Descarga gratis durante 30 días
Iniciar sesión
Cargar
Idioma (ES)
Atención al cliente
Empresariales
Móvil
Redes sociales
Marketing
Tecnología
Arte y fotografía
Empleo
Diseño
Educación
Presentaciones y charlas públicas
Gobierno y org. sin ánimo de lucro
Atención sanitaria
Internet
Derecho
Liderazgo y gestión
Motor
Ingeniería
Software
Reclutamiento y RR. HH.
Venta al por menor
Ventas
Servicios
Ciencias
PYMES y liderazgo
Alimentación
Medio ambiente
Economía y finanzas
Datos y análisis
Relaciones con inversores
Deportes
Meditación
Noticias y política
Viajes
Desarrollo personal
Sector inmobiliario
Entretenimiento y humor
Salud y medicina
Dispositivos y hardware
Estilo de vida
Cambiar idioma
Idioma
English
Español
Português
Français
Deutsche
Cancelar
Guardar
Enviar búsqueda
ES
Subido por
Willy Ernesto Portugal Duran
26 vistas
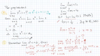
limites introducción bases y ejercicios.pdf
definición de limites y bases
Educación
◦
Leer más
0
Guardar
Compartir
Insertar
Incrustar presentación
1
/ 6
2
/ 6
3
/ 6
4
/ 6
5
/ 6
6
/ 6
Más contenido relacionado
PDF
MOD6_MaePES_XXX_V1-A Calificaciones.pdf
por
Willy Ernesto Portugal Duran
PDF
Lista-CPA 404-2022-ANUAL-D.pdf
por
Willy Ernesto Portugal Duran
PDF
CM-508_A_1S2023 Calificaciones.pdf
por
Willy Ernesto Portugal Duran
PPTX
Intervalos
por
Willy Ernesto Portugal Duran
PDF
C-103_A_1S2023 examenes.pdf
por
Willy Ernesto Portugal Duran
PDF
Nota de Practicas-Metodos.pdf
por
Willy Ernesto Portugal Duran
PDF
C-101_B_1S2023 Calificaciones Analisis Matematico..pdf
por
Willy Ernesto Portugal Duran
PDF
CM-508_B.pdf
por
Willy Ernesto Portugal Duran
MOD6_MaePES_XXX_V1-A Calificaciones.pdf
por
Willy Ernesto Portugal Duran
Lista-CPA 404-2022-ANUAL-D.pdf
por
Willy Ernesto Portugal Duran
CM-508_A_1S2023 Calificaciones.pdf
por
Willy Ernesto Portugal Duran
Intervalos
por
Willy Ernesto Portugal Duran
C-103_A_1S2023 examenes.pdf
por
Willy Ernesto Portugal Duran
Nota de Practicas-Metodos.pdf
por
Willy Ernesto Portugal Duran
C-101_B_1S2023 Calificaciones Analisis Matematico..pdf
por
Willy Ernesto Portugal Duran
CM-508_B.pdf
por
Willy Ernesto Portugal Duran
Más de Willy Ernesto Portugal Duran
PDF
Nube de palabras .pdf
por
Willy Ernesto Portugal Duran
PDF
Nube de palabras
por
Willy Ernesto Portugal Duran
PDF
Calificaciones.pdf
por
Willy Ernesto Portugal Duran
PDF
Cambios de los escenarios educativos (subir)
por
Willy Ernesto Portugal Duran
PDF
Introduccion a las tic (1) [modo de compatibilidad]
por
Willy Ernesto Portugal Duran
PDF
Modulo-I Calificaciones.pdf
por
Willy Ernesto Portugal Duran
PDF
Notas de didactica
por
Willy Ernesto Portugal Duran
PDF
Introduccion a las TIC
por
Willy Ernesto Portugal Duran
PDF
Lista de aprobados
por
Willy Ernesto Portugal Duran
PDF
Peavir3 calificaciones ii
por
Willy Ernesto Portugal Duran
PDF
Examen final de análisis matemático
por
Willy Ernesto Portugal Duran
PDF
Módulo 1.3
por
Willy Ernesto Portugal Duran
DOCX
Tema
por
Willy Ernesto Portugal Duran
PDF
Guión técnico
por
Willy Ernesto Portugal Duran
PPTX
Intervalos.pptx
por
Willy Ernesto Portugal Duran
PDF
Encuesta
por
Willy Ernesto Portugal Duran
PDF
C 101 primer parcial
por
Willy Ernesto Portugal Duran
DOCX
preguntas de la encuesta
por
Willy Ernesto Portugal Duran
PDF
Modulo4 calificacionesfinales
por
Willy Ernesto Portugal Duran
PDF
Notas de didáctica final
por
Willy Ernesto Portugal Duran
Nube de palabras .pdf
por
Willy Ernesto Portugal Duran
Nube de palabras
por
Willy Ernesto Portugal Duran
Calificaciones.pdf
por
Willy Ernesto Portugal Duran
Cambios de los escenarios educativos (subir)
por
Willy Ernesto Portugal Duran
Introduccion a las tic (1) [modo de compatibilidad]
por
Willy Ernesto Portugal Duran
Modulo-I Calificaciones.pdf
por
Willy Ernesto Portugal Duran
Notas de didactica
por
Willy Ernesto Portugal Duran
Introduccion a las TIC
por
Willy Ernesto Portugal Duran
Lista de aprobados
por
Willy Ernesto Portugal Duran
Peavir3 calificaciones ii
por
Willy Ernesto Portugal Duran
Examen final de análisis matemático
por
Willy Ernesto Portugal Duran
Módulo 1.3
por
Willy Ernesto Portugal Duran
Tema
por
Willy Ernesto Portugal Duran
Guión técnico
por
Willy Ernesto Portugal Duran
Intervalos.pptx
por
Willy Ernesto Portugal Duran
Encuesta
por
Willy Ernesto Portugal Duran
C 101 primer parcial
por
Willy Ernesto Portugal Duran
preguntas de la encuesta
por
Willy Ernesto Portugal Duran
Modulo4 calificacionesfinales
por
Willy Ernesto Portugal Duran
Notas de didáctica final
por
Willy Ernesto Portugal Duran
Último
PDF
Estrategias de Investigacion Cualitativa Ccesa007.pdf
por
Demetrio Ccesa Rayme
PDF
Problemas de la Teoria de Probabilidades y la Estadistica Matematica Ccesa007...
por
Demetrio Ccesa Rayme
PDF
Serie Inteligencia Emocional - Proposito , Sentido y Pasion HBR Ccesa007.pdf
por
Demetrio Ccesa Rayme
PDF
Conjuntos, Operaciones y Números Reales.
por
Iutaeb
PDF
Probabilidad y Estadistica para Ingenieria y Ciencias Ccesa007.pdf
por
Demetrio Ccesa Rayme
PDF
AMISTAD CON EL MUNDO Por Jonathan Bravo
por
Jonathan Bravo
PDF
EXAMINAOS SI ESTÁIS EN LA FE. Por Jonathan Bravo
por
Jonathan Bravo
PDF
NO HE REHUIDO ANUNCIAROS TODO EL CONSEJO DE DIOS Por Jonathan Bravo
por
Jonathan Bravo
PDF
Puco 4111 – Métodos De Investigación En Publicidad Comercial I.pdf
por
Alberto Soto
PDF
Inteligencia Artificial El Nuevo Cerebro Electronico Ccesa007.pdf
por
Demetrio Ccesa Rayme
PDF
Como ganar amigos e influir en las personas - Dale Carnegie Ccesa007.pdf
por
Demetrio Ccesa Rayme
PPTX
c5.ch2.p2.p6. Los liberales y los indígenas.pptx
por
Martín Ramírez
PPTX
Introducción a Control Escolar de CUValles - 2026a
por
veganet
PPTX
c5.ch2.p2.p5. El conservadurismo y sus vertierntes.pptx
por
Martín Ramírez
PDF
Inecuaciones Lineales y Cuadraticas X2 Ccesa007.pdf
por
Demetrio Ccesa Rayme
PDF
Cerámica: Fundamentos y Técnicas Artesanales
por
situkira
PDF
Registro de materias en Curso de Inducción 2026A - CUValles
por
veganet
PDF
Aulas y Laboratorios para las materias de CUValles - 2026a
por
veganet
PPTX
c2.hu2.p2.p3.Las formas del poder...pptx
por
Martín Ramírez
PDF
4°🦋♾️S17 Cuadernillo trabajo Juan Pablo.pdf
por
MonserratMora11
Estrategias de Investigacion Cualitativa Ccesa007.pdf
por
Demetrio Ccesa Rayme
Problemas de la Teoria de Probabilidades y la Estadistica Matematica Ccesa007...
por
Demetrio Ccesa Rayme
Serie Inteligencia Emocional - Proposito , Sentido y Pasion HBR Ccesa007.pdf
por
Demetrio Ccesa Rayme
Conjuntos, Operaciones y Números Reales.
por
Iutaeb
Probabilidad y Estadistica para Ingenieria y Ciencias Ccesa007.pdf
por
Demetrio Ccesa Rayme
AMISTAD CON EL MUNDO Por Jonathan Bravo
por
Jonathan Bravo
EXAMINAOS SI ESTÁIS EN LA FE. Por Jonathan Bravo
por
Jonathan Bravo
NO HE REHUIDO ANUNCIAROS TODO EL CONSEJO DE DIOS Por Jonathan Bravo
por
Jonathan Bravo
Puco 4111 – Métodos De Investigación En Publicidad Comercial I.pdf
por
Alberto Soto
Inteligencia Artificial El Nuevo Cerebro Electronico Ccesa007.pdf
por
Demetrio Ccesa Rayme
Como ganar amigos e influir en las personas - Dale Carnegie Ccesa007.pdf
por
Demetrio Ccesa Rayme
c5.ch2.p2.p6. Los liberales y los indígenas.pptx
por
Martín Ramírez
Introducción a Control Escolar de CUValles - 2026a
por
veganet
c5.ch2.p2.p5. El conservadurismo y sus vertierntes.pptx
por
Martín Ramírez
Inecuaciones Lineales y Cuadraticas X2 Ccesa007.pdf
por
Demetrio Ccesa Rayme
Cerámica: Fundamentos y Técnicas Artesanales
por
situkira
Registro de materias en Curso de Inducción 2026A - CUValles
por
veganet
Aulas y Laboratorios para las materias de CUValles - 2026a
por
veganet
c2.hu2.p2.p3.Las formas del poder...pptx
por
Martín Ramírez
4°🦋♾️S17 Cuadernillo trabajo Juan Pablo.pdf
por
MonserratMora11