Incrustar presentación
Descargar para leer sin conexión







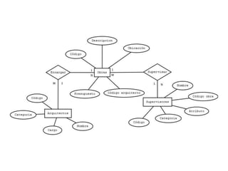
El documento describe la información de varios empleados de un despacho de arquitectura, incluyendo su código, nombre, cargo y categoría. También detalla los datos de varias obras a cargo de los arquitectos como su código, descripción, ubicación, presupuesto y el código del arquitecto encargado. Además, indica los datos de los supervisores de cada obra como su código, nombre, categoría y el código de la obra que supervisan.






