rana
Chivos
Ratones
Palomas
Perros
Gatos
APLICACIÓN:
Como aplicación de esta unidad realizaremos un inventario completo de
las especies endémicas de nuestro país organizadas por regiones,
existirán sus nombres científicos, fotografía, ubicación e importancia de
la especie para nuestro país.
Está explícita la actividad, pero no aclaras cómo se va a desarrollar, si en grupos o
individualmente, con qué materiales, con qué objetivos, etc.
BLOQUE 4: contaminación
del aire
AL FINALIZAR ESTA UNIDAD SERÉ COMPETENTE PARA:
1.- Determinar la influencia de las actividades que contaminan el aire en las diversas regiones del país.
Enunciado las actividades que generan contaminación del aire.
Interpretando gráficos, imágenes y documentos audiovisuales sobre la contaminación del aire.
Comparando datos obtenidos de diversas fuentes sobre la contaminación del aire.
2.-Analizar las causas del efecto invernadero y su influencia en el calentamiento global.
Explicando el calentamiento global, sus causas y efectos.
Interpretando las causas y efectos de las variaciones climáticas, debido a la contaminación.
3.-Explicar las causas del adelgazamiento de la capa de ozono, el efecto de lluvia ácida y el esmog fotoquímico
sobre la alteración del clima.
Mencionando cada una de las causas que provocan los efectos de contaminación sobre el aire.
Interpretando reflexivamente imágenes, gráficas y videos sobre los efectos de la contaminación atmosférica.
PRE-REQUISITO: El Clima
APREHENDIZAJES: Proposiciones del concepto Contaminación del aire
RECURSOS: Libro Curtis Biología, Naturaleza Viva 10 Ciencias Naturales Norma, pinturas, plastilina, cartulinas, tijeras,
mapas e imágenes sobre la contaminación del aire videos sobre la contaminación del aire.
MOTIVACIÓN
ACTIVIDAD RETO: Como actividad reto saldremos a la esquina de la empresa DANEC, que queda
a cuatro cuadras de la Institución, donde los jóvenes respiraran el aire (que se encuentra
contaminado ya que la empresa tiene maquinaria que contamina el aire y se siente el olor de los
productos que realizan en el aire); después regresaremos a la institución y en las canchas del Lev
Kids nuevamente respiraran los chicos para sentir la diferencia del aire en un lugar donde no se
encuentra contaminado por ninguna empresa. Después en el aula se conversara con los
estudiantes la importancia de un aire puro, recordando la información que nos facilitaron en la
salida pedagógica al Pasochoa, ya que nos informaron que ese aire puro del lugar dura 30 días
dentro de nuestro cuerpo purificando los pulmones. Así se iniciara un debate sobre la
importancia de un aire puro no contaminado.
PREGUNTAS AFECTIVAS: Después de esta actividad y su retroalimentación en el aula, se
realizaran las siguientes preguntas afectivas: ¿Les parece necesario prevenir la contaminación del
aire? ¿Cuál es la importancia de tener aire libre para la salud humana? ¿Conocen cuáles son las
actividades que más contaminan al aire? ¿Sabían que la contaminación del aire afecta al clima de
nuestro planeta? ¿Conocen lo que es el calentamiento global? ¿Les gustaría conocer como
contrarrestar este tipo de contaminación?.
ARGUMENTOS: Conocer sobre la contaminación del aire, nos permite valorar la importancia de
un aire puro; los problemas que trae consigo para el planeta y los seres humanos, es importante
saber que el cambio del clima, producto del calentamiento ambiental, se debe a la
contaminación existente en el aire por las industrias, automóviles y todos los tipos de transporte
que utilizan derivados del petróleo.
Otro ejemplo grande de esto, es la contaminación por aerosoles, ya que han debilitado la capa
de ozono, todos estos problemas ambientales están causando problemas en la salud y en la vida
de los seres humanos.
Actualmente es una preocupación mundial las funestas consecuencias que ha traído el
calentamiento global, y en general, la contaminación ambiental, por esto se han planteado varios
tratados internacionales que ayuden a contrarrestar el problema.
Nosotros aportaremos con un granito de arena preocupándonos y evitando al máximo esta
contaminación en lo que este en nuestras manos, para esto debemos conocer la problemática,
contaminantes y actividades que contaminan al aire.
PRE – REQUISITO: EL CLIMA
El clima es el resultado de varios factores que actúan en conjunto para establecer las características del tiempo
atmosférico en las ecozonas del mundo. Estos factores son:
Temperatura atmosférica: Es el indicador de la cantidad de energía calorífica acumulada en el aire. Para
medirla, se utilizan los termómetros ambientales en escalas de grados Fahrenheit y grados Celsius.
Latitud: Es la distancia de un lugar con respecto a la línea ecuatorial. Esta distancia indica cómo llegan los
rayos solares a los distintos puntos de la Tierra y cuál es su intensidad, determina la duración del día y la noche,
las estaciones y periodos lluviosos o secos. La radiación solar cambia sobre la superficie terrestre, razón por la
cual se presentan tres zonas de latitudes: baja, media y alta.
Las estaciones: De acuerdo con la latitud de una región, los cambios en el clima durante el año pueden ser
mínimos, como ocurre en las latitudes bajas, o pueden darse condiciones muy distintas como en las latitudes
medias. En las latitudes medias es posible diferenciar cuatro períodos llamados estaciones: primavera, verano,
otoño e invierno. En promedio, la temperatura es más alta mientras una región se acerca más a la línea
ecuatorial, y disminuye cuando más se aleja de ella.
Altitud: Es la distancia vertical que existe entre el nivel del mar y un punto dado de la superficie terrestre.
Así, a mayor altitud habrá una menor temperatura, debido a que cuando aumenta la altitud disminuye la
densidad de la atmósfera y, por tanto, su capacidad de absorber el calor. En promedio, la temperatura se
reduce aproximadamente 2 °C por cada 300 m de ascenso.
Cercanía de las masas de agua: la distribución de las masas de agua grandes como mares y océanos influye
en las regiones cercanas a estas ya que tienen temperaturas más constantes, debido a que el agua absorbe el
calor del sol y lo va desprendiendo poco a poco, más despacio que la tierra, afectando la temperatura de un
ambiente.
Continentalidad: se refiere a la ubicación dentro de los continentes, una alta continentalidad realza la
amplitud térmica, es decir, que provoca inviernos fríos y veranos calurosos. Son estas las razones que nos
hacen considerar el agua como uno de los agentes más importantes en el clima.
Presión atmosférica: es el peso de la masa de aire por cada unidad de superficie. Es por esto que la presión
suele ser más alta al nivel del mar que en las cimas de las montañas. Al nivel del mar la presión normal es de
1013 milibares y va disminuyendo a medida que asciende la altitud. La diferencia de la presión en los diversos
sitios de la Tierra hace que el aire se desplace a distintos lugares, lo cual origina los vientos.
El viento: es aire en movimiento producido por el calentamiento desigual en la superficie terrestre y por las
diferencias de presión atmosférica. El aire caliente es menos denso, por este motivo sube y se ubica por encima
del aire más frío. Al subir, el aire se enfría en el camino, se hace más pesado y desciende. Este patrón circular
de movimiento se denomina célula de convección.
La precipitación: Es la cantidad de agua que cae sobre la superficie terrestre. Al condensarse, el vapor de
agua forma nubes que al saturarse producen lluvia. La cantidad y la frecuencia de las precipitaciones varía de
acuerdo con la humedad, la radiación solar, los vientos y el relieve. Recuerda que la precipitación es una las
etapas del ciclo del agua, para medir la precipitación se utiliza el pluviómetro. La medición se hace en
milímetros (mm) por metro cuadrado. Una tormenta es una de las formas comunes de precipitación, es un
fenómeno caracterizado por lluvia, nieve o granizo y vientos fuertes. La biorregión Neotropical registra los
mayores promedios de precipitación.
Corrientes oceánicas: son desplazamientos de masas de agua con dirección fija y constante. Ejercen una gran
influencia en el clima, pues modifican las condiciones de temperatura y humedad según sean cálidas, frías o
mixtas.
Nota: La biodiversidad de la biorregión Oceánica se ve influenciada por las corrientes marinas, las cuales
determinan los patrones de migración de aves y mamíferos acuáticos como las ballenas.
EJERCICIO EN CLASE N°1:
Realiza un organizador gráfico donde expliques los factores que influyen en el clima.
TAREA N°1:
Investiga la definición de clima, resúmelo en tu cuaderno en 5 líneas.
CONTAMINACIÓN
AMBIENTAL
-Contaminación del
suelo
-Contaminación del
agua.
CONTAMINACIÓN
DEL AIRE
Según el origen del contaminante
Natural Antropogénica
•Es la alteración de la calidad del aire por la
presencia de un agente externo físico, químico o
biológico en el aire.
•Se produce por agentes contaminantes: Gases del
Efecto Invernadero, Esmog fotoquímico, Oxidantes
fotoquímicas, Hidrocarburos, Monóxido de
carbono, Dióxido de azufre, Dióxido de nitrógeno y
Partículas suspendidas.
•Provoca consecuencias negativas: calentamiento
global, lluvia ácida, adelgazamiento de la capa de
ozono.
Transportes
terrestres
IndustriasGeneración de
electricidad
Transportes
aéreos
Erupciones
Volcánicas
Incendios
forestales
PAQUETE PROPOSICIONAL
P1.- La Contaminación del aire es un tipo de contaminación ambiental.
P2.1.-La Contaminación del aire es la alteración de la calidad del aire por la presencia de una
agente físico químico o biológico en el aire.
P2.2.-La Contaminación del aire se produce por agentes contaminantes: Gases del Efecto
Invernadero, Esmog fotoquímico, Hidrocarburos, Oxidantes fotoquímicas, Monóxido de carbono,
Dióxido de azufre, Dióxido de nitrógeno y Partículas suspendidas.
P2.3.-La Contaminación del aire provoca consecuencias negativas: Efecto invernadero,
calentamiento global, lluvia ácida, adelgazamiento de la capa de ozono.
P3.1.- La Contaminación del aire no es contaminación del agua ni del aire.
P4.1.- La Contaminación del aire según el origen del contaminante puede ser natural: incendios
forestales naturales y erupciones volcánicas.
P4.2.- La Contaminación del aire según el origen del contaminante puede ser antropogénica:
vehículos, industrias, generación de electricidad y transportes aéreos.
ANÁLISIS PROPOSICIONAL: CONTAMINACIÓN DEL AIRE
P1. La Contaminación del aire es contaminación ambiental.
Recordemos: La contaminación ambiental es la alteración nociva del estado natural de un medio como
consecuencia de la introducción de un agente totalmente ajeno a ese medio (contaminante). En el caso de la
contaminación del aire se encuentra afectando a la calidad del aire, que es de vital importancia para el
desarrollo de la vida dentro de planeta Tierra.
P2.1. La Contaminación del aire es la alteración de la calidad del aire por la presencia de un agente físico,
químico o biológico en el aire.
La calidad del aire, es decir si el aire se encuentra en buen o mal estado para albergar la vida en el planeta,
depende de los compuestos que se mezclan con este gas, que si son contaminantes causan efectos
perjudiciales sobre la calidad del mismo. Ya que cuando un agente contaminante se encuentra en el aire,
causa efectos nocivos para la salud de los seres vivos y de los ecosistemas en general.
EJERCICIO EN CLASE: Realiza un silogismo válido con los siguientes términos: Contaminación ambiental,
contaminación del aire y alteración de la calidad del aire por presencia de agentes contaminantes.
P2.2. La Contaminación del aire se produce por agentes contaminantes específicos: Gases del Efecto
Invernadero, Esmog fotoquímico, Hidrocarburos, Monóxido de carbono, Dióxido de azufre, Dióxido de
nitrógeno y Partículas suspendidas.
La contaminación del aire se debe principalmente a la presencia de diferentes contaminantes degradando la
calidad del aire, a continuación se detallarán cada uno de estos:
GASES DEL EFECTO INVERNADERO (GEI): estos gases no permiten salir el calor de la atmósfera provocando
el efecto invernadero atrapando el calor de manera excesiva, donde se incrementa la temperatura del
planeta, dentro de estos gases se encuentran: ozono (O3), vapor de agua, óxidos de nitrógeno (NOn),
Metano(CH4), Dióxido de carbono (CO2), Clorofluorocarbonos (CFCs).
TAREA: Consulta las características de cada uno de los gases del efecto invernadero.
TRABAJO GRUPAL: A partir de las consultas realizadas, en grupos de 4 personas, completar el siguiente
cuadro:
ESMOG FOTOQUÍMICO: La palabra smog viene de la combinación de dos términos en inglés: smoke
(humo) y fog (niebla). Se le dio este nombre porque se detecta sobre las ciudades como una capa de neblina,
pero más oscura. El esmog fotoquímico está formado por una mezcla de contaminantes primarios
(hidrocarburos volátiles y óxidos de nitrógeno) y secundarios (ozono y radicales hidroxilo), los cuales se
constituyen por una serie de reacciones producidas por la luz.
La mezcla generada se acumula en la atmósfera oscureciéndola. Desde lejos se puede ver una capa de color
café rojizo cargada de compuestos muy dañinos para los seres vivos. Las reacciones fotoquímicas que
provocan este fenómeno ocurren cuando la mezcla compuesta por óxidos de nitrógeno e hidrocarburos
volátiles actúa con el oxígeno atmosférico. Esta respuesta es inducida por la luz solar, en un complejo de
reacciones que acaba formando ozono.
GEI CARACTERÍSTICA
Metano
Ozono
Vapor de agua
Nitrógeno
Óxidos de nitrógeno
Óxidos de azufre
Clorofluouricarbonados
Consecuencias de la contaminación del aire con esmog fotoquímico
•En la salud de las personas: cuando el aire está contaminado, respiramos partículas, ozono y gases
peligrosos, los mismos que pueden causar daño a los pulmones, al corazón y a la salud en general. Los
efectos evidentes son tos, irritación ocular, empeoramiento del asma y alergias.
•En el clima: altera los patrones de lluvia. Las partículas de hollín son diminutas, pero al combinarse con la
humedad de las nubes evitan que se produzcan gotas de agua lo suficientemente grandes como para que
precipiten.
•En la vida silvestre: afecta el sistema respiratorio de los animales, también causa problemas
dermatológicos, como se ha visto en las palomas que viven en las plazas de ciudades grandes. Con respecto
a las plantas, el hollín se pega en las hojas dificultando la realización eficiente de la fotosíntesis, ya que
impide el correcto intercambio de gases.
TAREA: Consulta los países y ciudades en el mundo que se encuentran más afectadas por el esmog
fotoquímico, busca imágenes de las mismas y pega 5 ejemplos.
HIDROCARBUROS: son compuestos de carbono e hidrógeno que por lo general son productos derivados
de petróleo como la gasolina, el diesel principalmente, algunos son carcinógenos como el benceno, son
generados por fuentes naturales y antropogénicas que en estado gaseoso contaminan al aire.
MONÓXIDO DE CARBONO (CO): es un gas invisible e inodoro que se produce por la combustión
incompleta del C, principalmente de los escapes de vehículos, al combinarse con la hemoglobina causa
asfixia química y otras enfermedades.
DIÓXIDO DE AZUFRE (SO2): es producido principalmente por la combustión del carbón, aceite
combustible y diesel, provoca problemas en las vías respiratorias e irritación de la garganta.
DIÓXIDO DE NITRÓGENO (NO2): es un gas irritante que se produce igualmente por la combustión y sus
principales fuentes de emisión son los autos y calentadores industriales.
PARTÍCULAS SUSPENDIDAS: son el resultado principalmente de la incineración de madera o combustión
de energéticos como el diesel y se emiten directamente al aire, traen muchos problemas a la salud humana
al introducirse en el cuerpo ya que no se filtran por el sistema respiratorio.
EJERCICIO EN CLASE:
1) Escribe V o F según corresponde y argumenta tu respuesta:
• La contaminación del aire no tiene agentes físico químicos o biológicos que alteren la calidad del aire.
(___)
_______________________________________________________________________________________
• Alguna contaminación del aire es contaminación ambiental. (___)
_______________________________________________________________________________________
• Los hidrocarburos únicamente contaminan al aire. (___)
_______________________________________________________________________________________
• El CO no causa problemas en la salud de las personas y se origina por la minería. (___)
_______________________________________________________________________________________
• El clima se ve afectado por los GEI. (___)
_______________________________________________________________________________________
2) Contesta las siguientes preguntas:
• ¿Cuáles son los factores que influyen en el clima? Detalla brevemente cada uno
• ¿Cuáles son los contaminantes específicos del aire? Detalla brevemente cada uno
• ¿Qué es el efecto invernadero?
• ¿Cuáles son los gases del efecto invernadero?
• ¿Qué problemas de salud pueden causar los contaminantes del aire?
P2.3. La Contaminación del aire provoca consecuencias negativas: Efecto invernadero, calentamiento
global, lluvia ácida, adelgazamiento de la capa de ozono.
Definición de términos:
Atmósfera: es la capa gaseosa del planeta Tierra que contiene los gases necesarios para albergar la vida.
Argumentación:
Los contaminantes que se encuentran en el aire realizan una alteración en la atmósfera, por lo que se daña
su composición normal y causa: el efecto invernadero, calentamiento global, la lluvia ácida y el
adelgazamiento de la capa de ozono, que se detallarán a continuación:
EFECTO INVERNADERO
Recibe este nombre como analogía del planeta con un invernadero, ya que en un invernadero, los plásticos
impiden que la energía calórica salga al mantener en el interior la temperatura adecuada para cultivar
frutas, hortalizas o flores. En la Tierra ocurre un proceso similar. La atmósfera retiene gran parte de la
energía solar que ingresa en ella. La energía del sol atraviesa la atmósfera, cerca del 70 % de esa energía es
atrapada por las capas de la atmósfera y sólo el 45 % alcanza la superficie terrestre, a pesar de la
nubosidad. Esta porción de energía conserva la temperatura ideal para la vida en un promedio de 15 °C.
En la atmósfera hay gases (GEI) que no permiten que toda la radiación que llega regrese al espacio, actúan
como un espejo y devuelven esta radiación a la superficie terrestre.
Desde el inicio de la Revolución industrial, ocurrida a finales del siglo XVIII, los gases emitidos a la atmósfera
por acción humana, como el dióxido de carbono y el metano que tienen la capacidad de atrapar la energía
solar, se han incrementado significativamente. Por ello, una mayor proporción de los rayos solares son
retenidos en la Tierra aumentando el promedio de la temperatura global. Desde que se comenzaron a
quemar combustibles fósiles como el carbón, el gas y el petróleo, el contenido de CO2 en la atmósfera pasó
de 280 partes por millón, antes de la Revolución industrial, a 380 en la actualidad.
El aumento de la población humana y su constante necesidad de alimento han obligado a que se
acrecienten los cultivos de arroz y la crianza de ganado vacuno, que contribuyen con el mayor porcentaje
de metano liberado a la atmósfera. Además, los óxidos de nitrógeno, producto de centrales eléctricas que
usan combustibles fósiles, también aportan al efecto invernadero.
Por lo tanto, el efecto invernadero no tiene nada de malo en sí mismo. El problema es que el ser humano
ha logrado alterar este mecanismo natural de forma que se ha convertido en un asunto muy serio llamado
calentamiento global.
TAREA: Graficar el efecto invernadero en el planeta Tierra.
CALENTAMIENTO GLOBAL
La atmósfera posee gases que evitan que el calor del planeta se pierda hacia el espacio exterior y esto impide
que la temperatura en la Tierra sea demasiado baja.
Estos compuestos se conocen como gases invernadero o termoactivos (CO, NO, CO2, CFCs, O3 y vapor de agua),
en conjunto, estos gases atrapan el calor de manera excesiva, provocando un cambio climático anormal
denominado calentamiento global, en especial por el incremento de carbono en las últimas décadas.
Consecuencias del Calentamiento Global
CLIMA: La consecuencia más indudable ha sido el aumento de la temperatura global. En los últimos cien años,
la temperatura media del planeta ha subido 0,6 °C y la tendencia es que en los próximos años siga elevándose.
Medio grado puede parecer insignificante; sin embargo, los cambios en el clima mundial han sido evidentes,
dentro de estos podemos mencionar los siguientes.
• Cada vez son más las zonas que experimentan sequías, por lo que existe escasez de agua potable y las tierras
que antes eran fértiles ya no lo son.
• Hay algunas regiones del planeta que se han visto beneficiadas con este fenómeno como es el caso del Reino
Unido, en cuyo suelo se están cultivando la vid y otras plantas de clima mediterráneo.
• Se ha provocado un aumento de los océanos debido al deshielo de los casquetes polares, lo que pone en
peligro las poblaciones que habitan en las costas.
• A medida que los océanos se calientan, las tormentas se tornan más fuertes, y la velocidad del viento y la
condensación del agua aumentan.
• Pero los efectos del calentamiento global también son visibles en las regiones que se ubican al norte Círculo
Polar Ártico. Esta zona permanece congelada la mayor parte del año, y a este suelo que constantemente
está congelado se le llama permafrost. En esta capa se almacenan grandes cantidades de carbono. Se estima
que en la región de la tundra siberiana hay diez veces la cantidad de carbono emitido anualmente por las
actividades humanas. Debido al aumento de la temperatura, el permafrost se ha comenzado a derretir y el
carbono ha empezado a liberarse.
SALUD: El aumento de la temperatura tiene consecuencias en la salud de los seres humanos, ya que se
incrementan los trastornos respiratorios y cardiovasculares, las afecciones por deshidratación, así como las
enfermedades infecciosas causadas por vectores tropicales. Estas últimas suceden con mayor frecuencia, pues
las zonas tropicales se están extendiendo a altitudes mayores, dando un hábitat propicio a los mosquitos
portadores de la malaria, la fiebre amarilla, entre otras.
CALIDAD DEL AGUA: El nivel de los ríos y lagos disminuye debido a la gran evaporación generada por las altas
temperaturas. Los ríos poco torrentosos pueden secarse eventualmente, afectando a los seres vivos que allí
habitan y a la producción de energía eléctrica que depende de algunos de ellos.
ECOSISTEMAS TERRESTRES: Se extiende la región tropical hacia latitudes más altas debido al incremento de
temperatura. Así, es posible que desaparezcan las regiones actualmente frías como los páramos y bosques de
pinos, junto a su flora y fauna.
ECOSISTEMAS COSTEROS: Al aumentar el nivel del mar, los ecosistemas de costa como los manglares y
estuarios se ven afectados por la erosión y salinización del suelo. Los lugares más perjudicados son los arrecifes,
ya que quedan sumergidos a mayor profundidad, lo que impide la penetración suficiente de luz.
AGRICULTURA: El suelo se seca por la gran evaporación del agua. Por otro lado, el aumento de la cantidad y
frecuencia de las lluvias causa inundaciones. Ambos factores provocan la pérdida de nutrientes del suelo.
Esfuerzos para frenar el calentamiento global
En un esfuerzo por detener este fenómeno, se estableció el Protocolo de Kioto, que busca que dentro del
período entre 2008 y 2012 los países industrializados reduzcan sus emisiones de gases de efecto invernadero
en un 5,2% con respecto a las emisiones de 1990. Dicho acuerdo entró en vigencia en 2004. Sin embargo, no
todos los países lo firmaron, siendo el caso de Australia y Estados Unidos, este último responsable del 36,1 % de
las emisiones mundiales. Dentro del Protocolo se establecen metas individuales para cada país o región. Lo
interesante es que a los países con emisiones bajas se les autoriza aumentarlas. Esto ha originado que se
negocien lo que se llama unidades de carbono. Es decir, si un país excede el límite de emisión de gases
invernadero que se le impuso en el tratado, puede comprarle unidades de carbono a otro país, cuyas emisiones
sean menores de lo que tiene permitido. Con esta medida se busca que cada vez más países industrializados se
unan al esfuerzo de frenar el calentamiento global sin comprometer su desarrollo económico. Para los países en
vías de desarrollo representa una oportunidad para obtener una fuente adicional de ingresos económicos.
ADELGAZAMIENTO DE LA CAPA DE OZONO
El ozono forma una capa delgada sobre la Tierra, más o menos entre 20 y 30 km por encima de la superficie
terrestre. Esta capa protege a los seres vivos de la acción directa de los rayos ultravioleta, responsables del
cáncer de piel y alteraciones genéticas.
En la atmósfera, el oxígeno se puede encontrar de dos formas: el oxígeno normal conformado por dos
átomos de oxígeno (O2), y el ozono (O3) compuesto por tres átomos de oxígeno. Para transformar un
compuesto en el otro, es necesaria la acción de la luz ultravioleta, la cual rompe los enlaces existentes entre
los átomos de oxígeno, liberando átomos que configuran uniones con otros átomos solitarios de oxígeno o
con moléculas de oxígeno, O2. De esta manera, el ozono se crea y se destruye constantemente.
Sustancias químicas como los clorofluorocarbonados (CFC), usados durante mucho tiempo como
refrigerantes en las neveras y aires acondicionados y como propulsores en los aerosoles, afectan el equilibrio
de las concentraciones de ozono. Las primeras evidencias sobre la destrucción de la capa de ozono se
presentaron en la década de 1970. En 1985 varios científicos reportaron la existencia de un agujero en la
capa de ozono ubicado en la Antártida. El espesor normal de la capa de ozono es de aproximadamente 1,4
mm, mientras que en la Antártida el grosor es casi de 1 mm . Esta disminución es más notoria en la Antártida
que en el resto del planeta a causa de las condiciones climáticas de esta zona; el frío intenso favorece la
acción de los compuestos químicos que degradan el ozono, incluso si han sido liberados a miles de
kilómetros de distancia. Además, la permanente oscuridad contribuye a la formación de nubes con alto
contenido de cloro, uno de los elementos que destruye el ozono.
Cabe recalcar que el agujero en la capa de ozono no es permanente, sino que es un fenómeno estacional
que ocurre en cada primavera austral de la Antártida. El hueco que se abre es tan amplio como Estados
Unidos y tan profundo como el monte Everest. Éste ha crecido cada año desde 1979, excepto en 1988.
Alcanzó su mayor tamaño en 1992 (cubrió 60 millones de km2), debido a la erupción del volcán Monte
Pinatubo, el mismo que lanzó gases de ácido sulfúrico.
Soluciones al problema del adelgazamiento de la capa de ozono
En 1987 se firmó el Protocolo de Montreal en Canadá, que busca reducir la emisión de sustancias que
degradan el ozono. Los resultados han sido notorios, a tal punto que se ha hecho evidente la disminución del
tamaño del agujero y se pronostica que a mediados del siglo XXI la capa estará completamente restituida. La
zona ecuatorial es el único punto que no podrá recuperar por completo la capa de ozono. La estructura de la
atmósfera y la dirección de los vientos impiden que se produzca el ozono. La incidencia de los rayos
ultravioleta por ausencia del ozono causa mayores alteraciones en la piel de los habitantes que viven en
estas regiones.
TAREA: Consulta los problemas que causa al planeta el adelgazamiento de la capa de ozono.
EJERCICIO: Realiza un organizador gráfico donde resumas los aspectos más importantes del adelgazamiento
de la capa de ozono.
LLUVIA ÁCIDA
El grado de acidez se mide en una escala que va de 0 a 14, siendo 0 el extremo ácido y 14 el extremo básico.
Un pH de 7 es neutro. La lluvia no contaminada se caracteriza por ser ligeramente ácida y tener un pH entre 5
y 6. Esto se debe a que el aire contiene compuestos que reaccionan con el agua suspendida en la atmósfera,
dándole su carácter levemente ácido. A lo largo de la historia de la Tierra la lluvia, por su carácter ácido, ha
desgastado rocas superficiales y ha penetrado en otras hasta desaparecerlas.
La utilización de combustibles fósiles en la industria, los automóviles y las centrales eléctricas producen óxidos
de nitrógeno y dióxido de azufre. Estos gases reaccionan con el agua suspendida en las nubes y forman ácido
sulfúrico y ácido nítrico que al caer en la tierra ocasionan cuantiosos daños.
Los contaminantes de la lluvia ácida son capaces de moverse de un continente a otro arrastrados por los
vientos y, posteriormente, en forma de rocío, niebla, llovizna, nieve o lluvia.
Efectos de la lluvia ácida
La lluvia ácida afecta a los seres vivos, contamina las aguas superficiales y subterráneas, y daña el suelo. La
acidez tiene la capacidad de corroer diversas sustancias, entre ellas algunas tóxicas, como el aluminio, que
pueden llegar a las fuentes de agua.
Existe la posibilidad de que los suelos pierdan su fertilidad si la acidez es excesiva, pues los microorganismos y
las plantas no toleran mucha acidez. Estos daños pueden llegar a ser irreversibles. Además, alteran la
economía cuando los suelos dejan de ser fértiles y se pierden fuentes de agua.
•En las plantas: La lluvia ácida no mata directamente a las plantas sino que las debilita, volviéndolas más
vulnerables a la acción del frío, el viento, la sequía, los parásitos y enfermedades. La lluvia ácida cae
directamente en las hojas, quita su cubierta cerosa y ocasiona lesiones que modifican la acción fotosintética.
Por tanto, las plantas pierden la posibilidad de sintetizar carbohidratos.
•En los animales: Los más afectados son los animales acuáticos, sobre todo los más jóvenes o los huevos. Se
produce la muerte del fitoplancton, el cual es comestible para los insectos, los mismos que se ven afectados al
tener menos comida y también mueren. Como estos insectos son el sustento de peces, ranas y pájaros, estos
también se perjudican por la escasez de alimento. Es así que el efecto se ve trasladado a toda la red
alimenticia.
•En las ciudades: La lluvia ácida que cae en las ciudades afecta las fachadas de los edificios, las tuberías, los
cables, daña estatuas y las partes metálicas de ventanas y automotores. Estos deterioros ocasionan pérdidas
económicas sustanciales.
EJERCICIO EN CLASE:
Escribe V o F según corresponde y argumenta tu respuesta:
1) La lluvia ácida tiene un pH 7. (___)
_________________________________________________________________________________________
2) Los combustibles fósiles colaboran en la formación de lluvia ácida. (___)
_________________________________________________________________________________________
3) Los contaminantes de la lluvia ácida no son capaces de moverse de un continente a otro. (___)
_________________________________________________________________________________________
4) Los suelos no pierden la fertilidad si la acidez de la lluvia es excesiva. (___)
_________________________________________________________________________________________
5) La lluvia ácida mata directamente a las plantas. (___)
_________________________________________________________________________________________
TAREA: Pega un gráfico de la formación de la lluvia ácida.
TAREA/EJERCICIO
1) ¿Qué efectos provoca la contaminación del aire?
2) ¿Qué es el efecto invernadero?
3) ¿Qué gases producen el efecto invernadero?
4) ¿Causa problemas por si solo el efecto invernadero?
¿Cuándo se crea el problema?
5) ¿Qué es el calentamiento global?
6) ¿Cuáles son las consecuencias en el clima del
calentamiento global?
7) ¿Qué es el permafrost? Y ¿Cuál es el problema que esta
existiendo con el permafrost?
8) ¿Qué consecuencias tiene en la salud el calentamiento
global?
9) ¿Qué problema causa en la calidad del agua el
calentamiento global?
10) ¿Qué efectos tiene el calentamiento global en los
ecosistemas terrestres y costeros?
11) ¿En qué consiste el Protocolo de Kioto?
12) ¿Qué países que contaminan no firmaron el Protocolo
de Kioto?
13) ¿Qué función tiene la capa de ozono?
14) ¿Por qué se da el adelgazamiento de la capa de ozono?
15) ¿Qué problemas trae consigo el adelgazamiento de la
capa de ozono?
16) ¿Qué comportamiento tiene el agujero de la capa de
ozono?
17) ¿Cuál es la solución que existe para frenar el
adelgazamiento de la capa de ozono?
18) ¿Qué es la lluvia ácida?
19) ¿Por qué se forma la lluvia ácida?
20) Explique los efectos que tiene la lluvia ácida sobre la
naturaleza.
TAREA/EJERCICIO
1) ¿Qué efectos provoca la contaminación del aire?
2) ¿Qué es el efecto invernadero?
3) ¿Qué gases producen el efecto invernadero?
4) ¿Causa problemas por si solo el efecto invernadero?
¿Cuándo se crea el problema?
5) ¿Qué es el calentamiento global?
6) ¿Cuáles son las consecuencias en el clima del calentamiento
global?
7) ¿Qué es el permafrost? Y ¿Cuál es el problema que esta
existiendo con el permafrost?
8) ¿Qué consecuencias tiene en la salud el calentamiento
global?
9) ¿Qué problema causa en la calidad del agua el
calentamiento global?
10) ¿Qué efectos tiene el calentamiento global en los
ecosistemas terrestres y costeros?
11) ¿En qué consiste el Protocolo de Kioto?
12) ¿Qué países que contaminan no firmaron el Protocolo de
Kioto?
13) ¿Qué función tiene la capa de ozono?
14) ¿Por qué se da el adelgazamiento de la capa de ozono?
15) ¿Qué problemas trae consigo el adelgazamiento de la capa
de ozono?
16) ¿Qué comportamiento tiene el agujero de la capa de
ozono?
17) ¿Cuál es la solución que existe para frenar el
adelgazamiento de la capa de ozono?
18) ¿Qué es la lluvia ácida?
19) ¿Por qué se forma la lluvia ácida?
20) Explique los efectos que tiene la lluvia ácida sobre la
naturaleza.
TAREA/EJERCICIO
1) ¿Qué efectos provoca la contaminación del aire?
2) ¿Qué es el efecto invernadero?
3) ¿Qué gases producen el efecto invernadero?
4) ¿Causa problemas por si solo el efecto invernadero?
¿Cuándo se crea el problema?
5) ¿Qué es el calentamiento global?
6) ¿Cuáles son las consecuencias en el clima del
calentamiento global?
7) ¿Qué es el permafrost? Y ¿Cuál es el problema que esta
existiendo con el permafrost?
8) ¿Qué consecuencias tiene en la salud el calentamiento
global?
9) ¿Qué problema causa en la calidad del agua el
calentamiento global?
10) ¿Qué efectos tiene el calentamiento global en los
ecosistemas terrestres y costeros?
11) ¿En qué consiste el Protocolo de Kioto?
12) ¿Qué países que contaminan no firmaron el Protocolo
de Kioto?
13) ¿Qué función tiene la capa de ozono?
14) ¿Por qué se da el adelgazamiento de la capa de ozono?
15) ¿Qué problemas trae consigo el adelgazamiento de la
capa de ozono?
16) ¿Qué comportamiento tiene el agujero de la capa de
ozono?
17) ¿Cuál es la solución que existe para frenar el
adelgazamiento de la capa de ozono?
18) ¿Qué es la lluvia ácida?
19) ¿Por qué se forma la lluvia ácida?
20) Explique los efectos que tiene la lluvia ácida sobre la
naturaleza.
TAREA/EJERCICIO
1) ¿Qué efectos provoca la contaminación del aire?
2) ¿Qué es el efecto invernadero?
3) ¿Qué gases producen el efecto invernadero?
4) ¿Causa problemas por si solo el efecto invernadero?
¿Cuándo se crea el problema?
5) ¿Qué es el calentamiento global?
6) ¿Cuáles son las consecuencias en el clima del
calentamiento global?
7) ¿Qué es el permafrost? Y ¿Cuál es el problema que esta
existiendo con el permafrost?
8) ¿Qué consecuencias tiene en la salud el calentamiento
global?
9) ¿Qué problema causa en la calidad del agua el
calentamiento global?
10) ¿Qué efectos tiene el calentamiento global en los
ecosistemas terrestres y costeros?
11) ¿En qué consiste el Protocolo de Kioto?
12) ¿Qué países que contaminan no firmaron el Protocolo
de Kioto?
13) ¿Qué función tiene la capa de ozono?
14) ¿Por qué se da el adelgazamiento de la capa de ozono?
15) ¿Qué problemas trae consigo el adelgazamiento de la
capa de ozono?
16) ¿Qué comportamiento tiene el agujero de la capa de
ozono?
17) ¿Cuál es la solución que existe para frenar el
adelgazamiento de la capa de ozono?
18) ¿Qué es la lluvia ácida?
19) ¿Por qué se forma la lluvia ácida?
20) Explique los efectos que tiene la lluvia ácida sobre la
naturaleza.
P3.1. La Contaminación del Suelo no es contaminación del agua ni del aire.
Como ya lo habíamos estudiando, la diferencia entre los tres tipos de contaminación ambiental es el
sustrato al cuál contaminan, en el caso de la contaminación del aire puede existir la alteración de la calidad
del aire debido a actividades antrópicas y naturales que emiten contaminantes gaseosos al aire.
EJERCICIO EN CLASE:
1)Realiza un silogismo con los siguientes términos: Contaminación del aire, Alteración de la calidad del aire,
Contaminación del Suelo.
2) Completa las siguientes analogías:
•______________________ es la contaminación del aire como PAHs, COVs es a contaminación del suelo.
•Pérdida de la productividad del suelo es a _____________________ como ____________________ es a
contaminación del aire.
•Lluvia ácida es a contaminación del aire como _____________________ es a contaminación del suelo.
•GEI es a contaminantes del aire como ___________________________ son a contaminantes del suelo.
•pH 7 es a neutro como _________ es a ácido.
P4.1. La Contaminación del aire según el origen del contaminante puede ser natural: incendios forestales
naturales y erupciones volcánicas.
La contaminación natural no causa graves problemas, se puede producir por fenómenos naturales como
son incendios, erupciones volcánicas, huracanes, entre otros. A continuación detallaremos los principales
fenómenos naturales que afectan al aire:
INCENDIOS FORESTALES NATURALES: especialmente en épocas de calor pueden desatarse incendios que
emiten al aire gran cantidad de dióxido de carbono y monóxido de carbono, colaborando al calentamiento
global ya que son GEI.
ERUPCIONES VOLCÁNICAS: Las cenizas volcánicas que son expulsadas cuando existe una erupción
contienen plomo, cadmio y arsénico. Además, las partículas grandes causan problemas respiratorios,
conjuntivitis, alergias en la piel, entre otros. Afecciones que influyen sobre todo en los niños, las niñas y
ancianos, el segmento más vulnerable de la población.
Un ejemplo de esto, ha sido la provincia de Pichincha y sus alrededores , ya que han sido el escenario de la
caída de ceniza en varias ocasiones por las erupciones del volcán Pichincha. Las ciudades de Ambato,
Baños, Riobamba y sus periferias han pasado el mismo proceso por el volcán Tungurahua. También las
erupciones del Reventador han afectado varias localidades en los últimos años.
TAREA: Investiga los daños que provocan a la salud la ceniza de los volcanes .
P4.2. La Contaminación del aire según el origen del contaminante puede ser antropogénica: vehículos,
industrias, generación de electricidad y transportes aéreos.
Nos referimos a contaminación antropogénica cuando es realizada por actividades humanas, como
consecuencia el crecimiento de las ciudades, sistemas de producción de energía, industrias y transporte que
son los causantes mayoritarios de la contaminación del aire. A continuación detallaremos los problemas que
causan las principales actividades contaminantes:
VEHÍCULOS: La mayor contaminación atmosférica es causada por los vehículos que utilizan hidrocarburos
de baja calidad, según la Dirección Nacional de Hidrocarburos del Ecuador. Por ejemplo, la cantidad de azufre
que tiene el diesel en nuestro país es diez veces mayor a la que toleran las normas en Estados Unidos. Aunque
al menos estos combustibles ya no contienen plomo. Solo en Quito se consumen anualmente seis millones de
barriles de combustibles, lo cual significa una contaminación de 150 000 toneladas de desechos. Mientras que
en Guayaquil se arrojan 104 000 toneladas de desechos tóxicos por año.
La tasa de crecimiento del parque automotor en el Ecuador es de 9,8 % al año. En el 2009 se contabilizó en
Quito una circulación de 400 000 vehículos privados.
INDUSTRIAS: Muchas ciudades del país conviven junto a fábricas y otras industrias que eliminan gases
nocivos. Esta cercanía ha ocurrido debido al incumplimiento de leyes que prohíben a las industrias su
instalación próxima a los centros poblados y al crecimiento de las ciudades, lo cual trae como resultado que
los sitios antes periféricos hoy estén en medio de las ciudades. Las industrias son generadoras de todos los
contaminantes específicos estudiados, también pueden eliminarse otros contaminantes como metales
pesados y otras sustancias tóxicas, dependiendo del tipo de industria, todos los contaminantes de las
industrias son causantes de la lluvia ácida y el calentamiento global.
GENERACIÓN DE ELECTRICIDAD: Las plantas hidroeléctricas emiten partículas suspendidas producto de los
motores de combustión, además de los gases ya citados.
P4.2. La Contaminación del aire según el origen del contaminante puede ser antropogénica: vehículos,
industrias, generación de electricidad y transportes aéreos.
Nos referimos a contaminación antropogénica cuando es realizada por actividades humanas, como
consecuencia el crecimiento de las ciudades, sistemas de producción de energía, industrias y transporte que
son los causantes mayoritarios de la contaminación del aire. A continuación detallaremos los problemas que
causan las principales actividades contaminantes:
VEHÍCULOS: La mayor contaminación atmosférica es causada por los vehículos que utilizan hidrocarburos
de baja calidad, según la Dirección Nacional de Hidrocarburos del Ecuador. Por ejemplo, la cantidad de azufre
que tiene el diesel en nuestro país es diez veces mayor a la que toleran las normas en Estados Unidos. Aunque
al menos estos combustibles ya no contienen plomo. Solo en Quito se consumen anualmente seis millones de
barriles de combustibles, lo cual significa una contaminación de 150 000 toneladas de desechos. Mientras que
en Guayaquil se arrojan 104 000 toneladas de desechos tóxicos por año.
La tasa de crecimiento del parque automotor en el Ecuador es de 9,8 % al año. En el 2009 se contabilizó en
Quito una circulación de 400 000 vehículos privados.
INDUSTRIAS: Muchas ciudades del país conviven junto a fábricas y otras industrias que eliminan gases
nocivos. Esta cercanía ha ocurrido debido al incumplimiento de leyes que prohíben a las industrias su
instalación próxima a los centros poblados y al crecimiento de las ciudades, lo cual trae como resultado que
los sitios antes periféricos hoy estén en medio de las ciudades. Las industrias son generadoras de todos los
contaminantes específicos estudiados, también pueden eliminarse otros contaminantes como metales
pesados y otras sustancias tóxicas, dependiendo del tipo de industria, todos los contaminantes de las
industrias son causantes de la lluvia ácida y el calentamiento global.
GENERACIÓN DE ELECTRICIDAD: Las plantas hidroeléctricas emiten partículas suspendidas producto de los
motores de combustión, además de los gases ya citados.
APLICACIÓN
Como aplicación para el bloque de Contaminación del aire se realizara el experimento del EFECTO
INVERNADERO, realizando un pequeño invernadero que demuestre como concentra el calor.
El experimento se realiza uno por todos los niveles de noveno de básica de la institución, cada uno colaborará
con una planta. Los demás materiales requeridos serán pedidos dividendo por cursos.
Objetivo: Constatar el incremento de temperatura existente en el invernadero al no dejar escapar el CO2 que
producen las plantas.
Estudiantes: Noveno de Básica Altruistas, Audaces y Auténticos.
Materiales:
Plantas de diferentes tipos.
Plástico 10m
8 palos 5m
25 clavos
BLOQUE 5: FUENTES
DE AGUA
AL FINALIZAR ESTE BLOQUE SERÉ COMPETENTE PARA:
1.-Reconocer la relevancia del uso de fuentes de aguas superficiales y
subterráneas como una solución alternativa del abastecimiento de agua para
consumo humano,
Conceptualizando las fuentes de agua como recurso natural.
Enunciando las fuentes de agua superficiales y subterráneas con su respectivo uso.
Analizando experiencias, investigaciones bibliográficas y modelos experimentales de
las fuentes del agua.
2.-Relacionar la formación de suelos con los mecanismos de transporte y
modelado hídrico e identificación de las características en la composición que
presenta este recurso natural.
Describiendo la influencia del ciclo hídrico en la formación y composición de los
suelos.
Explicando la importancia del ciclo hídrico para la reposición de las aguas
superficiales y subterráneas.
3.-Analizar la influencia de la cuenca del Pacífico y la cuenca Amazónica en la
biodiversidad de la región, desde la información obtenida de diversas fuentes y
la interpretación de mapas biogeográficos, hidrográficos y físicos.
Explicando la influencia de la cuenca del Pacífico y Amazónico en la biodiversidad de
nuestro país.
PRE-REQUISITO: AGUA
APREHENDIZAJES: Proposiciones del concepto «Fuentes de Agua»
RECURSOS: Láminas del ciclo del agua, libro Curtis Biología Naturaleza Viva 10 Ciencias Naturales
Norma, internet, videos de la contaminación del agua.
MOTIVACIÓN
ACTIVIDAD RETO: Como actividad reto escucharemos el programa de la EMAAP sobre el
agotamiento del agua y observaremos un video que demuestra el problema actual del planeta,
sobre la cantidad de agua que existe y qué sucede con el agua contaminada que no es apta para
el consumo humano, para entender la importancia del agua y la problemática que estamos
viviendo por su escases, para de esta manera los chicos se encuentren interesados en conocer
las fuentes de agua que existen y su uso.
PREGUNTAS AFECTIVAS: Después de esta actividad y su retroalimentación en el aula, se
realizaran las siguientes preguntas afectivas:
• ¿Existe una cantidad ilimitada de agua en el planeta?
• ¿Les parece importante cuidar el agua que existe para el consumo humano?
• ¿Cuál es la importancia del agua para la vida?
• ¿Cuál es la importancia del agua para el ser humano?
• ¿Podríamos vivir sin agua?
• ¿Les parece importante conocer como se encuentra el agua de consumo humano en nuestro
planeta?
ARGUMENTOS: Es importante que conozcamos la utilidad del agua en nuestra vida diaria, la
utilizamos desde que nos despertamos hasta que nos vamos a acostar, es el elemento vital de la
vida e influye indudablemente en los ecosistemas, las cuencas hidrográficos se encargar del
modelado del suelo, obtenemos de estas el agua para el uso diario, y es necesario mencionar
que actualmente utilizamos la fuerza del agua para la obtención de energía limpia en nuestro
país, así que debemos conocer los lugares o las fuentes de donde obtenemos el agua, elemento
indispensable para mantener la vida en el planeta, el mismo que no es inagotable y lo debemos
aprender a cuidar, si queremos disfrutar de este recurso por más tiempo.
PRE – REQUISITO : El agua
¿Qué es la Hidrología?
Esta palabra proviene del griego hydor que significa “agua”. Es una ciencia dedicada al estudio de
diferentes aspectos de las interrelaciones del agua con su ambiente en la Tierra:
la hidrología se concentra básicamente en las interrelaciones de las aguas superficiales con su
ambiente. Así, divide el estudio de los diversos fenómenos en varias disciplinas:
Hidrometeorología Se concentra en el agua localizada en la capa inferior de la atmósfera.
Hidrometría Se encarga de las mediciones del agua superficial, especialmente precipitación.
Hidrografía Descripción y realización de mapas de los grandes cuerpos de agua como lagos,
mares y océanos.
¿Qué es la Geohidrología?
Esta es una ciencia relativamente nueva que se deriva de la Hidrología. La raíz griega geo significa
“tierra”, por tanto, la Geohidrología se refiere al estudio del agua en la tierra, es decir, al estudio
de aguas subterránea que existen en el planeta.
Se realiza con el objetivo de conocer cuál es su ubicación en el planeta y las formas de
aprovecharla sin causar daños en el ambiente.
•Un ejemplo del proceso que aplica la Geohidrología es cuando se busca un terreno para el
cultivo de plantas alimenticias. Éste debe ser rico en recursos y tener un abastecimiento
constante de agua. Entonces, los geohidrólogos efectúan estudios para determinar la presencia
de corrientes subterráneas y el mejor lugar para construir un pozo que permita aprovechar el
agua.
Ejercicio en clase: Observa el siguiente gráfico y escribe 5 razones de porque es tan importante el
agua en nuestras vidas.
PRE – REQUISITO: EL AGUA
El agua como un recurso vital más que un recurso natural, ya que es el elemento responsable de la vida en
nuestro planeta. El agua es fundamental tanto para los seres vivos como para los ecosistemas. El mundo, tal
como lo conocemos, no podría existir sin la presencia de este líquido.
Propiedades del Agua
•Transparencia.- al ser un líquido translúcido, permite el paso de los rayos solares esenciales para que las
plantas realicen la fotosíntesis.
•Elevado calor específico.- es la capacidad del agua de mantener su temperatura constante. Así, el agua de
ríos, mares y lagos no experimentan cambios bruscos de temperatura que podrían afectar a los seres vivos.
•Solubilidad.- es un disolvente universal que permite que los nutrientes y algunos gases como el O2 y CO2
estén disueltos en ésta y, a su vez, disponibles para que los seres vivos los puedan utilizar.
•Cohesión.- es la capacidad de mantener sus moléculas fuertemente unidas, lo cual facilita a los insectos
desplazarse sobre el agua para depositar sus huevos o que las aves pueden flotar para pescar, etcétera. La
fuerza de cohesión también es utilizada por el sistema vascular de las plantas, para que el agua ascienda desde
la raíz hasta todas las estructuras como las ramas y sus hojas. El xilema es el conducto por donde se transporta
el agua y los minerales.
Importancia del agua para la vida: Todas las investigaciones apuntan a que la vida en la Tierra se originó en el
agua. Además, los organismos que hemos evolucionado hacia una forma de vida terrestre seguimos
dependiendo de este líquido desde nuestra concepción. El agua conforma más del 80 % del cuerpo de casi
todos los seres vivos, y toma parte de las reacciones metabólicas que estos realizan, entre ellas la fotosíntesis
en los vegetales. El agua es el hábitat de un gran número de organismos en estado larvario y/o adulto.
Importancia del agua para el ser humano: el ser humano utiliza el agua para todas sus actividades diarias
como son: recreativas, agricultura y ganadería, limpieza, riego, doméstico, como vías de comunicación, fuente
de energía, industrias, para realizar deportes, entre otros.
CICLO DEL AGUA
Es el movimiento constante del agua a través de los océanos, de la superficie terrestre y de la atmósfera.
Comienza cuando la radiación del sol evapora el agua líquida, es decir, la convierte en vapor de agua, y luego
ésta asciende a la atmósfera desde la superficie terrestre. Cerca del 85 % del agua evaporada proviene de la
superficie de los océanos; también se evapora desde los suelos, los lagos y los ríos.
La condensación y la precipitación permiten que el agua evaporada regrese a la superficie en forma de lluvia,
de granizo o de nieve. La condensación es el cambio de estado de vapor de agua a agua líquida, y es el
fenómeno que forma las nubes, la niebla, el rocío, entre otros.
Cuando el agua se condensa y se aglomera lo suficiente en una nube como para formar una gota, ésta se
precipita, es decir, cae a la superficie por acción de la fuerza de gravedad. Cerca del 80 % del agua evaporada
se precipita directamente sobre los océanos. Una pequeña parte del agua es llevada por los vientos y se
precipita sobre el suelo o los cuerpos de agua de los continentes o de las Islas, llamada escorrentía superficial y
Otra parte del agua de lluvia se infiltra y llega al océano a través de la escorrentía subterránea.
Así, el ciclo del agua se inicia otra vez. Los organismos también contribuyen en el ciclo del agua mediante la
transpiración de las hojas de las plantas y la sudoración de los animales. En las selvas tropicales, como la del
Amazonas, la transpiración de las plantas aporta más del 80 % del agua evaporada que luego cae en forma de
lluvia.
EJERCICIO EN CLASE N°1:
1) Contesta las siguientes preguntas:
• ¿Qué es el agua?
• ¿Cuáles son las propiedades del agua? Explica cada una.
• ¿Cuál es la importancia del agua para la vida?
• ¿Cuál es la importancia del agua para el ser humano?
• ¿Qué es el ciclo del agua?
2) Resuma el ciclo del agua
TAREA N°1:
Investiga el Ciclo del agua, en tu cuaderno, dibuja o pega este ciclo e indica su importancia para los seres vivos.
Fuentes de Recursos
Naturales
Fuentes de calor
Fuentes de suelo
FUENTES DE
AGUA
Según el recorrido de la fuente
Fuentes de Agua Superficiales Fuentes de Agua Subterránea
•Medio de obtención del agua.
•Influyen en la formación del suelo mediante
el modelado hídrico.
PAQUETE PROPOSICIONAL
P1.-Toda fuente de agua es una fuente de recurso natural.
P2.1 Las fuentes de agua son el medio de donde obtenemos el agua .
P2.2.- Las fuentes de agua influye en la formación del suelo mediante el modela hídrico.
P3.1 Ninguna fuente de agua es fuente de calor ni suelo.
P4.1.- Las fuentes de agua según su recorrido se clasifican en Fuentes de agua superficiales.
P4.2.- Las fuentes de agua según su recorrido se clasifican en Fuentes de agua subterránea.
Aprehendizaje: Fuentes de agua
ANÁLISIS PROPOSICIONAL: FUENTES DE AGUA
P. definitoria.- Las fuentes de agua son fuentes de recursos naturales que son el medio de donde
obtenemos el agua.
Definición de términos
Fuente: lugar o medio del cual obtenemos un recurso.
Argumentación:
Porque las fuentes de agua son el medio de donde obtenemos al agua, que es un recurso natural
de vital importancia para el ecosistema, los seres vivos y, en especial los seres humanos.
EJERCICIO EN CLASE: Realiza un silogismo con los siguientes términos: Fuentes de agua, fuentes de
recurso natural y medio de donde se obtiene el agua.
P2.2.- Las fuentes de agua influyen en la formación del suelo mediante el modelado hídrico.
Definición de términos:
Modelo exógeno: __________________________________________________________________
_________________________________________________________________________________
Argumentación:
El modelado de la superficie terrestre ocurre como resultado de dos fuerzas: la tectónica de placas,
la cual ha creado y destruido continentes, y a la vez generado grandes cadenas montañosas.
La segunda fuerza es la del sol, cuya poderosa energía provoca el movimiento de dos capas de
fluidos en la Tierra: el agua y el aire. Ambos tienen la fuerza para modificar el relieve del planeta.
La erosión, el transporte y la sedimentación que realiza el agua con el material litosférico, da forma
al suelo y está directamente relacionado con los eventos del ciclo hidrológico, esto se conoce como
erosión hídrica o modelado hídrico.
Proceso de la erosión hídrica o modela hídrico:
Para hablar de este proceso, debemos analizar los tres tramos en los cuales se dividen los cauces de
agua que intervienen en el modelado hídrico:
1. Curso alto. Corresponde a las montañas donde se da el nacimiento de los cauces. Aquí el agua, el
hielo y el viento desgastan la roca, removiendo sus materiales que, posteriormente, serán
transportados río abajo gracias a la fuerza de gravedad producida en la inclinación de las laderas.
2. Curso medio. Implica las zonas donde se tiende a lograr un equilibrio entre la erosión y la
deposición de materiales. Esto ocurre porque la pendiente es menor y la erosión también, lo cual
permite depositar una parte del material, mientras que la otra sigue transportándose. Es por esto,
entre otros actores climáticos, que estas zonas tienen mayor cantidad de vegetación porque
presentan mayor espesor de suelo.
3. Curso bajo. Relacionado con los sectores que están cerca de la desembocadura del río. Puede ser
el océano, un lago o laguna. Aquí la pendiente será aún menor y, por tanto, la erosión también. El
proceso dominante es la sedimentación del material arrastrad desde los cursos alto y medio.
En el modelado del suelo interviene el agua, por sus mecanismos de transporte (aluviones ) que
intervienen en la formación del suelo.
Mecanismos de transporte del agua: aluviones y formación de suelos
¿Qué es un aluvión?
Se conoce como aluvión al deslizamiento de volúmenes grandes de agua, como principal elemento,
además de hielo, rocas, tierra y árboles.
Formación de suelos por aluviones
Los aluviones se producen por la saturación de agua en el suelo debido a cuatro eventos principales:
Crecida de los ríos, sobre todo si están en una pendiente con inclinación.
La ruptura de una represa o dique.
Erupciones volcánicas
Terremotos
Deshielos repentinos
Las grandes masas de agua y material se mueven generalmente a alta velocidad por varios
kilómetros, a través de los cuales siguen atrapando material.
En el caso de la región Andina, existe una larga historia de aluviones debido a las altitudes
de las cumbres de los nevados y montañas. Se originan cuando la nieve se derrite y por la
fuerza de la gravedad se deslizan hacia las zonas más bajas, aumentando así su masa
porque arrastran piedras y materia vegetal.
Si un aluvión sucede en un descampado, no existe ningún peligro. Pero cuando se da en
poblaciones es peligroso, ya que es un evento que ocurre sin ningún aviso. Este fenómeno
causa mucha destrucción, pues no hay manera de detenerlo y va con tanta fuerza que
se lleva todo a su paso: casas, postes, autos, animales, etcétera.
Un ejemplo de estos acontecimientos es el aluvión ocurrido en 2006 por la erupción del
volcán Tungurahua. Los flujos de lava con lodo bajaron por las laderas del volcán
llevándose todo a su paso, incluida la carretera Baños-Riobamba, que hasta este momento
permanece inhabilitada. No se ha realizado su reconstrucción pues se presume que nuevos
aluviones podrían bajar por los mismos sitios, ya que el Tungurahua continúa siendo un
volcán activo.
EJERCICIO EN CLASE:
1. ¿Cómo se da el modela hídrico del suelo?
2. ¿Qué son los aluviones?
3. ¿Cómo influyen los aluviones en la formación del suelo?
4. ¿Cuáles son los cauces que intervienen en el modelado hídrico?
5. ¿Cuáles son las 2 fuerzas que intervienen en la formación de la superficie terrestre?
TAREA: Investiga en una hoja el sobre el modelado hídrico del suelo.
TRABAJO GRUPAL: De la investigación realiza un cuadro de resumen en grupo de 5 personas.
P4.1.-Las fuentes de agua según el recorrido de la fuente pueden ser fuentes de agua superficial.
Definición de términos:
Cuenca hidrográfica: Es el territorio donde el agua fluye al mar a través de cauces secundarios
que convergen en un cauce único principal.
Argumentación:
El agua superficial corresponden a los ríos, lagos, lagunas, embalses y mares. Estos cuerpos de
agua son de vital importancia tanto para los ecosistemas como para la economía humana. Estas
fuentes de agua constituyen vías de navegación, generan electricidad, son centros de diversión,
intervienen en la producción piscícola, proveen de agua potable y otros servicios para el ser
humano y los seres vivos de todos los ecosistemas. No es casualidad que en la historia humana se
hayan construido grandes ciudades a las orillas de ríos y mares.
En las fuentes de agua superficial ocurre la evaporación del agua que sube a la atmósfera, se
condensa configurando las nubes y vuelve a bajar en forma de lluvia. Una parte del agua cae en
lagos, ríos y mares, y otra gran parte se precipita directamente sobre la tierra, en donde puede
escurrirse nuevamente hacia los cuerpos de agua o infiltrarse y llegar al manto acuífero
subterráneo.
LAS VERTIENTES DEL PACÍFICO QUE NACEN EN LA CORDILLERA DE LOS ANDES SON EJEMPLOS DE
AGUAS SUPERFICIALES EN ECCUADOR
 CUENCA HIDROGRÁFICA DEL PACÍFICO
Es el conjunto de todas las vertientes que desembocan en el océano Pacífico. Esta cuenca es la
más grande del planeta, pues recibe las aguas del perfil oeste de América y del oriente de Asia. En
esta unidad nos concentraremos únicamente en las vertientes que nacen en la cordillera de los
Andes. Como sabes, la cordillera de los Andes es una cadena montañosa que atraviesa Chile,
Argentina, Bolivia, Perú, Ecuador, Colombia y parte de Venezuela. Al ser la segunda cordillera más
alta del mundo, es un lugar muy importante para el ciclo del agua del continente y del planeta.
Esto ocurre debido a que el vapor del agua que sube del bosque húmedo tropical se condensa en
el frío de los páramos, dando lugar a precipitaciones que originan lagunas y ríos que desembocan
a la Amazonia o al Pacífico. Una parte del agua se queda en las cimas de las montañas y volcanes
más altos, como hielo y nieve. Estos ríos en su recorrido atraviesan ciudades, bosques y campos,
los cuales aprovechan el agua para el riego de cultivos, y las actividades de los animales y
personas.
En las zonas aún boscosas, las especies endémicas de flora y fauna dependen de esta irrigación
para su supervivencia. Los ríos que desembocan en el Pacífico son cortos y torrenciales, no aptos
para la navegación. Esto sucede porque en su trayectoria desde los Andes deben recorrer un gran
desnivel. Existe una veintena de ríos grandes que desembocan en el Pacífico. Entre los más
importantes están Guayas, Santa y Biobío. Estos han permitido la actividad agrícola durante siglos
en Sudamérica.
Los principales ríos del Ecuador que desembocan en la cuenca del Pacífico son Chota, Esmeraldas,
Guayas, Jubones y Macará.
 CUENCA HIDROGRÁFICA AMAZÓNICA
La cuenca Amazónica es la mayor selva pluvial del planeta. Cubre aproximadamente 7 millones de
kilómetros cuadrados, lo cual equivale al 40 % del territorio de América del Sur. Esta selva recibe
una precipitación anual que oscila entre 2 000 y 3 000 mm, una de las más altas del mundo.
•Los ríos más importantes de esta cuenca son: Amazonas, Negro, Purus, Madeira
Tapajos y Xingu.
•Los principales ríos ecuatorianos que alimentan esta cuenca son Putumayo, Napo,
Tigre, Pastaza y Santiago.
Influencia de la cuenca del Pacífico y la cuenca Amazónica en la biodiversidad de la
región
Como recordarás, en la costa occidental de América del Sur se ubica la biorregión del Chocó, uno
de los “hot spots” de biodiversidad del mundo. Esta región presenta una gran variedad y
endemismo de flora y fauna debido a los microsistemas y microclimas que se forman gracias a las
quebradas, valles, ríos, lagunas y otros.
En la cuenca del Amazonas se localiza la cuarta parte de todas las especies del planeta, es decir,
más que en cualquier parte del mundo.
Esta biodiversidad depende en gran medida del agua, ya que a causa de las altas temperaturas que
se registran, las plantas transpiran en gran cantidad y necesitan recuperar el agua perdida.
Hay un gran número de especies vegetales que dependen de las inundaciones periódicas que
transportan los nutrientes de un sitio a otro de la selva. Además, hay que recordar que el río
Amazonas y sus afluentes, lagos y lagunas, son el hábitat de diversas especies de vertebrados e
invertebrados de agua dulce.
EJERCICIO EN CLASE:
1) ¿Qué son las fuentes de agua superficial?
2) ¿Qué usos damos al agua superficial?
3) ¿Qué es la evaporación?
4) ¿Qué es una cuenca hidrográfica?
5) ¿Cuál es la importancia de la cuenca del Pacífico?
6) ¿Cuál es la importancia de la cuenca del Amazonas?
7) Realiza un cuadro comparativo entre la cuenca hidrográfica del Pacífico y del Amazonas.
8) En un organigrama indica los ríos del Ecuador que se encuentran formando las cuencas
estudiadas.
9) ¿Cuál es la influencia de las cuencas estudiadas sobre la biodiversidad de la región Neotropical
y en especial Ecuador?
10) Escribe un ensayo con el tema: Importancia de las cuencas hidrográficas para la biodiversidad.
TAREA: En un mapa de América del Sur pinta de azul la cuenca del Pacífico y de rojo la del
Amazonas.
P4.2.-Las fuentes de agua según el recorrido de la fuente pueden ser fuentes de agua subterránea.
Definición de términos:
Subterráneo: ubicado debajo del suelo.
Capa freática: es la primera capa de agua subterránea que se encuentra al realizar una perforación en un terreno.
Argumentación:
El agua subterránea es aquella que se infiltra a través del suelo hasta llegar al material rocoso que está
saturado de agua, se mueve lentamente hacia los niveles más bajos, debido a la fuerza de gravedad que
“hala” el agua hacia abajo, eventualmente, llega a los ríos, lagos, mares, etcétera.
El suelo está saturado de agua bajo la capa freática, debido a que el agua llena los espacios de las rocas
porosas y las grietas existentes entre ellas. Debajo de esta roca puede haber otro tipo de roca más
denso o suelo como el arcilloso que impide el paso del agua hacia abajo. Esto impide que el agua baje y
se mueva de manera vertical. A continuación detallaremos algunos aspectos sobre el agua subterránea:
CALIDAD DEL AGUA SUBTERRÁNEA:
A pesar de que la tierra actúa como un excelente filtro de partículas grandes como insectos, hojas y
abono, el agua subterránea puede contener sustancias químicas y gases disueltos. Estos contaminantes
llegan de desechos domésticos, industriales y de la agricultura. Esta última ocupa grandes cantidades de
plaguicidas y herbicidas que bajan a las aguas subterráneas debido a que el agua es un gran disolvente.
En las áreas rurales el problema más común es la contaminación ocasionada por la infiltración de los
pozos sépticos hacia el agua subterránea. Estos pozos se utilizan para desalojar las aguas servidas, pues
hay muchos lugares del área rural que no cuentan con alcantarillado
USOS Y ABUSOS DEL AGUA SUBTERRÁNEA:
Desde la antigüedad, las personas cavaban pozos para extraer el agua subterránea. El fluido del líquido
de estos pozos podía durar corto tiempo o muchos años, dependiendo de si la roca porosa recibía o no
agua de precipitación.
Estos pozos fueron y son muy importantes para la vida humana en lugares donde el suministro de agua
superficial es escaso, como por ejemplo en los desiertos. Esta agua se ha utilizado para el consumo
humano, la irrigación de campos de cultivo y para el
ganado. Antes se extraía con la ayuda de las manos y las palas, pero en la actualidad se emplean
modernos taladros.
Cuando se extrae intensivamente el agua subterránea, puede irse vaciando el acuífero lo que trae como
consecuencia, en varios lugares, el hundimiento de la tierra donde estaba el agua. Un ejemplo muy
conocido es el de la Catedral de la ciudad de México. Este monumento histórico está ubicado sobre un
antiguo acuífero que se ha ido secando debido a su uso extensivo. Esto ha causado que la Catedral se
hunda a una velocidad de 46 cm por año. De hecho, los datos muestran que toda la ciudad de México se
ha hundido 10 m en los últimos 100 años.
LUGARES DE LA TIERRA DONDE SE ENCUENTRA AGUA SUBTERRÁNEA:
En las últimas décadas se ha incrementado el interés en el agua subterránea, en vista a los problemas
que se está enfrentando con el agua superficial debido a su contaminación y escasez.
El mapa muestra una visión general de la ubicación de las aguas subterráneas en el planeta.
MAPA PÁG 101
Ejercicio en clase:
1) ¿Qué es el agua subterránea?
2) ¿Cómo se encuentra de calidad el agua subterránea actualmente?
3) ¿Cómo se ha utilizado a través del tiempo el agua subterránea?
4) Realiza un silogismo válido con los siguientes términos: FUENTES DE AGUA, FUENTES DE AGUA
SUBTERRÁNEA, FUENTES DE AGUA SUERFICIAL.
AUTOEVALUACIÓN DEL LIBRO PÁG 111.
APLICACIÓN
Como aplicación para el bloque de Fuentes de agua se realizara una maqueta donde se observe las fuentes de
agua superficiales y subterráneas, además el modelo hídrico que moldea al suelo.
La maqueta será realizada por cada estudiante con los materiales que cada uno prefiera, y debe ser expuesta
para los compañeros de la clase.

Guia didactica

  • 1.
    PONTIFICIA UNICERSIDAD CATÓLICADEL ECUADOR FACULTAD DE CIENCIAS DE LA EDUCACIÓN MODALIDAD SEMIPRESENCIAL CARRERA: INICAL BÁSICA Y BACHILLERATO MATERIA: INFORMÁTICA APLICADA A LA EDUCACIÓN Guía didáctica de Ciencias Naturales de Noveno Año Roxana Bonilla Rocío Núñez 25-04-2014
  • 2.
    BLOQUE 1: Biorregiones ALFINALIZAR ESTA UNIDAD SERÉ COMPETENTE PARA: 1.- Relacionar el origen de las Biorregiones del Planeta Tierra con el movimiento de las Placas Tectónicas. Explicando la influencia de los procesos geológicos internos sobre la superficie terrestre, para la formación de la estructura de la Tierra. 2.- Diferenciar las características y componentes de todas las Biorregiones del mundo. Contrastando características entre cada Biorregión del mundo.  Interpretando gráficos y la descripción de cada Biorregión. Definiendo y reconociendo los endemismos de cada Biorregión del mundo. 3.- Reconocer la importancia de la ubicación geográfica del Ecuador en la Biorregión Neotropical como factor determinante para su biodiversidad. Explicando la influencia de la ubicación geográfica en las características particulares que presentan las ecozonas. Interpretando mapas y descripciones , así como las relaciones de la flora y fauna en la Biorregión Neotropical. Comparando las características geográficas y ambientales del Corredor del Chocó y su biodiversidad. 4.-Valorar la importancia de la conservación y el manejo sustentable de la biodiversidad representativa de las regiones del Ecuador. Conociendo el manejo sustentable para el cuidado de la riqueza de la Biorregión Neotropical. Reconociendo cada cuidado que necesita la flora y fauna endémica del corredor del Chocó. Proponiendo acciones para mantener la biodiversidad y estimular el desarrollo del país. PRE-REQUISITO: Placas Tectónicas APREHENDIZAJES: Proposiciones del concepto Biorregión RECURSOS: Libro Curtis Biología, Naturaleza Viva 10 Ciencias Naturales Norma, pinturas, plastilina, cartulinas, tijeras, mapamundi, videos sobre los endemismos del corredor Chocó.
  • 3.
    PLACAS TECTÓNICAS Componente de la Corteza -Fracturas Tectónicas •Son fragmentos de Litósfera formados por magma solidificado. •Poseen interacciones: divergencia, convergencia y falla transformante. •Se desplazan por la astenósfera: vulcanismo, orogénesis, sismicidad. •Se estudia en la base a la teoría de la tectónica de placas. Placas Principales o Continentales Microplacas Placas Secundarias o Medianas o Menores PRE-REQUISITO: TEORÍA DE LA TECTÓNICA DE PLACAS • Sudamericana • Norteamericana • Euroasiática • Indoaustraliana • Antártica • Pacífica • Africana •Cocos •Nazca •Filipina •Arábiga •Escocesa •Del Caribe MOTIVACIÓN: ACTIVIDAD RETO: Como actividad de motivación se realizará el mapamundi de las Biorregiones en un pliego de cartulina, donde ubicaremos cada una de las Biorregiones con papel brillante de diferente color hasta formar el mapamundi. Dentro de cada Biorregión pegaremos a modo de collage la flora y fauna específica y representativa de cada una, con láminas de animales y plantas correspondientes a cada Biorregión. De esta manera los chicos se interesarán en saber cómo se formaron las mencionadas Biorregiones para obtener la biodiversidad tan diferenciada de cada uno; se hará un énfasis especial en la Biorregión Neotropical donde ubicaremos a Ecuador y las especies endémicas de nuestro país. PREGUNTAS AFECTIVAS: Después de esta actividad y comprendiendo la gran biodiversidad y especies específicas de cada Biorregión: • ¿Valoran la importancia de conocer cómo se forma esa diversidad tan diferenciada? • ¿Por qué se ha dado tanta diversificación entre cada Biorregión? • ¿Qué sucede con el Ecuador al estar ubicado en la Biorregión Neotropical? ¿Influirá en nuestra riqueza en cuanto flora y fauna? ARGUMENTOS: Conocer las Biorregiones y su formación nos ayuda a comprender la riqueza en de especies, tanto de flora como fauna. Además para poder cuidar algo necesitamos conocerlo, saber qué debo cuidar y cómo hacerlo, por eso es necesario primero conocer la diversidad de cada Biorregión y en especial de la Neotropical que es donde se encuentra nuestro país, para así poder preservarla mediante un manejo sustentable que nos permitirá seguir disfrutando de tanta riqueza natural por mucho más tiempo. Según su tamaño •Egeo •Anatolia •Del Mar Negro
  • 4.
    Teoría de laTectónica de Placas La litósfera es la capa sólida más externa de la Tierra. Aunque es rígida, no forma un bloque único y compacto, sino que se encuentra dividida en grandes fragmentos llamados placas. Las placas están unidas unas con otras como si se tratara de un rompecabezas. Las placas tectónicas no son estáticas, se mueven constantemente, ya que se encuentran “flotando” sobre una capa más elástica del manto terrestre llamada astenósfera. Se desplazan a una velocidad de 5 a 10 cm por año, pero esto es imperceptible para nosotros debido al tamaño de las placas. La Teoría de la tectónica de placas revolucionó la geología al proponer que la corteza de la tierra está formada por placas en movimiento. Esta teoría explica que el calor del centro de la Tierra provoca celdas de convección en la astenósfera. En ciertas regiones, como en los dorsales marinos, el magma se eleva a la superficie, se enfría y forma una nueva litósfera que empuja a las placas tectónicas hacia los lados. Cuando dos placas se encuentran, una de ellas se desliza bajo la otra, provocando la subducción, fenómeno que genera un movimiento capaz de producir terremotos o formar montañas. NOTA: El movimiento de las Placas Tectónicas influyó en la formación de la cordillera de los Andes En el Oligoceno, el movimiento de las placas tectónicas produjo que las placas de Nazca y de Sudamérica se encontraran, provocando la subducción de la primera, lo cual produjo la elevación del terreno y una gran actividad volcánica y sísmica en nuestro continente. Esta elevación es lo que hoy conocemos como la Cordillera de los Andes, que determinó la actual configuración geográfica de nuestro territorio, dando origen a las tres grandes regiones: la Costa, de relieve plano, en la parte occidental de nuestro territorio; la Sierra conformada por la cordillera de los Andes, en la parte central; y la región Amazónica en la parte oriental. Definición de Términos: Convección: Forma de transferir calor entre zonas con diferentes temperaturas a través de un fluido. Oligoceno: es uno de los períodos geológicos que se llevo a cabo hace 37 millones de años, donde se produjeron importantes movimientos de placas tectónicas. TAREA: Consultar sobre el Movimiento de los continentes durante la Deriva Continental, realizar un resumen y pegar en el cuaderno junto con el gráfico. COPIA pág. 17
  • 5.
    APREHENDIZAJEs: Biorregión Paquete proposicional P1-Toda Biorregión es un nivel de organización externa de la materia viva. P2.1.- Toda biorregión es Territorio extenso con condiciones y factores ambientales desarrollada por el aislamiento mediante barreras naturales. P3.1.- Ninguna Biorregión es ecosistema ni bioma. P4.- Las Biorregiones según el movimiento de las placas tectónicas son: Antártica, Etiópica, Australiana, Oceánica, Neártica, Paleártica, Neotropical, Oriental. PROPOSICIÓN COMPLEMENTARIA PARA EL BUEN VIVIR PC: El cuidado de la biodiversidad del Ecuador se debe basar en el Desarrollo Sustentable. Niveles de 0rganización Externa de la Materia Viva - Bioma - Ecosistema •Territorio extenso con condiciones y factores ambientales desarrollada por el aislamiento mediante barreras naturales. Biorregión Según el movimiento de las placas tectónicas Antártica Neoártica Etiópica Peleártica Australiana Neotropical Oceánica Oriental MENTEFACTO CONCEPTUAL
  • 6.
    ANÁLISIS PROPOSICIONAL P1: TodaBiorregión es un nivel de organización externo de la materia viva. Argumentación: Ya que la materia viva se encuentra organizada según su complejidad en categorías. Son niveles externos porque están formados por la unión de individuos u organismos y los factores de la naturaleza. P2.1: Toda Biorregión es territorio con condiciones y factores ambientales desarrollada por el aislamiento mediante barreras naturales. Argumentación: La Biorregión es un espacio de la Tierra extenso formado por seres bióticos y abióticos, que se han originado desde la separación de Pangea durante la deriva continental; debido a esto se han formado barreras naturales como son los océanos, cordilleras, quebradas o cualquier tipo geográfico de aislamiento que han dado origen al desarrollo de las 8 Biorregiones del planeta cada una con sus factores ambientales y especies específicas. Estas representan patrones de distribución donde las plantas y los animales se desarrollaron en aislamiento durante largos períodos de tiempo debido al movimiento de las placas tectónicas. TAREA: Consultar cuales son las principales barreras naturales que causan aislamiento de las Biorregiones. Pegar un mapamundi de las Biorregiones. P3.1: Ninguna Biorregión es ecosistema ni bioma. Argumentación: La Biorregión , el ecosistema y el bioma son todos niveles de organización externo de la materia viva; sin embargo la Biorregión es más extensa que ambos y claramente delimitados por las barreras naturales; además se encuentra formado por el conjunto de varios ecosistemas y estos a su vez de biomas. TAREA: Investigar qué es ecosistema , bioma y Biorregión ( media carilla de cada uno). EJERCICIO EN CLASE: Realizar un cuadro comparativo investigando las principales diferencias de Biorregión, ecosistema o bioma. P4.1: Las Biorregiones según el movimiento de las placas tectónicas son: Antártica, Etiópica, Australiana, Oceánica, Neártica, Paleártica, Neotropical, Oriental. Debido al movimiento de los continentes durante la deriva continental, hace 225 millones de años hasta la actualidad, se han formado las 8 grandes regiones a nivel mundial que presentan patrones de distribución específicos de flora y fauna, debido al aislamiento producido y las barreras naturales formadas. A continuación revisaremos las principales características de cada biorregión: Copia cuadros página: 22, 23, 24, 25. EJERCICIO: Analiza el siguiente mentefacto de silogismo, extrae las premisas y conclusión. Biorregión EcosistemaBioma
  • 7.
    TAREA: Completa lasiguiente tabla resumen sobre las Biorregiones BIORREGIÓN Ubicación Superficie Característica Principal Fauna Flora TAREA: Completa la siguiente tabla resumen sobre las Biorregiones BIORREGIÓN Ubicación Superficie Característica Principal Fauna Flora
  • 8.
    P4.6: La Neotropicales una Biorregión. Argumentación: La Neotropical es una Biorregión que se ubica en Centro y Sudamérica y las Antillas ubicada sobre la placa tectónica Sudamericana y la de Nazca; su clima es muy variado desde regiones frías y otras cálidas, incluye los bosques tropicales más grandes del mundo. UBICACIÓN DEL ECUADOR EN LA BIORREGIÓN NEOTROPICAL Ecuador se ubica longitudinalmente desde 1º30`N hasta los 5º 5`S, y la parte continental entre las longitudes 75º20`O y 81ºO. Por su ubicación ecuatorial, el territorio marítimo de nuestro país constituye una zona de transición del Pacífico Este, en donde confluyen las aguas tropicales cálidas del norte y las subtropicales frías localizadas al sur. Además, las corrientes marinas de El Niño (cálidos) y de La Niña (fríos), que producen fluctuaciones naturales que influyen en el clima de la región. CORREDOR DEL CHOCÓ EL CORREDOR DEL CHOCÓ EN ECUADOR En Ecuador los bosques húmedos tropicales del Chocó se distribuyen principalmente en la provincia de Esmeraldas, aunque también se extienden hasta Manabí, Carchi, Imbabura y Pichincha. Pág. 27 libro CCNN 10 copia región chocó (ubicación del corredor en el gráfico y diversidad) CORREDOR DEL CHOCÓ Características Formado por bosque tropical húmedo y muy húmedo, se extiende al pie del monte donde se concentra el mayor nivel de endemismo. El nivel de endemismo es uno de los más altos de todos las regiones tropicales del mundo con elevada diversidad biológica . Ubicada en la Biorregión Neotropical , se encuentra comprendido entre el este de Panamá hasta el Cabo Pasado en Manabí (Ecuador). Atraviesa las costas del Océano Pacífico y gran parte de las estribaciones occidentales de los Andes donde se atrapa el aire húmedo de la Costa. Se extiende en una región de aproximadamente 192 000 Km2. Alta pluviosidad, con un promedio de 6000mm al año, influenciado por la corriente del Niño. En el país, la región del Chocó intenta ser preservada en las áreas protegidas: Reserva Ecológica Mache-Chindul, Reserva ecológica Cayapas- Mataje Reserva ecológica Cotacachi-Cayapas Reserva El Chontal, Reserva étnica Awá y el Bosque protector los Cedros. Que cubren el 12,5% del territorio del Chocó. EJERCICIO: Consultar un animal y una planta específico de cada Reserva y realizar un cuadro resumen. IMPORTANCIA DEL CORREDOR DEL CHOCÓ EN EL ECUADOR RIQUEZA CULTURAL: Tiene una gran riqueza cultural donde habitan 250 comunidades entre las que se encuentran las etnias: Chachi, Tsáchilas, Awa Tarea: Consultar las características de las siguientes etnias: Chachi, Tsáchilas y Awá. HOT SPOTS: Un hot spots es un punto caliente que debido a sus condiciones posee gran diversidad de especies. Estos surgen por la unión de ciertas placas tectónicas, que generan condiciones únicas para el desarrollo de gran cantidad de especies endémicas que habitan en un pequeño sector. Según Conservación Internacional, organismo que tiene como labor salvaguardar estos lugares, existen 34 puntos calientes de biodiversidad en el planeta, donde se concentran al menos la mitad de las especies de flora y fauna del mundo, sobretodo se destaca la diversidad y el endemismo de los anfibios en esta zona. Por lo que la destrucción de sus hábitats los pone en un peligro crítico de extinción. Esta región no solo posee una gran biodiversidad, sino que también mantiene la única selva lluviosa tropical continua del Pacífico sudamericano. Al mantener una alta pluviosidad, esta zona alimenta a algunos ríos importantes como los ríos Guayas y Esmeraldas. Tarea: Investiga y realiza un resumen sobre la Conservación Internacional y sus funciones.
  • 9.
    CORREDOR DEL CHOCÓ Características Formadopor bosque tropical húmedo y muy húmedo, se extiende al pie del monte donde se concentra el mayor nivel de endemismo. El nivel de endemismo es uno de los más altos de todos las regiones tropicales del mundo con elevada diversidad biológica . Ubicada en la Biorregión Neotropical , se encuentra comprendido entre el este de Panamá hasta el Cabo Pasado en Manabí (Ecuador). Atraviesa las costas del Océano Pacífico y gran parte de las estribaciones occidentales de los Andes donde se atrapa el aire húmedo de la Costa. Se extiende en una región de aproximadamente 192 000 Km2. Alta pluviosidad, con un promedio de 6000 mm al año, influenciado por la corriente del Niño. CORREDOR DEL CHOCÓ Características Formado por bosque tropical húmedo y muy húmedo, se extiende al pie del monte donde se concentra el mayor nivel de endemismo. El nivel de endemismo es uno de los más altos de todos las regiones tropicales del mundo con elevada diversidad biológica . Ubicada en la Biorregión Neotropical , se encuentra comprendido entre el este de Panamá hasta el Cabo Pasado en Manabí (Ecuador). Atraviesa las costas del Océano Pacífico y gran parte de las estribaciones occidentales de los Andes donde se atrapa el aire húmedo de la Costa. Se extiende en una región de aproximadamente 192 000 Km2. Alta pluviosidad, con un promedio de 6000 mm al año, influenciado por la corriente del Niño. CORREDOR DEL CHOCÓ Características Formado por bosque tropical húmedo y muy húmedo, se extiende al pie del monte donde se concentra el mayor nivel de endemismo. El nivel de endemismo es uno de los más altos de todos las regiones tropicales del mundo con elevada diversidad biológica . Ubicada en la Biorregión Neotropical , se encuentra comprendido entre el este de Panamá hasta el Cabo Pasado en Manabí (Ecuador). Atraviesa las costas del Océano Pacífico y gran parte de las estribaciones occidentales de los Andes donde se atrapa el aire húmedo de la Costa. Se extiende en una región de aproximadamente 192 000 Km2. Alta pluviosidad, con un promedio de 6000 mm al año, influenciado por la corriente del Niño. CORREDOR DEL CHOCÓ Características Formado por bosque tropical húmedo y muy húmedo, se extiende al pie del monte donde se concentra el mayor nivel de endemismo. El nivel de endemismo es uno de los más altos de todos las regiones tropicales del mundo con elevada diversidad biológica . Ubicada en la Biorregión Neotropical , se encuentra comprendido entre el este de Panamá hasta el Cabo Pasado en Manabí (Ecuador). Atraviesa las costas del Océano Pacífico y gran parte de las estribaciones occidentales de los Andes donde se atrapa el aire húmedo de la Costa. Se extiende en una región de aproximadamente 192 000 Km2. Alta pluviosidad, con un promedio de 6000 mm al año, influenciado por la corriente del Niño.
  • 10.
    TAREA: 1) Investigar cincoespecies de animales y cinco de plantas representativas del Chocó, realice un collage con las imágenes de cada uno y una característica esencial. 2) ¿Cuál es la diferencia entre las fronteras políticas y las fronteras naturales. 3) Investigue cuales factores están poniendo en riesgo las especies endémicas del Chocó. EJERCICIO EN CLASE: 1) Ubique en un mapa del continente americano todo el corredor del Chocó y escriba cuáles son los países por los que atraviesa esta zona tan importante. 2) Realiza un silogismo válido con los siguiente términos: Mayor: Biorregión, Tmenor: Ecosistema, y T medio: Biorregión Neotropical. TAREA: 1) Investigar cinco especies de animales y cinco de plantas representativas del Chocó, realice un collage con las imágenes de cada uno y una característica esencial. 2) ¿Cuál es la diferencia entre las fronteras políticas y las fronteras naturales. 3) Investigue cuales factores están poniendo en riesgo las especies endémicas del Chocó. EJERCICIO EN CLASE: 1) Ubique en un mapa del continente americano todo el corredor del Chocó y escriba cuáles son los países por los que atraviesa esta zona tan importante. 2) Realiza un silogismo válido con los siguiente términos: TMayor: Biorregión, Tmenor: Ecosistema, y T medio: Biorregión Neotropical. TAREA: 1) Investigar cinco especies de animales y cinco de plantas representativas del Chocó, realice un collage con las imágenes de cada uno y una característica esencial. 2) ¿Cuál es la diferencia entre las fronteras políticas y las fronteras naturales. 3) Investigue cuales factores están poniendo en riesgo las especies endémicas del Chocó. EJERCICIO EN CLASE: 1) Ubique en un mapa del continente americano todo el corredor del Chocó y escriba cuáles son los países por los que atraviesa esta zona tan importante. 2) Realiza un silogismo válido con los siguiente términos: Mayor: Biorregión, Menor: Ecosistema, y T medio: Biorregión Neotropical. TAREA: 1) Investigar cinco especies de animales y cinco de plantas representativas del Chocó, realice un collage con las imágenes de cada uno y una característica esencial. 2) ¿Cuál es la diferencia entre las fronteras políticas y las fronteras naturales. 3) Investigue cuales factores están poniendo en riesgo las especies endémicas del Chocó. EJERCICIO EN CLASE: 1) Ubique en un mapa del continente americano todo el corredor del Chocó y escriba cuáles son los países por los que atraviesa esta zona tan importante. 2) Realiza un silogismo válido con los siguiente términos: TMayor: Biorregión, Menor: Ecosistema, y T medio: Biorregión Neotropical.
  • 11.
    COMPLEMENTACIÓN PROPOSICIÓN COMPLEMENTARIA PARAEL BUEN VIVIR PC: El cuidado de la biodiversidad del Ecuador se debe basar en el Desarrollo Sustentable. Definición de términos: DESARROLLO SUSTENTABLE: uso de los recursos para satisfacer nuestras necesidades, sin comprometer la capacidad de las futuras generaciones para satisfacer las suyas. Argumentación: El ambiente y sus componentes son importantes al igual que las personas quienes ocupamos un lugar esencial ya que a la naturaleza la conformamos seres bióticos y abióticos interrelacionados. Sin embargo la influencia del Ser Humano en ella no ha sido del todo beneficiosa, ejemplo de esto es la contaminación y la sobreexplotación de los recursos. En 1987 se realizó el Informe Brundtland que analizó la situación del planeta y demostró que la forma de vida que se llevaba en ese momento estaba destruyendo el ambiente. Además, concluyeron que su destrucción conlleva más pobreza al quedarnos sin recursos y a la par, el número de habitantes de nuestro planeta sigue cada día incrementándose. De modo que empezaron a buscar una solución. Evidentemente, éste representaba un gran problema; por lo que se indicó que no se podía seguir con el crecimiento económico tradicional, sino que tendríamos que vivir bajo un nuevo modelo llamado “sustentable”. Este modelo tenía que permitir a la humanidad satisfacer sus necesidades, pero sin complicar la capacidad de las generaciones futuras para satisfacer las suyas propias. EJEMPLO: Imagina una fábrica que realiza actividades que contaminan mucho un sector de la ciudad, y no están haciendo nada para evitar que los químicos peligrosos que utilizan afecten a la naturaleza y a la gente que habitan en el lugar. Algunos individuos podrían pensar que la mejor solución es cerrar la fábrica. Pero esto dejaría a muchas familias sin trabajo. Así, esta zona se empobrecería y podría traer consigo hambre, enfermedades y más daño en el ambiente. Es entonces cuando el desarrollo sustentable busca una solución equilibrada que permita proteger a la naturaleza y también a las personas de esa comunidad. Principios de una sociedad sustentable Las personas protegen los sistemas naturales y se utilizan los recursos sabiamente. Las personas valoran el desarrollo adecuado y la satisfacción de las necesidades básicas para todos. Las personas y las naciones toman sus decisiones por medios justos y democráticos. La gente se preocupa por los demás y valora la justicia social y la paz. Copia 2 en 1 TAREA: 1) Investigue el Corredor de Conservación Chocó-Manabí del Ecuador, cuales son las medidas que ha tomado nuestro país para proteger esta zona rica en biodiversidad. ENTÉRATE: Ecuador ganó un premio por excelencia en manejo sustentable del turismo en mayo del 2009, otorgado por la organización internacional Rainforest Alliance, por proveer medios de vida sostenible, conservar la biodiversidad y minimizar los impactos ambientales. Gracias a estas iniciativas, mantienen su forma de vida tradicional a la vez que enseñan y comparten su maravilloso mundo.
  • 12.
    APLICACIÓN Como aplicación delBloque de Biorregión se creará un Reglamento Ambiental para el mantenimiento de la biodiversidad de la Biorregión Neotropical, especialmente por la ubicación del Corredor del Chocó. Para esto es necesario que los alumnos pongan en práctica sus conocimientos sobre la biodiversidad existente, investiguen acerca de la principal problemática que presenta esta Biorregión y propongan medios para protegerlo utilizando los conceptos de manejo sustentable. El Reglamento Ambiental debe ser presentado a manera de libreto con un mínimo de 3 páginas, con artículos definiendo la actividad que debe llevarse a cabo para el manejo sustentable. Después de realizar el reglamento general , realizaremos en grupo el Reglamento Ambiental Interno de la Institución, encaminado al Buen Vivir y aplicable inmediatamente.
  • 13.
    BLOQUE 2: contaminación delsuelo AL FINALIZAR ESTA UNIDAD SERÉ COMPETENTE PARA: 1.- Reconocer la influencia de las actividades que contaminan los suelos en las diversas regiones del país. Enunciado las actividades que generan contaminación del suelo. Interpretando gráficos, imágenes y documentos audiovisuales sobre la contaminación del suelo. Comparando datos obtenidos de diversas fuentes sobre la contaminación del suelo, 2.- Analizar los impactos ambientales antrópicos: explotación petrolera, minera y urbanización que influyen en el relieve de los suelos. Explicando los impactos que genera la explotación minera, petrolera y urbanización sobre el suelo- Enumerando las causas y consecuencias de cada tipo de contaminación del suelo. 3. Relacionar la importancia de las medidas de prevención: control, mitigación y remediación de los suelos y su influencia en la reducción del impacto ambiental. Definiendo cada medida de prevención para la contaminación del suelo. Comparando la reducción del impacto ambiental del suelo cuando se aplican medidas de prevención. PRE-REQUISITO: SUELO APREHENDIZAJES: Proposiciones del concepto Contaminación del Suelo RECURSOS: Libro Curtis Biología, Naturaleza Viva 10 Ciencias Naturales Norma, pinturas, plastilina, cartulinas, tijeras, mapas e imágenes sobre la contaminación del suelo, videos sobre la contaminación del suelo.
  • 14.
    MOTIVACIÓN: ACTIVIDAD RETO: Comoactividad reto observaremos dos videos sobre la contaminación del suelo; donde los jóvenes observen el problema que esta causando en la actualidad este tipo de contaminación al planeta Tierra y la población en general, las imágenes muestran de manera impactante la problemática y ayuda a concientizar sobre lo que estamos haciendo como seres humanos a la naturaleza y que es urgente que cambiemos nuestra manera de pensar y nuestras actitudes para colaborar con la disminución del impacto de los seres humanos sobre el suelo. Después de observar el video realizaremos una mesa redonda para debatir sobre las imágenes y las ideas sobre el video observado; todos los estudiantes deberán participar por lo menos una vez. Para finalizar se retroalimentara sobre lo comentado y los conceptos principales del video y se escribirá en el cuaderno un comentario personal sobre el video y su impacto para cada estudiante. PREGUNTAS AFECTIVAS: Después de esta actividad y comprendiendo la importancia del impacto que esta causando la contaminación del suelo: ¿Valoran la importancia de conocer como se de la contaminación de los suelos de mundo y del Ecuador para poder contrarrestarla? ¿Por qué se ha originado esta contaminación con mayor fuerza en los últimos años? ¿Qué sucede con los suelos cuando ya se encuentran totalmente contaminados? ¿Influye en nuestra vida cotidiana, en especial en la salud la contaminación del suelo? ¿Cómo podemos disminuir la contaminación del suelo? ¿Se puede contrarrestar los daños que ya han sido causados al suelo? Para lograr un cambio de los problemas de contaminación primero necesitamos entender que es la contaminación, cuál es su origen y como podemos disminuirla. ARGUMENTOS: Entender que es la contaminación ambiental y en especial la del suelo nos ayuda a valorar lo que ahora tenemos y comprender que las actividades humanas están dañando al suelo, acabando con el; sin darse cuenta que es el suelo es una parte fundamental de nuestra vida donde la llevamos acabo, que se encuentra dando origen a los ecosistemas terrestres y en especial a las plantas que son los principales organismos dentro de la cadena trófica, sino lo cuidamos y detenemos el deterioro que actualmente esta sufriendo, perderemos su productividad y las funciones que cumple dentro de los ecosistemas; por eso debemos recordar siempre que la naturaleza no es parte nuestra sino que los seres humanos somos parte de la naturaleza, no somos más que huéspedes dentro de ella, por lo tanto debemos tratarla con respeto, cuidado y sobre todo cariño ya que es el lugar que nos alberga a nosotros y nuestros seres queridos; cuidemos nuestro planeta no solo por nosotros sino por las generaciones futuras.
  • 15.
    PRE – REQUISITO:SUELO El suelo es la capa superficial de la Tierra, es un componente primordial de los ecosistemas terrestres, ya que contiene elementos vitales para los seres vivos como son el agua y los nutrientes. Además, es sobre el suelo que las plantas se anclan y de su composición depende el tipo de nutrientes que adquieren para su crecimiento. Así, del suelo depende el desarrollo de todos los ecosistemas, puesto que las plantas son el inicio de todas las cadenas y redes tróficas. FORMACIÓN DEL SUELO: La roca atraviesa un proceso de meteorización debido a la influencia de agentes meteorológicos: calor, frío, precipitaciones, oxidaciones, etcétera. Estos agentes provocan que la roca se vaya fragmentando, y esos fragmentos se mezclan con organismos muertos o en descomposición, heces, materia vegetal, bacterias, hongos y otros. Al pasar el tiempo, toda esta materia se estratifica y termina por formar lo que conocemos como suelo: COMPOSICIÓN DEL SUELO: Los suelos, según su composición química, se pueden dividir en orgánicos e inorgánicos. Las partículas de origen inorgánico son los minerales que representan el 50 % del total. Las dominantes son arena, arcilla y caliza. Mientras que en menor proporción se encuentran los hidróxidos de hierro, óxidos y sales. Las partículas de origen orgánico componen el 5 % del suelo. El 45 % restante está compuesto por aire y agua, dos elementos muy importantes, ya que permiten la infiltración y disolución de los demás compuestos a través de la arena del suelo. ESTRUCTURA DEL SUELO: La estructura vertical del suelo está formada por capas llamadas horizontes, los cuales tienen diversos tamaños. El conjunto de estos se denomina perfil del suelo. Horizonte A: Es el suelo superficial, de color oscuro por su alto contenido de humus y de materia orgánica, y presenta gran cantidad de raíces y de seres vivos. Horizonte B: Llamado también subsuelo. Su color es más claro porque no contiene humus. Es rico en arcillas y sales minerales. Contiene pocos seres vivos. Horizonte C: Corresponde al material parental o roca que se encuentra en diferentes grados de meteorización. La meteorización es el proceso de fragmentación de las rocas en partículas minerales que se genera debido a la acción de la humedad y la temperatura. TAREA: 1. Pega un gráfico de la estructura del suelo, señala cada uno de sus horizontes. 2. Consulta la definición de Suelo arenoso, arcilloso y calizo. 3. Investiga y detalla los pasos de la formación del suelo, resúmelos en un cuadro. 4.Realiza un ensayo sobre la “Importancia del suelo para los seres vivos” (mínimo 18 líneas) Meteorización Fragmentación Mezcla con materia orgánica Estratificación Suelo formado Propiedad Tipo de Suelo ARENOSO ARCILLOSO CALIZO Permeabilidad Alta Nula Media Almacenamiento de agua Poco Mucho Poco Aireación Buena Mala Buena Nutrientes Pocos Muchos Mucho calcio PROPIEDADES DEL SUELO SEGÚN SU COMPOSICIÓN
  • 16.
    CONTAMINACIÓN AMBIENTAL Contaminación del aire. Contaminación del agua. •Esla degradación del suelo por la presencia de agentes que afectan la calidad del mismo. •Provoca pérdida de productividad del suelo. •Tiene medidas de prevención, control, mitigación y remediación para la contaminación del suelo. APREHENDIZAJE: CONTAMINACIÓN DEL SUELO CONTAMINACIÓN DEL SUELO Según la actividad antropogénica. Contaminación del suelo por el petróleo Contaminación del suelo por la urbanización (Residuos Sólidos) Contaminación del suelo por la industrialización Contaminación del suelo por la agricultura Contaminación del suelo por la ganadería Contaminación del suelo por la minería PAQUETE PROPOSICIONAL P1.- La Contaminación del Suelo es contaminación ambiental. P2.1.-La Contaminación del Suelo es la degradación del suelo por la presencia de agentes que afectan la calidad del mismo. P2.2.-La Contaminación del Suelo provoca la pérdida de productividad del suelo. P2.3.-La Contaminación del Suelo tiene medidas de prevención, control, mitigación y remediación. P3.1.- La Contaminación del Suelo no es contaminación del agua ni del aire. P4.1.- La Contaminación del Suelo según la actividad antropogénica puede ser contaminación del suelo por la minería. P4.2.- La Contaminación del Suelo según la actividad antropogénica puede ser contaminación del suelo por el petróleo. P4.3.- La Contaminación del Suelo según la actividad antropogénica puede ser contaminación del suelo por la agricultura. P4.4.- La Contaminación del Suelo según la actividad antropogénica puede ser contaminación del suelo por la ganadería. P4.5.- La Contaminación del Suelo según la actividad antropogénica puede ser contaminación del suelo por la urbanización. P4.6.- La Contaminación del Suelo según la actividad antropogénica puede ser contaminación del suelo por la industrialización.
  • 17.
    ANÁLISIS PROPOSICIONAL P1 .Todacontaminación del suelo es contaminación ambiental. La contaminación ambiental es la alteración nociva del estado natural de un medio como consecuencia de la introducción de un agente totalmente ajeno a ese medio (contaminante), causando daño o malestar en un ecosistema. En el caso de la contaminación del suelo se encuentra afectando a los distintos horizontes del suelo, disminuyendo la productividad del mismo, lo que repercute como una consecuencia negativa para los seres humanos. P2.1. La contaminación del suelo es la degradación del suelo por la presencia de agentes que afectan la calidad del mismo. Definición de términos: Actividades antrópicas: Cualquier acción o intervención que el ser humano implementa sobre el planeta Tierra, por lo general provoca problemas ambientales. Argumentación: El suelo es considerado vital para los ecosistemas y el ser humano por contener agua y nutrientes que utilizan todos los seres vivos. Los horizontes y el relieve de los suelos se ve afectado de manera acelerada por agentes contaminantes que por lo general son sustancias que sobrepasan los niveles normales de los que se encuentran en la naturaleza y afectan negativamente al suelo; estos la mayoría de veces se producen por actividades antrópicas Una serie de actividades del ser humano, es decir antrópicas, como la producción de alimentos, la crianza de animales, la obtención de agua, petróleo, minerales, plantación de árboles, entre otras actividades, nos hace depender de él. En la actualidad, se considera que los problemas que deterioran la calidad de los suelos están directamente derivados del uso antrópico que hacemos de ellos. Se calcula que 2 000 millones de hectáreas de tierra firme están siendo degradadas en todos los continentes, por el uso que se les da para pastoreo, tierra de cultivos, crecimiento de las poblaciones, construcción de carreteras, minería , relleno sanitario y explotación petrolera. ¿Sabías que? P2.2. La Contaminación del Suelo provoca la pérdida de la productividad del suelo. Hablamos de productividad del suelo refiriéndonos a todas las actividades que podemos realizar con él y sobre él como son: asentamientos de poblaciones, cultivos, bosques y biodiversidad, ganadería, obtención de diversos recursos naturales como el petróleo, los alimentos vegetales, los minerales, entre otros; siendo estos ejemplos de productividad del suelo que benefician directamente a los humanos. Actualmente la erosión del suelo, la pérdida de bosques por talarlos y grandes tierras de cultivo sin los cuidados necesarios, reduce la capacidad de conservación de la humedad en los suelos, lo cual está comprometiendo la capacidad futura de producir alimentos y todos las demás actividades que nos permite realizar el suelo. Uno de los problemas principales que puede experimentar el suelo es la adición de una fase líquida, la cual es distinta a la producida por la lluvia, ya que contiene metales pesados. Estos contaminantes se acumulan en formas inestables y muy solubles, por lo cual están disponibles para las plantas y animales que pueden captarlos y sufrir efectos tóxicos. Además, en esta forma pueden contaminar las fuentes de agua, que van luego a regar campos, o sirven para el consumo humano o de ganado. Así pueden causar grandes perjuicios a la población. EJERCICIO DE APLICACIÓN: 1) Se requiere de un promedio de 500 años para la renovación de 2,5 cm de suelo. Calcula lo siguiente: Si se realiza una excavación de 3,8 m de profundidad, ¿cuánto tiempo tardará en regenerarse este suelo? 2) Realiza un mentefacto de silogismo válido con los siguientes términos, con las respectivas premisas: S: Degradación del suelo por actividades antrópicas P: Contaminación del suelo TM: Contaminación ambiental. TAREA: Investiga cada una de las actividades que provocan la pérdida de productividad del suelo, organízalas en un organigrama.
  • 18.
    P2.3.-La Contaminación delSuelo tiene medidas de prevención, control, mitigación y remediación de suelos. Debido a las evidencias de la grave contaminación que están sufriendo los suelos se ha creado una conciencia de sus efectos, se han ido desarrollando medidas de prevención, control, mitigación y remediación de suelos:  Medidas de prevención: en primer lugar, se debe minimizar la producción de residuos a través de cambios practicados en los productos y procesos industriales, cuidando los suelos antes de que sea demasiado tarde.  Medidas de control: otro paso a seguir es tomar medidas de aislamiento y control, a lo largo de los procesos productivos de todas las actividades industriales sospechosas de poder alterar las propiedades del suelo, así como en el almacenamiento y transporte de residuos.  Medidas de mitigación y remediación de suelos: una vez que se ha detectado la contaminación que esta sufriendo el suelo, se recurre a mitigar, es decir suspender dicha actividad e inmediatamente se remedia o restaura los daños causados, mediante distintos lavado del suelo hasta compostaje. TAREA: 1) ¿Cuál es la importancia del cuidado de los suelos en la actualidad? 2) ¿Cuándo es necesario realizar una remediación del suelo? 3) Consulta que tipos de remediación de suelo existen. 4) Consulta un ejemplo concreto donde se ha realizado remediación de suelo, resúmelo en 10 líneas. 5) Realiza un mapa conceptual sobre las medidas del cuidado del suelo estudiadas. P3.1.- La Contaminación del Suelo no es contaminación del agua ni del aire. La diferencia entre estos tres tipos de contaminación ambiental es el sustrato al cuál contaminan así se puede ver afectado el suelo como estamos estudiando; en el caso del agua su contaminación es un problema grave, ya que los seres humanos necesitamos de ella para vivir y al contaminarse por diferentes causas se daña la calidad del agua de consumo humano que apenas es el 0.3% aproximadamente del agua del planeta; es igual de preocupante la contaminación del aire, porque lo necesitamos para respirar, y su contaminación debido a la industrialización, tala de bosques, entre otros, a causado la destrucción de la capa de ozono, perjudicando nuestra salud. TAREA: Consulta sobre la contaminación del agua y del aire. EJERCICIO EN CLASE: Realizar un cuadro comparativo entre los tres tipos de contaminación ambiental. Contaminación del suelo Contaminación del agua Contaminación del aire
  • 19.
    P4.1.- La Contaminacióndel Suelo según la actividad antropogénica puede ser contaminación del suelo por la minería. La explotación minera crea alteraciones en el ambiente, causan impactos desde el inicio de estas actividades, durante el tiempo que se desarrollan y en el momento que cesan. El problema de la contaminación del suelo es uno de los efectos que se presenta con mayor frecuencia en la minería, ya que el suelo es el depósito final de los desechos. El impacto que la minería produce en el ambiente puede ser diverso. Esta actividad puede provocar acciones que impliquen la emisión de contaminantes al suelo y al agua, que modifiquen el relieve del suelo y, por tanto, el paisaje. También, la minería involucra acciones que conllevan la sobreexplotación de los recursos. Específicamente sobre el suelo, la minería puede provocar su infertilidad o, aún peor, mantener su fertilidad, pero permitir el paso de contaminantes a la cadena alimenticia. Contaminantes líquidos, sólidos y químicos de la minería El proceso completo de la minería trae consigo una serie de contaminantes líquidos, sólidos y gaseosos que terminan en el suelo. Los contaminantes gaseosos se suspenden en la atmósfera en forma de partículas que caen al suelo por acción de la lluvia. Por su parte, los contaminantes sólidos y líquidos se depositan en el suelo debido al vertido directo o por la infiltración de productos de lixiviación. Las emisiones gaseosas más contaminantes son las de ácidos como el sulfúrico, componente de la lluvia ácida. Cuando éste llega al suelo, se infiltra y destruye la microflora y microfauna por la acidificación del sustrato. Este proceso degrada y oxida la materia orgánica, reduciendo su productividad agrícola. Los desechos más peligrosos relacionados con la minería son los metales pesados, las cenizas de carbón, los hidrocarburos y los radio nucleídos artificiales. ¿SABIAS QUE? En Ecuador, la actividad minera se remonta a la época preincásica. Las culturas precolombinas extrajeron oro, plata, cobre y platino para fabricar objetos decorativos y usar los minerales como moneda de intercambio. Actualmente todavía se realiza la minería de manera artesanal, pero también a gran escala con la utilización de explosivos y maquinaria pesada, está es la que ha causado una grave contaminación ambiental. Definición de términos: Hidrocarburos: compuestos orgánicos altamente contaminantes formados únicamente por carbono y oxígeno. Radionucleídos artificiales: son elementos químicos fabricados con una configuración inestable que presentan una desintegración radioactiva y son causantes de diferentes problemas de contaminación. Microfauna: microorganismos formados por células animales y procariotas, pueden ser: los nematodos, protistas, etc. Microflora: mircoorganismos formados por células vegetales y procariotas, representados por hongos, algas y vegetales microscópicos . Lixiviación: es un proceso de lavado de una sustancia pulverizada para extraer las partes solubles , produce gran contaminación al extraer metales por el cianuro que se utiliza. Preincáica: son los periodos de culturas antes de que el Imperio Inca domine a nuestros territorios. EJERCICIO EN CLASE: Realiza un silogismo válido con los siguientes términos: S: Contaminación del Suelo P: Contaminación antropogénica del suelo por la minería y TM: Contaminación Ambiental. Escribe las premisas y la conclusión. TAREA: 1) Consulta cuáles son los principales lugares del Ecuador donde se realiza minería artesanal y a gran escala, explica la contaminación que han producido. 2) Investiga los tipos de contaminantes que produce la minería, resúmelos en un organigrama. DESERTIFICACIÓN MODIFICACIÓN DEL RELIEVE MEZCLA DE HORIZONTES La minería a cielo abierto provoca la deforestación. El suelo descubierto queda expuesto a la acción del viento y la lluvia, agentes que lo dejan vulnerable. Las numerosas excavaciones que se realizan para la explotación minera, causan la desestabilización de las laderas y el relleno o sobrecarga de diversos sectores. Estas acciones cambian el relieve del suelo y producen derrumbes. Al excavar y remover el suelo se da una mezcla de los horizontes, dejando en la superficie arena, arcilla o rocas. Efectos de la modificación del suelo por la explotación minera
  • 20.
    P4.2.- La Contaminacióndel Suelo según la actividad antropogénica puede ser contaminación del suelo por el petróleo. El petróleo es un hidrocarburo líquido oleoso de origen natural compuesto por sustancias orgánicas. Se utiliza como materia prima para los combustibles, plásticos, pinturas y textiles. Se encuentra en grandes cantidades bajo la superficie terrestre, motivo por el cual se ha desplegado toda una tecnología para su extracción. El problema radica en que causa diferentes efectos sobre la composición y el relieve de los suelos, ya que los contamina durante su proceso de extracción, es importante también mencionar que todos los derivados del petróleo continúan contaminando. Para la explotación petrolera existe una serie de procesos que afectan al suelo para poder extraerlo y utilizarlo:  Apertura de caminos: Para iniciar la explotación en un pozo, se realiza el alisado del terreno para el desplazamiento de los equipos. Esta acción destruye la vegetación, ahuyenta a los animales y compacta el suelo. Una de las técnicas más utilizadas para la apertura de caminos consiste en remover los primeros 20 o 30 cm de suelo para nivelar el terreno. Al retirarse el material grueso, queda expuesto el suelo formado por granos más finos, el cual se va perdiendo por acción del viento y del agua, produciéndose su erosión. El tránsito constante de la maquinaria pesada provoca una gran compactación del suelo.  Establecimiento de locaciones: Son las áreas de explotación que consisten en superficies niveladas con maquinaria pesada. Presentan una gran compactación del terreno y es allí en donde se producen los derrames.  Perforación: Las perforaciones tienen profundidades considerables, que llegan a medir 6 000 m bajo la superficie, se usan taladros de perforación direccional que pueden dirigirse hacia zonas inaccesibles.  Extracción de material de canteras: Se realiza a los lados de los caminos para extraer material de construcción. Modifica el perfil del suelo porque son sitios donde el relieve queda con huecos que pueden tener varios metros de profundidad. Cuando son abandonados, suelen terminar como basurales. Contaminantes del petróleo: Puede ocurrir por la liberación accidental de este hidrocarburo en cualquier punto de las operaciones de explotación o transporte del petróleo. El petróleo contiene varios contaminantes que se mezclan en el suelo, deteriorando su calidad, y son tóxicos para cualquier ser vivo que dependa de él. Entre ellos están algunos compuestos orgánicos volátiles (COVs), hidrocarburos aromáticos policíclicos (PAHs) y metales pesados. Los más alarmantes son los PAHs y sus derivados. Se consideran compuestos persistentes, ya que tienen la capacidad de mantenerse en el suelo durante períodos largos. No son solubles en agua pero sí en las grasas, lo cual hace que se acumulen en los tejidos grasos de los animales. Al entrar en las cadenas alimenticias causan efectos irreversibles en la materia genética, produciendo mutaciones y tumores malignos en los diversos tipos de seres vivos que entren en contacto con el suelo o las aguas contaminadas. ¿SABIAS QUE existió un gran derrame de petróleo en Cuyabeno? El derrame de petróleo ocurrido en 2006, en el pozo Cuyabeno, ha vuelto a teñir de negro las lagunas y suelos de esta reserva. Es un lugar de inmenso valor biológico por poseer 14 ecosistemas únicos en el país y, algunos de ellos, únicos en el mundo; por ser considerada una de las zonas más ricas en especies de peces; por contar con un elevado endemismo de aves y por constituir un refugio para las aves migratorias del continente americano. Definición de términos: COVs: son el conjunto de los compuestos orgánicos volátiles que se convierten fácilmente en vapores y gases contaminando al suelo y al aire; son liberados por la quema de gasolina, madera, carbón o gas natural. PAHs: son los hidrocarburos aromáticos policíclicos, compuestos altamente contaminantes. Alisado del terreno: es el proceso por el cuál se desase de los primeros 15cm de terreno compactándolo para que quede liso el suelo. EJERCICIO EN CLASE: Realiza un silogismo válido con los siguientes términos: S: Contaminación del Suelo P: Contaminación antropogénica del suelo por la minería y TM: Contaminación Ambiental. Escribe las premisas y la conclusión. TAREA: 1) Investiga que son los COVs y sus principales ejemplos. 2) Consulta cuáles son los derivados del petróleo que los seres humanos utilizamos actualmente. 3) Investiga a nivel mundial cuales han sido los peores derrames de petróleo, explica cada uno. 4) Realiza un collage con la contaminación que existe a causa del petróleo y sus derivados. 5) ¿Crees tú que actualmente podemos vivir sin el petróleo? ¿Por qué? 6) ¿Qué tipo de soluciones podrías mencionar para NO depender del petróleo?
  • 21.
    P4.3.- La Contaminacióndel Suelo según la actividad antropogénica puede ser contaminación del suelo por la agricultura. Debido a las actividades de agricultura, el suelo e ve afectado ya que existen una serie de productos químicos, como los abonos sintéticos, herbicidas e insecticidas, que son sumamente útiles para la agricultura, pero que cuando se usan en forma inadecuada (abuso) producen alteraciones en el suelo y aguas subterráneas. Los principales compuestos que contaminan al suelo por la agricultura son: Los abonos sintéticos (urea, nitratos, fosfatos, cloruros, etc.), su abuso intoxica y mata la fauna (lombrices, insectos, ácaros) y flora (hongos, bacterias) del suelo; por esto es preferible usar abonos orgánicos naturales. Los pesticidas o plaguicidas son compuestos químicos utilizados para controlar plagas (insectos, hongos, bacterias, roedores, malezas, algas). Su uso prolongado daña al suelo. Con el uso indebido de los mencionados químicos contaminan también las fuentes de agua, que van luego a regar campos, o sirven para el consumo humano o ganado. Así pueden causar grandes perjuicios a la población. P4.4.- La Contaminación del Suelo según la actividad antropogénica puede ser contaminación del suelo por la ganadería. La ganadería, que es la cría de animales domesticados, genera problemas de contaminación principalmente por nitratos que se filtran en el suelo y lo destruyen echando a perder tierras fértiles. La concentración de animales explotados en granjas facilita la propagación de infecciones, con lo cual se abusa de los antibiótico, esto también provoca una grave contaminación, ya que los restos de estos antibióticos se expulsan a través de la orina de los animales y se filtran al suelo, dañándolo. Por otro lado, los desechos de las granjas no sirven para abono ya que los animales consumen piensos artificiales ricos en proteínas y hormonas para el crecimiento, por esta razón son altamente nocivos, destruyen el suelo y desprenden gases tóxicos muy contaminantes. Siendo estas las principales causas de contaminación de la ganadería para el suelo. EJERCICIO: Realiza un silogismo válido con los siguientes términos: S: Contaminación del Suelo P: Contaminación antropogénica del suelo por ganadería y TM: Contaminación antropogénica del suelo por agricultura. Escribe las premisas y la conclusión. TAREA: 1) Realiza un cuadro comparativo de las diferencias de la contaminación del suelo por agricultura y ganadería. 2) Consulta la importancia de la agricultura para nuestro país. 3) Consulta la importancia de la ganadería para nuestro país. 4) ¿Cuales son las provincias de nuestro país que subsisten de agricultura? 5) ¿Cuáles son las provincias de nuestro país que subsisten de ganadería? 6) Investiga que medidas de precaución se toman en nuestro país para minimizar la contaminación del suelo por agricultura y ganadería.
  • 22.
    P4.5.- La Contaminacióndel Suelo según la actividad antropogénica puede ser contaminación del suelo por la urbanización. Definición de términos: Urbanización: Crecimiento y avance de las ciudades, trae consigo el establecimiento de nuevas poblaciones que se ubican sobre el suelo fértil. Argumentación: El crecimiento de las poblaciones ha obligado a que se incremente la urbanización de los suelos y la pérdida del terreno agrícola. A su vez, este desarrollo de las ciudades impide la recarga de los depósitos de agua subterránea, destruye la flora y la fauna que habitan en estos, debido principalmente a la contaminación mediante basura, compactación del suelo debido al desplazamiento constante de personas y vehículos por el mismo lugar, esto causa la desaparición de los espacios de aire que existen en el interior del suelo, con la consecuente disminución de oxígeno y agua. La capacidad del suelo de asimilar las intervenciones humanas se ve sobrepasada por la producción y acumulación de residuos urbanos; siendo el principal problema el relleno sanitario de las ciudades que se colocan en el suelo. Asociado al crecimiento de los asentamientos humanos, está la mala eliminación de la basura y la ausencia de tratamientos de la misma. Los suelos se ven contaminados con residuos orgánicos e inorgánicos, incluidos metales pesados y otras sustancias que lo destruyen y contaminan las aguas subterráneas. P4.6.- La Contaminación del Suelo según la actividad antropogénica puede ser contaminación del suelo por la industrialización. Definición de términos: Industrialización: es el proceso de creación de las diversas industrias en las que se fabrican los distintos bienes y servicios útiles para satisfacer las necesidades del ser humano. Argumentación: Los procesos industriales contaminan el suelo por las emisiones que pueden depositarse en los suelos y en la vegetación, y por los residuos industriales que son colocados en el suelo, dañando su composición química lo que hace que pierdan su fertilidad. Los contaminantes más habituales que se pueden encontrar en los suelos debido a la industrialización son: metales pesados, hidrocarburos, aceites minerales, pesticidas y desechos de las industrias que son colocados directamente en el suelo. Las principales industrias que causan este tipo de contaminación son: la industria maderera, de calzado, de papel, la construcción, textil, entre las más representativas. APLICACIÓN Como aplicación para el bloque de Contaminación del Suelo, realizaremos una remediación del suelo mediante un experimento casero seleccionado por los estudiantes de cada curso.
  • 23.
    BLOQUE 3: endemismosdel ecuador AL FINALIZAR ESTA UNIDAD SERÉ COMPETENTE EN 1.-Analizar la relación de la flora endémica e introducida y las implicaciones del impacto humano a través de la historia. Definiendo los endemismos y las especies introducidas. Conociendo las relaciones de flora y fauna endémica con los seres humanos. Diferenciando la flora endémica de la introducida. 2.-Conocer la competencia existente entre las especies introducidas, endémicas y nativas del Ecuador por un mismo hábitat. Explicando las relaciones interespecíficas existentes entre especies introducidas, endémicas y nativas, enfatizando en la competencia. 3. Explicar el impacto que tiene en el ecosistema el reemplazo e introducción de flora y fauna y sus consecuencias en los procesos de conservación y protección ambiental. Conociendo las introducciones de flora y fauna en el Ecuador. Ejemplificando el impacto que se produce en los ecosistemas debido a la introducción y reemplazo de flora y fauna. Mencionando los procesos de conservación y protección ambiental existentes actualmente y su relación con el impacto de las especies introducidas. PRE-REQUISITO: Endemismos, Especies Nativas y Especies Introducidas. APREHENDIZAJES: Pre -proposiciones de Especies endémicas del Ecuador. RECURSOS: Libro Curtis Biología, Naturaleza Viva 10 Ciencias Naturales Norma, pinturas, plastilina, cartulinas, tijeras, imágenes de especies endémicas, introducidas y nativas del Ecuador, videos sobre las relaciones interespecíficas.
  • 24.
    MOTIVACIÓN: ACTIVIDAD RETO: Comoactividad reto presentaremos en el aula imágenes de orquídeas endémicas, piquero de patas azules, pinzones, delfines rosados, iguanas endémicas, etc. Luego analizaremos si los estudiantes conocen las especies presentadas, en qué lugares del Ecuador se encuentran, sus nombres, posible peligro de extinción, importancia para nuestra biodiversidad; de esta manera sentirán interés de conocer sobre las especies. PREGUNTAS AFECTIVAS: Después de esta actividad y observando las hermosas especies endémicas de nuestro país y hacer la indagación anterior, preguntaré cuál es su reflexión, a partir de las siguientes preguntas: • ¿Creen ustedes que es necesario cuidarlas con una protección especializada? • ¿Cuántas especies endémicas creen ustedes que existen en nuestro país? • ¿Qué especie endémica más les gusto? • ¿En qué lugar de nuestro país creen ustedes que tenemos mayor cantidad de especies endémicas? ¿Por qué? ARGUMENTOS: Conocer las especies endémicas de nuestro país nos ayudará a valorar la riqueza natural del mismo, reconociéndolo como uno de los países con mayor diversidad a nivel mundial. Las especies más preciadas de nuestro país son las endémicas ya que son únicas en el mundo; por eso debemos protegerlas y cuidarlas de todas las maneras posibles, tanto cada persona desde su hogar y en todo momento como el Estado ecuatoriano mediante la legislación ambiental y el Ministerio del Ambiente, es sumamente importante valorarlas, reconocerlas, saber su ubicación para así poder mantenerlas por mucho tiempo más, evitando su posible extinción, lo cuál sería un problema ambiental mundial, no solo de nuestro país. Como ecuatorianos debemos aprender a cuidarlas y para lograr eso primero las conoceremos; “NO SE AMA NI SE CUIDA LO QUE NO SE CONOCE”
  • 25.
    PRE – REQUISITO:ENDEMISMOS- ESPECIES INTRODUCIDAS – ESPECIES NATIVAS – especies invasoras Especies endémicas o ENDEMISMO: Es un término que describe la tendencia de algunos seres vivos a limitar su rango de distribución a una determinada zona geográfica, dentro de la cual son endémicos. El endemismo es relativo, ya que puede considerar regiones geográficas muy amplias o muy estrechas; sin embargo, hay que diferenciar las fronteras políticas de las fronteras naturales. Una planta puede ser endémica de una quebrada o de toda una cadena montañosa. Además, si nos referimos al endemismo de un país, estamos hablando de endemismo político, el cual contrasta con el endemismo en una biorregión, que toma en cuenta límites naturales como diferentes ecosistemas o zonas del mismo origen sea volcánico o tectónico. ESPECIES INTRODUCIDAS: El término especie introducida se refiere a especies que han sido transportadas más allá de su distribución geográfica nativa por acción humana y que han logrado aclimatarse o naturalizarse. Estas introducciones pueden ser accidentales o intencionales. Intencional: es cuando la introducción es intencional por parte del ser humano de organismos en el nuevo ambiente. Tal vez el principal motivo de introducir especies intencionalmente es la ganancia económica. En años recientes muchas especies han sido introducidas para combatir plagas, especialmente si las plagas mismas son también especies introducidas.  Accidental: las introducciones accidentales ocurren cuando las especies son transportadas por vectores humanos, por ejemplo tres especies de ratas se han desparramado por todo el mundo al ser transportadas en barcos. Muchas especies marinas han sido introducidas en otras regiones al ser llevadas en el agua usada como lastre por los barcos y descartada más tarde. Con el gran aumento de los viajes las oportunidades de que muchas especies sean introducidas accidentalmente ha crecido considerablemente. ESPECIES NATIVAS: en una biorregión, una especie nativa, especie indígena o autóctona es una especie que pertenece a una región o ecosistema determinados. Su presencia en esa región es el resultado de fenómenos naturales sin intervención humana. Todos los organismos naturales, en contraste con organismos domesticados, tienen su área de distribución dentro de la cual se consideran nativos. Fuera de esa región si son llevadas por los humanos se las considera especies introducidas. ESPECIES INVASORAS: son especies de animales, plantas u otros organismos transportados e introducidos por el ser humano en lugares fuera de su área de distribución natural y que han conseguido establecerse y dispersarse en la nueva región, donde resultan dañinos. Que una especie invasora resulta dañina, significa que produce cambios importantes en la composición, la estructura o los procesos de los ecosistemas naturales, poniendo en peligro la diversidad biológica nativa. Debido a sus impactos en los ecosistemas donde han sido introducidas tales especies son consideradas ingenieros de ecosistemas. Existen claros ejemplos de especies invasores en Galápagos como son los chivos, perros, gatos, chanchos, la mora, guayaba, etc.
  • 26.
    ESPECIES DEL ECUADOR •Especiesintroducidas del Ecuador. •Especies nativas del Ecuador. •Especies únicas originadas por aislamiento geográfico y evolución. •Presenta competencias interespecíficas con las especies introducidas. •Requieren de protección ambiental. APREHENDIZAJE: ESPECIES ENDÉMICAS DEL ECUADOR ESPECIES ENDÉMICAS DEL ECUADOR Según los factores bióticos del ecosistema. Especies endémicas de fauna del Ecuador Especies endémicas de flora del Ecuador PAQUETE PROPOSICIONAL P1.- Las especies endémicas del Ecuador son especies del Ecuador. P2.1.-Las especies endémicas del Ecuador son especies únicas originadas por aislamiento geográfico y evolución. P2.2.-Las especies endémicas del Ecuador presentan competencias interespecíficas con las especies introducidas. P3.1.- Las especies endémicas del Ecuador no son especies introducidas del Ecuador. P3.2.- Las especies endémicas del Ecuador no son especies nativas del Ecuador. P4.1.- Las especies endémicas del Ecuador, según los factores bióticos del ecosistema, pueden ser especies endémicas de flora del Ecuador. P4.2.- Las especies endémicas del Ecuador, según los factores bióticos del ecosistema, pueden ser especies endémicas de fauna del Ecuador.
  • 27.
    ANÁLISIS PROPOSICIONAL P1 .Lasespecies endémicas del Ecuador son especies del Ecuador. Una especie es….., las especies que se encuentran dentro del territorio ecuatoriano, siendo tomado en cuenta como un país mediante fronteras políticas, son especies ecuatorianas, las mismas que pueden ser: nativas, introducidas o endémicas. Tarea: Consulta las principales especies endémicas del Ecuador, debes colocar la imagen y su nombre común y científico, realiza un cuadro de resumen. P2.1. Las especies endémicas del Ecuador son especies únicas originadas por aislamiento geográfico y evolución. El endemismo en el mundo y de igual manera en Ecuador es el resultado de dos eventos importantes: el aislamiento geográfico y la evolución que han sufrido las especies. Cuando una población de una determinada especie queda aislada por un largo período de tiempo de otras poblaciones de la misma especie, se va diferenciando a de generaciones sucesivas. El resultado es que se diferenciará tanto, que será una especie distinta como resultado de su evolución. EJEMPLO: Un buen ejemplo de los procesos descritos está en las islas Galápagos. Al haber emergido del mar por procesos volcánicos, nunca estuvieron unidas al continente. Por tanto, las especies que llegaron mantuvieron sus poblaciones aisladas por largo tiempo, lo que provocó que se fueran adaptando al nuevo hábitat y cambiando la forma de sus picos y cuerpos. Cuando los primeros piratas llegaron al archipiélago, se encontraron con organismos únicos en el mundo (ENDÉMICAS). Ejercicio: ¿Crees que actualmente podrían formarse nuevas especies endémicas en algún lugar del planeta? ¿Por qué? Tarea: Consulta dos ejemplos más de lugares donde se han originado especies endémicas. P2.2.-Las especies endémicas del Ecuador presentan competencias interespecíficas con las especies introducidas. Definición de Términos: Nicho ecológico: es el espacio donde habita una especie, junto con la estrategia de supervivencia que utiliza; incluye la forma de alimentarse, competencias, defenderse, en otras palabras es el “oficio” de un organismo en el lugar determinado donde habita. Argumentación: Las especies endémicas se ven afectadas por la introducción de especies llamada INTRODUCIDAS, esto es perjudicial, ya que atenta contra la estabilidad de las poblaciones de las especies nativas y endémicas. Ocurre porque el ecosistema al recibir una nueva especie está acogiendo un nuevo depredador, competidor o un agente de enfermedades desconocidas. Los organismos nativos y endémicos no tienen estrategias para competir o defenderse, por lo cual terminan desapareciendo. Esta aptitud entre especies endémicas e introducidas se considera una competencia interespecífica, pues se refiere a la interacción de dos o más organismos que tratan de obtener un mismo recurso. En algunas circunstancias, la competencia se vuelve más intensa cuando los organismos involucrados también compiten por el nicho ecológico. En el caso de las plantas, dos especies pueden competir por la luz, el agua o los nutrientes del suelo. Mientras que los animales lo hacen por una presa, el agua, el lugar de anidación, entre otros. EJEMPLO: En Galápagos, de manera intencionada, pero sin conocer aún las consecuencias devastadoras que tendría, se introdujeron el chivo, el gato, el cerdo, la guayaba y la cascarilla; mientras que de forma accidental llegaron las ratas. El resultado fue que estos organismos se reprodujeron hasta el punto de convertirse en verdaderas plagas, poniendo en peligro la flora y la fauna de esta región. La introducción de la cascarilla en Galápagos es un claro ejemplo de competencia. Es una de las plantas invasoras más peligrosas. Tiene una tasa de crecimiento, reproducción y expansión muy altos. Cambia la composición de los suelos y compite con las especies endémicas, ya que las cubre del sol, impidiendo su crecimiento. Tarea: 1) Consulta cuales son los problemas que existen en Galápagos por la introducción de especies.
  • 28.
    La depredación esun ejemplo de competencia interespecífica existente entre especies introducidas, Existen dos acepciones para este término: La primera es la ecológica que se refiere a la relación interespecífica establecida entre dos individuos, en la que uno provoca la muerte del otro con el fin de alimentarse o conseguir algún recurso. Por ejemplo, un gato caza ratones para alimentarse. Otro tipo de depredación es el herbivorismo, en el cual un herbívoro depreda a una planta que puede o no matar. En este caso, un oso de anteojos come una bromelia. La segunda, es la depredación que el ser humano ha realizado sobre los recursos naturales. Nuestros ancestros vivían haciendo uso de la naturaleza sin causar un gran impacto. Cazaban únicamente las presas que necesitaban para consumir o recogían solo los frutos necesarios para un tiempo específico. Además, al ser nómadas, no se quedaban en un área el tiempo suficiente como para erosionar el suelo o acabar con los recursos propios del lugar. Pero con el crecimiento de las poblaciones humanas y el desarrollo de la tecnología, aumentaron las necesidades y, a la par, adquirimos la capacidad de explotar los recursos de manera más intensa. Comenzaron a aparecer máquinas antes inimaginables: sierras eléctricas, grandes barcos que viajan largas distancias, congeladores, trenes, rifles, etc. Se desarrollaron la ganadería, la pesca, el cultivo, la minería, la explotación de los bosques y otras actividades humanas que fueron destruyendo el ambiente natural. P2.3 Las especies endémicas del Ecuador requieren de protección ambiental. La protección ambiental se refiere a cualquier actividad que tenga por objetivo restaurar o mantener la integridad del ambiente. Abarca todos los programas, planes, políticas, normas y acciones que tengan como destino prevenir y controlar el deterioro del ambiente. Los gobiernos se vieron en la obligación de decretar leyes y regulaciones para controlar este uso que se ha ido incrementando cada vez más. Así, se han establecido áreas protegidas, temporadas de veda, lugares y temporadas de cacería, entre otros. Esta es una tarea que debe ser realizada en conjunto entre: EL ESTADO + LA COMUNIDAD + ONG + SECTOR PRIVADO, es necesaria la colaboración de todos para poder lograr una verdadera protección ambiental. La protección ambiental incluye 3 aspectos: . Cumpliendo con estos aspectos se debe cuidar como los elementos más valiosos de cada ecosistema a las especies endémicas y nativas, ya que son irremplazables consideradas como recursos naturales no renovables. IMPORTANTE: La amplia gama de ecosistemas que existe en nuestro país ha permitido el desarrollo de la increíble diversidad de especies que hacen que Ecuador sea uno de los doce países megadiversos del mundo. Se considera que estos doce países poseen en conjunto el 70 % de las especies vegetales y animales de todo el planeta. Este reconocimiento internacional nos pone a las puertas del gran compromiso de conservar nuestra biodiversidad, la cual se encuentra seriamente amenazada por las actividades antrópicas. TAREA: 1) Investiga la protección ambiental vigente en el Ecuador, realiza un resumen sobre este manejo en nuestro país. 2) ¿Qué especies endémicas del Ecuador consideras tú que deben ser protegidas? 3) ¿Quiénes son los encargados de proteger estas especies endémicas? EJERCICIOS
  • 29.
    P3.1.- Las especiesendémicas del Ecuador no son especies introducidas del Ecuador. Las especies introducidas del Ecuador son aquellas que se encuentran en un área de nuestro país, de la cual no son originarias, debido a actividades humanas voluntarias o accidentales que han logrado que se establezcan en ese lugar; existen especies introducidas en todas las regiones de nuestro país. TAREA: 1) Consulta las principales especies introducidas del Ecuador de flora y fauna. 2) Realiza un collage con las especies introducidas del Ecuador. EJERCICIO EN CLASE: 1) Resume las especies consultadas en un cuadro sinóptico. P3.2.- Las especies endémicas del Ecuador no son especies nativas del Ecuador. Las especies nativas del Ecuador son aquellas especies también denominadas indígenas o autóctonas que pertenecen a ecosistemas únicamente ubicados dentro del Ecuador, su presencia en nuestro país es el resultado de fenómenos naturales sin intervención humana alguna. TAREA: 1) Consulta las principales especies nativas del Ecuador de flora y fauna. 2) Realiza un collage con las especies nativas del Ecuador. EJERCICIO EN CLASE: 1) Resume las especies consultadas en un cuadro sinóptico. P3.3.- Las especies endémicas del Ecuador no son especies invasoras Las especies invasoras son la segunda amenaza más grave contra la biodiversidad en el mundo debido a sus efectos en el ambiente, la economía y la salud humana. Se trata de los virus, aves, mamíferos, peces, anfibios, reptiles, invertebrados, plantas y hongos que llegan a ecosistemas donde se reproducen sin control y acaban con otras especies; introducidos a nuestro país ya sea de manera intencional o accidental. Los ejemplos abundan: conejos en Australia, plantas invasivas en los Estados Unidos, hormigas en Hawái, pinos en Sudáfrica, ácaros de la miel en Nueva Zelanda, cangrejos en España, caracoles en los arrozales de Filipinas, truchas en Colombia, tilapias en Costa Rica y las percas del Nilo en el lago Victoria. TAREA: 1) Consulta las principales especies invasoras del Ecuador de flora y fauna. 2) Realiza un collage con las especies invasoras del Ecuador. EJERCICIO EN CLASE: 1) Resume las especies consultadas en un cuadro sinóptico UNA ESPECIE INVASORA ES NECESARIAMENTE INTRODUCIDA?? UNA ESPECIE ENDÉMICA ES NATIVA??? Creo que hay un criterio para clasificar a las especies tanto en endémicas, nativas, introducidas o invasoras. O lo de especies invasoras solo es con respecto a que en las relaciones interespecíficas éstas causan daño, y se debe mencionar ahí, porque el criterio para estas es completamente diferente
  • 30.
    P4.1.- Las especiesendémicas del Ecuador, según los factores bióticos del ecosistema, pueden ser especies endémicas de flora del Ecuador. Definición de términos: Flora: se trata de todas las especies vegetales que se hallan en una determinada región. Plantas vasculares: Argumentación: En Ecuador la flora posee gran diversidad y endemismo, debido a las especiales y variadas características geográficas y la formación de diversos ecosistemas y microclimas existentes en todo el país, podemos resaltar que se estima que en Ecuador habitan unas 20 000 especies de plantas, de las cuales aproximadamente el 30% son endémicas. Esta diversidad coloca a nuestro país en el séptimo lugar en lo que se refiere a la diversidad de plantas vasculares a nivel mundial. El grupo de las orquídeas es el que mas aporta a la biodiversidad de plantas de Ecuador ya que cuenta con 3000 especies, siendo endémicas el 43%. Endemismo de la flora ecuatoriana por regiones TAREA: 1) Investiga las principales especies endémicas de cada región ecuatoriana, en un cuadro escribe 5 de cada una y pega las imágenes correspondientes. 2) Investiga el nombre de 10 especies de orquídeas endémicas del Ecuador. 3) ¿Qué es la flora? 4) Realiza un collage con las plantas que utilizamos del Ecuador para alimentarnos. REGIÓN DATOS EJEMPLOS COSTA Total de especies: 4 463 (30 % del total nacional) Número de especies endémicas: 13-20 % SIERRA Total de especies: 9 865 (64,4 % del total nacional) Número de especies endémicas: 1 261 AMAZONÍA Total de especies: 4 857 (31,7 % del total nacional) Número de especies endémicas: 235 GALÁPAGOS Total de especies: 1 030 Número de especies endémicas: 474
  • 31.
    ¿SABIASQUÉ? Muchas de estasespecies endémicas han sido utilizadas de diferente manera a lo largo de la historia de nuestro país. Los pueblos indígenas y la población, en general, les han dado diversos usos: Alimentación: En todo el planeta, más del 90 % de la alimentación procede de 103 especies de plantas. Aunque el número de especies comestibles alcanza un número de 70 000. Las especies de mayor consumo en Ecuador son: arroz, plátano, trigo, papa, palma africana, maíz y caña de azúcar. Todas son introducidas, excepto la papa que fue utilizada desde la época precolombina. Las especies endémicas propias de nuestro país más consumidas son: chocho, oca, melloco, chonta, chirimoya, maíz, fréjol, yuca, zapallo, naranjilla, babaco, tomate de árbol y papa. Condimentos de alimentos: En Ecuador se utilizan 55 especies nativas como saborizantes de comidas y bebidas. Comúnmente, los conocemos como “condimentos”. Para la colada morada, bebida el Día de los Difuntos, se añade canela, ishpingo, clavo de olor, hojas de hierbaluisa y cedrón. La chicha de yuca se aromatiza con frutos de ungurahua. Las hojas de guayusa y la corteza de chukchuwasa se usan para el aguardiente. Todos los grupos indígenas de la Amazonia utilizan hojas del culantro nativo. En la Sierra se emplean las flores de anís de campo, hojas de tilo y frutos de ajenjo. En todo Ecuador se usan varias especies nativas de ají. Colorantes: El más usado es el achiote, cuya cubierta de la semilla contiene un colorante rojo utilizado en todo el país para preparar distintas comidas, otros ejemplos son el maíz negro y mortiño. Alimento de animales de crianza Las plantas más empleadas son el pitiu y la alfalfa. Este uso es importante, debido a que la domesticación de animales fue uno de los hechos más significativos en la evolución de las culturas, puesto que les permitió tener una fuente de leche y carne, además de pieles para la elaboración de vestimentas. Combustibles: Es posible quemar las plantas enteras o sus partes, haciendo de ellas leña o carbón, pero también se utilizan los aceites, resinas, látex y otros derivados como combustibles o iniciadores de la combustión. Así, el carrá, Huberodendron patinoi que es endémico del corredor del Chocó. Al encenderlo, no hace llama, pero tampoco se apaga con facilidad. Los afroecuatorianos que viven en estos bosques llevan un pedazp del tronco encendido durante horas para espantar los mosquitos con el humo y para preparar sus alimentos. Tóxicos: Las comunidades ancestrales reconocieron las propiedades venenosas de las plantas desde la antigüedad, lo cual aportó a sus estrategias de supervivencia y adaptación al ambiente. Les ayudó a evitar enfermedades, curarse y para capturar presas. Así, el barbasco se utiliza para la pesca. Fabricación de materiales: La flora del Ecuador ha sido utilizada desde épocas ancestrales como materia prima, para fabricar enseres que ayudan a cubrir necesidades básicas como son: textiles, perfumes, pegamentos, utensillos, muebles, hasta viviendas. Así, el cedro, el peine de mono y la balsa se utilizan para la construcción de canoas, el shanshi para el tenido de pieles, las almohadas y colchones se rellenan con la ceiba, la cabuya y la chambira para elaborar cuerdas, el látex de la palma real, la higuerilla y la unguragua se utiliza para impermeabilizar. Medicinales: Se contabilizan 3 118 especies de plantas medicinales utilizadas en Ecuador. De éstas, solo el 5% son endémicas, por ejemplo el matico, que es utilizado como cicatrizante de heridas internas y externas. Debido a su uso intensivo y a que no son cultivadas sino únicamente recogidas de forma silvestre, se reporta que algunas de las principales plantas medicinales del Ecuador que son nativas, se encuentran en peligro de extinción. Estas son: cascarilla, uña de gato, sangre de drago, chuchuhuaso y floripondio, además de la zaragotana, inchi, cascarilla o quina, laurel nogal, canelo, caimito y bálsamo. Si se extinguen estas y otras plantas cuyo potencial curativo aún se desconoce, entonces la humanidad se estará perdiendo de posibles curas y tratamientos para diversas enfermedades. TAREA: Consulta los usos medicinales de las plantas medicinales descritas del Ecuador, describe sus usos en un cuadro de resumen.
  • 32.
    P4.2.- Las especiesendémicas del Ecuador, según los factores bióticos del ecosistema, pueden ser especies endémicas de fauna del Ecuador. Definición de términos: Fauna: es el conjunto de especies animales que habitan en una región geográfica, que son propias de un período geológico o que se pueden encontrar en un ecosistema determinado Argumentación: Son las especies de animales que se han originado en el Ecuador por aislamiento y evolución a lo largo del tiempo, un claro ejemplo de riqueza en especies endémicas son las pertenecientes al Archipiélago de Galápagos, la flora y la fauna de estas islas presentan un gran endemismo, ya que las especies originales fueron adaptándose a las nuevas condiciones, a continuación conoceremos las especies de fauna endémica más representativas: SE DEBEN MENCIONAR TODA FAUNA ENDÉMICA DEL ECUADOR, NO SOLO DE GALÁPAGOS, O ES LA ÚNICA?? EJERCICIO: De las 5 725 especies reconocidas, 1 839 son endémicas de Galápagos. La tasa de endemismo por grupo es de 95% en reptiles, 89% en mamíferos, 79% en aves y 96% en moluscos. Realiza un gráfico circular que muestre estos datos. UN GRAVE PROBLEMA: El reemplazo de la fauna endémica por fauna introducida y sus consecuencias En las migraciones que ha efectuado el ser humano, algunos animales desde el ganado vacuno hasta pequeños piojos y pulgas, han acompañado al mismo, atravesando grandes distancias, incluyendo los océanos. La consecuencia ha sido la introducción de especies a lugares a los que nunca hubieran llegado sus poblaciones de manera natural, debido a las barreras geográficas del planeta. En ocasiones ha ocurrido de forma intencionada y, otras veces, accidental. Las especies introducidas causan daño a la fauna nativa porque provocan la muerte de las especies, les transmiten enfermedades, las depredan o aumentan la competencia por el alimento dentro del ecosistema. •Introducción de animales en Galápagos: Debido a la introducción de especies exóticas, la biodiversidad de estas islas se ha visto gravemente amenazada por el alto impacto que éstas han provocado sobre la fauna nativa. El mayor problema radica en que se han convertido en plagas que han puesto en peligro la supervivencia o han llevado a la extinción de las especies nativas. Las principales especies de fauna introducida son: COPIA PÁG 75 Los cuadros que son pequeños elaborémoslos, y solamente se aclara que es tomado de tal libro. EJERCICIO EN CLASE: Investiga la problemática de la introducción de cada una de las siguientes especies en Galápagos: cancho, rana arbórea, chivos, ratones, palomas, gatos y perros; resúmelas en el cuadro: ANIMAL INTRODUCIDO A GALÁPAGOS PROBLEMA Chancho Rana Chivos Ratones Palomas Perros Gatos
  • 33.
    APLICACIÓN: Como aplicación deesta unidad realizaremos un inventario completo de las especies endémicas de nuestro país organizadas por regiones, existirán sus nombres científicos, fotografía, ubicación e importancia de la especie para nuestro país. Está explícita la actividad, pero no aclaras cómo se va a desarrollar, si en grupos o individualmente, con qué materiales, con qué objetivos, etc.
  • 34.
    BLOQUE 4: contaminación delaire AL FINALIZAR ESTA UNIDAD SERÉ COMPETENTE PARA: 1.- Determinar la influencia de las actividades que contaminan el aire en las diversas regiones del país. Enunciado las actividades que generan contaminación del aire. Interpretando gráficos, imágenes y documentos audiovisuales sobre la contaminación del aire. Comparando datos obtenidos de diversas fuentes sobre la contaminación del aire. 2.-Analizar las causas del efecto invernadero y su influencia en el calentamiento global. Explicando el calentamiento global, sus causas y efectos. Interpretando las causas y efectos de las variaciones climáticas, debido a la contaminación. 3.-Explicar las causas del adelgazamiento de la capa de ozono, el efecto de lluvia ácida y el esmog fotoquímico sobre la alteración del clima. Mencionando cada una de las causas que provocan los efectos de contaminación sobre el aire. Interpretando reflexivamente imágenes, gráficas y videos sobre los efectos de la contaminación atmosférica. PRE-REQUISITO: El Clima APREHENDIZAJES: Proposiciones del concepto Contaminación del aire RECURSOS: Libro Curtis Biología, Naturaleza Viva 10 Ciencias Naturales Norma, pinturas, plastilina, cartulinas, tijeras, mapas e imágenes sobre la contaminación del aire videos sobre la contaminación del aire.
  • 35.
    MOTIVACIÓN ACTIVIDAD RETO: Comoactividad reto saldremos a la esquina de la empresa DANEC, que queda a cuatro cuadras de la Institución, donde los jóvenes respiraran el aire (que se encuentra contaminado ya que la empresa tiene maquinaria que contamina el aire y se siente el olor de los productos que realizan en el aire); después regresaremos a la institución y en las canchas del Lev Kids nuevamente respiraran los chicos para sentir la diferencia del aire en un lugar donde no se encuentra contaminado por ninguna empresa. Después en el aula se conversara con los estudiantes la importancia de un aire puro, recordando la información que nos facilitaron en la salida pedagógica al Pasochoa, ya que nos informaron que ese aire puro del lugar dura 30 días dentro de nuestro cuerpo purificando los pulmones. Así se iniciara un debate sobre la importancia de un aire puro no contaminado. PREGUNTAS AFECTIVAS: Después de esta actividad y su retroalimentación en el aula, se realizaran las siguientes preguntas afectivas: ¿Les parece necesario prevenir la contaminación del aire? ¿Cuál es la importancia de tener aire libre para la salud humana? ¿Conocen cuáles son las actividades que más contaminan al aire? ¿Sabían que la contaminación del aire afecta al clima de nuestro planeta? ¿Conocen lo que es el calentamiento global? ¿Les gustaría conocer como contrarrestar este tipo de contaminación?. ARGUMENTOS: Conocer sobre la contaminación del aire, nos permite valorar la importancia de un aire puro; los problemas que trae consigo para el planeta y los seres humanos, es importante saber que el cambio del clima, producto del calentamiento ambiental, se debe a la contaminación existente en el aire por las industrias, automóviles y todos los tipos de transporte que utilizan derivados del petróleo. Otro ejemplo grande de esto, es la contaminación por aerosoles, ya que han debilitado la capa de ozono, todos estos problemas ambientales están causando problemas en la salud y en la vida de los seres humanos. Actualmente es una preocupación mundial las funestas consecuencias que ha traído el calentamiento global, y en general, la contaminación ambiental, por esto se han planteado varios tratados internacionales que ayuden a contrarrestar el problema. Nosotros aportaremos con un granito de arena preocupándonos y evitando al máximo esta contaminación en lo que este en nuestras manos, para esto debemos conocer la problemática, contaminantes y actividades que contaminan al aire.
  • 36.
    PRE – REQUISITO:EL CLIMA El clima es el resultado de varios factores que actúan en conjunto para establecer las características del tiempo atmosférico en las ecozonas del mundo. Estos factores son: Temperatura atmosférica: Es el indicador de la cantidad de energía calorífica acumulada en el aire. Para medirla, se utilizan los termómetros ambientales en escalas de grados Fahrenheit y grados Celsius. Latitud: Es la distancia de un lugar con respecto a la línea ecuatorial. Esta distancia indica cómo llegan los rayos solares a los distintos puntos de la Tierra y cuál es su intensidad, determina la duración del día y la noche, las estaciones y periodos lluviosos o secos. La radiación solar cambia sobre la superficie terrestre, razón por la cual se presentan tres zonas de latitudes: baja, media y alta. Las estaciones: De acuerdo con la latitud de una región, los cambios en el clima durante el año pueden ser mínimos, como ocurre en las latitudes bajas, o pueden darse condiciones muy distintas como en las latitudes medias. En las latitudes medias es posible diferenciar cuatro períodos llamados estaciones: primavera, verano, otoño e invierno. En promedio, la temperatura es más alta mientras una región se acerca más a la línea ecuatorial, y disminuye cuando más se aleja de ella. Altitud: Es la distancia vertical que existe entre el nivel del mar y un punto dado de la superficie terrestre. Así, a mayor altitud habrá una menor temperatura, debido a que cuando aumenta la altitud disminuye la densidad de la atmósfera y, por tanto, su capacidad de absorber el calor. En promedio, la temperatura se reduce aproximadamente 2 °C por cada 300 m de ascenso. Cercanía de las masas de agua: la distribución de las masas de agua grandes como mares y océanos influye en las regiones cercanas a estas ya que tienen temperaturas más constantes, debido a que el agua absorbe el calor del sol y lo va desprendiendo poco a poco, más despacio que la tierra, afectando la temperatura de un ambiente. Continentalidad: se refiere a la ubicación dentro de los continentes, una alta continentalidad realza la amplitud térmica, es decir, que provoca inviernos fríos y veranos calurosos. Son estas las razones que nos hacen considerar el agua como uno de los agentes más importantes en el clima. Presión atmosférica: es el peso de la masa de aire por cada unidad de superficie. Es por esto que la presión suele ser más alta al nivel del mar que en las cimas de las montañas. Al nivel del mar la presión normal es de 1013 milibares y va disminuyendo a medida que asciende la altitud. La diferencia de la presión en los diversos sitios de la Tierra hace que el aire se desplace a distintos lugares, lo cual origina los vientos. El viento: es aire en movimiento producido por el calentamiento desigual en la superficie terrestre y por las diferencias de presión atmosférica. El aire caliente es menos denso, por este motivo sube y se ubica por encima del aire más frío. Al subir, el aire se enfría en el camino, se hace más pesado y desciende. Este patrón circular de movimiento se denomina célula de convección. La precipitación: Es la cantidad de agua que cae sobre la superficie terrestre. Al condensarse, el vapor de agua forma nubes que al saturarse producen lluvia. La cantidad y la frecuencia de las precipitaciones varía de acuerdo con la humedad, la radiación solar, los vientos y el relieve. Recuerda que la precipitación es una las etapas del ciclo del agua, para medir la precipitación se utiliza el pluviómetro. La medición se hace en milímetros (mm) por metro cuadrado. Una tormenta es una de las formas comunes de precipitación, es un fenómeno caracterizado por lluvia, nieve o granizo y vientos fuertes. La biorregión Neotropical registra los mayores promedios de precipitación. Corrientes oceánicas: son desplazamientos de masas de agua con dirección fija y constante. Ejercen una gran influencia en el clima, pues modifican las condiciones de temperatura y humedad según sean cálidas, frías o mixtas. Nota: La biodiversidad de la biorregión Oceánica se ve influenciada por las corrientes marinas, las cuales determinan los patrones de migración de aves y mamíferos acuáticos como las ballenas. EJERCICIO EN CLASE N°1: Realiza un organizador gráfico donde expliques los factores que influyen en el clima. TAREA N°1: Investiga la definición de clima, resúmelo en tu cuaderno en 5 líneas.
  • 37.
    CONTAMINACIÓN AMBIENTAL -Contaminación del suelo -Contaminación del agua. CONTAMINACIÓN DELAIRE Según el origen del contaminante Natural Antropogénica •Es la alteración de la calidad del aire por la presencia de un agente externo físico, químico o biológico en el aire. •Se produce por agentes contaminantes: Gases del Efecto Invernadero, Esmog fotoquímico, Oxidantes fotoquímicas, Hidrocarburos, Monóxido de carbono, Dióxido de azufre, Dióxido de nitrógeno y Partículas suspendidas. •Provoca consecuencias negativas: calentamiento global, lluvia ácida, adelgazamiento de la capa de ozono. Transportes terrestres IndustriasGeneración de electricidad Transportes aéreos Erupciones Volcánicas Incendios forestales PAQUETE PROPOSICIONAL P1.- La Contaminación del aire es un tipo de contaminación ambiental. P2.1.-La Contaminación del aire es la alteración de la calidad del aire por la presencia de una agente físico químico o biológico en el aire. P2.2.-La Contaminación del aire se produce por agentes contaminantes: Gases del Efecto Invernadero, Esmog fotoquímico, Hidrocarburos, Oxidantes fotoquímicas, Monóxido de carbono, Dióxido de azufre, Dióxido de nitrógeno y Partículas suspendidas. P2.3.-La Contaminación del aire provoca consecuencias negativas: Efecto invernadero, calentamiento global, lluvia ácida, adelgazamiento de la capa de ozono. P3.1.- La Contaminación del aire no es contaminación del agua ni del aire. P4.1.- La Contaminación del aire según el origen del contaminante puede ser natural: incendios forestales naturales y erupciones volcánicas. P4.2.- La Contaminación del aire según el origen del contaminante puede ser antropogénica: vehículos, industrias, generación de electricidad y transportes aéreos.
  • 38.
    ANÁLISIS PROPOSICIONAL: CONTAMINACIÓNDEL AIRE P1. La Contaminación del aire es contaminación ambiental. Recordemos: La contaminación ambiental es la alteración nociva del estado natural de un medio como consecuencia de la introducción de un agente totalmente ajeno a ese medio (contaminante). En el caso de la contaminación del aire se encuentra afectando a la calidad del aire, que es de vital importancia para el desarrollo de la vida dentro de planeta Tierra. P2.1. La Contaminación del aire es la alteración de la calidad del aire por la presencia de un agente físico, químico o biológico en el aire. La calidad del aire, es decir si el aire se encuentra en buen o mal estado para albergar la vida en el planeta, depende de los compuestos que se mezclan con este gas, que si son contaminantes causan efectos perjudiciales sobre la calidad del mismo. Ya que cuando un agente contaminante se encuentra en el aire, causa efectos nocivos para la salud de los seres vivos y de los ecosistemas en general. EJERCICIO EN CLASE: Realiza un silogismo válido con los siguientes términos: Contaminación ambiental, contaminación del aire y alteración de la calidad del aire por presencia de agentes contaminantes. P2.2. La Contaminación del aire se produce por agentes contaminantes específicos: Gases del Efecto Invernadero, Esmog fotoquímico, Hidrocarburos, Monóxido de carbono, Dióxido de azufre, Dióxido de nitrógeno y Partículas suspendidas. La contaminación del aire se debe principalmente a la presencia de diferentes contaminantes degradando la calidad del aire, a continuación se detallarán cada uno de estos: GASES DEL EFECTO INVERNADERO (GEI): estos gases no permiten salir el calor de la atmósfera provocando el efecto invernadero atrapando el calor de manera excesiva, donde se incrementa la temperatura del planeta, dentro de estos gases se encuentran: ozono (O3), vapor de agua, óxidos de nitrógeno (NOn), Metano(CH4), Dióxido de carbono (CO2), Clorofluorocarbonos (CFCs). TAREA: Consulta las características de cada uno de los gases del efecto invernadero. TRABAJO GRUPAL: A partir de las consultas realizadas, en grupos de 4 personas, completar el siguiente cuadro: ESMOG FOTOQUÍMICO: La palabra smog viene de la combinación de dos términos en inglés: smoke (humo) y fog (niebla). Se le dio este nombre porque se detecta sobre las ciudades como una capa de neblina, pero más oscura. El esmog fotoquímico está formado por una mezcla de contaminantes primarios (hidrocarburos volátiles y óxidos de nitrógeno) y secundarios (ozono y radicales hidroxilo), los cuales se constituyen por una serie de reacciones producidas por la luz. La mezcla generada se acumula en la atmósfera oscureciéndola. Desde lejos se puede ver una capa de color café rojizo cargada de compuestos muy dañinos para los seres vivos. Las reacciones fotoquímicas que provocan este fenómeno ocurren cuando la mezcla compuesta por óxidos de nitrógeno e hidrocarburos volátiles actúa con el oxígeno atmosférico. Esta respuesta es inducida por la luz solar, en un complejo de reacciones que acaba formando ozono. GEI CARACTERÍSTICA Metano Ozono Vapor de agua Nitrógeno Óxidos de nitrógeno Óxidos de azufre Clorofluouricarbonados
  • 39.
    Consecuencias de lacontaminación del aire con esmog fotoquímico •En la salud de las personas: cuando el aire está contaminado, respiramos partículas, ozono y gases peligrosos, los mismos que pueden causar daño a los pulmones, al corazón y a la salud en general. Los efectos evidentes son tos, irritación ocular, empeoramiento del asma y alergias. •En el clima: altera los patrones de lluvia. Las partículas de hollín son diminutas, pero al combinarse con la humedad de las nubes evitan que se produzcan gotas de agua lo suficientemente grandes como para que precipiten. •En la vida silvestre: afecta el sistema respiratorio de los animales, también causa problemas dermatológicos, como se ha visto en las palomas que viven en las plazas de ciudades grandes. Con respecto a las plantas, el hollín se pega en las hojas dificultando la realización eficiente de la fotosíntesis, ya que impide el correcto intercambio de gases. TAREA: Consulta los países y ciudades en el mundo que se encuentran más afectadas por el esmog fotoquímico, busca imágenes de las mismas y pega 5 ejemplos. HIDROCARBUROS: son compuestos de carbono e hidrógeno que por lo general son productos derivados de petróleo como la gasolina, el diesel principalmente, algunos son carcinógenos como el benceno, son generados por fuentes naturales y antropogénicas que en estado gaseoso contaminan al aire. MONÓXIDO DE CARBONO (CO): es un gas invisible e inodoro que se produce por la combustión incompleta del C, principalmente de los escapes de vehículos, al combinarse con la hemoglobina causa asfixia química y otras enfermedades. DIÓXIDO DE AZUFRE (SO2): es producido principalmente por la combustión del carbón, aceite combustible y diesel, provoca problemas en las vías respiratorias e irritación de la garganta. DIÓXIDO DE NITRÓGENO (NO2): es un gas irritante que se produce igualmente por la combustión y sus principales fuentes de emisión son los autos y calentadores industriales. PARTÍCULAS SUSPENDIDAS: son el resultado principalmente de la incineración de madera o combustión de energéticos como el diesel y se emiten directamente al aire, traen muchos problemas a la salud humana al introducirse en el cuerpo ya que no se filtran por el sistema respiratorio. EJERCICIO EN CLASE: 1) Escribe V o F según corresponde y argumenta tu respuesta: • La contaminación del aire no tiene agentes físico químicos o biológicos que alteren la calidad del aire. (___) _______________________________________________________________________________________ • Alguna contaminación del aire es contaminación ambiental. (___) _______________________________________________________________________________________ • Los hidrocarburos únicamente contaminan al aire. (___) _______________________________________________________________________________________ • El CO no causa problemas en la salud de las personas y se origina por la minería. (___) _______________________________________________________________________________________ • El clima se ve afectado por los GEI. (___) _______________________________________________________________________________________ 2) Contesta las siguientes preguntas: • ¿Cuáles son los factores que influyen en el clima? Detalla brevemente cada uno • ¿Cuáles son los contaminantes específicos del aire? Detalla brevemente cada uno • ¿Qué es el efecto invernadero? • ¿Cuáles son los gases del efecto invernadero? • ¿Qué problemas de salud pueden causar los contaminantes del aire?
  • 40.
    P2.3. La Contaminacióndel aire provoca consecuencias negativas: Efecto invernadero, calentamiento global, lluvia ácida, adelgazamiento de la capa de ozono. Definición de términos: Atmósfera: es la capa gaseosa del planeta Tierra que contiene los gases necesarios para albergar la vida. Argumentación: Los contaminantes que se encuentran en el aire realizan una alteración en la atmósfera, por lo que se daña su composición normal y causa: el efecto invernadero, calentamiento global, la lluvia ácida y el adelgazamiento de la capa de ozono, que se detallarán a continuación: EFECTO INVERNADERO Recibe este nombre como analogía del planeta con un invernadero, ya que en un invernadero, los plásticos impiden que la energía calórica salga al mantener en el interior la temperatura adecuada para cultivar frutas, hortalizas o flores. En la Tierra ocurre un proceso similar. La atmósfera retiene gran parte de la energía solar que ingresa en ella. La energía del sol atraviesa la atmósfera, cerca del 70 % de esa energía es atrapada por las capas de la atmósfera y sólo el 45 % alcanza la superficie terrestre, a pesar de la nubosidad. Esta porción de energía conserva la temperatura ideal para la vida en un promedio de 15 °C. En la atmósfera hay gases (GEI) que no permiten que toda la radiación que llega regrese al espacio, actúan como un espejo y devuelven esta radiación a la superficie terrestre. Desde el inicio de la Revolución industrial, ocurrida a finales del siglo XVIII, los gases emitidos a la atmósfera por acción humana, como el dióxido de carbono y el metano que tienen la capacidad de atrapar la energía solar, se han incrementado significativamente. Por ello, una mayor proporción de los rayos solares son retenidos en la Tierra aumentando el promedio de la temperatura global. Desde que se comenzaron a quemar combustibles fósiles como el carbón, el gas y el petróleo, el contenido de CO2 en la atmósfera pasó de 280 partes por millón, antes de la Revolución industrial, a 380 en la actualidad. El aumento de la población humana y su constante necesidad de alimento han obligado a que se acrecienten los cultivos de arroz y la crianza de ganado vacuno, que contribuyen con el mayor porcentaje de metano liberado a la atmósfera. Además, los óxidos de nitrógeno, producto de centrales eléctricas que usan combustibles fósiles, también aportan al efecto invernadero. Por lo tanto, el efecto invernadero no tiene nada de malo en sí mismo. El problema es que el ser humano ha logrado alterar este mecanismo natural de forma que se ha convertido en un asunto muy serio llamado calentamiento global. TAREA: Graficar el efecto invernadero en el planeta Tierra.
  • 41.
    CALENTAMIENTO GLOBAL La atmósferaposee gases que evitan que el calor del planeta se pierda hacia el espacio exterior y esto impide que la temperatura en la Tierra sea demasiado baja. Estos compuestos se conocen como gases invernadero o termoactivos (CO, NO, CO2, CFCs, O3 y vapor de agua), en conjunto, estos gases atrapan el calor de manera excesiva, provocando un cambio climático anormal denominado calentamiento global, en especial por el incremento de carbono en las últimas décadas. Consecuencias del Calentamiento Global CLIMA: La consecuencia más indudable ha sido el aumento de la temperatura global. En los últimos cien años, la temperatura media del planeta ha subido 0,6 °C y la tendencia es que en los próximos años siga elevándose. Medio grado puede parecer insignificante; sin embargo, los cambios en el clima mundial han sido evidentes, dentro de estos podemos mencionar los siguientes. • Cada vez son más las zonas que experimentan sequías, por lo que existe escasez de agua potable y las tierras que antes eran fértiles ya no lo son. • Hay algunas regiones del planeta que se han visto beneficiadas con este fenómeno como es el caso del Reino Unido, en cuyo suelo se están cultivando la vid y otras plantas de clima mediterráneo. • Se ha provocado un aumento de los océanos debido al deshielo de los casquetes polares, lo que pone en peligro las poblaciones que habitan en las costas. • A medida que los océanos se calientan, las tormentas se tornan más fuertes, y la velocidad del viento y la condensación del agua aumentan. • Pero los efectos del calentamiento global también son visibles en las regiones que se ubican al norte Círculo Polar Ártico. Esta zona permanece congelada la mayor parte del año, y a este suelo que constantemente está congelado se le llama permafrost. En esta capa se almacenan grandes cantidades de carbono. Se estima que en la región de la tundra siberiana hay diez veces la cantidad de carbono emitido anualmente por las actividades humanas. Debido al aumento de la temperatura, el permafrost se ha comenzado a derretir y el carbono ha empezado a liberarse. SALUD: El aumento de la temperatura tiene consecuencias en la salud de los seres humanos, ya que se incrementan los trastornos respiratorios y cardiovasculares, las afecciones por deshidratación, así como las enfermedades infecciosas causadas por vectores tropicales. Estas últimas suceden con mayor frecuencia, pues las zonas tropicales se están extendiendo a altitudes mayores, dando un hábitat propicio a los mosquitos portadores de la malaria, la fiebre amarilla, entre otras. CALIDAD DEL AGUA: El nivel de los ríos y lagos disminuye debido a la gran evaporación generada por las altas temperaturas. Los ríos poco torrentosos pueden secarse eventualmente, afectando a los seres vivos que allí habitan y a la producción de energía eléctrica que depende de algunos de ellos. ECOSISTEMAS TERRESTRES: Se extiende la región tropical hacia latitudes más altas debido al incremento de temperatura. Así, es posible que desaparezcan las regiones actualmente frías como los páramos y bosques de pinos, junto a su flora y fauna. ECOSISTEMAS COSTEROS: Al aumentar el nivel del mar, los ecosistemas de costa como los manglares y estuarios se ven afectados por la erosión y salinización del suelo. Los lugares más perjudicados son los arrecifes, ya que quedan sumergidos a mayor profundidad, lo que impide la penetración suficiente de luz. AGRICULTURA: El suelo se seca por la gran evaporación del agua. Por otro lado, el aumento de la cantidad y frecuencia de las lluvias causa inundaciones. Ambos factores provocan la pérdida de nutrientes del suelo. Esfuerzos para frenar el calentamiento global En un esfuerzo por detener este fenómeno, se estableció el Protocolo de Kioto, que busca que dentro del período entre 2008 y 2012 los países industrializados reduzcan sus emisiones de gases de efecto invernadero en un 5,2% con respecto a las emisiones de 1990. Dicho acuerdo entró en vigencia en 2004. Sin embargo, no todos los países lo firmaron, siendo el caso de Australia y Estados Unidos, este último responsable del 36,1 % de las emisiones mundiales. Dentro del Protocolo se establecen metas individuales para cada país o región. Lo interesante es que a los países con emisiones bajas se les autoriza aumentarlas. Esto ha originado que se negocien lo que se llama unidades de carbono. Es decir, si un país excede el límite de emisión de gases invernadero que se le impuso en el tratado, puede comprarle unidades de carbono a otro país, cuyas emisiones sean menores de lo que tiene permitido. Con esta medida se busca que cada vez más países industrializados se unan al esfuerzo de frenar el calentamiento global sin comprometer su desarrollo económico. Para los países en vías de desarrollo representa una oportunidad para obtener una fuente adicional de ingresos económicos.
  • 42.
    ADELGAZAMIENTO DE LACAPA DE OZONO El ozono forma una capa delgada sobre la Tierra, más o menos entre 20 y 30 km por encima de la superficie terrestre. Esta capa protege a los seres vivos de la acción directa de los rayos ultravioleta, responsables del cáncer de piel y alteraciones genéticas. En la atmósfera, el oxígeno se puede encontrar de dos formas: el oxígeno normal conformado por dos átomos de oxígeno (O2), y el ozono (O3) compuesto por tres átomos de oxígeno. Para transformar un compuesto en el otro, es necesaria la acción de la luz ultravioleta, la cual rompe los enlaces existentes entre los átomos de oxígeno, liberando átomos que configuran uniones con otros átomos solitarios de oxígeno o con moléculas de oxígeno, O2. De esta manera, el ozono se crea y se destruye constantemente. Sustancias químicas como los clorofluorocarbonados (CFC), usados durante mucho tiempo como refrigerantes en las neveras y aires acondicionados y como propulsores en los aerosoles, afectan el equilibrio de las concentraciones de ozono. Las primeras evidencias sobre la destrucción de la capa de ozono se presentaron en la década de 1970. En 1985 varios científicos reportaron la existencia de un agujero en la capa de ozono ubicado en la Antártida. El espesor normal de la capa de ozono es de aproximadamente 1,4 mm, mientras que en la Antártida el grosor es casi de 1 mm . Esta disminución es más notoria en la Antártida que en el resto del planeta a causa de las condiciones climáticas de esta zona; el frío intenso favorece la acción de los compuestos químicos que degradan el ozono, incluso si han sido liberados a miles de kilómetros de distancia. Además, la permanente oscuridad contribuye a la formación de nubes con alto contenido de cloro, uno de los elementos que destruye el ozono. Cabe recalcar que el agujero en la capa de ozono no es permanente, sino que es un fenómeno estacional que ocurre en cada primavera austral de la Antártida. El hueco que se abre es tan amplio como Estados Unidos y tan profundo como el monte Everest. Éste ha crecido cada año desde 1979, excepto en 1988. Alcanzó su mayor tamaño en 1992 (cubrió 60 millones de km2), debido a la erupción del volcán Monte Pinatubo, el mismo que lanzó gases de ácido sulfúrico. Soluciones al problema del adelgazamiento de la capa de ozono En 1987 se firmó el Protocolo de Montreal en Canadá, que busca reducir la emisión de sustancias que degradan el ozono. Los resultados han sido notorios, a tal punto que se ha hecho evidente la disminución del tamaño del agujero y se pronostica que a mediados del siglo XXI la capa estará completamente restituida. La zona ecuatorial es el único punto que no podrá recuperar por completo la capa de ozono. La estructura de la atmósfera y la dirección de los vientos impiden que se produzca el ozono. La incidencia de los rayos ultravioleta por ausencia del ozono causa mayores alteraciones en la piel de los habitantes que viven en estas regiones. TAREA: Consulta los problemas que causa al planeta el adelgazamiento de la capa de ozono. EJERCICIO: Realiza un organizador gráfico donde resumas los aspectos más importantes del adelgazamiento de la capa de ozono.
  • 43.
    LLUVIA ÁCIDA El gradode acidez se mide en una escala que va de 0 a 14, siendo 0 el extremo ácido y 14 el extremo básico. Un pH de 7 es neutro. La lluvia no contaminada se caracteriza por ser ligeramente ácida y tener un pH entre 5 y 6. Esto se debe a que el aire contiene compuestos que reaccionan con el agua suspendida en la atmósfera, dándole su carácter levemente ácido. A lo largo de la historia de la Tierra la lluvia, por su carácter ácido, ha desgastado rocas superficiales y ha penetrado en otras hasta desaparecerlas. La utilización de combustibles fósiles en la industria, los automóviles y las centrales eléctricas producen óxidos de nitrógeno y dióxido de azufre. Estos gases reaccionan con el agua suspendida en las nubes y forman ácido sulfúrico y ácido nítrico que al caer en la tierra ocasionan cuantiosos daños. Los contaminantes de la lluvia ácida son capaces de moverse de un continente a otro arrastrados por los vientos y, posteriormente, en forma de rocío, niebla, llovizna, nieve o lluvia. Efectos de la lluvia ácida La lluvia ácida afecta a los seres vivos, contamina las aguas superficiales y subterráneas, y daña el suelo. La acidez tiene la capacidad de corroer diversas sustancias, entre ellas algunas tóxicas, como el aluminio, que pueden llegar a las fuentes de agua. Existe la posibilidad de que los suelos pierdan su fertilidad si la acidez es excesiva, pues los microorganismos y las plantas no toleran mucha acidez. Estos daños pueden llegar a ser irreversibles. Además, alteran la economía cuando los suelos dejan de ser fértiles y se pierden fuentes de agua. •En las plantas: La lluvia ácida no mata directamente a las plantas sino que las debilita, volviéndolas más vulnerables a la acción del frío, el viento, la sequía, los parásitos y enfermedades. La lluvia ácida cae directamente en las hojas, quita su cubierta cerosa y ocasiona lesiones que modifican la acción fotosintética. Por tanto, las plantas pierden la posibilidad de sintetizar carbohidratos. •En los animales: Los más afectados son los animales acuáticos, sobre todo los más jóvenes o los huevos. Se produce la muerte del fitoplancton, el cual es comestible para los insectos, los mismos que se ven afectados al tener menos comida y también mueren. Como estos insectos son el sustento de peces, ranas y pájaros, estos también se perjudican por la escasez de alimento. Es así que el efecto se ve trasladado a toda la red alimenticia. •En las ciudades: La lluvia ácida que cae en las ciudades afecta las fachadas de los edificios, las tuberías, los cables, daña estatuas y las partes metálicas de ventanas y automotores. Estos deterioros ocasionan pérdidas económicas sustanciales. EJERCICIO EN CLASE: Escribe V o F según corresponde y argumenta tu respuesta: 1) La lluvia ácida tiene un pH 7. (___) _________________________________________________________________________________________ 2) Los combustibles fósiles colaboran en la formación de lluvia ácida. (___) _________________________________________________________________________________________ 3) Los contaminantes de la lluvia ácida no son capaces de moverse de un continente a otro. (___) _________________________________________________________________________________________ 4) Los suelos no pierden la fertilidad si la acidez de la lluvia es excesiva. (___) _________________________________________________________________________________________ 5) La lluvia ácida mata directamente a las plantas. (___) _________________________________________________________________________________________ TAREA: Pega un gráfico de la formación de la lluvia ácida.
  • 44.
    TAREA/EJERCICIO 1) ¿Qué efectosprovoca la contaminación del aire? 2) ¿Qué es el efecto invernadero? 3) ¿Qué gases producen el efecto invernadero? 4) ¿Causa problemas por si solo el efecto invernadero? ¿Cuándo se crea el problema? 5) ¿Qué es el calentamiento global? 6) ¿Cuáles son las consecuencias en el clima del calentamiento global? 7) ¿Qué es el permafrost? Y ¿Cuál es el problema que esta existiendo con el permafrost? 8) ¿Qué consecuencias tiene en la salud el calentamiento global? 9) ¿Qué problema causa en la calidad del agua el calentamiento global? 10) ¿Qué efectos tiene el calentamiento global en los ecosistemas terrestres y costeros? 11) ¿En qué consiste el Protocolo de Kioto? 12) ¿Qué países que contaminan no firmaron el Protocolo de Kioto? 13) ¿Qué función tiene la capa de ozono? 14) ¿Por qué se da el adelgazamiento de la capa de ozono? 15) ¿Qué problemas trae consigo el adelgazamiento de la capa de ozono? 16) ¿Qué comportamiento tiene el agujero de la capa de ozono? 17) ¿Cuál es la solución que existe para frenar el adelgazamiento de la capa de ozono? 18) ¿Qué es la lluvia ácida? 19) ¿Por qué se forma la lluvia ácida? 20) Explique los efectos que tiene la lluvia ácida sobre la naturaleza. TAREA/EJERCICIO 1) ¿Qué efectos provoca la contaminación del aire? 2) ¿Qué es el efecto invernadero? 3) ¿Qué gases producen el efecto invernadero? 4) ¿Causa problemas por si solo el efecto invernadero? ¿Cuándo se crea el problema? 5) ¿Qué es el calentamiento global? 6) ¿Cuáles son las consecuencias en el clima del calentamiento global? 7) ¿Qué es el permafrost? Y ¿Cuál es el problema que esta existiendo con el permafrost? 8) ¿Qué consecuencias tiene en la salud el calentamiento global? 9) ¿Qué problema causa en la calidad del agua el calentamiento global? 10) ¿Qué efectos tiene el calentamiento global en los ecosistemas terrestres y costeros? 11) ¿En qué consiste el Protocolo de Kioto? 12) ¿Qué países que contaminan no firmaron el Protocolo de Kioto? 13) ¿Qué función tiene la capa de ozono? 14) ¿Por qué se da el adelgazamiento de la capa de ozono? 15) ¿Qué problemas trae consigo el adelgazamiento de la capa de ozono? 16) ¿Qué comportamiento tiene el agujero de la capa de ozono? 17) ¿Cuál es la solución que existe para frenar el adelgazamiento de la capa de ozono? 18) ¿Qué es la lluvia ácida? 19) ¿Por qué se forma la lluvia ácida? 20) Explique los efectos que tiene la lluvia ácida sobre la naturaleza. TAREA/EJERCICIO 1) ¿Qué efectos provoca la contaminación del aire? 2) ¿Qué es el efecto invernadero? 3) ¿Qué gases producen el efecto invernadero? 4) ¿Causa problemas por si solo el efecto invernadero? ¿Cuándo se crea el problema? 5) ¿Qué es el calentamiento global? 6) ¿Cuáles son las consecuencias en el clima del calentamiento global? 7) ¿Qué es el permafrost? Y ¿Cuál es el problema que esta existiendo con el permafrost? 8) ¿Qué consecuencias tiene en la salud el calentamiento global? 9) ¿Qué problema causa en la calidad del agua el calentamiento global? 10) ¿Qué efectos tiene el calentamiento global en los ecosistemas terrestres y costeros? 11) ¿En qué consiste el Protocolo de Kioto? 12) ¿Qué países que contaminan no firmaron el Protocolo de Kioto? 13) ¿Qué función tiene la capa de ozono? 14) ¿Por qué se da el adelgazamiento de la capa de ozono? 15) ¿Qué problemas trae consigo el adelgazamiento de la capa de ozono? 16) ¿Qué comportamiento tiene el agujero de la capa de ozono? 17) ¿Cuál es la solución que existe para frenar el adelgazamiento de la capa de ozono? 18) ¿Qué es la lluvia ácida? 19) ¿Por qué se forma la lluvia ácida? 20) Explique los efectos que tiene la lluvia ácida sobre la naturaleza. TAREA/EJERCICIO 1) ¿Qué efectos provoca la contaminación del aire? 2) ¿Qué es el efecto invernadero? 3) ¿Qué gases producen el efecto invernadero? 4) ¿Causa problemas por si solo el efecto invernadero? ¿Cuándo se crea el problema? 5) ¿Qué es el calentamiento global? 6) ¿Cuáles son las consecuencias en el clima del calentamiento global? 7) ¿Qué es el permafrost? Y ¿Cuál es el problema que esta existiendo con el permafrost? 8) ¿Qué consecuencias tiene en la salud el calentamiento global? 9) ¿Qué problema causa en la calidad del agua el calentamiento global? 10) ¿Qué efectos tiene el calentamiento global en los ecosistemas terrestres y costeros? 11) ¿En qué consiste el Protocolo de Kioto? 12) ¿Qué países que contaminan no firmaron el Protocolo de Kioto? 13) ¿Qué función tiene la capa de ozono? 14) ¿Por qué se da el adelgazamiento de la capa de ozono? 15) ¿Qué problemas trae consigo el adelgazamiento de la capa de ozono? 16) ¿Qué comportamiento tiene el agujero de la capa de ozono? 17) ¿Cuál es la solución que existe para frenar el adelgazamiento de la capa de ozono? 18) ¿Qué es la lluvia ácida? 19) ¿Por qué se forma la lluvia ácida? 20) Explique los efectos que tiene la lluvia ácida sobre la naturaleza.
  • 45.
    P3.1. La Contaminacióndel Suelo no es contaminación del agua ni del aire. Como ya lo habíamos estudiando, la diferencia entre los tres tipos de contaminación ambiental es el sustrato al cuál contaminan, en el caso de la contaminación del aire puede existir la alteración de la calidad del aire debido a actividades antrópicas y naturales que emiten contaminantes gaseosos al aire. EJERCICIO EN CLASE: 1)Realiza un silogismo con los siguientes términos: Contaminación del aire, Alteración de la calidad del aire, Contaminación del Suelo. 2) Completa las siguientes analogías: •______________________ es la contaminación del aire como PAHs, COVs es a contaminación del suelo. •Pérdida de la productividad del suelo es a _____________________ como ____________________ es a contaminación del aire. •Lluvia ácida es a contaminación del aire como _____________________ es a contaminación del suelo. •GEI es a contaminantes del aire como ___________________________ son a contaminantes del suelo. •pH 7 es a neutro como _________ es a ácido. P4.1. La Contaminación del aire según el origen del contaminante puede ser natural: incendios forestales naturales y erupciones volcánicas. La contaminación natural no causa graves problemas, se puede producir por fenómenos naturales como son incendios, erupciones volcánicas, huracanes, entre otros. A continuación detallaremos los principales fenómenos naturales que afectan al aire: INCENDIOS FORESTALES NATURALES: especialmente en épocas de calor pueden desatarse incendios que emiten al aire gran cantidad de dióxido de carbono y monóxido de carbono, colaborando al calentamiento global ya que son GEI. ERUPCIONES VOLCÁNICAS: Las cenizas volcánicas que son expulsadas cuando existe una erupción contienen plomo, cadmio y arsénico. Además, las partículas grandes causan problemas respiratorios, conjuntivitis, alergias en la piel, entre otros. Afecciones que influyen sobre todo en los niños, las niñas y ancianos, el segmento más vulnerable de la población. Un ejemplo de esto, ha sido la provincia de Pichincha y sus alrededores , ya que han sido el escenario de la caída de ceniza en varias ocasiones por las erupciones del volcán Pichincha. Las ciudades de Ambato, Baños, Riobamba y sus periferias han pasado el mismo proceso por el volcán Tungurahua. También las erupciones del Reventador han afectado varias localidades en los últimos años. TAREA: Investiga los daños que provocan a la salud la ceniza de los volcanes .
  • 46.
    P4.2. La Contaminacióndel aire según el origen del contaminante puede ser antropogénica: vehículos, industrias, generación de electricidad y transportes aéreos. Nos referimos a contaminación antropogénica cuando es realizada por actividades humanas, como consecuencia el crecimiento de las ciudades, sistemas de producción de energía, industrias y transporte que son los causantes mayoritarios de la contaminación del aire. A continuación detallaremos los problemas que causan las principales actividades contaminantes: VEHÍCULOS: La mayor contaminación atmosférica es causada por los vehículos que utilizan hidrocarburos de baja calidad, según la Dirección Nacional de Hidrocarburos del Ecuador. Por ejemplo, la cantidad de azufre que tiene el diesel en nuestro país es diez veces mayor a la que toleran las normas en Estados Unidos. Aunque al menos estos combustibles ya no contienen plomo. Solo en Quito se consumen anualmente seis millones de barriles de combustibles, lo cual significa una contaminación de 150 000 toneladas de desechos. Mientras que en Guayaquil se arrojan 104 000 toneladas de desechos tóxicos por año. La tasa de crecimiento del parque automotor en el Ecuador es de 9,8 % al año. En el 2009 se contabilizó en Quito una circulación de 400 000 vehículos privados. INDUSTRIAS: Muchas ciudades del país conviven junto a fábricas y otras industrias que eliminan gases nocivos. Esta cercanía ha ocurrido debido al incumplimiento de leyes que prohíben a las industrias su instalación próxima a los centros poblados y al crecimiento de las ciudades, lo cual trae como resultado que los sitios antes periféricos hoy estén en medio de las ciudades. Las industrias son generadoras de todos los contaminantes específicos estudiados, también pueden eliminarse otros contaminantes como metales pesados y otras sustancias tóxicas, dependiendo del tipo de industria, todos los contaminantes de las industrias son causantes de la lluvia ácida y el calentamiento global. GENERACIÓN DE ELECTRICIDAD: Las plantas hidroeléctricas emiten partículas suspendidas producto de los motores de combustión, además de los gases ya citados. P4.2. La Contaminación del aire según el origen del contaminante puede ser antropogénica: vehículos, industrias, generación de electricidad y transportes aéreos. Nos referimos a contaminación antropogénica cuando es realizada por actividades humanas, como consecuencia el crecimiento de las ciudades, sistemas de producción de energía, industrias y transporte que son los causantes mayoritarios de la contaminación del aire. A continuación detallaremos los problemas que causan las principales actividades contaminantes: VEHÍCULOS: La mayor contaminación atmosférica es causada por los vehículos que utilizan hidrocarburos de baja calidad, según la Dirección Nacional de Hidrocarburos del Ecuador. Por ejemplo, la cantidad de azufre que tiene el diesel en nuestro país es diez veces mayor a la que toleran las normas en Estados Unidos. Aunque al menos estos combustibles ya no contienen plomo. Solo en Quito se consumen anualmente seis millones de barriles de combustibles, lo cual significa una contaminación de 150 000 toneladas de desechos. Mientras que en Guayaquil se arrojan 104 000 toneladas de desechos tóxicos por año. La tasa de crecimiento del parque automotor en el Ecuador es de 9,8 % al año. En el 2009 se contabilizó en Quito una circulación de 400 000 vehículos privados. INDUSTRIAS: Muchas ciudades del país conviven junto a fábricas y otras industrias que eliminan gases nocivos. Esta cercanía ha ocurrido debido al incumplimiento de leyes que prohíben a las industrias su instalación próxima a los centros poblados y al crecimiento de las ciudades, lo cual trae como resultado que los sitios antes periféricos hoy estén en medio de las ciudades. Las industrias son generadoras de todos los contaminantes específicos estudiados, también pueden eliminarse otros contaminantes como metales pesados y otras sustancias tóxicas, dependiendo del tipo de industria, todos los contaminantes de las industrias son causantes de la lluvia ácida y el calentamiento global. GENERACIÓN DE ELECTRICIDAD: Las plantas hidroeléctricas emiten partículas suspendidas producto de los motores de combustión, además de los gases ya citados.
  • 47.
    APLICACIÓN Como aplicación parael bloque de Contaminación del aire se realizara el experimento del EFECTO INVERNADERO, realizando un pequeño invernadero que demuestre como concentra el calor. El experimento se realiza uno por todos los niveles de noveno de básica de la institución, cada uno colaborará con una planta. Los demás materiales requeridos serán pedidos dividendo por cursos. Objetivo: Constatar el incremento de temperatura existente en el invernadero al no dejar escapar el CO2 que producen las plantas. Estudiantes: Noveno de Básica Altruistas, Audaces y Auténticos. Materiales: Plantas de diferentes tipos. Plástico 10m 8 palos 5m 25 clavos
  • 48.
    BLOQUE 5: FUENTES DEAGUA AL FINALIZAR ESTE BLOQUE SERÉ COMPETENTE PARA: 1.-Reconocer la relevancia del uso de fuentes de aguas superficiales y subterráneas como una solución alternativa del abastecimiento de agua para consumo humano, Conceptualizando las fuentes de agua como recurso natural. Enunciando las fuentes de agua superficiales y subterráneas con su respectivo uso. Analizando experiencias, investigaciones bibliográficas y modelos experimentales de las fuentes del agua. 2.-Relacionar la formación de suelos con los mecanismos de transporte y modelado hídrico e identificación de las características en la composición que presenta este recurso natural. Describiendo la influencia del ciclo hídrico en la formación y composición de los suelos. Explicando la importancia del ciclo hídrico para la reposición de las aguas superficiales y subterráneas. 3.-Analizar la influencia de la cuenca del Pacífico y la cuenca Amazónica en la biodiversidad de la región, desde la información obtenida de diversas fuentes y la interpretación de mapas biogeográficos, hidrográficos y físicos. Explicando la influencia de la cuenca del Pacífico y Amazónico en la biodiversidad de nuestro país. PRE-REQUISITO: AGUA APREHENDIZAJES: Proposiciones del concepto «Fuentes de Agua» RECURSOS: Láminas del ciclo del agua, libro Curtis Biología Naturaleza Viva 10 Ciencias Naturales Norma, internet, videos de la contaminación del agua.
  • 49.
    MOTIVACIÓN ACTIVIDAD RETO: Comoactividad reto escucharemos el programa de la EMAAP sobre el agotamiento del agua y observaremos un video que demuestra el problema actual del planeta, sobre la cantidad de agua que existe y qué sucede con el agua contaminada que no es apta para el consumo humano, para entender la importancia del agua y la problemática que estamos viviendo por su escases, para de esta manera los chicos se encuentren interesados en conocer las fuentes de agua que existen y su uso. PREGUNTAS AFECTIVAS: Después de esta actividad y su retroalimentación en el aula, se realizaran las siguientes preguntas afectivas: • ¿Existe una cantidad ilimitada de agua en el planeta? • ¿Les parece importante cuidar el agua que existe para el consumo humano? • ¿Cuál es la importancia del agua para la vida? • ¿Cuál es la importancia del agua para el ser humano? • ¿Podríamos vivir sin agua? • ¿Les parece importante conocer como se encuentra el agua de consumo humano en nuestro planeta? ARGUMENTOS: Es importante que conozcamos la utilidad del agua en nuestra vida diaria, la utilizamos desde que nos despertamos hasta que nos vamos a acostar, es el elemento vital de la vida e influye indudablemente en los ecosistemas, las cuencas hidrográficos se encargar del modelado del suelo, obtenemos de estas el agua para el uso diario, y es necesario mencionar que actualmente utilizamos la fuerza del agua para la obtención de energía limpia en nuestro país, así que debemos conocer los lugares o las fuentes de donde obtenemos el agua, elemento indispensable para mantener la vida en el planeta, el mismo que no es inagotable y lo debemos aprender a cuidar, si queremos disfrutar de este recurso por más tiempo.
  • 50.
    PRE – REQUISITO: El agua ¿Qué es la Hidrología? Esta palabra proviene del griego hydor que significa “agua”. Es una ciencia dedicada al estudio de diferentes aspectos de las interrelaciones del agua con su ambiente en la Tierra: la hidrología se concentra básicamente en las interrelaciones de las aguas superficiales con su ambiente. Así, divide el estudio de los diversos fenómenos en varias disciplinas: Hidrometeorología Se concentra en el agua localizada en la capa inferior de la atmósfera. Hidrometría Se encarga de las mediciones del agua superficial, especialmente precipitación. Hidrografía Descripción y realización de mapas de los grandes cuerpos de agua como lagos, mares y océanos. ¿Qué es la Geohidrología? Esta es una ciencia relativamente nueva que se deriva de la Hidrología. La raíz griega geo significa “tierra”, por tanto, la Geohidrología se refiere al estudio del agua en la tierra, es decir, al estudio de aguas subterránea que existen en el planeta. Se realiza con el objetivo de conocer cuál es su ubicación en el planeta y las formas de aprovecharla sin causar daños en el ambiente. •Un ejemplo del proceso que aplica la Geohidrología es cuando se busca un terreno para el cultivo de plantas alimenticias. Éste debe ser rico en recursos y tener un abastecimiento constante de agua. Entonces, los geohidrólogos efectúan estudios para determinar la presencia de corrientes subterráneas y el mejor lugar para construir un pozo que permita aprovechar el agua. Ejercicio en clase: Observa el siguiente gráfico y escribe 5 razones de porque es tan importante el agua en nuestras vidas.
  • 51.
    PRE – REQUISITO:EL AGUA El agua como un recurso vital más que un recurso natural, ya que es el elemento responsable de la vida en nuestro planeta. El agua es fundamental tanto para los seres vivos como para los ecosistemas. El mundo, tal como lo conocemos, no podría existir sin la presencia de este líquido. Propiedades del Agua •Transparencia.- al ser un líquido translúcido, permite el paso de los rayos solares esenciales para que las plantas realicen la fotosíntesis. •Elevado calor específico.- es la capacidad del agua de mantener su temperatura constante. Así, el agua de ríos, mares y lagos no experimentan cambios bruscos de temperatura que podrían afectar a los seres vivos. •Solubilidad.- es un disolvente universal que permite que los nutrientes y algunos gases como el O2 y CO2 estén disueltos en ésta y, a su vez, disponibles para que los seres vivos los puedan utilizar. •Cohesión.- es la capacidad de mantener sus moléculas fuertemente unidas, lo cual facilita a los insectos desplazarse sobre el agua para depositar sus huevos o que las aves pueden flotar para pescar, etcétera. La fuerza de cohesión también es utilizada por el sistema vascular de las plantas, para que el agua ascienda desde la raíz hasta todas las estructuras como las ramas y sus hojas. El xilema es el conducto por donde se transporta el agua y los minerales. Importancia del agua para la vida: Todas las investigaciones apuntan a que la vida en la Tierra se originó en el agua. Además, los organismos que hemos evolucionado hacia una forma de vida terrestre seguimos dependiendo de este líquido desde nuestra concepción. El agua conforma más del 80 % del cuerpo de casi todos los seres vivos, y toma parte de las reacciones metabólicas que estos realizan, entre ellas la fotosíntesis en los vegetales. El agua es el hábitat de un gran número de organismos en estado larvario y/o adulto. Importancia del agua para el ser humano: el ser humano utiliza el agua para todas sus actividades diarias como son: recreativas, agricultura y ganadería, limpieza, riego, doméstico, como vías de comunicación, fuente de energía, industrias, para realizar deportes, entre otros. CICLO DEL AGUA Es el movimiento constante del agua a través de los océanos, de la superficie terrestre y de la atmósfera. Comienza cuando la radiación del sol evapora el agua líquida, es decir, la convierte en vapor de agua, y luego ésta asciende a la atmósfera desde la superficie terrestre. Cerca del 85 % del agua evaporada proviene de la superficie de los océanos; también se evapora desde los suelos, los lagos y los ríos. La condensación y la precipitación permiten que el agua evaporada regrese a la superficie en forma de lluvia, de granizo o de nieve. La condensación es el cambio de estado de vapor de agua a agua líquida, y es el fenómeno que forma las nubes, la niebla, el rocío, entre otros. Cuando el agua se condensa y se aglomera lo suficiente en una nube como para formar una gota, ésta se precipita, es decir, cae a la superficie por acción de la fuerza de gravedad. Cerca del 80 % del agua evaporada se precipita directamente sobre los océanos. Una pequeña parte del agua es llevada por los vientos y se precipita sobre el suelo o los cuerpos de agua de los continentes o de las Islas, llamada escorrentía superficial y Otra parte del agua de lluvia se infiltra y llega al océano a través de la escorrentía subterránea. Así, el ciclo del agua se inicia otra vez. Los organismos también contribuyen en el ciclo del agua mediante la transpiración de las hojas de las plantas y la sudoración de los animales. En las selvas tropicales, como la del Amazonas, la transpiración de las plantas aporta más del 80 % del agua evaporada que luego cae en forma de lluvia. EJERCICIO EN CLASE N°1: 1) Contesta las siguientes preguntas: • ¿Qué es el agua? • ¿Cuáles son las propiedades del agua? Explica cada una. • ¿Cuál es la importancia del agua para la vida? • ¿Cuál es la importancia del agua para el ser humano? • ¿Qué es el ciclo del agua? 2) Resuma el ciclo del agua TAREA N°1: Investiga el Ciclo del agua, en tu cuaderno, dibuja o pega este ciclo e indica su importancia para los seres vivos.
  • 52.
    Fuentes de Recursos Naturales Fuentesde calor Fuentes de suelo FUENTES DE AGUA Según el recorrido de la fuente Fuentes de Agua Superficiales Fuentes de Agua Subterránea •Medio de obtención del agua. •Influyen en la formación del suelo mediante el modelado hídrico. PAQUETE PROPOSICIONAL P1.-Toda fuente de agua es una fuente de recurso natural. P2.1 Las fuentes de agua son el medio de donde obtenemos el agua . P2.2.- Las fuentes de agua influye en la formación del suelo mediante el modela hídrico. P3.1 Ninguna fuente de agua es fuente de calor ni suelo. P4.1.- Las fuentes de agua según su recorrido se clasifican en Fuentes de agua superficiales. P4.2.- Las fuentes de agua según su recorrido se clasifican en Fuentes de agua subterránea. Aprehendizaje: Fuentes de agua
  • 53.
    ANÁLISIS PROPOSICIONAL: FUENTESDE AGUA P. definitoria.- Las fuentes de agua son fuentes de recursos naturales que son el medio de donde obtenemos el agua. Definición de términos Fuente: lugar o medio del cual obtenemos un recurso. Argumentación: Porque las fuentes de agua son el medio de donde obtenemos al agua, que es un recurso natural de vital importancia para el ecosistema, los seres vivos y, en especial los seres humanos. EJERCICIO EN CLASE: Realiza un silogismo con los siguientes términos: Fuentes de agua, fuentes de recurso natural y medio de donde se obtiene el agua. P2.2.- Las fuentes de agua influyen en la formación del suelo mediante el modelado hídrico. Definición de términos: Modelo exógeno: __________________________________________________________________ _________________________________________________________________________________ Argumentación: El modelado de la superficie terrestre ocurre como resultado de dos fuerzas: la tectónica de placas, la cual ha creado y destruido continentes, y a la vez generado grandes cadenas montañosas. La segunda fuerza es la del sol, cuya poderosa energía provoca el movimiento de dos capas de fluidos en la Tierra: el agua y el aire. Ambos tienen la fuerza para modificar el relieve del planeta. La erosión, el transporte y la sedimentación que realiza el agua con el material litosférico, da forma al suelo y está directamente relacionado con los eventos del ciclo hidrológico, esto se conoce como erosión hídrica o modelado hídrico. Proceso de la erosión hídrica o modela hídrico: Para hablar de este proceso, debemos analizar los tres tramos en los cuales se dividen los cauces de agua que intervienen en el modelado hídrico: 1. Curso alto. Corresponde a las montañas donde se da el nacimiento de los cauces. Aquí el agua, el hielo y el viento desgastan la roca, removiendo sus materiales que, posteriormente, serán transportados río abajo gracias a la fuerza de gravedad producida en la inclinación de las laderas. 2. Curso medio. Implica las zonas donde se tiende a lograr un equilibrio entre la erosión y la deposición de materiales. Esto ocurre porque la pendiente es menor y la erosión también, lo cual permite depositar una parte del material, mientras que la otra sigue transportándose. Es por esto, entre otros actores climáticos, que estas zonas tienen mayor cantidad de vegetación porque presentan mayor espesor de suelo. 3. Curso bajo. Relacionado con los sectores que están cerca de la desembocadura del río. Puede ser el océano, un lago o laguna. Aquí la pendiente será aún menor y, por tanto, la erosión también. El proceso dominante es la sedimentación del material arrastrad desde los cursos alto y medio.
  • 54.
    En el modeladodel suelo interviene el agua, por sus mecanismos de transporte (aluviones ) que intervienen en la formación del suelo. Mecanismos de transporte del agua: aluviones y formación de suelos ¿Qué es un aluvión? Se conoce como aluvión al deslizamiento de volúmenes grandes de agua, como principal elemento, además de hielo, rocas, tierra y árboles. Formación de suelos por aluviones Los aluviones se producen por la saturación de agua en el suelo debido a cuatro eventos principales: Crecida de los ríos, sobre todo si están en una pendiente con inclinación. La ruptura de una represa o dique. Erupciones volcánicas Terremotos Deshielos repentinos Las grandes masas de agua y material se mueven generalmente a alta velocidad por varios kilómetros, a través de los cuales siguen atrapando material. En el caso de la región Andina, existe una larga historia de aluviones debido a las altitudes de las cumbres de los nevados y montañas. Se originan cuando la nieve se derrite y por la fuerza de la gravedad se deslizan hacia las zonas más bajas, aumentando así su masa porque arrastran piedras y materia vegetal. Si un aluvión sucede en un descampado, no existe ningún peligro. Pero cuando se da en poblaciones es peligroso, ya que es un evento que ocurre sin ningún aviso. Este fenómeno causa mucha destrucción, pues no hay manera de detenerlo y va con tanta fuerza que se lleva todo a su paso: casas, postes, autos, animales, etcétera. Un ejemplo de estos acontecimientos es el aluvión ocurrido en 2006 por la erupción del volcán Tungurahua. Los flujos de lava con lodo bajaron por las laderas del volcán llevándose todo a su paso, incluida la carretera Baños-Riobamba, que hasta este momento permanece inhabilitada. No se ha realizado su reconstrucción pues se presume que nuevos aluviones podrían bajar por los mismos sitios, ya que el Tungurahua continúa siendo un volcán activo. EJERCICIO EN CLASE: 1. ¿Cómo se da el modela hídrico del suelo? 2. ¿Qué son los aluviones? 3. ¿Cómo influyen los aluviones en la formación del suelo? 4. ¿Cuáles son los cauces que intervienen en el modelado hídrico? 5. ¿Cuáles son las 2 fuerzas que intervienen en la formación de la superficie terrestre? TAREA: Investiga en una hoja el sobre el modelado hídrico del suelo. TRABAJO GRUPAL: De la investigación realiza un cuadro de resumen en grupo de 5 personas.
  • 55.
    P4.1.-Las fuentes deagua según el recorrido de la fuente pueden ser fuentes de agua superficial. Definición de términos: Cuenca hidrográfica: Es el territorio donde el agua fluye al mar a través de cauces secundarios que convergen en un cauce único principal. Argumentación: El agua superficial corresponden a los ríos, lagos, lagunas, embalses y mares. Estos cuerpos de agua son de vital importancia tanto para los ecosistemas como para la economía humana. Estas fuentes de agua constituyen vías de navegación, generan electricidad, son centros de diversión, intervienen en la producción piscícola, proveen de agua potable y otros servicios para el ser humano y los seres vivos de todos los ecosistemas. No es casualidad que en la historia humana se hayan construido grandes ciudades a las orillas de ríos y mares. En las fuentes de agua superficial ocurre la evaporación del agua que sube a la atmósfera, se condensa configurando las nubes y vuelve a bajar en forma de lluvia. Una parte del agua cae en lagos, ríos y mares, y otra gran parte se precipita directamente sobre la tierra, en donde puede escurrirse nuevamente hacia los cuerpos de agua o infiltrarse y llegar al manto acuífero subterráneo. LAS VERTIENTES DEL PACÍFICO QUE NACEN EN LA CORDILLERA DE LOS ANDES SON EJEMPLOS DE AGUAS SUPERFICIALES EN ECCUADOR  CUENCA HIDROGRÁFICA DEL PACÍFICO Es el conjunto de todas las vertientes que desembocan en el océano Pacífico. Esta cuenca es la más grande del planeta, pues recibe las aguas del perfil oeste de América y del oriente de Asia. En esta unidad nos concentraremos únicamente en las vertientes que nacen en la cordillera de los Andes. Como sabes, la cordillera de los Andes es una cadena montañosa que atraviesa Chile, Argentina, Bolivia, Perú, Ecuador, Colombia y parte de Venezuela. Al ser la segunda cordillera más alta del mundo, es un lugar muy importante para el ciclo del agua del continente y del planeta. Esto ocurre debido a que el vapor del agua que sube del bosque húmedo tropical se condensa en el frío de los páramos, dando lugar a precipitaciones que originan lagunas y ríos que desembocan a la Amazonia o al Pacífico. Una parte del agua se queda en las cimas de las montañas y volcanes más altos, como hielo y nieve. Estos ríos en su recorrido atraviesan ciudades, bosques y campos, los cuales aprovechan el agua para el riego de cultivos, y las actividades de los animales y personas. En las zonas aún boscosas, las especies endémicas de flora y fauna dependen de esta irrigación para su supervivencia. Los ríos que desembocan en el Pacífico son cortos y torrenciales, no aptos para la navegación. Esto sucede porque en su trayectoria desde los Andes deben recorrer un gran desnivel. Existe una veintena de ríos grandes que desembocan en el Pacífico. Entre los más importantes están Guayas, Santa y Biobío. Estos han permitido la actividad agrícola durante siglos en Sudamérica. Los principales ríos del Ecuador que desembocan en la cuenca del Pacífico son Chota, Esmeraldas, Guayas, Jubones y Macará.
  • 56.
     CUENCA HIDROGRÁFICAAMAZÓNICA La cuenca Amazónica es la mayor selva pluvial del planeta. Cubre aproximadamente 7 millones de kilómetros cuadrados, lo cual equivale al 40 % del territorio de América del Sur. Esta selva recibe una precipitación anual que oscila entre 2 000 y 3 000 mm, una de las más altas del mundo. •Los ríos más importantes de esta cuenca son: Amazonas, Negro, Purus, Madeira Tapajos y Xingu. •Los principales ríos ecuatorianos que alimentan esta cuenca son Putumayo, Napo, Tigre, Pastaza y Santiago. Influencia de la cuenca del Pacífico y la cuenca Amazónica en la biodiversidad de la región Como recordarás, en la costa occidental de América del Sur se ubica la biorregión del Chocó, uno de los “hot spots” de biodiversidad del mundo. Esta región presenta una gran variedad y endemismo de flora y fauna debido a los microsistemas y microclimas que se forman gracias a las quebradas, valles, ríos, lagunas y otros. En la cuenca del Amazonas se localiza la cuarta parte de todas las especies del planeta, es decir, más que en cualquier parte del mundo. Esta biodiversidad depende en gran medida del agua, ya que a causa de las altas temperaturas que se registran, las plantas transpiran en gran cantidad y necesitan recuperar el agua perdida. Hay un gran número de especies vegetales que dependen de las inundaciones periódicas que transportan los nutrientes de un sitio a otro de la selva. Además, hay que recordar que el río Amazonas y sus afluentes, lagos y lagunas, son el hábitat de diversas especies de vertebrados e invertebrados de agua dulce. EJERCICIO EN CLASE: 1) ¿Qué son las fuentes de agua superficial? 2) ¿Qué usos damos al agua superficial? 3) ¿Qué es la evaporación? 4) ¿Qué es una cuenca hidrográfica? 5) ¿Cuál es la importancia de la cuenca del Pacífico? 6) ¿Cuál es la importancia de la cuenca del Amazonas? 7) Realiza un cuadro comparativo entre la cuenca hidrográfica del Pacífico y del Amazonas. 8) En un organigrama indica los ríos del Ecuador que se encuentran formando las cuencas estudiadas. 9) ¿Cuál es la influencia de las cuencas estudiadas sobre la biodiversidad de la región Neotropical y en especial Ecuador? 10) Escribe un ensayo con el tema: Importancia de las cuencas hidrográficas para la biodiversidad. TAREA: En un mapa de América del Sur pinta de azul la cuenca del Pacífico y de rojo la del Amazonas.
  • 57.
    P4.2.-Las fuentes deagua según el recorrido de la fuente pueden ser fuentes de agua subterránea. Definición de términos: Subterráneo: ubicado debajo del suelo. Capa freática: es la primera capa de agua subterránea que se encuentra al realizar una perforación en un terreno. Argumentación: El agua subterránea es aquella que se infiltra a través del suelo hasta llegar al material rocoso que está saturado de agua, se mueve lentamente hacia los niveles más bajos, debido a la fuerza de gravedad que “hala” el agua hacia abajo, eventualmente, llega a los ríos, lagos, mares, etcétera. El suelo está saturado de agua bajo la capa freática, debido a que el agua llena los espacios de las rocas porosas y las grietas existentes entre ellas. Debajo de esta roca puede haber otro tipo de roca más denso o suelo como el arcilloso que impide el paso del agua hacia abajo. Esto impide que el agua baje y se mueva de manera vertical. A continuación detallaremos algunos aspectos sobre el agua subterránea: CALIDAD DEL AGUA SUBTERRÁNEA: A pesar de que la tierra actúa como un excelente filtro de partículas grandes como insectos, hojas y abono, el agua subterránea puede contener sustancias químicas y gases disueltos. Estos contaminantes llegan de desechos domésticos, industriales y de la agricultura. Esta última ocupa grandes cantidades de plaguicidas y herbicidas que bajan a las aguas subterráneas debido a que el agua es un gran disolvente. En las áreas rurales el problema más común es la contaminación ocasionada por la infiltración de los pozos sépticos hacia el agua subterránea. Estos pozos se utilizan para desalojar las aguas servidas, pues hay muchos lugares del área rural que no cuentan con alcantarillado USOS Y ABUSOS DEL AGUA SUBTERRÁNEA: Desde la antigüedad, las personas cavaban pozos para extraer el agua subterránea. El fluido del líquido de estos pozos podía durar corto tiempo o muchos años, dependiendo de si la roca porosa recibía o no agua de precipitación. Estos pozos fueron y son muy importantes para la vida humana en lugares donde el suministro de agua superficial es escaso, como por ejemplo en los desiertos. Esta agua se ha utilizado para el consumo humano, la irrigación de campos de cultivo y para el ganado. Antes se extraía con la ayuda de las manos y las palas, pero en la actualidad se emplean modernos taladros. Cuando se extrae intensivamente el agua subterránea, puede irse vaciando el acuífero lo que trae como consecuencia, en varios lugares, el hundimiento de la tierra donde estaba el agua. Un ejemplo muy conocido es el de la Catedral de la ciudad de México. Este monumento histórico está ubicado sobre un antiguo acuífero que se ha ido secando debido a su uso extensivo. Esto ha causado que la Catedral se hunda a una velocidad de 46 cm por año. De hecho, los datos muestran que toda la ciudad de México se ha hundido 10 m en los últimos 100 años. LUGARES DE LA TIERRA DONDE SE ENCUENTRA AGUA SUBTERRÁNEA: En las últimas décadas se ha incrementado el interés en el agua subterránea, en vista a los problemas que se está enfrentando con el agua superficial debido a su contaminación y escasez. El mapa muestra una visión general de la ubicación de las aguas subterráneas en el planeta. MAPA PÁG 101 Ejercicio en clase: 1) ¿Qué es el agua subterránea? 2) ¿Cómo se encuentra de calidad el agua subterránea actualmente? 3) ¿Cómo se ha utilizado a través del tiempo el agua subterránea? 4) Realiza un silogismo válido con los siguientes términos: FUENTES DE AGUA, FUENTES DE AGUA SUBTERRÁNEA, FUENTES DE AGUA SUERFICIAL. AUTOEVALUACIÓN DEL LIBRO PÁG 111.
  • 58.
    APLICACIÓN Como aplicación parael bloque de Fuentes de agua se realizara una maqueta donde se observe las fuentes de agua superficiales y subterráneas, además el modelo hídrico que moldea al suelo. La maqueta será realizada por cada estudiante con los materiales que cada uno prefiera, y debe ser expuesta para los compañeros de la clase.