Incrustar presentación
Descargar para leer sin conexión


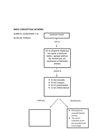
Este documento resume las características básicas de la informática, la importancia de la tecnología en el derecho, y las funciones y usos de Microsoft Word. Explica que la informática estudia la información digital y cómo ingresar y almacenar datos en una computadora. También describe que Word es un programa que permite transcribir textos y agregar gráficos, y que se usa comúnmente en escuelas, universidades y entornos laborales.

