CON ESTUDIOS RECONOCIDOS ANTE LA SECRETARÍA DE EDUCACIÓN PÚBLICA (SEP),
SEGÚN ACUERDO No. 2007337 DE FECHA 23 DE MARZO 2007
MODELADO VISUAL DE APLICACIONES DOMINO
TESIS
QUE PARA OBTENER EL GRADO DE:
MAESTRÍA EN TECNOLOGÍAS DE INFORMACIÓN
PRESENTA:
HIRIAM EDUARDO PÉREZ VIDAL
ASESOR: MATI GWENDOLYNE DELGADO GARCÍA DE LA CADENA
CUERNAVACA, MORELOS. DICIEMBRE DE 2009
   
Abstract
The  following  research  presents:  a  Domain  Specific  Language  Modeling  (DSLM)  for  Lotus  
Notes  applications  and  a  software  tool  that  implements  it.    
This   tool   allows   to   design   applications   using   the   DSL   for   Lotus   Notes   Applications,   and  
create  the  application  code.  
Resúmen
El   siguiente   trabajo   de   investigación   presenta:   un   lenguaje   de   modelado   de   dominio  
específico  para  aplicaciones  Lotus  Notes  (DSLM)  y  una  herramienta  de  software  que  lo  
implementa.    
Esta   herramienta   permitirá   a   partir   de   un   determinado   modelo   generar   el   código   de   la  
aplicación  correspondiente.  
  
Tesis:  Modelado  Visual  de  Aplicaciones  Domino  
Índices  
i    
  
Contenido  
Introducción  ........................................................................................................................  1
Antecedentes  .....................................................................................................................  3
Planteamiento  del  problema  ..............................................................................................  4
Objetivos  de  la  tesis  ...........................................................................................................  5
Objetivo  general  .............................................................................................................  5
Objetivos  específicos  .....................................................................................................  5
Justificación  .......................................................................................................................  5
Hipótesis  ............................................................................................................................  6
Beneficios  esperados  ........................................................................................................  6
Alcance  y  limitaciones  .......................................................................................................  7
Metodología  .......................................................................................................................  7
Estructura  de  la  tesis  .........................................................................................................  9
Estado  del  arte  .................................................................................................................  11
1. Capítulo:  Diseño  de  software  ...................................................................................  13
1.1. Introducción  ..........................................................................................................  14
1.2. Diseño  ...................................................................................................................  15
1.3. Lenguajes  y  modelado  visual  ................................................................................  21
1.3.1. UML  ...............................................................................................................  21
1.3.2. Lenguajes  de  dominio  específico  ..................................................................  23
1.3.3. Modelado  de  dominio  específico  ...................................................................  26
1.3.4. Perfiles  de  UML  .............................................................................................  27
Tesis:  Modelado  Visual  de  Aplicaciones  Domino  
Índices  
ii    
2. Capítulo:  Herramientas  de  modelado  ......................................................................  31
2.1. MetaEdit+  ..............................................................................................................  32
2.2. Microsoft  DSL  Tools  ..............................................................................................  34
2.3. Proyecto  de  modelado  de  Eclipse  ........................................................................  37
2.4. Elección  de  la  herramienta  ...................................................................................  39
3. Capítulo:  Plataforma  Lotus  Notes  /  Domino  ...........................................................  40
3.1. Breve  historia  ........................................................................................................  41
3.2. Elementos  de  diseño  ............................................................................................  41
3.3. Funcionalidades  y  características  .........................................................................  42
3.4. Productos  de  la  plataforma  ...................................................................................  43
4. Capítulo:   Lenguaje   de   modelado   de   dominio   específico   para   Lotus   Notes   /  
Domino  ..............................................................................................................................  46
4.1. Introducción  ..........................................................................................................  47
4.2. Proceso  para  definir  el  lenguaje  ...........................................................................  47
4.2.1. Análisis  de  dominio  ........................................................................................  48
4.2.2. Metamodelo  ...................................................................................................  54
4.2.3. DSL  para  aplicaciones  Lotus  Domino  ............................................................  55
4.2.4. Validación  del  DSL  ........................................................................................  56
5. Capítulo:  Desarrollo  de  la  herramienta  ...................................................................  59
5.1. Componentes  de  la  herramienta  ...........................................................................  60
5.2. Requerimientos  .....................................................................................................  60
5.2.1. Alcances  ........................................................................................................  60
5.2.2. Objetivo  general  del  sistema  .........................................................................  60
5.2.3. Funciones  del  producto  .................................................................................  60
5.2.4. Usuarios  .........................................................................................................  61
Tesis:  Modelado  Visual  de  Aplicaciones  Domino  
Índices  
iii    
5.2.5. Interfaces  y  relaciones  de  los  sistemas  .........................................................  61
5.2.6. Características  de  usuarios  ...........................................................................  61
5.2.7. Restricciones  .................................................................................................  61
5.2.8. Dependencias  y  supuestos  ............................................................................  61
5.2.9. Características  del  sistema  ............................................................................  61
5.2.10. Especificación  de  casos  de  uso  .....................................................................  62
5.3. Diseño  de  la  arquitectura  ......................................................................................  65
5.3.1. Arquitectura  general  de  la  herramienta  .........................................................  65
5.3.2. Diseño  de  despliegue  ....................................................................................  66
5.3.3. Diseño  de  interfaces  ......................................................................................  67
5.3.4. Diseño  de  los  módulos  ..................................................................................  69
5.3.5. Diseño  de  datos  .............................................................................................  80
5.3.6. Arquitectura  propuesta  para  ingeniería  inversa  .............................................  82
6. Capítulo:  Uso  de  la  herramienta  ..............................................................................  84
6.1. Proceso  de  uso  .....................................................................................................  85
6.2. Uso  del  modelador  ................................................................................................  86
6.3. Uso  del  generador  de  código  ................................................................................  90
7. Capítulo:  Pruebas  ......................................................................................................  92
7.1. Protocolo  de  pruebas  ............................................................................................  93
7.2. Interpretación  de  los  resultados  ............................................................................  95
Conclusiones  ....................................................................................................................  99
Conclusiones  .................................................................................................................  100
Beneficios  ......................................................................................................................  101
Recomendaciones  ..........................................................................................................  103
Recomendaciones  de  mejora  ........................................................................................  104
Tesis:  Modelado  Visual  de  Aplicaciones  Domino  
Índices  
iv    
Trabajos  futuros  .............................................................................................................  104
Áreas  de  oportunidad  ....................................................................................................  104
Bibliografía  ......................................................................................................................  106
Referencias  bibliográficas  ..............................................................................................  107
Anexo...............................................................................................................................  110
Perfil  UML  para  aplicaciones  Lotus  Notes  .....................................................................  111
Introducción  ................................................................................................................  111
Panorama  general  ......................................................................................................  112
Perfiles  UML  ...............................................................................................................  115
Desarrollo  del  Perfil  UML  para  Lotus  Domino  Designer  ............................................  118
  
  
     
Tesis:  Modelado  Visual  de  Aplicaciones  Domino  
Índices  
v    
Índice  de  figuras  
  
Figura  1  Ejemplo  de  un  diagrama  de  diseño  no  estandarizado  ............................................  3  
Figura  2  Mapa  conceptual  del  marco  teórico  ......................................................................  15  
Figura  3  El  proceso  unificado  Rational:  RUP(  Rational  Unified  Process)  (IBM,  2006)  .......  16  
Figura  4  Flujo  de  trabajo  de  la  etapa  de  análisis  y  diseño  de  RUP  (IBM,  2006)  .................  18  
Figura  5  Arquitectura  Dirigida  por  Modelos  .........................................................................  19  
Figura  6  Estructura  de  alto  nivel  de  UML  2.1.1  (OMG,  2007b)  ...........................................  23  
Figura  7  Fases  para  el  desarrollo  de  un  DSL  ......................................................................  25  
Figura  8  Función  del  DSL  ....................................................................................................  27  
Figura  9  Elementos  definidos  en  el  paquete  perfil      (OMG,  2007a)  ....................................  28  
Figura  10  Herramienta  MetaEdit+  .......................................................................................  33  
Figura  11  Arquitectura  de  MetaEdit+  ...................................................................................  34  
Figura  12  IDE  de  Microsoft  VisualStudio  con  DSL  Tool  ......................................................  35  
Figura  13  Arquitectura  DSL  Tools  .......................................................................................  36  
Figura  14  Proyectos  de  Visual  Studio  al  crear  un  DSL  .......................................................  36  
Figura  15  Analogía  entre  Eclipse  EMF  y  GMF  ....................................................................  38  
Figura  16  Proceso  de  generación  de  un  modelador  con  Eclipse  GMF  ...............................  38  
Figura  17  Composición  de  una  BDs  Notes  .........................................................................  41  
Figura  18  Elementos  de  diseño  de  Lotus  Notes  .................................................................  42  
Figura  19  Funciones  y  características  de  la  plataforma  Notes/Domino  ..............................  43  
Figura  20  Proceso  para  la  obtención  del  DSL  .....................................................................  48  
Figura  21  Distribución  de  elementos  de  diseño  en  las  aplicaciones  ...................................  52  
Figura  22  Clasificación  de  elementos  de  diseño  .................................................................  53  
Figura  23  Metamodelo  de  aplicaciones  Lotus  Domino  .......................................................  54  
Figura  24  Clasificación  de  los  estereotipos  del  perfil  de  UML  para  Lotus  ...........................  55  
Figura  25  Ejemplos  de  diagramas  de  diseño  no  estandarizados  ........................................  56  
Figura  26  Ejemplo  de  diagrama  simplificado  para  la  validación  del  DSL  ............................  57  
Figura  27  Ejemplo  de  diseño  especificando  las  propiedades  de  los  elementos  .................  58  
Figura  28  Desarrollo  de  herramienta  de  modelado  .............................................................  60  
Tesis:  Modelado  Visual  de  Aplicaciones  Domino  
Índices  
vi    
Figura  29  Casos  de  uso  de  herramienta  de  modelado  .......................................................  62  
Figura  30  Arquitectura  general  del  DSM  .............................................................................  65  
Figura  31  Secuencia  de  ejecución  del  modelado  a  la  generación  ......................................  66  
Figura  32  Diagrama  de  despliegue  de  la  herramienta  ........................................................  66  
Figura  33  Interfaz  gráfica  del  componente  de  modelado  ....................................................  68  
Figura  34  Interfaz  gráfica  del  componente  de  generación  de  aplicaciones  ........................  69  
Figura  35  Diseño  del  modelador  .........................................................................................  69  
Figura  36  Proceso  de  creación  de  la  herramienta  gráfica  basada  en  modelos  ..................  71  
Figura  37  Estructura  del  modelo  de  dominio  dominoapp.ecore  ..........................................  71  
Figura  38  Documento  XML  del  modelo  de  dominio  ............................................................  72  
Figura  39  Vista  gráfica  del  modelo  de  dominio  ...................................................................  72  
Figura  40  Estructura  del  modelo  de  generación  .................................................................  73  
Figura  41  Modelo  de  definición  gráfica  ...............................................................................  74  
Figura  42  Documento  XML  del  modelo  de  definición  gráfica  ..............................................  74  
Figura  43  Estructura  del  modelo  de  definición  de  herramientas  o  tooling  ..........................  75  
Figura  44  Documento  XML  del  modelo  de  definición  de  herramientas  ...............................  75  
Figura  45  Estructura  del  modelo  de  definición  de  mapeo  o  mapping  .................................  76  
Figura  46  Documento  XML  del  modelo  de  definición  de  mapeo  .........................................  77  
Figura  47  Estructura  del  modelo  de  generación  GMF  ........................................................  77  
Figura  48  Ejemplo  de  estructuras  de  diseños  de  aplicaciones  ...........................................  78  
Figura  49  Ejemplo  de  XML  de  un  diagrama  de  diseño  .......................................................  79  
Figura  50  Diseño  del  generador  de  aplicaciones  ................................................................  79  
Figura  51  Arquitectura  del  generador  de  aplicaciones  ........................................................  80  
Figura  52  Estructura  de  datos  de  la  eclass  database.  Vista  de  clase  .................................  80  
Figura  53  Estructura  de  la  eclass  database.  Vista  de  árbol  ................................................  81  
Figura  54  Estructura  de  la  eclass  database.  Vista  XML  ......................................................  81  
Figura  55  Diseño  propuesto  para  el  extractor  de  diseño  ....................................................  82  
Figura  56  Arquitectura  propuesta  para  el  extractor  de  diseño  ............................................  82  
Figura  57  Proceso  de  uso  de  la  herramienta  ......................................................................  85  
Figura  58  DSM  -­  Herramienta  de  modelado  .......................................................................  86  
Figura  59  Creación  de  un  modelo  de  diseño  de  Lotus  Notes/Domino  ................................  87  
Tesis:  Modelado  Visual  de  Aplicaciones  Domino  
Índices  
vii    
Figura  60  Archivos  de  la  estructura  del  modelo  e  interfaz  gráfica  ......................................  87  
Figura  61  Barra  de  herramientas  de  modelado  ...................................................................  88  
Figura  62  Ventana  de  propiedades  de  los  elementos  .........................................................  89  
Figura  63  Ejemplo  de  diagrama  de  diseño  elaborado  en  el  modelador  ..............................  89  
Figura  64  Estructura  resultante  del  modelo  ........................................................................  90  
Figura  65  DSM  -­  Generador  de  aplicaciones  ......................................................................  91  
Figura  66  Diseño  de  un  formulario  ....................................................................................  114  
Figura  67  Diagrama  de  clase  para  un  elemento  form  .......................................................  115  
Figura  68  Metamodelo  de  Lotus  Domino  Designer  ...........................................................  119  
Figura  69  Clasificación  de  los  estereotipos  de  LDD  ..........................................................  124  
Figura  70  Metamodelo  de  Lotus  ........................................................................................  127  
Figura  71  Extendiendo  al  metaelemento  Class  .................................................................  128  
Figura  72  Continuación  de  la  extensión  del  metaelemento  Class  ....................................  129  
Figura  73  Continuación  de  la  extensión  del  metaelemento  Class  ....................................  130  
Figura  74  Continuación  de  la  extensión  del  metaelemento  Class  ....................................  131  
Figura  75  Continuación  de  la  extensión  del  metaelemento  Class  ....................................  132  
Figura  76  Continuación  de  la  extensión  del  metaelemento  Class  ....................................  133  
Figura  77  Continuación  de  la  extensión  del  metaelemento  Class  ....................................  134  
Figura  78  Continuación  de  la  extensión  del  metaelemento  Class  ....................................  135  
Figura  79  Extendiendo  al  metaelemento  Aggregation  ......................................................  136  
Figura  80  Notación  para  la  relación  de  contención  ...........................................................  196  
Figura  81  Notación  para  la  relación  de  contención  reflexiva  .............................................  197  
Figura  82  Relación  de  agregación,  esquema  general  .......................................................  198  
Figura  83  Relación  de  composición,  esquema  general  ....................................................  199  
  
     
Tesis:  Modelado  Visual  de  Aplicaciones  Domino  
Índices  
viii    
Índice  de  tablas  
  
Tabla  1  Lista  de  productos  de  Lotus  por  categoría  .............................................................  45  
Tabla  2  Descripción  de  elementos  de  diseño  de  Lotus  .......................................................  50  
Tabla  3  Porcentaje  de  uso  de  elementos  de  diseño  en  aplicaciones  Lotus  ........................  51  
Tabla  4  Resultados  de  las  pruebas  .....................................................................................  98  
Tabla  5  Estereotipos  definidos  para  Lotus  Domino  Designer  ...........................................  123  
Tabla  6  Definición  de  la  propiedad  multiplicidad  ...............................................................  199  
Tabla  7  Definición  de  la  propiedad  propagación  de  borrado  .............................................  199  
Tabla  8  Definición  de  la  propiedad  reflexividad  .................................................................  200  
Tabla  9  Valores  fijos  para  la  relaciones  ............................................................................  201  
  
  
  
  
Tesis:  Modelado  Visual  de  Aplicaciones  Domino  
Introducción  
1    
  
  
  
  
  
  
Introducción  
Introducción  a  este  trabajo  de  tesis.  Se  
presentan  los  antecedentes  al  trabajo  de  
investigación,  planteamiento  del  problema,  
objetivos  de  la  tesis,  justificación  del  trabajo,  
hipótesis,  beneficios  esperados,  alcances  y  
limitaciones,  metodología  a  utilizar  y  descripción  
de  la  estructura  de  la  tesis  mediante  un  
resumen.  
     
Tesis:  Modelado  Visual  de  Aplicaciones  Domino  
Introducción  
2    
El  desarrollo  de  aplicaciones  empresariales  presenta  complejidades  como:  integración  de  
diferentes  plataformas  tecnológicas,  ambientes  de  desarrollo  y  procesos  de  ingeniería  de  
software.    
El   correcto   modelado   de   dichas   aplicaciones   antes   de   su   codificación,   beneficia   el  
aseguramiento  de  la  calidad  del  software,  mejora  la  arquitectura,  facilita  el  mantenimiento  
y  ayuda  a  la  transferencia  tecnológica  al  cliente.  
Lenguajes  de  modelado  genérico  o  de  propósito  general  pueden  emplearse  para  describir  
una   gran   parte   de   las   características   de   los   sistemas.   Este   es   el   caso   del   Lenguaje  
Unificado  de  Modelado:  UML  (Por  sus  siglas  en  inglés  Unified  Modeling  Language).  
Existen  herramientas  tanto  libres  como  propietarias  que  permiten  diseñar  aplicaciones  en  
cada  uno  de  los  lenguajes  de  modelado  existentes.    
Es   común   que   cada   plataforma   o   tecnología   presenten   características   propias   que  
requieren  de  una  técnica  o  lenguaje  de  modelado  en  particular.  Así  para  los  sistemas  de  
bases  de  datos  relacionales  un  modelo  Entidad-­Relación  o  un  modelo  de  clases  de  UML  
pueden  ser  suficientes.  
Sin   embargo   en   determinadas   tecnologías   o   dominios   tecnológicos   un   lenguaje   de  
modelado  general  puede  ser  insuficiente  para  describir  todas  las  características  deseadas.  
Ante  esta  situación  puede  definirse  un  lenguaje  de  dominio  específico,  el  cual  provea  de  
los  elementos  que  permitan  describir  con  mayor  precisión  dichas  características.    
Lotus  Domino  es  la  plataforma  líder  en  aplicaciones  colaborativas.  Presenta  un  ambiente  
de  desarrollo  orientado  a  objetos  y  una  base  de  datos  documental.  
El   siguiente   trabajo   de   investigación   presenta:   un   lenguaje   de   modelado   de   dominio  
específico   para   aplicaciones   Lotus   Notes   y   una   herramienta   de   software   que   lo  
implementa.   Esta   herramienta   permitirá   a   partir   de   un   determinado   modelo   generar   el  
código  de  la  aplicación  correspondiente.    
Tesis:  Modelado  Visual  de  Aplicaciones  Domino  
Introducción  
3    
Antecedentes  
Los   equipos   de   desarrollo   en   aplicaciones   Lotus   Notes   carecen   de   un   lenguaje   de  
modelado  adecuado  a  la  naturaleza  de  esta  tecnología.  
Algunos  equipos  han  implementado  procesos  de  desarrollo  software  a  la  medida.  Estos  
procesos  difícilmente  pueden  apoyarse  por  herramientas  comerciales  por  lo  que  es  común  
contar  con  herramientas  desarrolladas  por  los  mismos  equipos.  Sin  embargo,  la  etapa  de  
diseño   requiere   ser   mejorada   con   el   propósito   de   definir   arquitecturas   críticas   que   son  
enviadas  a  los  desarrolladores  para  su  posterior  codificación.  
Se   han   utilizado   distintos   lenguajes   de   modelado   para   diseñar   las   aplicaciones.   Entre  
estos  lenguajes  destaca  el  uso  del  UML.  Sin  embargo  no  se  ha  encontrado  un  lenguaje  de  
modelado   que   permita   definir   con   mayor   precisión   las   características   propias   de   una  
aplicación  de  este  dominio  tecnológico.  
  
Figura  1  Ejemplo  de  un  diagrama  de  diseño  no  estandarizado  
Ante  esta  necesidad  en  colaboración  con  el  Centro  Nacional  de  Investigación  y  Desarrollo  
Tecnológico  (CENIDET),  bajo  la  tesis  “Definición  de  un  Lenguaje  de  Dominio  Específico  
para   un   entorno   de   desarrollo   rápido   de   aplicaciones”   presentada   por   Guillermo   Rivera  
Tesis:  Modelado  Visual  de  Aplicaciones  Domino  
Introducción  
4    
(Rivera,  2008),  se  realizó  el  trabajo  de  investigación  para  la  definición  de  un  Lenguaje  de  
dominio  apropiado  para  Lotus  Notes.  
Lotus  Notes  es  una  tecnología  que  difiere  de  la  programación  orientada  a  objetos  y  del  
modelo   tradicional   de   bases   de   datos   relacionales.   Esta   tecnología   proporciona   un  
ambiente   de   desarrollo   rápido   de   aplicaciones   llamado   Lotus   Domino   Designer.   Lotus  
Notes  integra  en  una  solo  base  de  datos:  
•   Elementos  de  programación  o  lógica  de  negocios  
•   Interfaz  del  usuario  
•   Datos  
•   Seguridad  
Planteamiento  del  problema  
Existen   una   gran   cantidad   de   aplicaciones   colaborativas   y   portales   desarrollados   e  
instalados  en  la  plataforma  Lotus  Notes    /  Domino.  Muchas  de  estas  aplicaciones  carecen  
de   un   modelado   formal   o   completo   por   la   ausencia   de   técnicas   específicas   para   esta  
tecnología.    
Estos  problemas  de  diseño  provocan:  
•   Dificultad  en  el  mantenimiento  de  las  aplicaciones  
•   Defectos  en  el  software  que  pueden  evitarse  al  detectarse  durante  el  modelado  
•   Duplicidad  de  esfuerzos  al  no  poder  reutilizarse  soluciones  para  requerimientos  
similares  
Como  consecuencia  de  todo  lo  anterior,  podemos  decir  que  el  problema  en  la  etapa  de  
diseño   de   las   aplicaciones   Lotus   Notes   se   basa   en   la   ausencia   de   un   lenguaje   de  
modelado  específico  para  esta  plataforma  y  una  herramienta  de  diseño  que  lo  implemente.  
  
Tesis:  Modelado  Visual  de  Aplicaciones  Domino  
Introducción  
5    
Objetivos  de  la  tesis  
Objetivo  general  
Analizar,  diseñar,  e  implementar  una  herramienta  de  modelado  visual,  que  permita  diseñar  
aplicaciones  Lotus  Notes  /  Domino  y  generar  el  código  de  la  aplicación  correspondiente  
utilizando  un  lenguaje  de  modelado  de  dominio  específico.  
Objetivos  específicos  
•   Revisar    las  herramientas  para  generación  de  código  a  través  del  modelado  visual  
•   Definir   un   lenguaje   de   modelado   de   dominio   específico   que   permite   modelar  
aplicaciones  Lotus  Domino  basado  en  la  especificación  de  Perfiles  de  UML  
•   Desarrollar   una   herramienta   de   software   que   permita   generar   diagramas   de  
aplicaciones  utilizando  el  lenguaje  de  dominio  específico  definido  previamente  
•   Desarrollar  una  herramienta  que  permita,  dado  un  diagrama  de  aplicación,  generar  
el  código  correspondiente  de  la  aplicación.  
Justificación  
Actualmente   no   existe   una   herramienta   de   modelado   específico   para   esta   tecnología   o  
dominio  por  lo  que  esta  investigación  será  innovadora  en  este  terreno.  
El  producto  de  esta  tesis  puede  ser  utilizada  en  el  diseño  de  aplicaciones  Lotus  Notes.  Así  
mismo,   mejorando   la   calidad   de   las   aplicaciones   al   detectar   errores   desde   la   etapa   de  
diseño   y   evitando   detectarlos   hasta   la   etapa   de   comercialización   e   implementación   de  
productos  donde  los  costos  para  reparar  dichos  errores  es  muy  alto.  
Dado  que  no  se  cuenta  con  un  lenguaje  de  modelado  y  herramienta  que  permita  definir  
con   mayor   precisión   las   características   propias   de   una   aplicación   Lotus   Notes   y   para  
resolver  el  problema  planteado  se  propone  obtener:    
1.   Un  Lenguaje  de  Modelado  de  Dominio  Específico  
2.   Una  herramienta  de  modelado  visual  que  implemente  el  lenguaje  de  modelado  
3.   Una   herramienta   que   permita   la   generación   automática   de   los   elementos   de  
diseño  que  componen  la  aplicación  modelada    
Tesis:  Modelado  Visual  de  Aplicaciones  Domino  
Introducción  
6    
El   lenguaje   obtenido   modelará   con   mayor   precisión   las   aplicaciones   Lotus   Notes.   Esta  
herramienta  permitirá  a  partir  de  un  determinado  modelo  generar  el  código  de  la  aplicación  
correspondiente.  
Hipótesis  
Ante  las  necesidades  de  modelar  con  mayor  precisión  las  aplicaciones  Lotus  Notes,  dando  
mayor   semántica   a   los   diagramas   de   diseño   y   la   generación   de   la   estructura   de   la  
aplicación  a  partir  de  dichos  diseños  se  plantea  la  siguiente  hipótesis:  
Contar   con   una   herramienta   de   modelado   de   dominio   específico   permitirá   facilitar   el  
modelado  de  las  aplicaciones  Lotus  Notes  y  disminuir  el  tiempo  de  desarrollo.  
En  esta  hipótesis  se  mencionan  las  variables  de:  
•   Facilidad  de  modelado  
•   Disminución  de  tiempo  de  desarrollo  
Beneficios  esperados  
Con  el  trabajo  de  esta  tesis  se  esperan  alcanzar  los  beneficios  de:  
•   Mayor  precisión  en  la  generación  de  diagramas  de  diseño  de  las  aplicaciones  
•   Diseños   uniformes   al   contar   con   un   lenguaje   visual   único   en   los   equipos   de  
desarrollo  
•   Reducción  en  el  tiempo  de  modelado.  Los  desarrolladores  toman  objetos  visuales  
conocidos  y  evitan  tener  que  aprender  lenguajes  y  reglas  distintas  a  su  entorno.  
•   Congruencia  entre  los  diagramas  de  diseño  y  las  aplicaciones  generadas.  
  
Tesis:  Modelado  Visual  de  Aplicaciones  Domino  
Introducción  
7    
Alcance  y  limitaciones  
El  trabajo  de  esta  tesis  tiene  como  alcances:  la  definición  de  un  DSL  que  permite  diseñar  
aplicaciones  Lotus  Domino,  el  desarrollo  de  una  herramienta  visual  que  lo  implementa  y  la  
generación  automática  de  la  aplicación  modelada.  
La  funcionalidad  de  generación  automática  de  aplicaciones  crea  los  elementos  de  diseño  
principales   modelados   pero   la   codificación   detallada   queda   en   manos   del   programador  
para  la  etapa  de  codificación  en  un  proceso  de  ingeniería  de  software.  
La  herramienta  no  implementa  la  funcionalidad  de  ingeniería  inversa  pero  se  propone  la  
arquitectura  para  implementarla.  
Metodología  
Este  trabajo  de  tesis  se  basa  en  un  proyecto  de  tipo  investigación  y  desarrollo  (I+D).  Por  
esta  razón  tiene  dos  componentes  principales:    
•   La  investigación  de  técnicas,  herramientas,  y  soluciones  para  la  definición  de  una  
herramienta  de  modelado  visual.  Como  resultado  de  la  etapa  de  investigación  y  con  
el   conocimiento   generado   se   definirá   un   lenguaje   de   modelado   mediante   un  
estándar  formal  de  especificación  de  lenguajes.  
•   El  desarrollo  de  una  herramienta  de  software  que  implemente  el  resultado  de  la  
investigación   siguiendo   un   proceso   formal   de   desarrollo   de   software.   Con   esta  
herramienta  se  implementa  el  resultado  de  la  investigación  en  un  producto  tangible  
Para  la  etapa  de  investigación  de  utilizan  los  mecanismos  de:    
•   Análisis   y   síntesis   en   la   determinación   del   lenguaje   de   modelo   de   dominio  
específico  
•   Encuesta   y   prueba   para   evaluar   el   resultado   de   la   herramienta   de   software  
desarrollada  y  comprobar  las  variables  planteadas  en  la  hipótesis.  
Las  pruebas  y  la  validación  del  DSL  se  realizan  con  el  apoyo  de  expertos  en  el  desarrollo  
de  aplicaciones  de  la  plataforma  Lotus  Notes  
Tesis:  Modelado  Visual  de  Aplicaciones  Domino  
Introducción  
8    
La  metodología  seguida  para  el  desarrollo  del  siguiente  trabajo  se  divide  en  las  siguientes  
fases:  
FASE  1.  Investigación  del  estado  del  arte.  Estudio  del  estado  del  arte  en  la  definición  de  
lenguajes  de  dominio  específico.  
FASE  2.  Definición  del  DSL  para  modelado  de  aplicaciones  Lotus  Notes.  Definición  
del  lenguaje  de  modelado  a  utilizar.  
FASE   3.   Estudio   de   herramientas   para   la   generación   de   DSL.   Se   estudian   los  
alcances,   ventajas   y   desventajas   de   las   herramientas   que   implementan   DSL   y   generan  
código  automáticamente.  
FASE  4.  Definición  del  modelo  para  generación  de  código  a  partir  del  DSL.  Definición  
del  modelo  a  utilizar  para  la  generación  de  código  automático  a  partir  del  DSL  descrito  
FASE  5.  Validación  del  DSL  para  modelado  de  aplicaciones  Lotus  Notes.  Validar  los  
diagramas   obtenidos   a   partir   del   uso   del   DSL   de   manera   tal   que   representen  
correctamente  el  diseño  de  la  aplicación  Lotus  Notes  
FASE   6.   Desarrollo   de   la   herramienta   de   modelado   y   generación   automática   de  
código.  Se  implementa  la  herramienta  de  modelado  para  elaborar  diseños  de  aplicaciones  
utilizando   el   DSL   para   aplicaciones   Lotus   Notes   y   a   partir   del   diseño   generar  
automáticamente  el  código  de  los  elementos  de  diseño  representados.  
Esta  actividad  sigue  un  proceso  formal  de  desarrollo  de  software,  el  cual  se  compone  de:  
i.   Requerimientos  
ii.   Diseño  (arquitectura,  detallado,  interfaces,  datos)  
iii.   Codificación    
iv.   Pruebas  
FASE   7.   Validación   de   la   herramienta   desarrollada.   Validar   la   herramienta   contra  
aplicaciones  reales  desarrolladas  
Tesis:  Modelado  Visual  de  Aplicaciones  Domino  
Introducción  
9    
FASE   8.   Elaboración   de   la   tesis.   Se   reúne   la   información   generada   para   generar   el  
documento  de  tesis  y  seguir  el  proceso  de  revisión  y  aceptación  del  trabajo  
Estructura  de  la  tesis  
A   continuación   se   presenta   un   breve   resumen   de   cada   uno   de   los   capítulos   que   se  
presentan  en  esta  tesis:  
En  los  Antecedentes,  se  exponen  la  problemática  que  da  origen  a  este  trabajo  haciendo  
énfasis  en  la  carencia  de  un  lenguaje  de  modelado  específico  para  las  aplicaciones  Lotus  
Notes   y   por   ello   las   deficiencias   en   la   etapa   de   diseño   Antecedentes.   Se   presenta   el  
estado   del   arte   en   la   definición   de   lenguajes   de   modelado   y   las   herramientas   más  
importantes.  Para  finalizar  se  presentan:  preguntas  de  investigación,  los  objetivos  de  esta  
tesis,  justificación,  hipótesis,  beneficios  esperados,  alcance  y  limitaciones  y  la  metodología  
empleada  en  el  desarrollo  de  este  trabajo  
En  el  Diseño  de  software,  se  describe  esta  etapa  como  parte  de  un  proceso  formal  de  
desarrollo  de  software.  La  actividad  de  diseño  está  ligada  a  enfoques  como  la  Arquitectura  
Dirigida   por   Modelos   la   cual   implementa   herramientas   de   modelado   y   regeneración  
automática   de   código.   En   el   diseño   de   aplicaciones   se   pueden   utilizar   dos   tipos   de  
lenguajes   de   modelado:   de   propósito   general   y   de   dominio   específico.   El   UML   es   el  
lenguaje   de   modelado   de   propósito   general   más   utilizado   por   lo   que   se   describe   su  
composición.   Para   finalizar   se   presentan   a   los   las   características   y   el   proceso   para   la  
obtención  de  un  lenguaje  de  modelado  de  dominio  específico,  los  perfiles  de  UML  como  
un  método  para  representarlos  y  el  proceso  a  seguir  para  definir  un  DSL  
En   las   Herramientas   de   modelado   se   presentan   las   características   de   las   tres  
herramientas   más   utilizadas   en   la   actualidad:   MetaEdit+,   Microsoft   DSL   Tools   y   el  
Proyecto  de  modelado  de  Eclipse.  Adicionalmente  se  presentan  los  motivos  de  la  elección  
de  Eclipse  como  la  herramienta  base  a  utilizar  en  este  trabajo.  
En  el  capítulo  de  la  Plataforma  Lotus  Domino,  se  presentan  las  características  de  esta  
plataforma   colaborativa   empresarial.   Se   describen   sus,   elementos   de   diseño,  
Tesis:  Modelado  Visual  de  Aplicaciones  Domino  
Introducción  
10    
funcionalidades,  características  y  productos  comerciales  de  la  plataforma  con  el  objeto  de  
entender  su  complejidad,  capacidad  y  alcance.  
En   el   capítulo   de   Lenguaje   de   Modelado   de   Dominio   Específico   para   Lotus  
Notes,   se   presenta   el   lenguaje   de   modelado   de   dominio   específico   a   utilizar   para   el  
diseño   de   aplicaciones.   Para   la   definición   de   este   lenguaje   se   realizó   el   análisis   de  
dominio,   la   definición   del   Metamodelo,   la   especificación   del   DSL   mediante   un   perfil   de  
UML   y   la   validación   de   dicho   DSL   mediante   la   elaboración   de   diagramas   de   diseño   de  
aplicaciones  Lotus  Notes  ya  existentes.  
En   el   Desarrollo   de   la   herramienta,   se   presentan   el   proceso   utilizado   para   la  
implementación   del   lenguaje   dentro   de   una   herramienta   de   modelado   y   generación  
automática  de  código.  Para  la  elaboración  de  la  herramienta  se  utilizó  un  proceso  formal  
de  desarrollo  de  software  por  lo  que  se  presentan  de  manera  detallada  los  requerimientos  
y   el   diseño   de   la   arquitectura.   Aunque   no   es   parte   de   este   trabajo   la   incorporación   de  
técnicas   de   ingeniería   inversa,   se   presenta   la   arquitectura   para   su   implementación   en  
trabajos  futuros.  
Uso   de   la   herramienta   describe   el   funcionamiento   y   uso   del   modelador   desarrollado  
para  la  elaboración  de  diagramas  de  diseño  basados  en  el  DSL.  De  la  misma  manera  se  
presenta  el  uso  del  generador  de  código  para    la  generación  automática  de  los  elementos  
de  diseño  Lotus  Notes  descritos  en  el  diagrama.  
En   Pruebas,   se   presenta   el   protocolo   de   pruebas   realizado   para   la   evaluación   de   la  
herramienta  desarrollada,  los  resultados  de  la  evaluación  y  su  interpretación.  
En  conclusiones  se  presentan  las  conclusiones  resultado  del  desarrollo  de  este  trabajo,  
los  beneficios  obtenidos,  los  trabajos  futuros,  áreas  de  oportunidad  para  la  reutilización  de  
la  experiencia  obtenida  durante  la  realización  de  este  trabajo.  
Se   presentan   las   recomendaciones   a   seguir   para   mejorar   el   presente   trabajo   en   un  
futuro,  los  trabajos  futuros  y  áreas  de  oportunidad.  
Tesis:  Modelado  Visual  de  Aplicaciones  Domino  
Introducción  
11    
El  anexo  final  contiene  la  especificación  del  Lenguaje  de  Modelo  de  Dominio  Específico  
para  aplicaciones  Lotus  Notes  mediante  un  perfil  de  UML  
Estado  del  arte  
El   modelado   como   parte   fundamental   del   proceso   del   desarrollo   de   software,   puede  
realizarse   a   través   de:   lenguajes   de   modelado   de   propósito   general   o   lenguajes   de  
modelado  de  dominio  específico.      
Los   lenguajes   de   modelado   de   propósito   general,   tienen   como   finalidad   representar   de  
manera  genérica  las  facetas  de  un  sistema.  Estos  lenguajes  están  más  enfocados  en  la  
descripción  que  en  la  generación  de  código,  además  tienen  como  problema  principal  que  
los  elementos  de  un  diagrama  pueden  tener  diferentes  interpretaciones  si  son  utilizados  en  
diferentes   contextos   o   dominios   tecnológicos.   El   mejor   exponente   de   los   lenguajes   de  
modelado   de   propósito   general   es   el   UML   (por   sus   siglas   en   inglés:   Unified   Modeling  
Language).  (Steven  &  Pooley,  2007),  (OMG,  2007b)  
Este   tipo   de   lenguajes   no   han   sido   suficientes   para   modelar   muchos   de   los   dominios  
donde   se   desean   implementar.   Por   esta   razón   muchas   empresas   se   han   visto   en   la  
necesidad  de  generar  sus  propios  lenguajes  de  modelado.  
Los  lenguajes  de  modelado  de  dominio  específico:  DSL  (por  sus  siglas  en  inglés:  Domain  
Specific  Language),  tienen  como  objeto  describir  con  mayor  precisión  las  características  
propias   de   un   dominio   tecnológico.   Estos   lenguajes   en   la   mayoría   de   los   casos   están  
asociados   a   la   generación   automática   de   código.   La   especificación   de   un   DSL   está  
asociada   a   un   metamodelo   o   modelo   de   dominio.   Existen   varias   opciones   para   la  
descripción  de  un  lenguaje  de  modelado  de  domino  específico(Kelly  &  Tolvanen,  2008),  
entre  ellas  la  más  usada  son  los  perfiles  de  UML(Fuentes  &  Vallecillo,  2004).  
Para   facilitar   el   uso   de   un   lenguaje   de   modelado   de   dominio   específico,   este   debe  
implementarse   a   través   de   una   herramienta   de   software.   Existen   dos   caminos   para   su  
implementación:    
1.   Crear  una  herramienta  de  software  a  la  medida  o    
Tesis:  Modelado  Visual  de  Aplicaciones  Domino  
Introducción  
12    
2.   utilizar  herramientas  de  terceros    especializadas  en  la  implementación  de  un  
DSL.   (Kelly,   2004)   ,   (Ehrig,   Ermel,   Hänsgen,   &   Taentzer,   2005),   (Leroux,  
Nally,  &  Hussey,  2006)  
Las   tres   herramientas   actuales   más   utilizadas   para   la   implementación   de   un   DSL   son:  
MetaEdit+,  Eclipse  y  Microsoft  DSL  Tools.  
  
Tesis:  Modelado  Visual  de  Aplicaciones  Domino  
Diseño  de  software  
13    
  
  
  
  
  
  
  
1.    Capítulo:  Diseño  de  software  
En   esta   sección   se   describen   los   conceptos  
claves  del  diseño  de  software  que  sustentan  el  
desarrollo   del   trabajo   de   investigación.   Se  
presenta   la   etapa   de   diseño   dentro   de   un  
proceso   formal   de   desarrollo   de   software,   los  
lenguajes   de   modelado   visual,   el   UML   como  
lenguaje  de  modelado  de  propósito  general,  los  
lenguajes  de  dominio  específico  y  los  perfiles  de  
UML  para  su  especificación  
     
Tesis:  Modelado  Visual  de  Aplicaciones  Domino  
Diseño  de  software  
14    
1.1.   Introducción  
El   diseño   de   software   traduce   los   requerimientos   en   modelos   que   serán   la   base   de   la  
etapa  posterior  de  codificación  de  la  aplicación.    
En  esta  etapa  de  diseño  existen  distintos  enfoques  sobre  el  uso  de  los  modelos.  En  los  
últimos  años  el  enfoque  de  la  Arquitectura  Dirigida  por  Modelos:  MDA  (Por  sus  siglas  en  
inglés:   Model   Driven   Architecture),   ha   hecho   énfasis      en   la   importancia   de   obtener   en  
primer  lugar  dichos  modelos  y  a  partir  de  estos,  obtener  de  manera  automática  el  código  
de  la  aplicación.  
Los  modelos  mencionados  pueden  elaborarse  utilizando  lenguajes  de  propósito  general  o  
lenguajes   de   dominio   específico:   DSL   (por   sus   siglas   en   inglés:   Domain   Specific  
Language).    
La  elaboración  de  un  DSL,  es  una  tarea  de  profundo  análisis  del  dominio  que  se  desea  
modelar  obteniendo  al  final  una  especificación  de  un  lenguaje  textual  o  visual.  
Existen   dos   opciones   principales   para   la   definición   de   un   DSL:   La   extensión   de   un  
lenguaje   de   propósito   general   como   el   UML   o   la   definición   completa   de   uno   nuevo  
utilizando  algún  estándar  abierto  o  de  facto.    
Para  facilitar  el  uso  de  un  DSL,  estos  lenguajes  suelen  implementarse  en  herramientas  de  
modelado   visual   que   permiten:   Elaborar   modelos   basados   en   el   DSL   y   generar  
automáticamente  el  código  de  la  aplicación  equivalente.  Algunas  herramientas  modernas  
permiten   realizar   ingeniería   inversa.   La   ingeniería   inversa   es   el   proceso   de   convertir  
código  fuente  de  aplicaciones  en  elementos  de  un  modelo.  
Cuando   se   han   obtenido   las   partes   antes   descritas   se   cuenta   con   una   herramienta   de  
Modelado   de   Dominio   Específico:   DSM   (por   sus   siglas   en   inglés:   Domain   Specific  
Modeling)  bajo  el  enfoque  MDA.  
Tesis:  Modelado  Visual  de  Aplicaciones  Domino  
Diseño  de  software  
15    
  
Figura  2  Mapa  conceptual  del  marco  teórico  
  
1.2.   Diseño  
El   diseño   de   software   es   una   actividad   multidisciplinaria   que   proporciona   soluciones   a  
través   de   la   comunicación   efectiva   de   ideas   y   el   uso   de   prácticas   de   ingeniería.   El  
propósito  del  diseño  es  simplemente  producir  una  solución  a  un  problema.(Budgen,  2003)  
  
Tesis:  Modelado  Visual  de  Aplicaciones  Domino  
Diseño  de  software  
16    
  
Figura  3  El  proceso  unificado  Rational:  RUP(  Rational  Unified  Process)  (IBM,  2006)  
La   etapa   de   diseño   es   una   parte   fundamental   de   todos   los   procesos   de   desarrollo   de  
software   más   importantes,   ya   que   su   propósito   es   describir   el   cómo   los   requerimientos  
serán  convertidos  en  productos  usando  la  solución  más  apropiada.  
Dada  la  profundidad  del  diseño  puede  considerarse  como:  
•   Alto  nivel,  cuando  se  enfoca  más  a  aspectos  de  arquitectura.  Ejemplo:  diagramas  
de  componentes,  modelado  de  negocios  
•   Detallado,   cuando   describe   con   mayor   precisión   la   implementación.   Ejemplos:  
diagramas  de  clases  
Para   Pressman      (Pressman,   2000),   esta   actividad   es   un   proceso   que   está   enfocado  
principalmente   en   cuatro   aspectos   o   atributos:   estructura   de   datos,   arquitectura   de  
software,   representaciones   de   interfaces   y   detalles   de   procedimientos   o   módulos.   El  
proceso   de   diseñar   traduce   los   requerimientos   en   una   representación   del   software   que  
permite  evaluar  su  calidad  antes  de  iniciar  la  etapa  de  codificación.    
Tesis:  Modelado  Visual  de  Aplicaciones  Domino  
Diseño  de  software  
17    
Muchos   procesos   de   desarrollo   de   software   implementan   la   etapa   de   diseño   como   una  
actividad  fundamental.  Uno  de  los  procesos  de  desarrollo  más  conocidos  es  el  Proceso  
Unificado  de  Rational.  
Para  RUP,  la  etapa  de  diseño  es  actividad  extensa  y  se  encuentra  integrada  a  la  etapa  de  
análisis.  El  propósito  de  esta  etapa  es:(IBM,  2006)  
•   Transformar  los  requerimientos  en  el  diseño  de  lo  que  el  sistema  debe  hacer  
•   Desarrollar  una  arquitectura  robusta  para  el  sistema  
•   Adaptar  el  diseño  para  integrarlo  al  ambiente  de  implementación  considerando  su  
desempeño  
Para  RUP  las  tareas  a  realizar  durante  el  análisis  y  diseño  son:  
•   Análisis  de  la  Arquitectura  
•   Evaluación  de  la  viabilidad  de  pruebas  de  concepto  de  la  arquitectura  
•   Diseño  de  cápsulas  
•   Diseño  de  clases  
•   Pruebas  de  concepto  de  construcción  de  la  arquitectura    
•   Diseño  de  la  base  de  datos  
•   Definir  contexto  del  sistema  
•   Descripción  de  la  distribución  
•   Descripción  de  la  arquitectura  de  ejecución  
•   Diseño  de  elementos  de  prueba  
•   Diseño  de  interfaces  de  usuario  
•   Identificación  de  elementos  de  diseño  
•   Identificación  de  mecanismos  de  diseño  
•   Identificación  de  servicios  
•   Incorporación  de  elementos  de  diseño  existentes  
•   Análisis  de  operaciones  
•   Diseño  de  operaciones  
Tesis:  Modelado  Visual  de  Aplicaciones  Domino  
Diseño  de  software  
18    
•   Prototipos  de  interface  de  usuarios  
•   Revisión  de  la  arquitectura  
•   Revisión  de  el  diseño  
•   Diseño  de  servicios  
•   Especificación  de  migración  de  datos  
•   Diseño  de  subsistemas  
•   Análisis  y  diseño  de  casos  de  uso  
  
Figura  4  Flujo  de  trabajo  de  la  etapa  de  análisis  y  diseño  de  RUP  (IBM,  2006)  
El  resultado  de  la  etapa  de  diseño  es  la  obtención  de  modelos.  Estos  modelos  pueden  ser  
descritos  utilizando  lenguajes  de  modelado  de  propósito  general  como  el  UML  o  lenguajes  
de  modelado  de  dominio  específico.  
Tesis:  Modelado  Visual  de  Aplicaciones  Domino  
Diseño  de  software  
19    
Un   modelo   es   la   representación   simplificada   de   la   realidad,   que   generalmente   utiliza  
símbolos  para  significar  a  los  elementos  reales,  y  por  medio  de  un  proceso  de  abstracción,    
distinguir  las  partes  esenciales  de  una  situación  ignorando  las  prescindibles,  con  el  objeto  
de  entender  con  mayor  claridad  cómo  funciona,  descubrir  relaciones,  reflexionar  de  una  
manera  sencilla  acerca  de  su  operación  y  en  general  disminuir  el  grado  de  complejidad.  
(Parra,  2000)  
La   tarea   de   diseñar   puede   estar   guiada   por   diferentes   enfoques   o   técnicas   como   la  
Arquitectura   Dirigida   por   Modelos:   MDA   (por   sus   siglas   en   inglés:   Model   Driven  
Architecture).  
MDA  busca  alinear  el  diseño  contra  las  aplicaciones  resultantes  en  distintos  dominios.  Los  
modelos  diseñados  bajo  este  enfoque  pueden  ser  elaborados  con  lenguajes  de  propósito  
general  como  el  UML  o  lenguajes  de  dominio  específico.  
  
Figura  5  Arquitectura  Dirigida  por  Modelos  
El   MDA   tiene   como   promesa   permitir   la   definición   de   modelos   de   datos   y   aplicaciones  
entendibles   por   la   máquina   los   cuales   permiten   mantener   durante   largo   tiempo   la  
flexibilidad  de:  (Mukerji  &  Miller,  2003)  
Tesis:  Modelado  Visual  de  Aplicaciones  Domino  
Diseño  de  software  
20    
•   Implementación.  Una  nueva  infraestructura  de  implementación  puede  ser  integrada  
o  integrada  por  diseños  existentes  
•   Integración:   Se   puede   automatizar   la   integración   de   datos   a   nuevas  
infraestructuras.  
•   Mantenimiento:  La  disponibilidad  de  diseños  entendibles  por  la  máquina  da  a  los  
desarrolladores   acceso   directo   a   la   especificación   del   sistema   haciendo   su  
mantenimiento  mucho  más  simple  
•   Pruebas  y  simulación.  Los  modelos  desarrollados  pueden  ser  usados  para  generar  
código,   lo   que   equivale   a   validarlos   contra   los   requerimientos,   probar   varias  
infraestructuras   y   usarlos   directamente   para   simular   el   comportamiento   de   un  
sistema  que  está  siendo  diseñado  
Un   DSM   está   fuertemente   ligado   al   enfoque   MDA   ya   que   a   través   de   los   modelos  
diseñados,  es  posible  generar  código  de  aplicación,  cumpliendo  así  lo  que  este  enfoque  
propone.  
Los  modelos  generados  utilizando  un  DSM  realizan  los  siguientes  cambios  o  mejores  en  el  
proceso  de  diseño:  (Kelly  &  Tolvanen,  2008)  
•   El  control  de  versiones  de  una  aplicación  puede  llevarse  desde  los  modelos  y  no  
exclusivamente  desde  el  código  
•   Disminución  del  tiempo  de  pruebas  de  la  aplicación  anticipándola  desde  la  etapa  de  
diseño  
•   La  actividad  de  depuración  puede  realizarse  desde  el  diseño  
•   Mejoran  la  comunicación  ya  que  expresan  los  conceptos  importantes  del  dominio  
sin  separarla  de  la  implementación  
•   Se   convierten   en   elementos   de   entrada   para   diferentes   artefactos,   pudiendo  
utilizarse   estos   modelos   para   obtener   por   ejemplo:   documentación,   casos   de  
prueba  y  configuración  de  los  datos  
En  equipos  de  desarrollo  pequeños  no  siempre  existe  una  figura  de  arquitecto  de  software  
o  diseñador  cuya  función  sea  la  de  generar  los  modelos  de  diseño  de  las  aplicaciones.  
Tesis:  Modelado  Visual  de  Aplicaciones  Domino  
Diseño  de  software  
21    
Esta   actividad   es   frecuentemente   cubierta   por   los   mismos   desarrolladores   o  
programadores.  
  
1.3.   Lenguajes  y  modelado  visual  
Los  lenguajes  visuales  permiten  manipular  elementos  de  programación  gráficamente  en  
lugar  de  especificarlos  textualmente.  (Wikipedia,  2007b)  
Pueden  clasificarse  de  acuerdo  al  tipo  de  expresión  visual  utilizada  en:  lenguajes  basados  
en  íconos,  lenguajes  basados  en  formularios  y  lenguajes  de  diagramas.  
Los   lenguajes   visuales   proporcionan   elementos   de   íconos   o   gráficos   que   pueden   ser  
manipulados  por  los  usuarios  de  manera  interactiva  de  acuerdo  a  un  conjunto  de  reglas  
especificadas.  
La   definición   de   patrones   de   características   puede   ser   la   base   de   usabilidad   entre   los  
patrones  identificados  por  el  usuario  y  aquellos  que  son  administrados  por  el  sistema.  Un  
lenguaje  visual  dinámico  es  un  conjunto  ordenado  de  sentencias  visuales  caracterizadas  
por   la   presencia   de   elementos   comunes(Bottoni,   Chang,   Costabile,   Levialdi,   &   Mussio,  
2002).   Se   pueden   especificar   las   transformaciones   posibles   especificando   formalmente  
este  proceso.  
El  modelado  visual  es  el  uso  de  semántica,  notaciones  de  diseño  textuales  y  gráficas  para  
describir  diseños  de  software.  Una  notación  como  el  UML,  permite  establecer  un  nivel  de  
abstracción,   mientras   se   mantienen   reglas   de   sintaxis   y   semántica.   El   modelado   visual  
proporciona   un   medio   de   comunicación   entre   el   equipo   de   trabajo   para   la   revisión   del  
diseño,   su   justificación   y   la   determinación   de   las   bases   de   su      implementación   sin  
ambigüedades.(IBM,  2006)  
1.3.1.   UML  
El   Lenguaje   de   Modelado   Unificado   es   un   lenguaje   de   modelado   visual   orientado   a  
objetos(Rumbaugh,   Jacobson,   &   Booch,   1998).   EL   UML   es   el   sucesor   de   métodos   y  
Tesis:  Modelado  Visual  de  Aplicaciones  Domino  
Diseño  de  software  
22    
diseños   orientados   a   objetos   que   surgió   a   finales   de   los   80’s.   Fue   creado   por   Booch,  
Rumbaugh  y  Jacobson.  En  la  actualidad  es  un  estándar  del  Grupo  de  Administración  de  
Objetos:   OMG   (por   sus   siglas   en   inglés:   Object   Management   Group)(Fowler,   Scott,  
González  V,  &  Morales  Peake,  1999).  Contiene  abstracciones  para  muchos  conceptos  de  
modelado  orientado  a  objetos  estándar.  Entre  ellos  se  encuentran  los  diagramas  de  clase,  
diagramas   de   máquinas   de   estado,   diagramas   de   casos   de   uso   y   diagramas   de  
secuencia(Booch,   Rumbaugh,   &   Jacobson,   1999).   Con   estos   diagramas   los   usuarios  
pueden  describir  la  arquitectura,  diseño  y  aún  la  implementación  de  sistemas  de  software.  
El   UML   se   encuentra   fuertemente   integrado   el   proceso   de   desarrollo   iterativo  
implementado  por  RUP.  
El  UML  2.0  define  en  la  actualidad  trece  tipos  de  diagramas  divididos  en  tres  categorías:  la  
estructura   estática   de   la   aplicación,   tipos   generales   de   comportamiento   y   aspectos   de  
interacción.(OMG,  2007b)  
•   Diagramas  de  estructura:  Diagrama  de  clases,  diagramas  de  objetos,  diagrama  de  
componentes,  diagrama  de  composición  de  la  estructura,  diagrama  de  paquetes  y  
diagrama  de  implementación.  
•   Diagramas  de  comportamiento:  diagrama  de  casos  de  uso,  diagramas  de  actividad  
y  diagrama  de  máquina  de  estados.  
•   Diagramas  de  interacción:  derivados  de    los  diagramas  de  comportamiento  incluyen  
el   diagrama   de   secuencia,   diagrama   de   comunicación,   diagrama   de   tiempo   y  
diagrama  general  de  interacción  
Tesis:  Modelado  Visual  de  Aplicaciones  Domino  
Diseño  de  software  
23    
  
Figura  6  Estructura  de  alto  nivel  de  UML  2.1.1  (OMG,  2007b)  
UML  fue  diseñado  para  ser  un  lenguaje  gráfico  de  modelado  de  propósito  general.  Esto  le  
permite   especificar   la   mayoría   de   los   sistemas   basados   en   objetos   o   componentes.  
Cuando  el  UML  no  permite  expresar  los  conceptos  de  un  dominio  específico  o  se  desea  
restringir  o  especializar  sus  constructores  propios  se  puede  definir  un  lenguaje  de  dominio  
específico.  Ante  esta  situación  se  puede  definir  un  lenguaje  totalmente  nuevo  o  extender  el  
propio   UML,   especializando   algunos   de   sus   conceptos   y   extendiendo   otros   pero  
respetando   la   semántica   original.   Para   extender      el   lenguaje   UML   existen   una   serie   de  
mecanismos  llamados  perfiles  de  UML.  (Fuentes  &  Vallecillo,  2004)  
1.3.2.   Lenguajes  de  dominio  específico  
Un   lenguaje   de   dominio   específico   o   DSL   (Por   sus   siglas   en   inglés:   Domain-­Specific  
Language)  es  un  lenguaje  que  permite  a  través  de  notaciones  apropiadas  y  abstracciones,  
expresar  un  dominio  de  problemas  específico.(Deursen,  Klint,  &  Visser,  2000)  
Un  lenguaje  de  dominio  específico  está  definido  por  un  modelo  del  dominio.  
  
Tesis:  Modelado  Visual  de  Aplicaciones  Domino  
Diseño  de  software  
24    
Ejemplos  de  DSL  son:     
•   Diagramas  entidad  –  relación(Chen,  1976)  
•   BPEL  -­    Business  Process  Execution  Language(Alves  et  al.,  2007)  
•   CSS  -­  Cascading  Style  Sheets(Bos,  Lie,  Lilley,  &  Jacobs,  1998)  
•   SQL  -­  Structured  Query  Language(Date  &  Darwen,  1993)  
Muchos  lenguajes  son  de  un  dominio  específico  más  que  de  propósito  general.(Mernik  &  
Sloane,  2005)  
Existen  otros  nombres  para  un  DSL(Wikipedia,  2007a)  como:  
•   Pequeños  lenguajes  
•   Macros  
•   Lenguajes  de  aplicación  
•   Lenguajes  orientados  a  problemas  
Adoptar  un  DSL  implica  riesgos  y  oportunidades(Deursen  et  al.,  2000).  Entre  los  beneficios  
tenemos:  
•   Expresar  en  un  nivel  de  abstracción  el  dominio  del  problema  
•   Son  concisos,  autodocumentados  y  reutilizables  para  diferentes  propósitos  
•   Aumentan  la  productividad,  lectura,  mantenimiento  y  portabilidad  
•   Describe  un  dominio  de  conocimiento,  conservándolo  y  reutilizándolo  
Las   herramientas   de   cómputo   que   implementan   un   DSL   capturan   especificaciones   en  
forma   de   modelos   de   dominio.   Comúnmente   pueden   generar,   configurar   e   integrar  
determinados   componentes   de   aplicaciones.   Estos   ambientes   traducen   el   diseño  
verificado  mediante  un  modelado  formal  a  una  variedad  de  artefactos  que  pueden  incluir  
código,  esquemas  de  bases  de  datos  y  configuraciones.(Ledeczi  et  al.,  2001).  La  intención  
de  crear  un  DSL  es  llegar  a  la  generación  automática  de  código.  
Se  pueden  distinguir  5  fases  para  el  desarrollo  de  un  DSL:  (Mernik  &  Sloane,  2005)  
Tesis:  Modelado  Visual  de  Aplicaciones  Domino  
Diseño  de  software  
25    
•   Decisión,    
•   análisis,    
•   diseño,    
•   implementación  e    
•   implantación  
  
Figura  7  Fases  para  el  desarrollo  de  un  DSL  
En   el   modelado   de   un   dominio   específico   se   pueden   distinguir   al   menos   cuatro  
direcciones(Luoma,  Kelly,  &  Tolvanen,  2004):  
•   Conceptos   del   desarrollador   o   del   experto   del   dominio.   Cuando   el   lenguaje   es  
modelado  por  un  experto  es  más  fácil  de  entender.  
•   Salida  generada.  Definición  de  la  estructura  de  código  requerida.  
•   Representatividad  del  sistema  construido.  El  modelo  debe  entenderse  claramente  
cuando  es  visto  por  el  usuario  final.  
•   Espacio  de  variabilidad.  Definiciones  de  lenguajes  flexibles  que  puedan  extenderse  
para  ser  empleadas  en  futuras  variantes.  
Para  elaborar  un  DSL  se  debe  realizar  un  análisis  de  dominio  formal.  La  salida  de  esta  
etapa  es  un  modelo  de  dominio  que  consiste  de(Mernik  &  Sloane,  2005):  
•   Una  definición  de  dominio  que  describe  el  alcance  del  dominio  
•   Terminología  del  dominio  (vocabulario,  ontología)  
Desición de
elaboración
Análisis del
dominio Diseño Implementación Implantación
Tesis:  Modelado  Visual  de  Aplicaciones  Domino  
Diseño  de  software  
26    
•   Descripciones  de  los  conceptos  del  dominio  
•   Modelos  característicos  que  describen  las  constantes  y  variables  de  los  conceptos  
del  dominio  y  sus  interdependencias.  
El   tiempo   que   un   desarrollador   necesita   para   aprender   un   lenguaje   de   modelado   de  
propósito  general  es  mayor  que  el  que  requiere  para  aprender  un  DSL.  Un  DSL  representa  
de   manera   más   cercana   el   dominio   que   se   desea   modelar.   En   Nokia   por   ejemplo,   el  
conocimiento  del  dominio  contenido  en  su  DSL  produjo  una  disminución  en  la  curva  de  
aprendizaje   para   nuevos   empleados.   Ello   redujo   el   inicio   de   la   productividad   de   los  
desarrolladores  de  seis  meses  a  2  semanas.(Kelly  &  Tolvanen,  2000)  
1.3.3.   Modelado  de  dominio  específico  
El   Modelado   de   dominio   específico:   DSM   (Por   sus   siglas   en   inglés:   Domain   Specific  
Modeling)  comúnmente  es  utilizado  como  sinónimo  de  DSL.  Sin  embargo  un  DSL  puede  
hacer   traducciones   entre   lenguajes   textuales   como   es   el   caso   de   Ruby.   (Freeze,  
2006)(Cuadrado  &  Molina,  2007).    
El   DSM   tiene   como   beneficio   principal   una   mayor   alineación   entre   el   modelo   de   la  
aplicación  y  el  código  generado.(Kelly  &  Tolvanen,  2008)  
Los  DSM  están  más  relacionados  a  herramientas  visuales  de  modelado  que  soportan  la  
implementación  de  un  DSL.  
Actualmente   muchas   empresas   apoyan   la   generación   de   DSM   y   su   implementación   a  
través  de  sus  herramientas.  Tal  es  el  caso  de  Microsoft,  IBM,  MetaCase  y  Eclipse.  
El   modelado   de   dominio   específico   requiere   principalmente   de   tres   cosas:   (Kelly   &  
Tolvanen,  2008)  
•   Un  lenguaje  de  modelado  de  dominio  específico  
•   Un  generador  de  código  de  dominio  específico  
•   Un  marco  o  herramientas  de  dominio  
Tesis:  Modelado  Visual  de  Aplicaciones  Domino  
Diseño  de  software  
27    
  
Figura  8  Función  del  DSL  
Los   generadores   de   código   asociados   a   los   DSM   surgen   como   una   evolución   de   los    
lenguajes  de  cuarta  generación.  
1.3.4.   Perfiles  de  UML  
Un  perfil  de  UML  es  una  opción  para  definir  un  DSL  extendiendo  la  capacidad  del  UML.  
Los  perfiles  de  UML  permiten  la  definición  de  estereotipos  los  cuales  son  extensiones  de  
diseño   de   elementos   UML   que   permiten   contar   con   elementos   UML   con   información  
adicional.(Leroux  et  al.,  2006)  
La  siguiente  imagen  muestra  la  estructura  de  los  elementos  utilizados  para  definir  un  perfil  
de  UML  proporcionados  por  la  especificación  del  estándar.  
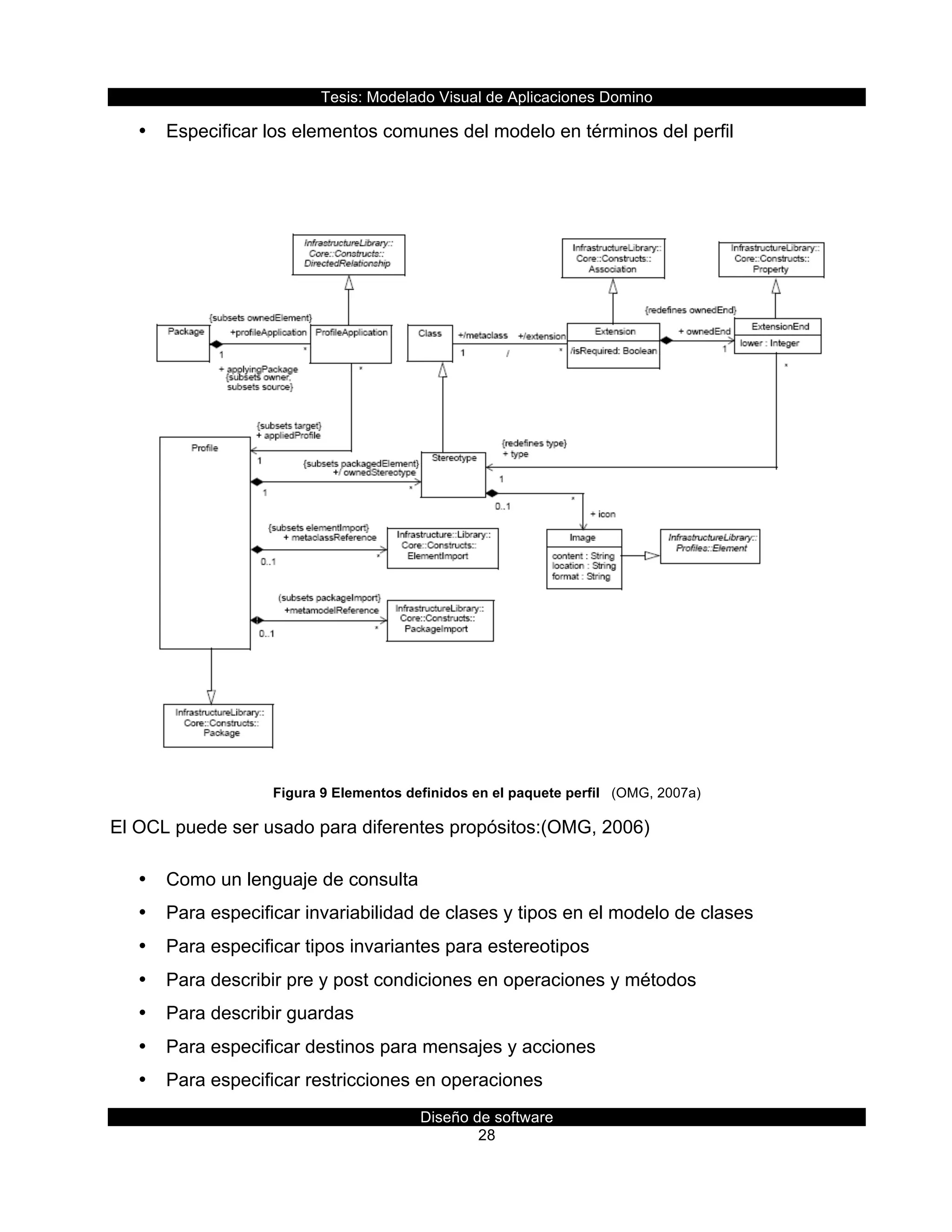
Un  perfil  de  UML  es  una  especificación  que  hace  una  o  más  de  las  siguientes  cosas(OMG,  
2007a)(OMG,  2007b):    
•   Identificar  un  subconjunto  de  el  metamodelo  UML  
•   Especificar  un  conjunto  de  restricciones  para  elementos  bien  formados  mediante  el  
Lenguaje  de  Restricción  de  Objetos  de  UML:  OCL  (Por  sus  siglas  en  inglés  Object  
Constraint  Language)  (OMG,  2006)  
•   Especificar   elementos   estándar   mediante   instancias   de   estereotipos   de   UML,  
valores  etiquetados  o  restricciones  
•   Especificar  la  semántica  de  los  elementos  del  perfil  expresada  en  lenguaje  natural  
Tesis:  Modelado  Visual  de  Aplicaciones  Domino  
Diseño  de  software  
28    
•   Especificar  los  elementos  comunes  del  modelo  en  términos  del  perfil  
  
  
Figura  9  Elementos  definidos  en  el  paquete  perfil      (OMG,  2007a)  
El  OCL  puede  ser  usado  para  diferentes  propósitos:(OMG,  2006)  
•   Como  un  lenguaje  de  consulta  
•   Para  especificar  invariabilidad  de  clases  y  tipos  en  el  modelo  de  clases  
•   Para  especificar  tipos  invariantes  para  estereotipos  
•   Para  describir  pre  y  post  condiciones  en  operaciones  y  métodos  
•   Para  describir  guardas  
•   Para  especificar  destinos  para  mensajes  y  acciones  
•   Para  especificar  restricciones  en  operaciones  
Tesis:  Modelado  Visual  de  Aplicaciones  Domino  
Diseño  de  software  
29    
•   Para  especificar  reglas  de  derivación  de  atributos  para  cualquier  expresión  sobre  un  
modelo  UML  
Para  definir  un  perfil  debe  contarse  con  un  metamodelo  previo  que  muestre  los  elementos  
del  dominio  y  sus  relaciones.  
Un  metamodelo  es  un  modelo  que  define  otro  modelo.  (Leroux  et  al.,  2006)  
Un  perfil  se  compone  de:    
•   La  declaración  de  un  paquete  perfil  de  UML.  
•   Tipos   primitivos.   Son   utilizados   en   los   estereotipos   como   etiquetas   definidas.  
Pueden  estar  predefinidas  en  una  librería  del  dominio  específico  referenciada  por  el  
perfil   o   pueden   importarse   de   otras   librerías   como   la   del   plugin   de   Eclipse    
org.Eclipse.uml2.uml.resources.  Por  ejemplo  “texto”,  “entero”,  “booleano”.  
•   Enumeraciones.  Es  un  tipo  de  dato  que  permite  definir  cualquier  número  de  valores  
nombrados  definidos  por  el  usuario.  Por  ejemplo  “Tipo  de  inmueble”.  
•   Valores  etiquetados(en  inglés:  enumeration literals).  Un  valor  de  dato  definido  por  el  
usuario   para   ser   usado   en   una   enumeración.   Por   ejemplo   “condominio”,  
“departamento”,  “residencia”  
•   Estereotipos.  Definen  el  cómo  puede  ser  extendida  una  metaclase,  permitiendo  en  
lugar   de   esta   el   uso   de   la   notación   o   terminología   del   dominio.   Cada   estereotipo  
puede  extender  una  o  más  clases  a  través  de  extensiones  como  parte  de  un  perfil.  
Por  ejemplo  <<inmueble>>,  <<constructor>>,<<comprador>>  
•   Generalizaciones   de   estereotipos.   Como   en   las   clases   los   estereotipos   pueden  
estar   involucrados   en   generalizaciones.   Una   generalización   es   una   relación  
taxonómica   entre   un   clasificador   específico   y   un   clasificador   mas   general.   Cada  
clasificador  específico  hereda  las  características  del  clasificador  general  pudiendo  
agregar  sus  características  propias.    
•   Propiedades   de   estereotipos.   Como   en   las   clases   los   estereotipos   pueden   tener  
propiedades   o   atributos.   Cuando   un   estereotipo   es   aplicado   a   un   elemento   del  
Tesis:  Modelado  Visual  de  Aplicaciones  Domino  
Diseño  de  software  
30    
modelo,   los   valores   de   las   propiedades   pueden   ser   referenciados   como   valores  
etiquetados  
•   Referencias  a  metaclases.  Un  perfil  es  una  forma  restricta  de  un  metamodelo  que  
siempre  debe  estar  referenciado  a  un  metamodelo  (por  ejemplo  UML).  Un  perfil  no  
puede   ser   usado   sin   la   referencia   a   un   metamodelo,   este   define   el   límite   para  
extender  las  metaclases  de  un  metamodelo  de  referencia  vía  estereotipos.  
•   Extensiones.  Son  usadas  para  indicar  que  las  propiedades  de  las  metaclases  son  
extendidas   a   través   de   estereotipos   y   permiten   de   manera   flexible   aplicar   dichos  
estereotipos  a  los  elementos.
A medida que se desea mejorar el modelado acercándolo a las características propias del dominio, el
diseño de un DSL se vuelve recomendable.
Tanto los perfiles de UML como el UML están basados en el MOF estándar definido por el OMG.
Existen   varios   ejemplos   de   perfiles   de   UML   empleados   en   la   actualidad.   Entre   ellos  
tenemos:  
•   Lenguaje   de   modelado   de   sistemas:   SysML   (por   sus   siglas   en   inglés:Systems  
Modeling  Language)(Partners,  2005)  
•   Perfil  de  UML  para  CORBA  
•   Perfil  UML  para  distribución  de  datos  
•   Perfil  de  UML  para  el  modelado  y  análisis  de  sistemas  embebidos  y  en  tiempo  real:  
MARTE   (por   sus   siglas   en   inglés:   Modeling   and   Analysis   of   Real-­time   and  
Embedded  Systems)  
  
Tesis:  Modelado  Visual  de  Aplicaciones  Domino  
Herramientas  de  modelado  
31    
  
  
  
  
  
  
  
  
2.  Capítulo:  Herramientas  de  modelado  
En   esta   sección   se   presenta   la   revisan   las  
características   de   las   herramientas   para  
implementar  lenguajes  de  modelado  de  dominio  
específico.  Las  herramientas  que  se  presentan  
son:   MetaEdit+,   Microsoft   DSL   Tools   y   el  
proyecto  de  modelado  de  Eclipse  
     
Tesis:  Modelado  Visual  de  Aplicaciones  Domino  
Herramientas  de  modelado  
32    
Introducción  
Existen  en  la  actualidad  varias  herramientas  para  modelado  visual  capaces  de  utilizar  un  
DSL.  Entre  las  más  importantes  tenemos:    
•   MetaEdit+,    
•   MS  DSL  Tool,    
•   Eclipse  Modeling  Framework.  
Una   herramienta   no   es   suficiente   para   la   implementación   de   un   DSL.   Debe   contarse  
previamente  con  el  modelo  de  domino  o  metamodelo  para  un  trabajo  completo.  
2.1.   MetaEdit+  
MetaEdit+  es  una  herramienta  de  la  marca  metaCASE  que  permite  diseñar  lenguajes  de  
modelado  y  generación  de  código  para  automatizar  el  desarrollo  de  software.  Fue  creada  
en  el  año  de  1995.  
En   Metaedit+,   el   lenguaje   de   metamodelado   se   denomina   GOPPRR   (por   sus   siglas   en  
inglés:   Graph,   Object,   Property,   Port,   Relationship   y   Role),   que   son   los   meta-­tipos   que  
proporciona  para  describir  los  lenguajes  de  modelado.(Gomez  &  Sanchez,  )  
Tesis:  Modelado  Visual  de  Aplicaciones  Domino  
Herramientas  de  modelado  
33    
  
Figura  10  Herramienta  MetaEdit+  
Esta   herramienta   permite   representar   modelos   de   manera   textual   y   gráfica.   Dichos  
metamodelos  y  los  mismos  modelos  son  almacenados  en  un  repositorio.  
El  método  de  desarrollo  de  esta  herramienta  es  definir  conceptos,  propiedades  asociadas  
y  reglas.  
A   diferencia   de   otras   herramientas,   el   entorno   de   trabajo   que   utiliza   no   diferencia  
claramente  los  conceptos  de  sintaxis  abstracta  y  sintaxis  concreta.  De  esta  forma,  cuando  
se   define   un   nuevo   elemento   del   metamodelo   y   sus   propiedades,   se   diseña   también   el  
aspecto  visual  del  mismo.  
Tesis:  Modelado  Visual  de  Aplicaciones  Domino  
Herramientas  de  modelado  
34    
  
Figura  11  Arquitectura  de  MetaEdit+  
Esta  herramienta  se  ha  utilizado  para  implementar  más  de  100  técnicas  de  modelado  y  
docenas  de  código  y  reportes.  
Esta  herramienta  ha  sido  utilizada  por  Nokia  para  personalizar  métodos  de  desarrollo  de  
sistemas  de  administración  de  redes  y  sus  teléfonos  móviles.  Deloitte  &  Touche  utilizaron  
metaCASE   para   implementar   una   herramienta   que   soporta   su   metodología   orientada   a  
objetos.  
2.2.   Microsoft  DSL  Tools  
Esta   herramienta   es   una   extensión   del   Visual   Studio   que   permite   la   construcción   de  
diseñadores  gráficos  y  la  generación  de  código  usando  una  notación  diagramática  para  
dominio  específico.  DSL  Tools  incluye  las  siguientes  herramientas:(Cook,  Jones,  Kent,  &  
Wills,  2007)  
Tesis:  Modelado  Visual  de  Aplicaciones  Domino  
Herramientas  de  modelado  
35    
•   Un   asistente   de   proyectos   con   plantillas   de   soluciones   que   ayudan   a   iniciar   el  
desarrollo  de  un  DSL  del  usuario  
•   Un  diseñador  gráfico  para  crear  y  editar  la  definición  del  DSL  
•   Un  motor  de  validación  para  asegurar  que  la  definición  del  DSL  está  bien  formada  
•   Un   generador   de   código   que   toma   la   definición   del   DSL   como   entrada   para  
producir  código  
Para   liberar   la   herramienta   se   debe   empaquetar   la   solución,   la   cual   solo   puede   ser  
ejecutada  en  el  entorno  propietario  de  Visual  Studio.  
Microsoft   DSL   Tools   permiten   definir   lenguajes   gráficos   usando   sintaxis   abstracta  
(metamodelo)  en  una  notación  propietaria.  La  base  de  dichos  modelos  es  el  XML  como  
mecanismo  de  persistencia.  
  
Figura  12  IDE  de  Microsoft  VisualStudio  con  DSL  Tool  
Tesis:  Modelado  Visual  de  Aplicaciones  Domino  
Herramientas  de  modelado  
36    
EL   desarrollo   de   un   DSL   en   Visual   Studio   debe   tener   las   siguientes   características:  
notación,   modelo   del   dominio,   generación   de   artefactos,   serialización   e   integración   con  
Visual  Studio.  
  
Figura  13  Arquitectura  DSL  Tools  
Esta  herramienta  genera  un  DSL  a  través  de  un  asistente  el  cual  nos  permite  elegir  una  
plantilla  base  que  puede  ser  personalizada.  
El   resultado   son   dos   proyectos   enlazados   que   permiten   definir   el   DSL   y   construir   la  
interface  gráfica  del  usuario.(Gomez  &  Sanchez,  )  
  
Figura  14  Proyectos  de  Visual  Studio  al  crear  un  DSL  
Desarrollo del DSL
(Definición del modelo)
DomainModel.dsldm
Modelodel
dominio
Notación
gráficaycajade
herramienta
Exploradory
ventanade
propiedades
Validación
Serialización
Implantación
DSL Designer
(Desarrollo de la GUI)
Designer.dsldd
Construccion
delmodelode
dominio
Significadodel
modelo
Progamación
usandoDSL
API
Tesis:  Modelado  Visual  de  Aplicaciones  Domino  
Herramientas  de  modelado  
37    
2.3.   Proyecto  de  modelado  de  Eclipse  
Eclipse  es  una  organización  que  implementa  modelos,  marcos  de  trabajo  y  herramientas  
libres.  
Entre  los  muchos  proyectos  con  los  que  cuenta,  se  encuentra  el  proyecto  de  modelado  de  
Eclipse:  EMP  (por  sus  siglas  en  inglés:  Eclipse  Modeling  Project).  Este  proyecto  se  centra  
en   el   desarrollo   de   herramientas   de   modelado   y   la   generación   automática   de   código.  
Empresas   importantes   como   IBM,   Borland   y   Sun   son   algunos   de   los   principales  
promotores  de  este  proyecto.  
En  Eclipse  para  definir  un  DSL  puede  usarse  un  Metamodelo  generado  en  EMF  (por  sus  
siglas  en  inglés:  Eclipse  Modeling  Framework).  
El   modelo   fuente   de   un   proyecto   EMF   contiene   la   descripción   de   los   datos   de   una  
aplicación  incluyendo:  objetos  y  sus  atributos,  relaciones,  operaciones  y  restricciones.  
El  EMF  permite  generar  código  desde  meta-­modelos  definidos  como  diagramas  de  clase  
de   UML   usando   plugins   apropiados.   El   EMF   puede   utilizarse   como   base   para   la  
especificación  de  lenguajes  visuales.  (Ehrig  et  al.,  2005)  
Los   modelos   de   dominio   o   metamodelos   (modelos   que   representan   modelos)   pueden  
generarse  a  través  de  las  siguientes  opciones:  
•   Interfaces  de  clases  en  Java  
•   Modelo  de  clases  de    Rational  Rose  
•   Documento  XML  
•   Modelo  ecore  
El   EMF   (Budinsky,   2003)   ofrece   además   de   la   descripción   de   un   metamodelo,  
herramientas   para   importar   y   generar   código   de   modelos   fuente   en   varios   formatos,  
ofreciendo  un  camino  simple  y  práctico  para  el  modelado  y  metamodelado.  
Una   vez   que   se   cuenta   con   el   modelo   del   dominio   se   puede   utilizarse   el   GEF   para   la  
generación  de  una  herramienta  visual.  (Moore,  2004)  
Tesis:  Modelado  Visual  de  Aplicaciones  Domino  
Herramientas  de  modelado  
38    
  
Figura  15  Analogía  entre  Eclipse  EMF  y  GMF  
Para  facilitar  la  generación  de  herramientas  gráficas  basadas  en  un  modelo  de  dominio,  
Eclipse  creo  el  framework  de  modelado  gráfico:  GMF  (por  sus  siglas  en  inglés:  Graphical  
Modeling  Framework).  El  objetivo  de  este  framework  es  servir  como  un  puente  amigable  al  
usuario  entre  el  EMF  y  el  GEF  para  la  generación  de  editores  visuales.  
  
Figura  16  Proceso  de  generación  de  un  modelador  con  Eclipse  GMF  
Tesis:  Modelado  Visual  de  Aplicaciones  Domino  
Herramientas  de  modelado  
39    
2.4.   Elección  de  la  herramienta  
Para  el  desarrollo  de  la  herramienta  de  modelado  visual  presentado  en  esta  tesis  se  ha  
elegido  a  Eclipse  debido  a:  
•   Utiliza  estándares  abiertos  de  modelado  
•   No  requiere  costos  de  licenciamiento  
•   El  componente  de  modelado  es  fácilmente  distribuible  mediante  plugins  
•   La  creación  de  herramientas  visuales  es  altamente  configurable  
•   Soporta  diferentes  sistemas  operativos  
•   La   empresa   IBM   propietaria   de   Lotus   Notes   apoya   fuertemente   a   la   fundación  
Eclipse.   IBM   está   migrando   sus   clientes   Lotus   Notes   a   esta   plataforma   lo   que  
permitirá   en   trabajos   futuros   integrar   las   actividades   de   diseño   y   codificación   de  
aplicaciones  en  un  mismo  entorno  
  
  
Tesis:  Modelado  Visual  de  Aplicaciones  Domino  
Plataforma  Lotus  Notes  
40    
  
  
  
  
  
  
  
  
  
3.  Capítulo:  Plataforma  Lotus  Notes  /  Domino  
En  esta  sección  se  describen  las  características  
de  la  plataforma  colaborativa  IBM  Lotus  Notes  /  
Domino  
     
Tesis:  Modelado  Visual  de  Aplicaciones  Domino  
Plataforma  Lotus  Notes  
41    
3.1.   Breve  historia  
La   plataforma   IBM   Lotus   Domino/Notes   permite   el   desarrollo   e   implementación   de  
aplicaciones  colaborativas  empresariales.  
Entre   sus   características   más   destacables   se   encuentra   el   gran   número   sistemas  
operativos  sobre  los  que  puede  ejecutarse  como:  Windows,  IBM  OS,  Mac,  Novell,    UNIX  
(AIX   de   IBM,   Solaris   de   Sun,   UX   de   HP   y   Linux).   Ello   permite   a   los   programadores   la  
facilidad  de  desarrollar  aplicaciones  independientemente  de  la  plataforma.(Plaza,  2000)  
Lotus  Notes  está  fuertemente  orientado  al  desarrollo  de  aplicaciones  colaborativas  donde  
interactúen  personas,  información  y  procesos.  
Lotus  almacena  de  manera  integrada  los  datos  y  elementos  de  diseño  (estructura  de  los  
datos   y   código   de   la   aplicación)(IBM,   2005a)utilizando   un   ítem   básico   llamado   nota   (en  
inglés   Notes)   de   ahí   el   origen   de   su   nombre   de   marca.   Todos   estos   elementos   se  
encuentran  contenidos  en  una  sola  base  de  datos  de  extensión  “nsf”.    
  
Figura  17  Composición  de  una  BDs  Notes  
3.2.   Elementos  de  diseño  
Estos  elementos  de  diseño  son  utilizados  para  codificar  la  funcionalidad  de  la  aplicación.  
Los   elementos   de   diseño   pueden   contener   opcionalmente   acciones,   eventos   y   otros  
elementos  de  diseño.  Las  acciones  y  eventos  pueden  contener  código  en  alguno  de  los  
lenguajes  soportados  como:  Java,  JavaScript,  LotusScript,  comandos  y  fórmulas.  
Tesis:  Modelado  Visual  de  Aplicaciones  Domino  
Plataforma  Lotus  Notes  
42    
Un   elemento   de   diseño   puede   contener   al   mismo   tiempo   la   lógica   de   la   aplicación  
(funcionalidad),  la  interfaz  del  usuario  y  la  estructura  de  datos).  
  
Figura  18  Elementos  de  diseño  de  Lotus  Notes  
Lotus  proporciona  mecanismos  para  exportación  e  importación  no  solo  de  los  datos  sino  
de   la   estructura   de   sus   aplicaciones.   Para   ello   proporciona   una   estructura   XML  
estandarizada  llamada  Domino  en  DTD  (por  sus  siglas  en  inglés:  Domino  Document  Type  
Definitionk).(IBM,  2005b)  
3.3.   Funcionalidades  y  características  
Lotus  Notes  se  ha  consolidado  como  una  plataforma  colaborativa  de  desarrollo  rápido  de  
aplicaciones:  RAD  (por  sus  siglas  en  inglés:  Rapid  Application  Develop).  Ello  le  permite  
desarrollar  fácilmente  aplicaciones  simples.  
Elementos de diseño
Framesets
Pages
Forms
Views
Folders
Agents
WebServices
Outlines
SubForms
Fields
Columns
Actions
ScriptLibraries
Images
Files
Applets
StyleSheets
Dataconnections
Icon
Using
About
DatabaseScript
Navigators
Tesis:  Modelado  Visual  de  Aplicaciones  Domino  
Plataforma  Lotus  Notes  
43    
  
Figura  19  Funciones  y  características  de  la  plataforma  Notes/Domino  
Al   tratarse   de   un   entorno   de   desarrollo   RAD   y   su   base   de   datos   diferente   al   modelo  
entidad-­relación  tradicional,  el  modelado  tradicional  de  aplicaciones  usando  lenguajes  de  
propósito  general  como  el  UML,  puede  ser  complicado  y  difícilmente  estandarizado.  
3.4.   Productos  de  la  plataforma  
Debido  a  su  aceptación  en  el  mercado,  facilidad  de  integración  y  servicios  integrados,  IBM  
ha  extendido  las  capacidades  originales  de  la  plataforma.  En  la  actualidad  bajo  la  marca  
Lotus  se  han  creado  e  integrado  gran  número  de  aplicaciones  y  servidores  especializados  
para   distintas   necesidades   como:   portales,   gestión   del   conocimiento,   administración  
documental  y  multimedia,  BalanceScorecard,  etc.  
  
  
Tesis:  Modelado  Visual  de  Aplicaciones  Domino  
Plataforma  Lotus  Notes  
44    
Categoría Productos
Applications - Desktop & Enterprise
Diseñadas para automatizar procesos
empresariales, incrementar la
productividad del personal y educación.
Productivity & Office Suites
•   Lotus 1-2-3
•   Lotus Organizer
•   Lotus SmartSuite
•   Lotus Symphony
Business Integration
Proporciona una infraestructura
centralizada para integración de
aplicaciones y automatización de procesos
de negocio
Application Integration and Connectivity
•   Lotus Connector for SAP Solutions
•   Lotus Enterprise Integrator for Domino
Other Business Integration
•   Workplace for SAP Software
Enterprise Content Management
Administración de contenido,
cumplimiento con optimización de
procesos de negocio y de contenido.
Content Management
•   Lotus Domino Document Manager
•   Lotus Quickr
•   Lotus Web Content Management
Messaging Applications
Proporcionan ambientes colaborativos
integrados basados en directorios, correo
electrónico y calendario de grupos.
Advanced Messaging
•   Lotus Complete Collaboration Express Starter Pack
•   Lotus Domino
•   Lotus Domino Express
•   Lotus Domino WebMail
•   Lotus iNotes
•   Lotus Notes
•   Lotus Notes Hosted Messaging
•   Lotus Symphony
•   Lotus Workflow
Mobile, Speech and Enterprise Access
Middleware que soporte el acceso a los
recursos de la empresa por clientes ricos,
comandos de voz y dispositivos.
Mobile and Enterprise Access
•   Lotus EasySync Pro
•   Lotus Expeditor
•   Lotus Mobile Connect
Organizational Productivity, Portals
and Collaboration
Proporciona mensajería instantánea,
conferencia Web, ambientes portales
colaborativos y ambientes basados en
roles.
Forms Management
•   Lotus Forms (Forms, Turbo)
Learning Software
•   Lotus Learning Management System
•   Workplace Collaborative Learning
Portals
•   IBM Business Process Accelerator
•   IBM Collaboration Accelerator
•   IBM Content Accelerator
•   IBM Dashboard Accelerator
•   IBM Enterprise Suite Accelerator
•   IBM Healthcare Accelerator
•   IBM Learning Accelerator
•   IBM Self-Service Accelerator
Tesis:  Modelado  Visual  de  Aplicaciones  Domino  
Plataforma  Lotus  Notes  
45    
•   Lotus ActiveInsight
•   Lotus Workforce Management
•   Workplace for Business Controls and Reporting
•   Workplace for SAP Software
Enriches, extends and complements your SAP
investments
Real-time & Team Collaboration
•   Lotus Foundations Start
•   Lotus Quickr
•   Lotus Quickr Content Integrator
•   Lotus Sametime (Advanced, Entry, Standard, Unyte)
Social Software
•   Lotus Connections
Security
Protege  la  confidencialidad,  
integridad,  privacidad  y  
aseguramiento  de  sistemas  de  
información.
Security Compliance and Vulnerability Management
•   Lotus Protector for Mail Security
Software Development
Herramientas  de  desarrollo  de  SW  
para  construir  aplicaciones  y  soportar  
la  ejecución  de  procesos  de  
implantación
Analysis, Modeling, Design & Construction
•   Lotus Domino Designer
Mashup Development
•   Lotus Mashups
Tabla  1  Lista  de  productos  de  Lotus  por  categoría  
  
  
Tesis:  Modelado  Visual  de  Aplicaciones  Domino  
Lenguaje  de  modelado  de  dominio  específico  para  Lotus  Notes  /  Domino  
46  
  
  
  
  
  
  
  
  
4.  Capítulo:  Lenguaje  de  modelado  de  dominio  
específico  para  Lotus  Notes  /  Domino  
Se  presenta  el  proceso  realizado  durante  la  I+D  
para   la   definición   del   DSL   para   aplicaciones  
Lotus  Notes  
Tesis:  Modelado  Visual  de  Aplicaciones  Domino  
Lenguaje  de  modelado  de  dominio  específico  para  Lotus  Notes  /  Domino  
47  
4.1.   Introducción  
Para  cumplir  con  el  objetivo  de  esta  tesis  el  desarrollo  se  divide  en  tres  partes  principales:  
1.   La  obtención  de  un  lenguaje  de  modelado  de  dominio  específico  para  aplicaciones  
Lotus  Domino  
2.   El   desarrollo   de   una   herramienta   de   software   de   modelado   visual   que   permita   el  
diseño  de  aplicaciones  utilizando  el  DSL  antes  mencionado  
3.   El  desarrollo  de  una  herramienta  de  software  que  genere  código  automáticamente  a  
partir  de  un  diagrama  o  modelo  de  aplicación  Lotus.  
Para   el   primer   punto   se   obtuvo   un   DSL   comenzando   por   el   análisis   del   dominio  
tecnológico  para  el  desarrollo  de  aplicaciones  Lotus  Domino.  El  producto  del  análisis  fue  la  
obtención  de  un  metamodelo.  A  partir  de  este  metamodelo  se  especificó  un  perfil  de  UML  
con  el  propósito  de  poder  implementarlo  en  una  herramienta  de  modelado.  
En  el  segundo  punto  se  eligió  el  framework  de  modelado  de  Eclipse,  como  base  para  la  
construcción  de  la  herramienta  visual  de  modelado.  La  herramienta  de  modelado  puede  
ser   distribuida   a   los   diseñadores   y   desarrolladores   a   través   de   plugins.   El   producto   del  
modelado   nos   entrega   dos   archivos.   Uno   contiene   la   estructura   XML   de   la   aplicación  
modelada  y  el  otro  la  interfaz  gráfica  del  usuario  para  poder  visualizar  dicha  estructura.  
Para  el  tercer  punto  se  desarrollo  una  aplicación  Lotus  Domino  que  importa  la  estructura  
XML  de  la  aplicación  modelada,  la  transforma  en  una  definición  de  aplicación  utilizando  el  
Domino  DXL  y  finalmente  genera  la  aplicación  Lotus  representada  en  el  modelo.  
A  continuación  se  presenta  de  manera  detallada  el  desarrollo  de  cada  uno  de  los  puntos  
de  esta  tesis.  
4.2.   Proceso  para  definir  el  lenguaje  
Como  se  mencionó  en  la  introducción,  el  propósito  de  esta  etapa  fue  la  obtención  de  un  
DSL.    
Para  definir  el  DSL  se  realizaron  los  siguientes  pasos:  
Tesis:  Modelado  Visual  de  Aplicaciones  Domino  
Lenguaje  de  modelado  de  dominio  específico  para  Lotus  Notes  /  Domino  
48  
1.   Análisis  del  dominio  
2.   Definición  del  metamodelo  
3.   Especificación  del  DSL  
4.   Validación  del  DSL  
  
Figura  20  Proceso  para  la  obtención  del  DSL  
  
4.2.1.   Análisis  de  dominio  
El  desarrollo  de  toda  aplicación  Lotus  Domino  se  centra  en  el  uso  de  los  elementos  de  
diseño  proporcionados  por  la  herramienta  de  desarrollo.  
Se  aclara  que  para  propósitos  de  concordancia  con  el  nombre  de  los  elementos  de  diseño  
de   Lotus   Notes,   se   ha   mantenido   su   nombre   original   en   el   idioma   inglés   ya   que   es   el  
término  usado  cuando  los  programadores  se  refieren  a  ellos.  
Cada  uno  de  estos  elementos  tiene  un  comportamiento  propio  el  cual  puede  ser  utilizado  
para  realizar  acciones  controladas  a  través  de  código  introducido  por  el  programador.  
A  continuación  se  presenta  una  descripción  breve  de  cada  uno  de  los  elementos.  
Elemento  de  diseño   Descripción  
DataBase   Toda  aplicación  está  contenida  en  una  base  de  datos.  La  
base   de   datos   contiene   los   datos,   la   lógica   y   los  
elementos  de  diseño  de  la  aplicación.    
Análisis del
dominio
Definición del
metamodelo
Especificación
del DSL
Validación del
DSL
Tesis:  Modelado  Visual  de  Aplicaciones  Domino  
Lenguaje  de  modelado  de  dominio  específico  para  Lotus  Notes  /  Domino  
49  
Elemento  de  diseño   Descripción  
Frameset   Representa  a  un  elemento  Frameset  en  LDD  que  permite  
estructurar  páginas  Web.  
Frame   Representa  a  una  sección  de  un  elemento  Frameset.  
Web  Service   Representa  a  un  Servicio  Web  (aplicación  autónoma)  que  
puede  invocarse  o  publicarse  en  el  Web.  
Form   Representa  un  formulario  que  permite  mostrar  e  ingresar  
información  a  la  BD.  
Subform   Representa  a  un  subformulario  agrupador  de  elementos  y  
de   cierta   funcionalidad   que   puede   compartirse   entre  
formularios.  
Field   Representa  a  un  campo  que  recolecta  datos  de  algún  tipo.  
Page   Representa  al  elemento  Page  de  LDD  que  se  utiliza  para  
presentar  información  de  la  BD.  
Action  Bar   Representa   a   una   barra   de   botones.   Cada   botón   es   un  
contenedor  de  acciones  programadas.  
Action   Representa   código   fuente   en   algún   tipo   de   lenguaje  
soportado  por  LDD.  Provee  métodos  de  rápido  acceso  a  
tareas  rutinarias.  
Agent   Representa   código   fuente   en   algún   tipo   de   lenguaje  
soportado   por   LDD.   Permiten   automatizar   tareas  
rutinarias.  
ScriptLibrary   Representa   a   una   librería   codificada   en   algún   lenguaje  
soportado   por   LDD.   Estas   pueden   compartirse   entre  
diversos  elementos.  
File   Representa   a   un   archivo   importado   en   la   BD   para  
utilizarse   de   manera   compartida   en   el   diseño   de  
aplicaciones.  
Style  Sheet   Representa   una   hoja   de   estilo   importada   a   la   BD   que  
permite  tener  mejor  control  sobre  muchos  aspectos  en  el  
diseño  de  páginas  Web.  
Outline   Representan  a  un  elemento  Outline  en  LDD.  Provee  una  
forma  de  navegar  en  una  aplicación  a  los  usuarios.  
Tesis:  Modelado  Visual  de  Aplicaciones  Domino  
Lenguaje  de  modelado  de  dominio  específico  para  Lotus  Notes  /  Domino  
50  
Elemento  de  diseño   Descripción  
Outline  Entry   Representa   un   elemento   de   la   estructura   de   navegación  
de  un  Outline.  Puede  ser  una  liga  o  acción  que  invoque  un  
componente,  incluso  otra  aplicación  o  BD.    
Image   Representa  a  una  imagen  importada  a  la  BD.  
Applet   Representa  un  Applet  de  Java  importado  a  la  BD.  
Computer  Text   Representa   un   campo   calculado   donde   su   valor   está  
determinado   por   una   fórmula   que   el   desarrollador  
programa.  
Table   Representa   una   tabla   de   texto   enriquecido   que   permite  
agrupar   y   presentar   información   mostrada   a   través   de  
otros  elementos.  
Section   Es   una   área   que   puede   expandirse   o   colapsarse   para  
mostrar  u  ocultar  elementos  contenidos  en  esa  área.  
Navigator   Representa   una   interfaz   que   permite   a   los   usuarios  
acceder  a  otros  elementos  o  datos  de  una  BD.  
View   Representa   a   una   vista   en   LDD.   Es   una   lista   de  
documentos   de   una   BD   que   pueden   seleccionarse   de    
acuerdo  a  un  criterio  de  selección.  
Folder   Tienen  la  misma  funcionalidad  que  un  elemento  View.  La  
diferencia   radica   en   que   aquí   no   existe   un   criterio   de  
selección  de  documentos.  
Column   Muestran   un   tipo   de   información   acerca   de   los  
documentos   listados   en   un   View   o   Folder.   Son   un  
componente  estructural  de  los  mismos.  
Button     
Hotspot   Representa   texto   o   una   imagen   en   un   campo   de   texto  
enriquecido  donde  puede  hacerse  clic  para  llevar  a  cabo  
una  acción,  correr  una  formular,  script  o  invocar  una  liga.  
Tabla  2  Descripción  de  elementos  de  diseño  de  Lotus  
Si  bien  Lotus  Domino  provee  de  los  elementos  de  diseño  anteriormente  descritos  para  ser  
utilizados  como  base  del  desarrollo  de  aplicaciones,  en  la  práctica  no  todos  los  elementos  
son  usados  en  una  determinada  aplicación.    
Tesis:  Modelado  Visual  de  Aplicaciones  Domino  
Lenguaje  de  modelado  de  dominio  específico  para  Lotus  Notes  /  Domino  
51  
La  siguiente  tabla  muestra  la  distribución  en  el  uso  de  dichos  elementos.  Se  tomaron  para  
el   análisis   tres   aplicaciones   desarrolladas   por   el   IIE   donde   intervinieron   varios  
desarrolladores  en  su  codificación.  
  
Tabla  3  Porcentaje  de  uso  de  elementos  de  diseño  en  aplicaciones  Lotus  
Como   puede   observarse   la   distribución   varía   para   cada   aplicación   debido   a   la  
funcionalidad  que  implementa  y  a  la  manera  en  que  un  desarrollador  implementa  dicha  
funcionalidad.    
La   siguiente   gráfica   muestra   como   elementos   más   importantes   a   los   archivos   y   las  
imágenes.  Estos  elementos  no  contienen  propiamente  código  programado.  En  la  práctica  
los  elementos  más  usados  para  programación  son  los  forms,  views,  pages  y  agents.  
Framesets 17 3.85% 0 0.00% 2 0.60%
Pages 55 12.47% 53 7.86% 12 3.59%
Forms 76 17.23% 62 9.20% 62 18.56%
Views 51 11.56% 69 10.24% 51 15.27%
Folders 0 0.00% 0 0.00% 0 0.00%
Agents 36 8.16% 70 10.39% 42 12.57%
WebServices 0 0.00% 0 0.00% 0 0.00%
Outlines 1 0.23% 0 0.00% 0 0.00%
SubForms 8 1.81% 3 0.45% 6 1.80%
Fields 5 1.13% 4 0.59% 3 0.90%
Columns 0 0.00% 0 0.00% 0 0.00%
Actions 12 2.72% 0 0.00% 2 0.60%
Script	
  Libraries 12 2.72% 16 2.37% 6 1.80%
Images 146 33.11% 130 19.29% 126 37.72%
Files 11 2.49% 257 38.13% 6 1.80%
Applets 0 0.00% 0 0.00% 0 0.00%
Style	
  Sheets 9 2.04% 8 1.19% 14 4.19%
Data	
  connections 0 0.00% 0 0.00% 0 0.00%
Icon 1 0.23% 1 0.15% 1 0.30%
Using 0 0.00% 0 0.00% 0 0.00%
About 1 0.23% 1 0.15% 1 0.30%
Database	
  Script 0 0.00% 0 0.00% 0 0.00%
Navigators 0 0.00% 0 0.00% 0 0.00%
441 100.00% 674 100.00% 334 100.00%
Minutas
Aplicaciones
Shared	
  codeShared	
  resources
Portal ServiceDesk
Elementos	
  de	
  
diseño
Tesis:  Modelado  Visual  de  Aplicaciones  Domino  
Lenguaje  de  modelado  de  dominio  específico  para  Lotus  Notes  /  Domino  
52  
  
  
Figura  21  Distribución  de  elementos  de  diseño  en  las  aplicaciones  
Otra  característica  importante  de  los  elementos  de  diseño  es  la  capacidad  de  contener  a  
otros   elementos.   Dada   esta   característica   los   elementos   pueden   ser   contenedores,  
contenidos  o  ambos.  
Algunos  elementos  contenidos  pueden  desplegarse  o  ser  invocados  para  su  ejecución  de  
manera  directa,  otros  sin  embargo  solo  pueden  existir  como  elementos  contenidos  por  lo  
que   no   pueden   ejecutarse   de   manera   directa   sino   a   través   de   la   invocación   de   su  
elemento  contenedor.  
Dado  lo  anterior  los  elementos  quedan  clasificados  como:  
•   Principal  containers.  Elementos  de  diseño  que  pueden  contener  a  otros  elementos  y  
pueden  ser  invocados  o  ejecutados  por  su  mismos  
•   Secondary   containers.   Pueden   contener   a   otros   elementos   pero   no   pueden   ser  
ejecutados   o   invocados   de   manera   directa   sino   a   través   de   otro   elemento  
contenedor  
•   No  containers.  Son  elementos  de  diseño  que  no  pueden  contener  a  otros  elementos  
Tesis:  Modelado  Visual  de  Aplicaciones  Domino  
Lenguaje  de  modelado  de  dominio  específico  para  Lotus  Notes  /  Domino  
53  
  
Figura  22  Clasificación  de  elementos  de  diseño  
  
Principal
containersView
Form
Page
Frameset
Secondary containers
Folder
Outline
Hotspot
Table
Section
Frame
Navigator
Action
ActionBar
Subform
No containers
WebService
Button
File
Column
Agent
StyleSheet
Applet
Field
OutlineEntry
ScriptLibrary
Tesis:  Modelado  Visual  de  Aplicaciones  Domino  
Lenguaje  de  modelado  de  dominio  específico  para  Lotus  Notes  /  Domino  
54  
4.2.2.   Metamodelo  
Como   resultado   del   análisis   de   dominio   se   obtuvo   el   siguiente   modelo   que   muestra   las  
relaciones  que  existen  entre  los  elementos  de  diseño  que  componen  una  aplicación  Lotus  
Domino.  Este  metamodelo  es  utilizado  como  base  para  la  definición  de  un  lenguaje  visual  
de  modelo.  
  
Figura  23  Metamodelo  de  aplicaciones  Lotus  Domino  
Tesis:  Modelado  Visual  de  Aplicaciones  Domino  
Lenguaje  de  modelado  de  dominio  específico  para  Lotus  Notes  /  Domino  
55  
4.2.3.   DSL  para  aplicaciones  Lotus  Domino  
La  especificación  del  DSL  se  realizó  a  través  de  un  perfil  de  UML.  Esto  nos  permite  que  
pueda  ser  implementado  en  diferentes  herramientas  de  modelado  propietarias  y  libres.  De  
esta  manera  puede  aprovecharse  el  esfuerzo  en  la  definición  del  lenguaje.  
Cada  elemento  del  metamodelo  se  representó  como  un  estereotipo  de  UML  que  extiende  
a   una   metaclase   base.   Los   estereotipos   se   agruparon   de   acuerdo   a   la   clasificación   de  
contención  obtenida  en  el  metamodelo.  
  
Figura  24  Clasificación  de  los  estereotipos  del  perfil  de  UML  para  Lotus  
Tesis:  Modelado  Visual  de  Aplicaciones  Domino  
Lenguaje  de  modelado  de  dominio  específico  para  Lotus  Notes  /  Domino  
56  
En  el  perfil  se  muestran:  los  elementos  de  diseño,  su  descripción,  la  metaclase  a  la  que  
extienden,  sus  relaciones  con  otros  elementos,  los  valores  etiquetados  o  propiedades  que  
lo  componen,  sus  restricciones  y  el  elemento  visual  que  los  representa.  
Para  propósitos  de  agilizar  la  lectura  del  trabajo  presentado  en  este  tesis,  la  especificación  
completa  del  perfil  se  muestra  como  un  anexo.  
4.2.4.   Validación  del  DSL  
Para  validar  el  DSL  se  implementó  el  perfil  haciendo  uso  de  la  herramienta  comercial  de  
modelado  Enterprise  Architect  de  la  compañía  Sparx  System,  con  el  propósito  de  realizar  
una   prueba   de   modelado.   Para   ello   se   le   agregó   el   perfil   una   iconografía   prototipo  
arbitraria  ya  que  la  implementación  final  se  realizara  en  la  herramienta  de  Eclipse.  
Para  la  validación  se  tomó  una  aplicación  Lotus  Domino  ya  existente,  la  cual  contaba  con  
diagramas  de  diseño  no  estandarizados  previamente  elaborados.  
  
Figura  25  Ejemplos  de  diagramas  de  diseño  no  estandarizados  
En  la  validación  se  revisó  que:  
Tesis:  Modelado  Visual  de  Aplicaciones  Domino  
Lenguaje  de  modelado  de  dominio  específico  para  Lotus  Notes  /  Domino  
57  
•   Una  aplicación  Lotus  Domino  puede  ser  modelado  a  través  del  perfil.  
•   Para  todo  elemento  de  diseño  existe  un  elemento  visual  que  lo  representa  
•   Para  todo  relación  entre  los  elementos  existe  un  elemento  visual  que  lo  representa  
•   Para  cada  propiedad  de  un  elemento  de  diseño  existe  un  valor  etiquetado  al  que  se  
le  puede  asignar  un  valor  válido  de  acuerdo  del  DSL  
Como  ejemplo  se  muestran  diagramas  de  diseño  obtenidos.  
  
Figura  26  Ejemplo  de  diagrama  simplificado  para  la  validación  del  DSL  
  
Tesis:  Modelado  Visual  de  Aplicaciones  Domino  
Lenguaje  de  modelado  de  dominio  específico  para  Lotus  Notes  /  Domino  
58  
  
Figura  27  Ejemplo  de  diseño  especificando  las  propiedades  de  los  elementos  
En   la   validación   del   DSL   se   comprobaron   que   los   puntos   antes   mencionados   fueron  
cubiertos.  Hecho  esto  se  procedió  a  la  elaboración  de  la  herramienta  final  en  la  plataforma  
de  Eclipse.  
  
Tesis:  Modelado  Visual  de  Aplicaciones  Domino  
Desarrollo  de  la  herramienta  
59  
  
  
  
  
  
  
  
5.  Capítulo:  Desarrollo  de  la  herramienta  
Se   presenta   el   proceso   realizado   para   la  
implementación  de  una  herramienta  de  software  
de  modelo  visual  que  implementa  el  DSL  Lotus  
Domino   y   un   generador   de   código   a   partir   del  
modelo.   Se   propone   una   arquitectura   para   la  
implementación   de   un   extractor   de   modelos   a    
partir   de   aplicaciones   existentes   utilizando  
ingeniería  inversa.  
     
Tesis:  Modelado  Visual  de  Aplicaciones  Domino  
Desarrollo  de  la  herramienta  
60  
5.1.     Componentes  de  la  herramienta  
La  herramienta  desarrollada  cuenta  con  dos  componentes  principales:  
•   Un  modelador  visual  que  permite  la  generación  de  diagramas  de  diseño  utilizando  
el  DSL  previamente  especificado  
•   Un   generador   automático   de   aplicaciones   que   permite   crear   los   elementos   de  
diseño  descritos  en  el  diagrama  de  diseño.  
  
Figura  28  Desarrollo  de  herramienta  de  modelado  
A  continuación  se  describe  el  proceso  de  desarrollo  de  la  herramienta  de  software.  
5.2.   Requerimientos  
5.2.1.   Alcances  
Esta   herramienta   permite   el   diseño   de   aplicaciones   Lotus   Domino   utilizando   el   DSL  
definido   para   ello.   La   herramienta   genera   los   elementos   de   diseño   representados   en   el  
modelo.  La  codificación  detallada  será  realizada  por  el  programador  en  la  aplicación  final  
durante  la  fase  de  codificación.  
5.2.2.   Objetivo  general  del  sistema  
Modelar  aplicaciones  Lotus  Domino  y  generar  los  elementos  de  diseño  de  la  aplicación  
representada  en  modelo.  
5.2.3.   Funciones  del  producto  
•   Permite  la  creación  de  diseños  de  aplicaciones  Lotus  
•   Permite  la  generación  de  aplicaciones  a  partir  del  modelo  
Desarrollo de
herramienta de
modelado
Desarrollo de
generador de
aplicaciones
Tesis:  Modelado  Visual  de  Aplicaciones  Domino  
Desarrollo  de  la  herramienta  
61  
5.2.4.   Usuarios  
   Diseñador:  Persona  responsable  del  modelado  de  la  aplicación  
5.2.5.   Interfaces  y  relaciones  de  los  sistemas  
El  sistema  se  dividirá  en  los  siguientes  componentes  principales:  
•   Modelador   visual.   La   funcionalidad   de   modelado   se   implementará   sobre   la  
plataforma  de  Eclipse  y  será  distribuible  a  través  de  un  plugin.  
•   Generador  de  aplicaciones.  Esta  funcionalidad  se  implementará  en  una  aplicación  
Lotus  Notes.  
5.2.6.   Características  de  usuarios  
Los  usuarios  de  este  sistema  deberán  tener  conocimientos  en  desarrollo  de  aplicaciones  
Lotus  Notes  y  el  uso  básico  del  entorno  de  Eclipse.  
5.2.7.   Restricciones  
El  componente  de  modelado  se  ejecutará  sobre  el  ambiente:  
•   Entorno  de  desarrollo  de  Eclipse  3.4    (Ganymade)  
•   Plugin  Eclipse  Modeling  Framework    2.4  
•   Plugin  Graphical  Editing  Framework  3.4  
•   Plugin  Graphical  Modeling  Framework    1.0  
El  componente  de  generación  de  aplicaciones  se  ejecutará  sobre  el  cliente  Lotus  Notes  
versión  7  o  superior.  
5.2.8.   Dependencias  y  supuestos  
Se  asume  que  el  diseñador  cuenta  con  el  ambiente  de  desarrollo  instalado  en  su  equipo  
personal.  
5.2.9.   Características  del  sistema  
El  sistema  será  usado  en  el  equipo  de  cómputo  del  diseñador.  
Las  interfaces  de  la  herramienta  serán  visualizadas  desde  los  ambientes  Eclipse  y  Lotus  
Notes.  
Tesis:  Modelado  Visual  de  Aplicaciones  Domino  
Desarrollo  de  la  herramienta  
62  
5.2.10.   Especificación  de  casos  de  uso  
  
Figura  29  Casos  de  uso  de  herramienta  de  modelado  
Los   casos   de   uso   (por   sus   siglas   C.U.)   representan   la   funcionalidad   accesible   por   el  
usuario.  Esta  funcionalidad  se  describe  a  continuación  
C.U.  Gestionar  diagramas  de  diseño  
El  sistema  permitirá  la  gestión  de  diagramas  de  diseño.  Se  entiende  por  gestión  las  tareas  
de  creación,  modificación  y  eliminación.  
Los   diagramas   de   diseño   deberán   implementar   el   DSL   para   aplicaciones   Lotus   Notes  
definido  en  el  perfil  de  UML.  
Un   diagrama   de   diseño   se   compone   de:   elementos   de   diseño   y   relaciones   entre   los  
elementos  de  diseño.  
Todo   diagrama   de   diseño   deberá   presentar   una   interfaz   gráfica   de   usuario   y   una  
estructura  de  datos  para  su  procesamiento.  
C.U.  Gestionar  elementos  de  diseño  
El  sistema  permitirá  le  gestión  de  elementos  de  diseño  que  serán  utilizados  en  el  modelo  o  
diagrama.  
  
Tesis:  Modelado  Visual  de  Aplicaciones  Domino  
Desarrollo  de  la  herramienta  
63  
Los  elementos  de  diseño  que  se  deben  incorporar  son:  
•   Principal  containers  
o   View  
o   Form  
o   Page  
o   Frameset  
•   Secondary  containers  
o   Folder  
o   Outline  
o   Hotspot  
o   Table  
o   Section  
o   Frame  
o   Navigator  
o   Action  
o   ActionBar  
o   Subform  
•   No  containers  
o   WebService  
o   Button  
o   File  
o   Column  
o   Agent  
o   StyleSheet  
o   Applet  
o   Field  
o   OutlineEntry  
o   ScriptLibrary  
Tesis:  Modelado  Visual  de  Aplicaciones  Domino  
Desarrollo  de  la  herramienta  
64  
Cada   elemento   de   diseño   tiene   propiedades   o   atributos   configurables.   La   lista   de  
propiedades  para  cada  elemento  puede  consultarse  en  el  perfil  de  UML(ver  Anexo).  
Cada  uno  de  los  elementos  de  diseño  se  identificará  por  un  icono  gráfico  definido  en  el  
perfil  de  UML.    
C.U.  Gestionar  relaciones  
El  sistema  permitirá  la  gestión  de  relaciones  que  serán  utilizadas  en  el  modelo  o  diagrama.  
Una  relación  es  un  símbolo  gráfico  que  indica  que  dos  elementos  de  diseño  se  encuentran  
relacionados  entre  sí.  Toda  relación  tiene  un  conector  de  origen  y  otro  de  destino.  
C.U.  Generar  aplicación  Lotus  
El   sistema   permitirá   la   generación   de   los   elementos   de   diseño   representados   en   un  
diagrama  de  diseño  de  aplicación  Lotus  Notes.  
C.U.  Importar  diagrama  de  diseño  
Se   deberá   importar   la   estructura   del   diagrama   de   diseño   modelado   para   su   posterior  
procesamiento.  Se  debe  implementar  un  mecanismo  de  lectura  de  dicha  estructura.  
C.U.  Generar  estructura  de  aplicación  Domino  
A   partir   del   modelo   importado   se   deberá   generar   una   definición   de   cada   elemento   de  
diseño  en  formato  DXL  para  su  uso  posterior.    
C.U.  Crear  aplicación  Lotus  Domino  modelada  
Se  deberá  tomar  el  DXL  que  representa  a  la  aplicación  modelada  y  generar  una  base  de  
datos  Lotus  Domino  que  contenga  los  elementos  modelados  en  el  diagrama  de  diseño  de  
la  aplicación.  
  
Tesis:  Modelado  Visual  de  Aplicaciones  Domino  
Desarrollo  de  la  herramienta  
65  
5.3.   Diseño  de  la  arquitectura  
Para  cumplir  con  el  objetivo  de  la  tesis  y  cumplir  con  los  requerimientos  especificados  en  
los  casos  de  uso  antes  descritos,  se  diseñó  la  arquitectura  que  se  presenta  a  continuación.  
5.3.1.   Arquitectura  general  de  la  herramienta  
La   herramienta   DSM   está   construida   sobre   dos   tecnologías   principales:   Eclipse   y   Lotus  
Domino.  
Ambas  plataformas  soportan  cada  uno  de  los  componentes  principales  de  la  herramienta.  
  
Figura  30  Arquitectura  general  del  DSM  
Los  componentes  del  sistema  interactúan  usando  el  modelo  o  diagrama  generado  por  el  
diseñador.   Este   modelo   contiene   la   estructura   de   la   aplicación   (elementos   de   diseño,  
atributos  y  relaciones)  a  generar.  
Tesis:  Modelado  Visual  de  Aplicaciones  Domino  
Desarrollo  de  la  herramienta  
66  
  
Figura  31  Secuencia  de  ejecución  del  modelado  a  la  generación  
5.3.2.   Diseño  de  despliegue  
  
Figura  32  Diagrama  de  despliegue  de  la  herramienta  
La  herramienta  se  ejecutará  en  una  computadora  personal  que  cuente  con  las  siguientes  
características:  
•   Entorno  de  desarrollo  de  Eclipse  3.4    (Ganymade)  
•   Plugin  Eclipse  Modeling  Framework    2.4  
•   Plugin  Graphical  Editing  Framework  3.4  
Tesis:  Modelado  Visual  de  Aplicaciones  Domino  
Desarrollo  de  la  herramienta  
67  
•   Plugin  Graphical  Modeling  Framework    1.0  
•   Cliente  Lotus  Notes  7  o  superior  
5.3.3.   Diseño  de  interfaces  
Para  que  los  dos  componentes  interactúen,  la  interfaz  de  comunicación  es  proporcionada  
por  la  estructura  XML  del  diagrama  de  diseño.  
El  sistema  presenta  una  interfaz  de  usuario  para  cada  uno  de  los  componentes.  
Para  el  componente  de  modelado  la  interfaz  de  usuario  está  construida  sobre  el  entorno  
de  Eclipse.    
Esta  interfaz  se  compone  de  las  siguientes  partes:  
•   Explorador  de  diagramas  
•   Área  de  diseño  
•   Barra  de  herramientas  
•   Área  de  propiedades  
•   Vista  aérea  del  diagrama  
Tesis:  Modelado  Visual  de  Aplicaciones  Domino  
Desarrollo  de  la  herramienta  
68  
  
Figura  33  Interfaz  gráfica  del  componente  de  modelado  
Para  el  componente  generador  de  aplicaciones  la  interfaz  se  compone  de:  
•   Área  de  información  al  usuario  con  los  prerrequisitos  e  instrucciones  de  uso  de  la  
herramienta  
•   Área  de  acciones  con  las  operaciones  que  el  usuario  puede  ejecutar  
Tesis:  Modelado  Visual  de  Aplicaciones  Domino  
Desarrollo  de  la  herramienta  
69  
  
Figura  34  Interfaz  gráfica  del  componente  de  generación  de  aplicaciones  
5.3.4.   Diseño  de  los  módulos  
Modelador  visual  
  
Figura  35  Diseño  del  modelador  
El  modelador  se  encuentra  construido  sobre  la  plataforma  de  Eclipse  y  el  framework  de  
modelado.  
Tesis:  Modelado  Visual  de  Aplicaciones  Domino  
Desarrollo  de  la  herramienta  
70  
La  herramienta  de  modelado  toma  como  base  la  especificación  del  DSL  para  aplicaciones  
Lotus  Domino  Especificado  en  el  perfil  de  UML  que  puede  consultarse  en  el  documento  
anexo  de  esta  tesis.  
El  desarrollo  de  la  herramienta  visual  requirió  de  cuatro  proyectos  creados  en  Eclipse:  
•   Proyecto   dominoapp.   Contiene   los   modelos   necesarios   para   la   generación   de   la  
herramienta   visual   (modelo   de   dominio,   modelo   de   definición   gráfica,   modelo   de  
herramientas  visuales,  mapeo  de  modelos  y  modelo  de  generación  de  herramienta  
visual)  
•   Proyecto   dominoapp.edit.   Contiene   adaptadores   que   proporcionan   una   vista  
estructurada  y  desempeñan  la  edición  basada  en  componentes  de  los  objetos  del  
modelo  
•   Proyecto  dominoapp.editor.  Contiene  la  interfaz  gráfica  del  editor  del  dominio  
•   Proyecto   dominoapp.diagram.   Contiene   el   plugin   de   la   herramienta   de   modelado  
resultante  
El   proyecto   dominoapp   es   el   punto   de   inicio   para   la   generación   de   la   herramienta   de  
modelado.  A  continuación  se  describen  cada  uno  de  los  modelos  que  lo  componen.  
Tesis:  Modelado  Visual  de  Aplicaciones  Domino  
Desarrollo  de  la  herramienta  
71  
  
Figura  36  Proceso  de  creación  de  la  herramienta  gráfica  basada  en  modelos  
  
El   modelo   de   dominio   se   encuentra   definido   en   dominoapp.ecore.   Este   modelo   usa   la  
metodología  ecore  para  definir  un  dominio.  Se  tomó  como  base  la  especificación  del  perfil  
de  UML.  
  
Figura  37  Estructura  del  modelo  de  dominio  dominoapp.ecore  
Tesis:  Modelado  Visual  de  Aplicaciones  Domino  
Desarrollo  de  la  herramienta  
72  
La  definición  del  modelo  de  dominio  puede  realizarse  a  través  de  un  documento  XML  o  
mediante  la  interfaz  gráfica  proporcionada  por  el  ambiente  de  Eclipse.  
  
Figura  38  Documento  XML  del  modelo  de  dominio  
En   el   modelo   de   dominio   se   encuentran   descritos   los   elementos   de   diseño,   sus  
propiedades  y  relaciones.  
  
Figura  39  Vista  gráfica  del  modelo  de  dominio  
El  modelo  de  dominio  ecore  es  construido  sobre  el  framework  EMF  de  Eclipse.  
Tesis:  Modelado  Visual  de  Aplicaciones  Domino  
Desarrollo  de  la  herramienta  
73  
El  modelo  de  generación  está  definido  en  dominoapp.genmodel.  Este  modelo  representa  
como  un  objeto  raíz  al  modelo  mismo.  El  modelo  tiene  hijos  que  representan  sus  paquetes  
y   dentro   se   encuentran   los   clasificadores   (clases,   tipos   de   datos   y   enumeraciones.   Los  
hijos   de   las   clases   son   atributos,   referencias   y   operaciones.   Los   hijos   de   los   tipos  
enumerados  sin  los  literales  de  la  enumeración.  
Este   modelo   de   generación   es   la   base   para   construir   los   proyectos   dominoapp.edit   y  
dominoapp.editor   que   permitirán   la   generación   de   modelos   que   obedecen   al   dominio  
especificado   en   dominoapp.ecore.   Con   estos   últimos   proyectos   podemos   generar  
diagramas   de   diseño   en   el   dominio   de   aplicaciones   Lotus   Notes,   sin   embargo,   solo  
podremos  hacerlo  con  una  estructura  arbórea  y  no  mediante  un  área  de  diseño  gráfico.  
  
Figura  40  Estructura  del  modelo  de  generación  
El  modelo  de  generación  es  construido  sobre  el  framework  EMF  de  Eclipse.  
Tesis:  Modelado  Visual  de  Aplicaciones  Domino  
Desarrollo  de  la  herramienta  
74  
El   modelo   de   definición   gráfica   se   encuentra   especificado   en   dominoapp.gmfgraph.   En  
este  modelo  se  definen  las  imágenes  que  representarán  a  los  elementos  de  diseño,  los  
nodos,   etiquetas,   conectores   de   relaciones   y   área   de   dibujo.   Estos   elementos   se  
desplegarán  en  la  herramienta  visual  final  al  momento  de  elaborar  un  diagrama  de  diseño.  
  
Figura  41  Modelo  de  definición  gráfica  
El  modelo  de  definición  gráfica  se  almacena  en  un  documento  con  estructura  XML.  Este  
modelo  está  construido  sobre  el  framework  GMF  de  Eclipse.  
  
Figura  42  Documento  XML  del  modelo  de  definición  gráfica  
El   modelo   de   definición   de   herramientas   o   tooling   está   definido   en   dominoapp.gmftool.  
Este  modelo  contiene  la  especificación  de  la  paleta,  herramientas  de  creación,  acciones  y  
Tesis:  Modelado  Visual  de  Aplicaciones  Domino  
Desarrollo  de  la  herramienta  
75  
otros  elementos  para  la  manipulación  de  los  elementos  gráficas.  En  términos  coloquiales  
define  la  paleta  o  barra  de  herramientas  del  modelador  visual.  
  
Figura  43  Estructura  del  modelo  de  definición  de  herramientas  o  tooling  
El   modelo   de   definición   de   herramientas   se   almacena   en   un   documento   con   estructura  
XML  y  está  construido  sobre  el  framework  GMF  de  Eclipse.  
  
Figura  44  Documento  XML  del  modelo  de  definición  de  herramientas  
Tesis:  Modelado  Visual  de  Aplicaciones  Domino  
Desarrollo  de  la  herramienta  
76  
El  modelo  de  definición  de  mapeo  o  mapping  está  descrito  en  dominoapp.gmfmap.  Este  
modelo  integra  los  tres  modelos  importantes  para  la  generación  de  la  herramienta  gráfica:  
el  modelo  de  dominio,  la  definición  gráfica  y  la  definición  de  herramientas.  Este  modelo  es  
la  entrada  para  el  paso  de  transformación  del  modelo  de  generación.  
  
Figura  45  Estructura  del  modelo  de  definición  de  mapeo  o  mapping  
El  modelo  de  definición  de  mapeo  se  almacena  en  un  documento  con  estructura  XML  y  
está  construido  sobre  el  framework  GMF  de  Eclipse.  
Tesis:  Modelado  Visual  de  Aplicaciones  Domino  
Desarrollo  de  la  herramienta  
77  
  
Figura  46  Documento  XML  del  modelo  de  definición  de  mapeo  
El  modelo  de  generación  GMF  se  encuentra  definido  en  dominoapp.gmfgen.  Este  modelo  
configura   las   propiedades   de   generación   de   código   de   manera   similar   al   modelo   de  
generación  definido  previamente  en  dominoapp.genmodel.  
  
Figura  47  Estructura  del  modelo  de  generación  GMF  
Tesis:  Modelado  Visual  de  Aplicaciones  Domino  
Desarrollo  de  la  herramienta  
78  
Este  modelo  de  generación  también  se  almacena  en  un  documento  con  estructura  XML  y  
está  construido  sobre  el  framework  GMF  de  Eclipse.  
El  modelo  de  generación  GMF  es  creado  a  partir  del  modelo  de  definición  de  mapeo.  Este  
contiene   todos   los   ajustes   para   la   creación   del   plugin   de   modelado   en   el   proyecto  
dominoapp.diagram.    
A   partir   del   plugin   de   modelado   contenido   en   dominoapp.diagram   se   generan   los  
diagramas  de  diseño  elaborados  por  el  usuario  desde  el  entorno  de  Eclipse.  
Un  diagrama  de  aplicación  Lotus  Notes  se  compone  de  los  siguientes  archivos:  
•   *.dominoapp.   Contiene   la   estructura   del   diagrama   o   modelo   de   aplicación   Lotus  
Notes  creada  por  el  usuario  diseñador.  
•   *.dominoapp_diagram.   Contiene   la   interfaz   gráfica   para   visualizar   y   manipular   el  
diagrama  de  diseño  de  la  aplicación.  
  
Figura  48  Ejemplo  de  estructuras  de  diseños  de  aplicaciones  
La  visualización  arbórea  de  la  estructura  de  los  modelos  es  proporcionada  por  el  proyecto  
dominoapp.editor.  
El  estructura  de  los  diagramas  de  diseño  se  almacena  en  una  estructura  XML.  
Tesis:  Modelado  Visual  de  Aplicaciones  Domino  
Desarrollo  de  la  herramienta  
79  
  
Figura  49  Ejemplo  de  XML  de  un  diagrama  de  diseño  
Módulo  de  generación  de  aplicaciones  
  
Figura  50  Diseño  del  generador  de  aplicaciones  
El   generador   de   aplicaciones   está   construido   sobre   la   plataforma   de   Lotus   Notes  
encapsulado   en   una   base   de   datos   generador.nsf.   Este   módulo   se   componen   de   dos  
agentes:  
•   Agente  de  importación  y  transformación.  Este  agente  toma  la  estructura  XML  del  
diagrama  de  diseño  entregado  por  el  modelador  visual  en  un  archivo  *.dominoapp  y  
Tesis:  Modelado  Visual  de  Aplicaciones  Domino  
Desarrollo  de  la  herramienta  
80  
lo  transforma  en  una  definición  de  aplicación  equivalente  bajo  el  formato  Domino  
XML  conocido  también  como  DXL.  
•   Agente  de  generación  de  aplicaciones.  Este  agente  genera  una  aplicación  *.nsf  a  
partir  de  la  definición  *.dxl  entregada  por  el  agente  de  transformación.  
  
Figura  51  Arquitectura  del  generador  de  aplicaciones  
5.3.5.   Diseño  de  datos  
Los   datos   de   los   modelos   se   encuentran   almacenados   en   formato   XML   y   pueden   ser  
visualizados  con  ayuda  de  los  visualizadores  de  estructuras  proporcionados  por  Eclipse.  El  
modelo  de  dominio  definido  en  dominoapp.ecore  contiene  la  estructura  de  datos  permitida  
para  cada  elemento  de  diseño  definido.  
A  continuación  se  muestra  como  ejemplo  la  estructura  de  datos  de  la  eclassdatabase  del  
modelo  de  dominio  dominoapp.ecore.    
  
Figura  52  Estructura  de  datos  de  la  eclass  database.  Vista  de  clase  
Tesis:  Modelado  Visual  de  Aplicaciones  Domino  
Desarrollo  de  la  herramienta  
81  
  
Figura  53  Estructura  de  la  eclass  database.  Vista  de  árbol  
  
<eClassifiers xsi:type="ecore:EClass" name="Database" eSuperTypes="#//Element">
<eStructuralFeatures xsi:type="ecore:EAttribute" name="title"
eType="ecore:EDataType http://www.Eclipse.org/emf/2002/Ecore#//EString"/>
<eStructuralFeatures xsi:type="ecore:EAttribute" name="server"
eType="ecore:EDataType http://www.Eclipse.org/emf/2002/Ecore#//EString"/>
<eStructuralFeatures xsi:type="ecore:EAttribute" name="fileName"
eType="ecore:EDataType http://www.Eclipse.org/emf/2002/Ecore#//EString"/>
<eStructuralFeatures xsi:type="ecore:EAttribute" name="replication"
eType="ecore:EDataType http://www.Eclipse.org/emf/2002/Ecore#//EBooleanObject"/>
<eStructuralFeatures xsi:type="ecore:EAttribute" name="indexed"
eType="ecore:EDataType http://www.Eclipse.org/emf/2002/Ecore#//EBooleanObject"/>
<eStructuralFeatures xsi:type="ecore:EAttribute" name="allowStoredForms"
eType="ecore:EDataType http://www.Eclipse.org/emf/2002/Ecore#//EBooleanObject"/>
<eStructuralFeatures xsi:type="ecore:EAttribute" name="maintainUnreadMarks"
eType="ecore:EDataType http://www.Eclipse.org/emf/2002/Ecore#//EBooleanObject"/>
<eStructuralFeatures xsi:type="ecore:EAttribute" name="replicateUnreadMarks"
eType="#//WhoReplicate"
defaultValueLiteral=""/>
<eStructuralFeatures xsi:type="ecore:EAttribute" name="whenOpenedInBrowser"
eType="#//OpenDesignElement"/>
<eStructuralFeatures xsi:type="ecore:EAttribute" name="description"
eType="ecore:EDataType http://www.Eclipse.org/emf/2002/Ecore#//EString"/>
<eStructuralFeatures xsi:type="ecore:EAttribute" name="useJavaScript"
eType="ecore:EDataType http://www.Eclipse.org/emf/2002/Ecore#//EBooleanObject"/>
</eClassifiers>  
Figura  54  Estructura  de  la  eclass  database.  Vista  XML  
La  lista  completa  de  los  atributos  y  sus  tipos  para  todas  las  eclasses  del  dominio  pueden  
consultarse  en  el  perfil  de  UML.  
  
Tesis:  Modelado  Visual  de  Aplicaciones  Domino  
Desarrollo  de  la  herramienta  
82  
  
  
5.3.6.   Arquitectura  propuesta  para  ingeniería  inversa  
  
Figura  55  Diseño  propuesto  para  el  extractor  de  diseño  
Para  extender  la  herramienta  DSM  se  propone  la  siguiente  arquitectura  para  implementar  
la  funcionalidad  de  ingeniería  inversa.  
Esta  funcionalidad  permitirá  extraer  el  diseño  de  una  base  de  datos  de  aplicación  Lotus  
Domino  existente.  
  
Figura  56  Arquitectura  propuesta  para  el  extractor  de  diseño  
Se   propone   que   el   extractor   de   diseño   o   de   ingeniería   inversa   esté   construido   sobre   la  
plataforma  de  Lotus  Notes  encapsulado  en  una  base  de  datos  extractor.nsf.  Este  módulo  
se  compondrá  de  dos  agentes:  
Tesis:  Modelado  Visual  de  Aplicaciones  Domino  
Desarrollo  de  la  herramienta  
83  
•   Agente  de  extracción  de  estructura.  Este  agente  toma  una  aplicación  Lotus  Notes,  
extrae  su  estructura  y  la  almacena  en  una  definición  Domino  XML  en  un  archivo  
*.dxl    
•   Agente   de   generación   de   diseño.   Toma   la   definición   DXL   de   la   aplicación,   la  
transforma  en  la  estructura  del  diagrama  de  diseño  *.dominoapp  y  lo  guarda  en  el  
disco.  
  
  
Tesis:  Modelado  Visual  de  Aplicaciones  Domino  
Uso  de  la  herramienta  
84  
  
  
  
  
  
  
  
6.  Capítulo:  Uso  de  la  herramienta  
Se   presenta   el   uso   de   la   herramienta  
desarrollada   para   el   diseño   de   aplicaciones  
Lotus   Notes   y   la   generación   automática   de  
código  a  partir  del  diseño.  
     
Tesis:  Modelado  Visual  de  Aplicaciones  Domino  
Uso  de  la  herramienta  
85  
6.1.   Proceso  de  uso  
Como   se   mostró   en   el   apartado   de   arquitectura,   la   herramienta   DSM   consta   de   dos  
componentes:  el  modelador  y  el  generador  de  aplicaciones.  
El   proceso   inicia   con   la   elaboración   de   un   diagrama   de   diseño   en   la   herramienta   de  
modelado   visual.   Esta   herramienta   está   disponible   desde   el   entorno   de   desarrollo   de  
Eclipse.    
El   siguiente   es   la   importación   del   modelo   diseñado,   y   por   último   la   generación   de   la  
aplicación   modelada   usando   el   generador   de   aplicaciones.   Esta   herramienta   de  
generación  está  disponible  desde  el  entorno  de  Lotus  Notes.  
La  base  de  datos  generada  contiene  los  elementos  de  diseño  descritos  en  el  diagrama  o  
modelo.  
  
Figura  57  Proceso  de  uso  de  la  herramienta  
     
Tesis:  Modelado  Visual  de  Aplicaciones  Domino  
Uso  de  la  herramienta  
86  
6.2.   Uso  del  modelador    
A  continuación  se  describe  con  mayor  detalle  el  uso  de  la  herramienta  de  DSM.  
  
Figura  58  DSM  -­  Herramienta  de  modelado  
El  modelador  está  asociado  a  un  tipo  de  proyecto  de  modelos  de  aplicaciones  Lotus  Notes  
accesible  desde  el  entorno  de  Eclipse.    
Tesis:  Modelado  Visual  de  Aplicaciones  Domino  
Uso  de  la  herramienta  
87  
  
Figura  59  Creación  de  un  modelo  de  diseño  de  Lotus  Notes/Domino  
La   estructura   del   modelo   de   diseño   se   encuentra   en   un   archivo   llamado*.dominoapp   el  
cual  sigue  las  reglas  definidas  en  el  modelo  de  dominio.  
La   interfaz   gráfica   del   modelo   o   diagrama   se   encuentra   en   el   archivo  
*.dominoapp_diagram.  
           
Figura  60  Archivos  de  la  estructura  del  modelo  e  interfaz  gráfica  
Tesis:  Modelado  Visual  de  Aplicaciones  Domino  
Uso  de  la  herramienta  
88  
Una  vez  creado  el  proyecto  de  modelado,  Eclipse  nos  presentará  el  área  de  trabajo  junto  
con  las  herramientas  de  diseño  necesarias.  
  
Figura  61  Barra  de  herramientas  de  modelado  
Estas   herramientas   representan   a   los   elementos   de   diseño   de   las   aplicaciones   Lotus  
Notes  y  sus  relaciones.  
Para   cada   elemento   de   diseño   empleado   en   el   diagrama,   se   nos   presenta   un   área   de  
propiedades   para   describir   las   características   del   elemento.   Estas   propiedades   son  
distintas  para  cada  tipo  de  elemento  y  se  encuentran  definidas  en  el  modelo  de  dominio.  
Tesis:  Modelado  Visual  de  Aplicaciones  Domino  
Uso  de  la  herramienta  
89  
  
Figura  62  Ventana  de  propiedades  de  los  elementos  
Con  estas  herramientas  diseñaremos  nuestra  aplicación  Lotus  Notes.  
  
Figura  63  Ejemplo  de  diagrama  de  diseño  elaborado  en  el  modelador  
Como   se   mencionó   con   anterioridad,   la   estructura   del   modelo   se   almacena   en   un  
documento  XML  con  una  estructura  arbórea.  
Tesis:  Modelado  Visual  de  Aplicaciones  Domino  
Uso  de  la  herramienta  
90  
  
Figura  64  Estructura  resultante  del  modelo  
6.3.   Uso  del  generador  de  código  
  
Para  generar  la  aplicación  abriremos  el  componente  generador  el  cual  se  ejecuta  desde  el  
entorno  Lotus  Notes.  
A  partir  de  el  archivo  con  la  estructura  del  modelo  *.dominoappse  realizara  la  generación  
de  la  aplicación  modelada.  
Tesis:  Modelado  Visual  de  Aplicaciones  Domino  
Uso  de  la  herramienta  
91  
  
Figura  65  DSM  -­  Generador  de  aplicaciones  
Para  ello  ejecutaremos  las  acciones  de  transformación  del  diseño  a  DXL,  importación  del  
modelo  y  generación  de  la  aplicación.  
Terminado  este  proceso  obtendremos  una  base  de  datos  *.nsf  que  contiene  los  elementos  
de  diseño  modelados.  
  
Tesis:  Modelado  Visual  de  Aplicaciones  Domino  
Pruebas  
92  
  
  
  
  
  
  
  
  
7.  Capítulo:  Pruebas  
Se   presenta   el   protocolo   de   pruebas   utilizado  
para  la  comprobación  de  la  hipótesis  planteada  
en  la  tesis  
     
Tesis:  Modelado  Visual  de  Aplicaciones  Domino  
Pruebas  
93  
Con  el  objeto  de  comprobar  la  hipótesis  al  inicio  de  este  trabajo,  se  realizó  un  protocolo  de  
pruebas  a  un  conjunto  de  desarrolladores  de  aplicaciones  Lotus  Notes.  
En  la  prueba  se  buscó  conocer  el  desempeño  de  la  herramienta  para  la  elaboración  de  
diagramas   de   diseño,   generación   automática   de   los   elementos   de   diseño   de   una  
aplicación  Lotus  Notes  y  evaluar  su  usabilidad.  
Las  pruebas  están  enfocadas  en  comprobar  las  variables  de  la  hipótesis  de:  facilidad  de  
modelado  y  disminución  de  tiempo  de  desarrollo.  
Los  desarrolladores  pertenecen  a  distintos  grupos  de  trabajo  por  lo  que  su  conocimiento  
del   diseño   de   aplicaciones,   lenguajes   de   modelado   y   herramientas   de   modelado   es  
variable.  
En  las  pruebas  los  participantes  realizaron  el  mismo  ejercicio  de  diseño  con  su  modelador  
habitual  y  la  herramienta  de  DSM  desarrollado  en  esta  tesis.  
El  tamaño  de  la  prueba  se  vio  limitado  por  la  dificultad  para  encontrar  una  mayor  cantidad  
desarrolladores   de   aplicaciones   en   la   plataforma   Lotus   Notes.   Estas   limitaciones   se  
originan  por  la  dispersión  y  cantidad  de  desarrolladores  disponibles    
7.1.   Protocolo  de  pruebas  
A  continuación  se  muestran  las  pruebas  realizadas.  
  
Nombre  del    tester:    ________________________________________   Fecha:  ______  
Objetivo  de  la  prueba:  
Conocer   el   desempeño   de   la   herramienta   en   la   elaboración   de   diagramas   diseño,  
generación  de  elementos  de  una  aplicación  y  evaluar  su  usabilidad.  
Perfil  del  tester  
Pregunta   Respuesta  
¿Conoce   algún   lenguaje   de   modelado   de   propósito   general   como   el  
UML?      
  
Tesis:  Modelado  Visual  de  Aplicaciones  Domino  
Pruebas  
94  
R:  Si  /No  
¿Ha  realizado  diseños  de  aplicaciones?      
R:  Si  /No  
  
¿Actualmente  elabora  diseños  para  todo  el  software  que  codifica?  
R:   Nunca,   Casi   nunca,   regularmente,   la   mayoría   de   las   veces,  
siempre  
  
Ejercicios  
Ejercicio  1   Creación  de  un  diagrama  de  diseño  para  aplicaciones  Lotus  Notes,  en  la  
herramienta  DSM    
Procedimiento   Crear   un   diagrama   de      diseño   que   modele   un   catálogo   de   usuarios   que  
incluya:  
•   Una  base  de  datos  de  la  aplicación  
•   Una  vista  
•   Una  página  para  personalizar  la  interfaz  de  la  vista  
•   Un  formulario  de  captura  
•   Un  agente  de  actualización  
Tiempo  
utilizado  
  ________minutos  
  
Ejercicio  2   Creación   de   un   diagrama   de   diseño   para   aplicaciones   Lotus   Notes,   en   la  
herramienta  de  modelado  de  su  preferencia  
Procedimiento   Crear   un   diagrama   de      diseño   que   modele   un   catálogo   de   usuarios   que  
incluya:  
•   Una  base  de  datos  de  la  aplicación  
•   Una  vista  
•   Una  página  para  personalizar  la  interfaz  de  la  vista  
•   Un  formulario  de  captura  
•   Un  agente  de  actualización  
Tiempo  
utilizado  
  ________minutos  
  
Usabilidad  
Conteste  las  siguientes  preguntas:  
*  Escala  de  evaluación  usada:  del  1  al  5  donde,  1  es  la  calificación  más  baja  y  5  la  más  
alta.  
Orientación  al  producto  
Pregunta     
¿Considera  la  funcionalidad  de  modelado  de  la  herramienta  es  adecuada?     
¿Considera  la  funcionalidad  de  generación  de  aplicaciones  es  adecuada?     
¿Se  pueden  generar  todos  los  elementos  necesarios  del  diseño  solicitado?     
¿Operó  sin  fallas  el  producto  al  utilizarlo?     
Tesis:  Modelado  Visual  de  Aplicaciones  Domino  
Pruebas  
95  
¿La  interfaz  es  clara?     
¿Los  textos  son  legibles?     
¿Se  distinguen  claramente  los  elementos  gráficos  del  sistema?     
Orientación  al  usuario  
Pregunta     
¿Los  iconos  representan  correctamente  las  funciones?     
¿Las  herramientas  son  de  fácil  acceso?     
¿El  diagrama  elaborado  es  de  fácil  entendimiento?     
¿El  proceso  de  generar  la  aplicación  modelada  es  sencillo?     
¿Consideras  que  la  herramienta  es  fácil  de  usar?     
Orientación  al  desempeño  
Pregunta     
¿La  aplicación  generada  a  partir  del  diseño  corresponde  al  modelo  elaborado?     
¿Considera  que  el  diagrama  representa  de  manera  consistente  una  aplicación  
real?  
  
¿Considera   que   puede   crear   la   estructura   de   una   aplicación   real   a   partir   del  
modelo?  
  
  
Orientación  al  contexto  
Pregunta     
¿Considera  que  esta  herramienta  le  ayuda  a  realizar  su  trabajo?     
¿Con  esta  herramienta  mejoraría  el  diseño  de  sus  aplicaciones  Lotus  Notes?     
  
7.2.   Interpretación  de  los  resultados  
Todos   los   participantes   de   la   prueba   dijeron   conocer   algún   lenguaje   de   modelado   de  
propósito  general  y  tener  experiencia  en  el  diseño  de  aplicaciones.  A  pesar  de  ello,  en  el  
promedio  casi  nunca  diseñan  el  software  que  codifican.  Debido  a  esto  es  difícil  garantizar  
que   una   aplicación   posea   una   buena   arquitectura   disminuyendo   la   calidad   del   software  
resultante.  
En  cuanto  a  la  operación  de  la  herramienta  de  DSM  elaborada  en  esta  tesis,  el  tiempo  
empleado  para  la  elaboración  del  ejercicio  de  diseño  fue  de  5.6  minutos  en  promedio.  Este  
tiempo   es   menor   a   los   7.8   minutos   empleados   usando   otras   herramientas   por   los  
participantes.   Esto   significa   una   disminución   del   29%   en   el   tiempo   empleado   para   el  
modelado.  Cabe  aclarar  que  para  los  diseñadores  esta  fue  la  primera  vez  que  usaron  el  
Tesis:  Modelado  Visual  de  Aplicaciones  Domino  
Pruebas  
96  
DSM.   Con   estos   resultados   podemos   inferir   que   el   tiempo   utilizado   para   diseñar   con   el  
DSM  disminuirá  aún  más  con  su  uso.  
El   tiempo   promedio   necesario   para   generar   la   aplicación   a   partir   del   modelo   fue  
ligeramente  superior  a  un  minuto.  Aunque  en  las  pruebas  no  se  midió  el  tiempo  necesario  
para  generar  los  elementos  de  diseño  modelados  de  manera  manual,  suponemos  que  el  
tiempo  utilizado  será  mayor  al  de  la  generación  automática  lo  que  apoyará  la  disminución  
del  tiempo  utilizado  en  el  desarrollo  de  una  aplicación.  
Las  pruebas  de  usabilidad  se  evaluaron  en  cuatro  orientaciones  o  sentidos:  al  producto,  al  
usuario,   al   desempeño   y   al   contexto   del   dominio.   La   calificación   global   promedio   de  
usabilidad  fue  de  4.5.  
En   cuanto   al   producto   la   calificación   promedio   fue   de   4.6   lo   que   indica   en   términos  
generales  que  el  DSM  como  producto  estuvo  entre  bueno  y  excelente.  En  este  rubro  las  
calificaciones   más   altas   fueron   para:   la   operación   sin   fallas   de   la   herramienta   lo   que  
demuestra   su   estabilidad   en   la   ejecución,   la   calidad   de   la   interfaz   de   usuario   y   la  
generación  de  aplicaciones.  
Desde   la   perspectiva   del   usuario   la   calificación   promedio   fue   de   4.4   que   representa   en  
términos  generales  una  gran  sencillez  en  su  uso  y  fácil  entendimiento.  Destacan  en  este  
rubro  la  representatividad  semántica  de  los  símbolos  gráficos  pertenecientes  al  lenguaje  
de   modelado   y   la   sencillez   al   generar   automáticamente   los   elementos   de   diseño   de   la  
aplicación  modelada.  
En  el  desempeño  la  calificación  obtenida  fue  de  4.6,  lo  que  nos  indica  su  gran  ejecución  
en   situaciones   reales.   Destaca   la   correspondencia   entre   el   diseño   y   la   aplicación  
resultante,  siendo  este  el  objetivo  de  la  arquitectura  conducida  por  modelos  o  MDA.    
En  términos  del  contexto  del  diseño  de  aplicaciones  Lotus  Notes,  la  calificación  obtenida  
fue  de  4.6.  Los  ejecutantes  de  este  protocolo  consideran  que  el  DSM  les  ayuda  a  realizar  
su  trabajo  mejorando  el  diseño  de  sus  aplicaciones.  
Tesis:  Modelado  Visual  de  Aplicaciones  Domino  
Pruebas  
97  
Como   podemos   apreciar,   los   encuestados   admitieron   que   casi   nunca   diseñaban   las  
aplicaciones   que   codificaban.   Con   la   herramienta   de   DSM   elaborada   en   esta   tesis   se  
puede   mejorar   esta   situación   disminuyendo   el   tiempo   de   aprendizaje   en   lenguajes   de  
modelado  de  propósito  general  y  herramientas  de  modelado.  
A  continuación  se  presentan  los  resultados  condensados  de  las  pruebas  realizadas.  
Reactivo U1 U2 U3 U4 U5 Promedio
Perfil del tester
Conoce algun lenguaje de modelado de
proposito general como el UML Si Si Si Si Si Si
Ha realizado diseños de aplicaciones Si Si SI Si Si Si
Actualmente elabora diseños para todo el SW
que codifica? 2 3 2 4 3 2.8
Operación de la herramienta
Tiempo de elaboración del diseño con el DSM
de la tesis 5 7 11 3 2 5.6
Tiempo en generar la aplicación a partir del
diseño 1 2 1 1 1 1.2
Tiempo de elaboración del diseño con otro
modelador 4 5 15 8 7 7.8
Modelador usado PowerPoint StarUML PowerPoint StarUML Paradigm
Usabilidad - Orientación al producto 5 4.6 4.3 4.3 4.9 4.6
Considera que la funcionalidad de la
herramienta es adecuada 5 4 4 4 5 4.4
Considera que la funcionalidad de generación
de aplicaciones es adecuada 5 5 4 5 5 4.8
Se pueden generar todos los elementos
necesarios en el diseño de prueba 5 5 4 3 5 4.4
Opera el modelador sin fallas 5 5 5 5 5 5.0
La interfaz es clara 5 4 4 5 4 4.4
Los textos son legibles 5 4 5 5 5 4.8
Se distinguen claramente los elementos
gráficos 5 5 4 3 5 4.4
Usabilidad - Orientación al usuario 5.0 4.4 3.8 4.0 4.6 4.4
Los iconos representan correctamente las
funciones 5 5 4 5 5 4.8
Las herramientas son de fácil acceso 5 4 4 3 5 4.2
El diagrama elaborado es de fácil de
entender 5 5 3 4 5 4.4
El proceso de generar la aplicación desde el
modelo es sencillo 5 5 4 4 4 4.4
Consideras que la herramienta es fácil de
usar 5 3 4 4 4 4.0
Usabilidad - Orientación al performance 5.0 5.0 3.7 4.3 5.0 4.6
La aplicación generada corresponde al
diagrama de diseño 5 5 4 5 5 4.8
Considera que el diagrama representa
consistentemente una aplicación real 5 5 3 4 5 4.4
Tesis:  Modelado  Visual  de  Aplicaciones  Domino  
Pruebas  
98  
Reactivo U1 U2 U3 U4 U5 Promedio
Considera que puede crear la estructura de
una app real a partir del modelo 5 5 4 4 5 4.6
Usabilidad - Orientación al contexto 5.0 4.5 3.5 5.0 5.0 4.6
Considera que esta herramienta le ayuda a
realizar su trabajo 5 4 4 5 5 4.6
Con esta herramienta mejoraria el diseño de
sus aplicaciones Lotus Notes 5 5 3 5 5 4.6
Usabilidad general 5.00 4.62 3.81 4.40 4.86 4.54
Tabla  4  Resultados  de  las  pruebas  
  
Tesis:  Modelado  Visual  de  Aplicaciones  Domino  
Conclusiones  
99    
  
  
  
  
  
  
  
  
Conclusiones  
Se   presentan   las   conclusiones   del   trabajo   de  
tesis,  y  los  beneficios  obtenidos  
     
Tesis:  Modelado  Visual  de  Aplicaciones  Domino  
Conclusiones  
100    
Conclusiones  
  
Como  indican  los  resultados  de  este  trabajo  de  tesis  y  con  base  en  la  hipótesis  planteada  
al  inicio,  se  puede  concluir  que  contar  con  una  herramienta  de  modelado  para  aplicaciones  
Lotus  Notes  /  Domino  facilita  el  modelado  de  las  aplicaciones  y  disminuye  el  tiempo  de  
desarrollo  al  generar  la  estructura  de  la  aplicación  a  partir  de  su  diseño,  por  lo  tanto  la  
hipótesis  es  cierta.  
La  herramienta  facilita  el  modelado  de  las  aplicaciones  ya  que  implementa  un  lenguaje  de  
modelado  visual  propio  del  dominio  de  aplicaciones  Lotus  Notes  /  Domino.  Como  se  pudo  
comprobar   en   las   pruebas   de   usabilidad,   la   calificación   promedio   obtenida   para   el  
modelador  fue  de  4.5  de  una  escala  de  evaluación  entre  1  y  5  lo  que  la  ubica  entre  buena  
y  excelente  por  lo  tanto  queda  comprobada  la  primera  variable  de  la  hipótesis.  
La  herramienta  desarrollada  en  este  trabajo  de  tesis  permite  generar  la  estructura  de  la  
aplicación   a   partir   de   su   diseño,   ya   que   se   pudieron   generar   automáticamente   los  
elementos   de   diseño   representados   en   el   modelo,   tal   y   como   se   comprobó   en   los  
resultados  de  las  pruebas  ejecutadas  del  ejercicio  1.  En  estas  pruebas  el  tiempo  utilizado  
para  el  diseño  de  una  aplicación  con  el  modelador  de  esta  tesis  disminuyó  en  un  29%  con  
respecto  a  otras  herramientas  de  modelado.  Debido  a  lo  anterior  el  tiempo  de  desarrollo  
de  una  aplicación  Lotus  disminuye  con  el  uso  de  la  herramienta  quedando  comprobada  la  
segunda  variable  de  la  hipótesis.  
El   tiempo   de   codificación   disminuirá   aún   más   gracias   a   la   generación   automática   de  
código  a  partir  de  un  diseño  dado.  
Como  resultado  del  trabajo  de  investigación  y  desarrollo  se  cumple  el  objetivo  general  y  
los  objetivos  específicos  planteados  al  inicio  de  la  tesis  ya  que:  
•   Se  obtuvo  una  herramienta  de  modelado  visual  que  permite  diseñar  aplicaciones  
Lotus  Notes  y  la  generación  de  código  de  la  aplicación  correspondiente  
Tesis:  Modelado  Visual  de  Aplicaciones  Domino  
Conclusiones  
101    
•   En  el  desarrollo  de  la  herramienta  se  utilizó  un  proceso  formal  de  desarrollo  de  
software   que   contempla   las   actividades   de   análisis,   diseño,   desarrollo   e  
implementación  
•   Se  revisaron  las  herramientas  para  generación  de  código  a  través  del  modelado  
visual  
•   Se  definió  un  lenguaje  de  modelado  de  dominio  específico  que  permite  modelar  
aplicaciones  Lotus  Notes  basado  en  la  especificación  de  Perfiles  de  UML  
•   La  herramienta  desarrollada  implementa  el  lenguaje  de  dominio  específico  para  
aplicaciones  Lotus  Notes  
•   La   herramienta   de   software   desarrollada   permite   generar   diagramas   de  
aplicaciones  utilizando  el  lenguaje  de  dominio  específico  definido  
•   La  herramienta  desarrollada  genera  el  código  correspondiente  a  los  elementos  
de  diseño  de  la  aplicación  a  partir  de  un  diagrama  de  diseño  de  dicha  aplicación  
Beneficios  
  
Adicionalmente,  este  trabajo  de  tesis  alcanzó  los  beneficios  esperados  de:  
•   Precisión  y  acercamiento  entre  el  diseño  y  las  aplicaciones  reales,  principios  de  la  
Arquitectura  Dirigida  por  Modelos  
•   Uniformidad  en  los  diagramas  de  diseño  
•   Aprendizaje  natural  y  rápido  del  lenguaje  visual  
La  herramienta  de  modelado,  generación  de  aplicaciones  y  el  lenguaje  visual  de  dominio  
específico  son  de  un  alto  grado  de  innovación  en  el  dominio  de  desarrollo  de  aplicaciones  
Lotus  Notes,  ya  que  hasta  al  momento  no  existe  una  solución  similar  en  el  mercado.    
Con   el   uso   de   esta   herramienta,   los   equipos   de   desarrollo   pueden   estandarizar   el  
modelado  de  aplicaciones.  Adicional  a  ello,  existen  más  posibilidades  de  mejorar  la  fase  
de  diseño  y  la  calidad  del  software,  ya  que  la  fase  de  diseño  es  importante  para  detectar  
Tesis:  Modelado  Visual  de  Aplicaciones  Domino  
Conclusiones  
102    
errores  de  las  aplicaciones  que  pueden  presentarse  hasta  la  codificación  o  implantación  
final.  
Como  beneficios  adicionales  tenemos  que:  
•   Se   ha   adquirido   conocimiento   valioso   para   análisis   y   definición   de   modelos   de  
dominio  para  resolver  problemas  de  diseño  o  modelado  en  otras  disciplinas.  
•   Se  ha  obtenido  capacidad  para  desarrollar  herramientas  visuales  de  modelado  de  
dominios  y  generación  automática  de  código  o  aplicaciones.  
  
  
Tesis:  Modelado  Visual  de  Aplicaciones  Domino  
Recomendaciones  
103    
  
  
  
  
  
  
  
  
Recomendaciones  
Se  presentan  las  recomendaciones  surgidas  de  
este   trabajo   de   tesis,   los   trabajos   futuros   y  
áreas   de   oportunidad   como   resultado   de   la  
experiencia  obtenida  
     
Tesis:  Modelado  Visual  de  Aplicaciones  Domino  
Recomendaciones  
104    
Recomendaciones  de  mejora  
Es  deseable  aumentar  el  número  de  participantes  involucrados  en  las  pruebas.  Debido  a  
la  cantidad  reducida  de  desarrolladores  Lotus  disponibles  y  a  la  carga  de  trabajo  de  los  
mismos,  se  requiere  un  tiempo  mayor  para  la  ejecución  de  pruebas  extensas  que  escapa  
al  alcance  de  este  trabajo  de  tesis.  
Es  deseable  el  uso  del  modelador  y  el  generador  de  aplicaciones  en  el  desarrollo  de  un  
proyecto  de  software  de  la  vida  real  para  evaluar  su  desempeño.  
Trabajos  futuros  
La  arquitectura  de  este  trabajo  es  extensible  lo  que  permitirá:  
•   Implementar   la   funcionalidad   de   ingeniería   inversa.   En   esta   tesis   se   propone   la  
arquitectura  para  esta  solución  
•   Implementar   patrones   de   diseño.   Para   reutilización   de   código   y   soluciones  
probadas   a   problemas   específicos,   permitiendo   explotar   el   conocimiento   de   los  
desarrolladores  y  arquitectos  de  software  
•   Integrar   la   herramienta   de   modelado   a   nuevas   versiones   del   IDE   de   desarrollo  
Lotus  Domino  Designer.  IBM  ha  apostado  a  la  infraestructura  de  Eclipse  como  base  
de  sus  herramientas  de  software  
Áreas  de  oportunidad  
Con   el   conocimiento   generado   en   este   trabajo   de   investigación   y   desarrollo,   tenemos  
como  posibles  implementaciones  el  modelado  de:  
•   Sistemas  empresariales  
•   Procesos  de  negocios  
•   Procesos  de  gestión  del  conocimiento  
•   Procesos  de  producción,  químicos,  automotrices,  etc.  
•   Procesos  de  generación  eléctrica  
•   Procesos  de  distribución  
Tesis:  Modelado  Visual  de  Aplicaciones  Domino  
Recomendaciones  
105    
•   Procesos  de  transformación  
  
Tesis:  Modelado  Visual  de  Aplicaciones  Domino  
Bibliografía  
106  
  
  
  
  
  
  
  
  
Bibliografía  
Se   presentan   las   referencias   bibliográficas  
utilizadas   para   el   desarrollo   y   sustento   de   la  
tesis  
     
Tesis:  Modelado  Visual  de  Aplicaciones  Domino  
Bibliografía  
107  
Referencias  bibliográficas  
  
References
Alves, A., Arkin, A., Askary, S., Barreto, C., Bloch, B., Curbera, F., et al. (2007). Web services
business process execution language version 2.0. OASIS Standard, 11
Booch, G., Rumbaugh, J., & Jacobson, I. (1999). The unified modeling language user guide
Addison-Wesley Reading Mass.
Bos, B., Lie, H. W., Lilley, C., & Jacobs, I. (1998). Cascading style sheets, level 2 CSS2
specification. W3C Recommendations are Available at Http://www.w3.org/TR, may, 12, 80.
Bottoni, P., Chang, S. K., Costabile, M. F., Levialdi, S., & Mussio, P. (2002). Modeling visual
interactive systems through dynamic visual languages. Systems, Man and Cybernetics, Part A,
IEEE Transactions on, 32(6), 654-669.
Budgen, D. (2003). Software design Addison Wesley.
Budinsky, F. (2003). Eclipse modeling framework Addison-Wesley Professional.
Chen, P. P. S. (1976). The entity-relationship model—toward a unified view of data. ACM
Transactions on Database Systems (TODS), 1(1), 9-36.
Cook, S., Jones, G., Kent, S., & Wills, A. (2007). Domain-specific development with visual studio
DSL tools.
Cuadrado, J. S., & Molina, J. G. (2007). Building domain-specific languages for model-driven
development. IEEE Software, , 48-55.
Date, C. J., & Darwen, H. (1993). The SQL standard. Addison-Wesley Publishing Company, 1993,
414, 0-201.
Deursen, A. v., Klint, P., & Visser, J. (2000). Domain-specific languages: An annotated
bibliography. SIGPLAN Not., 35(6), 26-36.
Ehrig, K., Ermel, C., Hänsgen, S., & Taentzer, G. (2005). Generation of visual editors as eclipse
plug-ins. Proceedings of the 20th IEEE/ACM International Conference on Automated Software
Engineering,
Tesis:  Modelado  Visual  de  Aplicaciones  Domino  
Bibliografía  
108  
Fowler, M., Scott, K., González V, J., & Morales Peake, D. (1999). UML gota a gota. Mexico:
Addison Wesley Longman de México.
Freeze, J. (2006). Creating DSLs with ruby.
Fuentes, L., & Vallecillo, A. (2004). Una introducción a los perfiles UML. Revista Novatica –
Asociación De Técnicos De Informática, 168
Gomez, P., & Sanchez, O. Herramientas de metamodelado: Microsoft DSL tools vs
MetaEdit+Universidad de Murcia.
IBM. (2005a). Application development with lotus domino designer
IBM. (2005b). Lotus domino designer programming guide, volume 4: XML, domino DTD, and JSP
tags IBM.
IBM. (2006). Rational unified process v7. USA:
Kelly, S. (2004). Tools for domain-specific modeling. Dr. Dobb’s Journal, September,
Kelly, S., & Tolvanen, J. P. (2000). Visual domain-specific modeling: Benefits and experiences of
using metaCASE tools. International Workshop on Model Engineering, ECOOP,
Kelly, S., & Tolvanen, J. P. (2008). Domain specific modeling. enabling full code generation
Ledeczi, A., Bakay, A., Maroti, M., Volgyesi, P., Nordstrom, G., Sprinkle, J., et al. (2001).
Composing domain-specific design environments. Computer, 34(11), 44-51.
Leroux, D., Nally, M., & Hussey, K. (2006). Rational software architect: A tool for domain-specific
modeling-author bios. IBM Systems Journal, 45
Luoma, J., Kelly, S., & Tolvanen, J. P. (2004). Defining domain-specific modeling languages:
Collected experiences. Proceedings of the 4th OOPSLA Workshop on Domain-Specific
Modeling (DSM04),
Mernik, M., & Sloane, A. M. (2005). When and how to develop domain-specific languages. ACM
Computing Surveys (CSUR), 37(4), 316-344.
Moore, B. (2004). Eclipse development using the graphical editing framework and the eclipse
modeling framework IBM, International Technical Support Organization.
Tesis:  Modelado  Visual  de  Aplicaciones  Domino  
Bibliografía  
109  
Mukerji, J., & Miller, J. (2003). MDA guide V1.0.1.
OMG. (2006). Object constraint language specification
OMG. (2007a). OMG unified modeling language (OMG UML), infrastructure, V2.1.2 Object
Management Group, Inc.
OMG. (2007b). In OMG (Ed.), OMG unified modeling language (OMG UML), superstructure,
V2.1.2
Parra, I. (2000). Modelado visual orientado a objetos. cenidet).
Partners, S. M. L. (2005). Systems modeling language (SysML) specification
Plaza, J. (2000). Lotus Notes Domino R5.x Desarrollo de aplicaciones.
Pressman, R. S. (2000). Software engineer: A Practionary’s approach (5th ed.) McGraw-Hill.
Rivera, G. (2008). Definición de un lenguaje de dominio específico para un entorno de desarrollo
rápido de aplicaciones. cenidet).
Rumbaugh, J., Jacobson, I., & Booch, G. (1998). The unified modeling language reference manual
Addison-Wesley Longman Ltd. Essex, UK, UK.
Steven, P., & Pooley, R. (2007). Utilización de UML en ingeniería del software con objetos y
componentes. Madrid: Addison Wesley.
Wikipedia. (2007a). Domain-specific programming language.http://en.wikipedia.org/wiki/Domain-
specific_programming_language
Wikipedia. (2007b). Visual programming
language.http://en.wikipedia.org/wiki/Visual_programming_language
  
  
Tesis:  Modelado  Visual  de  Aplicaciones  Domino  
Anexo:  Perfil  para  aplicaciones  Lotus  Notes  
110  
  
  
  
  
  
  
  
  
Anexo    
En  el  anexo  se  encuentra  la  especificación  del  
Lenguaje   de   Modelado   de   Dominio   Específico  
para   aplicaciones   Lotus   Notes   utilizando   el  
estándar  de  perfiles  de  UML  
  
  
     
Tesis:  Modelado  Visual  de  Aplicaciones  Domino  
Anexo:  Perfil  para  aplicaciones  Lotus  Notes  
111  
Perfil  UML  para  aplicaciones  Lotus  Notes  
Introducción  
El  lenguaje  de  modelado  UML  (del  inglés,  Unified  Modeling  Process)  es  el  estándar  más  
utilizado   para   especificar   y   documentar   cualquier   sistema   de   forma   precisa,  
proporcionando  flexibilidad  y  expresividad  a  la  hora  de  modelar  sistemas.  Sin  embargo,  el  
hecho  de  que  UML  sea  una  notación  de  propósito  muy  general  obliga  a  que  muchas  veces  
sea  deseable  poder  contar  con  algún  lenguaje  más  específico  para  modelar  y  representar  
los   conceptos   de   ciertos   dominios   particulares.   Esto   sucede,   por   ejemplo,   cuando   la  
sintaxis   o   la   semántica   de   UML   no   permiten   expresar   los   conceptos   específicos   de   un  
dominio,   o   cuando   se   desea   restringir   y   especializar   los   constructores   propios   de   UML,  
que  suelen  ser  demasiado  genéricos  y  numerosos.  Los  Perfiles  UML  [1,  2]  constituyen  el  
mecanismo   que   proporciona   el   propio   UML   para   extender   su   sintaxis   y   semántica   para  
expresar  los  conceptos  específicos  de  un  determinado  dominio  de  aplicación.  
OMG  (Por  sus  siglas  en  inglés:  Object  Management  Group)  define  dos  posibilidades  a  la  
hora   de   definir   lenguajes   específicos   de   dominio   y   que   se   corresponden   con   las   dos  
situaciones  mencionadas  anteriormente:  Definir  un  nuevo  lenguaje  (alternativa  de  UML),  o  
bien   extender   el   propio   UML,   especializando   algunos   de   sus   conceptos   y   restringiendo  
otros,   pero   respetando   la   semántica   original   de   los   elementos   de   UML   (clases,  
asociaciones,   atributos,   operaciones,   transiciones,   etc.)   utilizando   una   serie   de  
mecanismos  recogidos  llamados  Perfiles  UML.  
Cada   una   de   estas   alternativas   presenta   ventajas   e   inconvenientes.   Definir   un   nuevo  
lenguaje   ad   hoc   permite   mayor   grado   de   expresividad   y   correspondencia   con   los  
conceptos  del  dominio  de  aplicación  particular,  al  igual  que  cuando  nos  hacemos  un  trajea  
la  medida.  Sin  embargo,  el  hecho  de  no  respetar  el  metamodelo  estándar  de  UML  impide  
que  las  herramientas  UML  existentes  en  el  mercado  puedan  manejar  sus  conceptos  de  
una   forma   natural.   En   general,   resulta   difícil   decidir   cuándo   debemos   crear   un   nuevo  
metamodelo,   y   cuándo   en   cambio   es   mejor   definir   una   extensión   de   UML   usando   los  
mecanismos  de  extensión  estándares  definidos  con  ese  propósito.  
Tesis:  Modelado  Visual  de  Aplicaciones  Domino  
Anexo:  Perfil  para  aplicaciones  Lotus  Notes  
112  
En   este   trabajo   se   ha   elegido   la   opción   de   extender   UML   utilizado   los   mecanismos   de  
extensión   del   mismo,   los   Perfiles   UML.   Un   Perfil   se   define   en   un   paquete   UML  
estereotipado   «profile»,   que   extiende   a   un   metamodelo   o   a   otro   Perfil.   Tres   son   los  
mecanismos  que  se  utilizan  para  definir  Perfiles:  estereotipos  (stereotypes),  restricciones  
(constraints),  y  valores  etiquetados  (taggedvalues).  El  metamodelo  realizado  para  LDD  no  
se   explica   en   su   totalidad   en   este   documento,   pero   el   Perfil   realizado   contiene   una  
descripción  de  todas  las  restricciones,  entidades  y  relaciones  que  el  lenguaje  utiliza  para  
modelar  conceptualmente  la  estructura  de  una  aplicación  Web.  
Panorama  general  
La  siguiente  especificación  del  Perfil  se  basa  en  una  selección  de  los  elementos  de  diseño  
que  conforman  al  entorno  de  desarrollo  Lotus  Domino  Designer.  Esta  selección  se  llevó  a  
cabo   a   través   de   un   proceso   de   análisis   del   entorno,   en   donde   se   seleccionaron   un  
conjunto   de   elementos   que   se   utilizan   continuamente   en   el   desarrollo   de   aplicaciones  
Web.   El   análisis   también   consistió   en   la   búsqueda   de   atributos   importantes   y   de   las  
relaciones  existentes  entre  los  elementos.  Un  conjunto  de  restricciones  fueron  definidas  de  
acuerdo  a  la  usabilidad  y  a  los  atributos  de  cada  entidad.  
Como   resultado   del   análisis   se   obtuvo   un   metamodelo   que   describe   a   las   entidades,  
relaciones   y   restricciones   entre   los   elementos   seleccionados   para   el   desarrollo   de  
aplicaciones   Web.   El   metamodelo   resultante   fue   traducido   a   una   notación   UML,  
especializando  los  conceptos  como  clases  a  estereotipos  con  sus  respectivos  nombres  y  
atributos.  
Meta  
El   Perfil   UML   de   Lotus   Domino   Designer   fue   diseñado   para   proveer   a   los   analistas   de  
sistemas  una  manera  estándar  para  expresar  la  estructura  de  las  aplicaciones  Web  en  la  
fase   de   diseño   conceptual.   Esto   significa   que   no   se   está   modelando   la   estructura   de  
código   fuente   (clases,   herencia,   polimorfismo),   sino   que   LDD   utiliza   una   base   de   datos  
documental  donde  no  se  utilizan  registros  organizados  por  renglones  y  columnas.  Por  el  
contrario,   LDD   almacena   documentos   (información   y   estructura   de   diseño)   con   una  
estructura  basada  en  los  elementos  de  diseño  y  en  la  misma  información  que  se  introduce  
Tesis:  Modelado  Visual  de  Aplicaciones  Domino  
Anexo:  Perfil  para  aplicaciones  Lotus  Notes  
113  
a   través   de   estos   elementos.   Por   esta   razón   no   podemos   modelar   una   aplicación   por  
medio  de  su  código  fuente,  sino  por  la  estructura  que  compone  a  un  documento,  el  cual  es  
la  unidad  básica  para  almacenar  información.  
Un  ejemplo  de  lo  anterior  sería:  la  base  para  crear  documentos  es  un  elemento  form,  en  
éste  se  introducen  otras  entidades  como  tables,  fields,  view,  entre  otros.  Estos  elementos  
permiten   tener   una   estructura   de   la   aplicación   para   introducir   información   a   la   base   de  
datos  en  forma  de  un  documento.  Por  lo  tanto,  el  form  tiene  dos  funciones:  1)  introducir  
información   a   través   de   sus   elementos   de   diseño   y   almacenarla   en   forma   de   un  
documento;;   y   2)   el   form   es   utilizado   para   mostrar   la   información   del   documento  
almacenado,   pues   es   este   formquien   tiene   la   estructura   necesaria   para   mostrar   dicha  
información.  Por  esta  razón  es  que  el  Perfil  UML  para  Lotus  Domino  Designer  se  centra  en  
modelar  la  estructura  de  una  aplicación  enfocada  en  el  almacenamiento  de  documentos.  
Alcance  
El   Perfil   UML   de   Lotus   Domino   Designer   para   aplicaciones   Web   descrito   en   esta  
especificación  permite  el  diseño  conceptual  de  la  estructura  de  aplicaciones  basadas  en  
bases   de   datos   documentales.   Un   ejemplo   de   la   estructura   de   un   documento   se   da   a  
través  del  form.  compuesto  de  dos  elementos  de  tipo  field  y  una  entidad  de  tipo  table,  en  la  
cual  se  aprecian  tres  entidades  más  de  tipo  field  con  sus  respectivas  etiquetas.  
Tesis:  Modelado  Visual  de  Aplicaciones  Domino  
Anexo:  Perfil  para  aplicaciones  Lotus  Notes  
114  
  
Figura  66  Diseño  de  un  formulario  
En  la  actualidad,  no  es  posible  expresar  a  través  de  un  lenguaje  de  modelado  la  estructura  
que   tienen   las   aplicaciones   desarrolladas   en   el   entorno   de   desarrollo   Lotus   Domino  
Designer.  La  mayoría  de  los  lenguajes  modelan  código  fuente  orientados  a  objetos.  Lotus  
Domino  Designer  no  es  un  entorno  tradicional  de  este  tipo.  
Para   modelar   una   aplicación   Domino,   se   utiliza   toda   la   semántica   que   ofrece   UML.   Un  
ejemplo   es   la   instanciación   de   objetos,   que   permite   tener   diferentes   instancias   con   sus  
propios  atributos.  Otro  ejemplo  es  la  forma  de  relacionar  entidades  a  través  de  relaciones  
bien  definidas.  A  continuación  se  presenta  un  form  modelado  con  el  Perfil  UML  que  se  
especifica  en  este  documento.  
Tesis:  Modelado  Visual  de  Aplicaciones  Domino  
Anexo:  Perfil  para  aplicaciones  Lotus  Notes  
115  
  
Figura  67  Diagrama  de  clase  para  un  elemento  form  
El   modelo   de   clases   mapea   a   través   de   este   diagrama   la   estructura   de   un   documento  
creado  con  el  elemento  form  y  sus  componentes  inmersos  en  éste.  Al  mismo  tiempo  se  
modela   la   estructura   de   la   aplicación.   De   esta   manera   pueden   utilizarse   todos   los  
elementos,  relaciones  y  restricciones  especificadas  en  el  Perfil  para  describir  modelos  de  
aplicaciones  de  LDD.  Está  permitido  a  los  modeladores  utilizar  otras  relaciones  de  UML  no  
especificadas  en  el  Perfil,  de  esta  manera  se  utiliza  toda  la  semántica  y  el  poder  de  UML  
con  los  nuevos  conceptos  extendidos.  
Perfiles  UML
Para   el   caso   en   el   que   no   queramos   modificar   la   semántica   de   UML,   sino   sólo  
particularizar   algunos   de   sus   conceptos,   no   necesitamos   definir   un   nuevo   lenguaje  
Tesis:  Modelado  Visual  de  Aplicaciones  Domino  
Anexo:  Perfil  para  aplicaciones  Lotus  Notes  
116  
utilizando   el   MOF.   UML   incluye   un   mecanismo   de   extensión   en   el   propio   lenguaje   que  
permite  definir  lenguajes  de  modelado  que  son  derivados  de  UML.  De  forma  más  precisa,  
el  paquete  Profilesde  UML  2.1.2  define  una  serie  de  mecanismos  para  extender  y  adaptar  
las   metaclases   de   un   metamodelo   cualquiera   (y   no   sólo   el   de   UML)   a   las   necesidades  
concretas  de  una  plataforma  (como  puede  ser  .NET,  J2EE  o  Domino)  o  de  un  dominio  de  
aplicación  (tiempo  real,  modelado  de  procesos  de  negocio,  etc.).  
UML   2.1.2señala   varias   razones   por   las   que   un   diseñador   puede   querer   extender   y  
adaptar  un  metamodelo  existente,  sea  el  del  propio  UML,  el  de  CWM,  o  incluso  el  de  otro  
Perfil:    
•   Disponer  de  una  terminología  y  vocabulario  propio  de  un  dominio  de  aplicación  o  de  
una  plataforma  de  implementación  concreta  (por  ejemplo,  poder  manejar  dentro  del  
modelo  del  sistema  terminología  propia  de  LDD  como  formularios  o  vistas  con  su  
semántica  y  propiedades  asociadas).    
•   Definir  una  sintaxis  para  construcciones  que  no  cuentan  con  una  notación  propia.  
•   Definir  una  nueva  notación  para  símbolos  ya  existentes,  más  acorde  con  el  dominio  
de  la  aplicación  objetivo  (poder  usar,  por  ejemplo,  una  figura  con  un  ordenador  en  
lugar   del   símbolo   para   representar   un   nodo   que   por   defecto   ofrece   UML   para  
representar  ordenadores  en  una  red).    
•   Añadir  cierta  semántica  que  no  existe  en  el  metamodelo  (por  ejemplo,  incorporación  
de   tipos   de   relaciones   entre   los   elementos   de   Domino   que   son   inexistentes   en  
UML).    
•   Añadir  restricciones  a  las  existentes  en  el  metamodelo,  restringiendo  su  forma  de  
utilización  (por  ejemplo,  impidiendo  que  ciertos  elementos  puedan  relacionarse  con  
otros  de  acuerdo  a  las  propiedades  seleccionadas  de  cierto  elemento).    
•   Añadir  información  que  puede  ser  útil  a  la  hora  de  transformar  el  modelo  a  otros  
modelos,  o  a  código.    
Un   Perfil   se   define   en   un   paquete   UML,   estereotipado   «profile»,   que   extiende   a   un  
metamodelo  o  a  otro  Perfil.  Tres  son  los  mecanismos  que  se  utilizan  para  definir  Perfiles:  
Tesis:  Modelado  Visual  de  Aplicaciones  Domino  
Anexo:  Perfil  para  aplicaciones  Lotus  Notes  
117  
estereotipos   (stereotypes),   restricciones   (constraints)   y   valores   etiquetados   (tagged  
values).  
En   primer   lugar,   un   estereotipo   viene   definido   por   un   nombre,   y   por   una   serie   de  
elementos  del  metamodelo  sobre  los  que  puede  asociarse.  Gráficamente,  los  estereotipos  
se   definen   dentro   de   cajas,   estereotipadas   «stereotype».   A   los   estereotipos   es   posible  
asociarles   restricciones,   que   imponen   condiciones   sobre   los   elementos   del   metamodelo  
que   han   sido   estereotipados.   De   esta   forma   pueden   describirse,   entre   otras,   las  
condiciones  que  ha  de  verificar  un  modelo  “bien  formado”  de  un  sistema  en  un  dominio  de  
aplicación.  
Finalmente,   un   valor   etiquetado   es   un   meta-­atributo   adicional   que   se   asocia   a   una  
metaclase  del  metamodelo  extendido  por  un  Perfil.  Todo  valor  etiquetado  ha  de  contar  con  
un  nombre  y  un  tipo,  y  se  asocia  un  determinado  estereotipo.  Los  valores  etiquetados  se  
representan  de  forma  gráfica  como  atributos  de  la  clase  que  define  el  estereotipo.  
Elaboración  de  Perfiles  UML  
En   esta   sección   se   describe   un   posible   método   de   elaboración   de   Perfiles   UML.   La  
especificación  de  UML  2.1.2  sólo  se  limita  a  definir  el  concepto  de  Perfil  y  sus  contenidos.  
Sin   embargo,   se   propone   una   serie   de   pasos   que   permiten   contar   con   ciertas   guías   y  
recomendaciones   que   sirven   de   ayuda   a   la   hora   de   definir   un   Perfil   UML   para   una  
plataforma  o  dominio  de  aplicación  concreto.  En  este  caso  queremos  definir  un  Perfil  UML  
para  desarrollar  aplicaciones  Lotus  Notes  a  través  del  entorno  de  desarrollo  LDD.A  la  hora  
de  definir  un  Perfil  UML,  Lidia  Fuentes    propone  seguir  los  siguientes  pasos:(Fuentes  &  
Vallecillo,  2004)  
1.   Antes   de   comenzar,   es   preciso   disponer   de   la   correspondiente   definición   del  
metamodelo  de  la  plataforma  o  dominio  de  aplicación  a  modelar  con  un  Perfil.  Si  no  
existiese,  entonces  definiríamos  dicho  metamodelo  utilizando  los  mecanismos  del  
propio  UML  (clases,  relaciones  de  herencia,  asociaciones,  etc.),  de  la  forma  usual  
como   lo   haríamos   si   nuestro   objetivo   no   fuese   definir   un   perfil   UML.   Deberemos  
Tesis:  Modelado  Visual  de  Aplicaciones  Domino  
Anexo:  Perfil  para  aplicaciones  Lotus  Notes  
118  
incluir  la  definición  de  las  entidades  propias  del  dominio,  las  relaciones  entre  ellas,  
así  como  las  restricciones  que  limitan  el  uso  de  estas  entidades  y  de  sus  relaciones.    
2.   Si  ya  disponemos  del  metamodelo  del  dominio,  pasaremos  a  definir  el  Perfil.  Dentro  
del  paquete  «profile»  incluiremos  un  estereotipo  por  cada  uno  de  los  elementos  del  
metamodelo  que  deseamos  incluir  en  el  Perfil.  Estos  estereotipos  tendrán  el  mismo  
nombre   que   los   elementos   del   metamodelo,   estableciéndose   de   esta   forma   una  
relación   entre   el   metamodelo   y   el   Perfil.   En   principio   cualquier   elemento   que  
hubiésemos   necesitado   para   definir   el   metamodelo   puede   ser   etiquetado  
posteriormente  con  un  estereotipo.    
3.   Es  importante  tener  claro  cuáles  son  los  elementos  del  metamodelo  de  UML  que  
estamos  extendiendo  sobre  los  que  es  posible  aplicar  un  estereotipo.  Ejemplo  de  
tales  elementos  son  las  clases,  sus  asociaciones,  sus  atributos,  las  operaciones,  las  
transiciones,   los   paquetes,   etc.   De   esta   forma   cada   estereotipo   se   aplicará   a   la  
metaclase   de   UML   que   se   utilizó   en   el   metamodelo   del   dominio   para   definir   un  
concepto  o  una  relación.    
4.   Definir   como   valores   etiquetados   de   los   elementos   del   Perfil   los   atributos   que  
aparezcan   en   el   metamodelo.   Incluir   la   definición   de   sus   tipos,   y   sus   posibles  
valores  iníciales.    
5.   Definir  las  restricciones  que  forman  parte  del  Perfil,  a  partir  de  las  restricciones  del  
dominio.  Por  ejemplo,  las  multiplicidades  de  las  asociaciones  que  aparecen  en  el  
metamodelo   del   dominio,   o   las   propias   reglas   de   negocio   de   la   aplicación   deben  
traducirse  en  la  definición de las correspondientes restricciones.
En   la   siguiente   sección   se   abordará   el   desarrollo   del   perfil   UML   para   el   entorno   de  
desarrollo  LDD  de  acuerdo  a  la  metodología  propuesta  por  Lidia  Fuentes.  Se  partirá  del  
hecho  de  que  se  cuenta  con  el  metamodelo,  restricciones  y  semántica  de  cada  elemento  
de  este  entorno.  
Desarrollo  del  Perfil  UML  para  Lotus  Domino  Designer  
Para  desarrollar  el  Perfil  para  LDD  se  seguirá  el  método  propuesto  en  la  sección  0  por  
Lidia   Fuentes.   El   punto   uno   de   este   método   precisa   que   hay   que   disponer   de   una  
correspondiente   definición   del   metamodelo   del   dominio   que   se   quiere   modelar.   En   la  
Tesis:  Modelado  Visual  de  Aplicaciones  Domino  
Anexo:  Perfil  para  aplicaciones  Lotus  Notes  
119  
siguiente   subsección   se   describe   de   manera   general   el   metamodelo   de   LDD   para   el  
desarrollo  de  aplicaciones  Web.  
Metamodelo  de  Lotus  Domino  Designer  
Para  el  caso  del  entorno  de  desarrollo  LDD  ya  se  cuenta  con  la  correspondiente  definición  
del   metamodelo.   Éste   se   compone   de   un   conjunto   de   elementos   con   sus   propiedades,  
relaciones   y   restricciones.   En   la   figura   siguiente   se   muestra   a   los   elementos   sin   su  
conjunto   de   propiedades,   esto   se   debe   a   que   cada   uno   tiene   varias   propiedades   que  
harían  que  el  metamodelo  fuese  muy  grande.  Algunas  relaciones  que  aparecen  no  son  
propias  de  UML,  pero  aparecen  con  su  respectiva  multiplicidad.    
No   se   describirá   en   esta   sección   el   conjunto   de   entidades,   restricciones   y   propiedades  
debido  a  que  no  es  el  propósito  describirlas  como  lo  marca  el  método  sino  que  se  detallan  
en  las  siguientes  secciones  donde  se  desarrolla  el  Perfil.  
  
Figura 68 Metamodelo de Lotus Domino Designer
Tesis:  Modelado  Visual  de  Aplicaciones  Domino  
Anexo:  Perfil  para  aplicaciones  Lotus  Notes  
120  
Definición  del  perfil  
El   punto   dos   de   la   sección   0   menciona   que   para   definir   un   Perfil   se   debe   crear   un  
estereotipo  dentro  del  paquete  «profile»  de  UML.  Cada  estereotipo  debe  concordar  con  
algún  elemento  definido  en  el  metamodelo,  estableciéndose  así  una  relación  uno  a  uno  
entre  el  metamodelo  y  el  Perfil.  Los  estereotipos  deben  tener  el  mismo  nombre  que  los  
elementos  del  metamodelo.  
La  siguiente  tabla  resume  los  estereotipos  definidos  para  este  Perfil,  éstos  concuerdan  con  
cada   elemento   definido   en   el   metamodelo.   Los   elementos   del   metamodelo   coinciden   al  
mismo  tiempo  con  cada  elemento  de  diseño  de  LDD.  En  la  tabla  no  se  indica  la  semántica,  
las   propiedades   ni   las   restricciones   que   aplican   a   cada   estereotipo.   En   las   siguientes  
secciones  se  describirá  con  detalle  la  semántica  y  componentes  de  cada  uno.  
Nombre del
elemento
Nombre
del Estereotipo
Meta-clase
base en
UML
Descripción IMG
Data  Base   <<dataBase>>   Class  
Representa   a   la   base   de   datos   que  
contiene   a   todos   los   elementos   para  
construir  aplicaciones  en  LDD.  
  
Frameset   <<frameset>>   Class  
Representa   a   un   elemento   Frameset   en  
LDD   que   permite   estructurar   páginas  
Web.  
  
Frame   <<frame>>   Class  
Representa   a   una   sección   de   un  
elemento  Frameset.     
Web  Service   <<webservice>>   Class  
Representa   a   un   Servicio   Web  
(aplicación   autónoma)   que   puede  
invocarse  o  publicarse  en  el  Web.  
  
Form   <<form>>   Class  
Representa   un   formulario   que   permite  
mostrar  e  ingresar  información  a  la  BD.     
Subform   <<subform>>   Class  
Representa   a   un   subformulario  
agrupador   de   elementos   y   de   cierta  
funcionalidad   que   puede   compartirse  
entre  formularios.  
  
Tesis:  Modelado  Visual  de  Aplicaciones  Domino  
Anexo:  Perfil  para  aplicaciones  Lotus  Notes  
121  
Field   <<field>>   Class  
Representa   a   un   campo   que   recolecta  
datos  de  algún  tipo.     
Page   <<Page>>   Class  
Representa   al   elemento   Page   de   LDD  
que  se  utiliza  para  presentar  información  
de  la  BD.  
  
Action  Bar   <<actionBar>>   Class  
Representa   a   una   barra   de   botones.  
Cada   botón   es   un   contenedor   de  
acciones  programadas.  
  
Action   <<action>>   Class  
Representa   código   fuente   en   algún   tipo  
de   lenguaje   soportado   por   LDD.   Provee  
métodos   de   rápido   acceso   a   tareas  
rutinarias.  
  
Agent   <<agent>>   Class  
Representa   código   fuente   en   algún   tipo  
de  lenguaje  soportado  por  LDD.  Permiten  
automatizar  tareas  rutinarias.  
  
ScriptLibrary   <<scriptlibrary>>   Class  
Representa   a   una   librería   codificada   en  
algún  lenguaje  soportado  por  LDD.  Estas  
pueden   compartirse   entre   diversos  
elementos.  
  
File   <<file>>   Component  
Representa  a  un  archivo  importado  en  la  
BD  para  utilizarse  de  manera  compartida  
en  el  diseño  de  aplicaciones.  
  
Style  Sheet   <<stylesheet>>   Component  
Representa  una  hoja  de  estilo  importada  
a   la   BD   que   permite   tener   mejor   control  
sobre  muchos  aspectos  en  el  diseño  de  
páginas  Web.  
  
Outline   <<outline>>   Class  
Representan   a   un   elemento   Outline   en  
LDD.   Provee   una   forma   de   navegar   en  
una  aplicación  a  los  usuarios.  
  
Outline  Entry   <<outlineEntry>>   Class  
Representa  un  elemento  de  la  estructura  
de  navegación  de  un  Outline.  Puede  ser  
una   liga   o   acción   que   invoque   un  
componente,   incluso   otra   aplicación   o  
BD.    
  
Image   <<image>>   Component  
Representa  a  una  imagen  importada  a  la  
BD.     
Tesis:  Modelado  Visual  de  Aplicaciones  Domino  
Anexo:  Perfil  para  aplicaciones  Lotus  Notes  
122  
Applet   <<applet>>   Component  
Representa  un  Applet  de  Java  importado  
a  la  BD.     
Computer  
Text  
<<computertext>
>  
Class  
Representa   un   campo   calculado   donde  
su   valor   está   determinado   por   una  
fórmula  que  el  desarrollador  programa.  
  
Table   <<table>>   Class  
Representa   una   tabla   de   texto  
enriquecido   que   permite   agrupar   y  
acomodar  información  mostrada  a  través  
de  otros  elementos.  
  
Section   <<section>>   Class  
Es   una   área   que   puede   expandirse   o  
colapsarse   para   mostrar   u   ocultar  
elementos  contenidos  en  esa  área.  
  
Navigator   <<navigator>>   Class  
Representa   una   interfaz   que   permite   a  
los  usuarios  acceder  a  otros  elementos  o  
datos  de  una  BD.  
  
View   <<view>>   Class  
Representa  a  una  vista  en  LDD.  Es  una  
lista   de   documentos   de   una   BD   que  
pueden   seleccionarse   de      acuerdo   a   un  
criterio  de  selección.  
  
Folder   <<folder>>   Class  
Tienen   la   misma   funcionalidad   que   un  
elementoView.   La   diferencia   radica   en  
que   aquí   no   existe   un   criterio   de  
selección  de  documentos.  
  
Column   <<column>>   Class  
Muestran   un   tipo   de   información   acerca  
de  los  documentos  listadosen  un  View  o  
Folder.   Son   un   componente   estructural  
de  los  mismos.  
  
Button   <<button>>   Class  
Representa   un   botón   em   que   puede  
hacerse   clic   y   ejecutar   una   acción  
codificada  
  
Hotspot   <<hotspot>>   Class  
Representa   texto   o   una   imagen   en   un  
campo  de  texto  enriquecido  donde  puede  
hacerse   clic   para   llevar   a   cabo   una  
acción,   correr   una   formular,   script   o  
invocar  una  liga.  
  
Tesis:  Modelado  Visual  de  Aplicaciones  Domino  
Anexo:  Perfil  para  aplicaciones  Lotus  Notes  
123  
Tabla 5 Estereotipos definidos para Lotus Domino Designer
  
Metamodelo  Virtual  (MV)  
El  Metamodelo  Virtual  (MV)  es  un  modelo  formal  de  un  conjunto  de  extensiones  de  UML  
expresadas   en   notación   UML.   El   MV   para   el   perfil   UML   de   Lotus   Domino   Designer   se  
presenta  en  esta  sección  como  un  conjunto  de  clases  que  concuerdan  con  el  metamodelo  
mostrado  anteriormente.  
Cada  uno  de  los  elementos  que  conforman  el  metamodelo  tienen  alguna  de  las  siguientes  
categorías:   contenedores   principales   (principal   containers),   contenedores   secundarios  
(secondary   containers)   o   no   contenedores   (no   containeres).   Esta   clasificación   se   utiliza  
para  saber  si  cierto  elemento  puede  ser  relacionado  con  otro  a  través  de  alguna  de  las  
relaciones  definidas    posteriormente  en  el  Perfil.  
  
Containment   <<contention>>   Aggregation  
Representa   un   tipo   de   relación   más  
fuerte   que   la   asociación   pero   más   débil  
que  la  agregación  en  UML.  
  
Reflexive  
Containment  
<<ReflexiveConte
ntion>>  
Aggregation  
Relación  similar  a  la  “<<contention>>”,  se  
diferencia   en   que   sólo   se   utiliza   para  
relacionar  elementos  del  mismo  tipo.  
R
  
Tesis:  Modelado  Visual  de  Aplicaciones  Domino  
Anexo:  Perfil  para  aplicaciones  Lotus  Notes  
124  
  
  
  
Los  principales  contenedores  que  aparecen  en  el  diagrama  de  paquete  principalcontainers  
en   la   son   elementos   que   pueden   ejecutarse   en   una   aplicación   sin   necesidad   de   estar  
contenidos  en  otros  elementos.  En  la  figura  falta  el  elemento  agent,  este  elemento  también  
puede   existir   sin   la   necesidad   de   estar   contenido   en   otro   elemento,   pero   al   no   ser   un  
contenedor,   no   puede   entrar   en   esta   clasificación.   En   esta   figura   también   aparecen   los  
elementos  contenedores  de  segunda  importancia.  Se  les  ha  denominado  así  debido  a  que  
no  pueden  ejecutarse  en  una  aplicación  sin  estar  sobre  un  elemento  contenedor  principal.  
Figura 69 Clasificación de los estereotipos de LDD
Tesis:  Modelado  Visual  de  Aplicaciones  Domino  
Anexo:  Perfil  para  aplicaciones  Lotus  Notes  
125  
Por   último   aparecen   los   elementos   que   no   son   contendores,   éstos   sólo   pueden   estar  
contenidos  tanto  en  contenedores  principales  como  secundarios.  
Para  definir  el  metamodelo  de  LDD  se  tomaron  los  elementos  definidos  durante  el  análisis  
del   entorno   de   desarrollo,   así   como   las   relaciones   encontradas   para   cada   elemento   en  
términos  de  usabilidad.  El  metamodelo  no  muestra  a  todos  los  elementos  que  LDD  tiene  
para   el   diseño   de   sistemas,   sino   a   los   más   comunes   y   usables   en   la   construcción   de  
aplicaciones   Web.   Las   relaciones   son   las   que   se   dan   de   manera   natural   al   diseñar   la  
estructura  de  una  aplicación  Domino.  Cabe  mencionar  que  existen  relaciones  que  no  se  
dan   de   manera   natural   porque   el   desarrollador   necesita   realizar   alguna   artimaña   para  
poder   empotrar   un   elemento   sobre   otro   o   poder   realizar   alguna   función   específica   con  
algún  elemento.  
Como   cabecera   del   metamodelo   se   muestra   al   estereotipo   Database.   Éste   indica   que  
todos   los   objetos   son   elementos   de   diseño   de   LDD   y   que   todos   los   elementos   están  
incluidos   en   la   base   de   datos.   Ésta   es   un   elemento   que   colecciona   información  
relacionada  y  se  almacena  en  un  solo  archivo  con  extensión  NSF.  Una  base  de  datos  en  
Lotus  Notes/Domino  no  utiliza  la  misma  semántica  que  una  base  de  datos  relacional.  
En  una  base  de  datos  de  Lotus  Notes/Domino  se  almacena  información  acerca  del  diseño  
de   la   aplicación   en   forma   de   datos   estructurados   (información   sobre   el   diseño   de   la  
aplicación),  código  y  la  propia  información  que  se  introduce  desde  el  mundo  exterior.  Esta  
información  o  datos  que  introduce  el  usuario  en  una  aplicación  se  organiza  en  forma  de  
documentos.  Un  documento  se  define  como  un  objeto  que  contiene  texto,  gráficos,  video,  
objetos  de  audio  o  cualquier  tipo  de  dato  de  texto  enriquecido.  Los  documentos  se  crean  a  
través  de  los  elementos  de  diseño  que  LDD  ofrece.  Por  ejemplo,  comúnmente  a  través  de  
forms.  Por  otra  parte  una  base  de  datos  relacional  no  utiliza  la  misma  semántica,  sino  que  
necesita  de  campos  y  registros  para  almacenar  la  información.  
Otra  característica  importante  es  que  la  mayoría  de  las  aplicaciones  que  se  hacen  en  el  
desarrollo  tradicional  pueden  existir  sin  la  necesidad  de  una  base  de  datos,  mientras  que  
en  LDD  es  necesario  primero  crear  la  base  de  datos  donde  se  almacenara  la  estructura  de  
Tesis:  Modelado  Visual  de  Aplicaciones  Domino  
Anexo:  Perfil  para  aplicaciones  Lotus  Notes  
126  
la  aplicación  y  los  datos.  Por  lo  tanto  una  aplicación  de  LDD    y  sus  elementos  no  pueden  
existir  sin  una  base  de  datos  y  esta  es  la  razón  por  la  cual  el  elemento  base  de  datos  
encabeza  el  diseño  del  metamodelo.  
Los   elementos   pueden   clasificarse   de   tres   formas   como   se   mencionó   anteriormente:  
principales   contenedores,   contenedores   secundarios   y   no   contenedores.   Los   principales  
contenedores  pueden  contener  a  la  mayoría  de  los  elementos.  Entre  los  más  importantes  
para  introducir  información  a  la  base  de  datos  se  encuentran  los  forms.  En  el  metamodelo  
se  muestra  que  un  form  y  su  especialización  subform  pueden  contener  a  la  gran  mayoría  
de  los  elementos,  por  ejemplo  pueden  contener  fields,  sections,  navigators,  entre  otros.  
Los  views  son  el  principal  elemento  que  permite  mostrar  información  contenida  en  la  base  
de  datos.  También  se  puede  mostrar  información  en  un  page  o  en  un  frameset.  
El   MV   representa   entonces   a   los   elementos   analizados   y   obtenidos   como   resultado   del  
análisis  del  entorno  RAD  Lotus  Domino  Designer.  También  representa  las  relaciones  más  
comunes   entre   los   elementos   que   utiliza   LDD.   Este   metamodelo   la   transición   entre   el  
metamodelo   de   la   figura   68   y   el   metamodelo   definido   en   UML.   Éste   muestra   a   los  
elementos,   relaciones      y   permite   especificar   nuevos   modelos.   Las   relaciones   definidas  
posteriormente   en   el   Perfil   permiten   ver   la   usabilidad   entre   elementos.   Por   ejemplo,   un  
elemento   view   debe   contener   al   menos   a   un   elemento   column;;   un   navigator   puede  
contener   a   un   elemento   hotspot,   entre   otros.   Este   tipo   de   relaciones   son   las   que   se  
muestran   a   través   del   metamodelo,   además   también   se   pueden   observar   propiedades  
como  la  multiplicidad.  
  
Tesis:  Modelado  Visual  de  Aplicaciones  Domino  
Anexo:  Perfil  para  aplicaciones  Lotus  Notes  
127  
  
Figura  70  Metamodelo  de  Lotus  
Representación  de  los  estereotipos  
El  MV  representa  un  estereotipo  como  una  clase  estereotipada  «stereotype».  Por  ejemplo,  
una  clase  estereotipada  «Form»  representa  a  un  elemento  cuyo  proveedor  es  el  elemento  
Tesis:  Modelado  Visual  de  Aplicaciones  Domino  
Anexo:  Perfil  para  aplicaciones  Lotus  Notes  
128  
Class,   el   cual   pertenece   al   metamodelo   de   UML   que   está   siendo   extendido.   Los  
estereotipos  que  se  definieron  de  acuerdo  a  los  elementos  de  LDD  son  extensiones  de  las  
metaclases  Class,  Component  y  Aggregation.  
  
Figura  71  Extendiendo  al  metaelemento  Class  
En   la   imagen   anterior   se   muestran   los   estereotipos   que   especializan   y   extienden   a   la  
metaclase  Class.  Las  clases  con  la  leyenda  «enumeration»  corresponden  a  opciones  de  
alguna   propiedad   específica   de   un   estereotipo.   Por   ejemplo,   la   clase   VersioningForm  
corresponde  a  las  opciones  posibles  para  la  propiedad  Versioning  del  estereotipo  Form.  
  
Tesis:  Modelado  Visual  de  Aplicaciones  Domino  
Anexo:  Perfil  para  aplicaciones  Lotus  Notes  
129  
  
  
  
La  imagen  muestra  a  los  estereotipos  page,  subform,  frameset  y  frame  extendiendo  a  la  
metaclase  Class.  También  se  muestran  sus  valores  etiquetados  (atributos  del  estereotipo)  
y   algunas   clases   de   tipo   «enumeration»   correspondientes   a   propiedades   de   los  
estereotipos.  
Figura 72 Continuación de la extensión del metaelemento Class
  
Tesis:  Modelado  Visual  de  Aplicaciones  Domino  
Anexo:  Perfil  para  aplicaciones  Lotus  Notes  
130  
  
  
  
La   figura   anterior   muestra   a   los   estereotipos   fieldy   action   extendiendo   a   la   metaclase  
Class.  También  se  muestran  sus  valores  etiquetados  (atributos  del  estereotipo)  y  algunas  
clases  de  tipo  «enumeration»  correspondientes  a  propiedades  de  los  estereotipos.  
  
Figura 73 Continuación de la extensión del metaelemento Class
  
Tesis:  Modelado  Visual  de  Aplicaciones  Domino  
Anexo:  Perfil  para  aplicaciones  Lotus  Notes  
131  
  
  
  
  
En  esta  imagen  se  muestra  a  los  estereotipos  view  y  folder  extendiendo  a  la  metaclase  
Class.  También  se  muestran  sus  valores  etiquetados  (atributos  del  estereotipo)  y  algunas  
clases  de  tipo  «enumeration»  correspondientes  a  propiedades  de  los  estereotipos.  
  
Figura 74 Continuación de la extensión del metaelemento Class
  
Tesis:  Modelado  Visual  de  Aplicaciones  Domino  
Anexo:  Perfil  para  aplicaciones  Lotus  Notes  
132  
La  siguiente  imagen  muestra  a  los  estereotipos  file,  image,  applety  stylesheet  extendiendo  
a  la  metaclase  Component.  También  se  muestran  sus  valores  etiquetados  (atributos  del  
estereotipo)  y  algunas  clases  de  tipo  «enumeration»  correspondientes  a  propiedades  de  
los  estereotipos.  
  
  
Figura 75 Continuación de la extensión del metaelemento Class
  
Tesis:  Modelado  Visual  de  Aplicaciones  Domino  
Anexo:  Perfil  para  aplicaciones  Lotus  Notes  
133  
  
  
  
La   imagen   muestra   a   los   estereotipos   outline,   computertext,   outlineEntryy   hotspot  
extendiendo   a   la   metaclase   Class.   También   se   muestran   sus   valores   etiquetados  
(atributos   del   estereotipo)   y   algunas   clases   de   tipo   «enumeration»   correspondientes   a  
propiedades  de  los  estereotipos.  
  
Figura 76 Continuación de la extensión del metaelemento Class
  
Tesis:  Modelado  Visual  de  Aplicaciones  Domino  
Anexo:  Perfil  para  aplicaciones  Lotus  Notes  
134  
  
  
  
La   figura   muestra   a   los   estereotipos   agent   y   button   extendiendo   a   la   metaclase   Class.  
También  se  muestran  sus  valores  etiquetados  (atributos  del  estereotipo)  y  algunas  clases  
de  tipo  «enumeration»  correspondientes  a  propiedades  de  los  estereotipos.  
  
Figura 77 Continuación de la extensión del metaelemento Class
  
Tesis:  Modelado  Visual  de  Aplicaciones  Domino  
Anexo:  Perfil  para  aplicaciones  Lotus  Notes  
135  
  
  
  
  
  
La  imagen  muestra  a  los  estereotipos  scriptlibrary,  section,  actionbar,  table  y  webservice  
extendiendo   a   la   metaclase   Class.   También   se   muestran   sus   valores   etiquetados  
(atributos   del   estereotipo)   y   algunas   clases   de   tipo   «enumeration»   correspondientes   a  
propiedades  de  los  estereotipos.  
Figura 78 Continuación de la extensión del metaelemento Class
  
Tesis:  Modelado  Visual  de  Aplicaciones  Domino  
Anexo:  Perfil  para  aplicaciones  Lotus  Notes  
136  
  
  
  
Esta  imagen  muestra  a  los  estereotipos  contention  y  reflexivecontention  extendiendo  a  la  
metaclase  Aggregation.  
Descripción  de  cada  estereotipo  
En  esta  sección  se  describirá  con  detalle  cada  uno  de  los  estereotipos  introducidos  en  el  
metamodelo  virtual,  así  como  sus  valores  etiquetados  (atributos)  y  restricciones.  
  
Estereotipo  «Database»  
Descripción  
Es   la   base   para   crear   aplicaciones   en   LDD   y   para   todos   los   estereotipos.   Sin   la  
creación  de  éste  no  puede  utilizarse  ningún  otro  estereotipo.  Representa  a  la  base  
de  datos  que  contiene  a  todos  los  elementos  para  construir  aplicaciones  en  LDD.  
  
Metaclase  UML  extendida  
Class  
  
Elementos  Relacionados  
  
Elementos  que  puede  contener    
Puede  contener  a  cualquier  elemento  de  la  BD.  Los  principales  estereotipos  
que    pueden  relacionarse  a  éste  son:  forms,  views,  pages,  agent  y  frameset.  
  
Elementos  que  pueden  contenerlo  
Figura 79 Extendiendo al metaelemento Aggregation
  
Tesis:  Modelado  Visual  de  Aplicaciones  Domino  
Anexo:  Perfil  para  aplicaciones  Lotus  Notes  
137  
Ningún   estereotipo   puede   hacer   uso   de   éste   para   relacionarlo   como  
elemento  que  puede  estar  contenido  en  otro.  La  única  excepción  es  asociar  
dos  elementos  de  éste  mismo  tipo.  
  
  
  
Valores  Etiquetados  
  
Title:  string  
Valor  string  que  representa  el  título  de  la  BD  que  aparece  en  la  barra  
de  bookmarks  en  LDD.  Este  título  puede  cambiar  en  la  barra,  pero  el  
nombre  inicial  con  el  que  se  guarda  la  BD  permanece  y  no  cambiará  si  
cambiamos  su  título.  
  
Server:  string  
Valor  string  que  representa  el  nombre  del  servidor  donde  se  aloja  la  
BD.  
  
FileName:  string  
Valor  string  que  representa  el  nombre  permanente  que  mantendrá  la  
BD.  Este  nombre  no  cambiará  si  la  propiedad  Title  cambia.  
  
Replication:  boolean  =  false                    
Valor  booleano  que  permite  organizar  BD  distribuidas  y  consistentes.  
  
Indexed:  Boolean  =  false                                                                                                                                                                          
Valor  booleano  que  permite  tener  capacidades  de  búsqueda  textual.  
  
UseJavaScript:  boolean  =  true                                                                                                                                                  
Valor   booleano   que   permite   definir   si   la   BD   tendrá   la   capacidad   de  
ejecutar  JavaScript.  
       
AllowStoredForms:  boolean  =  true  
Valor  booleano  que  permite  que  se  almacene  un  formulario  junto  con  
el   documento.   Esto   se   utiliza   para   asegurar   que   un   documento   se  
despliega  correctamente.  
  
MaintainUnreadMarks:  boolean=false  
Valor  booleano  que  permite  identificar  documentos  no  leídos.     
  
ReplicateUnreadMarks:WhoReplicate  =  Never  
Propiedad   que   permite   tener   la   capacidad   de   replicar   los  
identificadores   de   lectura   de   documentos.   Los   valores   posibles   para  
esta  propiedad  son:  
  
  Never  
Tesis:  Modelado  Visual  de  Aplicaciones  Domino  
Anexo:  Perfil  para  aplicaciones  Lotus  Notes  
138  
Opción  que  permite  que  nunca  haya  replicación.  
  
  ClusteredServersOnly  
Opción   que   permite   que   haya   replicación   sólo   en   servidores  
redundantes.  
  AllServers  
Opción   que   permite   que   haya   replicación   en   todos   los  
servidores.  
  
  
WhenOpenedInBrowser:  OpenDesignElement  =  UseNoteLaunchOption                                        
Propiedad  que  permite  especificar  el  elemento  que  se  abrirá  al  iniciar  
una  aplicación.  Las  opciones  para  esta  propiedad  son:  
  
     UseNotesLaunchOption  
Opción   que   permite   lanzar   las   opciones   definidas   en   Lotus  
Notes.  
  
OpenAboutDatabaseDocument  
     Opción  que  permite  abrir  el  documentoacerca  de.  
  
OpenDesignatedFrameset:  string                 
Valor  string  que  permite  especificar  el  framesetque  se  lanzará  al  
momento  de  abrir  la  BD.  
  
OpenDesignatedPage:    string                 
Valor   string   que   permite   especificar   el   pageque   se   lanzará   al  
momento  de  abrir  la  BD.  
  
OpenDesignatedNavigator:  string       
Valor  string  que  permite  especificar  el  navigatorque  se  lanzará  
al  momento  de  abrir  la  BD.  
  
Description:  string  
Valor  string  que  se  utiliza  para  proporcionar  una  descripción  general  
de  la  función  que  desempeña  este  estereotipo.  
  
Restricciones  
•   La  propiedad  ReplicateUnreadMarks  sólo  puede  utilizarse  en  el  caso  de  que  
el  valor  de  MaintainUnreadMarks  sea  true.  
  
Notación  
Estereotipo  «Form»  
Tesis:  Modelado  Visual  de  Aplicaciones  Domino  
Anexo:  Perfil  para  aplicaciones  Lotus  Notes  
139  
  
Descripción  
Representa  a  un  form  y  es  uno  de  los  estereotipos  más  importantes  para  el  diseño  
de  aplicaciones  debido  a  que  es  la  base  para  introducir  información  en  una  base  de  
datos.  
  
Metaclase  UML  extendida  
Class  
  
Relaciones  
  
Elementos  que  puede  contener    
Este  estereotipo  puede  relacionarse  directamente  y  contener  a  los  siguientes  
estereotipos:  table,  section,  actionbar,  view,  agent,  folder,  computertext,  file,  
outline,   subform,   stylesheet,   field,   scriptlibrary,   images,   applet,   navigator,  
hotspot  y  button.  
  
Elementos  que  pueden  contenerlo  
Este   estereotipo   puede   estar   relacionado   y   contenido   en   los   siguientes  
estereotipos:  database  y  frame.  
  
Valores  Etiquetados  
  
Name:  String  
Valor  string  que  representa  el  nombre  del  formulario.  
  
Comment:  String  
Valor  string  que  representa  un  comentario  que  puede  hacerse  sobre  el  
formulario.  
  
Type:  TypeForm=  Document                    
Propiedad  que  permite  definir  una  jerarquía  documental.  Propiedad  en  
la  que  sólo  pueden  elegirse  los  siguientes  valores:  
  
Document  
  Opción     que  permite  que  los  documentos  sean  de  tipo  normal.    
  
Response  
Opción  que  permite  asignarle  como  padre  a  un  documento  otro  
documento  de  tipo  Document.  
  
ResponseToResponse  
Opción  que  permite  asignarle  como  padre  a  un  documento  otro  
documento  de  tipo  Response.  
    
  Versioning:  VersioningForm  =  None                 
Tesis:  Modelado  Visual  de  Aplicaciones  Domino  
Anexo:  Perfil  para  aplicaciones  Lotus  Notes  
140  
Propiedad  que  permite  asignar  la  capacidad    para  guardar  el  historial  
de   cambios   de   los   documentos.   Propiedad   en   la   que   sólo   pueden  
elegirse  los  siguientes  valores:  
       
None  
  No  se  habilita  el  mecanismo  de  versioning.  
  
     NewVersionsBecomeResponse  
Permite  que  las  nuevas  versiones  de  documentos  se  conviertan  
en    documentos  tipo  Response.  
  
PriorVersionsBecomeResponse  
Permite  que  las  versiones  previas  de  documentos  se  conviertan  
en  documentos  tipo  Response.  
  
NewVersionsBecomeSiblings  
Permite  que  las  nuevas  versiones  de  documentos  adquieran  el  
mismo  documento  padre.  
  
CreateVersions:  CreateVersionOptions  =  Automatic-­File,Save          
Permite   que   la   propiedad   versioning   maneje   el   guardado   de  
documentos  de  manera  automática  o  manual.  Esta  propiedad  admite  
las  siguientes  opciones:  
    
  Manual-­  File,NewVersion  
Opción   que   permite   al   usuario   elegir   cuando   crear   nuevas  
versiones   de   los   documentos      o   sólo   sobrescribir   la   versión  
actual.  
  
Automatic-­File,Save  
Opción  que  permite  crear  automáticamente  una  nueva  versión  
de  un  documento  cada  vez  que  se  guarde  el  mismo.  
  
DefaultDatabaseForm:  boolean  =  false                 
Permite  especificar  que  el  documento  actual  se  abrirá  por  defecto  al  
iniciar  una  aplicación.  
  
AutomaticallyRefreshFields:  boolean  =  false              
Valor  booleano  utilizado  para  actualizar  el  resultado  de  un  campo  cada  
vez   que   este   cambie   de   valor.   Los   campos   se   actualizarán  
automáticamente  cuando  el  valor  de  esta  propiedad  sea  true.  
  
AnonymousForm:  boolean  =  false  
Valor   booleano   que   permite   ocultar   el   nombre   del   autor   de   un  
formulario.   El   nombre   del   autor   se   ocultara   si   el   valor   de   esta  
propiedad  es  true.  
Tesis:  Modelado  Visual  de  Aplicaciones  Domino  
Anexo:  Perfil  para  aplicaciones  Lotus  Notes  
141  
  
ConflictHandling:  ConflictHandlingOption  =  CreateConflict        
Permite   especificar   la   capacidad   para   manejar   la   concurrencia   de  
usuarios   sobre   un   documento.   Propiedad   en   la   que   sólo   pueden  
elegirse  los  siguientes  valores:  
  
     CreateConflict  
        Permite  crear  un  documento  conflicto.  
  
MergeConflict           
Permite  combinar  los  documentos  modificados  al  mismo  tiempo  
como  un  solo  documento  conflicto.  
  
Merge/NoConflict  
  Permite  combinar  los  documentos  modificados  sin  conflicto.  
  
DoNotCreateConflict     
  Permite  no  crear  documentos  conflictos.  
                   
  FormulasInheritValuesFromSelectedDocument:  boolean  =  false  
Permite   heredar   valores   basados   en   un   documento   original   al   crear  
nuevos  documentos.  
       
  InheritEntireSelectedDocumentIntoRichTextField:  Boolean  =  false  
     Permite  heredar  todo  el  documento  en  un  campo  de  texto  enriquecido.  
  
  AutomaticallyEnableEditMode:  boolean  =  flase             
Valor   booleano   que   permite   que   los   documentos   creados   en   un  
formulario  se  abran  en  modo  edición  automáticamente.  Para  que  esto  
suceda  dejar  su  valor  como  true.  
  
ContentType:  ContentTypeOptions  =  Notes                   
Propiedad  que  permite  especificar  si  este  elemento  tendrá  sólo  código  
HTML   o   si   será   un   documento   tipo   Notes   o   tendrá   otro   formato.  
Propiedad  en  la  que  sólo  pueden  elegirse  los  siguientes  valores:  
  
Notes  
Permite   especificar   que   este   elemento   será   un   documento   de  
tipo  Notes.  
  
HTML  
Permite   especificar   que   este   elemento   tendrá   sólo   código  
HTML.  
  
Other:  string  
Tesis:  Modelado  Visual  de  Aplicaciones  Domino  
Anexo:  Perfil  para  aplicaciones  Lotus  Notes  
142  
Valor  string  utilizado  para  especificar  otro  tipo  de  contenido  para  
este  elemento.  
  
GenerateHTMLforAllFields:  boolean  =  false  
Permite    a  los  documentos  en  una  aplicación  Web  trabajar  como  un  
documento   en   una   aplicación   Notes.   También   permite   generar  
información   HTML   acerca   de   los   campos   ocultos   en   un   formulario.  
Para  que  los  documentos  en  clientes  Web  y  Notes  se  comporten  de  
manera  similar  el  valor  de  esta  propiedad  debe  ser  true.  
  
AvailableToPublicAccessUsers:  boolean=  false  
Permite   que   los   usuarios   tengan   acceso   al   formulario.   Para   que   un  
usuario  tenga  acceso  al  formulario  el  valor  de  esta  propiedad  debe  ser  
true.  
  
Description:  string  
Valor  string  que  se  utiliza  para  proporcionar  una  descripción  general  
de  la  función  que  desempeña  este  estereotipo.  
  
Restricciones  
•   La  propiedad  CreateVersions  solo  puede  utilizarse  cuando  no  se  elige  el  
valor  por  defecto  None  de  la  propiedad  Versioning.  
  
Notación  
  
Estereotipo  «Subform»  
Descripción  
Representa   a   un   subformulario   en   LDD.   El   elemento   subform   es   un   elemento  
importante  para  construir  aplicaciones  y  provee  una  manera  de  evitar  el  duplicado  
en   el   diseño   de   una   sección   de   un   form.   Los   subforms   reducen   el   esfuerzo   de  
desarrollo  debido  a  que  se  pueden  mantener  grupos  de  elementos  en  un  lugar  y  
usar  el  subform  en  varios  formularios.  
  
Metaclase  UML  extendida  
Class  
  
Relaciones  
  
Elementos  que  puede  contener  
Este  estereotipo  puede  relacionarse  directamente  y  contener  a  los  siguientes  
estereotipos:  table,  section,  actionbar,  view,folder,  computertext,  file,  outline,  
subform,   stylesheet,   field,   scriptlibrary,   images,   applet,   navigator,   hotspot   y  
button.  
  
Tesis:  Modelado  Visual  de  Aplicaciones  Domino  
Anexo:  Perfil  para  aplicaciones  Lotus  Notes  
143  
Elementos  que  pueden  contenerlo  
Este  estereotipo  puede  estar  relacionado  y  contenido  sólo  en  el  estereotipo  
form.  
  
Valores  Etiquetados  
  
Name:  String  
Valor  string  que  representa  el  nombre  del  subform.  
  
      AvailableToPublicAccess:  boolean=  false  
Permite  que  los  usuarios  tengan  acceso  a  este  elemento.  Para  que  un  
usuario  tenga  acceso,  el  valor  de  esta  propiedad  debe  ser  true.  
  
Description:  string  
Valor  string  que  se  utiliza  para  proporcionar  una  descripción  general  
de  la  función  que  desempeña  este  estereotipo.  
  
Restricciones  
•   El  único  estereotipo  que  no  puede  contener  un  subform  es  un  agent.  
  
Notación  
Estereotipo  «Frameset»  
Descripción  
Representa  a  un  frameset  en  LDD.  Es  una  colección  de  elementos  frame,  los  cuales  
permiten  estructurar  o  dividir  los  sitios  web  o  las  bases  de  datos  Notes.    
  
Metaclase  UML  extendida  
Class  
  
Relaciones  
  
Elementos  que  puede  contener  
Este   estereotipo   puede   relacionarse   directamente   y   contener   sólo   al  
estereotipo  frame.    
  
Elementos  que  pueden  contenerlo  
Este   estereotipo   puede   estar   relacionado   y   contenido   en   los   siguientes  
estereotipos:  database  y  frame.  
  
Valores  Etiquetados  
  
Name:  String  
Valor  string  que  representa  el  nombre  del  frameset.  
Tesis:  Modelado  Visual  de  Aplicaciones  Domino  
Anexo:  Perfil  para  aplicaciones  Lotus  Notes  
144  
  
Title:  String  
Valor   string   que   representa   el   titulo   del   frameset.   En   esta   propiedad  
también   puede   introducirse   una   formula   calculada   que   obtiene  
automáticamente  el  titulo  del  frameset.  
  
Los  HTML  Tags  son  propiedades  que  permiten  manejar  este  elemento  con  
Javascript  en  el  Web.  
  
HTMLTag_Id:  string    
  Propiedad  que  representa  el  elementoID  en  los  tags  de  HTML.     
    
      HTMLTag_Class:  string                    
  Propiedad  que  representa  el  elemento  Class  en  los  tags  de  HTML.    
  
      HTMLTag_Style:  string                       
  Propiedad  que  representa  el  elemento  Style  en  los  tags  de  HTML.     
    
      HTMLTag_Title:  string                       
  Propiedad  que  representa  el  elemento  Title  en  los  tags  de  HTML.     
    
      HTMLTag_Other:  string                       
Propiedad  que  permite  representar  otros  elementos  para  los  tags  de  
HTML.  Por  ejemplo:  align,  border,  height,  entre  otros.  
  
Description:  string  
Valor  string  que  se  utiliza  para  proporcionar  una  descripción  general  
de  la  función  que  desempeña  este  estereotipo.  
  
Restricciones  
  
Notación  
  
Estereotipo  «Frame»  
Descripción  
Un   elemento   frame   es   una   sección   de   un   elemento   frameset   que   puede  
personalizarse  y  ser  independiente  de  cualquier  otro  frame  contenido  en  el  mismo  
frameset.  
  
Metaclase  UML  extendida  
Class  
  
Relaciones  
  
Tesis:  Modelado  Visual  de  Aplicaciones  Domino  
Anexo:  Perfil  para  aplicaciones  Lotus  Notes  
145  
Elementos  que  puede  contener  
Este  estereotipo  puede  relacionarse  directamente  y  contener  a  los  siguientes  
estereotipos:  frameset,  form,  view,  folder,  page  y  navigator.    
  
Elementos  que  pueden  contenerlo  
Este  estereotipo  puede  estar  relacionado  y  contenido  sólo  en  el  estereotipo  
frameset.  
  
Valores  Etiquetados  
  
Name:  string  
Valor  string  que  representa  el  nombre  del  frame.  
  
Type:  typeOptions  =  URL  
Valor   string   que   representa   el   tipo   de   contenido   que   desplegará   el  
frame.  Existen  tres  tipos  de  contenidos  que  pueden  elegirse:  
  
URL  
Opción  que  se  utiliza  para  especificar  que  el  frame  abrirá  una  
página  Web  especificando  una  URL  completa  en  la  propiedad  
value  del  tipo  http://www.paginaweb.com.  
  
NamedElement  
Opción   que   se   utiliza   para   especificar   que   el   frame   abrirá   el  
elemento   especificado   en   la   propiedad   value.   Los   elementos  
que   soporta   esta   propiedad   son:   page,   frameset,   view,   form,  
folder  y  navigator.  
  
Link  
Opción   que   se   utiliza   para   especificar   que   el   frame   abrirá   un  
documento  o  elemento  View  especificado  en  la  propiedad  value.  
  
Value:  string                             
Valor   string   que   se   utiliza   para   especificar   la   liga   hacia   el   tipo   de  
contenido  que  el  frame  desplegará.  Esta  liga  puede  ser  una  dirección  
URL,   el   nombre   de   algún   elemento   soportado   por   la   opción  
NamedElement  de  la  propiedad  Typeo  una  fórmula  que  lanzará  otro  
contenido,  dirección  o  elemento  de  LDD.  
  
DefaultTargetForLinksInFrame:  string                 
Valor  string  que  permite  indicar  el  marco  en  el  que  se  desplegará  el  
contenido  solicitado.  
  
FrameWidth:  int  =  20  
Valor  entero  que  especifica  el  ancho  que  tendrá  el  elemento  frame  de  
acuerdo  a  la  medida  especificada  en  la  propiedad  measuremente.  
Tesis:  Modelado  Visual  de  Aplicaciones  Domino  
Anexo:  Perfil  para  aplicaciones  Lotus  Notes  
146  
  
FrameHeight:  int=  1  
Valor  entero  que  especifica  el  alto  que  tendrá  el  elemento  frame.  
  
Measurement:  measurementType  =  percent  
Especifica   el   tipo   de   medida   utilizado   en   el   las   propiedades  
FrameWidth   y   FrameHeight.   Existen   tres   medidas   que   pueden  
utilizarse:  
  
Relative  
Medida   utilizada   para   redimensionar   el   frame   de   manera  
relativa  a  otros  frames  contenidos  en  el  frameset.  
  
Percent  
Medida  utilizada  para  redimensionar  el  frame  de  acuerdo  a  un  
porcentaje  con  el  frameset.  Un  porcentaje  de  un  50%  significa  
un  frame  con  la  mitad  del  tamaño  del  frameset.  
  
Pixel  
Medida  utilizada  para  redimensionar  el  frame  en  pixeles.  
  
Scrolling:  scrollingOption  =  default                    
Permite   especificar   el   comportamiento   de   aparición   de   la   barra   de  
desplazamiento  en  el  frame.  Existen  cuatro  opciones  para  especificar:  
  
On  
Permite  forzar  la  aparición  de  la  barra  en  el  frame.  
  
Off  
Permite  que  la  barra  no  aparezca  en  el  frame.  
  
Auto  
Permite   la   aparición   de   la   barra   en   el   caso   de   que   sea  
necesario.  
  
Default  
La  opción  por  defecto  (default)  es  Auto.  
  
Los  HTML  Tags  son  propiedades  que  permiten  manejar  este  elemento  con  
Javascript  en  el  Web.  
  
HTMLTag_Id:  string    
  Propiedad  que  representa  el  elementoID  en  los  tags  de  HTML.     
    
      HTMLTag_Class:  string                    
  Propiedad  que  representa  el  elemento  Class  en  los  tags  de  HTML.    
Tesis:  Modelado  Visual  de  Aplicaciones  Domino  
Anexo:  Perfil  para  aplicaciones  Lotus  Notes  
147  
  
      HTMLTag_Style:  string                       
  Propiedad  que  representa  el  elemento  Style  en  los  tags  de  HTML.     
    
      HTMLTag_Title:  string                       
  Propiedad  que  representa  el  elemento  Title  en  los  tags  de  HTML.     
    
      HTMLTag_Other:  string                       
Propiedad  que  permite  representar  otros  elementos  para  los  tags  de  
HTML.  Por  ejemplo:  align,  border,  height,  entre  otros.  
  
Restricciones  
  
Notación  
  
Estereotipo  «Page»  
Descripción  
Un   page   es   un   elemento   de   diseño   que   se   usa   para   desplegar   información.   A  
diferencia   de   un   form   que   recolecta   datos,   los   pages   se   diseñan   para   presentar  
información  al  usuario.  Por  esta  razón,  no  se  puede  crear  ningún  elemento  tipo  field  
o  un  subform  en  un  page.  
  
Metaclase  UML  extendida  
Class  
  
Relaciones  
  
Elementos  que  puede  contener  
Este  estereotipo  puede  relacionarse  directamente  y  contener  a  los  siguientes  
estereotipos:  applet,  file,  hotspot,  actionbar,  view,  agent,  folder,  section,  table,  
button,  outline,  image,  scriplibrary,  navigator,  stylesheet  y  computertext.  
  
Elementos  que  pueden  contenerlo  
Este   estereotipo   puede   estar   relacionado   y   contenido   en   los   siguientes  
estereotipos:  database  y  frame.  
  
Valores  Etiquetados  
  
Name:  string  
Valor  string  que  representa  el  nombre  del  estereotipo  page.  
  
ContentType:  ContentTypeOptions  =  Notes                   
Tesis:  Modelado  Visual  de  Aplicaciones  Domino  
Anexo:  Perfil  para  aplicaciones  Lotus  Notes  
148  
Propiedad  que  permite  especificar  si  este  elemento  tendrá  sólo  código  
HTML   o   si   será   un   documento   tipo   Notes   o   tendrá   otro   formato.  
Propiedad  en  la  que  sólo  pueden  elegirse  los  siguientes  valores:  
  
Notes  
Permite   especificar   que   este   elemento   será   un   documento   de  
tipo  Notes.  
  
HTML  
Permite   especificar   que   este   elemento   tendrá   sólo   código  
HTML.  
  
Other:  string  
Valor  string  utilizado  para  especificar  otro  tipo  de  contenido  para  
este  elemento.  
  
AvailableToPublicAccessUsers:  boolean=  false  
Permite  que  los  usuarios  tengan  acceso  al  elemento  page.  Para  que  
un  usuario  tenga  acceso,  el  valor  de  esta  propiedad  debe  ser  true.  
  
Description:  string  
Valor  string  que  se  utiliza  para  proporcionar  una  descripción  general  
de  la  función  que  desempeña  este  estereotipo.  
  
Restricciones  
•   No   puede   tener   relaciones   de   contención   con   estereotipos   del   tipo   form,  
subform  y  field.  
  
Notación  
  
Estereotipo  «Field»  
Descripción  
Un  elemento  field  es  la  parte  de  una  aplicación  que  recolecta  datos.  Cada  campo  
almacena  sólo  un  tipo  de  información.  El  tipo  de  dato  de  un  field  define  el  tipo  de  
información   que   acepta.   Los   fields   pueden   ser   de   tipo   simple   o   compartido,   la  
diferencia  es  la  forma  en  la  que  se  crea  y  utiliza  cada  uno.  
  
Metaclase  UML  extendida  
Class  
  
Relaciones  
  
Elementos  que  puede  contener  
Este  estereotipo  no  puede  contener  a  ningún  otro.    
Tesis:  Modelado  Visual  de  Aplicaciones  Domino  
Anexo:  Perfil  para  aplicaciones  Lotus  Notes  
149  
  
Elementos  que  pueden  contenerlo  
Este   estereotipo   puede   estar   relacionado   y   contenido   en   los   siguientes  
estereotipos:  form,  subform,  table  y  section.  
  
Valores  Etiquetados  
  
Name:  string  
Valor  string  que  representa  el  nombre  del  estereotipo  field.  
  
Type:  fieldType  =  text  
Esta   propiedad   determina   el   tipo   de   información   que   se   puede  
introducir   en   el   field.   Los   tipos   de   datos   soportados   por   este   campo  
son:  
  
Text  
Tipo  de  dato  que  permite  recolectar,  guardar  y  desplegar  texto  
simple.  
  
Date/Time  
Tipo  de  dato  que  permite  desplegar  la  fecha  y  horario  en  una  
variedad  de  formatos.  
  
Number  
Tipo   de   dato   que   permite   limitar   al   field   para   aceptar   sólo  
valores  numéricos,  así  como  el  formato  de  despliegue.  
  
DialogList  
Tipo  de  dato  que  permite  comportarse  al  field  como  una  lista  de  
de  opción  múltiple  a  través  de  una  caja  de  texto  que  contiene  
un  botón  que  permite  abrir  una  cuadro  de  dialogo  con  una  lista  
de  opciones  para  su  elección.  
  
Checkbox  
Tipo  de  dato  que  permite  comportarse  al  field  como  una  lista  de  
opciónmúltiple  a  través  de  casillas  de  selección.  
  
RadioButton  
Tipo  de  dato  que  permite  comportarse  al  field  como  una  lista  de  
opción  múltiple  donde  sólo  puede  elegirse  una  de  ellas  a  través  
de  botones  de  radio.  
  
Listbox  
Tipo  de  dato  que  permite  comportarse  al  field  como  una  lista  de  
de  opción  múltiple  a  través  de  una  caja  de  texto  que  contiene  
dos  botones  (arriba-­abajo)  para  navegar  a  través  de  la  lista.    
Tesis:  Modelado  Visual  de  Aplicaciones  Domino  
Anexo:  Perfil  para  aplicaciones  Lotus  Notes  
150  
Combobox  
Tipo  de  dato  que  permite  comportarse  al  field  como  una  lista  de  
de  opción  múltiple  a  través  de  una  caja  de  texto  que  contiene  
una  lista  desplegable  con  opciones  para  su  elección.  
  
RichText  
Tipo  de  dato  que  permite  recolectar,  guardar  y  desplegar  texto  
enriquecido  (texto  con  formato).  
  
Authors  
Tipo  de  datos  que  trabaja  con  el  modelo  de  seguridad  de  LDD.  
Permite  controlar  quien  puede  crear,  editar  y  leer  documentos  
creados  en  un  form.  
  
Names  
Tipo   de   dato   que   permite   desplegar   nombres   de   usuarios   a  
través  de  un  campo  calculado  o  editable.  
  
Readers  
Tipo  de  datos  que  trabaja  con  el  modelo  de  seguridad  de  LDD.  
Permite  controlar  quien  puede  leer  documentos  creados  en  un  
form.  
  
Password  
Tipo  de  dato  que  permite  ocultar  los  caracteres  escritos  en  un  
field  a  través  de  asteriscos.  
  
TimeZone  
Tipo   de   dato   que   permite   desplegar   una   lista   de   las   zonas  
horarias  en  el  mundo.  
  
RichTextLite  
Tipo   de   dato   que   permite   recolectar,   guardar   y   desplegar  
cualquier  tipo  de  texto.  Permite  tener  un  mayor  control  sobre  los  
datos   que   el   field   puede   aceptar.   La   caja   de   texto   viene  
acompañada  de  un  botón  de  ayuda  y  un  botón  que  muestra  el  
tipo  de  dato  que  el  campo  acepta.  
  
Color  
Tipo  de  dato  que  permite  al  field  comportarse  como  un  selector  
de  color  desplegando  una  caja  de  colores  para  la  selección  de  
un  color.  
  
Category:  CategoryOptions  =  editable  
Permite   definir   la   categoría   del   tipo   de   dato   seleccionado.   Las  
categorías  existentes  son  las  siguientes:  
Tesis:  Modelado  Visual  de  Aplicaciones  Domino  
Anexo:  Perfil  para  aplicaciones  Lotus  Notes  
151  
  
Editable  
Permite  que  el  tipo  de  dato  seleccionado  sea  editable.  
  
Computed  
Permite   que   el   tipo   de   dato   seleccionado   sea   calculado   cada  
vez  que  un  documento  se  crea,  guarda  o  actualiza.  
  
ComputedForDisplay  
Permite   que   el   tipo   de   dato   seleccionado   sea   calculado   cada  
vez  que  un  documento  sea  abierto  o  cerrado.  
  
ComputedWhenComposed  
Permite   que   el   tipo   de   dato   seleccionado   sea   calculado   sólo  
cuando  el  documento  se  cree  por  primera  vez.  
  
Options:string  
Valor  de  tipo  string  que  permite  especificar  más  opciones  que  algún  
field  pueda  requerir  y  que  no  pueda  ser  especificado  por  alguna  de  las  
propiedades  que  este  tiene.  
  
AllowMultipleValues:  boolean  =  false  
Valor  booleano  que  permite  a  los  usuarios  poder  introducir  más  de  un  
valor  en  un  field.  Para  que  los  usuarios  puedan  introducir  más  de  un  
valor  en  el  campo,  esta  propiedad  debe  ser  true.  
  
Shared:  boolean  =  false  
Valor  booleano  que  indica  si  el  estereotipo  es  compartido  o  simple.  Un  
field   simple   se   crea   directamente   sobre   el   elemento   contenedor,  
mientras  que  un  compartido  se  crea  por  separado  y  puede  utilizarse  
en   múltiples   elementos   que   puedan   contenerlo.   Para   que   este  
elemento  pueda  ser  compartido,  esta  opción  debe  tener  un  valor  true.  
  
HideParagraphFrom:  HideOptions  
Propiedad   que   determina   para   cuales   clientes   se   encontrará   oculto  
este   elemento.   Los   clientes   de   los   cuales   puede   ocultarse   este  
elemento  son:  
  
NotesR4.6orLater:  boolean=  false  
Valor   booleano   que   indica   que   este   elemento   se   ocultará   al  
utilizar  un  cliente  Notes  versión  4.6  o  superior.  
  
WebBrowser:  boolean=  false  
Valor   booleano   que   indica   que   este   elemento   se   ocultará   al  
utilizar  un  cliente  del  tipo  navegador  Web.  
  
Tesis:  Modelado  Visual  de  Aplicaciones  Domino  
Anexo:  Perfil  para  aplicaciones  Lotus  Notes  
152  
Mobile:  boolean=  false  
Valor   booleano   que   indica   que   este   elemento   se   ocultará   al  
utilizar  un  cliente  móvil.  
  
HideParagraphWhenDocumentIs:  WhenDocumentIsOptions  
Propiedad  que  determina  las  circunstancias  en  las  que  debe  ocultarse  
este  elemento.  Las  circunstancias  posibles  son:  
  
PreviewedForReading:  boolean  =  false  
Valor   booleano   que   determina   que   la   información   de   este  
elemento   no   sea   visible   cuando   un   usuario   lea   un   documento  
en  el  panel  visualizador  de  documentos.  
  
OpenedForReading:  boolean  =  false  
Valor   booleano   que   determina   si   la   información   de   este  
elemento  estará  visible  cuando  un  usuario  abre  un  documento  
en  modo  lectura.  
  
Printed:  boolean  =  false  
Valor  booleano  que  determina  si  la  información  oculta  de  este  
elemento  estará  visible  en  documentos  impresos.  
  
Embedded:  boolean  =  false  
Valor   booleano   que   determina   si   el   elemento   estará   visible  
cuando  los  usuarios  acceden  a  un  documento  en  el  cual  se  ha  
utilizado  el  editor  embebido  para  embeber  el  elemento.  
  
PreviewedForEditing:  boolean  =  false  
Valor   booleano   que   determina   si   la   información   de   este  
elemento   estará   visible   cuando   un   usuario   trabaja   con   un  
documento  en  modo  edición  en  el  panel  de  previsualización.  
  
OpenedForEditing:  boolean  =  false  
Valor   booleano   que   determina   si   la   información   estará   visible  
cuando   los   usuarios   trabajen   sobre   documentos   en   modo  
edición.  
  
CopiedToTheClipboard:  boolean  =  false  
Valor    booleano  que  determina  si  se  debe  ocultar  el  contenido  
de  este  elemento  cuando  un  usuario  copia  un  documento.  
  
HideParagraphIfFormulaIsTrue:  boolean  =  false  
Valor  booleano  que  indica  si  una  formula  indicará  las  circunstancias  en  
las  cuales  la  información  se  ocultará.  
  
Formula:  string  
Tesis:  Modelado  Visual  de  Aplicaciones  Domino  
Anexo:  Perfil  para  aplicaciones  Lotus  Notes  
153  
Valor   de   tipo   string   que   permite   especificar   una   fórmula   para   este  
elemento.  
  
Los  HTML  Tags  son  propiedades  que  permiten  manejar  este  elemento  con  
Javascript  en  el  Web.  
  
HTMLTag_Id:  string    
  Propiedad  que  representa  el  elementoID  en  los  tags  de  HTML.     
    
      HTMLTag_Class:  string                    
  Propiedad  que  representa  el  elemento  Class  en  los  tags  de  HTML.    
  
      HTMLTag_Style:  string                       
  Propiedad  que  representa  el  elemento  Style  en  los  tags  de  HTML.     
    
      HTMLTag_Title:  string                       
  Propiedad  que  representa  el  elemento  Title  en  los  tags  de  HTML.     
    
      HTMLTag_Other:  string                       
Propiedad  que  permite  representar  otros  elementos  para  los  tags  de  
HTML.  Por  ejemplo:  align,  border,  height,  entre  otros.  
  
Restricciones  
•   Un   field   puede   estar   contenido   en   un   table   o   section      sólo   cuando   estos  
elementos  estén  contenidos  en  un  form  o  subform.  
•   Los   tipos   de   datos   Text,   Date/Time,   Number,   DialogList,   Checkbox,  
RadioButton,   Listbox,   Names   y   Readers   sólo   pueden   utilizar   los   siguientes  
valores  de  la  propiedad  Category:  Editable,  Computed,  ComputedForDisplay  
y  ComputedWhenComposed.  
•   Los   tipos   de   datos   RichText   y   Color   sólo   pueden   utilizar   los   siguientes  
valores  de  la  propiedad  Category:  Editable  y  Computed.  
•   Para   el   tipo   de   dato   Checkbox,   la   propiedad   AllowMultipleValues   debe   ser  
siempre  true.  
•   Para   los   tipos   de   datos:   Combobox,   RichText,   RadioButton,   TimeZone   o  
Color;;  la  propiedad  AllowMultipleValues  no  puede  utilizarse.  
•   Para  los  tipos  de  datos:  Password  o  RichTextLite,  las  propiedades  Category  
y  AllowMultipleValues  no  pueden  utilizarse.  
•   Las   propiedades   HideParagraphFrom,HideParagraphWhenDocumentIs,  
HideParagraphIfFormulaIsTruey   Formula   sólo   están   disponibles   cuando   la  
propiedad  shared  tiene  un  valor  de  false.  
•   Cuando   el   valor   de   la   propiedad   HideParagraphFrom   es  
NotesR4.6orLatersólo   pueden   utilizarse   las   opciones   OpenedForReading   y  
OpenedForEditing  de  la  propiedad  HideWhenDocumentIs.  
  
Notación  
Tesis:  Modelado  Visual  de  Aplicaciones  Domino  
Anexo:  Perfil  para  aplicaciones  Lotus  Notes  
154  
  
Estereotipo  «Action»  
Descripción  
Un  elemento  action  es  código  que  consiste  de  una  combinación  de  acciones  o  una  
simple  acción  de  Domino.  Un  action  provee  métodos  de  acceso  rápido  a  las  tareas  
rutinarias   y  puede  codificarse  con  el  lenguajeJavaScript  o  CommonJavaScript.  Un  
action  sólo  puede  estar  disponible  a  través  del  elemento  actionbar.  
  
Metaclase  UML  extendida  
Class  
  
Relaciones  
  
Elementos  que  puede  contener  
Este   estereotipo   sólo   puede   relacionarse   directamente   y   contener   al  
estereotipo  agent.  
  
Elementos  que  pueden  contenerlo  
Este   estereotipo   puede   estar   relacionado   y   contenido   en   los   siguientes  
estereotipos:   page,   folder,   view,   form   y   subform,   pero   sólo   a   través   del  
elemento  actionbar.  
  
Valores  Etiquetados  
  
Name:  string  
Valor  string  que  representa  el  nombre  del  estereotipo  action.  
  
Shared:  boolean  =  false  
Valor  booleano  que  indica  si  el  estereotipo  es  compartido  o  simple.  Un  
action   simple   es   aquel   que   se   codifica   directamente   en   alguno   de   los  
elementos   de   diseño   que   soportan   al   elemento   actionbar.   Un   action  
compartido  se  codifica  independientemente  de  los  elementos  de  diseño  y  
puede   por   tanto   insertarse   en   múltiples   elementos   que   soporten   la  
utilización   de   acciones   compartidas.   Por   ejemplo,   view,   folders,   form,  
page  o  subforms.  
  
HideActionFrom:  HideOptions  
Propiedad   que   determina   para   cuales   clientes   se   encontrará   oculto    
este  elemento.  Los  clientes  de  los  cuales  puede  ocultarse  un  elemento  
son:  
  
NotesR4.6orLater:  boolean  =  false  
Valor   booleano   que   indica   que   este   elemento   se   ocultará   al  
utilizar  un  cliente  Notes  versión  4.6  o  superior.  
  
Tesis:  Modelado  Visual  de  Aplicaciones  Domino  
Anexo:  Perfil  para  aplicaciones  Lotus  Notes  
155  
WebBrowser:  boolean  =  false  
Valor   booleano   que   indica   que   un   elemento   se   ocultará   al  
utilizar  un  cliente  del  tipo  navegador  Web.  
  
Mobile:  boolean  =  false  
Valor   booleano   que   indica   que   este   elemento   se   ocultará   al  
utilizar  un  cliente  móvil.  
  
HideActionWhenDocumentIs:  WhenDocumentIsOptions  
Propiedad  que  determina  las  circunstancias  en  las  que  debe  ocultarse  
este  elemento.  Las  circunstancias  posibles  son:  
  
PreviewedForReading:  boolean  =  false  
Valor   booleano   que   determina   que   la   información   de   este  
elemento   no   sea   visible   cuando   un   usuario   lea   un   documento  
en  el  panel  visualizador  de  documentos.  
  
OpenedForReading:  boolean  =  false  
Valor  booleano  que  determina  si  la  información  de  este  elemento  
estará   visible   cuando   un   usuario   abre   un   documento   en   modo  
lectura.  
  
PreviewedForEditing:  boolean  =  false  
Valor  booleano  que  determina  si  la  información  de  este  elemento  
estará  visible  cuando  un  usuario  trabaja  con  un  documento  en  
modo  edición  en  el  panel  de  previsualización.  
  
OpenedForEditing:  boolean  =  false  
Valor   booleano   que   determina   si   la   información   estará   visible  
cuando   los   usuarios   trabajen   sobre   documentos   en   modo  
edición.  
  
HideActionIfFormulaIsTrue:  boolean  =  false  
Valor  booleano  que  indica  si  una  formula  indicará  las  circunstancias  en  
las  cuales  la  información  se  ocultará.  
  
Formula:  string  
Valor   de   tipo   string   que   permite   especificar   una   fórmula   para   este  
elemento.  
  
Description:  string  
Valor  string  que  se  utiliza  para  proporcionar  una  descripción  general  
de  la  función  que  desempeña  este  elemento.  
  
Restricciones  
Tesis:  Modelado  Visual  de  Aplicaciones  Domino  
Anexo:  Perfil  para  aplicaciones  Lotus  Notes  
156  
•   Sólo   están   disponibles   los   valores   PreviewedForReading,  
OpenedForReading,   PreviewedForEditing   y   OpenedForEditing   en   la  
propiedad  HideActionWhenDocumentIs.  
  
Notación  
  
Estereotipo  «View»  
Descripción  
Representa   una   lista   de   documentos   de   una   BD.   Dependiendo   del   criterio   de  
selección,  se  pueden  desplegar  todos  los  documentos  o  sólo  un  conjunto  de  ellos.  
Un  view  es  una  tabla  de  los  contenidos  de  una  BD  y  sirve  para  mostrar  información  
contenida   en   uno   o   varios   documentos.   Un   view   se   encuentra   estructurado   por  
elementos  de  tipo  column.  
  
Metaclase  UML  extendida  
Class  
  
Relaciones  
  
Elementos  que  puede  contener  
Este  estereotipo  puede  relacionarse  directamente  y  contener  a  los  siguientes  
estereotipos:  column  y  actionbar.  
  
Elementos  que  pueden  contenerlo  
Este   estereotipo   puede   estar   relacionado   y   contenido   en   los   siguientes  
estereotipos:  database,  page,form,  subform,  table,  section  y  frame.  
  
Valores  Etiquetados  
  
Name:  string  
Valor  string  que  representa  el  nombre  del  estereotipo  view.  
        
      Alias:  string  
Valor  string  que  representa  el  alias  para  el  estereotipo  view.  
  
      ViewType:  ViewTypeOptions       
         Esta  propiedad  puede  tener  los  siguientes  valores:  
           
Operation  
         Interface  
  
Style:  ViewStyle  =  StandardOutline  
Permite  seleccionar  el  estilo  del  view.  Los  valores  posibles  son:  
  
Tesis:  Modelado  Visual  de  Aplicaciones  Domino  
Anexo:  Perfil  para  aplicaciones  Lotus  Notes  
157  
  StandardOutline  
Opción   que   permite   presentar   un   view   como   una   tabla   de  
contenidos  de  la  BD.  Esta  opción  es  el  tipo  de  view  más  común  
y  es  la  que  se  utiliza  por  defecto.    
  
  Calendar  
Opción   que   permite   presentar   un   view   como   calendario   para  
agrupar  y  desplegar  documentos  con  un  formato  de  calendario.  
    
ShowResponseDocumentsInAhierarchy:  boolean  =  true           
Valor  booleano  utilizado  para  indentar  los  documentos  de  una  manera  
jerárquica.  
       
CollapseAllWhenDBisFirstOpened:  Boolean  =  false     
  Valor  booleano  utilizado  para  
  
DefaultWhenDBisFirstOpened:  Boolean  =  true  
Valor  booleano  utilizado  para  especificar  que  el  view  sea  el  elemento  
que  se  despliegue  por  omisión  la  primera  vez  que  se  abra  la  BD.  
  
RowHeight:  int  =  1  
Valor  entero  utilizado  para  especificar  la  altura  en  líneas  que  tendrán  
los  renglones  del  view.  
  
      AvailableToPublicAccess:  boolean  =  false  
Permite  que  los  usuarios  tengan  acceso  al  view.  Para  que  un  usuario  
tenga  acceso  al  view  el  valor  de  esta  propiedad  debe  ser  true.  
  
DontShowEmptyCategories:  boolean  =  false  
Valor  booleano  que  permite  eliminar  el  despliegue  de  categorías  que  
no   contienen   documentos.   Para   no   desplegar   las   categorías   sin  
documentos,  elegir  para  esta  propiedad  el  valor  true.  
  
Description:  string  
Valor  string  que  se  utiliza  para  proporcionar  una  descripción  general  
de  la  función  que  desempeña  este  elemento.  
  
ViewSelection:  string  
Evento  que  se  ejecuta  al  momento  que  el  view  es  desplegado.  Es  un  
valor  de  tipo  string  utilizado  para  especificar  una  fórmula  para  realizar  
una  selección  de  documentos  que  aparecerán  en  este  elemento  una  
vez  abierto.  
  
Restricciones  
•   Un   view   puede   estar   contenido   en   un   table   o   section      sólo   cuando   estos  
elementos  estén  contenidos  en  un  form,subform  o  page.  
Tesis:  Modelado  Visual  de  Aplicaciones  Domino  
Anexo:  Perfil  para  aplicaciones  Lotus  Notes  
158  
•   Un   nuevo   view   debe   contener   al   menos   a   un   elemento   column   simple   al  
momento  de  su  creación.  
•   Las   propiedades   CollapseAllWhenDBisFirstOpened,   RowHeight   y  
ShowResponseDocumentsInAhierarchyno  están  disponibles  cuando  se  elige  
la  opción  calendar  de  la  propiedad  Style.  
  
Notación  
  
Estereotipo  «Folder»  
Descripción  
Un   folderes   estructuralmente   similar   a   un   view   y   tiene   los   mismos   elementos   de  
diseño.  Los  folders  son  contenedores  de  documentos  relacionados  o  de  grupos  de  
éstos.  Este  tipo  de  elemento  no  tiene  un  criterio  para  seleccionar  documentos,  los  
usuarios   deciden   cuales   de   estos   se   almacenan   en   los   folders.   Un   folder   se  
encuentra  estructurado  por  elementos  de  tipo  column.  
  
Metaclase  UML  extendida  
Class  
  
Relaciones  
  
Elementos  que  puede  contener  
Este  estereotipo  puede  relacionarse  directamente  y  contener  a  los  siguientes  
estereotipos:  column  y  actionbar.  
  
Elementos  que  pueden  contenerlo  
Este   estereotipo   puede   estar   relacionado   y   contenido   en   los   siguientes  
estereotipos:  database,  page,form,  subform,  table,  section  y  frame.  
  
Valores  Etiquetados  
  
Name:  string  
Valor  string  que  representa  el  nombre  del  estereotipo  folder.  
        
      Alias:  string  
Valor  string  que  representa  el  alias  para  el  estereotipo  folder.  
  
      FolderType:  ViewTypeOptions    
         Esta  propiedad  puede  tener  los  siguientes  valores:  
         Operation  
         Interface  
  
Style:  ViewStyle  =  standardOutiline  
Permite  seleccionar  el  estilo  del  folder.  Los  valores  posibles  son:  
Tesis:  Modelado  Visual  de  Aplicaciones  Domino  
Anexo:  Perfil  para  aplicaciones  Lotus  Notes  
159  
  
  StandardOutline  
Opción   que   permite   presentar   un   folder   como   una   tabla   de  
contenidos   de   la   BD.   Esta   opción   es   el   tipo   de   folder   más  
común  y  es  la  que  se  utiliza  por  defecto.    
  
  Calendar  
Opción   que   permite   presentar   un   folder   como   calendario   para  
agrupar  y  desplegar  documentos  con  un  formato  de  calendario.  
    
ShowResponseDocumentsInAhierarchy:  boolean  =  false  
Valor  booleano  utilizado  para  indentar  los  documentos  de  una  manera  
jerarquica.  
       
CollapseAllWhenDBisFirstOpened:  boolean=  false  
  Valor  booleano  utilizado  para  
  
DefaultWhenDBisFirstOpened:  boolean  =  true  
Valor  booleano  utilizado  para  especificar  que  la  folder  sea  el  elemento  
que  se  despliegue  por  omisión  la  primera  vez  que  se  abra  la  BD.  
  
RowHeight:  int  =  1  
Valor  entero  utilizado  para  especificar  la  altura  en  líneas  que  tendrán  
los  renglones  del  folder.  
  
      AvailableToPublicAccess:  boolean  =  false  
Permite  que  los  usuarios  tengan  acceso  al  folder.  Para  que  un  usuario  
tenga  acceso,  el  valor  de  esta  propiedad  debe  ser  true.  
  
DontShowEmptyCategories:  boolean  =  false  
Valor  booleano  que  permite  eliminar  el  despliegue  de  categorías  que  
no   contienen   documentos.   Para   no   desplegar   las   categorías   sin  
documentos,  elegir  para  esta  propiedad  valor  true.  
  
Description:  string  
Valor  string  que  se  utiliza  para  proporcionar  una  descripción  general  
de  la  función  que  desempeña  este  elemento.  
  
Restricciones  
•   Un   folder   puede   estar   contenido   en   un   table   o   section      sólo   cuando   estos  
elementos  estén  contenidos  en  un  form,subformo  page.  
•   Un   nuevo   folder   debe   contener   al   menos   a   un   elemento   column   simple   al  
momento  de  su  creación.  
Tesis:  Modelado  Visual  de  Aplicaciones  Domino  
Anexo:  Perfil  para  aplicaciones  Lotus  Notes  
160  
•   Las   propiedades   CollapseAllWhenDBisFirstOpened,   RowHeight   y  
ShowResponseDocumentsInAhierarchyno  están  disponibles  cuando  se  elige  
la  opción  calendar  de  la  propiedad  Style.  
  
  
Notación  
  
  Estereotipo  «Column»  
Descripción  
Los  columns  muestran  un  tipo  de  información  acerca  de  los  documentos  listados  en  
un   view.   Un   column   en   un   view   es   el   elemento   organizador   y   es   también   el  
elemento  por  el  que  un  view  se  encuentra  estructurado.  Los  columns  pueden  ser  
simples  o  compartidos  al  igual  que  los  actions  y  los  fields.  Un  column  simple  se  crea  
y   utiliza   solamente   en   un   view   y   un   folder.   Los   columns   compartidos   permiten   la  
creación   de   un   column   común   para   insertarse   en   múltiples   viewso   foldersen   la  
misma  BD.  
  
Metaclase  UML  extendida  
Class  
  
Relaciones  
  
Elementos  que  puede  contener  
Este   estereotipo   no   puede   relacionarse   directamente   y   contener   a   ningún  
otro  elemento.  
  
Elementos  que  pueden  contenerlo  
Este   estereotipo   puede   estar   relacionado   y   contenido   en   los   siguientes  
estereotipos:  viewy  folder.  
  
Valores  Etiquetados  
  
Title:  string  
Valor   string   que   representa   el   titulo   de   la   columna   y   que   se   utiliza  
como  ayuda  para  que  los  usuarios  puedan  identificar  su  contenido.  
  
Shared:  boolean  =  false  
Valor  booleano  que  indica  si  el  estereotipo  es  compartido  o  simple.  Un  
column  simple  es  aquel  que  se  diseña  directamente  en  un  view  o  folder.  
Una  columnacompartida  permite  ser  insertada  en  múltiples  view  o  folders  
en  la  misma  BD  eliminando  la  necesidad  de  crear  la  misma  columna  con  
las  mismas  funcionalidades  para  otros  elementos.
  
      DisplayValuesAsIcons:  boolean  =  false  
Tesis:  Modelado  Visual  de  Aplicaciones  Domino  
Anexo:  Perfil  para  aplicaciones  Lotus  Notes  
161  
Valor  booleano  que  permite  desplegar  iconos  en  vez  de  texto  en  una  
columna  para  hacer  que  ésta  sea  distintiva.  
  
      ShowResponsesOnly:  boolean  =  false  
  
ShowTwistieWhenRowIsExpandable:  boolean  =  false  
Valor  booleano  que  permite  mostrar  un  triangulo  azul  expandible  junto  
a  una  columna  para  mostrar  categorías.  
    
Sort:  sortType  =  None  
Propiedad  que  permite  especificar  el  método  de  ordenamiento  de  los  
documentos  mostrados  en  la  columna.  Los  métodos  disponibles  son:  
    
None  
Opción  que  permite  especificar  que  los  documentos  mostrados  
en  la  columna  no  se  ordenarán.  
  
  Ascending  
Opción  que  permite  ordenar  en  forma  ascendente  (A  precede  a  
B,   1   precede   a   2   y   fechas   anteriores   preceden   a   fechas  
posteriores)  los  documentos  mostrados  en  la  columna.  
    
Descending  
Opción  que  permite  ordenar  en  forma  descendente  (B  precede  
a   A,   2   precede   a   1   y   fechas   posteriores   preceden   a   fechas  
anteriores)los  documentos  mostrados  en  la  columna.  
    
Type:  typeOption  =  standard     
  
StandardType  
  
CategorizedType  
  
ShowMultipleValuesAsSeparateEntries:  boolean  =  true  
Si  una  columna  ordenada  despliega  valores  provenientes  de  una  lista  
de  valores  multiples,  éste  valor  debe  establecerse  a  true  para  mostrar  
cada  valor  en  un  renglón  separado.  
  
      ClickOnColumnHeaderToSort:  sortType  =  None  
Propiedad   que   permite   asignar   al   encabezado   de   la   columna   la  
función  de  ordenar  el  contenido  de  formas  ascendente,  descendente  o  
ambas  a  través  de  un  clic  en  el  mismo.  
  
None  
Opción   que   permite   especificar   que   no   se   podrá   ordenar   el  
contenido  de  la  columna  a  través  de  su  encabezado.  
Tesis:  Modelado  Visual  de  Aplicaciones  Domino  
Anexo:  Perfil  para  aplicaciones  Lotus  Notes  
162  
  
  Ascending  
Opción  que  permite  ordenar  en  forma  ascendente  (A  precede  a  
B,   1   precede   a   2   y   fechas   anteriores   preceden   a   fechas  
posteriores)  los  documentos  mostrados  en  la  columna  a  través  
de  su  encabezado.  
    
Descending  
Opción  que  permite  ordenar  en  forma  descendente  (B  precede  
a   A,   2   precede   a   1   y   fechas   posteriores   preceden   a   fechas  
anteriores)los  documentos  mostrados  en  la  columna  a  través  de  
su  encabezado.  
  
         Both  
Opción   que   permite   ordenar   en   forma   ascendente   y  
descendente  los  documentos  mostrados  en  la  columna  a  través  
de  su  encabezado.  
  
CaseSensitiveSorting:  boolean  =  false  
Valor   booleano   que   permite   especificar   si   el   ordenamiento   será  
sensitivo  a  mayúsculas  y  minúsculas.  
  
AccentSensitiveSorting:  boolean  =  false  
Valor   booleano   que   permite   especificar   si   el   ordenamiento   será  
sensitivo  a  caracteres  acentuados.  
  
      HideColumn:  boolean  =  false  
Valor   booleano   que   permite   especificar   si   la   columna   se   encontrará  
visible  o  no  al  momento  de  ejecutar  el  view.  
        
      ShowValuesAsLink:  boolean  =  false  
Valor  booleano  que  permite  convertir  una  columna  en  una  liga  hacia  el  
documento  que  contiene.  
    
Description:  string  
Valor  string  que  se  utiliza  para  proporcionar  una  descripción  general  
de  la  función  que  desempeña  este  elemento.  
  
      ColumnValue:  string                          
       
  
Restricciones  
•   La   propiedad   ShowTwistieWhenRowIsExpandable   no   aplica   cuando   el  
elemento   view   en   el   que   se   encuentra   contenido   la   columna   es   de   tipo  
calendar.    
Tesis:  Modelado  Visual  de  Aplicaciones  Domino  
Anexo:  Perfil  para  aplicaciones  Lotus  Notes  
163  
•   La  propiedad  Sort  no  tiene  disponible  la  opción  both.  
•   Cuando  se  ha  seleccionado  el  valor  de  Categorized  para  la  propiedad  Type,  
el  valor  de  la  propiedad  Sort  debe  ser  ascending  o  descending  pero  nunca  
None.  
•   Cuando   se   selecciona   el   valor   de   Categorized   para   la   propiedad   Type   la  
propiedad   ShowMultipleValuesAsSeparateEntries   no   está   disponible   y  
siempre  tendrá  un  valor  true.  
  
Notación  
  
Estereotipo  «File»  
Descripción  
Representa   a   un   archivo   externo   que   se   ha   importado   a   la   BD   de   LDD.   Estos  
archivos   se   utilizan   en   el   diseño   de   aplicaciones.Por   ejemplo,   probablemente   se  
necesite  una  misma  página  inicial  para  todas  las  aplicaciones  de  una  empresa,  esta  
página  puede  ser  un  archivo  HTML  importado.  De  esta  manera  un  archivo  puede  
compartirse  con  las  aplicaciones  que  se  desarrollen.  
  
Metaclase  UML  extendida  
Component  
  
Relaciones  
  
Elementos  que  puede  contener  
Este   estereotipo   no   puede   relacionarse   directamente   y   contener   a   ningún  
otro  elemento.  
  
Elementos  que  pueden  contenerlo  
Este   estereotipo   puede   estar   relacionado   y   contenido   en   los   siguientes  
estereotipos:  form,  subform  y  page.  
  
Valores  Etiquetados  
  
Name:  string  
Valor  string  que  representa  el  nombre  del  archivo  importado  a  la  BD.  
        
      FileType:  string  
Valor  string  que  permite  describir  el  tipo  de  archivo  importado.  El  tipo  
debe  definirse  con  la  extensión  del  mismo.  
  
      Author:  string                      
Valor  string  que    representa  el  nombre  del  autor  del  archivo.  
  
ElaborationDate:  string    
Tesis:  Modelado  Visual  de  Aplicaciones  Domino  
Anexo:  Perfil  para  aplicaciones  Lotus  Notes  
164  
Valor  string  que  representa  la  fecha  de  elaboración  del  archivo.  
    
      AvailableToPublicAccess:  boolean  =  false  
Permite   que   los   usuarios   tengan   acceso   al   archivo.   Para   que   un  
usuario  tenga  acceso,  el  valor  de  esta  propiedad  debe  ser  true.  
    
      KindOfFile:  string  
Propiedad   que   permite   describir   si   el   archivo   importado   es   código  
fuente  u  otro  tipo  de  archivo.  Los  valores  posibles  para  esta  propiedad  
son:  
  
Code  
Opción  que  representa  que  el  tipo  de  archivo  importado  es  un  
archivo  con  código  fuente.  Por  ejemplo  un  archivo  HTML.  
  
Other  
Opción  que  representa  que  el  tipo  de  archivo  importado  no  es  
código  fuente  y  pertenece  a  otra  categoría.  
  
Description:  string  
Valor  string  que  se  utiliza  para  proporcionar  una  descripción  general  
de  la  función  que  desempeña  este  elemento.  
  
Restricciones  
  
Notación  
  
Estereotipo  «Image»  
Descripción  
Representa  a  una  imagen  externa  que  se  almacena  en  la  BD.  
  
Metaclase  UML  extendida  
Component  
  
Relaciones  
  
Elementos  que  puede  contener  
Este   estereotipo   no   puede   relacionarse   directamente   y   contener   a   ningún  
otro  elemento.  
  
Elementos  que  pueden  contenerlo  
Este   estereotipo   puede   estar   relacionado   y   contenido   en   los   siguientes  
estereotipos:  form,  subform  y  page.  
  
Tesis:  Modelado  Visual  de  Aplicaciones  Domino  
Anexo:  Perfil  para  aplicaciones  Lotus  Notes  
165  
Valores  Etiquetados  
  
Name:  string  
Valor  string  que  representa  el  nombre  de  la  imagen  importada  a  la  BD.  
        
      ImageType:  string  
Valor  string  que  permite  describir  el  tipo  de  imagen  importada.  El  tipo  
debe  definirse  con  la  extensión  del  mismo.  
  
      Author:  string                      
Valor  string  que    representa  el  nombre  del  autor  de  la  imagen.  
  
ElaborationDate:  string    
Valor  string  que  representa  la  fecha  de  elaboración  de  la  imagen.  
    
      AvailableToPublicAccess:  boolean  =  false  
Permite   que   los   usuarios   tengan   acceso   a   la   imagen.   Para   que   un  
usuario  tenga  acceso,  el  valor  de  esta  propiedad  debe  ser  true.  
    
      Description:  string  
Valor  string  que  se  utiliza  para  proporcionar  una  descripción  general  
de  la  función  que  desempeña  este  elemento.  
  
Restricciones  
  
Notación  
  
Estereotipo  «Stylesheet»  
Descripción  
Representa  a  una  hoja  de  estilo  importada  en  la  BD.  
  
Metaclase  UML  extendida  
Component  
  
Relaciones  
  
Elementos  que  puede  contener  
Este   estereotipo   no   puede   relacionarse   directamente   y   contener   a   ningún  
otro  elemento.  
  
Elementos  que  pueden  contenerlo  
Este   estereotipo   puede   estar   relacionado   y   contenido   en   los   siguientes  
estereotipos:  form,  subform  y  page.  
  
Tesis:  Modelado  Visual  de  Aplicaciones  Domino  
Anexo:  Perfil  para  aplicaciones  Lotus  Notes  
166  
Valores  Etiquetados  
  
Name:  string  
Valor  string  que  representa  el  nombre  de  la  hoja  de  estilo  importada  a  
la  BD.  
        
      Author:  string                      
Valor  string  que    representa  el  nombre  del  autor  de  la  hoja  de  estilo.  
    
ElaborationDate:  string    
Valor   string   que   representa   la   fecha   de   elaboración   de   la   hoja   de  
estilo.  
    
      AvailableToPublicAccess:  boolean  =  false  
Permite  que  los  usuarios  tengan  acceso  a  la  hoja  de  estilo.  Para  que  
un  usuario  tenga  acceso,  el  valor  de  esta  propiedad  debe  ser  true.  
    
      Description:  string  
Valor  string  que  se  utiliza  para  proporcionar  una  descripción  general  
de  la  función  que  desempeña  este  elemento.  
  
Restricciones  
  
Notación  
  
Estereotipo  «Applet»  
Descripción  
Representa  a  un  Applet  de  Java  importado  a  la  BD.  
  
Metaclase  UML  extendida  
Component  
  
Relaciones  
  
Elementos  que  puede  contener  
Este   estereotipo   no   puede   relacionarse   directamente   y   contener   a   ningún  
estereotipo.  
  
Elementos  que  pueden  contenerlo  
Este   estereotipo   puede   estar   relacionado   y   contenido   en   los   siguientes  
estereotipos:  form,  page,  subform,  table  y  section.  
  
Valores  Etiquetados  
  
Tesis:  Modelado  Visual  de  Aplicaciones  Domino  
Anexo:  Perfil  para  aplicaciones  Lotus  Notes  
167  
Name:  string  
Valor  string  que  representa  el  nombre  del  Applet  importado  a  la  BD.  
        
      Author:  string                      
Valor  string  que    representa  el  nombre  del  autor  del  Applet.  
    
ElaborationDate:  string                         
Valor  string  que  representa  la  fecha  de  elaboración  del  Applet.  
    
      Description:  string  
Valor  string  que  se  utiliza  para  proporcionar  una  descripción  general  
de  la  función  que  desempeña  este  elemento.  
  
  
Restricciones  
  
Notación  
  
  
Estereotipo  «Outline»  
Descripción  
Representa  a  un  elemento  outline  en  LDD.  Los  outlines  proveen  a  los  usuarios  una  
forma  de  navegar  en  una  aplicación  y  mantener  una  estructura  de  navegación  fija,  
similar  a  un  diagrama  de  jerarquías.  
  
Metaclase  UML  extendida  
Class  
  
Relaciones  
  
Elementos  que  puede  contener  
Este   estereotipo   sólo   puede   relacionarse   directamente   y   contener   al  
estereotipo  outlineEntry.  
  
Elementos  que  pueden  contenerlo  
Este   estereotipo   puede   relacionarse   directamente   y   estar   contenido   en   los  
siguientes  estereotipos:  form,  subform,  table,  section  y  page.  
  
Valores  Etiquetados  
  
Name:  string  
Valor  string  que  representa  el  nombre  del  outline.        
  
      AvailableToPublicAccess:  boolean  =  false  
Tesis:  Modelado  Visual  de  Aplicaciones  Domino  
Anexo:  Perfil  para  aplicaciones  Lotus  Notes  
168  
Permite   que   los   usuarios   tengan   acceso   al   outline.   Para   que   un  
usuario  tenga  acceso,  el  valor  de  esta  propiedad  debe  ser  true.  
    
      Description:  string  
Valor  string  que  se  utiliza  para  proporcionar  una  descripción  general  
de  la  función  que  desempeña  este  elemento.  
  
Restricciones  
•     Un  outline  no  puede  estar  contenido  en  un    table  o  section  al  menos  que  
estos  estén  contenidos  en  un  form,  subform  o  page.  
  
Notación  
  
Estereotipo  «OutlineEntry»  
Descripción  
Representa a una entrada en un outline. Estas entradas constituyen una pieza en la estructura
de navegación del mismo. Un outlineEntry puede ser una acción o categoría que organiza
otras entradas con nivel más profundo en el outline.
  
Metaclase  UML  extendida  
Class  
  
Relaciones  
  
Elementos  que  puede  contener  
Este   estereotipo   no   puede   relacionarse   directamente   y   contener   a   ningún  
otro  elemento.  
  
Elementos  que  pueden  contenerlo  
Este  estereotipo  sólo  puede  estar  relacionado  y  contenido  en  el  estereotipo  
outline.  
  
Valores  Etiquetados  
  
Name:  string  
Valor  string  que  representa  el  nombre  del  outlineEntry.  
        
Frame:  string    
              
  
Type:  typeOptions  =  URL  
Valor   string   que   representa   el   tipo   de   contenido   que   desplegará   el  
outlineEntry.  Existen  cuatro  tipos  de  contenidos  que  pueden  elegirse:  
  
Tesis:  Modelado  Visual  de  Aplicaciones  Domino  
Anexo:  Perfil  para  aplicaciones  Lotus  Notes  
169  
Action  
Opción   que   se   utiliza   para   especificar   una   acción   que   provea  
una    tarea  automatizada.  
  
URL  
Opción  que  se  utiliza  para  especificar  que  el  outlineEntry  abrirá  
una   página   Web   especificando   una   URL   completa   en   la  
propiedad  value  del  tipo  http://www.paginaweb.com.  
  
NamedElement  
Opción  que  se  utiliza  para  especificar  que  el  outlineEntry  abrirá  
el  elemento  especificado  en  la  propiedad  value.  Los  elementos  
que   soporta   esta   propiedad   son:   page,   frameset,   view,   form,  
folder  y  navigator.  
  
Link  
Opción  que  se  utiliza  para  especificar  que  el  outlineEntry  abrirá  
un   documento   o   elemento   view   especificado   en   la   propiedad  
value.  
  
      Frame:  string    
  
Value:  string  
Valor   string   que   se   utiliza   para   especificar   la   liga   hacia   el   tipo   de  
contenido   que   el   outlineEntry   desplegará.   Esta   liga   puede   ser   una  
dirección  URL,  el  nombre  de  algún  elemento  soportado  por  la  opción  
NamedElement  de  la  propiedad  Typeo  una  fórmula  que  lanzará  otro  
contenido,  dirección  o  elemento  de  LDD.  
  
HideParagraphFrom:  HideOptions  
Propiedad   que   determina   para   cuales   clientes   se   encontrará   oculto  
este   elemento.   Los   clientes   de   los   cuales   puede   ocultarse   este  
elemento  son:  
  
NotesR4.6orLater:  boolean=  false  
Valor   booleano   que   indica   que   este   elemento   se   ocultará   al  
utilizar  un  cliente  Notes  versión  4.6  o  superior.  
  
WebBrowser:  boolean=  false  
Valor   booleano   que   indica   que   este   elemento   se   ocultará   al  
utilizar  un  cliente  del  tipo  navegador  Web.  
  
Mobile:  boolean=  false  
Valor   booleano   que   indica   que   este   elemento   se   ocultará   al  
utilizar  un  cliente  móvil.  
  
Tesis:  Modelado  Visual  de  Aplicaciones  Domino  
Anexo:  Perfil  para  aplicaciones  Lotus  Notes  
170  
HideParagraphWhenDocumentIs:  WhenDocumentIsOptions  
Propiedad  que  determina  las  circunstancias  en  las  que  debe  ocultarse  
este  elemento.  Las  circunstancias  posibles  son:  
  
PreviewedForReading:  boolean  =  false  
Valor   booleano   que   determina   que   la   información   de   este  
elemento   no   sea   visible   cuando   un   usuario   lea   un   documento  
en  el  panel  visualizador  de  documentos.  
  
OpenedForReading:  boolean  =  false  
Valor   booleano   que   determina   si   la   información   de   este  
elemento  estará  visible  cuando  un  usuario  abre  un  documento  
en  modo  lectura.  
  
Printed:  boolean  =  false  
Valor  booleano  que  determina  si  la  información  oculta  de  este  
elemento  estará  visible  en  documentos  impresos.  
  
Embedded:  boolean  =  false  
Valor   booleano   que   determina   si   el   elemento   estará   visible  
cuando  los  usuarios  acceden  a  un  documento  en  el  cual  se  ha  
utilizado  el  editor  embebido  para  embeber  el  elemento.  
  
PreviewedForEditing:  boolean  =  false  
Valor   booleano   que   determina   si   la   información   de   este  
elemento   estará   visible   cuando   un   usuario   trabaja   con   un  
documento  en  modo  edición  en  el  panel  de  pre  visualización.  
  
OpenedForEditing:  boolean  =  false  
Valor   booleano   que   determina   si   la   información   estará   visible  
cuando   los   usuarios   trabajen   sobre   documentos   en   modo  
edición.  
  
CopiedToTheClipboard:  boolean  =  false  
Valor    booleano  que  determina  si  se  debe  ocultar  el  contenido  
de  este  elemento  cuando  un  usuario  copia  un  documento.  
  
HideParagraphIfFormulaIsTrue:  boolean  =  false  
Valor  booleano  que  indica  si  una  formula  indicará  las  circunstancias  en  
las  cuales  la  información  se  ocultará.  
  
Formula:  string  
Valor   de   tipo   string   que   permite   especificar   una   fórmula   para   este  
elemento.  
    
      Description:  string  
Tesis:  Modelado  Visual  de  Aplicaciones  Domino  
Anexo:  Perfil  para  aplicaciones  Lotus  Notes  
171  
Valor  string  que  se  utiliza  para  proporcionar  una  descripción  general  
de  la  función  que  desempeña  este  elemento.  
  
Restricciones  
•   La  propiedad  value  no  se  encuentra  disponible  cuando  se  elige  el  valor  
Link  de  la  propiedad  Type.  
•   La   propiedad   Frame   no   se   encuentran   disponibles   cuando   se   elige   el  
valor  Action  de  la  propiedad  Type.  
•   Cuando   el   valor   de   la   propiedad   HideParagraphFrom   es  
NotesR4.6orLatersólo  pueden  utilizarse  las  opciones  OpenedForReading  
y  OpenedForEditing  de  la  propiedad  HideWhenDocumentIs.  
  
Notación  
  
Estereotipo  «Hotspot»  
Descripción  
Representa   a   un   elemento   hotspot   en   LDD.   Es   un   área   programada   donde   se  
puede  ejecutar  una  acción  a  través  de  un  simple  clic.  Para  automatizar  un  hotspot  
se  necesita  programarle  una  acción.  
  
Metaclase  UML  extendida  
Class  
  
Relaciones  
  
Elementos  que  puede  contener  
Este   estereotipo   no   puede   relacionarse   directamente   y   contener   a   ningún  
otro  elemento.  
  
Elementos  que  pueden  contenerlo  
Este   estereotipo   puede   estar   relacionado   y   contenido   en   los   siguientes  
estereotipos:  form,  subform,  page,  table,  section  y  navigator.  
  
Valores  Etiquetados  
  
Name:  string  
Valor  string  que  representa  el  nombre  del  hotspot  y  al  mismo  tiempo  la  
cadena  de  caracteres  que  representa  a  este  elemento  en  el  diseño  de  
una  aplicación.  
  
HotspotType:  hotspotType  
Propiedad   que   permite   especificar   el   tipo   de   hotspot   al   cual  
representará   este   estereotipo.   Existen   cinco   tipos   de   hotspot   que  
pueden  elegirse:  
Tesis:  Modelado  Visual  de  Aplicaciones  Domino  
Anexo:  Perfil  para  aplicaciones  Lotus  Notes  
172  
  
Link    
Opción  que  se  utiliza  para  especificar  que  el  tipo  de  hotspot  es  
LinkHotspot.   Este   tipo   de   opción   permite   crear   una   liga   a   un  
documento,  view,  DB,  URL  u  otros.  
           
Action  
Opción  que  se  utiliza  para  especificar  que  el  tipo  de  hotspot  es  
ActionHotspot.   Este   tipo   de   opción   permite   crear   una   acción  
programada  utilizando  alguno  de  los  lenguajes  soportados  por  
LDD.  
         Rectangle  
Opción  que  se  utiliza  para  especificar  que  el  tipo  de  hotspot  es  
RectangleHotspot.   Este   tipo   de   opción   permite   crear   un   área  
rectangular   programada   y   seleccionable   que   permite   ejecutar  
una  acción  o  invocar  a  un  elemento  de  la  BD.  
  
         Polygon  
Opción  que  se  utiliza  para  especificar  que  el  tipo  de  hotspot  es  
Polygon   Hotspot.   Este   tipo   de   opción   permite   crear   un   área  
poligonal  programada  y  seleccionable  que  permite  ejecutar  una  
acción  o  invocar  a  un  elemento  de  la  BD.  
  
         Circle  
Opción  que  se  utiliza  para  especificar  que  el  tipo  de  hotspot  es  
Circle   Hotspot.   Este   tipo   de   opción   permite   crear   un   área  
circular   programada   y   seleccionable   que   permite   ejecutar   una  
acción  o  invocar  a  un  elemento  de  la  BD.  
  
Type:  typeOptions  =  URL  
Valor   string   que   representa   el   tipo   de   contenido   que   desplegará   el  
hotspot.  Existen  cuatro  tipos  de  contenidos  que  pueden  elegirse:  
  
URL  
Opción  que  se  utiliza  para  especificar  que  el  hotspot  abrirá  una  
página  Web  especificando  una  URL  completa  en  la  propiedad  
value  del  tipo  http://www.paginaweb.com.  
  
NamedElement  
Opción  que  se  utiliza  para  especificar  que  el  hotspot  abrirá  el  
elemento   especificado   en   la   propiedad   value.   Los   elementos  
que   soporta   esta   propiedad   son:   page,   frameset,   view,   form,  
folder  y  navigator.  
  
Link  
Tesis:  Modelado  Visual  de  Aplicaciones  Domino  
Anexo:  Perfil  para  aplicaciones  Lotus  Notes  
173  
Opción  que  se  utiliza  para  especificar  que  el  hotspot  abrirá  un  
documento  o  elemento  view  especificado  en  la  propiedad  value.  
        
Frame:  string                         
  
Los  HTML  Tags  son  propiedades  que  permiten  manejar  este  elemento  con  
Javascript  en  el  Web.  
  
HTMLTag_Id:  string    
     Propiedad  que  representa  el  elementoID  en  los  tags  de  HTML.     
    
      HTMLTag_Class:  string                    
   Propiedad  que  representa  el  elemento  Class  en  los  tags  de  HTML.    
  
      HTMLTag_Style:  string                       
     Propiedad  que  representa  el  elemento  Style  en  los  tags  de  HTML.     
    
      HTMLTag_Title:  string                       
   Propiedad  que  representa  el  elemento  Title  en  los  tags  de  HTML.     
    
      HTMLTag_Other:  string                       
Propiedad  que  permite  representar  otros  elementos  para  los  tags  de  
HTML.  Por  ejemplo:  align,  border,  height,  entre  otros.  
  
Click:  ClickOptions  
Evento  que  permite  especificar  el  tipo  de  acción  que  se  ejecutará  al  
momento   de   hacer   clic   sobre   el   tipo   de   hotspot   seleccionado.   Las  
acciones  que  se  pueden  ejecutar  son  de  tres  tipos:  
  
Fórmula  
Opción   que   permite   especificar   una   fórmula   en   la   propiedad  
value   que   se   ejecutará   al   momento   de   hacer   clic   sobre   el  
hotspot.  
  
SimpleAction  
Opción   que   permite   especificar   el   elemento   de   LDD   que   se  
lanzará  al  momento  de  hacer  clic  sobre  el  hotspot.  Los  posibles  
elementos  que  se  pueden  lanzar  son:  view,  navigator,  folder,link  
o  URL.  
  
  LotusScript  
Opción  que  permite  especificar  una  acción  escrita  en  lenguaje  
LotusScript,  la  cual  se  ejecutará  al  momento  de  hacer  clic  sobre  
el  hotspot.  
     
Value:  string  
Tesis:  Modelado  Visual  de  Aplicaciones  Domino  
Anexo:  Perfil  para  aplicaciones  Lotus  Notes  
174  
       
Valor   string   que   se   utiliza   para   especificar   la   liga   hacia   el   tipo   de  
contenido  que  el  hotspot  desplegara.  Esta  liga  puede  ser  una  dirección  
URL   o   el   nombre   de   algún   elemento   soportado.   Por   ejemplo,   el  
nombre  de  un  form,  page  o  cualquiera  de  los  estereotipos  que  puede  
contener   o   relacionarse.   Esta   propiedad   también   se   utiliza   para  
especificar  la  formula  que  se  ejecutará  al  momento  de  hacer  clic  en  el  
hotspot  siempre  y  cuando  se  haya  seleccionado  la  opción  formula  de  
la  propiedad  click.  En  este  valor  también  se  introduce  el  nombre  del  
elemento  que  se  lanzará  si  la  opción  simpleaction  se  ha  seleccionado  
de  la  propiedad  click.  
  
      Description:  string  
Valor  string  que  se  utiliza  para  proporcionar  una  descripción  general  
de  la  función  que  desempeña  este  elemento.  
  
Restricciones  
•   Un  hotspot  no  puede  estar  contenido  en  un    table  o  section  al  menos  que  
estos  estén  contenidos  en  un  form,  subform  o  page.  
•   La  opción  action  de  la  propiedad  Type  no  está  disponible  para  un  hotspot.  
•   Las   opciones   rectangle,   polygon   y   circle   de   la   propiedad   hotspotType   sólo  
están   disponibles   si   el   elemento   hotspot   está   contenido   en   un   elemento  
navigator.  
•   La  propiedad  Type  no  está  disponible  para  los  tipos  de  de  hotspot:  rectangle,  
circle  y  polygon.  
•   La   propiedad   value   sólo   está   disponible   para   la   propiedad   click   con   los  
valores  formula  y  simpleaction.  
•   Las  propiedades  HTMLTags,  Type  y  Frame  sólo  están  disponibles  para  los  
tipos  de  hotspot:action  y  link.  
•   La  propiedad  click  sólo  está  disponible  para  los  tipos  de  hotspot:  rectangle,  
circle  y  polygon.  
  
Notación  
  
Estereotipo  «ComputerText»  
Descripción  
Representa  a  un  elemento  Computer  Text  en  LDD.  Un  computer  text  es  un  campo  
donde  su  valor  se  determina  a  través  de  una  fórmula  que  el  desarrollador  programa.  
Los   campos   calculados   pueden   ser   simples,   compuestos   o   para   desplegar  
información.   Un   campo   simple   se   calcula   cada   vez   que   un   documento   se   crea,  
actualiza   o   guarda   información.   Un   campo   compuesto   se   calcula   sólo   cuando   un  
documento   se   crea   por   primera   vez.   Un   campo   para   desplegar   información   se  
calcula  cada  vez  que  un  documento  se  abre  o  guarda.  
  
Tesis:  Modelado  Visual  de  Aplicaciones  Domino  
Anexo:  Perfil  para  aplicaciones  Lotus  Notes  
175  
Metaclase  UML  extendida  
Class  
  
Relaciones  
  
Elementos  que  puede  contener  
Este   estereotipo   no   puede   relacionarse   directamente   y   contener   a   ningún  
otro  elemento.  
  
Elementos  que  pueden  contenerlo  
Este   estereotipo   puede   estar   relacionado   y   contenido   en   los   siguientes  
estereotipos:  form,  subform,  page,  tabley  section.  
  
Valores  Etiquetados  
  
Value:  string  
Valor  string  que  representa  
  
HideParagraphFrom:  HideOptions  
Propiedad   que   determina   para   cuales   clientes   se   encontrará   oculto  
este   elemento.   Los   clientes   de   los   cuales   puede   ocultarse   este  
elemento  son:  
  
NotesR4.6orLater:  boolean=  false  
Valor   booleano   que   indica   que   este   elemento   se   ocultará   al  
utilizar  un  cliente  Notes  versión  4.6  o  superior.  
  
WebBrowser:  boolean=  false  
Valor   booleano   que   indica   que   este   elemento   se   ocultará   al  
utilizar  un  cliente  del  tipo  navegador  Web.  
  
Mobile:  boolean=  false  
Valor   booleano   que   indica   que   este   elemento   se   ocultará   al  
utilizar  un  cliente  móvil.  
  
HideParagraphWhenDocumentIs:  WhenDocumentIsOptions  
Propiedad  que  determina  las  circunstancias  en  las  que  debe  ocultarse  
este  elemento.  Las  circunstancias  posibles  son:  
  
PreviewedForReading:  boolean  =  false  
Valor   booleano   que   determina   que   la   información   de   este  
elemento   no   sea   visible   cuando   un   usuario   lea   un   documento  
en  el  panel  visualizador  de  documentos.  
  
OpenedForReading:  boolean  =  false  
Tesis:  Modelado  Visual  de  Aplicaciones  Domino  
Anexo:  Perfil  para  aplicaciones  Lotus  Notes  
176  
Valor   booleano   que   determina   si   la   información   de   este  
elemento  estará  visible  cuando  un  usuario  abre  un  documento  
en  modo  lectura.  
  
Printed:  boolean  =  false  
Valor  booleano  que  determina  si  la  información  oculta  de  este  
elemento  estará  visible  en  documentos  impresos.  
  
Embedded:  Boolean  =  false  
Valor   booleano   que   determina   si   el   elemento   estará   visible  
cuando  los  usuarios  acceden  a  un  documento  en  el  cual  se  ha  
utilizado  el  editor  embebido  para  embeber  el  elemento.  
  
PreviewedForEditing:  boolean  =  false  
Valor   booleano   que   determina   si   la   información   de   este  
elemento   estará   visible   cuando   un   usuario   trabaja   con   un  
documento  en  modo  edición  en  el  panel  de  pre  visualización.  
  
OpenedForEditing:  boolean  =  false  
Valor   booleano   que   determina   si   la   información   estará   visible  
cuando   los   usuarios   trabajen   sobre   documentos   en   modo  
edición.  
  
CopiedToTheClipboard:  boolean  =  false  
Valor    booleano  que  determina  si  se  debe  ocultar  el  contenido  
de  este  elemento  cuando  un  usuario  copia  un  documento.  
  
HideIfFormulaIsTrue:  boolean  =  false  
Valor  booleano  que  indica  si  una  formula  indicará  las  circunstancias  en  
las  cuales  la  información  se  ocultará.  
  
Formula:  string  
Valor   de   tipo   string   que   permite   especificar   una   fórmula   para   este  
elemento.  
  
Los  HTML  Tags  son  propiedades  que  permiten  manejar  este  elemento  con  
Javascript  en  el  Web.  
  
HTMLTag_Id:  string    
  Propiedad  que  representa  el  elementoID  en  los  tags  de  HTML.     
    
      HTMLTag_Class:  string                    
  Propiedad  que  representa  el  elemento  Class  en  los  tags  de  HTML.    
  
      HTMLTag_Style:  string                       
  Propiedad  que  representa  el  elemento  Style  en  los  tags  de  HTML.     
Tesis:  Modelado  Visual  de  Aplicaciones  Domino  
Anexo:  Perfil  para  aplicaciones  Lotus  Notes  
177  
    
      HTMLTag_Title:  string                       
  Propiedad  que  representa  el  elemento  Title  en  los  tags  de  HTML.     
    
      HTMLTag_Other:  string                       
Propiedad  que  permite  representar  otros  elementos  para  los  tags  de  
HTML.  Por  ejemplo:  align,  border,  height,  entre  otros.  
  
      Description:  string  
Valor  string  que  se  utiliza  para  proporcionar  una  descripción  general  
de  la  función  que  desempeña  este  elemento.  
  
Restricciones  
•   Cuando   el   valor   de   la   propiedad   HideParagraphFrom   es  
NotesR4.6orLatersólo   pueden   utilizarse   las   opciones   OpenedForReading   y  
OpenedForEditing  de  la  propiedad  HideWhenDocumentIs.  
•   Un  computertext  no  puede  estar  contenido  en  un    table  o  section  al  menos  
que  estos  estén  contenidos  en  un  form,  subform  o  page.  
  
Notación  
  
Estereotipo  «Navigator»  
Descripción  
Representa  a  un  navigator  en  LDD.  Un  navigator  es  una  interfaz  gráfica  que  permite  
a   los   usuarios   acceder   a   views,   datos   de   la   BD   de   Domino   u   otras   aplicaciones.  
Este  elemento  puede  incluir  botones  gráficos  o  hotspots.  
  
Metaclase  UML  extendida  
Class  
  
Relaciones  
  
Elementos  que  puede  contener  
Este   estereotipo   puede   relacionarse   directamente   y   contener   sólo   al  
estereotipo  hotspot.  
  
Elementos  que  pueden  contenerlo  
Este   estereotipo   puede   estar   relacionado   y   contenido   en   los   siguientes  
estereotipos:  form,  subform,  page,  frame,  tabley  section.  
  
Valores  Etiquetados  
  
Name:  string  
Valor  string  que  representa  el  nombre  del  navigator.  
Tesis:  Modelado  Visual  de  Aplicaciones  Domino  
Anexo:  Perfil  para  aplicaciones  Lotus  Notes  
178  
  
      Description:  string  
Valor  string  que  se  utiliza  para  proporcionar  una  descripción  general  
de  la  función  que  desempeña  este  elemento.  
  
Restricciones  
•   Un  navigator  no  puede  estar  contenido  en  un    table  o  section  al  menos  que  
estos  estén  contenidos  en  un  form,  subform  o  page.  
•   Un  navigator  sólo  puede  contener  a  hotspots  del  tipo:  rectangle,  polygon  y  
circle.  
  
Notación  
  
Estereotipo  «Button»  
Descripción  
Representa  a  un  button,  el  cual  es  un  tipo  de  hotspot  en  LDD.  Este  elemento  se  
utiliza  para  llevar  a  cabo  una  acción  o  fórmula,  código  LotusScript  o  JavaScript.Los  
hotspots   tipo   botón   y   acción   realizan   lo   mismo.   La   diferencia   radica   en   que   el  
hotspot   tipo   botón   aparecer   como   botón   y   el   de   tipo   acción   aparece   como   texto  
resaltado.  
  
Metaclase  UML  extendida  
Class  
  
Relaciones  
  
Elementos  que  puede  contener  
Este   estereotipo   no   puede   relacionarse   directamente   y   contener   a   ningún  
otro  estereotipo.  
  
Elementos  que  pueden  contenerlo  
Este   estereotipo   puede   estar   relacionado   y   contenido   en   los   siguientes  
estereotipos:  form,  subform,  page,  tabley  section.  
  
Valores  Etiquetados  
  
Name:  string  
Valor  string  que  representa  el  nombre  y  la  etiqueta  del  button.  
  
HideParagraphFrom:  HideOptions  
Propiedad   que   determina   para   cuales   clientes   se   encontrará   oculto  
este   elemento.   Los   clientes   de   los   cuales   puede   ocultarse   este  
elemento  son:  
  
Tesis:  Modelado  Visual  de  Aplicaciones  Domino  
Anexo:  Perfil  para  aplicaciones  Lotus  Notes  
179  
NotesR4.6orLater:  boolean=  false  
Valor   booleano   que   indica   que   este   elemento   se   ocultará   al  
utilizar  un  cliente  Notes  versión  4.6  o  superior.  
  
WebBrowser:  boolean=  false  
Valor   booleano   que   indica   que   este   elemento   se   ocultará   al  
utilizar  un  cliente  del  tipo  navegador  Web.  
  
Mobile:  boolean=  false  
Valor   booleano   que   indica   que   este   elemento   se   ocultará   al  
utilizar  un  cliente  móvil.  
  
HideParagraphWhenDocumentIs:  WhenDocumentIsOptions  
Propiedad  que  determina  las  circunstancias  en  las  que  debe  ocultarse  
este  elemento.  Las  circunstancias  posibles  son:  
  
PreviewedForReading:  boolean  =  false  
Valor   booleano   que   determina   que   la   información   de   este  
elemento   no   sea   visible   cuando   un   usuario   lea   un   documento  
en  el  panel  visualizador  de  documentos.  
  
OpenedForReading:  boolean  =  false  
Valor   booleano   que   determina   si   la   información   de   este  
elemento  estará  visible  cuando  un  usuario  abre  un  documento  
en  modo  lectura.  
  
Printed:  boolean  =  false  
Valor  booleano  que  determina  si  la  información  oculta  de  este  
elemento  estará  visible  en  documentos  impresos.  
  
Embedded:  Boolean  =  false  
Valor   booleano   que   determina   si   el   elemento   estará   visible  
cuando  los  usuarios  acceden  a  un  documento  en  el  cual  se  ha  
utilizado  el  editor  embebido  para  embeber  el  elemento.  
  
PreviewedForEditing:  boolean  =  false  
Valor   booleano   que   determina   si   la   información   de   este  
elemento   estará   visible   cuando   un   usuario   trabaja   con   un  
documento  en  modo  edición  en  el  panel  de  previsualización.  
  
OpenedForEditing:  boolean  =  false  
Valor   booleano   que   determina   si   la   información   estará   visible  
cuando   los   usuarios   trabajen   sobre   documentos   en   modo  
edición.  
  
CopiedToTheClipboard:  boolean  =  false  
Tesis:  Modelado  Visual  de  Aplicaciones  Domino  
Anexo:  Perfil  para  aplicaciones  Lotus  Notes  
180  
Valor    booleano  que  determina  si  se  debe  ocultar  el  contenido  
de  este  elemento  cuando  un  usuario  copia  un  documento.  
  
HideIfFormulaIsTrue:  boolean  =  false  
Valor  booleano  que  indica  si  una  formula  indicará  las  circunstancias  en  
las  cuales  la  información  se  ocultará.  
  
Formula:  string  
Valor   de   tipo   string   que   permite   especificar   una   fórmula   para   este  
elemento.  
  
Los  HTML  Tags  son  propiedades  que  permiten  manejar  este  elemento  con  
Javascript  en  el  Web.  
  
HTMLTag_Id:  string    
  Propiedad  que  representa  el  elementoID  en  los  tags  de  HTML.     
    
      HTMLTag_Class:  string                    
  Propiedad  que  representa  el  elemento  Class  en  los  tags  de  HTML.    
  
      HTMLTag_Style:  string                       
  Propiedad  que  representa  el  elemento  Style  en  los  tags  de  HTML.     
    
      HTMLTag_Title:  string                       
  Propiedad  que  representa  el  elemento  Title  en  los  tags  de  HTML.     
    
      HTMLTag_Other:  string                       
Propiedad  que  permite  representar  otros  elementos  para  los  tags  de  
HTML.  Por  ejemplo:  align,  border,  height,  entre  otros.  
  
      Description:  string  
Valor  string  que  se  utiliza  para  proporcionar  una  descripción  general  
de  la  función  que  desempeña  este  elemento.  
  
      OnclickLanguage:  LanguageType  
Propiedad  que  permite  especificar  el  tipo  de  lenguaje  para  codificar  el  
evento  que  se  lanzará  al  momento  de  hacer  clic  sobre  el  botón.  Los  
lenguajes  soportados  son  JavaScript  y  CommonJavaScript.  
        
      OnClick  
Método   que   se   ejecuta   al   momento   de   hacer   clic   sobre   el   elemento  
button.  
  
      OnMouseOver  
Método  que  se  ejecuta  al  momento  de  pasar  el  puntero  del  ratón  sobre  
el  elemento  button.  
Tesis:  Modelado  Visual  de  Aplicaciones  Domino  
Anexo:  Perfil  para  aplicaciones  Lotus  Notes  
181  
  
OnkeyDown  
Método   que   ejecuta   el   código   del   elemento   button   al   momento   de  
presionar  una  tecla  que  se  ha  programado  para  ejecutar  el  código.  
  
OnMouseDown  
Método   que   se   ejecuta   al   momento   de   presionar   el   botón   del   ratón  
sobre  el  elemento  button.  
  
Restricciones  
•   Un   button   no   puede   estar   contenido   en   un      table   o   section   al   menos   que  
estos  estén  contenidos  en  un  form,  subform  o  page.  
•   Cuando   el   valor   de   la   propiedad   HideParagraphFrom   es  
NotesR4.6orLatersólo   pueden   utilizarse   las   opciones   OpenedForReading   y  
OpenedForEditing  de  la  propiedad  HideWhenDocumentIs.  
  
Notación  
  
Estereotipo  «Agent»  
Descripción  
Representa   a   un   elemento   Agenten   LDD.   Estos   elementos   permiten   automatizar  
tareas  en  Domino.  Son  programas  independientes  que  realizan  una  tarea  específica  en  
una  BD.  
  
Metaclase  UML  extendida  
Class  
  
Relaciones  
  
Elementos  que  puede  contener  
Este   estereotipo   no   puede   relacionarse   directamente   y   contener   a   ningún  
otro  estereotipo.  
  
Elementos  que  pueden  contenerlo  
Este   estereotipo   puede   estar   relacionado   y   contenido   en   los   siguientes  
estereotipos:  database,form,  subform,  action,  y  page.  
  
Valores  Etiquetados  
  
Name:  string  
Valor  string  que  representa  el  nombre  del  agent.  
  
      Type:  AgentType=  shared  
Tesis:  Modelado  Visual  de  Aplicaciones  Domino  
Anexo:  Perfil  para  aplicaciones  Lotus  Notes  
182  
Propiedad  que  se  utilizara  para  especificar  el  tipo  de  agente.  Los  tipos  
posibles  son:  
  
Private  
Opción  que  permite  especificar  que  el  agente  será  privado  y  no  
podrá  ser  utilizado  por  otros  usuarios.  
  
Shared  
Opción  que  permite  especificar  que  el  agente  será  compartido  y  
utilizado  por  varios  usuarios.  
        
RunAsWebUser:  boolean  =  false  
Valor  booleano  que  permite  al  agente  correr  con  el  nombre  de  usuario  
que  utiliza  el  usuario  Web.  
  
RunOfBehalftUser:  string    
Valor  string  que  permite  especificar  los  usuarios  sobre  los  cuales  este  
agente  podrá  ejecutarse.  
  
SetRuntimeSecurity:securityLevel  =  DoNotAllowRestrictedOperations(RO)  
Propiedad   que   permite   especificar   el   nivel   de   seguridad   del   agente.  
Las  opciones  posibles  son:  
  
DoNotAllowRestrictedOperations(RO)  
Opción  que  permite  que  el  agente  no  lleve  a  cabo  operaciones  
restringidas.    
  
         AllowRestrictedOperations
Opción   que   permite   que   el   agente   lleve   a   cabo   operaciones  
restringidas.    
           
         AllowROWithFullAdministrationRigths  
Opción   que   permite   al   agente   llevar   a   cabo   operaciones  
restringidas   y   realizarlas   con   todos   los   derechos   de  
administración.  
  
      DefaultAccessForAllReaders:  boolean  =  true  
Valor   booleano   que   permite   especificar   en   la   propiedad   users   a   los  
usuarios   que   tendrán   acceso   al   agente.   Un   valor   true      permite   el  
acceso   a   todos   los   usuarios,   un   valor   false   permite   el   acceso  
solamente  a  los  usuarios  especificados  en  la  propiedad  users.  
  
      Users:  string  
Valor  string  que  permite  especificar  los  usuarios  que  tendrán  acceso  al  
agente.          
  
Tesis:  Modelado  Visual  de  Aplicaciones  Domino  
Anexo:  Perfil  para  aplicaciones  Lotus  Notes  
183  
AllowUserToViewAndRunThisAgent:  boolean  =  false  
Valor  booleano  que  permite  a  los  usuarios  que  tienen  acceso  público  a  
los  documentos  de  la  BD  ejecutar  el  agente.  
  
      TriggerOnEvent:  boolean  =  true  
Valor  booleano  que  permite  especificar  que  el  agente  se  lanzará  una  
vez  que  ocurra  el  evento  seleccionado  en  la  propiedad  OnEventType.  
  
      TriggerOnSchedule:  boolean  =  false  
Valor   booleano   que   permite   especificar   que   el   agente   se   lanzará   en  
una  fecha  y  horario  señalado  en  las  propiedad  OnScheduleType.  
  
      Target:  TargetOptions  =  AllNew&ModifiedDocuements  
Propiedad  que  permite  especificar  el  tipo  sobre  el  cual  se  ejecutará  el  
agente.  Los  tipos  de  documentos  son:  
  
         AllNew&ModifiedDocuments  
Opción   que   permite   especificar   que   el   agente   se   ejecutará  
solamente   sobre   todos   los   documentos   nuevos   y   modificados  
de  la  BD.  
  
         AllDocumentInDatabase  
Opción   que   permite   especificar   que   el   agente   se   ejecutará  
sobre  todos  los  documentos  de  la  BD.  
           
         AllUnreadDocumentsInView    
Opción   que   permite   especificar   que   el   agente   se   ejecutará  
solamente  sobre  todos  los  documentos  sin  leer  de  un  view.  
           
         AllDocumentInView    
Opción   que   permite   especificar   que   el   agente   se   ejecutará  
sobre  todos  los  documentos  de  un  view.  
  
         AllSelectedDocument  
  
         None  
           
OnEventType:  OnEventTypeOptions  =  ActionMenuSelection  
Propiedad   que   permite   especificar   que   el   agente   se   iniciará   cuando  
ocurra  cierto  evento.  Los  eventos  posibles  son:  
  
ActionMenuSelection  
    
  
AgentListSelection     
  
Tesis:  Modelado  Visual  de  Aplicaciones  Domino  
Anexo:  Perfil  para  aplicaciones  Lotus  Notes  
184  
  
BeforeNewMailArrives  
Opción  que  permite  al  agente  ejecutarse  antes  de  que  el  correo  
se  deposite  en  la  BD.  
  
AfterNewMailHasArrived  
Opción   que   permite   al   agente   ejecutarse   después   de   que   el  
correo  se  deposite  en  la  BD.  
  
AfterDocumentAreCreatedOrModified  
Opción   que   permite   al   agente   ejecutarse   después   de   que   un  
documento  es  creado  o  modificado  en  la  BD.  
  
WhenDocumentArePasted  
Opción  que  permite  al  agente  ejecutarse  cuando  un  documento  
se  ha  pegado  en  la  BD.  
  
OnScheduleType:  OnScheduleTypeOptios  =  MoreThanOnceADay    
Propiedad   que   permite   especificar   que   el   agente   se   iniciará   en   una  
fecha   y   horario   determinado.   Esta   propiedad   está   ligada   a   las  
propiedades:  RunAgentEvery,  StopRunningAgentOnThisDate,  AllDay,  
OnDay,   AtTime,   StartRunningAgentOnThisDate,   BetweenTimes,   y  
StartRunningAgentAt.Las   opciones   disponibles   para   esta   propiedad  
son:  
  
         MoreThanOnceADay  
Opción  que  permite  especificar  que  el  agente  se  ejecutará  más  
de   una   vez   al   día.   Esta   opción   se   encuentra   ligada   con   las  
propiedades  RunAgentEvery,  BetweenTimes  y  AllDay.  
           
Daily  
Opción   que   permite   especificar   que   el   agente   se   ejecutará  
diariamente.   Esta   opción   se   encuentra   ligada   a   la   propiedad  
StartRunningAgentAt.  
  
         Weekly  
Opción   que   permite   especificar   que   el   agente   se   ejecutará  
semanalmente.   Esta   opción   se   encuentra   ligada   a   las  
propiedades  AtTime  y  OnDay.  
  
         Montly  
Opción   que   permite   especificar   que   el   agente   se   ejecutará  
mensualmente.   Esta   opción   se   encuentra   ligada   a   las  
propiedades  AtTime  y  OnDay.  
  
Never  
Tesis:  Modelado  Visual  de  Aplicaciones  Domino  
Anexo:  Perfil  para  aplicaciones  Lotus  Notes  
185  
Opción   que   permite   especificar   que   el   agente   no   tendrá   un  
horario  y  fecha  determinada  para  ejecutarse.  
  
         Nota:  ver  las  restricciones  de  uso  de  cada  una  de  estas  propiedades.  
        
      RunAgentEvery:  string  
Valor  string  utilizado  para  especificar  el  intervalo  de  tiempo  en  el  cual  
se  ejecutará  el  agente.  Por  ejemplo:  “cada  hora”,  “cada  media  hora”,  
entre  otros.  
  
      BetweenTimes:  string  
Valor  string  utilizado  para  especificar  los  tiempos  entre  los  cuales  se  
ejecutará  el  agente.  Por  ejemplo:  “entre  12:00  y  12:30”,  “entre  10:00  y  
10:25”,  entre  otros.  
  
      AllDay:  boolean  =  true  
Valor   booleano   utilizado   para   especificar   si   el   agente   se   lanzará  
diariamente.  
     
      OnDay:  string  
Valor  stringutilizado  para  especificar  el  día  de  la  semana  en  el  que  el  
agente  se  lanzará.  
  
      StartRunningAgentAtTime:  string  
Valor   string   utilizado   para   especificar   la   hora   de   lanzamiento   del  
agente  en  la  fecha  especificada.  
        
      StartRunningAgentOnThisDate:  string  
Valor   string   utilizado   para   restringir   la   fecha   en   la   que   el   agente   se  
lanzará.  
  
      StopRunningAgentOnThisDate:  string  
Valor   stringutilizado   para   restringir   la   fecha   en   la   que   el   agente   se  
detendrá.  
  
      DontRunAgentOnWeekends:  boolean  =  false  
Valor  booleano  utilizado  para  especificar  si  el  agente  tendrá  permitido  
ejecutarse  los  fines  de  semana.  
        
      RunOn:  string  
Valor  string  utilizado  para  especificar  el  nombre  del  servidor  donde  el  
agente  se  ejecutará.  
  
      ChooseServerWhenAgentIsEnable:  boolean   =  false    
Tesis:  Modelado  Visual  de  Aplicaciones  Domino  
Anexo:  Perfil  para  aplicaciones  Lotus  Notes  
186  
Valor   booleano   utilizado   para   especificar   que   los   usuarios   sean  
avisados  de  que  un  agente  está  habilitado  y  necesita  especificársele  
un  servidor  de  ejecución.  
  
Description:  string  
Valor  string  que  se  utiliza  para  proporcionar  una  descripción  general  
de  la  función  que  desempeña  este  elemento.  
  
Restricciones  
•   Las   propiedades   TriggerOnEvent   y   TriggerOnScheduleno   pueden   tener   un  
valor  true  al  mismo  tiempo,  una  de  ellas  debe  ser  false.  
•   La   propiedad   OnEventType   sólo   puede   utilizarse   cuando   la   propiedad  
TriggerOnEvent  tiene  un  valor  de  true.  
•   La   propiedad   OnScheduleType   sólo   puede   utilizarse   cuando   la   propiedad  
TriggerOnSchedule  tiene  un  valor  de  true.  
•   Las   propiedades   ChooseServerWhenAgentIsEnables,   BetweenTimes,  
AllDay,   StartRunningAgentAtTime,   OnDay,  
StartRunningAgentOnThisDate,RunOn,      StopRunningAgentOnThisDate,  
DontRunAgentOnWeekends  y  RunAgentEvery  sólo  pueden  utilizarse  cuando  
la  propiedad  TriggerOnSchedule  tiene  un  valor  true.  
•   La   propiedad   Target   no   está   disponible   cuando   se   eligen   las   opciones  
BeforeNewMailArrives,   AfterNewMailHasArrived,   WhenDocumentArePasted  
y  AfterDocumentAreCreatedOrModified  de  la  propiedadOnEventType.  
•   Con   la   opción   AfterDocumentAreCreatedOrModified   de   la   propiedad  
OnEventType  el  agente  se  ejecutará  por  defecto  en  intervalos  de  30  minutos,  
pero  no  inmediatamente  después  de  cada  actualización  de  un  documento.  
•   Cuando   la   propiedad   TriggerOnSchedule   tiene   un   valor   true,   sólo   están  
disponibles   los   valores   AllDocumentsInDatabase   y  
AllNew&ModifiedDocuments  de  la  propiedad  Target.  
•   Las   propiedades   RunAgentEvery,   BetweenTimes   y   AllDay   sólo   están  
disponibles   para   la   opción      MoreThanOnceADayde   la   propiedad  
OnScheduleType.  
•   Las   propiedades   AllDay   y   BetweenTimes   no   pueden   utilizarse   al   mismo  
tiempo.  Si  la  propiedad  AllDay  tiene  un  valor  false,  entonces  puede  utilizarse  
la  propiedad  BetweenTimes.  
•   La   propiedad   StartRunningAgentAtTimesólo   está   disponible   para   las  
opciones    Daily,  weekly  y  montly  de  la  propiedad  OnScheduleType.  
•   La  propiedad  OnDay  sólo  está  disponible  para  las  opciones  weekly  y  montly  
de  la  propiedadOnScheduleType.  
•   La   propiedad   users   sólo   puede   utilizarse   si   la   propiedad  
DefaultAccessForAllReaders  tiene  un  valor  false.  
•   La   propiedad   DontRunAgentOnWeekends   no   está   disponible   cuando   se  
eligen  las  opciones  weekly  y  montly  de  la  propiedad  OnScheduleType.  
•   La   propiedad   RunOn   no   está   disponible   cuando   la   propiedad  
ChooseServerWhenAgentIsEnabletiene  un  valor  true.  
Tesis:  Modelado  Visual  de  Aplicaciones  Domino  
Anexo:  Perfil  para  aplicaciones  Lotus  Notes  
187  
  
Notación  
  
Estereotipo  «ActionBar»  
Descripción  
Representa  a  una  barra  de  acciones  en  LDD.  Un  action  bar  es  un  contenedor  de  
acciones   programadas.   Un   action   bar   es   una   barra   horizontal   de   botones,   estos  
botones  pueden  contener  tanto  acciones  simples  como  compartidas.  
  
Metaclase  UML  extendida  
Class  
  
Relaciones  
  
Elementos  que  puede  contener  
Este   estereotipo   puede   relacionarse   directamente   y   contener   sólo   al  
estereotipo  action.  
  
Elementos  que  pueden  contenerlo  
Este   estereotipo   puede   estar   relacionado   y   contenido   en   los   siguientes  
estereotipos:  form,  subform,  view,  folder  y  pages.  
  
Valores  Etiquetados  
  
  Display:  DisplayOptions  
Propiedad  que  permite  elegir  la  forma  en  que  la  barra  de  acciones  se  
desplegará  en  el  Web.  Las  opciones  disponibles  son:  
  
UsingHTML  
Opción  por  defecto  que  permite  desplegar  la  barra  de  acciones  
utilizando  HTML.  
  
         UsingJavaApplet  
Opción   que   permite   desplegar   la   barra   de   acciones   como   un  
applet  de  Java,  dándoles  a  los  usuarios  una  mejor  apariencia  y  
funcionalidad  en  el  manejo  de  la  barra.  
  
Description:  string  
Valor  string  que  se  utiliza  para  proporcionar  una  descripción  general  
de  la  función  que  desempeña  este  elemento.  
  
Restricciones  
•   Las  propiedades  de  una  barra  de  acciones  no  están  disponibles  cuando  ésta  
se  utiliza  en  un  subform.  
Tesis:  Modelado  Visual  de  Aplicaciones  Domino  
Anexo:  Perfil  para  aplicaciones  Lotus  Notes  
188  
  
Notación  
  
Estereotipo  «Table»  
Descripción  
Representa   una   tabla   de   texto   enriquecido   en   LDD.   d)   tablas   programables:   son  
tablas   que   intercambian   renglones   basándose   en   una   acción   o   un   campo   de  
fórmula.  
  
Metaclase  UML  extendida  
Class  
  
Relaciones  
  
Elementos  que  puede  contener  
Este   estereotipo   puede   relacionarse   directamente   y   contener   a   los  
estereotipos:   table,   sections,   hotspot,   button,   view,   folder,   computer   text,  
outline,   files,   subform,   stylesheet,   field,   scriptlibrary,   image,   navigator,      y  
applets.  
  
Elementos  que  pueden  contenerlo  
Este   estereotipo   puede   estar   relacionado   y   contenido   en   los   siguientes  
estereotipos:  form,  subform,  page.  
  
Valores  Etiquetados  
  
  RowsNumber:  int  =  2  
Valor  entero  que  representa  el  número  inicial  de  renglones  que  tendrá  
la  tabla.  
  
      ColumnNumber:  Int  =  2  
Valor  entero  que  representa  el  número  inicial  de  columnas    que  tendrá  
la  tabla.  
  
      With:  WithOptions  =  fitWithMargins  
Propiedad  que  permite  definir  el  comportamiento  de  una  tabla  cuando  
se  abre  un  documento.  Las  tablas  pueden  ajustarse  al  tamaño  de  un  
documento  abierto  o  simplemente  tomar  el  tamaño  de  la  ventana.  Las  
opciones  disponibles  para  esta  propiedad  son:  
  
FitWithMargins  
  Permite  tomar  los  márgenes  del  elemento  que  lo  contiene.  
  
FitToWindows  
Tesis:  Modelado  Visual  de  Aplicaciones  Domino  
Anexo:  Perfil  para  aplicaciones  Lotus  Notes  
189  
Permite   que   una   tabla   tome   los   márgenes   completos   de   un  
documento  de  izquierda  a  derecha.  
  
FixedWith  
  Permite  finar  un  tamaño  fijo  para  cada  columna  de  la  tabla.  
  
      Type:  TypeOptios  =  basic  
Propiedad   que   permite   elegir   el   tipo   de   tabla   utilizada   en   el  
documento.  Los  tipos  de  tablas  disponibles  son:  
  
Basic  
Son  tablas  con  un  número  de  columnas  y  renglones  definidos.  
  
Tabbed  
Tipo   de   tabla   que   permite   a   los   usuarios   cambiar   renglones  
haciendo  clic  en  las  fichas  que  se  encuentra  en  la  parte  superior  
de  la  misma.  
  
Animated  
Tipo   de   tabla   que   permite   intercambiar   renglones   en   un  
intervalo  de  tiempo  que  el  usuario  determina.  
  
Caption  
Tipo   de   tabla   que   permite   tener   secciones   desplegables   que  
permite   ocultar   u   mostrar   la   información   contenida   en   cada  
renglón.       
  
Programed  
Tipo  de  tabla  que  permite  intercambiar  renglones  basándose  en  
una  acción  o  un  campo  de  fórmula.  
     
      ColumnTitles:  boolean  =  false  
Valor   booleano   que   determina   si   las   columnas   tendrán   un   titulo  
definido.  
  
Description:  string  
Valor  string  que  se  utiliza  para  proporcionar  una  descripción  general  
de  la  función  que  desempeña  este  elemento.  
  
Restricciones  
•   Un  table  puede  contener  a  un  subform  y  field  cuando  éste  no  se  encuentre  
contenido  en  un  page.  
  
Notación  
  
Tesis:  Modelado  Visual  de  Aplicaciones  Domino  
Anexo:  Perfil  para  aplicaciones  Lotus  Notes  
190  
Estereotipo  «Section»  
Descripción  
Representa   un   área   que   puede   expandirse   o   colapsarse   para   mostrar,   ocultar,  
agrupar  y  organizar  los  elementos  contenidos  en  esa  área.  Un  section  puede  incluir  
campos,  objetos,  regiones  de  diseño  y  texto.  
  
Metaclase  UML  extendida  
Class  
  
Relaciones  
  
Elementos  que  puede  contener  
Este   estereotipo   puede   relacionarse   directamente   y   contener   a   los  
estereotipos:   table,   sections,   hotspot,   button,   view,   folder,   computer   text,  
outline,   files,   subform,   stylesheet,   field,   scriptlibrary,   image,   navigator,      y  
applets.  
  
Elementos  que  pueden  contenerlo  
Este   estereotipo   puede   estar   relacionado   y   contenido   en   los   siguientes  
estereotipos:  form,  subform,  page.  
  
Valores  Etiquetados  
    
Titulo:  string  
Valor  string  que  representa  el  título  de  la  sección,  el  cual  puede  ser  de  
tipo  texto  o  calculado  por  una  fórmula  introducida  en  esta  propiedad.  
  
      AccessControled:  boolean  
Valor   booleano   que   determina   si   este   elemento   será   de   acceso  
controlado.  
  
      HideParagraphFrom:  HideOptions  
Propiedad   que   determina   para   cuales   clientes   se   encontrará   oculto  
este   elemento.   Los   clientes   de   los   cuales   puede   ocultarse   este  
elemento  son:  
  
NotesR4.6orLater:  boolean=  false  
Valor   booleano   que   indica   que   este   elemento   se   ocultará   al  
utilizar  un  cliente  Notes  versión  4.6  o  superior.  
  
WebBrowser:  boolean=  false  
Valor   booleano   que   indica   que   este   elemento   se   ocultará   al  
utilizar  un  cliente  del  tipo  navegador  Web.  
  
Mobile:  boolean=  false  
Tesis:  Modelado  Visual  de  Aplicaciones  Domino  
Anexo:  Perfil  para  aplicaciones  Lotus  Notes  
191  
Valor   booleano   que   indica   que   este   elemento   se   ocultará   al  
utilizar  un  cliente  móvil.  
  
HideParagraphWhenDocumentIs:  WhenDocumentIsOptions  
Propiedad  que  determina  las  circunstancias  en  las  que  debe  ocultarse  
este  elemento.  Las  circunstancias  posibles  son:  
  
PreviewedForReading:  boolean  =  false           
Valor   booleano   que   determina   que   la   información   de   este  
elemento   no   sea   visible   cuando   un   usuario   lea   un   documento  
en  el  panel  visualizador  de  documentos.  
  
OpenedForReading:  boolean  =  false  
Valor   booleano   que   determina   si   la   información   de   este  
elemento  estará  visible  cuando  un  usuario  abre  un  documento  
en  modo  lectura.  
  
Printed:  boolean  =  false  
Valor  booleano  que  determina  si  la  información  oculta  de  este  
elemento  estará  visible  en  documentos  impresos.  
  
Embedded:  Boolean  =  false  
Valor   booleano   que   determina   si   el   elemento   estará   visible  
cuando  los  usuarios  acceden  a  un  documento  en  el  cual  se  ha  
utilizado  el  editor  embebido  para  embeber  el  elemento.  
  
PreviewedForEditing:  boolean  =  false  
Valor   booleano   que   determina   si   la   información   de   este  
elemento   estará   visible   cuando   un   usuario   trabaja   con   un  
documento  en  modo  edición  en  el  panel  de  previsualización.  
  
OpenedForEditing:  boolean  =  false  
Valor   booleano   que   determina   si   la   información   estará   visible  
cuando   los   usuarios   trabajen   sobre   documentos   en   modo  
edición.  
  
CopiedToTheClipboard:  boolean  =  false  
Valor    booleano  que  determina  si  se  debe  ocultar  el  contenido  
de  este  elemento  cuando  un  usuario  copia  un  documento.  
  
HideIfFormulaIsTrue:  boolean  =  false  
Valor  booleano  que  indica  si  una  formula  indicará  las  circunstancias  en  
las  cuales  la  información  se  ocultará.  
  
Formula:  string  
Tesis:  Modelado  Visual  de  Aplicaciones  Domino  
Anexo:  Perfil  para  aplicaciones  Lotus  Notes  
192  
Valor   de   tipo   string   que   permite   especificar   una   fórmula   para   este  
elemento.  
  
Description:  string  
Valor  string  que  se  utiliza  para  proporcionar  una  descripción  general  
de  la  función  que  desempeña  este  elemento.  
  
Restricciones  
•   Un  section  puede  contener  a  un  subform  y  field  cuando  éste  no  se  encuentre  
contenido  en  un  page.  
•   Cuando   el   valor   de   la   propiedad   HideParagraphFrom   es  
NotesR4.6orLatersólo   pueden   utilizarse   las   opciones   OpenedForReading   y  
OpenedForEditing  de  la  propiedad  HideWhenDocumentIs.  
  
Notación  
  
Estereotipo  «WebService»  
Descripción  
Representa  a  un  servicio  Web  utilizado  en  LDD.  Un  elemento  Webservice  es  una  
aplicación  autónoma  basada  en  XML  que  puede  publicarse  e  invocarse  en  el  Web.  
  
Metaclase  UML  extendida  
Class  
  
Relaciones  
  
Elementos  que  puede  contener  
Este   estereotipo   no   puede   relacionarse   directamente   y   contener   a   ningún  
estereotipo.  
  
Elementos  que  pueden  contenerlo  
Este   estereotipo   puede   estar   relacionado   y   contenido   en   los   siguientes  
estereotipos:  database.  
  
Valores  Etiquetados  
    
Name:  string  
  Valor  string  que  permite  especificar  el  nombre  del  WebService.  
  
WarnIfTheWSDLinterfaceIsModified:  boolean  
Valor   booleano   que   permite   especificar   que   se   realice   un   aviso   en  
caso  de  que  el  documento  WSDL  sea  modificado.  
  
PortTypeClass:  string  
Tesis:  Modelado  Visual  de  Aplicaciones  Domino  
Anexo:  Perfil  para  aplicaciones  Lotus  Notes  
193  
Permite  especificar  la  clase  que  contiene  las  operaciones  (el  código  de  
ejecución)  para  el  tipo  de  puerto.  
  
RunAsWebUser:  boolean  =  false  
Valor   booleano   que   permite   al   WebService   correr   con   el   nombre   de  
usuario  que  utiliza  el  usuario  Web.  
  
RunOfBehalftUser:  string  
Valor  string  que  permite  especificar  los  usuarios  sobre  los  cuales  este  
WebService  podrá  ejecutarse.  
  
SetRuntimeSecurity:securityLevel  =  DoNotAllowRestrictedOperations(RO)  
Propiedad   que   permite   especificar   el   nivel   de   seguridad   del  
WebService.  Las  opciones  posibles  son:  
  
DoNotAllowRestrictedOperations(RO)  
Opción  que  permite  que  el  agente  no  lleve  a  cabo  operaciones  
restringidas.    
  
         AllowRestrictedOperations
Opción   que   permite   que   el   WebService   lleve   a   cabo  
operaciones  restringidas.    
           
         AllowROWithFullAdministrationRigths  
Opción   que   permite   al   WebService   llevar   a   cabo   operaciones  
restringidas   y   realizarlas   con   todos   los   derechos   de  
administración.  
  
      DefaultAccessForAllReaders:  boolean  =  true  
Valor   booleano   que   permite   especificar   en   la   propiedad   users   a   los  
usuarios  que  tendrán  acceso  al  WebService.  Un  valor  true    permite  el  
acceso   a   todos   los   usuarios,   un   valor   false   permite   el   acceso  
solamente  a  los  usuarios  especificados  en  la  propiedad  users.  
  
      Users:  string  
Valor  string  que  permite  especificar  los  usuarios  que  tendrán  acceso  al  
WebService.         
  
AllowPublicAccessUserToUse:  boolean  =  false  
Valor  booleano  que  permite  a  los  usuarios  que  tienen  acceso  público  
utilizar  el  WebService.  
  
  ProgrammingLevel:  ModelOptions  
Propiedad   que   permite   especificar   el   modelo   de   programación   del  
WebService.  Las  opciones  disponibles  son:  
  
Tesis:  Modelado  Visual  de  Aplicaciones  Domino  
Anexo:  Perfil  para  aplicaciones  Lotus  Notes  
194  
RPC  
Opción   que   se   utiliza   para   deserealizar   los   datos   en   tipos   de  
datos  concretos.  
  
Message  
Opción      que   permite   utilizar   MOM   (Message   Oriented   Model,  
por  sus  siglas  en  inglés),  el  cual  utiliza  parámetros  específicos  
como  firmas  para  pasar  mensajes  XML  de  SOAP  en  lugar  de  
deserealizar  en  tipos  de  datos  concretos.  
    
  SOAPmessageFormat:  strig  
Valor   string   utilizado   para   especificar   el   formato   del   mensaje   SOAP.  
Los   formatos   soportados   por   LDD   son:   RPC/encoded,   RPC/literal,  
DOC/literal  y  Wrapped.  
  
      PortTypeName:  string  
Valor  string  utilizado  para  especificar  el  nombre  del  tipo  de  puerto  por  
el  que  se  accederá  al  WebService.  Esta  especificación  corresponde  al  
atributo  “name”  de  <wsdl:portType>  en  el  documento  WSDL.  
        
      ServiceElementName:  string  
Valor  string  utilizado  para  especificar  el  nombre  del  WebService.  Esta  
especificación  corresponde  al  atributo  “name”  de  <wsdl:service>  en  el  
documento  WSDL.  
        
      ServicePortName:  string  
Valor   string   utilizado   para   especificar   el   puerto   del   por   el   que   se  
accederá   al   WebService.   Esta   especificación   corresponde   al   atributo  
“name”   de   <wsdl:port>      debajo   de   <wsdl:service>   en   el   documento  
WSDL.  
  
      Description:  string  
Valor  string  que  se  utiliza  para  proporcionar  una  descripción  general  
de  la  función  que  desempeña  este  elemento.  
  
Restricciones  
•   La   propiedad   users   sólo   puede   utilizarse   si   la   propiedad  
DefaultAccessForAllReaders  tiene  un  valor  false.  
•   La  propiedad  SOAPmessageFormat  no  está  disponible  cuando  se  utiliza  la  
opción  RPC  de  la  propiedad  ProgrammingLevel.  
  
Notación  
  
Estereotipo  «ScriptLibrary»  
Tesis:  Modelado  Visual  de  Aplicaciones  Domino  
Anexo:  Perfil  para  aplicaciones  Lotus  Notes  
195  
Descripción  
Representa  un  scriptLibrary  en  LDD.  Una  librería  es  un  lugar  donde  se  almacena  
código  que  será  compartido  en  una  aplicación  utilizando  LotusScript,  JavaScript  o  
Java.  Se  pueden  utilizar  estos  tres  tipos  de  lenguajes  para  codificar  librerías  que  
posteriormente  podrán  compartirse  entre  elementos  como  los  forms  y  pages.  
  
Metaclase  UML  extendida  
Class  
  
Relaciones  
  
Elementos  que  puede  contener  
Este   estereotipo   no   puede   relacionarse   directamente   y   contener   ningún  
estereotipo.    
  
Elementos  que  pueden  contenerlo  
Este   estereotipo   puede   estar   relacionado   y   contenido   en   los   siguientes  
estereotipos:  form,  subform  y  page.  
  
Valores  Etiquetados  
  
Name:  string  
Valor  string  que  representa  el  nombre  de  la  librería.  
        
      Languaje:  string                          
Valor   string   que   permite   describir   el   tipo   de   lenguaje   en   el   que   se  
encuentra  codificada  la  librería.  
  
      Author:  string                      
Valor  string  que    representa  el  nombre  del  autor  de  la  librería.  
  
ElaborationDate:  string                         
Valor  string  que  representa  la  fecha  de  elaboración  de  la  librería.  
    
      Version:  string  
         Valor  string  que  representa  la  versión  de  elaboración  de  la  librería.  
  
      Description:  string  
Valor  string  que  se  utiliza  para  proporcionar  una  descripción  general  
de  la  función  que  desempeña  este  elemento.  
  
Restricciones  
     
Notación  
  
Tesis:  Modelado  Visual  de  Aplicaciones  Domino  
Anexo:  Perfil  para  aplicaciones  Lotus  Notes  
196  
Etiqueta  identificadora  decontención  
«Containment»
«stereotype
»contenedor  
Indicador  de  agregación  
«stereotype
»  contenido  
Estereotipo  «Contention»  
Descripción  
Representa  un  tipo  de  relación  más  fuerte  que  la  asociación,  pero  más  débil  que  la  
agregación   en   UML.   Esta   relación   se   da   entre   un   elemento   contenedor   y   un  
elemento   contenido,   el   cual   puede   ser   también   un   elemento   contenedor.   Esta  
relación   es   binaria   y   debe   de   satisfacer   un   conjunto   de   propiedades   para   que   la  
relación   sea   válida.   En   una   relación   de   contención   los   objetos   contenedor   y  
contenido   no   tienen   una   relación   todo/parte,   sino   que   es   una   relación   más   débil  
donde  no  existe  una  dependencia  estructural  entre  ambos  elementos.  
  
Metaclase  UML  extendida  
Agregation  
  
Valores  Etiquetados  
      Para  ver  los  atributos  de  esta  relación  ver  la  sección  anterior.  
  
Restricciones  
•   Esta  relación  no  puede  utilizarse  con  objetos  del  mismo  tipo.  Por  ejemplo  
  
Notación  
Una  relación  de  contención  se  dibuja  como  una  línea  sólida  conectado  dos  objetos  
(estereotipos).   La   contención   se   indica   con   un   rombo   pequeño   ahuecado   que   se  
añade  al  final  del  enlace.  El  rombo  se  dibuja  en  el  objeto  que  hace  la  función  de  
contenedor  y  el  enlace  debe  tener  una  etiqueta  con  la  palabra  “«Containment»”.  La  
siguiente  figura  muestra  un  ejemplo  de  la  notación  para  esta  relación  en  UML.    
  
  
  
  
  
  
  
  
  
Estereotipo  «ReflexiveContention»  
Descripción  
Representa  un  tipo  de  relación  más  fuerte  que  la  asociación,  pero  más  débil  que  la  
agregación   en   UML.   Es   un   tipo   de   contención   que   se   da   sólo   entre   algunos  
elementos  contenedores.  Esta  relación  es  binaria  y  debe  de  satisfacer  un  conjunto  
de   propiedades   para   que   la   relación   sea   válida.   En   una   relación   de   contención  
reflexiva   ambos   elementos   son   de   tipo   contenedor   y   no   tienen   una   relación  
todo/parte,  sino  que  es  una  relación  más  débil  donde  los  objetos  no  tienen  que  ver  
estructuralmente   uno   con   el   otro.   La   diferencia   con   una   contención   es   que   la  
contención  reflexiva  permite  contener  un  elemento  de  su  mismo  tipo.  
Figura 80 Notación para la relación de contención
Tesis:  Modelado  Visual  de  Aplicaciones  Domino  
Anexo:  Perfil  para  aplicaciones  Lotus  Notes  
197  
Etiqueta   identificadora   decontención  
reflexiva  
«ReflexiveContainment»
Indicador  de  agregación  
«stereotype
»contenedor  
«stereotype
»  
contenedor  
contenido  
  
Metaclase  UML  extendida  
Agregation  
  
Valores  Etiquetados  
      Para  ver  los  atributos  de  esta  relación  ver  la  sección  anterior.  
Restricciones  
•   Esta  relación  puede  utilizarse  sólo  entre  elementos  contenedores  que  sean  
del  mismo  tipo.  Por  ejemplo:  un  subform  puede  contener  a  otro  subform,  un  
table  puede  contener  a  otro  table,  entre  otros.  
  
Notación  
La  contención  reflexiva  se  dibuja  como  una  línea  sólida  conectado  dos  objetos.  La  
contención   se   indica   con   un   rombo   pequeño   ahuecado   que   se   añade   al   final   del  
enlace.   El   rombo   se   dibuja   en   el   objeto   que   hace   la   función   de   contenedor   y   el  
enlace  debe  tener  una  etiqueta  con  la  palabra  “«ReflexiveContainment»”.  La  siguiente  
imagen  muestra  un  ejemplo  de  la  notación  para  esta  relación  en  UML.  
  
  
  
  
  
  
  
  
Otras  relaciones  
Se   han   incluido   dos   relaciones   más   (agregación   y   composición   de   UML)   con   el   fin   de  
complementar   las   relaciones   descritas   en   las   secciones   anteriores.   Estas   relaciones   se  
utilizarán  con  la  misma  semántica,  sólo  se  han  restringido  algunos  de  sus  atributos  con  
ciertos  valores  que  se  puede  ver  más  adelante.  Esto  quiere  decir  que  estas  dos  relaciones  
también  podrán  utilizarse  para  modelar  aplicaciones  Domino  con  la  misma  semántica  de  
estas  relaciones.  
  
Relación  de  agregación  
Descripción  
Esta   relación   se   da   entre   un   elemento   contenedor   y   un   elemento   contenido   que  
tiene  la  característica  de  ser  un  elemento  compartido  o  embebido.  Esuna  relación  
binaria   tipo   todo/parte,   en   la   cual   uno   de   los   extremos   representa   el   todo  
(contenedor)  y  el  otro  representa  la  parte  de  la  agregacióno  la  parte  que  constituye  
al  todo  (contenido).  
  
Figura 81 Notación para la relación de contención reflexiva
Tesis:  Modelado  Visual  de  Aplicaciones  Domino  
Anexo:  Perfil  para  aplicaciones  Lotus  Notes  
198  
Indicador  de  agregación  
«stereotype
»contenedor  
«stereotype
»  contenido  
Metaclase  UML  extendida  
Esta  relación  no  extiende  a  ningún  elemento  de  UML,  sólo  se  han  fijado  los  valores  
de  algunas  relaciones.  
  
Valores  etiquetados  
   Para  ver  los  atributos  de  esta  relación  ver  la  sección  anterior.  
  
Restricciones  
  
Notación    
La   agregación   se   representa   por   una   línea   sólida   conectando   a   dos   objetos,   es  
decir,  una  relación  binaria.  La  agregación  se  indica  con  un  diamante  ahuecado  que  
se  añade  al  final  del  enlace.  El  diamante  se  dibuja  en  la  clase  que  es  el  conjunto  
como  se  muestra  en  la  figura  siguiente.  
  
  
  
  
  
  
  
Relación  de  composición  
Descripción  
La   composición   es   un   tipo   de   agregación   más   fuerte,   donde   existe   una   estrecha  
relación   entre   un   elemento   agregado   y   sus   elementos   componentes.   El   punto  
central  de  la  composición  es  que  el  componente  se  considera  como  tal  sólo  como  
parte  del  objeto  compuesto.  
  
La  composición  se  da  entre  un  elemento  contenedor  y  un  elemento  contenido.  En  
esta  relación  uno  de  los  extremos  representa  un  todo  y  el  otro  representa  un  objeto  
que  necesariamente  debe  existir  con  la  creación  del  contenedor.  En  esta  relación  se  
requiere  que  el  elemento  contenido  esté  incluido  mínimamente  en  un  contenedor  al  
momento  de  crearlo.  Un  elemento  compuesto  tiene  el  mismo  tiempo  de  vida  que  
sus  propios  componentes.  Al  destruir  al  objeto  compuesto  también  los  componentes  
serán  destruidos.    
  
   Metaclase  UML  extendida  
Esta  relación  no  extiende  a  ningún  elemento  de  UML,  sólo  se  han  fijado  los  valores  
de  algunas  relaciones..  
  
Notación  
La  composición  se  representa  por  una  línea  sólida  conectando  a  dos  objetos,  es  
decir,  una  relación  binaria.  La  composición  se  indica  con  un  diamante  relleno  que  se  
Figura 82 Relación de agregación, esquema general
Tesis:  Modelado  Visual  de  Aplicaciones  Domino  
Anexo:  Perfil  para  aplicaciones  Lotus  Notes  
199  
Indicador   de  
composición  
«stereotype
»contenedor  
«stereotype
»  contenido  
añade  al  final  del  enlace.  El  diamante  se  dibuja  en  la  clase  que  es  el  contenedor  
como  se  muestra  a  continuación  
  
  
  
  
  
Características  
de  relaciones  de  contención,  contención  reflexiva,  agregación  y  composición.  
En   este   apartado   se   presenta   un   conjunto   de   propiedades   estructurales   y   funcionales.  
Estas   propiedades   están   basadas   en   las   propiedades   de   las   relaciones   de   UML.   No  
obstante   se   describen   en   términos   más   estrictos   con   la   finalidad   de   caracterizar   las  
relaciones  para  las  primitivas  de  modelado  de  LDD.    
Multiplicity  
Tabla 6 Definición de la propiedad multiplicidad
Definición   Especifica  el  más  bajo  (Min)  o  alto  (Max)  número  de  elementos  de  
tipo   contenido   que   deben   o   pueden   ser   conectados   a   un   solo  
elemento  de  tipo  contenedor.  
Definida  sobre   association-­end.  
Nomenclatura   Lowassociation-­end,  Uppassociation-­end  
Valores   1,  0…1,  0…*,  1…*  
UML  relacionados   Atributo   multiplicidad:   especifica   el   número   de   instancias   objetivo  
que  pueden  estar  asociadas  con  una  sola  instancia  fuente  a  través  
de  una  asociación  dada.  
Delete  Propagation  
Tabla 7 Definición de la propiedad propagación de borrado
Definición   Indica   qué   acción   debe   ser   ejecutada   cuando   un   elemento   es  
borrado  (sobre  sus  enlaces  o  sus  objetos  asociados):  
•   {Restrictivo}:  si  el  elemento  tiene  enlaces,  los  enlaces  y  
Figura 83 Relación de composición, esquema general
Tesis:  Modelado  Visual  de  Aplicaciones  Domino  
Anexo:  Perfil  para  aplicaciones  Lotus  Notes  
200  
los  objetos  asociados  no  pueden  ser  borrados.  
•   {Cascada}:  si  el  objeto  tiene  enlaces,  los  enlaces  y  los  
objetos   asociados   deben   ser   borrados.   Se   utiliza  
cuando   no   se   tienen   elementos   compartidos   o  
embebidos  asociados.  
•   {Cascada  restrictiva}:  si  el  objeto  tiene  enlaces,  estos  y  
los   enlaces   deben   ser   borrados   con   excepción   de  
aquellos  elementos  que  son  compartidos  o  embebidos.  
Definida  sobre   association-­end.  
Nomenclatura   DPassociation-­end  
Valores   Restrictivo|Cascada|Cascada  restrictiva  
UML  relacionados   Semánticas   de   propagación:   un   compuesto   implica   semánticas   de  
propagación   a   sus   partes.   Por   ejemplo,   si   el   todo   es   copiado   o  
destruido,   entonces   las   partes   también   (porque   una   parte   puede  
pertenecer  a  lo  sumo  a  un  compuesto).  
Reflexivity  
Tabla 8 Definición de la propiedad reflexividad
Definición   Especifica   si   un   elemento   contenedor   puede   contener   a   otro  
elemento  de  su  mismo  tipo.  El  valor  {Reflexiva}  indica  que  esto  es  
posible  y  {No  reflexiva}  indica  lo  contrario.  
Definida  sobre   association-­end.  
Nomenclatura   RFrelationship  
Valores   Reflexiva|  No  reflexiva  
UML  relacionados   Una  característica  de  relaciones  de  agregación  y  composición:  
[…]  la  instancia  forma  un  grafo  dirigido,  no  cíclico.  
Valores  fijos  de  las  relaciones  definidas  
Para  completar  la  semántica  de  las  relaciones,  se  especifica  el  valor  de  las  propiedades  
introducidas   en   la   sección   0   para   cada   una   de   las   relaciones.   De   esta   manera   cada  
Tesis:  Modelado  Visual  de  Aplicaciones  Domino  
Anexo:  Perfil  para  aplicaciones  Lotus  Notes  
201  
relación   contiene   ciertas   propiedades   definidas.   La   tabla   muestran   los   valores   de   las  
propiedades  definidas  anteriormente.  El  símbolo *  indica  que  una  cualquier  valor.  Para  
cada  relación  (columna)  la  tabla  muestra  los  valores  de  las  propiedades.  
  
  
  
  
  
Tabla 9 Valores fijos para la relaciones
Propiedad/Relación   Contención   Contención  
reflexiva  
Agregación   Composición  
Multiplicidad   *   *   *   (1,1…*)  
Propagación   de  
borrado  
*   *   Cascada  restrictiva   Cascada  
Reflexividad   No  reflexiva   *   No  reflexiva   No  reflexiva  
              
  
  
  

Modelado Visual de Aplicaciones Lotus Notes Domino

  • 1.
              CON ESTUDIOS RECONOCIDOS ANTE LA SECRETARÍA DE EDUCACIÓN PÚBLICA (SEP), SEGÚN ACUERDO No. 2007337 DE FECHA 23 DE MARZO 2007 MODELADO VISUAL DE APLICACIONES DOMINO TESIS QUE PARA OBTENER EL GRADO DE: MAESTRÍA EN TECNOLOGÍAS DE INFORMACIÓN PRESENTA: HIRIAM EDUARDO PÉREZ VIDAL ASESOR: MATI GWENDOLYNE DELGADO GARCÍA DE LA CADENA CUERNAVACA, MORELOS. DICIEMBRE DE 2009
  • 2.
        Abstract The  following research  presents:  a  Domain  Specific  Language  Modeling  (DSLM)  for  Lotus   Notes  applications  and  a  software  tool  that  implements  it.     This   tool   allows   to   design   applications   using   the   DSL   for   Lotus   Notes   Applications,   and   create  the  application  code.   Resúmen El   siguiente   trabajo   de   investigación   presenta:   un   lenguaje   de   modelado   de   dominio   específico  para  aplicaciones  Lotus  Notes  (DSLM)  y  una  herramienta  de  software  que  lo   implementa.     Esta   herramienta   permitirá   a   partir   de   un   determinado   modelo   generar   el   código   de   la   aplicación  correspondiente.    
  • 3.
    Tesis:  Modelado  Visual de  Aplicaciones  Domino   Índices   i       Contenido   Introducción  ........................................................................................................................  1 Antecedentes  .....................................................................................................................  3 Planteamiento  del  problema  ..............................................................................................  4 Objetivos  de  la  tesis  ...........................................................................................................  5 Objetivo  general  .............................................................................................................  5 Objetivos  específicos  .....................................................................................................  5 Justificación  .......................................................................................................................  5 Hipótesis  ............................................................................................................................  6 Beneficios  esperados  ........................................................................................................  6 Alcance  y  limitaciones  .......................................................................................................  7 Metodología  .......................................................................................................................  7 Estructura  de  la  tesis  .........................................................................................................  9 Estado  del  arte  .................................................................................................................  11 1. Capítulo:  Diseño  de  software  ...................................................................................  13 1.1. Introducción  ..........................................................................................................  14 1.2. Diseño  ...................................................................................................................  15 1.3. Lenguajes  y  modelado  visual  ................................................................................  21 1.3.1. UML  ...............................................................................................................  21 1.3.2. Lenguajes  de  dominio  específico  ..................................................................  23 1.3.3. Modelado  de  dominio  específico  ...................................................................  26 1.3.4. Perfiles  de  UML  .............................................................................................  27
  • 4.
    Tesis:  Modelado  Visual de  Aplicaciones  Domino   Índices   ii     2. Capítulo:  Herramientas  de  modelado  ......................................................................  31 2.1. MetaEdit+  ..............................................................................................................  32 2.2. Microsoft  DSL  Tools  ..............................................................................................  34 2.3. Proyecto  de  modelado  de  Eclipse  ........................................................................  37 2.4. Elección  de  la  herramienta  ...................................................................................  39 3. Capítulo:  Plataforma  Lotus  Notes  /  Domino  ...........................................................  40 3.1. Breve  historia  ........................................................................................................  41 3.2. Elementos  de  diseño  ............................................................................................  41 3.3. Funcionalidades  y  características  .........................................................................  42 3.4. Productos  de  la  plataforma  ...................................................................................  43 4. Capítulo:   Lenguaje   de   modelado   de   dominio   específico   para   Lotus   Notes   /   Domino  ..............................................................................................................................  46 4.1. Introducción  ..........................................................................................................  47 4.2. Proceso  para  definir  el  lenguaje  ...........................................................................  47 4.2.1. Análisis  de  dominio  ........................................................................................  48 4.2.2. Metamodelo  ...................................................................................................  54 4.2.3. DSL  para  aplicaciones  Lotus  Domino  ............................................................  55 4.2.4. Validación  del  DSL  ........................................................................................  56 5. Capítulo:  Desarrollo  de  la  herramienta  ...................................................................  59 5.1. Componentes  de  la  herramienta  ...........................................................................  60 5.2. Requerimientos  .....................................................................................................  60 5.2.1. Alcances  ........................................................................................................  60 5.2.2. Objetivo  general  del  sistema  .........................................................................  60 5.2.3. Funciones  del  producto  .................................................................................  60 5.2.4. Usuarios  .........................................................................................................  61
  • 5.
    Tesis:  Modelado  Visual de  Aplicaciones  Domino   Índices   iii     5.2.5. Interfaces  y  relaciones  de  los  sistemas  .........................................................  61 5.2.6. Características  de  usuarios  ...........................................................................  61 5.2.7. Restricciones  .................................................................................................  61 5.2.8. Dependencias  y  supuestos  ............................................................................  61 5.2.9. Características  del  sistema  ............................................................................  61 5.2.10. Especificación  de  casos  de  uso  .....................................................................  62 5.3. Diseño  de  la  arquitectura  ......................................................................................  65 5.3.1. Arquitectura  general  de  la  herramienta  .........................................................  65 5.3.2. Diseño  de  despliegue  ....................................................................................  66 5.3.3. Diseño  de  interfaces  ......................................................................................  67 5.3.4. Diseño  de  los  módulos  ..................................................................................  69 5.3.5. Diseño  de  datos  .............................................................................................  80 5.3.6. Arquitectura  propuesta  para  ingeniería  inversa  .............................................  82 6. Capítulo:  Uso  de  la  herramienta  ..............................................................................  84 6.1. Proceso  de  uso  .....................................................................................................  85 6.2. Uso  del  modelador  ................................................................................................  86 6.3. Uso  del  generador  de  código  ................................................................................  90 7. Capítulo:  Pruebas  ......................................................................................................  92 7.1. Protocolo  de  pruebas  ............................................................................................  93 7.2. Interpretación  de  los  resultados  ............................................................................  95 Conclusiones  ....................................................................................................................  99 Conclusiones  .................................................................................................................  100 Beneficios  ......................................................................................................................  101 Recomendaciones  ..........................................................................................................  103 Recomendaciones  de  mejora  ........................................................................................  104
  • 6.
    Tesis:  Modelado  Visual de  Aplicaciones  Domino   Índices   iv     Trabajos  futuros  .............................................................................................................  104 Áreas  de  oportunidad  ....................................................................................................  104 Bibliografía  ......................................................................................................................  106 Referencias  bibliográficas  ..............................................................................................  107 Anexo...............................................................................................................................  110 Perfil  UML  para  aplicaciones  Lotus  Notes  .....................................................................  111 Introducción  ................................................................................................................  111 Panorama  general  ......................................................................................................  112 Perfiles  UML  ...............................................................................................................  115 Desarrollo  del  Perfil  UML  para  Lotus  Domino  Designer  ............................................  118        
  • 7.
    Tesis:  Modelado  Visual de  Aplicaciones  Domino   Índices   v     Índice  de  figuras     Figura  1  Ejemplo  de  un  diagrama  de  diseño  no  estandarizado  ............................................  3   Figura  2  Mapa  conceptual  del  marco  teórico  ......................................................................  15   Figura  3  El  proceso  unificado  Rational:  RUP(  Rational  Unified  Process)  (IBM,  2006)  .......  16   Figura  4  Flujo  de  trabajo  de  la  etapa  de  análisis  y  diseño  de  RUP  (IBM,  2006)  .................  18   Figura  5  Arquitectura  Dirigida  por  Modelos  .........................................................................  19   Figura  6  Estructura  de  alto  nivel  de  UML  2.1.1  (OMG,  2007b)  ...........................................  23   Figura  7  Fases  para  el  desarrollo  de  un  DSL  ......................................................................  25   Figura  8  Función  del  DSL  ....................................................................................................  27   Figura  9  Elementos  definidos  en  el  paquete  perfil      (OMG,  2007a)  ....................................  28   Figura  10  Herramienta  MetaEdit+  .......................................................................................  33   Figura  11  Arquitectura  de  MetaEdit+  ...................................................................................  34   Figura  12  IDE  de  Microsoft  VisualStudio  con  DSL  Tool  ......................................................  35   Figura  13  Arquitectura  DSL  Tools  .......................................................................................  36   Figura  14  Proyectos  de  Visual  Studio  al  crear  un  DSL  .......................................................  36   Figura  15  Analogía  entre  Eclipse  EMF  y  GMF  ....................................................................  38   Figura  16  Proceso  de  generación  de  un  modelador  con  Eclipse  GMF  ...............................  38   Figura  17  Composición  de  una  BDs  Notes  .........................................................................  41   Figura  18  Elementos  de  diseño  de  Lotus  Notes  .................................................................  42   Figura  19  Funciones  y  características  de  la  plataforma  Notes/Domino  ..............................  43   Figura  20  Proceso  para  la  obtención  del  DSL  .....................................................................  48   Figura  21  Distribución  de  elementos  de  diseño  en  las  aplicaciones  ...................................  52   Figura  22  Clasificación  de  elementos  de  diseño  .................................................................  53   Figura  23  Metamodelo  de  aplicaciones  Lotus  Domino  .......................................................  54   Figura  24  Clasificación  de  los  estereotipos  del  perfil  de  UML  para  Lotus  ...........................  55   Figura  25  Ejemplos  de  diagramas  de  diseño  no  estandarizados  ........................................  56   Figura  26  Ejemplo  de  diagrama  simplificado  para  la  validación  del  DSL  ............................  57   Figura  27  Ejemplo  de  diseño  especificando  las  propiedades  de  los  elementos  .................  58   Figura  28  Desarrollo  de  herramienta  de  modelado  .............................................................  60  
  • 8.
    Tesis:  Modelado  Visual de  Aplicaciones  Domino   Índices   vi     Figura  29  Casos  de  uso  de  herramienta  de  modelado  .......................................................  62   Figura  30  Arquitectura  general  del  DSM  .............................................................................  65   Figura  31  Secuencia  de  ejecución  del  modelado  a  la  generación  ......................................  66   Figura  32  Diagrama  de  despliegue  de  la  herramienta  ........................................................  66   Figura  33  Interfaz  gráfica  del  componente  de  modelado  ....................................................  68   Figura  34  Interfaz  gráfica  del  componente  de  generación  de  aplicaciones  ........................  69   Figura  35  Diseño  del  modelador  .........................................................................................  69   Figura  36  Proceso  de  creación  de  la  herramienta  gráfica  basada  en  modelos  ..................  71   Figura  37  Estructura  del  modelo  de  dominio  dominoapp.ecore  ..........................................  71   Figura  38  Documento  XML  del  modelo  de  dominio  ............................................................  72   Figura  39  Vista  gráfica  del  modelo  de  dominio  ...................................................................  72   Figura  40  Estructura  del  modelo  de  generación  .................................................................  73   Figura  41  Modelo  de  definición  gráfica  ...............................................................................  74   Figura  42  Documento  XML  del  modelo  de  definición  gráfica  ..............................................  74   Figura  43  Estructura  del  modelo  de  definición  de  herramientas  o  tooling  ..........................  75   Figura  44  Documento  XML  del  modelo  de  definición  de  herramientas  ...............................  75   Figura  45  Estructura  del  modelo  de  definición  de  mapeo  o  mapping  .................................  76   Figura  46  Documento  XML  del  modelo  de  definición  de  mapeo  .........................................  77   Figura  47  Estructura  del  modelo  de  generación  GMF  ........................................................  77   Figura  48  Ejemplo  de  estructuras  de  diseños  de  aplicaciones  ...........................................  78   Figura  49  Ejemplo  de  XML  de  un  diagrama  de  diseño  .......................................................  79   Figura  50  Diseño  del  generador  de  aplicaciones  ................................................................  79   Figura  51  Arquitectura  del  generador  de  aplicaciones  ........................................................  80   Figura  52  Estructura  de  datos  de  la  eclass  database.  Vista  de  clase  .................................  80   Figura  53  Estructura  de  la  eclass  database.  Vista  de  árbol  ................................................  81   Figura  54  Estructura  de  la  eclass  database.  Vista  XML  ......................................................  81   Figura  55  Diseño  propuesto  para  el  extractor  de  diseño  ....................................................  82   Figura  56  Arquitectura  propuesta  para  el  extractor  de  diseño  ............................................  82   Figura  57  Proceso  de  uso  de  la  herramienta  ......................................................................  85   Figura  58  DSM  -­  Herramienta  de  modelado  .......................................................................  86   Figura  59  Creación  de  un  modelo  de  diseño  de  Lotus  Notes/Domino  ................................  87  
  • 9.
    Tesis:  Modelado  Visual de  Aplicaciones  Domino   Índices   vii     Figura  60  Archivos  de  la  estructura  del  modelo  e  interfaz  gráfica  ......................................  87   Figura  61  Barra  de  herramientas  de  modelado  ...................................................................  88   Figura  62  Ventana  de  propiedades  de  los  elementos  .........................................................  89   Figura  63  Ejemplo  de  diagrama  de  diseño  elaborado  en  el  modelador  ..............................  89   Figura  64  Estructura  resultante  del  modelo  ........................................................................  90   Figura  65  DSM  -­  Generador  de  aplicaciones  ......................................................................  91   Figura  66  Diseño  de  un  formulario  ....................................................................................  114   Figura  67  Diagrama  de  clase  para  un  elemento  form  .......................................................  115   Figura  68  Metamodelo  de  Lotus  Domino  Designer  ...........................................................  119   Figura  69  Clasificación  de  los  estereotipos  de  LDD  ..........................................................  124   Figura  70  Metamodelo  de  Lotus  ........................................................................................  127   Figura  71  Extendiendo  al  metaelemento  Class  .................................................................  128   Figura  72  Continuación  de  la  extensión  del  metaelemento  Class  ....................................  129   Figura  73  Continuación  de  la  extensión  del  metaelemento  Class  ....................................  130   Figura  74  Continuación  de  la  extensión  del  metaelemento  Class  ....................................  131   Figura  75  Continuación  de  la  extensión  del  metaelemento  Class  ....................................  132   Figura  76  Continuación  de  la  extensión  del  metaelemento  Class  ....................................  133   Figura  77  Continuación  de  la  extensión  del  metaelemento  Class  ....................................  134   Figura  78  Continuación  de  la  extensión  del  metaelemento  Class  ....................................  135   Figura  79  Extendiendo  al  metaelemento  Aggregation  ......................................................  136   Figura  80  Notación  para  la  relación  de  contención  ...........................................................  196   Figura  81  Notación  para  la  relación  de  contención  reflexiva  .............................................  197   Figura  82  Relación  de  agregación,  esquema  general  .......................................................  198   Figura  83  Relación  de  composición,  esquema  general  ....................................................  199        
  • 10.
    Tesis:  Modelado  Visual de  Aplicaciones  Domino   Índices   viii     Índice  de  tablas     Tabla  1  Lista  de  productos  de  Lotus  por  categoría  .............................................................  45   Tabla  2  Descripción  de  elementos  de  diseño  de  Lotus  .......................................................  50   Tabla  3  Porcentaje  de  uso  de  elementos  de  diseño  en  aplicaciones  Lotus  ........................  51   Tabla  4  Resultados  de  las  pruebas  .....................................................................................  98   Tabla  5  Estereotipos  definidos  para  Lotus  Domino  Designer  ...........................................  123   Tabla  6  Definición  de  la  propiedad  multiplicidad  ...............................................................  199   Tabla  7  Definición  de  la  propiedad  propagación  de  borrado  .............................................  199   Tabla  8  Definición  de  la  propiedad  reflexividad  .................................................................  200   Tabla  9  Valores  fijos  para  la  relaciones  ............................................................................  201          
  • 11.
    Tesis:  Modelado  Visual de  Aplicaciones  Domino   Introducción   1                 Introducción   Introducción  a  este  trabajo  de  tesis.  Se   presentan  los  antecedentes  al  trabajo  de   investigación,  planteamiento  del  problema,   objetivos  de  la  tesis,  justificación  del  trabajo,   hipótesis,  beneficios  esperados,  alcances  y   limitaciones,  metodología  a  utilizar  y  descripción   de  la  estructura  de  la  tesis  mediante  un   resumen.      
  • 12.
    Tesis:  Modelado  Visual de  Aplicaciones  Domino   Introducción   2     El  desarrollo  de  aplicaciones  empresariales  presenta  complejidades  como:  integración  de   diferentes  plataformas  tecnológicas,  ambientes  de  desarrollo  y  procesos  de  ingeniería  de   software.     El   correcto   modelado   de   dichas   aplicaciones   antes   de   su   codificación,   beneficia   el   aseguramiento  de  la  calidad  del  software,  mejora  la  arquitectura,  facilita  el  mantenimiento   y  ayuda  a  la  transferencia  tecnológica  al  cliente.   Lenguajes  de  modelado  genérico  o  de  propósito  general  pueden  emplearse  para  describir   una   gran   parte   de   las   características   de   los   sistemas.   Este   es   el   caso   del   Lenguaje   Unificado  de  Modelado:  UML  (Por  sus  siglas  en  inglés  Unified  Modeling  Language).   Existen  herramientas  tanto  libres  como  propietarias  que  permiten  diseñar  aplicaciones  en   cada  uno  de  los  lenguajes  de  modelado  existentes.     Es   común   que   cada   plataforma   o   tecnología   presenten   características   propias   que   requieren  de  una  técnica  o  lenguaje  de  modelado  en  particular.  Así  para  los  sistemas  de   bases  de  datos  relacionales  un  modelo  Entidad-­Relación  o  un  modelo  de  clases  de  UML   pueden  ser  suficientes.   Sin   embargo   en   determinadas   tecnologías   o   dominios   tecnológicos   un   lenguaje   de   modelado  general  puede  ser  insuficiente  para  describir  todas  las  características  deseadas.   Ante  esta  situación  puede  definirse  un  lenguaje  de  dominio  específico,  el  cual  provea  de   los  elementos  que  permitan  describir  con  mayor  precisión  dichas  características.     Lotus  Domino  es  la  plataforma  líder  en  aplicaciones  colaborativas.  Presenta  un  ambiente   de  desarrollo  orientado  a  objetos  y  una  base  de  datos  documental.   El   siguiente   trabajo   de   investigación   presenta:   un   lenguaje   de   modelado   de   dominio   específico   para   aplicaciones   Lotus   Notes   y   una   herramienta   de   software   que   lo   implementa.   Esta   herramienta   permitirá   a   partir   de   un   determinado   modelo   generar   el   código  de  la  aplicación  correspondiente.    
  • 13.
    Tesis:  Modelado  Visual de  Aplicaciones  Domino   Introducción   3     Antecedentes   Los   equipos   de   desarrollo   en   aplicaciones   Lotus   Notes   carecen   de   un   lenguaje   de   modelado  adecuado  a  la  naturaleza  de  esta  tecnología.   Algunos  equipos  han  implementado  procesos  de  desarrollo  software  a  la  medida.  Estos   procesos  difícilmente  pueden  apoyarse  por  herramientas  comerciales  por  lo  que  es  común   contar  con  herramientas  desarrolladas  por  los  mismos  equipos.  Sin  embargo,  la  etapa  de   diseño   requiere   ser   mejorada   con   el   propósito   de   definir   arquitecturas   críticas   que   son   enviadas  a  los  desarrolladores  para  su  posterior  codificación.   Se   han   utilizado   distintos   lenguajes   de   modelado   para   diseñar   las   aplicaciones.   Entre   estos  lenguajes  destaca  el  uso  del  UML.  Sin  embargo  no  se  ha  encontrado  un  lenguaje  de   modelado   que   permita   definir   con   mayor   precisión   las   características   propias   de   una   aplicación  de  este  dominio  tecnológico.     Figura  1  Ejemplo  de  un  diagrama  de  diseño  no  estandarizado   Ante  esta  necesidad  en  colaboración  con  el  Centro  Nacional  de  Investigación  y  Desarrollo   Tecnológico  (CENIDET),  bajo  la  tesis  “Definición  de  un  Lenguaje  de  Dominio  Específico   para   un   entorno   de   desarrollo   rápido   de   aplicaciones”   presentada   por   Guillermo   Rivera  
  • 14.
    Tesis:  Modelado  Visual de  Aplicaciones  Domino   Introducción   4     (Rivera,  2008),  se  realizó  el  trabajo  de  investigación  para  la  definición  de  un  Lenguaje  de   dominio  apropiado  para  Lotus  Notes.   Lotus  Notes  es  una  tecnología  que  difiere  de  la  programación  orientada  a  objetos  y  del   modelo   tradicional   de   bases   de   datos   relacionales.   Esta   tecnología   proporciona   un   ambiente   de   desarrollo   rápido   de   aplicaciones   llamado   Lotus   Domino   Designer.   Lotus   Notes  integra  en  una  solo  base  de  datos:   •   Elementos  de  programación  o  lógica  de  negocios   •   Interfaz  del  usuario   •   Datos   •   Seguridad   Planteamiento  del  problema   Existen   una   gran   cantidad   de   aplicaciones   colaborativas   y   portales   desarrollados   e   instalados  en  la  plataforma  Lotus  Notes    /  Domino.  Muchas  de  estas  aplicaciones  carecen   de   un   modelado   formal   o   completo   por   la   ausencia   de   técnicas   específicas   para   esta   tecnología.     Estos  problemas  de  diseño  provocan:   •   Dificultad  en  el  mantenimiento  de  las  aplicaciones   •   Defectos  en  el  software  que  pueden  evitarse  al  detectarse  durante  el  modelado   •   Duplicidad  de  esfuerzos  al  no  poder  reutilizarse  soluciones  para  requerimientos   similares   Como  consecuencia  de  todo  lo  anterior,  podemos  decir  que  el  problema  en  la  etapa  de   diseño   de   las   aplicaciones   Lotus   Notes   se   basa   en   la   ausencia   de   un   lenguaje   de   modelado  específico  para  esta  plataforma  y  una  herramienta  de  diseño  que  lo  implemente.    
  • 15.
    Tesis:  Modelado  Visual de  Aplicaciones  Domino   Introducción   5     Objetivos  de  la  tesis   Objetivo  general   Analizar,  diseñar,  e  implementar  una  herramienta  de  modelado  visual,  que  permita  diseñar   aplicaciones  Lotus  Notes  /  Domino  y  generar  el  código  de  la  aplicación  correspondiente   utilizando  un  lenguaje  de  modelado  de  dominio  específico.   Objetivos  específicos   •   Revisar    las  herramientas  para  generación  de  código  a  través  del  modelado  visual   •   Definir   un   lenguaje   de   modelado   de   dominio   específico   que   permite   modelar   aplicaciones  Lotus  Domino  basado  en  la  especificación  de  Perfiles  de  UML   •   Desarrollar   una   herramienta   de   software   que   permita   generar   diagramas   de   aplicaciones  utilizando  el  lenguaje  de  dominio  específico  definido  previamente   •   Desarrollar  una  herramienta  que  permita,  dado  un  diagrama  de  aplicación,  generar   el  código  correspondiente  de  la  aplicación.   Justificación   Actualmente   no   existe   una   herramienta   de   modelado   específico   para   esta   tecnología   o   dominio  por  lo  que  esta  investigación  será  innovadora  en  este  terreno.   El  producto  de  esta  tesis  puede  ser  utilizada  en  el  diseño  de  aplicaciones  Lotus  Notes.  Así   mismo,   mejorando   la   calidad   de   las   aplicaciones   al   detectar   errores   desde   la   etapa   de   diseño   y   evitando   detectarlos   hasta   la   etapa   de   comercialización   e   implementación   de   productos  donde  los  costos  para  reparar  dichos  errores  es  muy  alto.   Dado  que  no  se  cuenta  con  un  lenguaje  de  modelado  y  herramienta  que  permita  definir   con   mayor   precisión   las   características   propias   de   una   aplicación   Lotus   Notes   y   para   resolver  el  problema  planteado  se  propone  obtener:     1.   Un  Lenguaje  de  Modelado  de  Dominio  Específico   2.   Una  herramienta  de  modelado  visual  que  implemente  el  lenguaje  de  modelado   3.   Una   herramienta   que   permita   la   generación   automática   de   los   elementos   de   diseño  que  componen  la  aplicación  modelada    
  • 16.
    Tesis:  Modelado  Visual de  Aplicaciones  Domino   Introducción   6     El   lenguaje   obtenido   modelará   con   mayor   precisión   las   aplicaciones   Lotus   Notes.   Esta   herramienta  permitirá  a  partir  de  un  determinado  modelo  generar  el  código  de  la  aplicación   correspondiente.   Hipótesis   Ante  las  necesidades  de  modelar  con  mayor  precisión  las  aplicaciones  Lotus  Notes,  dando   mayor   semántica   a   los   diagramas   de   diseño   y   la   generación   de   la   estructura   de   la   aplicación  a  partir  de  dichos  diseños  se  plantea  la  siguiente  hipótesis:   Contar   con   una   herramienta   de   modelado   de   dominio   específico   permitirá   facilitar   el   modelado  de  las  aplicaciones  Lotus  Notes  y  disminuir  el  tiempo  de  desarrollo.   En  esta  hipótesis  se  mencionan  las  variables  de:   •   Facilidad  de  modelado   •   Disminución  de  tiempo  de  desarrollo   Beneficios  esperados   Con  el  trabajo  de  esta  tesis  se  esperan  alcanzar  los  beneficios  de:   •   Mayor  precisión  en  la  generación  de  diagramas  de  diseño  de  las  aplicaciones   •   Diseños   uniformes   al   contar   con   un   lenguaje   visual   único   en   los   equipos   de   desarrollo   •   Reducción  en  el  tiempo  de  modelado.  Los  desarrolladores  toman  objetos  visuales   conocidos  y  evitan  tener  que  aprender  lenguajes  y  reglas  distintas  a  su  entorno.   •   Congruencia  entre  los  diagramas  de  diseño  y  las  aplicaciones  generadas.    
  • 17.
    Tesis:  Modelado  Visual de  Aplicaciones  Domino   Introducción   7     Alcance  y  limitaciones   El  trabajo  de  esta  tesis  tiene  como  alcances:  la  definición  de  un  DSL  que  permite  diseñar   aplicaciones  Lotus  Domino,  el  desarrollo  de  una  herramienta  visual  que  lo  implementa  y  la   generación  automática  de  la  aplicación  modelada.   La  funcionalidad  de  generación  automática  de  aplicaciones  crea  los  elementos  de  diseño   principales   modelados   pero   la   codificación   detallada   queda   en   manos   del   programador   para  la  etapa  de  codificación  en  un  proceso  de  ingeniería  de  software.   La  herramienta  no  implementa  la  funcionalidad  de  ingeniería  inversa  pero  se  propone  la   arquitectura  para  implementarla.   Metodología   Este  trabajo  de  tesis  se  basa  en  un  proyecto  de  tipo  investigación  y  desarrollo  (I+D).  Por   esta  razón  tiene  dos  componentes  principales:     •   La  investigación  de  técnicas,  herramientas,  y  soluciones  para  la  definición  de  una   herramienta  de  modelado  visual.  Como  resultado  de  la  etapa  de  investigación  y  con   el   conocimiento   generado   se   definirá   un   lenguaje   de   modelado   mediante   un   estándar  formal  de  especificación  de  lenguajes.   •   El  desarrollo  de  una  herramienta  de  software  que  implemente  el  resultado  de  la   investigación   siguiendo   un   proceso   formal   de   desarrollo   de   software.   Con   esta   herramienta  se  implementa  el  resultado  de  la  investigación  en  un  producto  tangible   Para  la  etapa  de  investigación  de  utilizan  los  mecanismos  de:     •   Análisis   y   síntesis   en   la   determinación   del   lenguaje   de   modelo   de   dominio   específico   •   Encuesta   y   prueba   para   evaluar   el   resultado   de   la   herramienta   de   software   desarrollada  y  comprobar  las  variables  planteadas  en  la  hipótesis.   Las  pruebas  y  la  validación  del  DSL  se  realizan  con  el  apoyo  de  expertos  en  el  desarrollo   de  aplicaciones  de  la  plataforma  Lotus  Notes  
  • 18.
    Tesis:  Modelado  Visual de  Aplicaciones  Domino   Introducción   8     La  metodología  seguida  para  el  desarrollo  del  siguiente  trabajo  se  divide  en  las  siguientes   fases:   FASE  1.  Investigación  del  estado  del  arte.  Estudio  del  estado  del  arte  en  la  definición  de   lenguajes  de  dominio  específico.   FASE  2.  Definición  del  DSL  para  modelado  de  aplicaciones  Lotus  Notes.  Definición   del  lenguaje  de  modelado  a  utilizar.   FASE   3.   Estudio   de   herramientas   para   la   generación   de   DSL.   Se   estudian   los   alcances,   ventajas   y   desventajas   de   las   herramientas   que   implementan   DSL   y   generan   código  automáticamente.   FASE  4.  Definición  del  modelo  para  generación  de  código  a  partir  del  DSL.  Definición   del  modelo  a  utilizar  para  la  generación  de  código  automático  a  partir  del  DSL  descrito   FASE  5.  Validación  del  DSL  para  modelado  de  aplicaciones  Lotus  Notes.  Validar  los   diagramas   obtenidos   a   partir   del   uso   del   DSL   de   manera   tal   que   representen   correctamente  el  diseño  de  la  aplicación  Lotus  Notes   FASE   6.   Desarrollo   de   la   herramienta   de   modelado   y   generación   automática   de   código.  Se  implementa  la  herramienta  de  modelado  para  elaborar  diseños  de  aplicaciones   utilizando   el   DSL   para   aplicaciones   Lotus   Notes   y   a   partir   del   diseño   generar   automáticamente  el  código  de  los  elementos  de  diseño  representados.   Esta  actividad  sigue  un  proceso  formal  de  desarrollo  de  software,  el  cual  se  compone  de:   i.   Requerimientos   ii.   Diseño  (arquitectura,  detallado,  interfaces,  datos)   iii.   Codificación     iv.   Pruebas   FASE   7.   Validación   de   la   herramienta   desarrollada.   Validar   la   herramienta   contra   aplicaciones  reales  desarrolladas  
  • 19.
    Tesis:  Modelado  Visual de  Aplicaciones  Domino   Introducción   9     FASE   8.   Elaboración   de   la   tesis.   Se   reúne   la   información   generada   para   generar   el   documento  de  tesis  y  seguir  el  proceso  de  revisión  y  aceptación  del  trabajo   Estructura  de  la  tesis   A   continuación   se   presenta   un   breve   resumen   de   cada   uno   de   los   capítulos   que   se   presentan  en  esta  tesis:   En  los  Antecedentes,  se  exponen  la  problemática  que  da  origen  a  este  trabajo  haciendo   énfasis  en  la  carencia  de  un  lenguaje  de  modelado  específico  para  las  aplicaciones  Lotus   Notes   y   por   ello   las   deficiencias   en   la   etapa   de   diseño   Antecedentes.   Se   presenta   el   estado   del   arte   en   la   definición   de   lenguajes   de   modelado   y   las   herramientas   más   importantes.  Para  finalizar  se  presentan:  preguntas  de  investigación,  los  objetivos  de  esta   tesis,  justificación,  hipótesis,  beneficios  esperados,  alcance  y  limitaciones  y  la  metodología   empleada  en  el  desarrollo  de  este  trabajo   En  el  Diseño  de  software,  se  describe  esta  etapa  como  parte  de  un  proceso  formal  de   desarrollo  de  software.  La  actividad  de  diseño  está  ligada  a  enfoques  como  la  Arquitectura   Dirigida   por   Modelos   la   cual   implementa   herramientas   de   modelado   y   regeneración   automática   de   código.   En   el   diseño   de   aplicaciones   se   pueden   utilizar   dos   tipos   de   lenguajes   de   modelado:   de   propósito   general   y   de   dominio   específico.   El   UML   es   el   lenguaje   de   modelado   de   propósito   general   más   utilizado   por   lo   que   se   describe   su   composición.   Para   finalizar   se   presentan   a   los   las   características   y   el   proceso   para   la   obtención  de  un  lenguaje  de  modelado  de  dominio  específico,  los  perfiles  de  UML  como   un  método  para  representarlos  y  el  proceso  a  seguir  para  definir  un  DSL   En   las   Herramientas   de   modelado   se   presentan   las   características   de   las   tres   herramientas   más   utilizadas   en   la   actualidad:   MetaEdit+,   Microsoft   DSL   Tools   y   el   Proyecto  de  modelado  de  Eclipse.  Adicionalmente  se  presentan  los  motivos  de  la  elección   de  Eclipse  como  la  herramienta  base  a  utilizar  en  este  trabajo.   En  el  capítulo  de  la  Plataforma  Lotus  Domino,  se  presentan  las  características  de  esta   plataforma   colaborativa   empresarial.   Se   describen   sus,   elementos   de   diseño,  
  • 20.
    Tesis:  Modelado  Visual de  Aplicaciones  Domino   Introducción   10     funcionalidades,  características  y  productos  comerciales  de  la  plataforma  con  el  objeto  de   entender  su  complejidad,  capacidad  y  alcance.   En   el   capítulo   de   Lenguaje   de   Modelado   de   Dominio   Específico   para   Lotus   Notes,   se   presenta   el   lenguaje   de   modelado   de   dominio   específico   a   utilizar   para   el   diseño   de   aplicaciones.   Para   la   definición   de   este   lenguaje   se   realizó   el   análisis   de   dominio,   la   definición   del   Metamodelo,   la   especificación   del   DSL   mediante   un   perfil   de   UML   y   la   validación   de   dicho   DSL   mediante   la   elaboración   de   diagramas   de   diseño   de   aplicaciones  Lotus  Notes  ya  existentes.   En   el   Desarrollo   de   la   herramienta,   se   presentan   el   proceso   utilizado   para   la   implementación   del   lenguaje   dentro   de   una   herramienta   de   modelado   y   generación   automática  de  código.  Para  la  elaboración  de  la  herramienta  se  utilizó  un  proceso  formal   de  desarrollo  de  software  por  lo  que  se  presentan  de  manera  detallada  los  requerimientos   y   el   diseño   de   la   arquitectura.   Aunque   no   es   parte   de   este   trabajo   la   incorporación   de   técnicas   de   ingeniería   inversa,   se   presenta   la   arquitectura   para   su   implementación   en   trabajos  futuros.   Uso   de   la   herramienta   describe   el   funcionamiento   y   uso   del   modelador   desarrollado   para  la  elaboración  de  diagramas  de  diseño  basados  en  el  DSL.  De  la  misma  manera  se   presenta  el  uso  del  generador  de  código  para    la  generación  automática  de  los  elementos   de  diseño  Lotus  Notes  descritos  en  el  diagrama.   En   Pruebas,   se   presenta   el   protocolo   de   pruebas   realizado   para   la   evaluación   de   la   herramienta  desarrollada,  los  resultados  de  la  evaluación  y  su  interpretación.   En  conclusiones  se  presentan  las  conclusiones  resultado  del  desarrollo  de  este  trabajo,   los  beneficios  obtenidos,  los  trabajos  futuros,  áreas  de  oportunidad  para  la  reutilización  de   la  experiencia  obtenida  durante  la  realización  de  este  trabajo.   Se   presentan   las   recomendaciones   a   seguir   para   mejorar   el   presente   trabajo   en   un   futuro,  los  trabajos  futuros  y  áreas  de  oportunidad.  
  • 21.
    Tesis:  Modelado  Visual de  Aplicaciones  Domino   Introducción   11     El  anexo  final  contiene  la  especificación  del  Lenguaje  de  Modelo  de  Dominio  Específico   para  aplicaciones  Lotus  Notes  mediante  un  perfil  de  UML   Estado  del  arte   El   modelado   como   parte   fundamental   del   proceso   del   desarrollo   de   software,   puede   realizarse   a   través   de:   lenguajes   de   modelado   de   propósito   general   o   lenguajes   de   modelado  de  dominio  específico.       Los   lenguajes   de   modelado   de   propósito   general,   tienen   como   finalidad   representar   de   manera  genérica  las  facetas  de  un  sistema.  Estos  lenguajes  están  más  enfocados  en  la   descripción  que  en  la  generación  de  código,  además  tienen  como  problema  principal  que   los  elementos  de  un  diagrama  pueden  tener  diferentes  interpretaciones  si  son  utilizados  en   diferentes   contextos   o   dominios   tecnológicos.   El   mejor   exponente   de   los   lenguajes   de   modelado   de   propósito   general   es   el   UML   (por   sus   siglas   en   inglés:   Unified   Modeling   Language).  (Steven  &  Pooley,  2007),  (OMG,  2007b)   Este   tipo   de   lenguajes   no   han   sido   suficientes   para   modelar   muchos   de   los   dominios   donde   se   desean   implementar.   Por   esta   razón   muchas   empresas   se   han   visto   en   la   necesidad  de  generar  sus  propios  lenguajes  de  modelado.   Los  lenguajes  de  modelado  de  dominio  específico:  DSL  (por  sus  siglas  en  inglés:  Domain   Specific  Language),  tienen  como  objeto  describir  con  mayor  precisión  las  características   propias   de   un   dominio   tecnológico.   Estos   lenguajes   en   la   mayoría   de   los   casos   están   asociados   a   la   generación   automática   de   código.   La   especificación   de   un   DSL   está   asociada   a   un   metamodelo   o   modelo   de   dominio.   Existen   varias   opciones   para   la   descripción  de  un  lenguaje  de  modelado  de  domino  específico(Kelly  &  Tolvanen,  2008),   entre  ellas  la  más  usada  son  los  perfiles  de  UML(Fuentes  &  Vallecillo,  2004).   Para   facilitar   el   uso   de   un   lenguaje   de   modelado   de   dominio   específico,   este   debe   implementarse   a   través   de   una   herramienta   de   software.   Existen   dos   caminos   para   su   implementación:     1.   Crear  una  herramienta  de  software  a  la  medida  o    
  • 22.
    Tesis:  Modelado  Visual de  Aplicaciones  Domino   Introducción   12     2.   utilizar  herramientas  de  terceros    especializadas  en  la  implementación  de  un   DSL.   (Kelly,   2004)   ,   (Ehrig,   Ermel,   Hänsgen,   &   Taentzer,   2005),   (Leroux,   Nally,  &  Hussey,  2006)   Las   tres   herramientas   actuales   más   utilizadas   para   la   implementación   de   un   DSL   son:   MetaEdit+,  Eclipse  y  Microsoft  DSL  Tools.    
  • 23.
    Tesis:  Modelado  Visual de  Aplicaciones  Domino   Diseño  de  software   13                   1.    Capítulo:  Diseño  de  software   En   esta   sección   se   describen   los   conceptos   claves  del  diseño  de  software  que  sustentan  el   desarrollo   del   trabajo   de   investigación.   Se   presenta   la   etapa   de   diseño   dentro   de   un   proceso   formal   de   desarrollo   de   software,   los   lenguajes   de   modelado   visual,   el   UML   como   lenguaje  de  modelado  de  propósito  general,  los   lenguajes  de  dominio  específico  y  los  perfiles  de   UML  para  su  especificación      
  • 24.
    Tesis:  Modelado  Visual de  Aplicaciones  Domino   Diseño  de  software   14     1.1.   Introducción   El   diseño   de   software   traduce   los   requerimientos   en   modelos   que   serán   la   base   de   la   etapa  posterior  de  codificación  de  la  aplicación.     En  esta  etapa  de  diseño  existen  distintos  enfoques  sobre  el  uso  de  los  modelos.  En  los   últimos  años  el  enfoque  de  la  Arquitectura  Dirigida  por  Modelos:  MDA  (Por  sus  siglas  en   inglés:   Model   Driven   Architecture),   ha   hecho   énfasis     en   la   importancia   de   obtener   en   primer  lugar  dichos  modelos  y  a  partir  de  estos,  obtener  de  manera  automática  el  código   de  la  aplicación.   Los  modelos  mencionados  pueden  elaborarse  utilizando  lenguajes  de  propósito  general  o   lenguajes   de   dominio   específico:   DSL   (por   sus   siglas   en   inglés:   Domain   Specific   Language).     La  elaboración  de  un  DSL,  es  una  tarea  de  profundo  análisis  del  dominio  que  se  desea   modelar  obteniendo  al  final  una  especificación  de  un  lenguaje  textual  o  visual.   Existen   dos   opciones   principales   para   la   definición   de   un   DSL:   La   extensión   de   un   lenguaje   de   propósito   general   como   el   UML   o   la   definición   completa   de   uno   nuevo   utilizando  algún  estándar  abierto  o  de  facto.     Para  facilitar  el  uso  de  un  DSL,  estos  lenguajes  suelen  implementarse  en  herramientas  de   modelado   visual   que   permiten:   Elaborar   modelos   basados   en   el   DSL   y   generar   automáticamente  el  código  de  la  aplicación  equivalente.  Algunas  herramientas  modernas   permiten   realizar   ingeniería   inversa.   La   ingeniería   inversa   es   el   proceso   de   convertir   código  fuente  de  aplicaciones  en  elementos  de  un  modelo.   Cuando   se   han   obtenido   las   partes   antes   descritas   se   cuenta   con   una   herramienta   de   Modelado   de   Dominio   Específico:   DSM   (por   sus   siglas   en   inglés:   Domain   Specific   Modeling)  bajo  el  enfoque  MDA.  
  • 25.
    Tesis:  Modelado  Visual de  Aplicaciones  Domino   Diseño  de  software   15       Figura  2  Mapa  conceptual  del  marco  teórico     1.2.   Diseño   El   diseño   de   software   es   una   actividad   multidisciplinaria   que   proporciona   soluciones   a   través   de   la   comunicación   efectiva   de   ideas   y   el   uso   de   prácticas   de   ingeniería.   El   propósito  del  diseño  es  simplemente  producir  una  solución  a  un  problema.(Budgen,  2003)    
  • 26.
    Tesis:  Modelado  Visual de  Aplicaciones  Domino   Diseño  de  software   16       Figura  3  El  proceso  unificado  Rational:  RUP(  Rational  Unified  Process)  (IBM,  2006)   La   etapa   de   diseño   es   una   parte   fundamental   de   todos   los   procesos   de   desarrollo   de   software   más   importantes,   ya   que   su   propósito   es   describir   el   cómo   los   requerimientos   serán  convertidos  en  productos  usando  la  solución  más  apropiada.   Dada  la  profundidad  del  diseño  puede  considerarse  como:   •   Alto  nivel,  cuando  se  enfoca  más  a  aspectos  de  arquitectura.  Ejemplo:  diagramas   de  componentes,  modelado  de  negocios   •   Detallado,   cuando   describe   con   mayor   precisión   la   implementación.   Ejemplos:   diagramas  de  clases   Para   Pressman     (Pressman,   2000),   esta   actividad   es   un   proceso   que   está   enfocado   principalmente   en   cuatro   aspectos   o   atributos:   estructura   de   datos,   arquitectura   de   software,   representaciones   de   interfaces   y   detalles   de   procedimientos   o   módulos.   El   proceso   de   diseñar   traduce   los   requerimientos   en   una   representación   del   software   que   permite  evaluar  su  calidad  antes  de  iniciar  la  etapa  de  codificación.    
  • 27.
    Tesis:  Modelado  Visual de  Aplicaciones  Domino   Diseño  de  software   17     Muchos   procesos   de   desarrollo   de   software   implementan   la   etapa   de   diseño   como   una   actividad  fundamental.  Uno  de  los  procesos  de  desarrollo  más  conocidos  es  el  Proceso   Unificado  de  Rational.   Para  RUP,  la  etapa  de  diseño  es  actividad  extensa  y  se  encuentra  integrada  a  la  etapa  de   análisis.  El  propósito  de  esta  etapa  es:(IBM,  2006)   •   Transformar  los  requerimientos  en  el  diseño  de  lo  que  el  sistema  debe  hacer   •   Desarrollar  una  arquitectura  robusta  para  el  sistema   •   Adaptar  el  diseño  para  integrarlo  al  ambiente  de  implementación  considerando  su   desempeño   Para  RUP  las  tareas  a  realizar  durante  el  análisis  y  diseño  son:   •   Análisis  de  la  Arquitectura   •   Evaluación  de  la  viabilidad  de  pruebas  de  concepto  de  la  arquitectura   •   Diseño  de  cápsulas   •   Diseño  de  clases   •   Pruebas  de  concepto  de  construcción  de  la  arquitectura     •   Diseño  de  la  base  de  datos   •   Definir  contexto  del  sistema   •   Descripción  de  la  distribución   •   Descripción  de  la  arquitectura  de  ejecución   •   Diseño  de  elementos  de  prueba   •   Diseño  de  interfaces  de  usuario   •   Identificación  de  elementos  de  diseño   •   Identificación  de  mecanismos  de  diseño   •   Identificación  de  servicios   •   Incorporación  de  elementos  de  diseño  existentes   •   Análisis  de  operaciones   •   Diseño  de  operaciones  
  • 28.
    Tesis:  Modelado  Visual de  Aplicaciones  Domino   Diseño  de  software   18     •   Prototipos  de  interface  de  usuarios   •   Revisión  de  la  arquitectura   •   Revisión  de  el  diseño   •   Diseño  de  servicios   •   Especificación  de  migración  de  datos   •   Diseño  de  subsistemas   •   Análisis  y  diseño  de  casos  de  uso     Figura  4  Flujo  de  trabajo  de  la  etapa  de  análisis  y  diseño  de  RUP  (IBM,  2006)   El  resultado  de  la  etapa  de  diseño  es  la  obtención  de  modelos.  Estos  modelos  pueden  ser   descritos  utilizando  lenguajes  de  modelado  de  propósito  general  como  el  UML  o  lenguajes   de  modelado  de  dominio  específico.  
  • 29.
    Tesis:  Modelado  Visual de  Aplicaciones  Domino   Diseño  de  software   19     Un   modelo   es   la   representación   simplificada   de   la   realidad,   que   generalmente   utiliza   símbolos  para  significar  a  los  elementos  reales,  y  por  medio  de  un  proceso  de  abstracción,     distinguir  las  partes  esenciales  de  una  situación  ignorando  las  prescindibles,  con  el  objeto   de  entender  con  mayor  claridad  cómo  funciona,  descubrir  relaciones,  reflexionar  de  una   manera  sencilla  acerca  de  su  operación  y  en  general  disminuir  el  grado  de  complejidad.   (Parra,  2000)   La   tarea   de   diseñar   puede   estar   guiada   por   diferentes   enfoques   o   técnicas   como   la   Arquitectura   Dirigida   por   Modelos:   MDA   (por   sus   siglas   en   inglés:   Model   Driven   Architecture).   MDA  busca  alinear  el  diseño  contra  las  aplicaciones  resultantes  en  distintos  dominios.  Los   modelos  diseñados  bajo  este  enfoque  pueden  ser  elaborados  con  lenguajes  de  propósito   general  como  el  UML  o  lenguajes  de  dominio  específico.     Figura  5  Arquitectura  Dirigida  por  Modelos   El   MDA   tiene   como   promesa   permitir   la   definición   de   modelos   de   datos   y   aplicaciones   entendibles   por   la   máquina   los   cuales   permiten   mantener   durante   largo   tiempo   la   flexibilidad  de:  (Mukerji  &  Miller,  2003)  
  • 30.
    Tesis:  Modelado  Visual de  Aplicaciones  Domino   Diseño  de  software   20     •   Implementación.  Una  nueva  infraestructura  de  implementación  puede  ser  integrada   o  integrada  por  diseños  existentes   •   Integración:   Se   puede   automatizar   la   integración   de   datos   a   nuevas   infraestructuras.   •   Mantenimiento:  La  disponibilidad  de  diseños  entendibles  por  la  máquina  da  a  los   desarrolladores   acceso   directo   a   la   especificación   del   sistema   haciendo   su   mantenimiento  mucho  más  simple   •   Pruebas  y  simulación.  Los  modelos  desarrollados  pueden  ser  usados  para  generar   código,   lo   que   equivale   a   validarlos   contra   los   requerimientos,   probar   varias   infraestructuras   y   usarlos   directamente   para   simular   el   comportamiento   de   un   sistema  que  está  siendo  diseñado   Un   DSM   está   fuertemente   ligado   al   enfoque   MDA   ya   que   a   través   de   los   modelos   diseñados,  es  posible  generar  código  de  aplicación,  cumpliendo  así  lo  que  este  enfoque   propone.   Los  modelos  generados  utilizando  un  DSM  realizan  los  siguientes  cambios  o  mejores  en  el   proceso  de  diseño:  (Kelly  &  Tolvanen,  2008)   •   El  control  de  versiones  de  una  aplicación  puede  llevarse  desde  los  modelos  y  no   exclusivamente  desde  el  código   •   Disminución  del  tiempo  de  pruebas  de  la  aplicación  anticipándola  desde  la  etapa  de   diseño   •   La  actividad  de  depuración  puede  realizarse  desde  el  diseño   •   Mejoran  la  comunicación  ya  que  expresan  los  conceptos  importantes  del  dominio   sin  separarla  de  la  implementación   •   Se   convierten   en   elementos   de   entrada   para   diferentes   artefactos,   pudiendo   utilizarse   estos   modelos   para   obtener   por   ejemplo:   documentación,   casos   de   prueba  y  configuración  de  los  datos   En  equipos  de  desarrollo  pequeños  no  siempre  existe  una  figura  de  arquitecto  de  software   o  diseñador  cuya  función  sea  la  de  generar  los  modelos  de  diseño  de  las  aplicaciones.  
  • 31.
    Tesis:  Modelado  Visual de  Aplicaciones  Domino   Diseño  de  software   21     Esta   actividad   es   frecuentemente   cubierta   por   los   mismos   desarrolladores   o   programadores.     1.3.   Lenguajes  y  modelado  visual   Los  lenguajes  visuales  permiten  manipular  elementos  de  programación  gráficamente  en   lugar  de  especificarlos  textualmente.  (Wikipedia,  2007b)   Pueden  clasificarse  de  acuerdo  al  tipo  de  expresión  visual  utilizada  en:  lenguajes  basados   en  íconos,  lenguajes  basados  en  formularios  y  lenguajes  de  diagramas.   Los   lenguajes   visuales   proporcionan   elementos   de   íconos   o   gráficos   que   pueden   ser   manipulados  por  los  usuarios  de  manera  interactiva  de  acuerdo  a  un  conjunto  de  reglas   especificadas.   La   definición   de   patrones   de   características   puede   ser   la   base   de   usabilidad   entre   los   patrones  identificados  por  el  usuario  y  aquellos  que  son  administrados  por  el  sistema.  Un   lenguaje  visual  dinámico  es  un  conjunto  ordenado  de  sentencias  visuales  caracterizadas   por   la   presencia   de   elementos   comunes(Bottoni,   Chang,   Costabile,   Levialdi,   &   Mussio,   2002).   Se   pueden   especificar   las   transformaciones   posibles   especificando   formalmente   este  proceso.   El  modelado  visual  es  el  uso  de  semántica,  notaciones  de  diseño  textuales  y  gráficas  para   describir  diseños  de  software.  Una  notación  como  el  UML,  permite  establecer  un  nivel  de   abstracción,   mientras   se   mantienen   reglas   de   sintaxis   y   semántica.   El   modelado   visual   proporciona   un   medio   de   comunicación   entre   el   equipo   de   trabajo   para   la   revisión   del   diseño,   su   justificación   y   la   determinación   de   las   bases   de   su     implementación   sin   ambigüedades.(IBM,  2006)   1.3.1.   UML   El   Lenguaje   de   Modelado   Unificado   es   un   lenguaje   de   modelado   visual   orientado   a   objetos(Rumbaugh,   Jacobson,   &   Booch,   1998).   EL   UML   es   el   sucesor   de   métodos   y  
  • 32.
    Tesis:  Modelado  Visual de  Aplicaciones  Domino   Diseño  de  software   22     diseños   orientados   a   objetos   que   surgió   a   finales   de   los   80’s.   Fue   creado   por   Booch,   Rumbaugh  y  Jacobson.  En  la  actualidad  es  un  estándar  del  Grupo  de  Administración  de   Objetos:   OMG   (por   sus   siglas   en   inglés:   Object   Management   Group)(Fowler,   Scott,   González  V,  &  Morales  Peake,  1999).  Contiene  abstracciones  para  muchos  conceptos  de   modelado  orientado  a  objetos  estándar.  Entre  ellos  se  encuentran  los  diagramas  de  clase,   diagramas   de   máquinas   de   estado,   diagramas   de   casos   de   uso   y   diagramas   de   secuencia(Booch,   Rumbaugh,   &   Jacobson,   1999).   Con   estos   diagramas   los   usuarios   pueden  describir  la  arquitectura,  diseño  y  aún  la  implementación  de  sistemas  de  software.   El   UML   se   encuentra   fuertemente   integrado   el   proceso   de   desarrollo   iterativo   implementado  por  RUP.   El  UML  2.0  define  en  la  actualidad  trece  tipos  de  diagramas  divididos  en  tres  categorías:  la   estructura   estática   de   la   aplicación,   tipos   generales   de   comportamiento   y   aspectos   de   interacción.(OMG,  2007b)   •   Diagramas  de  estructura:  Diagrama  de  clases,  diagramas  de  objetos,  diagrama  de   componentes,  diagrama  de  composición  de  la  estructura,  diagrama  de  paquetes  y   diagrama  de  implementación.   •   Diagramas  de  comportamiento:  diagrama  de  casos  de  uso,  diagramas  de  actividad   y  diagrama  de  máquina  de  estados.   •   Diagramas  de  interacción:  derivados  de    los  diagramas  de  comportamiento  incluyen   el   diagrama   de   secuencia,   diagrama   de   comunicación,   diagrama   de   tiempo   y   diagrama  general  de  interacción  
  • 33.
    Tesis:  Modelado  Visual de  Aplicaciones  Domino   Diseño  de  software   23       Figura  6  Estructura  de  alto  nivel  de  UML  2.1.1  (OMG,  2007b)   UML  fue  diseñado  para  ser  un  lenguaje  gráfico  de  modelado  de  propósito  general.  Esto  le   permite   especificar   la   mayoría   de   los   sistemas   basados   en   objetos   o   componentes.   Cuando  el  UML  no  permite  expresar  los  conceptos  de  un  dominio  específico  o  se  desea   restringir  o  especializar  sus  constructores  propios  se  puede  definir  un  lenguaje  de  dominio   específico.  Ante  esta  situación  se  puede  definir  un  lenguaje  totalmente  nuevo  o  extender  el   propio   UML,   especializando   algunos   de   sus   conceptos   y   extendiendo   otros   pero   respetando   la   semántica   original.   Para   extender     el   lenguaje   UML   existen   una   serie   de   mecanismos  llamados  perfiles  de  UML.  (Fuentes  &  Vallecillo,  2004)   1.3.2.   Lenguajes  de  dominio  específico   Un   lenguaje   de   dominio   específico   o   DSL   (Por   sus   siglas   en   inglés:   Domain-­Specific   Language)  es  un  lenguaje  que  permite  a  través  de  notaciones  apropiadas  y  abstracciones,   expresar  un  dominio  de  problemas  específico.(Deursen,  Klint,  &  Visser,  2000)   Un  lenguaje  de  dominio  específico  está  definido  por  un  modelo  del  dominio.    
  • 34.
    Tesis:  Modelado  Visual de  Aplicaciones  Domino   Diseño  de  software   24     Ejemplos  de  DSL  son:     •   Diagramas  entidad  –  relación(Chen,  1976)   •   BPEL  -­    Business  Process  Execution  Language(Alves  et  al.,  2007)   •   CSS  -­  Cascading  Style  Sheets(Bos,  Lie,  Lilley,  &  Jacobs,  1998)   •   SQL  -­  Structured  Query  Language(Date  &  Darwen,  1993)   Muchos  lenguajes  son  de  un  dominio  específico  más  que  de  propósito  general.(Mernik  &   Sloane,  2005)   Existen  otros  nombres  para  un  DSL(Wikipedia,  2007a)  como:   •   Pequeños  lenguajes   •   Macros   •   Lenguajes  de  aplicación   •   Lenguajes  orientados  a  problemas   Adoptar  un  DSL  implica  riesgos  y  oportunidades(Deursen  et  al.,  2000).  Entre  los  beneficios   tenemos:   •   Expresar  en  un  nivel  de  abstracción  el  dominio  del  problema   •   Son  concisos,  autodocumentados  y  reutilizables  para  diferentes  propósitos   •   Aumentan  la  productividad,  lectura,  mantenimiento  y  portabilidad   •   Describe  un  dominio  de  conocimiento,  conservándolo  y  reutilizándolo   Las   herramientas   de   cómputo   que   implementan   un   DSL   capturan   especificaciones   en   forma   de   modelos   de   dominio.   Comúnmente   pueden   generar,   configurar   e   integrar   determinados   componentes   de   aplicaciones.   Estos   ambientes   traducen   el   diseño   verificado  mediante  un  modelado  formal  a  una  variedad  de  artefactos  que  pueden  incluir   código,  esquemas  de  bases  de  datos  y  configuraciones.(Ledeczi  et  al.,  2001).  La  intención   de  crear  un  DSL  es  llegar  a  la  generación  automática  de  código.   Se  pueden  distinguir  5  fases  para  el  desarrollo  de  un  DSL:  (Mernik  &  Sloane,  2005)  
  • 35.
    Tesis:  Modelado  Visual de  Aplicaciones  Domino   Diseño  de  software   25     •   Decisión,     •   análisis,     •   diseño,     •   implementación  e     •   implantación     Figura  7  Fases  para  el  desarrollo  de  un  DSL   En   el   modelado   de   un   dominio   específico   se   pueden   distinguir   al   menos   cuatro   direcciones(Luoma,  Kelly,  &  Tolvanen,  2004):   •   Conceptos   del   desarrollador   o   del   experto   del   dominio.   Cuando   el   lenguaje   es   modelado  por  un  experto  es  más  fácil  de  entender.   •   Salida  generada.  Definición  de  la  estructura  de  código  requerida.   •   Representatividad  del  sistema  construido.  El  modelo  debe  entenderse  claramente   cuando  es  visto  por  el  usuario  final.   •   Espacio  de  variabilidad.  Definiciones  de  lenguajes  flexibles  que  puedan  extenderse   para  ser  empleadas  en  futuras  variantes.   Para  elaborar  un  DSL  se  debe  realizar  un  análisis  de  dominio  formal.  La  salida  de  esta   etapa  es  un  modelo  de  dominio  que  consiste  de(Mernik  &  Sloane,  2005):   •   Una  definición  de  dominio  que  describe  el  alcance  del  dominio   •   Terminología  del  dominio  (vocabulario,  ontología)   Desición de elaboración Análisis del dominio Diseño Implementación Implantación
  • 36.
    Tesis:  Modelado  Visual de  Aplicaciones  Domino   Diseño  de  software   26     •   Descripciones  de  los  conceptos  del  dominio   •   Modelos  característicos  que  describen  las  constantes  y  variables  de  los  conceptos   del  dominio  y  sus  interdependencias.   El   tiempo   que   un   desarrollador   necesita   para   aprender   un   lenguaje   de   modelado   de   propósito  general  es  mayor  que  el  que  requiere  para  aprender  un  DSL.  Un  DSL  representa   de   manera   más   cercana   el   dominio   que   se   desea   modelar.   En   Nokia   por   ejemplo,   el   conocimiento  del  dominio  contenido  en  su  DSL  produjo  una  disminución  en  la  curva  de   aprendizaje   para   nuevos   empleados.   Ello   redujo   el   inicio   de   la   productividad   de   los   desarrolladores  de  seis  meses  a  2  semanas.(Kelly  &  Tolvanen,  2000)   1.3.3.   Modelado  de  dominio  específico   El   Modelado   de   dominio   específico:   DSM   (Por   sus   siglas   en   inglés:   Domain   Specific   Modeling)  comúnmente  es  utilizado  como  sinónimo  de  DSL.  Sin  embargo  un  DSL  puede   hacer   traducciones   entre   lenguajes   textuales   como   es   el   caso   de   Ruby.   (Freeze,   2006)(Cuadrado  &  Molina,  2007).     El   DSM   tiene   como   beneficio   principal   una   mayor   alineación   entre   el   modelo   de   la   aplicación  y  el  código  generado.(Kelly  &  Tolvanen,  2008)   Los  DSM  están  más  relacionados  a  herramientas  visuales  de  modelado  que  soportan  la   implementación  de  un  DSL.   Actualmente   muchas   empresas   apoyan   la   generación   de   DSM   y   su   implementación   a   través  de  sus  herramientas.  Tal  es  el  caso  de  Microsoft,  IBM,  MetaCase  y  Eclipse.   El   modelado   de   dominio   específico   requiere   principalmente   de   tres   cosas:   (Kelly   &   Tolvanen,  2008)   •   Un  lenguaje  de  modelado  de  dominio  específico   •   Un  generador  de  código  de  dominio  específico   •   Un  marco  o  herramientas  de  dominio  
  • 37.
    Tesis:  Modelado  Visual de  Aplicaciones  Domino   Diseño  de  software   27       Figura  8  Función  del  DSL   Los   generadores   de   código   asociados   a   los   DSM   surgen   como   una   evolución   de   los     lenguajes  de  cuarta  generación.   1.3.4.   Perfiles  de  UML   Un  perfil  de  UML  es  una  opción  para  definir  un  DSL  extendiendo  la  capacidad  del  UML.   Los  perfiles  de  UML  permiten  la  definición  de  estereotipos  los  cuales  son  extensiones  de   diseño   de   elementos   UML   que   permiten   contar   con   elementos   UML   con   información   adicional.(Leroux  et  al.,  2006)   La  siguiente  imagen  muestra  la  estructura  de  los  elementos  utilizados  para  definir  un  perfil   de  UML  proporcionados  por  la  especificación  del  estándar.   Un  perfil  de  UML  es  una  especificación  que  hace  una  o  más  de  las  siguientes  cosas(OMG,   2007a)(OMG,  2007b):     •   Identificar  un  subconjunto  de  el  metamodelo  UML   •   Especificar  un  conjunto  de  restricciones  para  elementos  bien  formados  mediante  el   Lenguaje  de  Restricción  de  Objetos  de  UML:  OCL  (Por  sus  siglas  en  inglés  Object   Constraint  Language)  (OMG,  2006)   •   Especificar   elementos   estándar   mediante   instancias   de   estereotipos   de   UML,   valores  etiquetados  o  restricciones   •   Especificar  la  semántica  de  los  elementos  del  perfil  expresada  en  lenguaje  natural  
  • 38.
    Tesis:  Modelado  Visual de  Aplicaciones  Domino   Diseño  de  software   28     •   Especificar  los  elementos  comunes  del  modelo  en  términos  del  perfil       Figura  9  Elementos  definidos  en  el  paquete  perfil      (OMG,  2007a)   El  OCL  puede  ser  usado  para  diferentes  propósitos:(OMG,  2006)   •   Como  un  lenguaje  de  consulta   •   Para  especificar  invariabilidad  de  clases  y  tipos  en  el  modelo  de  clases   •   Para  especificar  tipos  invariantes  para  estereotipos   •   Para  describir  pre  y  post  condiciones  en  operaciones  y  métodos   •   Para  describir  guardas   •   Para  especificar  destinos  para  mensajes  y  acciones   •   Para  especificar  restricciones  en  operaciones  
  • 39.
    Tesis:  Modelado  Visual de  Aplicaciones  Domino   Diseño  de  software   29     •   Para  especificar  reglas  de  derivación  de  atributos  para  cualquier  expresión  sobre  un   modelo  UML   Para  definir  un  perfil  debe  contarse  con  un  metamodelo  previo  que  muestre  los  elementos   del  dominio  y  sus  relaciones.   Un  metamodelo  es  un  modelo  que  define  otro  modelo.  (Leroux  et  al.,  2006)   Un  perfil  se  compone  de:     •   La  declaración  de  un  paquete  perfil  de  UML.   •   Tipos   primitivos.   Son   utilizados   en   los   estereotipos   como   etiquetas   definidas.   Pueden  estar  predefinidas  en  una  librería  del  dominio  específico  referenciada  por  el   perfil   o   pueden   importarse   de   otras   librerías   como   la   del   plugin   de   Eclipse     org.Eclipse.uml2.uml.resources.  Por  ejemplo  “texto”,  “entero”,  “booleano”.   •   Enumeraciones.  Es  un  tipo  de  dato  que  permite  definir  cualquier  número  de  valores   nombrados  definidos  por  el  usuario.  Por  ejemplo  “Tipo  de  inmueble”.   •   Valores  etiquetados(en  inglés:  enumeration literals).  Un  valor  de  dato  definido  por  el   usuario   para   ser   usado   en   una   enumeración.   Por   ejemplo   “condominio”,   “departamento”,  “residencia”   •   Estereotipos.  Definen  el  cómo  puede  ser  extendida  una  metaclase,  permitiendo  en   lugar   de   esta   el   uso   de   la   notación   o   terminología   del   dominio.   Cada   estereotipo   puede  extender  una  o  más  clases  a  través  de  extensiones  como  parte  de  un  perfil.   Por  ejemplo  <<inmueble>>,  <<constructor>>,<<comprador>>   •   Generalizaciones   de   estereotipos.   Como   en   las   clases   los   estereotipos   pueden   estar   involucrados   en   generalizaciones.   Una   generalización   es   una   relación   taxonómica   entre   un   clasificador   específico   y   un   clasificador   mas   general.   Cada   clasificador  específico  hereda  las  características  del  clasificador  general  pudiendo   agregar  sus  características  propias.     •   Propiedades   de   estereotipos.   Como   en   las   clases   los   estereotipos   pueden   tener   propiedades   o   atributos.   Cuando   un   estereotipo   es   aplicado   a   un   elemento   del  
  • 40.
    Tesis:  Modelado  Visual de  Aplicaciones  Domino   Diseño  de  software   30     modelo,   los   valores   de   las   propiedades   pueden   ser   referenciados   como   valores   etiquetados   •   Referencias  a  metaclases.  Un  perfil  es  una  forma  restricta  de  un  metamodelo  que   siempre  debe  estar  referenciado  a  un  metamodelo  (por  ejemplo  UML).  Un  perfil  no   puede   ser   usado   sin   la   referencia   a   un   metamodelo,   este   define   el   límite   para   extender  las  metaclases  de  un  metamodelo  de  referencia  vía  estereotipos.   •   Extensiones.  Son  usadas  para  indicar  que  las  propiedades  de  las  metaclases  son   extendidas   a   través   de   estereotipos   y   permiten   de   manera   flexible   aplicar   dichos   estereotipos  a  los  elementos. A medida que se desea mejorar el modelado acercándolo a las características propias del dominio, el diseño de un DSL se vuelve recomendable. Tanto los perfiles de UML como el UML están basados en el MOF estándar definido por el OMG. Existen   varios   ejemplos   de   perfiles   de   UML   empleados   en   la   actualidad.   Entre   ellos   tenemos:   •   Lenguaje   de   modelado   de   sistemas:   SysML   (por   sus   siglas   en   inglés:Systems   Modeling  Language)(Partners,  2005)   •   Perfil  de  UML  para  CORBA   •   Perfil  UML  para  distribución  de  datos   •   Perfil  de  UML  para  el  modelado  y  análisis  de  sistemas  embebidos  y  en  tiempo  real:   MARTE   (por   sus   siglas   en   inglés:   Modeling   and   Analysis   of   Real-­time   and   Embedded  Systems)    
  • 41.
    Tesis:  Modelado  Visual de  Aplicaciones  Domino   Herramientas  de  modelado   31                     2.  Capítulo:  Herramientas  de  modelado   En   esta   sección   se   presenta   la   revisan   las   características   de   las   herramientas   para   implementar  lenguajes  de  modelado  de  dominio   específico.  Las  herramientas  que  se  presentan   son:   MetaEdit+,   Microsoft   DSL   Tools   y   el   proyecto  de  modelado  de  Eclipse      
  • 42.
    Tesis:  Modelado  Visual de  Aplicaciones  Domino   Herramientas  de  modelado   32     Introducción   Existen  en  la  actualidad  varias  herramientas  para  modelado  visual  capaces  de  utilizar  un   DSL.  Entre  las  más  importantes  tenemos:     •   MetaEdit+,     •   MS  DSL  Tool,     •   Eclipse  Modeling  Framework.   Una   herramienta   no   es   suficiente   para   la   implementación   de   un   DSL.   Debe   contarse   previamente  con  el  modelo  de  domino  o  metamodelo  para  un  trabajo  completo.   2.1.   MetaEdit+   MetaEdit+  es  una  herramienta  de  la  marca  metaCASE  que  permite  diseñar  lenguajes  de   modelado  y  generación  de  código  para  automatizar  el  desarrollo  de  software.  Fue  creada   en  el  año  de  1995.   En   Metaedit+,   el   lenguaje   de   metamodelado   se   denomina   GOPPRR   (por   sus   siglas   en   inglés:   Graph,   Object,   Property,   Port,   Relationship   y   Role),   que   son   los   meta-­tipos   que   proporciona  para  describir  los  lenguajes  de  modelado.(Gomez  &  Sanchez,  )  
  • 43.
    Tesis:  Modelado  Visual de  Aplicaciones  Domino   Herramientas  de  modelado   33       Figura  10  Herramienta  MetaEdit+   Esta   herramienta   permite   representar   modelos   de   manera   textual   y   gráfica.   Dichos   metamodelos  y  los  mismos  modelos  son  almacenados  en  un  repositorio.   El  método  de  desarrollo  de  esta  herramienta  es  definir  conceptos,  propiedades  asociadas   y  reglas.   A   diferencia   de   otras   herramientas,   el   entorno   de   trabajo   que   utiliza   no   diferencia   claramente  los  conceptos  de  sintaxis  abstracta  y  sintaxis  concreta.  De  esta  forma,  cuando   se   define   un   nuevo   elemento   del   metamodelo   y   sus   propiedades,   se   diseña   también   el   aspecto  visual  del  mismo.  
  • 44.
    Tesis:  Modelado  Visual de  Aplicaciones  Domino   Herramientas  de  modelado   34       Figura  11  Arquitectura  de  MetaEdit+   Esta  herramienta  se  ha  utilizado  para  implementar  más  de  100  técnicas  de  modelado  y   docenas  de  código  y  reportes.   Esta  herramienta  ha  sido  utilizada  por  Nokia  para  personalizar  métodos  de  desarrollo  de   sistemas  de  administración  de  redes  y  sus  teléfonos  móviles.  Deloitte  &  Touche  utilizaron   metaCASE   para   implementar   una   herramienta   que   soporta   su   metodología   orientada   a   objetos.   2.2.   Microsoft  DSL  Tools   Esta   herramienta   es   una   extensión   del   Visual   Studio   que   permite   la   construcción   de   diseñadores  gráficos  y  la  generación  de  código  usando  una  notación  diagramática  para   dominio  específico.  DSL  Tools  incluye  las  siguientes  herramientas:(Cook,  Jones,  Kent,  &   Wills,  2007)  
  • 45.
    Tesis:  Modelado  Visual de  Aplicaciones  Domino   Herramientas  de  modelado   35     •   Un   asistente   de   proyectos   con   plantillas   de   soluciones   que   ayudan   a   iniciar   el   desarrollo  de  un  DSL  del  usuario   •   Un  diseñador  gráfico  para  crear  y  editar  la  definición  del  DSL   •   Un  motor  de  validación  para  asegurar  que  la  definición  del  DSL  está  bien  formada   •   Un   generador   de   código   que   toma   la   definición   del   DSL   como   entrada   para   producir  código   Para   liberar   la   herramienta   se   debe   empaquetar   la   solución,   la   cual   solo   puede   ser   ejecutada  en  el  entorno  propietario  de  Visual  Studio.   Microsoft   DSL   Tools   permiten   definir   lenguajes   gráficos   usando   sintaxis   abstracta   (metamodelo)  en  una  notación  propietaria.  La  base  de  dichos  modelos  es  el  XML  como   mecanismo  de  persistencia.     Figura  12  IDE  de  Microsoft  VisualStudio  con  DSL  Tool  
  • 46.
    Tesis:  Modelado  Visual de  Aplicaciones  Domino   Herramientas  de  modelado   36     EL   desarrollo   de   un   DSL   en   Visual   Studio   debe   tener   las   siguientes   características:   notación,   modelo   del   dominio,   generación   de   artefactos,   serialización   e   integración   con   Visual  Studio.     Figura  13  Arquitectura  DSL  Tools   Esta  herramienta  genera  un  DSL  a  través  de  un  asistente  el  cual  nos  permite  elegir  una   plantilla  base  que  puede  ser  personalizada.   El   resultado   son   dos   proyectos   enlazados   que   permiten   definir   el   DSL   y   construir   la   interface  gráfica  del  usuario.(Gomez  &  Sanchez,  )     Figura  14  Proyectos  de  Visual  Studio  al  crear  un  DSL   Desarrollo del DSL (Definición del modelo) DomainModel.dsldm Modelodel dominio Notación gráficaycajade herramienta Exploradory ventanade propiedades Validación Serialización Implantación DSL Designer (Desarrollo de la GUI) Designer.dsldd Construccion delmodelode dominio Significadodel modelo Progamación usandoDSL API
  • 47.
    Tesis:  Modelado  Visual de  Aplicaciones  Domino   Herramientas  de  modelado   37     2.3.   Proyecto  de  modelado  de  Eclipse   Eclipse  es  una  organización  que  implementa  modelos,  marcos  de  trabajo  y  herramientas   libres.   Entre  los  muchos  proyectos  con  los  que  cuenta,  se  encuentra  el  proyecto  de  modelado  de   Eclipse:  EMP  (por  sus  siglas  en  inglés:  Eclipse  Modeling  Project).  Este  proyecto  se  centra   en   el   desarrollo   de   herramientas   de   modelado   y   la   generación   automática   de   código.   Empresas   importantes   como   IBM,   Borland   y   Sun   son   algunos   de   los   principales   promotores  de  este  proyecto.   En  Eclipse  para  definir  un  DSL  puede  usarse  un  Metamodelo  generado  en  EMF  (por  sus   siglas  en  inglés:  Eclipse  Modeling  Framework).   El   modelo   fuente   de   un   proyecto   EMF   contiene   la   descripción   de   los   datos   de   una   aplicación  incluyendo:  objetos  y  sus  atributos,  relaciones,  operaciones  y  restricciones.   El  EMF  permite  generar  código  desde  meta-­modelos  definidos  como  diagramas  de  clase   de   UML   usando   plugins   apropiados.   El   EMF   puede   utilizarse   como   base   para   la   especificación  de  lenguajes  visuales.  (Ehrig  et  al.,  2005)   Los   modelos   de   dominio   o   metamodelos   (modelos   que   representan   modelos)   pueden   generarse  a  través  de  las  siguientes  opciones:   •   Interfaces  de  clases  en  Java   •   Modelo  de  clases  de    Rational  Rose   •   Documento  XML   •   Modelo  ecore   El   EMF   (Budinsky,   2003)   ofrece   además   de   la   descripción   de   un   metamodelo,   herramientas   para   importar   y   generar   código   de   modelos   fuente   en   varios   formatos,   ofreciendo  un  camino  simple  y  práctico  para  el  modelado  y  metamodelado.   Una   vez   que   se   cuenta   con   el   modelo   del   dominio   se   puede   utilizarse   el   GEF   para   la   generación  de  una  herramienta  visual.  (Moore,  2004)  
  • 48.
    Tesis:  Modelado  Visual de  Aplicaciones  Domino   Herramientas  de  modelado   38       Figura  15  Analogía  entre  Eclipse  EMF  y  GMF   Para  facilitar  la  generación  de  herramientas  gráficas  basadas  en  un  modelo  de  dominio,   Eclipse  creo  el  framework  de  modelado  gráfico:  GMF  (por  sus  siglas  en  inglés:  Graphical   Modeling  Framework).  El  objetivo  de  este  framework  es  servir  como  un  puente  amigable  al   usuario  entre  el  EMF  y  el  GEF  para  la  generación  de  editores  visuales.     Figura  16  Proceso  de  generación  de  un  modelador  con  Eclipse  GMF  
  • 49.
    Tesis:  Modelado  Visual de  Aplicaciones  Domino   Herramientas  de  modelado   39     2.4.   Elección  de  la  herramienta   Para  el  desarrollo  de  la  herramienta  de  modelado  visual  presentado  en  esta  tesis  se  ha   elegido  a  Eclipse  debido  a:   •   Utiliza  estándares  abiertos  de  modelado   •   No  requiere  costos  de  licenciamiento   •   El  componente  de  modelado  es  fácilmente  distribuible  mediante  plugins   •   La  creación  de  herramientas  visuales  es  altamente  configurable   •   Soporta  diferentes  sistemas  operativos   •   La   empresa   IBM   propietaria   de   Lotus   Notes   apoya   fuertemente   a   la   fundación   Eclipse.   IBM   está   migrando   sus   clientes   Lotus   Notes   a   esta   plataforma   lo   que   permitirá   en   trabajos   futuros   integrar   las   actividades   de   diseño   y   codificación   de   aplicaciones  en  un  mismo  entorno      
  • 50.
    Tesis:  Modelado  Visual de  Aplicaciones  Domino   Plataforma  Lotus  Notes   40                       3.  Capítulo:  Plataforma  Lotus  Notes  /  Domino   En  esta  sección  se  describen  las  características   de  la  plataforma  colaborativa  IBM  Lotus  Notes  /   Domino      
  • 51.
    Tesis:  Modelado  Visual de  Aplicaciones  Domino   Plataforma  Lotus  Notes   41     3.1.   Breve  historia   La   plataforma   IBM   Lotus   Domino/Notes   permite   el   desarrollo   e   implementación   de   aplicaciones  colaborativas  empresariales.   Entre   sus   características   más   destacables   se   encuentra   el   gran   número   sistemas   operativos  sobre  los  que  puede  ejecutarse  como:  Windows,  IBM  OS,  Mac,  Novell,    UNIX   (AIX   de   IBM,   Solaris   de   Sun,   UX   de   HP   y   Linux).   Ello   permite   a   los   programadores   la   facilidad  de  desarrollar  aplicaciones  independientemente  de  la  plataforma.(Plaza,  2000)   Lotus  Notes  está  fuertemente  orientado  al  desarrollo  de  aplicaciones  colaborativas  donde   interactúen  personas,  información  y  procesos.   Lotus  almacena  de  manera  integrada  los  datos  y  elementos  de  diseño  (estructura  de  los   datos   y   código   de   la   aplicación)(IBM,   2005a)utilizando   un   ítem   básico   llamado   nota   (en   inglés   Notes)   de   ahí   el   origen   de   su   nombre   de   marca.   Todos   estos   elementos   se   encuentran  contenidos  en  una  sola  base  de  datos  de  extensión  “nsf”.       Figura  17  Composición  de  una  BDs  Notes   3.2.   Elementos  de  diseño   Estos  elementos  de  diseño  son  utilizados  para  codificar  la  funcionalidad  de  la  aplicación.   Los   elementos   de   diseño   pueden   contener   opcionalmente   acciones,   eventos   y   otros   elementos  de  diseño.  Las  acciones  y  eventos  pueden  contener  código  en  alguno  de  los   lenguajes  soportados  como:  Java,  JavaScript,  LotusScript,  comandos  y  fórmulas.  
  • 52.
    Tesis:  Modelado  Visual de  Aplicaciones  Domino   Plataforma  Lotus  Notes   42     Un   elemento   de   diseño   puede   contener   al   mismo   tiempo   la   lógica   de   la   aplicación   (funcionalidad),  la  interfaz  del  usuario  y  la  estructura  de  datos).     Figura  18  Elementos  de  diseño  de  Lotus  Notes   Lotus  proporciona  mecanismos  para  exportación  e  importación  no  solo  de  los  datos  sino   de   la   estructura   de   sus   aplicaciones.   Para   ello   proporciona   una   estructura   XML   estandarizada  llamada  Domino  en  DTD  (por  sus  siglas  en  inglés:  Domino  Document  Type   Definitionk).(IBM,  2005b)   3.3.   Funcionalidades  y  características   Lotus  Notes  se  ha  consolidado  como  una  plataforma  colaborativa  de  desarrollo  rápido  de   aplicaciones:  RAD  (por  sus  siglas  en  inglés:  Rapid  Application  Develop).  Ello  le  permite   desarrollar  fácilmente  aplicaciones  simples.   Elementos de diseño Framesets Pages Forms Views Folders Agents WebServices Outlines SubForms Fields Columns Actions ScriptLibraries Images Files Applets StyleSheets Dataconnections Icon Using About DatabaseScript Navigators
  • 53.
    Tesis:  Modelado  Visual de  Aplicaciones  Domino   Plataforma  Lotus  Notes   43       Figura  19  Funciones  y  características  de  la  plataforma  Notes/Domino   Al   tratarse   de   un   entorno   de   desarrollo   RAD   y   su   base   de   datos   diferente   al   modelo   entidad-­relación  tradicional,  el  modelado  tradicional  de  aplicaciones  usando  lenguajes  de   propósito  general  como  el  UML,  puede  ser  complicado  y  difícilmente  estandarizado.   3.4.   Productos  de  la  plataforma   Debido  a  su  aceptación  en  el  mercado,  facilidad  de  integración  y  servicios  integrados,  IBM   ha  extendido  las  capacidades  originales  de  la  plataforma.  En  la  actualidad  bajo  la  marca   Lotus  se  han  creado  e  integrado  gran  número  de  aplicaciones  y  servidores  especializados   para   distintas   necesidades   como:   portales,   gestión   del   conocimiento,   administración   documental  y  multimedia,  BalanceScorecard,  etc.      
  • 54.
    Tesis:  Modelado  Visual de  Aplicaciones  Domino   Plataforma  Lotus  Notes   44     Categoría Productos Applications - Desktop & Enterprise Diseñadas para automatizar procesos empresariales, incrementar la productividad del personal y educación. Productivity & Office Suites •   Lotus 1-2-3 •   Lotus Organizer •   Lotus SmartSuite •   Lotus Symphony Business Integration Proporciona una infraestructura centralizada para integración de aplicaciones y automatización de procesos de negocio Application Integration and Connectivity •   Lotus Connector for SAP Solutions •   Lotus Enterprise Integrator for Domino Other Business Integration •   Workplace for SAP Software Enterprise Content Management Administración de contenido, cumplimiento con optimización de procesos de negocio y de contenido. Content Management •   Lotus Domino Document Manager •   Lotus Quickr •   Lotus Web Content Management Messaging Applications Proporcionan ambientes colaborativos integrados basados en directorios, correo electrónico y calendario de grupos. Advanced Messaging •   Lotus Complete Collaboration Express Starter Pack •   Lotus Domino •   Lotus Domino Express •   Lotus Domino WebMail •   Lotus iNotes •   Lotus Notes •   Lotus Notes Hosted Messaging •   Lotus Symphony •   Lotus Workflow Mobile, Speech and Enterprise Access Middleware que soporte el acceso a los recursos de la empresa por clientes ricos, comandos de voz y dispositivos. Mobile and Enterprise Access •   Lotus EasySync Pro •   Lotus Expeditor •   Lotus Mobile Connect Organizational Productivity, Portals and Collaboration Proporciona mensajería instantánea, conferencia Web, ambientes portales colaborativos y ambientes basados en roles. Forms Management •   Lotus Forms (Forms, Turbo) Learning Software •   Lotus Learning Management System •   Workplace Collaborative Learning Portals •   IBM Business Process Accelerator •   IBM Collaboration Accelerator •   IBM Content Accelerator •   IBM Dashboard Accelerator •   IBM Enterprise Suite Accelerator •   IBM Healthcare Accelerator •   IBM Learning Accelerator •   IBM Self-Service Accelerator
  • 55.
    Tesis:  Modelado  Visual de  Aplicaciones  Domino   Plataforma  Lotus  Notes   45     •   Lotus ActiveInsight •   Lotus Workforce Management •   Workplace for Business Controls and Reporting •   Workplace for SAP Software Enriches, extends and complements your SAP investments Real-time & Team Collaboration •   Lotus Foundations Start •   Lotus Quickr •   Lotus Quickr Content Integrator •   Lotus Sametime (Advanced, Entry, Standard, Unyte) Social Software •   Lotus Connections Security Protege  la  confidencialidad,   integridad,  privacidad  y   aseguramiento  de  sistemas  de   información. Security Compliance and Vulnerability Management •   Lotus Protector for Mail Security Software Development Herramientas  de  desarrollo  de  SW   para  construir  aplicaciones  y  soportar   la  ejecución  de  procesos  de   implantación Analysis, Modeling, Design & Construction •   Lotus Domino Designer Mashup Development •   Lotus Mashups Tabla  1  Lista  de  productos  de  Lotus  por  categoría      
  • 56.
    Tesis:  Modelado  Visual de  Aplicaciones  Domino   Lenguaje  de  modelado  de  dominio  específico  para  Lotus  Notes  /  Domino   46                   4.  Capítulo:  Lenguaje  de  modelado  de  dominio   específico  para  Lotus  Notes  /  Domino   Se  presenta  el  proceso  realizado  durante  la  I+D   para   la   definición   del   DSL   para   aplicaciones   Lotus  Notes  
  • 57.
    Tesis:  Modelado  Visual de  Aplicaciones  Domino   Lenguaje  de  modelado  de  dominio  específico  para  Lotus  Notes  /  Domino   47   4.1.   Introducción   Para  cumplir  con  el  objetivo  de  esta  tesis  el  desarrollo  se  divide  en  tres  partes  principales:   1.   La  obtención  de  un  lenguaje  de  modelado  de  dominio  específico  para  aplicaciones   Lotus  Domino   2.   El   desarrollo   de   una   herramienta   de   software   de   modelado   visual   que   permita   el   diseño  de  aplicaciones  utilizando  el  DSL  antes  mencionado   3.   El  desarrollo  de  una  herramienta  de  software  que  genere  código  automáticamente  a   partir  de  un  diagrama  o  modelo  de  aplicación  Lotus.   Para   el   primer   punto   se   obtuvo   un   DSL   comenzando   por   el   análisis   del   dominio   tecnológico  para  el  desarrollo  de  aplicaciones  Lotus  Domino.  El  producto  del  análisis  fue  la   obtención  de  un  metamodelo.  A  partir  de  este  metamodelo  se  especificó  un  perfil  de  UML   con  el  propósito  de  poder  implementarlo  en  una  herramienta  de  modelado.   En  el  segundo  punto  se  eligió  el  framework  de  modelado  de  Eclipse,  como  base  para  la   construcción  de  la  herramienta  visual  de  modelado.  La  herramienta  de  modelado  puede   ser   distribuida   a   los   diseñadores   y   desarrolladores   a   través   de   plugins.   El   producto   del   modelado   nos   entrega   dos   archivos.   Uno   contiene   la   estructura   XML   de   la   aplicación   modelada  y  el  otro  la  interfaz  gráfica  del  usuario  para  poder  visualizar  dicha  estructura.   Para  el  tercer  punto  se  desarrollo  una  aplicación  Lotus  Domino  que  importa  la  estructura   XML  de  la  aplicación  modelada,  la  transforma  en  una  definición  de  aplicación  utilizando  el   Domino  DXL  y  finalmente  genera  la  aplicación  Lotus  representada  en  el  modelo.   A  continuación  se  presenta  de  manera  detallada  el  desarrollo  de  cada  uno  de  los  puntos   de  esta  tesis.   4.2.   Proceso  para  definir  el  lenguaje   Como  se  mencionó  en  la  introducción,  el  propósito  de  esta  etapa  fue  la  obtención  de  un   DSL.     Para  definir  el  DSL  se  realizaron  los  siguientes  pasos:  
  • 58.
    Tesis:  Modelado  Visual de  Aplicaciones  Domino   Lenguaje  de  modelado  de  dominio  específico  para  Lotus  Notes  /  Domino   48   1.   Análisis  del  dominio   2.   Definición  del  metamodelo   3.   Especificación  del  DSL   4.   Validación  del  DSL     Figura  20  Proceso  para  la  obtención  del  DSL     4.2.1.   Análisis  de  dominio   El  desarrollo  de  toda  aplicación  Lotus  Domino  se  centra  en  el  uso  de  los  elementos  de   diseño  proporcionados  por  la  herramienta  de  desarrollo.   Se  aclara  que  para  propósitos  de  concordancia  con  el  nombre  de  los  elementos  de  diseño   de   Lotus   Notes,   se   ha   mantenido   su   nombre   original   en   el   idioma   inglés   ya   que   es   el   término  usado  cuando  los  programadores  se  refieren  a  ellos.   Cada  uno  de  estos  elementos  tiene  un  comportamiento  propio  el  cual  puede  ser  utilizado   para  realizar  acciones  controladas  a  través  de  código  introducido  por  el  programador.   A  continuación  se  presenta  una  descripción  breve  de  cada  uno  de  los  elementos.   Elemento  de  diseño   Descripción   DataBase   Toda  aplicación  está  contenida  en  una  base  de  datos.  La   base   de   datos   contiene   los   datos,   la   lógica   y   los   elementos  de  diseño  de  la  aplicación.     Análisis del dominio Definición del metamodelo Especificación del DSL Validación del DSL
  • 59.
    Tesis:  Modelado  Visual de  Aplicaciones  Domino   Lenguaje  de  modelado  de  dominio  específico  para  Lotus  Notes  /  Domino   49   Elemento  de  diseño   Descripción   Frameset   Representa  a  un  elemento  Frameset  en  LDD  que  permite   estructurar  páginas  Web.   Frame   Representa  a  una  sección  de  un  elemento  Frameset.   Web  Service   Representa  a  un  Servicio  Web  (aplicación  autónoma)  que   puede  invocarse  o  publicarse  en  el  Web.   Form   Representa  un  formulario  que  permite  mostrar  e  ingresar   información  a  la  BD.   Subform   Representa  a  un  subformulario  agrupador  de  elementos  y   de   cierta   funcionalidad   que   puede   compartirse   entre   formularios.   Field   Representa  a  un  campo  que  recolecta  datos  de  algún  tipo.   Page   Representa  al  elemento  Page  de  LDD  que  se  utiliza  para   presentar  información  de  la  BD.   Action  Bar   Representa   a   una   barra   de   botones.   Cada   botón   es   un   contenedor  de  acciones  programadas.   Action   Representa   código   fuente   en   algún   tipo   de   lenguaje   soportado  por  LDD.  Provee  métodos  de  rápido  acceso  a   tareas  rutinarias.   Agent   Representa   código   fuente   en   algún   tipo   de   lenguaje   soportado   por   LDD.   Permiten   automatizar   tareas   rutinarias.   ScriptLibrary   Representa   a   una   librería   codificada   en   algún   lenguaje   soportado   por   LDD.   Estas   pueden   compartirse   entre   diversos  elementos.   File   Representa   a   un   archivo   importado   en   la   BD   para   utilizarse   de   manera   compartida   en   el   diseño   de   aplicaciones.   Style  Sheet   Representa   una   hoja   de   estilo   importada   a   la   BD   que   permite  tener  mejor  control  sobre  muchos  aspectos  en  el   diseño  de  páginas  Web.   Outline   Representan  a  un  elemento  Outline  en  LDD.  Provee  una   forma  de  navegar  en  una  aplicación  a  los  usuarios.  
  • 60.
    Tesis:  Modelado  Visual de  Aplicaciones  Domino   Lenguaje  de  modelado  de  dominio  específico  para  Lotus  Notes  /  Domino   50   Elemento  de  diseño   Descripción   Outline  Entry   Representa   un   elemento   de   la   estructura   de   navegación   de  un  Outline.  Puede  ser  una  liga  o  acción  que  invoque  un   componente,  incluso  otra  aplicación  o  BD.     Image   Representa  a  una  imagen  importada  a  la  BD.   Applet   Representa  un  Applet  de  Java  importado  a  la  BD.   Computer  Text   Representa   un   campo   calculado   donde   su   valor   está   determinado   por   una   fórmula   que   el   desarrollador   programa.   Table   Representa   una   tabla   de   texto   enriquecido   que   permite   agrupar   y   presentar   información   mostrada   a   través   de   otros  elementos.   Section   Es   una   área   que   puede   expandirse   o   colapsarse   para   mostrar  u  ocultar  elementos  contenidos  en  esa  área.   Navigator   Representa   una   interfaz   que   permite   a   los   usuarios   acceder  a  otros  elementos  o  datos  de  una  BD.   View   Representa   a   una   vista   en   LDD.   Es   una   lista   de   documentos   de   una   BD   que   pueden   seleccionarse   de     acuerdo  a  un  criterio  de  selección.   Folder   Tienen  la  misma  funcionalidad  que  un  elemento  View.  La   diferencia   radica   en   que   aquí   no   existe   un   criterio   de   selección  de  documentos.   Column   Muestran   un   tipo   de   información   acerca   de   los   documentos   listados   en   un   View   o   Folder.   Son   un   componente  estructural  de  los  mismos.   Button     Hotspot   Representa   texto   o   una   imagen   en   un   campo   de   texto   enriquecido  donde  puede  hacerse  clic  para  llevar  a  cabo   una  acción,  correr  una  formular,  script  o  invocar  una  liga.   Tabla  2  Descripción  de  elementos  de  diseño  de  Lotus   Si  bien  Lotus  Domino  provee  de  los  elementos  de  diseño  anteriormente  descritos  para  ser   utilizados  como  base  del  desarrollo  de  aplicaciones,  en  la  práctica  no  todos  los  elementos   son  usados  en  una  determinada  aplicación.    
  • 61.
    Tesis:  Modelado  Visual de  Aplicaciones  Domino   Lenguaje  de  modelado  de  dominio  específico  para  Lotus  Notes  /  Domino   51   La  siguiente  tabla  muestra  la  distribución  en  el  uso  de  dichos  elementos.  Se  tomaron  para   el   análisis   tres   aplicaciones   desarrolladas   por   el   IIE   donde   intervinieron   varios   desarrolladores  en  su  codificación.     Tabla  3  Porcentaje  de  uso  de  elementos  de  diseño  en  aplicaciones  Lotus   Como   puede   observarse   la   distribución   varía   para   cada   aplicación   debido   a   la   funcionalidad  que  implementa  y  a  la  manera  en  que  un  desarrollador  implementa  dicha   funcionalidad.     La   siguiente   gráfica   muestra   como   elementos   más   importantes   a   los   archivos   y   las   imágenes.  Estos  elementos  no  contienen  propiamente  código  programado.  En  la  práctica   los  elementos  más  usados  para  programación  son  los  forms,  views,  pages  y  agents.   Framesets 17 3.85% 0 0.00% 2 0.60% Pages 55 12.47% 53 7.86% 12 3.59% Forms 76 17.23% 62 9.20% 62 18.56% Views 51 11.56% 69 10.24% 51 15.27% Folders 0 0.00% 0 0.00% 0 0.00% Agents 36 8.16% 70 10.39% 42 12.57% WebServices 0 0.00% 0 0.00% 0 0.00% Outlines 1 0.23% 0 0.00% 0 0.00% SubForms 8 1.81% 3 0.45% 6 1.80% Fields 5 1.13% 4 0.59% 3 0.90% Columns 0 0.00% 0 0.00% 0 0.00% Actions 12 2.72% 0 0.00% 2 0.60% Script  Libraries 12 2.72% 16 2.37% 6 1.80% Images 146 33.11% 130 19.29% 126 37.72% Files 11 2.49% 257 38.13% 6 1.80% Applets 0 0.00% 0 0.00% 0 0.00% Style  Sheets 9 2.04% 8 1.19% 14 4.19% Data  connections 0 0.00% 0 0.00% 0 0.00% Icon 1 0.23% 1 0.15% 1 0.30% Using 0 0.00% 0 0.00% 0 0.00% About 1 0.23% 1 0.15% 1 0.30% Database  Script 0 0.00% 0 0.00% 0 0.00% Navigators 0 0.00% 0 0.00% 0 0.00% 441 100.00% 674 100.00% 334 100.00% Minutas Aplicaciones Shared  codeShared  resources Portal ServiceDesk Elementos  de   diseño
  • 62.
    Tesis:  Modelado  Visual de  Aplicaciones  Domino   Lenguaje  de  modelado  de  dominio  específico  para  Lotus  Notes  /  Domino   52       Figura  21  Distribución  de  elementos  de  diseño  en  las  aplicaciones   Otra  característica  importante  de  los  elementos  de  diseño  es  la  capacidad  de  contener  a   otros   elementos.   Dada   esta   característica   los   elementos   pueden   ser   contenedores,   contenidos  o  ambos.   Algunos  elementos  contenidos  pueden  desplegarse  o  ser  invocados  para  su  ejecución  de   manera  directa,  otros  sin  embargo  solo  pueden  existir  como  elementos  contenidos  por  lo   que   no   pueden   ejecutarse   de   manera   directa   sino   a   través   de   la   invocación   de   su   elemento  contenedor.   Dado  lo  anterior  los  elementos  quedan  clasificados  como:   •   Principal  containers.  Elementos  de  diseño  que  pueden  contener  a  otros  elementos  y   pueden  ser  invocados  o  ejecutados  por  su  mismos   •   Secondary   containers.   Pueden   contener   a   otros   elementos   pero   no   pueden   ser   ejecutados   o   invocados   de   manera   directa   sino   a   través   de   otro   elemento   contenedor   •   No  containers.  Son  elementos  de  diseño  que  no  pueden  contener  a  otros  elementos  
  • 63.
    Tesis:  Modelado  Visual de  Aplicaciones  Domino   Lenguaje  de  modelado  de  dominio  específico  para  Lotus  Notes  /  Domino   53     Figura  22  Clasificación  de  elementos  de  diseño     Principal containersView Form Page Frameset Secondary containers Folder Outline Hotspot Table Section Frame Navigator Action ActionBar Subform No containers WebService Button File Column Agent StyleSheet Applet Field OutlineEntry ScriptLibrary
  • 64.
    Tesis:  Modelado  Visual de  Aplicaciones  Domino   Lenguaje  de  modelado  de  dominio  específico  para  Lotus  Notes  /  Domino   54   4.2.2.   Metamodelo   Como   resultado   del   análisis   de   dominio   se   obtuvo   el   siguiente   modelo   que   muestra   las   relaciones  que  existen  entre  los  elementos  de  diseño  que  componen  una  aplicación  Lotus   Domino.  Este  metamodelo  es  utilizado  como  base  para  la  definición  de  un  lenguaje  visual   de  modelo.     Figura  23  Metamodelo  de  aplicaciones  Lotus  Domino  
  • 65.
    Tesis:  Modelado  Visual de  Aplicaciones  Domino   Lenguaje  de  modelado  de  dominio  específico  para  Lotus  Notes  /  Domino   55   4.2.3.   DSL  para  aplicaciones  Lotus  Domino   La  especificación  del  DSL  se  realizó  a  través  de  un  perfil  de  UML.  Esto  nos  permite  que   pueda  ser  implementado  en  diferentes  herramientas  de  modelado  propietarias  y  libres.  De   esta  manera  puede  aprovecharse  el  esfuerzo  en  la  definición  del  lenguaje.   Cada  elemento  del  metamodelo  se  representó  como  un  estereotipo  de  UML  que  extiende   a   una   metaclase   base.   Los   estereotipos   se   agruparon   de   acuerdo   a   la   clasificación   de   contención  obtenida  en  el  metamodelo.     Figura  24  Clasificación  de  los  estereotipos  del  perfil  de  UML  para  Lotus  
  • 66.
    Tesis:  Modelado  Visual de  Aplicaciones  Domino   Lenguaje  de  modelado  de  dominio  específico  para  Lotus  Notes  /  Domino   56   En  el  perfil  se  muestran:  los  elementos  de  diseño,  su  descripción,  la  metaclase  a  la  que   extienden,  sus  relaciones  con  otros  elementos,  los  valores  etiquetados  o  propiedades  que   lo  componen,  sus  restricciones  y  el  elemento  visual  que  los  representa.   Para  propósitos  de  agilizar  la  lectura  del  trabajo  presentado  en  este  tesis,  la  especificación   completa  del  perfil  se  muestra  como  un  anexo.   4.2.4.   Validación  del  DSL   Para  validar  el  DSL  se  implementó  el  perfil  haciendo  uso  de  la  herramienta  comercial  de   modelado  Enterprise  Architect  de  la  compañía  Sparx  System,  con  el  propósito  de  realizar   una   prueba   de   modelado.   Para   ello   se   le   agregó   el   perfil   una   iconografía   prototipo   arbitraria  ya  que  la  implementación  final  se  realizara  en  la  herramienta  de  Eclipse.   Para  la  validación  se  tomó  una  aplicación  Lotus  Domino  ya  existente,  la  cual  contaba  con   diagramas  de  diseño  no  estandarizados  previamente  elaborados.     Figura  25  Ejemplos  de  diagramas  de  diseño  no  estandarizados   En  la  validación  se  revisó  que:  
  • 67.
    Tesis:  Modelado  Visual de  Aplicaciones  Domino   Lenguaje  de  modelado  de  dominio  específico  para  Lotus  Notes  /  Domino   57   •   Una  aplicación  Lotus  Domino  puede  ser  modelado  a  través  del  perfil.   •   Para  todo  elemento  de  diseño  existe  un  elemento  visual  que  lo  representa   •   Para  todo  relación  entre  los  elementos  existe  un  elemento  visual  que  lo  representa   •   Para  cada  propiedad  de  un  elemento  de  diseño  existe  un  valor  etiquetado  al  que  se   le  puede  asignar  un  valor  válido  de  acuerdo  del  DSL   Como  ejemplo  se  muestran  diagramas  de  diseño  obtenidos.     Figura  26  Ejemplo  de  diagrama  simplificado  para  la  validación  del  DSL    
  • 68.
    Tesis:  Modelado  Visual de  Aplicaciones  Domino   Lenguaje  de  modelado  de  dominio  específico  para  Lotus  Notes  /  Domino   58     Figura  27  Ejemplo  de  diseño  especificando  las  propiedades  de  los  elementos   En   la   validación   del   DSL   se   comprobaron   que   los   puntos   antes   mencionados   fueron   cubiertos.  Hecho  esto  se  procedió  a  la  elaboración  de  la  herramienta  final  en  la  plataforma   de  Eclipse.    
  • 69.
    Tesis:  Modelado  Visual de  Aplicaciones  Domino   Desarrollo  de  la  herramienta   59                 5.  Capítulo:  Desarrollo  de  la  herramienta   Se   presenta   el   proceso   realizado   para   la   implementación  de  una  herramienta  de  software   de  modelo  visual  que  implementa  el  DSL  Lotus   Domino   y   un   generador   de   código   a   partir   del   modelo.   Se   propone   una   arquitectura   para   la   implementación   de   un   extractor   de   modelos   a     partir   de   aplicaciones   existentes   utilizando   ingeniería  inversa.      
  • 70.
    Tesis:  Modelado  Visual de  Aplicaciones  Domino   Desarrollo  de  la  herramienta   60   5.1.    Componentes  de  la  herramienta   La  herramienta  desarrollada  cuenta  con  dos  componentes  principales:   •   Un  modelador  visual  que  permite  la  generación  de  diagramas  de  diseño  utilizando   el  DSL  previamente  especificado   •   Un   generador   automático   de   aplicaciones   que   permite   crear   los   elementos   de   diseño  descritos  en  el  diagrama  de  diseño.     Figura  28  Desarrollo  de  herramienta  de  modelado   A  continuación  se  describe  el  proceso  de  desarrollo  de  la  herramienta  de  software.   5.2.   Requerimientos   5.2.1.   Alcances   Esta   herramienta   permite   el   diseño   de   aplicaciones   Lotus   Domino   utilizando   el   DSL   definido   para   ello.   La   herramienta   genera   los   elementos   de   diseño   representados   en   el   modelo.  La  codificación  detallada  será  realizada  por  el  programador  en  la  aplicación  final   durante  la  fase  de  codificación.   5.2.2.   Objetivo  general  del  sistema   Modelar  aplicaciones  Lotus  Domino  y  generar  los  elementos  de  diseño  de  la  aplicación   representada  en  modelo.   5.2.3.   Funciones  del  producto   •   Permite  la  creación  de  diseños  de  aplicaciones  Lotus   •   Permite  la  generación  de  aplicaciones  a  partir  del  modelo   Desarrollo de herramienta de modelado Desarrollo de generador de aplicaciones
  • 71.
    Tesis:  Modelado  Visual de  Aplicaciones  Domino   Desarrollo  de  la  herramienta   61   5.2.4.   Usuarios     Diseñador:  Persona  responsable  del  modelado  de  la  aplicación   5.2.5.   Interfaces  y  relaciones  de  los  sistemas   El  sistema  se  dividirá  en  los  siguientes  componentes  principales:   •   Modelador   visual.   La   funcionalidad   de   modelado   se   implementará   sobre   la   plataforma  de  Eclipse  y  será  distribuible  a  través  de  un  plugin.   •   Generador  de  aplicaciones.  Esta  funcionalidad  se  implementará  en  una  aplicación   Lotus  Notes.   5.2.6.   Características  de  usuarios   Los  usuarios  de  este  sistema  deberán  tener  conocimientos  en  desarrollo  de  aplicaciones   Lotus  Notes  y  el  uso  básico  del  entorno  de  Eclipse.   5.2.7.   Restricciones   El  componente  de  modelado  se  ejecutará  sobre  el  ambiente:   •   Entorno  de  desarrollo  de  Eclipse  3.4    (Ganymade)   •   Plugin  Eclipse  Modeling  Framework    2.4   •   Plugin  Graphical  Editing  Framework  3.4   •   Plugin  Graphical  Modeling  Framework    1.0   El  componente  de  generación  de  aplicaciones  se  ejecutará  sobre  el  cliente  Lotus  Notes   versión  7  o  superior.   5.2.8.   Dependencias  y  supuestos   Se  asume  que  el  diseñador  cuenta  con  el  ambiente  de  desarrollo  instalado  en  su  equipo   personal.   5.2.9.   Características  del  sistema   El  sistema  será  usado  en  el  equipo  de  cómputo  del  diseñador.   Las  interfaces  de  la  herramienta  serán  visualizadas  desde  los  ambientes  Eclipse  y  Lotus   Notes.  
  • 72.
    Tesis:  Modelado  Visual de  Aplicaciones  Domino   Desarrollo  de  la  herramienta   62   5.2.10.   Especificación  de  casos  de  uso     Figura  29  Casos  de  uso  de  herramienta  de  modelado   Los   casos   de   uso   (por   sus   siglas   C.U.)   representan   la   funcionalidad   accesible   por   el   usuario.  Esta  funcionalidad  se  describe  a  continuación   C.U.  Gestionar  diagramas  de  diseño   El  sistema  permitirá  la  gestión  de  diagramas  de  diseño.  Se  entiende  por  gestión  las  tareas   de  creación,  modificación  y  eliminación.   Los   diagramas   de   diseño   deberán   implementar   el   DSL   para   aplicaciones   Lotus   Notes   definido  en  el  perfil  de  UML.   Un   diagrama   de   diseño   se   compone   de:   elementos   de   diseño   y   relaciones   entre   los   elementos  de  diseño.   Todo   diagrama   de   diseño   deberá   presentar   una   interfaz   gráfica   de   usuario   y   una   estructura  de  datos  para  su  procesamiento.   C.U.  Gestionar  elementos  de  diseño   El  sistema  permitirá  le  gestión  de  elementos  de  diseño  que  serán  utilizados  en  el  modelo  o   diagrama.    
  • 73.
    Tesis:  Modelado  Visual de  Aplicaciones  Domino   Desarrollo  de  la  herramienta   63   Los  elementos  de  diseño  que  se  deben  incorporar  son:   •   Principal  containers   o   View   o   Form   o   Page   o   Frameset   •   Secondary  containers   o   Folder   o   Outline   o   Hotspot   o   Table   o   Section   o   Frame   o   Navigator   o   Action   o   ActionBar   o   Subform   •   No  containers   o   WebService   o   Button   o   File   o   Column   o   Agent   o   StyleSheet   o   Applet   o   Field   o   OutlineEntry   o   ScriptLibrary  
  • 74.
    Tesis:  Modelado  Visual de  Aplicaciones  Domino   Desarrollo  de  la  herramienta   64   Cada   elemento   de   diseño   tiene   propiedades   o   atributos   configurables.   La   lista   de   propiedades  para  cada  elemento  puede  consultarse  en  el  perfil  de  UML(ver  Anexo).   Cada  uno  de  los  elementos  de  diseño  se  identificará  por  un  icono  gráfico  definido  en  el   perfil  de  UML.     C.U.  Gestionar  relaciones   El  sistema  permitirá  la  gestión  de  relaciones  que  serán  utilizadas  en  el  modelo  o  diagrama.   Una  relación  es  un  símbolo  gráfico  que  indica  que  dos  elementos  de  diseño  se  encuentran   relacionados  entre  sí.  Toda  relación  tiene  un  conector  de  origen  y  otro  de  destino.   C.U.  Generar  aplicación  Lotus   El   sistema   permitirá   la   generación   de   los   elementos   de   diseño   representados   en   un   diagrama  de  diseño  de  aplicación  Lotus  Notes.   C.U.  Importar  diagrama  de  diseño   Se   deberá   importar   la   estructura   del   diagrama   de   diseño   modelado   para   su   posterior   procesamiento.  Se  debe  implementar  un  mecanismo  de  lectura  de  dicha  estructura.   C.U.  Generar  estructura  de  aplicación  Domino   A   partir   del   modelo   importado   se   deberá   generar   una   definición   de   cada   elemento   de   diseño  en  formato  DXL  para  su  uso  posterior.     C.U.  Crear  aplicación  Lotus  Domino  modelada   Se  deberá  tomar  el  DXL  que  representa  a  la  aplicación  modelada  y  generar  una  base  de   datos  Lotus  Domino  que  contenga  los  elementos  modelados  en  el  diagrama  de  diseño  de   la  aplicación.    
  • 75.
    Tesis:  Modelado  Visual de  Aplicaciones  Domino   Desarrollo  de  la  herramienta   65   5.3.   Diseño  de  la  arquitectura   Para  cumplir  con  el  objetivo  de  la  tesis  y  cumplir  con  los  requerimientos  especificados  en   los  casos  de  uso  antes  descritos,  se  diseñó  la  arquitectura  que  se  presenta  a  continuación.   5.3.1.   Arquitectura  general  de  la  herramienta   La   herramienta   DSM   está   construida   sobre   dos   tecnologías   principales:   Eclipse   y   Lotus   Domino.   Ambas  plataformas  soportan  cada  uno  de  los  componentes  principales  de  la  herramienta.     Figura  30  Arquitectura  general  del  DSM   Los  componentes  del  sistema  interactúan  usando  el  modelo  o  diagrama  generado  por  el   diseñador.   Este   modelo   contiene   la   estructura   de   la   aplicación   (elementos   de   diseño,   atributos  y  relaciones)  a  generar.  
  • 76.
    Tesis:  Modelado  Visual de  Aplicaciones  Domino   Desarrollo  de  la  herramienta   66     Figura  31  Secuencia  de  ejecución  del  modelado  a  la  generación   5.3.2.   Diseño  de  despliegue     Figura  32  Diagrama  de  despliegue  de  la  herramienta   La  herramienta  se  ejecutará  en  una  computadora  personal  que  cuente  con  las  siguientes   características:   •   Entorno  de  desarrollo  de  Eclipse  3.4    (Ganymade)   •   Plugin  Eclipse  Modeling  Framework    2.4   •   Plugin  Graphical  Editing  Framework  3.4  
  • 77.
    Tesis:  Modelado  Visual de  Aplicaciones  Domino   Desarrollo  de  la  herramienta   67   •   Plugin  Graphical  Modeling  Framework    1.0   •   Cliente  Lotus  Notes  7  o  superior   5.3.3.   Diseño  de  interfaces   Para  que  los  dos  componentes  interactúen,  la  interfaz  de  comunicación  es  proporcionada   por  la  estructura  XML  del  diagrama  de  diseño.   El  sistema  presenta  una  interfaz  de  usuario  para  cada  uno  de  los  componentes.   Para  el  componente  de  modelado  la  interfaz  de  usuario  está  construida  sobre  el  entorno   de  Eclipse.     Esta  interfaz  se  compone  de  las  siguientes  partes:   •   Explorador  de  diagramas   •   Área  de  diseño   •   Barra  de  herramientas   •   Área  de  propiedades   •   Vista  aérea  del  diagrama  
  • 78.
    Tesis:  Modelado  Visual de  Aplicaciones  Domino   Desarrollo  de  la  herramienta   68     Figura  33  Interfaz  gráfica  del  componente  de  modelado   Para  el  componente  generador  de  aplicaciones  la  interfaz  se  compone  de:   •   Área  de  información  al  usuario  con  los  prerrequisitos  e  instrucciones  de  uso  de  la   herramienta   •   Área  de  acciones  con  las  operaciones  que  el  usuario  puede  ejecutar  
  • 79.
    Tesis:  Modelado  Visual de  Aplicaciones  Domino   Desarrollo  de  la  herramienta   69     Figura  34  Interfaz  gráfica  del  componente  de  generación  de  aplicaciones   5.3.4.   Diseño  de  los  módulos   Modelador  visual     Figura  35  Diseño  del  modelador   El  modelador  se  encuentra  construido  sobre  la  plataforma  de  Eclipse  y  el  framework  de   modelado.  
  • 80.
    Tesis:  Modelado  Visual de  Aplicaciones  Domino   Desarrollo  de  la  herramienta   70   La  herramienta  de  modelado  toma  como  base  la  especificación  del  DSL  para  aplicaciones   Lotus  Domino  Especificado  en  el  perfil  de  UML  que  puede  consultarse  en  el  documento   anexo  de  esta  tesis.   El  desarrollo  de  la  herramienta  visual  requirió  de  cuatro  proyectos  creados  en  Eclipse:   •   Proyecto   dominoapp.   Contiene   los   modelos   necesarios   para   la   generación   de   la   herramienta   visual   (modelo   de   dominio,   modelo   de   definición   gráfica,   modelo   de   herramientas  visuales,  mapeo  de  modelos  y  modelo  de  generación  de  herramienta   visual)   •   Proyecto   dominoapp.edit.   Contiene   adaptadores   que   proporcionan   una   vista   estructurada  y  desempeñan  la  edición  basada  en  componentes  de  los  objetos  del   modelo   •   Proyecto  dominoapp.editor.  Contiene  la  interfaz  gráfica  del  editor  del  dominio   •   Proyecto   dominoapp.diagram.   Contiene   el   plugin   de   la   herramienta   de   modelado   resultante   El   proyecto   dominoapp   es   el   punto   de   inicio   para   la   generación   de   la   herramienta   de   modelado.  A  continuación  se  describen  cada  uno  de  los  modelos  que  lo  componen.  
  • 81.
    Tesis:  Modelado  Visual de  Aplicaciones  Domino   Desarrollo  de  la  herramienta   71     Figura  36  Proceso  de  creación  de  la  herramienta  gráfica  basada  en  modelos     El   modelo   de   dominio   se   encuentra   definido   en   dominoapp.ecore.   Este   modelo   usa   la   metodología  ecore  para  definir  un  dominio.  Se  tomó  como  base  la  especificación  del  perfil   de  UML.     Figura  37  Estructura  del  modelo  de  dominio  dominoapp.ecore  
  • 82.
    Tesis:  Modelado  Visual de  Aplicaciones  Domino   Desarrollo  de  la  herramienta   72   La  definición  del  modelo  de  dominio  puede  realizarse  a  través  de  un  documento  XML  o   mediante  la  interfaz  gráfica  proporcionada  por  el  ambiente  de  Eclipse.     Figura  38  Documento  XML  del  modelo  de  dominio   En   el   modelo   de   dominio   se   encuentran   descritos   los   elementos   de   diseño,   sus   propiedades  y  relaciones.     Figura  39  Vista  gráfica  del  modelo  de  dominio   El  modelo  de  dominio  ecore  es  construido  sobre  el  framework  EMF  de  Eclipse.  
  • 83.
    Tesis:  Modelado  Visual de  Aplicaciones  Domino   Desarrollo  de  la  herramienta   73   El  modelo  de  generación  está  definido  en  dominoapp.genmodel.  Este  modelo  representa   como  un  objeto  raíz  al  modelo  mismo.  El  modelo  tiene  hijos  que  representan  sus  paquetes   y   dentro   se   encuentran   los   clasificadores   (clases,   tipos   de   datos   y   enumeraciones.   Los   hijos   de   las   clases   son   atributos,   referencias   y   operaciones.   Los   hijos   de   los   tipos   enumerados  sin  los  literales  de  la  enumeración.   Este   modelo   de   generación   es   la   base   para   construir   los   proyectos   dominoapp.edit   y   dominoapp.editor   que   permitirán   la   generación   de   modelos   que   obedecen   al   dominio   especificado   en   dominoapp.ecore.   Con   estos   últimos   proyectos   podemos   generar   diagramas   de   diseño   en   el   dominio   de   aplicaciones   Lotus   Notes,   sin   embargo,   solo   podremos  hacerlo  con  una  estructura  arbórea  y  no  mediante  un  área  de  diseño  gráfico.     Figura  40  Estructura  del  modelo  de  generación   El  modelo  de  generación  es  construido  sobre  el  framework  EMF  de  Eclipse.  
  • 84.
    Tesis:  Modelado  Visual de  Aplicaciones  Domino   Desarrollo  de  la  herramienta   74   El   modelo   de   definición   gráfica   se   encuentra   especificado   en   dominoapp.gmfgraph.   En   este  modelo  se  definen  las  imágenes  que  representarán  a  los  elementos  de  diseño,  los   nodos,   etiquetas,   conectores   de   relaciones   y   área   de   dibujo.   Estos   elementos   se   desplegarán  en  la  herramienta  visual  final  al  momento  de  elaborar  un  diagrama  de  diseño.     Figura  41  Modelo  de  definición  gráfica   El  modelo  de  definición  gráfica  se  almacena  en  un  documento  con  estructura  XML.  Este   modelo  está  construido  sobre  el  framework  GMF  de  Eclipse.     Figura  42  Documento  XML  del  modelo  de  definición  gráfica   El   modelo   de   definición   de   herramientas   o   tooling   está   definido   en   dominoapp.gmftool.   Este  modelo  contiene  la  especificación  de  la  paleta,  herramientas  de  creación,  acciones  y  
  • 85.
    Tesis:  Modelado  Visual de  Aplicaciones  Domino   Desarrollo  de  la  herramienta   75   otros  elementos  para  la  manipulación  de  los  elementos  gráficas.  En  términos  coloquiales   define  la  paleta  o  barra  de  herramientas  del  modelador  visual.     Figura  43  Estructura  del  modelo  de  definición  de  herramientas  o  tooling   El   modelo   de   definición   de   herramientas   se   almacena   en   un   documento   con   estructura   XML  y  está  construido  sobre  el  framework  GMF  de  Eclipse.     Figura  44  Documento  XML  del  modelo  de  definición  de  herramientas  
  • 86.
    Tesis:  Modelado  Visual de  Aplicaciones  Domino   Desarrollo  de  la  herramienta   76   El  modelo  de  definición  de  mapeo  o  mapping  está  descrito  en  dominoapp.gmfmap.  Este   modelo  integra  los  tres  modelos  importantes  para  la  generación  de  la  herramienta  gráfica:   el  modelo  de  dominio,  la  definición  gráfica  y  la  definición  de  herramientas.  Este  modelo  es   la  entrada  para  el  paso  de  transformación  del  modelo  de  generación.     Figura  45  Estructura  del  modelo  de  definición  de  mapeo  o  mapping   El  modelo  de  definición  de  mapeo  se  almacena  en  un  documento  con  estructura  XML  y   está  construido  sobre  el  framework  GMF  de  Eclipse.  
  • 87.
    Tesis:  Modelado  Visual de  Aplicaciones  Domino   Desarrollo  de  la  herramienta   77     Figura  46  Documento  XML  del  modelo  de  definición  de  mapeo   El  modelo  de  generación  GMF  se  encuentra  definido  en  dominoapp.gmfgen.  Este  modelo   configura   las   propiedades   de   generación   de   código   de   manera   similar   al   modelo   de   generación  definido  previamente  en  dominoapp.genmodel.     Figura  47  Estructura  del  modelo  de  generación  GMF  
  • 88.
    Tesis:  Modelado  Visual de  Aplicaciones  Domino   Desarrollo  de  la  herramienta   78   Este  modelo  de  generación  también  se  almacena  en  un  documento  con  estructura  XML  y   está  construido  sobre  el  framework  GMF  de  Eclipse.   El  modelo  de  generación  GMF  es  creado  a  partir  del  modelo  de  definición  de  mapeo.  Este   contiene   todos   los   ajustes   para   la   creación   del   plugin   de   modelado   en   el   proyecto   dominoapp.diagram.     A   partir   del   plugin   de   modelado   contenido   en   dominoapp.diagram   se   generan   los   diagramas  de  diseño  elaborados  por  el  usuario  desde  el  entorno  de  Eclipse.   Un  diagrama  de  aplicación  Lotus  Notes  se  compone  de  los  siguientes  archivos:   •   *.dominoapp.   Contiene   la   estructura   del   diagrama   o   modelo   de   aplicación   Lotus   Notes  creada  por  el  usuario  diseñador.   •   *.dominoapp_diagram.   Contiene   la   interfaz   gráfica   para   visualizar   y   manipular   el   diagrama  de  diseño  de  la  aplicación.     Figura  48  Ejemplo  de  estructuras  de  diseños  de  aplicaciones   La  visualización  arbórea  de  la  estructura  de  los  modelos  es  proporcionada  por  el  proyecto   dominoapp.editor.   El  estructura  de  los  diagramas  de  diseño  se  almacena  en  una  estructura  XML.  
  • 89.
    Tesis:  Modelado  Visual de  Aplicaciones  Domino   Desarrollo  de  la  herramienta   79     Figura  49  Ejemplo  de  XML  de  un  diagrama  de  diseño   Módulo  de  generación  de  aplicaciones     Figura  50  Diseño  del  generador  de  aplicaciones   El   generador   de   aplicaciones   está   construido   sobre   la   plataforma   de   Lotus   Notes   encapsulado   en   una   base   de   datos   generador.nsf.   Este   módulo   se   componen   de   dos   agentes:   •   Agente  de  importación  y  transformación.  Este  agente  toma  la  estructura  XML  del   diagrama  de  diseño  entregado  por  el  modelador  visual  en  un  archivo  *.dominoapp  y  
  • 90.
    Tesis:  Modelado  Visual de  Aplicaciones  Domino   Desarrollo  de  la  herramienta   80   lo  transforma  en  una  definición  de  aplicación  equivalente  bajo  el  formato  Domino   XML  conocido  también  como  DXL.   •   Agente  de  generación  de  aplicaciones.  Este  agente  genera  una  aplicación  *.nsf  a   partir  de  la  definición  *.dxl  entregada  por  el  agente  de  transformación.     Figura  51  Arquitectura  del  generador  de  aplicaciones   5.3.5.   Diseño  de  datos   Los   datos   de   los   modelos   se   encuentran   almacenados   en   formato   XML   y   pueden   ser   visualizados  con  ayuda  de  los  visualizadores  de  estructuras  proporcionados  por  Eclipse.  El   modelo  de  dominio  definido  en  dominoapp.ecore  contiene  la  estructura  de  datos  permitida   para  cada  elemento  de  diseño  definido.   A  continuación  se  muestra  como  ejemplo  la  estructura  de  datos  de  la  eclassdatabase  del   modelo  de  dominio  dominoapp.ecore.       Figura  52  Estructura  de  datos  de  la  eclass  database.  Vista  de  clase  
  • 91.
    Tesis:  Modelado  Visual de  Aplicaciones  Domino   Desarrollo  de  la  herramienta   81     Figura  53  Estructura  de  la  eclass  database.  Vista  de  árbol     <eClassifiers xsi:type="ecore:EClass" name="Database" eSuperTypes="#//Element"> <eStructuralFeatures xsi:type="ecore:EAttribute" name="title" eType="ecore:EDataType http://www.Eclipse.org/emf/2002/Ecore#//EString"/> <eStructuralFeatures xsi:type="ecore:EAttribute" name="server" eType="ecore:EDataType http://www.Eclipse.org/emf/2002/Ecore#//EString"/> <eStructuralFeatures xsi:type="ecore:EAttribute" name="fileName" eType="ecore:EDataType http://www.Eclipse.org/emf/2002/Ecore#//EString"/> <eStructuralFeatures xsi:type="ecore:EAttribute" name="replication" eType="ecore:EDataType http://www.Eclipse.org/emf/2002/Ecore#//EBooleanObject"/> <eStructuralFeatures xsi:type="ecore:EAttribute" name="indexed" eType="ecore:EDataType http://www.Eclipse.org/emf/2002/Ecore#//EBooleanObject"/> <eStructuralFeatures xsi:type="ecore:EAttribute" name="allowStoredForms" eType="ecore:EDataType http://www.Eclipse.org/emf/2002/Ecore#//EBooleanObject"/> <eStructuralFeatures xsi:type="ecore:EAttribute" name="maintainUnreadMarks" eType="ecore:EDataType http://www.Eclipse.org/emf/2002/Ecore#//EBooleanObject"/> <eStructuralFeatures xsi:type="ecore:EAttribute" name="replicateUnreadMarks" eType="#//WhoReplicate" defaultValueLiteral=""/> <eStructuralFeatures xsi:type="ecore:EAttribute" name="whenOpenedInBrowser" eType="#//OpenDesignElement"/> <eStructuralFeatures xsi:type="ecore:EAttribute" name="description" eType="ecore:EDataType http://www.Eclipse.org/emf/2002/Ecore#//EString"/> <eStructuralFeatures xsi:type="ecore:EAttribute" name="useJavaScript" eType="ecore:EDataType http://www.Eclipse.org/emf/2002/Ecore#//EBooleanObject"/> </eClassifiers>   Figura  54  Estructura  de  la  eclass  database.  Vista  XML   La  lista  completa  de  los  atributos  y  sus  tipos  para  todas  las  eclasses  del  dominio  pueden   consultarse  en  el  perfil  de  UML.    
  • 92.
    Tesis:  Modelado  Visual de  Aplicaciones  Domino   Desarrollo  de  la  herramienta   82       5.3.6.   Arquitectura  propuesta  para  ingeniería  inversa     Figura  55  Diseño  propuesto  para  el  extractor  de  diseño   Para  extender  la  herramienta  DSM  se  propone  la  siguiente  arquitectura  para  implementar   la  funcionalidad  de  ingeniería  inversa.   Esta  funcionalidad  permitirá  extraer  el  diseño  de  una  base  de  datos  de  aplicación  Lotus   Domino  existente.     Figura  56  Arquitectura  propuesta  para  el  extractor  de  diseño   Se   propone   que   el   extractor   de   diseño   o   de   ingeniería   inversa   esté   construido   sobre   la   plataforma  de  Lotus  Notes  encapsulado  en  una  base  de  datos  extractor.nsf.  Este  módulo   se  compondrá  de  dos  agentes:  
  • 93.
    Tesis:  Modelado  Visual de  Aplicaciones  Domino   Desarrollo  de  la  herramienta   83   •   Agente  de  extracción  de  estructura.  Este  agente  toma  una  aplicación  Lotus  Notes,   extrae  su  estructura  y  la  almacena  en  una  definición  Domino  XML  en  un  archivo   *.dxl     •   Agente   de   generación   de   diseño.   Toma   la   definición   DXL   de   la   aplicación,   la   transforma  en  la  estructura  del  diagrama  de  diseño  *.dominoapp  y  lo  guarda  en  el   disco.      
  • 94.
    Tesis:  Modelado  Visual de  Aplicaciones  Domino   Uso  de  la  herramienta   84                 6.  Capítulo:  Uso  de  la  herramienta   Se   presenta   el   uso   de   la   herramienta   desarrollada   para   el   diseño   de   aplicaciones   Lotus   Notes   y   la   generación   automática   de   código  a  partir  del  diseño.      
  • 95.
    Tesis:  Modelado  Visual de  Aplicaciones  Domino   Uso  de  la  herramienta   85   6.1.   Proceso  de  uso   Como   se   mostró   en   el   apartado   de   arquitectura,   la   herramienta   DSM   consta   de   dos   componentes:  el  modelador  y  el  generador  de  aplicaciones.   El   proceso   inicia   con   la   elaboración   de   un   diagrama   de   diseño   en   la   herramienta   de   modelado   visual.   Esta   herramienta   está   disponible   desde   el   entorno   de   desarrollo   de   Eclipse.     El   siguiente   es   la   importación   del   modelo   diseñado,   y   por   último   la   generación   de   la   aplicación   modelada   usando   el   generador   de   aplicaciones.   Esta   herramienta   de   generación  está  disponible  desde  el  entorno  de  Lotus  Notes.   La  base  de  datos  generada  contiene  los  elementos  de  diseño  descritos  en  el  diagrama  o   modelo.     Figura  57  Proceso  de  uso  de  la  herramienta      
  • 96.
    Tesis:  Modelado  Visual de  Aplicaciones  Domino   Uso  de  la  herramienta   86   6.2.   Uso  del  modelador     A  continuación  se  describe  con  mayor  detalle  el  uso  de  la  herramienta  de  DSM.     Figura  58  DSM  -­  Herramienta  de  modelado   El  modelador  está  asociado  a  un  tipo  de  proyecto  de  modelos  de  aplicaciones  Lotus  Notes   accesible  desde  el  entorno  de  Eclipse.    
  • 97.
    Tesis:  Modelado  Visual de  Aplicaciones  Domino   Uso  de  la  herramienta   87     Figura  59  Creación  de  un  modelo  de  diseño  de  Lotus  Notes/Domino   La   estructura   del   modelo   de   diseño   se   encuentra   en   un   archivo   llamado*.dominoapp   el   cual  sigue  las  reglas  definidas  en  el  modelo  de  dominio.   La   interfaz   gráfica   del   modelo   o   diagrama   se   encuentra   en   el   archivo   *.dominoapp_diagram.             Figura  60  Archivos  de  la  estructura  del  modelo  e  interfaz  gráfica  
  • 98.
    Tesis:  Modelado  Visual de  Aplicaciones  Domino   Uso  de  la  herramienta   88   Una  vez  creado  el  proyecto  de  modelado,  Eclipse  nos  presentará  el  área  de  trabajo  junto   con  las  herramientas  de  diseño  necesarias.     Figura  61  Barra  de  herramientas  de  modelado   Estas   herramientas   representan   a   los   elementos   de   diseño   de   las   aplicaciones   Lotus   Notes  y  sus  relaciones.   Para   cada   elemento   de   diseño   empleado   en   el   diagrama,   se   nos   presenta   un   área   de   propiedades   para   describir   las   características   del   elemento.   Estas   propiedades   son   distintas  para  cada  tipo  de  elemento  y  se  encuentran  definidas  en  el  modelo  de  dominio.  
  • 99.
    Tesis:  Modelado  Visual de  Aplicaciones  Domino   Uso  de  la  herramienta   89     Figura  62  Ventana  de  propiedades  de  los  elementos   Con  estas  herramientas  diseñaremos  nuestra  aplicación  Lotus  Notes.     Figura  63  Ejemplo  de  diagrama  de  diseño  elaborado  en  el  modelador   Como   se   mencionó   con   anterioridad,   la   estructura   del   modelo   se   almacena   en   un   documento  XML  con  una  estructura  arbórea.  
  • 100.
    Tesis:  Modelado  Visual de  Aplicaciones  Domino   Uso  de  la  herramienta   90     Figura  64  Estructura  resultante  del  modelo   6.3.   Uso  del  generador  de  código     Para  generar  la  aplicación  abriremos  el  componente  generador  el  cual  se  ejecuta  desde  el   entorno  Lotus  Notes.   A  partir  de  el  archivo  con  la  estructura  del  modelo  *.dominoappse  realizara  la  generación   de  la  aplicación  modelada.  
  • 101.
    Tesis:  Modelado  Visual de  Aplicaciones  Domino   Uso  de  la  herramienta   91     Figura  65  DSM  -­  Generador  de  aplicaciones   Para  ello  ejecutaremos  las  acciones  de  transformación  del  diseño  a  DXL,  importación  del   modelo  y  generación  de  la  aplicación.   Terminado  este  proceso  obtendremos  una  base  de  datos  *.nsf  que  contiene  los  elementos   de  diseño  modelados.    
  • 102.
    Tesis:  Modelado  Visual de  Aplicaciones  Domino   Pruebas   92                   7.  Capítulo:  Pruebas   Se   presenta   el   protocolo   de   pruebas   utilizado   para  la  comprobación  de  la  hipótesis  planteada   en  la  tesis      
  • 103.
    Tesis:  Modelado  Visual de  Aplicaciones  Domino   Pruebas   93   Con  el  objeto  de  comprobar  la  hipótesis  al  inicio  de  este  trabajo,  se  realizó  un  protocolo  de   pruebas  a  un  conjunto  de  desarrolladores  de  aplicaciones  Lotus  Notes.   En  la  prueba  se  buscó  conocer  el  desempeño  de  la  herramienta  para  la  elaboración  de   diagramas   de   diseño,   generación   automática   de   los   elementos   de   diseño   de   una   aplicación  Lotus  Notes  y  evaluar  su  usabilidad.   Las  pruebas  están  enfocadas  en  comprobar  las  variables  de  la  hipótesis  de:  facilidad  de   modelado  y  disminución  de  tiempo  de  desarrollo.   Los  desarrolladores  pertenecen  a  distintos  grupos  de  trabajo  por  lo  que  su  conocimiento   del   diseño   de   aplicaciones,   lenguajes   de   modelado   y   herramientas   de   modelado   es   variable.   En  las  pruebas  los  participantes  realizaron  el  mismo  ejercicio  de  diseño  con  su  modelador   habitual  y  la  herramienta  de  DSM  desarrollado  en  esta  tesis.   El  tamaño  de  la  prueba  se  vio  limitado  por  la  dificultad  para  encontrar  una  mayor  cantidad   desarrolladores   de   aplicaciones   en   la   plataforma   Lotus   Notes.   Estas   limitaciones   se   originan  por  la  dispersión  y  cantidad  de  desarrolladores  disponibles     7.1.   Protocolo  de  pruebas   A  continuación  se  muestran  las  pruebas  realizadas.     Nombre  del    tester:    ________________________________________   Fecha:  ______   Objetivo  de  la  prueba:   Conocer   el   desempeño   de   la   herramienta   en   la   elaboración   de   diagramas   diseño,   generación  de  elementos  de  una  aplicación  y  evaluar  su  usabilidad.   Perfil  del  tester   Pregunta   Respuesta   ¿Conoce   algún   lenguaje   de   modelado   de   propósito   general   como   el   UML?        
  • 104.
    Tesis:  Modelado  Visual de  Aplicaciones  Domino   Pruebas   94   R:  Si  /No   ¿Ha  realizado  diseños  de  aplicaciones?       R:  Si  /No     ¿Actualmente  elabora  diseños  para  todo  el  software  que  codifica?   R:   Nunca,   Casi   nunca,   regularmente,   la   mayoría   de   las   veces,   siempre     Ejercicios   Ejercicio  1   Creación  de  un  diagrama  de  diseño  para  aplicaciones  Lotus  Notes,  en  la   herramienta  DSM     Procedimiento   Crear   un   diagrama   de     diseño   que   modele   un   catálogo   de   usuarios   que   incluya:   •   Una  base  de  datos  de  la  aplicación   •   Una  vista   •   Una  página  para  personalizar  la  interfaz  de  la  vista   •   Un  formulario  de  captura   •   Un  agente  de  actualización   Tiempo   utilizado    ________minutos     Ejercicio  2   Creación   de   un   diagrama   de   diseño   para   aplicaciones   Lotus   Notes,   en   la   herramienta  de  modelado  de  su  preferencia   Procedimiento   Crear   un   diagrama   de     diseño   que   modele   un   catálogo   de   usuarios   que   incluya:   •   Una  base  de  datos  de  la  aplicación   •   Una  vista   •   Una  página  para  personalizar  la  interfaz  de  la  vista   •   Un  formulario  de  captura   •   Un  agente  de  actualización   Tiempo   utilizado    ________minutos     Usabilidad   Conteste  las  siguientes  preguntas:   *  Escala  de  evaluación  usada:  del  1  al  5  donde,  1  es  la  calificación  más  baja  y  5  la  más   alta.   Orientación  al  producto   Pregunta     ¿Considera  la  funcionalidad  de  modelado  de  la  herramienta  es  adecuada?     ¿Considera  la  funcionalidad  de  generación  de  aplicaciones  es  adecuada?     ¿Se  pueden  generar  todos  los  elementos  necesarios  del  diseño  solicitado?     ¿Operó  sin  fallas  el  producto  al  utilizarlo?    
  • 105.
    Tesis:  Modelado  Visual de  Aplicaciones  Domino   Pruebas   95   ¿La  interfaz  es  clara?     ¿Los  textos  son  legibles?     ¿Se  distinguen  claramente  los  elementos  gráficos  del  sistema?     Orientación  al  usuario   Pregunta     ¿Los  iconos  representan  correctamente  las  funciones?     ¿Las  herramientas  son  de  fácil  acceso?     ¿El  diagrama  elaborado  es  de  fácil  entendimiento?     ¿El  proceso  de  generar  la  aplicación  modelada  es  sencillo?     ¿Consideras  que  la  herramienta  es  fácil  de  usar?     Orientación  al  desempeño   Pregunta     ¿La  aplicación  generada  a  partir  del  diseño  corresponde  al  modelo  elaborado?     ¿Considera  que  el  diagrama  representa  de  manera  consistente  una  aplicación   real?     ¿Considera   que   puede   crear   la   estructura   de   una   aplicación   real   a   partir   del   modelo?       Orientación  al  contexto   Pregunta     ¿Considera  que  esta  herramienta  le  ayuda  a  realizar  su  trabajo?     ¿Con  esta  herramienta  mejoraría  el  diseño  de  sus  aplicaciones  Lotus  Notes?       7.2.   Interpretación  de  los  resultados   Todos   los   participantes   de   la   prueba   dijeron   conocer   algún   lenguaje   de   modelado   de   propósito  general  y  tener  experiencia  en  el  diseño  de  aplicaciones.  A  pesar  de  ello,  en  el   promedio  casi  nunca  diseñan  el  software  que  codifican.  Debido  a  esto  es  difícil  garantizar   que   una   aplicación   posea   una   buena   arquitectura   disminuyendo   la   calidad   del   software   resultante.   En  cuanto  a  la  operación  de  la  herramienta  de  DSM  elaborada  en  esta  tesis,  el  tiempo   empleado  para  la  elaboración  del  ejercicio  de  diseño  fue  de  5.6  minutos  en  promedio.  Este   tiempo   es   menor   a   los   7.8   minutos   empleados   usando   otras   herramientas   por   los   participantes.   Esto   significa   una   disminución   del   29%   en   el   tiempo   empleado   para   el   modelado.  Cabe  aclarar  que  para  los  diseñadores  esta  fue  la  primera  vez  que  usaron  el  
  • 106.
    Tesis:  Modelado  Visual de  Aplicaciones  Domino   Pruebas   96   DSM.   Con   estos   resultados   podemos   inferir   que   el   tiempo   utilizado   para   diseñar   con   el   DSM  disminuirá  aún  más  con  su  uso.   El   tiempo   promedio   necesario   para   generar   la   aplicación   a   partir   del   modelo   fue   ligeramente  superior  a  un  minuto.  Aunque  en  las  pruebas  no  se  midió  el  tiempo  necesario   para  generar  los  elementos  de  diseño  modelados  de  manera  manual,  suponemos  que  el   tiempo  utilizado  será  mayor  al  de  la  generación  automática  lo  que  apoyará  la  disminución   del  tiempo  utilizado  en  el  desarrollo  de  una  aplicación.   Las  pruebas  de  usabilidad  se  evaluaron  en  cuatro  orientaciones  o  sentidos:  al  producto,  al   usuario,   al   desempeño   y   al   contexto   del   dominio.   La   calificación   global   promedio   de   usabilidad  fue  de  4.5.   En   cuanto   al   producto   la   calificación   promedio   fue   de   4.6   lo   que   indica   en   términos   generales  que  el  DSM  como  producto  estuvo  entre  bueno  y  excelente.  En  este  rubro  las   calificaciones   más   altas   fueron   para:   la   operación   sin   fallas   de   la   herramienta   lo   que   demuestra   su   estabilidad   en   la   ejecución,   la   calidad   de   la   interfaz   de   usuario   y   la   generación  de  aplicaciones.   Desde   la   perspectiva   del   usuario   la   calificación   promedio   fue   de   4.4   que   representa   en   términos  generales  una  gran  sencillez  en  su  uso  y  fácil  entendimiento.  Destacan  en  este   rubro  la  representatividad  semántica  de  los  símbolos  gráficos  pertenecientes  al  lenguaje   de   modelado   y   la   sencillez   al   generar   automáticamente   los   elementos   de   diseño   de   la   aplicación  modelada.   En  el  desempeño  la  calificación  obtenida  fue  de  4.6,  lo  que  nos  indica  su  gran  ejecución   en   situaciones   reales.   Destaca   la   correspondencia   entre   el   diseño   y   la   aplicación   resultante,  siendo  este  el  objetivo  de  la  arquitectura  conducida  por  modelos  o  MDA.     En  términos  del  contexto  del  diseño  de  aplicaciones  Lotus  Notes,  la  calificación  obtenida   fue  de  4.6.  Los  ejecutantes  de  este  protocolo  consideran  que  el  DSM  les  ayuda  a  realizar   su  trabajo  mejorando  el  diseño  de  sus  aplicaciones.  
  • 107.
    Tesis:  Modelado  Visual de  Aplicaciones  Domino   Pruebas   97   Como   podemos   apreciar,   los   encuestados   admitieron   que   casi   nunca   diseñaban   las   aplicaciones   que   codificaban.   Con   la   herramienta   de   DSM   elaborada   en   esta   tesis   se   puede   mejorar   esta   situación   disminuyendo   el   tiempo   de   aprendizaje   en   lenguajes   de   modelado  de  propósito  general  y  herramientas  de  modelado.   A  continuación  se  presentan  los  resultados  condensados  de  las  pruebas  realizadas.   Reactivo U1 U2 U3 U4 U5 Promedio Perfil del tester Conoce algun lenguaje de modelado de proposito general como el UML Si Si Si Si Si Si Ha realizado diseños de aplicaciones Si Si SI Si Si Si Actualmente elabora diseños para todo el SW que codifica? 2 3 2 4 3 2.8 Operación de la herramienta Tiempo de elaboración del diseño con el DSM de la tesis 5 7 11 3 2 5.6 Tiempo en generar la aplicación a partir del diseño 1 2 1 1 1 1.2 Tiempo de elaboración del diseño con otro modelador 4 5 15 8 7 7.8 Modelador usado PowerPoint StarUML PowerPoint StarUML Paradigm Usabilidad - Orientación al producto 5 4.6 4.3 4.3 4.9 4.6 Considera que la funcionalidad de la herramienta es adecuada 5 4 4 4 5 4.4 Considera que la funcionalidad de generación de aplicaciones es adecuada 5 5 4 5 5 4.8 Se pueden generar todos los elementos necesarios en el diseño de prueba 5 5 4 3 5 4.4 Opera el modelador sin fallas 5 5 5 5 5 5.0 La interfaz es clara 5 4 4 5 4 4.4 Los textos son legibles 5 4 5 5 5 4.8 Se distinguen claramente los elementos gráficos 5 5 4 3 5 4.4 Usabilidad - Orientación al usuario 5.0 4.4 3.8 4.0 4.6 4.4 Los iconos representan correctamente las funciones 5 5 4 5 5 4.8 Las herramientas son de fácil acceso 5 4 4 3 5 4.2 El diagrama elaborado es de fácil de entender 5 5 3 4 5 4.4 El proceso de generar la aplicación desde el modelo es sencillo 5 5 4 4 4 4.4 Consideras que la herramienta es fácil de usar 5 3 4 4 4 4.0 Usabilidad - Orientación al performance 5.0 5.0 3.7 4.3 5.0 4.6 La aplicación generada corresponde al diagrama de diseño 5 5 4 5 5 4.8 Considera que el diagrama representa consistentemente una aplicación real 5 5 3 4 5 4.4
  • 108.
    Tesis:  Modelado  Visual de  Aplicaciones  Domino   Pruebas   98   Reactivo U1 U2 U3 U4 U5 Promedio Considera que puede crear la estructura de una app real a partir del modelo 5 5 4 4 5 4.6 Usabilidad - Orientación al contexto 5.0 4.5 3.5 5.0 5.0 4.6 Considera que esta herramienta le ayuda a realizar su trabajo 5 4 4 5 5 4.6 Con esta herramienta mejoraria el diseño de sus aplicaciones Lotus Notes 5 5 3 5 5 4.6 Usabilidad general 5.00 4.62 3.81 4.40 4.86 4.54 Tabla  4  Resultados  de  las  pruebas    
  • 109.
    Tesis:  Modelado  Visual de  Aplicaciones  Domino   Conclusiones   99                     Conclusiones   Se   presentan   las   conclusiones   del   trabajo   de   tesis,  y  los  beneficios  obtenidos      
  • 110.
    Tesis:  Modelado  Visual de  Aplicaciones  Domino   Conclusiones   100     Conclusiones     Como  indican  los  resultados  de  este  trabajo  de  tesis  y  con  base  en  la  hipótesis  planteada   al  inicio,  se  puede  concluir  que  contar  con  una  herramienta  de  modelado  para  aplicaciones   Lotus  Notes  /  Domino  facilita  el  modelado  de  las  aplicaciones  y  disminuye  el  tiempo  de   desarrollo  al  generar  la  estructura  de  la  aplicación  a  partir  de  su  diseño,  por  lo  tanto  la   hipótesis  es  cierta.   La  herramienta  facilita  el  modelado  de  las  aplicaciones  ya  que  implementa  un  lenguaje  de   modelado  visual  propio  del  dominio  de  aplicaciones  Lotus  Notes  /  Domino.  Como  se  pudo   comprobar   en   las   pruebas   de   usabilidad,   la   calificación   promedio   obtenida   para   el   modelador  fue  de  4.5  de  una  escala  de  evaluación  entre  1  y  5  lo  que  la  ubica  entre  buena   y  excelente  por  lo  tanto  queda  comprobada  la  primera  variable  de  la  hipótesis.   La  herramienta  desarrollada  en  este  trabajo  de  tesis  permite  generar  la  estructura  de  la   aplicación   a   partir   de   su   diseño,   ya   que   se   pudieron   generar   automáticamente   los   elementos   de   diseño   representados   en   el   modelo,   tal   y   como   se   comprobó   en   los   resultados  de  las  pruebas  ejecutadas  del  ejercicio  1.  En  estas  pruebas  el  tiempo  utilizado   para  el  diseño  de  una  aplicación  con  el  modelador  de  esta  tesis  disminuyó  en  un  29%  con   respecto  a  otras  herramientas  de  modelado.  Debido  a  lo  anterior  el  tiempo  de  desarrollo   de  una  aplicación  Lotus  disminuye  con  el  uso  de  la  herramienta  quedando  comprobada  la   segunda  variable  de  la  hipótesis.   El   tiempo   de   codificación   disminuirá   aún   más   gracias   a   la   generación   automática   de   código  a  partir  de  un  diseño  dado.   Como  resultado  del  trabajo  de  investigación  y  desarrollo  se  cumple  el  objetivo  general  y   los  objetivos  específicos  planteados  al  inicio  de  la  tesis  ya  que:   •   Se  obtuvo  una  herramienta  de  modelado  visual  que  permite  diseñar  aplicaciones   Lotus  Notes  y  la  generación  de  código  de  la  aplicación  correspondiente  
  • 111.
    Tesis:  Modelado  Visual de  Aplicaciones  Domino   Conclusiones   101     •   En  el  desarrollo  de  la  herramienta  se  utilizó  un  proceso  formal  de  desarrollo  de   software   que   contempla   las   actividades   de   análisis,   diseño,   desarrollo   e   implementación   •   Se  revisaron  las  herramientas  para  generación  de  código  a  través  del  modelado   visual   •   Se  definió  un  lenguaje  de  modelado  de  dominio  específico  que  permite  modelar   aplicaciones  Lotus  Notes  basado  en  la  especificación  de  Perfiles  de  UML   •   La  herramienta  desarrollada  implementa  el  lenguaje  de  dominio  específico  para   aplicaciones  Lotus  Notes   •   La   herramienta   de   software   desarrollada   permite   generar   diagramas   de   aplicaciones  utilizando  el  lenguaje  de  dominio  específico  definido   •   La  herramienta  desarrollada  genera  el  código  correspondiente  a  los  elementos   de  diseño  de  la  aplicación  a  partir  de  un  diagrama  de  diseño  de  dicha  aplicación   Beneficios     Adicionalmente,  este  trabajo  de  tesis  alcanzó  los  beneficios  esperados  de:   •   Precisión  y  acercamiento  entre  el  diseño  y  las  aplicaciones  reales,  principios  de  la   Arquitectura  Dirigida  por  Modelos   •   Uniformidad  en  los  diagramas  de  diseño   •   Aprendizaje  natural  y  rápido  del  lenguaje  visual   La  herramienta  de  modelado,  generación  de  aplicaciones  y  el  lenguaje  visual  de  dominio   específico  son  de  un  alto  grado  de  innovación  en  el  dominio  de  desarrollo  de  aplicaciones   Lotus  Notes,  ya  que  hasta  al  momento  no  existe  una  solución  similar  en  el  mercado.     Con   el   uso   de   esta   herramienta,   los   equipos   de   desarrollo   pueden   estandarizar   el   modelado  de  aplicaciones.  Adicional  a  ello,  existen  más  posibilidades  de  mejorar  la  fase   de  diseño  y  la  calidad  del  software,  ya  que  la  fase  de  diseño  es  importante  para  detectar  
  • 112.
    Tesis:  Modelado  Visual de  Aplicaciones  Domino   Conclusiones   102     errores  de  las  aplicaciones  que  pueden  presentarse  hasta  la  codificación  o  implantación   final.   Como  beneficios  adicionales  tenemos  que:   •   Se   ha   adquirido   conocimiento   valioso   para   análisis   y   definición   de   modelos   de   dominio  para  resolver  problemas  de  diseño  o  modelado  en  otras  disciplinas.   •   Se  ha  obtenido  capacidad  para  desarrollar  herramientas  visuales  de  modelado  de   dominios  y  generación  automática  de  código  o  aplicaciones.      
  • 113.
    Tesis:  Modelado  Visual de  Aplicaciones  Domino   Recomendaciones   103                     Recomendaciones   Se  presentan  las  recomendaciones  surgidas  de   este   trabajo   de   tesis,   los   trabajos   futuros   y   áreas   de   oportunidad   como   resultado   de   la   experiencia  obtenida      
  • 114.
    Tesis:  Modelado  Visual de  Aplicaciones  Domino   Recomendaciones   104     Recomendaciones  de  mejora   Es  deseable  aumentar  el  número  de  participantes  involucrados  en  las  pruebas.  Debido  a   la  cantidad  reducida  de  desarrolladores  Lotus  disponibles  y  a  la  carga  de  trabajo  de  los   mismos,  se  requiere  un  tiempo  mayor  para  la  ejecución  de  pruebas  extensas  que  escapa   al  alcance  de  este  trabajo  de  tesis.   Es  deseable  el  uso  del  modelador  y  el  generador  de  aplicaciones  en  el  desarrollo  de  un   proyecto  de  software  de  la  vida  real  para  evaluar  su  desempeño.   Trabajos  futuros   La  arquitectura  de  este  trabajo  es  extensible  lo  que  permitirá:   •   Implementar   la   funcionalidad   de   ingeniería   inversa.   En   esta   tesis   se   propone   la   arquitectura  para  esta  solución   •   Implementar   patrones   de   diseño.   Para   reutilización   de   código   y   soluciones   probadas   a   problemas   específicos,   permitiendo   explotar   el   conocimiento   de   los   desarrolladores  y  arquitectos  de  software   •   Integrar   la   herramienta   de   modelado   a   nuevas   versiones   del   IDE   de   desarrollo   Lotus  Domino  Designer.  IBM  ha  apostado  a  la  infraestructura  de  Eclipse  como  base   de  sus  herramientas  de  software   Áreas  de  oportunidad   Con   el   conocimiento   generado   en   este   trabajo   de   investigación   y   desarrollo,   tenemos   como  posibles  implementaciones  el  modelado  de:   •   Sistemas  empresariales   •   Procesos  de  negocios   •   Procesos  de  gestión  del  conocimiento   •   Procesos  de  producción,  químicos,  automotrices,  etc.   •   Procesos  de  generación  eléctrica   •   Procesos  de  distribución  
  • 115.
    Tesis:  Modelado  Visual de  Aplicaciones  Domino   Recomendaciones   105     •   Procesos  de  transformación    
  • 116.
    Tesis:  Modelado  Visual de  Aplicaciones  Domino   Bibliografía   106                   Bibliografía   Se   presentan   las   referencias   bibliográficas   utilizadas   para   el   desarrollo   y   sustento   de   la   tesis      
  • 117.
    Tesis:  Modelado  Visual de  Aplicaciones  Domino   Bibliografía   107   Referencias  bibliográficas     References Alves, A., Arkin, A., Askary, S., Barreto, C., Bloch, B., Curbera, F., et al. (2007). Web services business process execution language version 2.0. OASIS Standard, 11 Booch, G., Rumbaugh, J., & Jacobson, I. (1999). The unified modeling language user guide Addison-Wesley Reading Mass. Bos, B., Lie, H. W., Lilley, C., & Jacobs, I. (1998). Cascading style sheets, level 2 CSS2 specification. W3C Recommendations are Available at Http://www.w3.org/TR, may, 12, 80. Bottoni, P., Chang, S. K., Costabile, M. F., Levialdi, S., & Mussio, P. (2002). Modeling visual interactive systems through dynamic visual languages. Systems, Man and Cybernetics, Part A, IEEE Transactions on, 32(6), 654-669. Budgen, D. (2003). Software design Addison Wesley. Budinsky, F. (2003). Eclipse modeling framework Addison-Wesley Professional. Chen, P. P. S. (1976). The entity-relationship model—toward a unified view of data. ACM Transactions on Database Systems (TODS), 1(1), 9-36. Cook, S., Jones, G., Kent, S., & Wills, A. (2007). Domain-specific development with visual studio DSL tools. Cuadrado, J. S., & Molina, J. G. (2007). Building domain-specific languages for model-driven development. IEEE Software, , 48-55. Date, C. J., & Darwen, H. (1993). The SQL standard. Addison-Wesley Publishing Company, 1993, 414, 0-201. Deursen, A. v., Klint, P., & Visser, J. (2000). Domain-specific languages: An annotated bibliography. SIGPLAN Not., 35(6), 26-36. Ehrig, K., Ermel, C., Hänsgen, S., & Taentzer, G. (2005). Generation of visual editors as eclipse plug-ins. Proceedings of the 20th IEEE/ACM International Conference on Automated Software Engineering,
  • 118.
    Tesis:  Modelado  Visual de  Aplicaciones  Domino   Bibliografía   108   Fowler, M., Scott, K., González V, J., & Morales Peake, D. (1999). UML gota a gota. Mexico: Addison Wesley Longman de México. Freeze, J. (2006). Creating DSLs with ruby. Fuentes, L., & Vallecillo, A. (2004). Una introducción a los perfiles UML. Revista Novatica – Asociación De Técnicos De Informática, 168 Gomez, P., & Sanchez, O. Herramientas de metamodelado: Microsoft DSL tools vs MetaEdit+Universidad de Murcia. IBM. (2005a). Application development with lotus domino designer IBM. (2005b). Lotus domino designer programming guide, volume 4: XML, domino DTD, and JSP tags IBM. IBM. (2006). Rational unified process v7. USA: Kelly, S. (2004). Tools for domain-specific modeling. Dr. Dobb’s Journal, September, Kelly, S., & Tolvanen, J. P. (2000). Visual domain-specific modeling: Benefits and experiences of using metaCASE tools. International Workshop on Model Engineering, ECOOP, Kelly, S., & Tolvanen, J. P. (2008). Domain specific modeling. enabling full code generation Ledeczi, A., Bakay, A., Maroti, M., Volgyesi, P., Nordstrom, G., Sprinkle, J., et al. (2001). Composing domain-specific design environments. Computer, 34(11), 44-51. Leroux, D., Nally, M., & Hussey, K. (2006). Rational software architect: A tool for domain-specific modeling-author bios. IBM Systems Journal, 45 Luoma, J., Kelly, S., & Tolvanen, J. P. (2004). Defining domain-specific modeling languages: Collected experiences. Proceedings of the 4th OOPSLA Workshop on Domain-Specific Modeling (DSM04), Mernik, M., & Sloane, A. M. (2005). When and how to develop domain-specific languages. ACM Computing Surveys (CSUR), 37(4), 316-344. Moore, B. (2004). Eclipse development using the graphical editing framework and the eclipse modeling framework IBM, International Technical Support Organization.
  • 119.
    Tesis:  Modelado  Visual de  Aplicaciones  Domino   Bibliografía   109   Mukerji, J., & Miller, J. (2003). MDA guide V1.0.1. OMG. (2006). Object constraint language specification OMG. (2007a). OMG unified modeling language (OMG UML), infrastructure, V2.1.2 Object Management Group, Inc. OMG. (2007b). In OMG (Ed.), OMG unified modeling language (OMG UML), superstructure, V2.1.2 Parra, I. (2000). Modelado visual orientado a objetos. cenidet). Partners, S. M. L. (2005). Systems modeling language (SysML) specification Plaza, J. (2000). Lotus Notes Domino R5.x Desarrollo de aplicaciones. Pressman, R. S. (2000). Software engineer: A Practionary’s approach (5th ed.) McGraw-Hill. Rivera, G. (2008). Definición de un lenguaje de dominio específico para un entorno de desarrollo rápido de aplicaciones. cenidet). Rumbaugh, J., Jacobson, I., & Booch, G. (1998). The unified modeling language reference manual Addison-Wesley Longman Ltd. Essex, UK, UK. Steven, P., & Pooley, R. (2007). Utilización de UML en ingeniería del software con objetos y componentes. Madrid: Addison Wesley. Wikipedia. (2007a). Domain-specific programming language.http://en.wikipedia.org/wiki/Domain- specific_programming_language Wikipedia. (2007b). Visual programming language.http://en.wikipedia.org/wiki/Visual_programming_language    
  • 120.
    Tesis:  Modelado  Visual de  Aplicaciones  Domino   Anexo:  Perfil  para  aplicaciones  Lotus  Notes   110                   Anexo     En  el  anexo  se  encuentra  la  especificación  del   Lenguaje   de   Modelado   de   Dominio   Específico   para   aplicaciones   Lotus   Notes   utilizando   el   estándar  de  perfiles  de  UML          
  • 121.
    Tesis:  Modelado  Visual de  Aplicaciones  Domino   Anexo:  Perfil  para  aplicaciones  Lotus  Notes   111   Perfil  UML  para  aplicaciones  Lotus  Notes   Introducción   El  lenguaje  de  modelado  UML  (del  inglés,  Unified  Modeling  Process)  es  el  estándar  más   utilizado   para   especificar   y   documentar   cualquier   sistema   de   forma   precisa,   proporcionando  flexibilidad  y  expresividad  a  la  hora  de  modelar  sistemas.  Sin  embargo,  el   hecho  de  que  UML  sea  una  notación  de  propósito  muy  general  obliga  a  que  muchas  veces   sea  deseable  poder  contar  con  algún  lenguaje  más  específico  para  modelar  y  representar   los   conceptos   de   ciertos   dominios   particulares.   Esto   sucede,   por   ejemplo,   cuando   la   sintaxis   o   la   semántica   de   UML   no   permiten   expresar   los   conceptos   específicos   de   un   dominio,   o   cuando   se   desea   restringir   y   especializar   los   constructores   propios   de   UML,   que  suelen  ser  demasiado  genéricos  y  numerosos.  Los  Perfiles  UML  [1,  2]  constituyen  el   mecanismo   que   proporciona   el   propio   UML   para   extender   su   sintaxis   y   semántica   para   expresar  los  conceptos  específicos  de  un  determinado  dominio  de  aplicación.   OMG  (Por  sus  siglas  en  inglés:  Object  Management  Group)  define  dos  posibilidades  a  la   hora   de   definir   lenguajes   específicos   de   dominio   y   que   se   corresponden   con   las   dos   situaciones  mencionadas  anteriormente:  Definir  un  nuevo  lenguaje  (alternativa  de  UML),  o   bien   extender   el   propio   UML,   especializando   algunos   de   sus   conceptos   y   restringiendo   otros,   pero   respetando   la   semántica   original   de   los   elementos   de   UML   (clases,   asociaciones,   atributos,   operaciones,   transiciones,   etc.)   utilizando   una   serie   de   mecanismos  recogidos  llamados  Perfiles  UML.   Cada   una   de   estas   alternativas   presenta   ventajas   e   inconvenientes.   Definir   un   nuevo   lenguaje   ad   hoc   permite   mayor   grado   de   expresividad   y   correspondencia   con   los   conceptos  del  dominio  de  aplicación  particular,  al  igual  que  cuando  nos  hacemos  un  trajea   la  medida.  Sin  embargo,  el  hecho  de  no  respetar  el  metamodelo  estándar  de  UML  impide   que  las  herramientas  UML  existentes  en  el  mercado  puedan  manejar  sus  conceptos  de   una   forma   natural.   En   general,   resulta   difícil   decidir   cuándo   debemos   crear   un   nuevo   metamodelo,   y   cuándo   en   cambio   es   mejor   definir   una   extensión   de   UML   usando   los   mecanismos  de  extensión  estándares  definidos  con  ese  propósito.  
  • 122.
    Tesis:  Modelado  Visual de  Aplicaciones  Domino   Anexo:  Perfil  para  aplicaciones  Lotus  Notes   112   En   este   trabajo   se   ha   elegido   la   opción   de   extender   UML   utilizado   los   mecanismos   de   extensión   del   mismo,   los   Perfiles   UML.   Un   Perfil   se   define   en   un   paquete   UML   estereotipado   «profile»,   que   extiende   a   un   metamodelo   o   a   otro   Perfil.   Tres   son   los   mecanismos  que  se  utilizan  para  definir  Perfiles:  estereotipos  (stereotypes),  restricciones   (constraints),  y  valores  etiquetados  (taggedvalues).  El  metamodelo  realizado  para  LDD  no   se   explica   en   su   totalidad   en   este   documento,   pero   el   Perfil   realizado   contiene   una   descripción  de  todas  las  restricciones,  entidades  y  relaciones  que  el  lenguaje  utiliza  para   modelar  conceptualmente  la  estructura  de  una  aplicación  Web.   Panorama  general   La  siguiente  especificación  del  Perfil  se  basa  en  una  selección  de  los  elementos  de  diseño   que  conforman  al  entorno  de  desarrollo  Lotus  Domino  Designer.  Esta  selección  se  llevó  a   cabo   a   través   de   un   proceso   de   análisis   del   entorno,   en   donde   se   seleccionaron   un   conjunto   de   elementos   que   se   utilizan   continuamente   en   el   desarrollo   de   aplicaciones   Web.   El   análisis   también   consistió   en   la   búsqueda   de   atributos   importantes   y   de   las   relaciones  existentes  entre  los  elementos.  Un  conjunto  de  restricciones  fueron  definidas  de   acuerdo  a  la  usabilidad  y  a  los  atributos  de  cada  entidad.   Como   resultado   del   análisis   se   obtuvo   un   metamodelo   que   describe   a   las   entidades,   relaciones   y   restricciones   entre   los   elementos   seleccionados   para   el   desarrollo   de   aplicaciones   Web.   El   metamodelo   resultante   fue   traducido   a   una   notación   UML,   especializando  los  conceptos  como  clases  a  estereotipos  con  sus  respectivos  nombres  y   atributos.   Meta   El   Perfil   UML   de   Lotus   Domino   Designer   fue   diseñado   para   proveer   a   los   analistas   de   sistemas  una  manera  estándar  para  expresar  la  estructura  de  las  aplicaciones  Web  en  la   fase   de   diseño   conceptual.   Esto   significa   que   no   se   está   modelando   la   estructura   de   código   fuente   (clases,   herencia,   polimorfismo),   sino   que   LDD   utiliza   una   base   de   datos   documental  donde  no  se  utilizan  registros  organizados  por  renglones  y  columnas.  Por  el   contrario,   LDD   almacena   documentos   (información   y   estructura   de   diseño)   con   una   estructura  basada  en  los  elementos  de  diseño  y  en  la  misma  información  que  se  introduce  
  • 123.
    Tesis:  Modelado  Visual de  Aplicaciones  Domino   Anexo:  Perfil  para  aplicaciones  Lotus  Notes   113   a   través   de   estos   elementos.   Por   esta   razón   no   podemos   modelar   una   aplicación   por   medio  de  su  código  fuente,  sino  por  la  estructura  que  compone  a  un  documento,  el  cual  es   la  unidad  básica  para  almacenar  información.   Un  ejemplo  de  lo  anterior  sería:  la  base  para  crear  documentos  es  un  elemento  form,  en   éste  se  introducen  otras  entidades  como  tables,  fields,  view,  entre  otros.  Estos  elementos   permiten   tener   una   estructura   de   la   aplicación   para   introducir   información   a   la   base   de   datos  en  forma  de  un  documento.  Por  lo  tanto,  el  form  tiene  dos  funciones:  1)  introducir   información   a   través   de   sus   elementos   de   diseño   y   almacenarla   en   forma   de   un   documento;;   y   2)   el   form   es   utilizado   para   mostrar   la   información   del   documento   almacenado,   pues   es   este   formquien   tiene   la   estructura   necesaria   para   mostrar   dicha   información.  Por  esta  razón  es  que  el  Perfil  UML  para  Lotus  Domino  Designer  se  centra  en   modelar  la  estructura  de  una  aplicación  enfocada  en  el  almacenamiento  de  documentos.   Alcance   El   Perfil   UML   de   Lotus   Domino   Designer   para   aplicaciones   Web   descrito   en   esta   especificación  permite  el  diseño  conceptual  de  la  estructura  de  aplicaciones  basadas  en   bases   de   datos   documentales.   Un   ejemplo   de   la   estructura   de   un   documento   se   da   a   través  del  form.  compuesto  de  dos  elementos  de  tipo  field  y  una  entidad  de  tipo  table,  en  la   cual  se  aprecian  tres  entidades  más  de  tipo  field  con  sus  respectivas  etiquetas.  
  • 124.
    Tesis:  Modelado  Visual de  Aplicaciones  Domino   Anexo:  Perfil  para  aplicaciones  Lotus  Notes   114     Figura  66  Diseño  de  un  formulario   En  la  actualidad,  no  es  posible  expresar  a  través  de  un  lenguaje  de  modelado  la  estructura   que   tienen   las   aplicaciones   desarrolladas   en   el   entorno   de   desarrollo   Lotus   Domino   Designer.  La  mayoría  de  los  lenguajes  modelan  código  fuente  orientados  a  objetos.  Lotus   Domino  Designer  no  es  un  entorno  tradicional  de  este  tipo.   Para   modelar   una   aplicación   Domino,   se   utiliza   toda   la   semántica   que   ofrece   UML.   Un   ejemplo   es   la   instanciación   de   objetos,   que   permite   tener   diferentes   instancias   con   sus   propios  atributos.  Otro  ejemplo  es  la  forma  de  relacionar  entidades  a  través  de  relaciones   bien  definidas.  A  continuación  se  presenta  un  form  modelado  con  el  Perfil  UML  que  se   especifica  en  este  documento.  
  • 125.
    Tesis:  Modelado  Visual de  Aplicaciones  Domino   Anexo:  Perfil  para  aplicaciones  Lotus  Notes   115     Figura  67  Diagrama  de  clase  para  un  elemento  form   El   modelo   de   clases   mapea   a   través   de   este   diagrama   la   estructura   de   un   documento   creado  con  el  elemento  form  y  sus  componentes  inmersos  en  éste.  Al  mismo  tiempo  se   modela   la   estructura   de   la   aplicación.   De   esta   manera   pueden   utilizarse   todos   los   elementos,  relaciones  y  restricciones  especificadas  en  el  Perfil  para  describir  modelos  de   aplicaciones  de  LDD.  Está  permitido  a  los  modeladores  utilizar  otras  relaciones  de  UML  no   especificadas  en  el  Perfil,  de  esta  manera  se  utiliza  toda  la  semántica  y  el  poder  de  UML   con  los  nuevos  conceptos  extendidos.   Perfiles  UML Para   el   caso   en   el   que   no   queramos   modificar   la   semántica   de   UML,   sino   sólo   particularizar   algunos   de   sus   conceptos,   no   necesitamos   definir   un   nuevo   lenguaje  
  • 126.
    Tesis:  Modelado  Visual de  Aplicaciones  Domino   Anexo:  Perfil  para  aplicaciones  Lotus  Notes   116   utilizando   el   MOF.   UML   incluye   un   mecanismo   de   extensión   en   el   propio   lenguaje   que   permite  definir  lenguajes  de  modelado  que  son  derivados  de  UML.  De  forma  más  precisa,   el  paquete  Profilesde  UML  2.1.2  define  una  serie  de  mecanismos  para  extender  y  adaptar   las   metaclases   de   un   metamodelo   cualquiera   (y   no   sólo   el   de   UML)   a   las   necesidades   concretas  de  una  plataforma  (como  puede  ser  .NET,  J2EE  o  Domino)  o  de  un  dominio  de   aplicación  (tiempo  real,  modelado  de  procesos  de  negocio,  etc.).   UML   2.1.2señala   varias   razones   por   las   que   un   diseñador   puede   querer   extender   y   adaptar  un  metamodelo  existente,  sea  el  del  propio  UML,  el  de  CWM,  o  incluso  el  de  otro   Perfil:     •   Disponer  de  una  terminología  y  vocabulario  propio  de  un  dominio  de  aplicación  o  de   una  plataforma  de  implementación  concreta  (por  ejemplo,  poder  manejar  dentro  del   modelo  del  sistema  terminología  propia  de  LDD  como  formularios  o  vistas  con  su   semántica  y  propiedades  asociadas).     •   Definir  una  sintaxis  para  construcciones  que  no  cuentan  con  una  notación  propia.   •   Definir  una  nueva  notación  para  símbolos  ya  existentes,  más  acorde  con  el  dominio   de  la  aplicación  objetivo  (poder  usar,  por  ejemplo,  una  figura  con  un  ordenador  en   lugar   del   símbolo   para   representar   un   nodo   que   por   defecto   ofrece   UML   para   representar  ordenadores  en  una  red).     •   Añadir  cierta  semántica  que  no  existe  en  el  metamodelo  (por  ejemplo,  incorporación   de   tipos   de   relaciones   entre   los   elementos   de   Domino   que   son   inexistentes   en   UML).     •   Añadir  restricciones  a  las  existentes  en  el  metamodelo,  restringiendo  su  forma  de   utilización  (por  ejemplo,  impidiendo  que  ciertos  elementos  puedan  relacionarse  con   otros  de  acuerdo  a  las  propiedades  seleccionadas  de  cierto  elemento).     •   Añadir  información  que  puede  ser  útil  a  la  hora  de  transformar  el  modelo  a  otros   modelos,  o  a  código.     Un   Perfil   se   define   en   un   paquete   UML,   estereotipado   «profile»,   que   extiende   a   un   metamodelo  o  a  otro  Perfil.  Tres  son  los  mecanismos  que  se  utilizan  para  definir  Perfiles:  
  • 127.
    Tesis:  Modelado  Visual de  Aplicaciones  Domino   Anexo:  Perfil  para  aplicaciones  Lotus  Notes   117   estereotipos   (stereotypes),   restricciones   (constraints)   y   valores   etiquetados   (tagged   values).   En   primer   lugar,   un   estereotipo   viene   definido   por   un   nombre,   y   por   una   serie   de   elementos  del  metamodelo  sobre  los  que  puede  asociarse.  Gráficamente,  los  estereotipos   se   definen   dentro   de   cajas,   estereotipadas   «stereotype».   A   los   estereotipos   es   posible   asociarles   restricciones,   que   imponen   condiciones   sobre   los   elementos   del   metamodelo   que   han   sido   estereotipados.   De   esta   forma   pueden   describirse,   entre   otras,   las   condiciones  que  ha  de  verificar  un  modelo  “bien  formado”  de  un  sistema  en  un  dominio  de   aplicación.   Finalmente,   un   valor   etiquetado   es   un   meta-­atributo   adicional   que   se   asocia   a   una   metaclase  del  metamodelo  extendido  por  un  Perfil.  Todo  valor  etiquetado  ha  de  contar  con   un  nombre  y  un  tipo,  y  se  asocia  un  determinado  estereotipo.  Los  valores  etiquetados  se   representan  de  forma  gráfica  como  atributos  de  la  clase  que  define  el  estereotipo.   Elaboración  de  Perfiles  UML   En   esta   sección   se   describe   un   posible   método   de   elaboración   de   Perfiles   UML.   La   especificación  de  UML  2.1.2  sólo  se  limita  a  definir  el  concepto  de  Perfil  y  sus  contenidos.   Sin   embargo,   se   propone   una   serie   de   pasos   que   permiten   contar   con   ciertas   guías   y   recomendaciones   que   sirven   de   ayuda   a   la   hora   de   definir   un   Perfil   UML   para   una   plataforma  o  dominio  de  aplicación  concreto.  En  este  caso  queremos  definir  un  Perfil  UML   para  desarrollar  aplicaciones  Lotus  Notes  a  través  del  entorno  de  desarrollo  LDD.A  la  hora   de  definir  un  Perfil  UML,  Lidia  Fuentes    propone  seguir  los  siguientes  pasos:(Fuentes  &   Vallecillo,  2004)   1.   Antes   de   comenzar,   es   preciso   disponer   de   la   correspondiente   definición   del   metamodelo  de  la  plataforma  o  dominio  de  aplicación  a  modelar  con  un  Perfil.  Si  no   existiese,  entonces  definiríamos  dicho  metamodelo  utilizando  los  mecanismos  del   propio  UML  (clases,  relaciones  de  herencia,  asociaciones,  etc.),  de  la  forma  usual   como   lo   haríamos   si   nuestro   objetivo   no   fuese   definir   un   perfil   UML.   Deberemos  
  • 128.
    Tesis:  Modelado  Visual de  Aplicaciones  Domino   Anexo:  Perfil  para  aplicaciones  Lotus  Notes   118   incluir  la  definición  de  las  entidades  propias  del  dominio,  las  relaciones  entre  ellas,   así  como  las  restricciones  que  limitan  el  uso  de  estas  entidades  y  de  sus  relaciones.     2.   Si  ya  disponemos  del  metamodelo  del  dominio,  pasaremos  a  definir  el  Perfil.  Dentro   del  paquete  «profile»  incluiremos  un  estereotipo  por  cada  uno  de  los  elementos  del   metamodelo  que  deseamos  incluir  en  el  Perfil.  Estos  estereotipos  tendrán  el  mismo   nombre   que   los   elementos   del   metamodelo,   estableciéndose   de   esta   forma   una   relación   entre   el   metamodelo   y   el   Perfil.   En   principio   cualquier   elemento   que   hubiésemos   necesitado   para   definir   el   metamodelo   puede   ser   etiquetado   posteriormente  con  un  estereotipo.     3.   Es  importante  tener  claro  cuáles  son  los  elementos  del  metamodelo  de  UML  que   estamos  extendiendo  sobre  los  que  es  posible  aplicar  un  estereotipo.  Ejemplo  de   tales  elementos  son  las  clases,  sus  asociaciones,  sus  atributos,  las  operaciones,  las   transiciones,   los   paquetes,   etc.   De   esta   forma   cada   estereotipo   se   aplicará   a   la   metaclase   de   UML   que   se   utilizó   en   el   metamodelo   del   dominio   para   definir   un   concepto  o  una  relación.     4.   Definir   como   valores   etiquetados   de   los   elementos   del   Perfil   los   atributos   que   aparezcan   en   el   metamodelo.   Incluir   la   definición   de   sus   tipos,   y   sus   posibles   valores  iníciales.     5.   Definir  las  restricciones  que  forman  parte  del  Perfil,  a  partir  de  las  restricciones  del   dominio.  Por  ejemplo,  las  multiplicidades  de  las  asociaciones  que  aparecen  en  el   metamodelo   del   dominio,   o   las   propias   reglas   de   negocio   de   la   aplicación   deben   traducirse  en  la  definición de las correspondientes restricciones. En   la   siguiente   sección   se   abordará   el   desarrollo   del   perfil   UML   para   el   entorno   de   desarrollo  LDD  de  acuerdo  a  la  metodología  propuesta  por  Lidia  Fuentes.  Se  partirá  del   hecho  de  que  se  cuenta  con  el  metamodelo,  restricciones  y  semántica  de  cada  elemento   de  este  entorno.   Desarrollo  del  Perfil  UML  para  Lotus  Domino  Designer   Para  desarrollar  el  Perfil  para  LDD  se  seguirá  el  método  propuesto  en  la  sección  0  por   Lidia   Fuentes.   El   punto   uno   de   este   método   precisa   que   hay   que   disponer   de   una   correspondiente   definición   del   metamodelo   del   dominio   que   se   quiere   modelar.   En   la  
  • 129.
    Tesis:  Modelado  Visual de  Aplicaciones  Domino   Anexo:  Perfil  para  aplicaciones  Lotus  Notes   119   siguiente   subsección   se   describe   de   manera   general   el   metamodelo   de   LDD   para   el   desarrollo  de  aplicaciones  Web.   Metamodelo  de  Lotus  Domino  Designer   Para  el  caso  del  entorno  de  desarrollo  LDD  ya  se  cuenta  con  la  correspondiente  definición   del   metamodelo.   Éste   se   compone   de   un   conjunto   de   elementos   con   sus   propiedades,   relaciones   y   restricciones.   En   la   figura   siguiente   se   muestra   a   los   elementos   sin   su   conjunto   de   propiedades,   esto   se   debe   a   que   cada   uno   tiene   varias   propiedades   que   harían  que  el  metamodelo  fuese  muy  grande.  Algunas  relaciones  que  aparecen  no  son   propias  de  UML,  pero  aparecen  con  su  respectiva  multiplicidad.     No   se   describirá   en   esta   sección   el   conjunto   de   entidades,   restricciones   y   propiedades   debido  a  que  no  es  el  propósito  describirlas  como  lo  marca  el  método  sino  que  se  detallan   en  las  siguientes  secciones  donde  se  desarrolla  el  Perfil.     Figura 68 Metamodelo de Lotus Domino Designer
  • 130.
    Tesis:  Modelado  Visual de  Aplicaciones  Domino   Anexo:  Perfil  para  aplicaciones  Lotus  Notes   120   Definición  del  perfil   El   punto   dos   de   la   sección   0   menciona   que   para   definir   un   Perfil   se   debe   crear   un   estereotipo  dentro  del  paquete  «profile»  de  UML.  Cada  estereotipo  debe  concordar  con   algún  elemento  definido  en  el  metamodelo,  estableciéndose  así  una  relación  uno  a  uno   entre  el  metamodelo  y  el  Perfil.  Los  estereotipos  deben  tener  el  mismo  nombre  que  los   elementos  del  metamodelo.   La  siguiente  tabla  resume  los  estereotipos  definidos  para  este  Perfil,  éstos  concuerdan  con   cada   elemento   definido   en   el   metamodelo.   Los   elementos   del   metamodelo   coinciden   al   mismo  tiempo  con  cada  elemento  de  diseño  de  LDD.  En  la  tabla  no  se  indica  la  semántica,   las   propiedades   ni   las   restricciones   que   aplican   a   cada   estereotipo.   En   las   siguientes   secciones  se  describirá  con  detalle  la  semántica  y  componentes  de  cada  uno.   Nombre del elemento Nombre del Estereotipo Meta-clase base en UML Descripción IMG Data  Base   <<dataBase>>   Class   Representa   a   la   base   de   datos   que   contiene   a   todos   los   elementos   para   construir  aplicaciones  en  LDD.     Frameset   <<frameset>>   Class   Representa   a   un   elemento   Frameset   en   LDD   que   permite   estructurar   páginas   Web.     Frame   <<frame>>   Class   Representa   a   una   sección   de   un   elemento  Frameset.     Web  Service   <<webservice>>   Class   Representa   a   un   Servicio   Web   (aplicación   autónoma)   que   puede   invocarse  o  publicarse  en  el  Web.     Form   <<form>>   Class   Representa   un   formulario   que   permite   mostrar  e  ingresar  información  a  la  BD.     Subform   <<subform>>   Class   Representa   a   un   subformulario   agrupador   de   elementos   y   de   cierta   funcionalidad   que   puede   compartirse   entre  formularios.    
  • 131.
    Tesis:  Modelado  Visual de  Aplicaciones  Domino   Anexo:  Perfil  para  aplicaciones  Lotus  Notes   121   Field   <<field>>   Class   Representa   a   un   campo   que   recolecta   datos  de  algún  tipo.     Page   <<Page>>   Class   Representa   al   elemento   Page   de   LDD   que  se  utiliza  para  presentar  información   de  la  BD.     Action  Bar   <<actionBar>>   Class   Representa   a   una   barra   de   botones.   Cada   botón   es   un   contenedor   de   acciones  programadas.     Action   <<action>>   Class   Representa   código   fuente   en   algún   tipo   de   lenguaje   soportado   por   LDD.   Provee   métodos   de   rápido   acceso   a   tareas   rutinarias.     Agent   <<agent>>   Class   Representa   código   fuente   en   algún   tipo   de  lenguaje  soportado  por  LDD.  Permiten   automatizar  tareas  rutinarias.     ScriptLibrary   <<scriptlibrary>>   Class   Representa   a   una   librería   codificada   en   algún  lenguaje  soportado  por  LDD.  Estas   pueden   compartirse   entre   diversos   elementos.     File   <<file>>   Component   Representa  a  un  archivo  importado  en  la   BD  para  utilizarse  de  manera  compartida   en  el  diseño  de  aplicaciones.     Style  Sheet   <<stylesheet>>   Component   Representa  una  hoja  de  estilo  importada   a   la   BD   que   permite   tener   mejor   control   sobre  muchos  aspectos  en  el  diseño  de   páginas  Web.     Outline   <<outline>>   Class   Representan   a   un   elemento   Outline   en   LDD.   Provee   una   forma   de   navegar   en   una  aplicación  a  los  usuarios.     Outline  Entry   <<outlineEntry>>   Class   Representa  un  elemento  de  la  estructura   de  navegación  de  un  Outline.  Puede  ser   una   liga   o   acción   que   invoque   un   componente,   incluso   otra   aplicación   o   BD.       Image   <<image>>   Component   Representa  a  una  imagen  importada  a  la   BD.    
  • 132.
    Tesis:  Modelado  Visual de  Aplicaciones  Domino   Anexo:  Perfil  para  aplicaciones  Lotus  Notes   122   Applet   <<applet>>   Component   Representa  un  Applet  de  Java  importado   a  la  BD.     Computer   Text   <<computertext> >   Class   Representa   un   campo   calculado   donde   su   valor   está   determinado   por   una   fórmula  que  el  desarrollador  programa.     Table   <<table>>   Class   Representa   una   tabla   de   texto   enriquecido   que   permite   agrupar   y   acomodar  información  mostrada  a  través   de  otros  elementos.     Section   <<section>>   Class   Es   una   área   que   puede   expandirse   o   colapsarse   para   mostrar   u   ocultar   elementos  contenidos  en  esa  área.     Navigator   <<navigator>>   Class   Representa   una   interfaz   que   permite   a   los  usuarios  acceder  a  otros  elementos  o   datos  de  una  BD.     View   <<view>>   Class   Representa  a  una  vista  en  LDD.  Es  una   lista   de   documentos   de   una   BD   que   pueden   seleccionarse   de     acuerdo   a   un   criterio  de  selección.     Folder   <<folder>>   Class   Tienen   la   misma   funcionalidad   que   un   elementoView.   La   diferencia   radica   en   que   aquí   no   existe   un   criterio   de   selección  de  documentos.     Column   <<column>>   Class   Muestran   un   tipo   de   información   acerca   de  los  documentos  listadosen  un  View  o   Folder.   Son   un   componente   estructural   de  los  mismos.     Button   <<button>>   Class   Representa   un   botón   em   que   puede   hacerse   clic   y   ejecutar   una   acción   codificada     Hotspot   <<hotspot>>   Class   Representa   texto   o   una   imagen   en   un   campo  de  texto  enriquecido  donde  puede   hacerse   clic   para   llevar   a   cabo   una   acción,   correr   una   formular,   script   o   invocar  una  liga.    
  • 133.
    Tesis:  Modelado  Visual de  Aplicaciones  Domino   Anexo:  Perfil  para  aplicaciones  Lotus  Notes   123   Tabla 5 Estereotipos definidos para Lotus Domino Designer   Metamodelo  Virtual  (MV)   El  Metamodelo  Virtual  (MV)  es  un  modelo  formal  de  un  conjunto  de  extensiones  de  UML   expresadas   en   notación   UML.   El   MV   para   el   perfil   UML   de   Lotus   Domino   Designer   se   presenta  en  esta  sección  como  un  conjunto  de  clases  que  concuerdan  con  el  metamodelo   mostrado  anteriormente.   Cada  uno  de  los  elementos  que  conforman  el  metamodelo  tienen  alguna  de  las  siguientes   categorías:   contenedores   principales   (principal   containers),   contenedores   secundarios   (secondary   containers)   o   no   contenedores   (no   containeres).   Esta   clasificación   se   utiliza   para  saber  si  cierto  elemento  puede  ser  relacionado  con  otro  a  través  de  alguna  de  las   relaciones  definidas    posteriormente  en  el  Perfil.     Containment   <<contention>>   Aggregation   Representa   un   tipo   de   relación   más   fuerte   que   la   asociación   pero   más   débil   que  la  agregación  en  UML.     Reflexive   Containment   <<ReflexiveConte ntion>>   Aggregation   Relación  similar  a  la  “<<contention>>”,  se   diferencia   en   que   sólo   se   utiliza   para   relacionar  elementos  del  mismo  tipo.   R  
  • 134.
    Tesis:  Modelado  Visual de  Aplicaciones  Domino   Anexo:  Perfil  para  aplicaciones  Lotus  Notes   124         Los  principales  contenedores  que  aparecen  en  el  diagrama  de  paquete  principalcontainers   en   la   son   elementos   que   pueden   ejecutarse   en   una   aplicación   sin   necesidad   de   estar   contenidos  en  otros  elementos.  En  la  figura  falta  el  elemento  agent,  este  elemento  también   puede   existir   sin   la   necesidad   de   estar   contenido   en   otro   elemento,   pero   al   no   ser   un   contenedor,   no   puede   entrar   en   esta   clasificación.   En   esta   figura   también   aparecen   los   elementos  contenedores  de  segunda  importancia.  Se  les  ha  denominado  así  debido  a  que   no  pueden  ejecutarse  en  una  aplicación  sin  estar  sobre  un  elemento  contenedor  principal.   Figura 69 Clasificación de los estereotipos de LDD
  • 135.
    Tesis:  Modelado  Visual de  Aplicaciones  Domino   Anexo:  Perfil  para  aplicaciones  Lotus  Notes   125   Por   último   aparecen   los   elementos   que   no   son   contendores,   éstos   sólo   pueden   estar   contenidos  tanto  en  contenedores  principales  como  secundarios.   Para  definir  el  metamodelo  de  LDD  se  tomaron  los  elementos  definidos  durante  el  análisis   del   entorno   de   desarrollo,   así   como   las   relaciones   encontradas   para   cada   elemento   en   términos  de  usabilidad.  El  metamodelo  no  muestra  a  todos  los  elementos  que  LDD  tiene   para   el   diseño   de   sistemas,   sino   a   los   más   comunes   y   usables   en   la   construcción   de   aplicaciones   Web.   Las   relaciones   son   las   que   se   dan   de   manera   natural   al   diseñar   la   estructura  de  una  aplicación  Domino.  Cabe  mencionar  que  existen  relaciones  que  no  se   dan   de   manera   natural   porque   el   desarrollador   necesita   realizar   alguna   artimaña   para   poder   empotrar   un   elemento   sobre   otro   o   poder   realizar   alguna   función   específica   con   algún  elemento.   Como   cabecera   del   metamodelo   se   muestra   al   estereotipo   Database.   Éste   indica   que   todos   los   objetos   son   elementos   de   diseño   de   LDD   y   que   todos   los   elementos   están   incluidos   en   la   base   de   datos.   Ésta   es   un   elemento   que   colecciona   información   relacionada  y  se  almacena  en  un  solo  archivo  con  extensión  NSF.  Una  base  de  datos  en   Lotus  Notes/Domino  no  utiliza  la  misma  semántica  que  una  base  de  datos  relacional.   En  una  base  de  datos  de  Lotus  Notes/Domino  se  almacena  información  acerca  del  diseño   de   la   aplicación   en   forma   de   datos   estructurados   (información   sobre   el   diseño   de   la   aplicación),  código  y  la  propia  información  que  se  introduce  desde  el  mundo  exterior.  Esta   información  o  datos  que  introduce  el  usuario  en  una  aplicación  se  organiza  en  forma  de   documentos.  Un  documento  se  define  como  un  objeto  que  contiene  texto,  gráficos,  video,   objetos  de  audio  o  cualquier  tipo  de  dato  de  texto  enriquecido.  Los  documentos  se  crean  a   través  de  los  elementos  de  diseño  que  LDD  ofrece.  Por  ejemplo,  comúnmente  a  través  de   forms.  Por  otra  parte  una  base  de  datos  relacional  no  utiliza  la  misma  semántica,  sino  que   necesita  de  campos  y  registros  para  almacenar  la  información.   Otra  característica  importante  es  que  la  mayoría  de  las  aplicaciones  que  se  hacen  en  el   desarrollo  tradicional  pueden  existir  sin  la  necesidad  de  una  base  de  datos,  mientras  que   en  LDD  es  necesario  primero  crear  la  base  de  datos  donde  se  almacenara  la  estructura  de  
  • 136.
    Tesis:  Modelado  Visual de  Aplicaciones  Domino   Anexo:  Perfil  para  aplicaciones  Lotus  Notes   126   la  aplicación  y  los  datos.  Por  lo  tanto  una  aplicación  de  LDD    y  sus  elementos  no  pueden   existir  sin  una  base  de  datos  y  esta  es  la  razón  por  la  cual  el  elemento  base  de  datos   encabeza  el  diseño  del  metamodelo.   Los   elementos   pueden   clasificarse   de   tres   formas   como   se   mencionó   anteriormente:   principales   contenedores,   contenedores   secundarios   y   no   contenedores.   Los   principales   contenedores  pueden  contener  a  la  mayoría  de  los  elementos.  Entre  los  más  importantes   para  introducir  información  a  la  base  de  datos  se  encuentran  los  forms.  En  el  metamodelo   se  muestra  que  un  form  y  su  especialización  subform  pueden  contener  a  la  gran  mayoría   de  los  elementos,  por  ejemplo  pueden  contener  fields,  sections,  navigators,  entre  otros.   Los  views  son  el  principal  elemento  que  permite  mostrar  información  contenida  en  la  base   de  datos.  También  se  puede  mostrar  información  en  un  page  o  en  un  frameset.   El   MV   representa   entonces   a   los   elementos   analizados   y   obtenidos   como   resultado   del   análisis  del  entorno  RAD  Lotus  Domino  Designer.  También  representa  las  relaciones  más   comunes   entre   los   elementos   que   utiliza   LDD.   Este   metamodelo   la   transición   entre   el   metamodelo   de   la   figura   68   y   el   metamodelo   definido   en   UML.   Éste   muestra   a   los   elementos,   relaciones     y   permite   especificar   nuevos   modelos.   Las   relaciones   definidas   posteriormente   en   el   Perfil   permiten   ver   la   usabilidad   entre   elementos.   Por   ejemplo,   un   elemento   view   debe   contener   al   menos   a   un   elemento   column;;   un   navigator   puede   contener   a   un   elemento   hotspot,   entre   otros.   Este   tipo   de   relaciones   son   las   que   se   muestran   a   través   del   metamodelo,   además   también   se   pueden   observar   propiedades   como  la  multiplicidad.    
  • 137.
    Tesis:  Modelado  Visual de  Aplicaciones  Domino   Anexo:  Perfil  para  aplicaciones  Lotus  Notes   127     Figura  70  Metamodelo  de  Lotus   Representación  de  los  estereotipos   El  MV  representa  un  estereotipo  como  una  clase  estereotipada  «stereotype».  Por  ejemplo,   una  clase  estereotipada  «Form»  representa  a  un  elemento  cuyo  proveedor  es  el  elemento  
  • 138.
    Tesis:  Modelado  Visual de  Aplicaciones  Domino   Anexo:  Perfil  para  aplicaciones  Lotus  Notes   128   Class,   el   cual   pertenece   al   metamodelo   de   UML   que   está   siendo   extendido.   Los   estereotipos  que  se  definieron  de  acuerdo  a  los  elementos  de  LDD  son  extensiones  de  las   metaclases  Class,  Component  y  Aggregation.     Figura  71  Extendiendo  al  metaelemento  Class   En   la   imagen   anterior   se   muestran   los   estereotipos   que   especializan   y   extienden   a   la   metaclase  Class.  Las  clases  con  la  leyenda  «enumeration»  corresponden  a  opciones  de   alguna   propiedad   específica   de   un   estereotipo.   Por   ejemplo,   la   clase   VersioningForm   corresponde  a  las  opciones  posibles  para  la  propiedad  Versioning  del  estereotipo  Form.    
  • 139.
    Tesis:  Modelado  Visual de  Aplicaciones  Domino   Anexo:  Perfil  para  aplicaciones  Lotus  Notes   129         La  imagen  muestra  a  los  estereotipos  page,  subform,  frameset  y  frame  extendiendo  a  la   metaclase  Class.  También  se  muestran  sus  valores  etiquetados  (atributos  del  estereotipo)   y   algunas   clases   de   tipo   «enumeration»   correspondientes   a   propiedades   de   los   estereotipos.   Figura 72 Continuación de la extensión del metaelemento Class  
  • 140.
    Tesis:  Modelado  Visual de  Aplicaciones  Domino   Anexo:  Perfil  para  aplicaciones  Lotus  Notes   130         La   figura   anterior   muestra   a   los   estereotipos   fieldy   action   extendiendo   a   la   metaclase   Class.  También  se  muestran  sus  valores  etiquetados  (atributos  del  estereotipo)  y  algunas   clases  de  tipo  «enumeration»  correspondientes  a  propiedades  de  los  estereotipos.     Figura 73 Continuación de la extensión del metaelemento Class  
  • 141.
    Tesis:  Modelado  Visual de  Aplicaciones  Domino   Anexo:  Perfil  para  aplicaciones  Lotus  Notes   131           En  esta  imagen  se  muestra  a  los  estereotipos  view  y  folder  extendiendo  a  la  metaclase   Class.  También  se  muestran  sus  valores  etiquetados  (atributos  del  estereotipo)  y  algunas   clases  de  tipo  «enumeration»  correspondientes  a  propiedades  de  los  estereotipos.     Figura 74 Continuación de la extensión del metaelemento Class  
  • 142.
    Tesis:  Modelado  Visual de  Aplicaciones  Domino   Anexo:  Perfil  para  aplicaciones  Lotus  Notes   132   La  siguiente  imagen  muestra  a  los  estereotipos  file,  image,  applety  stylesheet  extendiendo   a  la  metaclase  Component.  También  se  muestran  sus  valores  etiquetados  (atributos  del   estereotipo)  y  algunas  clases  de  tipo  «enumeration»  correspondientes  a  propiedades  de   los  estereotipos.       Figura 75 Continuación de la extensión del metaelemento Class  
  • 143.
    Tesis:  Modelado  Visual de  Aplicaciones  Domino   Anexo:  Perfil  para  aplicaciones  Lotus  Notes   133         La   imagen   muestra   a   los   estereotipos   outline,   computertext,   outlineEntryy   hotspot   extendiendo   a   la   metaclase   Class.   También   se   muestran   sus   valores   etiquetados   (atributos   del   estereotipo)   y   algunas   clases   de   tipo   «enumeration»   correspondientes   a   propiedades  de  los  estereotipos.     Figura 76 Continuación de la extensión del metaelemento Class  
  • 144.
    Tesis:  Modelado  Visual de  Aplicaciones  Domino   Anexo:  Perfil  para  aplicaciones  Lotus  Notes   134         La   figura   muestra   a   los   estereotipos   agent   y   button   extendiendo   a   la   metaclase   Class.   También  se  muestran  sus  valores  etiquetados  (atributos  del  estereotipo)  y  algunas  clases   de  tipo  «enumeration»  correspondientes  a  propiedades  de  los  estereotipos.     Figura 77 Continuación de la extensión del metaelemento Class  
  • 145.
    Tesis:  Modelado  Visual de  Aplicaciones  Domino   Anexo:  Perfil  para  aplicaciones  Lotus  Notes   135             La  imagen  muestra  a  los  estereotipos  scriptlibrary,  section,  actionbar,  table  y  webservice   extendiendo   a   la   metaclase   Class.   También   se   muestran   sus   valores   etiquetados   (atributos   del   estereotipo)   y   algunas   clases   de   tipo   «enumeration»   correspondientes   a   propiedades  de  los  estereotipos.   Figura 78 Continuación de la extensión del metaelemento Class  
  • 146.
    Tesis:  Modelado  Visual de  Aplicaciones  Domino   Anexo:  Perfil  para  aplicaciones  Lotus  Notes   136         Esta  imagen  muestra  a  los  estereotipos  contention  y  reflexivecontention  extendiendo  a  la   metaclase  Aggregation.   Descripción  de  cada  estereotipo   En  esta  sección  se  describirá  con  detalle  cada  uno  de  los  estereotipos  introducidos  en  el   metamodelo  virtual,  así  como  sus  valores  etiquetados  (atributos)  y  restricciones.     Estereotipo  «Database»   Descripción   Es   la   base   para   crear   aplicaciones   en   LDD   y   para   todos   los   estereotipos.   Sin   la   creación  de  éste  no  puede  utilizarse  ningún  otro  estereotipo.  Representa  a  la  base   de  datos  que  contiene  a  todos  los  elementos  para  construir  aplicaciones  en  LDD.     Metaclase  UML  extendida   Class     Elementos  Relacionados     Elementos  que  puede  contener     Puede  contener  a  cualquier  elemento  de  la  BD.  Los  principales  estereotipos   que    pueden  relacionarse  a  éste  son:  forms,  views,  pages,  agent  y  frameset.     Elementos  que  pueden  contenerlo   Figura 79 Extendiendo al metaelemento Aggregation  
  • 147.
    Tesis:  Modelado  Visual de  Aplicaciones  Domino   Anexo:  Perfil  para  aplicaciones  Lotus  Notes   137   Ningún   estereotipo   puede   hacer   uso   de   éste   para   relacionarlo   como   elemento  que  puede  estar  contenido  en  otro.  La  única  excepción  es  asociar   dos  elementos  de  éste  mismo  tipo.         Valores  Etiquetados     Title:  string   Valor  string  que  representa  el  título  de  la  BD  que  aparece  en  la  barra   de  bookmarks  en  LDD.  Este  título  puede  cambiar  en  la  barra,  pero  el   nombre  inicial  con  el  que  se  guarda  la  BD  permanece  y  no  cambiará  si   cambiamos  su  título.     Server:  string   Valor  string  que  representa  el  nombre  del  servidor  donde  se  aloja  la   BD.     FileName:  string   Valor  string  que  representa  el  nombre  permanente  que  mantendrá  la   BD.  Este  nombre  no  cambiará  si  la  propiedad  Title  cambia.     Replication:  boolean  =  false               Valor  booleano  que  permite  organizar  BD  distribuidas  y  consistentes.     Indexed:  Boolean  =  false                                                                                                                                                                           Valor  booleano  que  permite  tener  capacidades  de  búsqueda  textual.     UseJavaScript:  boolean  =  true                                                                                                                                                   Valor   booleano   que   permite   definir   si   la   BD   tendrá   la   capacidad   de   ejecutar  JavaScript.         AllowStoredForms:  boolean  =  true   Valor  booleano  que  permite  que  se  almacene  un  formulario  junto  con   el   documento.   Esto   se   utiliza   para   asegurar   que   un   documento   se   despliega  correctamente.     MaintainUnreadMarks:  boolean=false   Valor  booleano  que  permite  identificar  documentos  no  leídos.       ReplicateUnreadMarks:WhoReplicate  =  Never   Propiedad   que   permite   tener   la   capacidad   de   replicar   los   identificadores   de   lectura   de   documentos.   Los   valores   posibles   para   esta  propiedad  son:      Never  
  • 148.
    Tesis:  Modelado  Visual de  Aplicaciones  Domino   Anexo:  Perfil  para  aplicaciones  Lotus  Notes   138   Opción  que  permite  que  nunca  haya  replicación.      ClusteredServersOnly   Opción   que   permite   que   haya   replicación   sólo   en   servidores   redundantes.    AllServers   Opción   que   permite   que   haya   replicación   en   todos   los   servidores.       WhenOpenedInBrowser:  OpenDesignElement  =  UseNoteLaunchOption                                         Propiedad  que  permite  especificar  el  elemento  que  se  abrirá  al  iniciar   una  aplicación.  Las  opciones  para  esta  propiedad  son:         UseNotesLaunchOption   Opción   que   permite   lanzar   las   opciones   definidas   en   Lotus   Notes.     OpenAboutDatabaseDocument       Opción  que  permite  abrir  el  documentoacerca  de.     OpenDesignatedFrameset:  string             Valor  string  que  permite  especificar  el  framesetque  se  lanzará  al   momento  de  abrir  la  BD.     OpenDesignatedPage:    string             Valor   string   que   permite   especificar   el   pageque   se   lanzará   al   momento  de  abrir  la  BD.     OpenDesignatedNavigator:  string       Valor  string  que  permite  especificar  el  navigatorque  se  lanzará   al  momento  de  abrir  la  BD.     Description:  string   Valor  string  que  se  utiliza  para  proporcionar  una  descripción  general   de  la  función  que  desempeña  este  estereotipo.     Restricciones   •   La  propiedad  ReplicateUnreadMarks  sólo  puede  utilizarse  en  el  caso  de  que   el  valor  de  MaintainUnreadMarks  sea  true.     Notación   Estereotipo  «Form»  
  • 149.
    Tesis:  Modelado  Visual de  Aplicaciones  Domino   Anexo:  Perfil  para  aplicaciones  Lotus  Notes   139     Descripción   Representa  a  un  form  y  es  uno  de  los  estereotipos  más  importantes  para  el  diseño   de  aplicaciones  debido  a  que  es  la  base  para  introducir  información  en  una  base  de   datos.     Metaclase  UML  extendida   Class     Relaciones     Elementos  que  puede  contener     Este  estereotipo  puede  relacionarse  directamente  y  contener  a  los  siguientes   estereotipos:  table,  section,  actionbar,  view,  agent,  folder,  computertext,  file,   outline,   subform,   stylesheet,   field,   scriptlibrary,   images,   applet,   navigator,   hotspot  y  button.     Elementos  que  pueden  contenerlo   Este   estereotipo   puede   estar   relacionado   y   contenido   en   los   siguientes   estereotipos:  database  y  frame.     Valores  Etiquetados     Name:  String   Valor  string  que  representa  el  nombre  del  formulario.     Comment:  String   Valor  string  que  representa  un  comentario  que  puede  hacerse  sobre  el   formulario.     Type:  TypeForm=  Document               Propiedad  que  permite  definir  una  jerarquía  documental.  Propiedad  en   la  que  sólo  pueden  elegirse  los  siguientes  valores:     Document    Opción    que  permite  que  los  documentos  sean  de  tipo  normal.       Response   Opción  que  permite  asignarle  como  padre  a  un  documento  otro   documento  de  tipo  Document.     ResponseToResponse   Opción  que  permite  asignarle  como  padre  a  un  documento  otro   documento  de  tipo  Response.        Versioning:  VersioningForm  =  None            
  • 150.
    Tesis:  Modelado  Visual de  Aplicaciones  Domino   Anexo:  Perfil  para  aplicaciones  Lotus  Notes   140   Propiedad  que  permite  asignar  la  capacidad    para  guardar  el  historial   de   cambios   de   los   documentos.   Propiedad   en   la   que   sólo   pueden   elegirse  los  siguientes  valores:         None    No  se  habilita  el  mecanismo  de  versioning.         NewVersionsBecomeResponse   Permite  que  las  nuevas  versiones  de  documentos  se  conviertan   en    documentos  tipo  Response.     PriorVersionsBecomeResponse   Permite  que  las  versiones  previas  de  documentos  se  conviertan   en  documentos  tipo  Response.     NewVersionsBecomeSiblings   Permite  que  las  nuevas  versiones  de  documentos  adquieran  el   mismo  documento  padre.     CreateVersions:  CreateVersionOptions  =  Automatic-­File,Save         Permite   que   la   propiedad   versioning   maneje   el   guardado   de   documentos  de  manera  automática  o  manual.  Esta  propiedad  admite   las  siguientes  opciones:        Manual-­  File,NewVersion   Opción   que   permite   al   usuario   elegir   cuando   crear   nuevas   versiones   de   los   documentos     o   sólo   sobrescribir   la   versión   actual.     Automatic-­File,Save   Opción  que  permite  crear  automáticamente  una  nueva  versión   de  un  documento  cada  vez  que  se  guarde  el  mismo.     DefaultDatabaseForm:  boolean  =  false             Permite  especificar  que  el  documento  actual  se  abrirá  por  defecto  al   iniciar  una  aplicación.     AutomaticallyRefreshFields:  boolean  =  false           Valor  booleano  utilizado  para  actualizar  el  resultado  de  un  campo  cada   vez   que   este   cambie   de   valor.   Los   campos   se   actualizarán   automáticamente  cuando  el  valor  de  esta  propiedad  sea  true.     AnonymousForm:  boolean  =  false   Valor   booleano   que   permite   ocultar   el   nombre   del   autor   de   un   formulario.   El   nombre   del   autor   se   ocultara   si   el   valor   de   esta   propiedad  es  true.  
  • 151.
    Tesis:  Modelado  Visual de  Aplicaciones  Domino   Anexo:  Perfil  para  aplicaciones  Lotus  Notes   141     ConflictHandling:  ConflictHandlingOption  =  CreateConflict       Permite   especificar   la   capacidad   para   manejar   la   concurrencia   de   usuarios   sobre   un   documento.   Propiedad   en   la   que   sólo   pueden   elegirse  los  siguientes  valores:         CreateConflict         Permite  crear  un  documento  conflicto.     MergeConflict         Permite  combinar  los  documentos  modificados  al  mismo  tiempo   como  un  solo  documento  conflicto.     Merge/NoConflict    Permite  combinar  los  documentos  modificados  sin  conflicto.     DoNotCreateConflict      Permite  no  crear  documentos  conflictos.                  FormulasInheritValuesFromSelectedDocument:  boolean  =  false   Permite   heredar   valores   basados   en   un   documento   original   al   crear   nuevos  documentos.          InheritEntireSelectedDocumentIntoRichTextField:  Boolean  =  false       Permite  heredar  todo  el  documento  en  un  campo  de  texto  enriquecido.      AutomaticallyEnableEditMode:  boolean  =  flase           Valor   booleano   que   permite   que   los   documentos   creados   en   un   formulario  se  abran  en  modo  edición  automáticamente.  Para  que  esto   suceda  dejar  su  valor  como  true.     ContentType:  ContentTypeOptions  =  Notes               Propiedad  que  permite  especificar  si  este  elemento  tendrá  sólo  código   HTML   o   si   será   un   documento   tipo   Notes   o   tendrá   otro   formato.   Propiedad  en  la  que  sólo  pueden  elegirse  los  siguientes  valores:     Notes   Permite   especificar   que   este   elemento   será   un   documento   de   tipo  Notes.     HTML   Permite   especificar   que   este   elemento   tendrá   sólo   código   HTML.     Other:  string  
  • 152.
    Tesis:  Modelado  Visual de  Aplicaciones  Domino   Anexo:  Perfil  para  aplicaciones  Lotus  Notes   142   Valor  string  utilizado  para  especificar  otro  tipo  de  contenido  para   este  elemento.     GenerateHTMLforAllFields:  boolean  =  false   Permite    a  los  documentos  en  una  aplicación  Web  trabajar  como  un   documento   en   una   aplicación   Notes.   También   permite   generar   información   HTML   acerca   de   los   campos   ocultos   en   un   formulario.   Para  que  los  documentos  en  clientes  Web  y  Notes  se  comporten  de   manera  similar  el  valor  de  esta  propiedad  debe  ser  true.     AvailableToPublicAccessUsers:  boolean=  false   Permite   que   los   usuarios   tengan   acceso   al   formulario.   Para   que   un   usuario  tenga  acceso  al  formulario  el  valor  de  esta  propiedad  debe  ser   true.     Description:  string   Valor  string  que  se  utiliza  para  proporcionar  una  descripción  general   de  la  función  que  desempeña  este  estereotipo.     Restricciones   •   La  propiedad  CreateVersions  solo  puede  utilizarse  cuando  no  se  elige  el   valor  por  defecto  None  de  la  propiedad  Versioning.     Notación     Estereotipo  «Subform»   Descripción   Representa   a   un   subformulario   en   LDD.   El   elemento   subform   es   un   elemento   importante  para  construir  aplicaciones  y  provee  una  manera  de  evitar  el  duplicado   en   el   diseño   de   una   sección   de   un   form.   Los   subforms   reducen   el   esfuerzo   de   desarrollo  debido  a  que  se  pueden  mantener  grupos  de  elementos  en  un  lugar  y   usar  el  subform  en  varios  formularios.     Metaclase  UML  extendida   Class     Relaciones     Elementos  que  puede  contener   Este  estereotipo  puede  relacionarse  directamente  y  contener  a  los  siguientes   estereotipos:  table,  section,  actionbar,  view,folder,  computertext,  file,  outline,   subform,   stylesheet,   field,   scriptlibrary,   images,   applet,   navigator,   hotspot   y   button.    
  • 153.
    Tesis:  Modelado  Visual de  Aplicaciones  Domino   Anexo:  Perfil  para  aplicaciones  Lotus  Notes   143   Elementos  que  pueden  contenerlo   Este  estereotipo  puede  estar  relacionado  y  contenido  sólo  en  el  estereotipo   form.     Valores  Etiquetados     Name:  String   Valor  string  que  representa  el  nombre  del  subform.         AvailableToPublicAccess:  boolean=  false   Permite  que  los  usuarios  tengan  acceso  a  este  elemento.  Para  que  un   usuario  tenga  acceso,  el  valor  de  esta  propiedad  debe  ser  true.     Description:  string   Valor  string  que  se  utiliza  para  proporcionar  una  descripción  general   de  la  función  que  desempeña  este  estereotipo.     Restricciones   •   El  único  estereotipo  que  no  puede  contener  un  subform  es  un  agent.     Notación   Estereotipo  «Frameset»   Descripción   Representa  a  un  frameset  en  LDD.  Es  una  colección  de  elementos  frame,  los  cuales   permiten  estructurar  o  dividir  los  sitios  web  o  las  bases  de  datos  Notes.       Metaclase  UML  extendida   Class     Relaciones     Elementos  que  puede  contener   Este   estereotipo   puede   relacionarse   directamente   y   contener   sólo   al   estereotipo  frame.       Elementos  que  pueden  contenerlo   Este   estereotipo   puede   estar   relacionado   y   contenido   en   los   siguientes   estereotipos:  database  y  frame.     Valores  Etiquetados     Name:  String   Valor  string  que  representa  el  nombre  del  frameset.  
  • 154.
    Tesis:  Modelado  Visual de  Aplicaciones  Domino   Anexo:  Perfil  para  aplicaciones  Lotus  Notes   144     Title:  String   Valor   string   que   representa   el   titulo   del   frameset.   En   esta   propiedad   también   puede   introducirse   una   formula   calculada   que   obtiene   automáticamente  el  titulo  del  frameset.     Los  HTML  Tags  son  propiedades  que  permiten  manejar  este  elemento  con   Javascript  en  el  Web.     HTMLTag_Id:  string      Propiedad  que  representa  el  elementoID  en  los  tags  de  HTML.             HTMLTag_Class:  string                Propiedad  que  representa  el  elemento  Class  en  los  tags  de  HTML.           HTMLTag_Style:  string                  Propiedad  que  representa  el  elemento  Style  en  los  tags  de  HTML.             HTMLTag_Title:  string                  Propiedad  que  representa  el  elemento  Title  en  los  tags  de  HTML.             HTMLTag_Other:  string                 Propiedad  que  permite  representar  otros  elementos  para  los  tags  de   HTML.  Por  ejemplo:  align,  border,  height,  entre  otros.     Description:  string   Valor  string  que  se  utiliza  para  proporcionar  una  descripción  general   de  la  función  que  desempeña  este  estereotipo.     Restricciones     Notación     Estereotipo  «Frame»   Descripción   Un   elemento   frame   es   una   sección   de   un   elemento   frameset   que   puede   personalizarse  y  ser  independiente  de  cualquier  otro  frame  contenido  en  el  mismo   frameset.     Metaclase  UML  extendida   Class     Relaciones    
  • 155.
    Tesis:  Modelado  Visual de  Aplicaciones  Domino   Anexo:  Perfil  para  aplicaciones  Lotus  Notes   145   Elementos  que  puede  contener   Este  estereotipo  puede  relacionarse  directamente  y  contener  a  los  siguientes   estereotipos:  frameset,  form,  view,  folder,  page  y  navigator.       Elementos  que  pueden  contenerlo   Este  estereotipo  puede  estar  relacionado  y  contenido  sólo  en  el  estereotipo   frameset.     Valores  Etiquetados     Name:  string   Valor  string  que  representa  el  nombre  del  frame.     Type:  typeOptions  =  URL   Valor   string   que   representa   el   tipo   de   contenido   que   desplegará   el   frame.  Existen  tres  tipos  de  contenidos  que  pueden  elegirse:     URL   Opción  que  se  utiliza  para  especificar  que  el  frame  abrirá  una   página  Web  especificando  una  URL  completa  en  la  propiedad   value  del  tipo  http://www.paginaweb.com.     NamedElement   Opción   que   se   utiliza   para   especificar   que   el   frame   abrirá   el   elemento   especificado   en   la   propiedad   value.   Los   elementos   que   soporta   esta   propiedad   son:   page,   frameset,   view,   form,   folder  y  navigator.     Link   Opción   que   se   utiliza   para   especificar   que   el   frame   abrirá   un   documento  o  elemento  View  especificado  en  la  propiedad  value.     Value:  string                     Valor   string   que   se   utiliza   para   especificar   la   liga   hacia   el   tipo   de   contenido  que  el  frame  desplegará.  Esta  liga  puede  ser  una  dirección   URL,   el   nombre   de   algún   elemento   soportado   por   la   opción   NamedElement  de  la  propiedad  Typeo  una  fórmula  que  lanzará  otro   contenido,  dirección  o  elemento  de  LDD.     DefaultTargetForLinksInFrame:  string             Valor  string  que  permite  indicar  el  marco  en  el  que  se  desplegará  el   contenido  solicitado.     FrameWidth:  int  =  20   Valor  entero  que  especifica  el  ancho  que  tendrá  el  elemento  frame  de   acuerdo  a  la  medida  especificada  en  la  propiedad  measuremente.  
  • 156.
    Tesis:  Modelado  Visual de  Aplicaciones  Domino   Anexo:  Perfil  para  aplicaciones  Lotus  Notes   146     FrameHeight:  int=  1   Valor  entero  que  especifica  el  alto  que  tendrá  el  elemento  frame.     Measurement:  measurementType  =  percent   Especifica   el   tipo   de   medida   utilizado   en   el   las   propiedades   FrameWidth   y   FrameHeight.   Existen   tres   medidas   que   pueden   utilizarse:     Relative   Medida   utilizada   para   redimensionar   el   frame   de   manera   relativa  a  otros  frames  contenidos  en  el  frameset.     Percent   Medida  utilizada  para  redimensionar  el  frame  de  acuerdo  a  un   porcentaje  con  el  frameset.  Un  porcentaje  de  un  50%  significa   un  frame  con  la  mitad  del  tamaño  del  frameset.     Pixel   Medida  utilizada  para  redimensionar  el  frame  en  pixeles.     Scrolling:  scrollingOption  =  default               Permite   especificar   el   comportamiento   de   aparición   de   la   barra   de   desplazamiento  en  el  frame.  Existen  cuatro  opciones  para  especificar:     On   Permite  forzar  la  aparición  de  la  barra  en  el  frame.     Off   Permite  que  la  barra  no  aparezca  en  el  frame.     Auto   Permite   la   aparición   de   la   barra   en   el   caso   de   que   sea   necesario.     Default   La  opción  por  defecto  (default)  es  Auto.     Los  HTML  Tags  son  propiedades  que  permiten  manejar  este  elemento  con   Javascript  en  el  Web.     HTMLTag_Id:  string      Propiedad  que  representa  el  elementoID  en  los  tags  de  HTML.             HTMLTag_Class:  string                Propiedad  que  representa  el  elemento  Class  en  los  tags  de  HTML.    
  • 157.
    Tesis:  Modelado  Visual de  Aplicaciones  Domino   Anexo:  Perfil  para  aplicaciones  Lotus  Notes   147         HTMLTag_Style:  string                  Propiedad  que  representa  el  elemento  Style  en  los  tags  de  HTML.             HTMLTag_Title:  string                  Propiedad  que  representa  el  elemento  Title  en  los  tags  de  HTML.             HTMLTag_Other:  string                 Propiedad  que  permite  representar  otros  elementos  para  los  tags  de   HTML.  Por  ejemplo:  align,  border,  height,  entre  otros.     Restricciones     Notación     Estereotipo  «Page»   Descripción   Un   page   es   un   elemento   de   diseño   que   se   usa   para   desplegar   información.   A   diferencia   de   un   form   que   recolecta   datos,   los   pages   se   diseñan   para   presentar   información  al  usuario.  Por  esta  razón,  no  se  puede  crear  ningún  elemento  tipo  field   o  un  subform  en  un  page.     Metaclase  UML  extendida   Class     Relaciones     Elementos  que  puede  contener   Este  estereotipo  puede  relacionarse  directamente  y  contener  a  los  siguientes   estereotipos:  applet,  file,  hotspot,  actionbar,  view,  agent,  folder,  section,  table,   button,  outline,  image,  scriplibrary,  navigator,  stylesheet  y  computertext.     Elementos  que  pueden  contenerlo   Este   estereotipo   puede   estar   relacionado   y   contenido   en   los   siguientes   estereotipos:  database  y  frame.     Valores  Etiquetados     Name:  string   Valor  string  que  representa  el  nombre  del  estereotipo  page.     ContentType:  ContentTypeOptions  =  Notes              
  • 158.
    Tesis:  Modelado  Visual de  Aplicaciones  Domino   Anexo:  Perfil  para  aplicaciones  Lotus  Notes   148   Propiedad  que  permite  especificar  si  este  elemento  tendrá  sólo  código   HTML   o   si   será   un   documento   tipo   Notes   o   tendrá   otro   formato.   Propiedad  en  la  que  sólo  pueden  elegirse  los  siguientes  valores:     Notes   Permite   especificar   que   este   elemento   será   un   documento   de   tipo  Notes.     HTML   Permite   especificar   que   este   elemento   tendrá   sólo   código   HTML.     Other:  string   Valor  string  utilizado  para  especificar  otro  tipo  de  contenido  para   este  elemento.     AvailableToPublicAccessUsers:  boolean=  false   Permite  que  los  usuarios  tengan  acceso  al  elemento  page.  Para  que   un  usuario  tenga  acceso,  el  valor  de  esta  propiedad  debe  ser  true.     Description:  string   Valor  string  que  se  utiliza  para  proporcionar  una  descripción  general   de  la  función  que  desempeña  este  estereotipo.     Restricciones   •   No   puede   tener   relaciones   de   contención   con   estereotipos   del   tipo   form,   subform  y  field.     Notación     Estereotipo  «Field»   Descripción   Un  elemento  field  es  la  parte  de  una  aplicación  que  recolecta  datos.  Cada  campo   almacena  sólo  un  tipo  de  información.  El  tipo  de  dato  de  un  field  define  el  tipo  de   información   que   acepta.   Los   fields   pueden   ser   de   tipo   simple   o   compartido,   la   diferencia  es  la  forma  en  la  que  se  crea  y  utiliza  cada  uno.     Metaclase  UML  extendida   Class     Relaciones     Elementos  que  puede  contener   Este  estereotipo  no  puede  contener  a  ningún  otro.    
  • 159.
    Tesis:  Modelado  Visual de  Aplicaciones  Domino   Anexo:  Perfil  para  aplicaciones  Lotus  Notes   149     Elementos  que  pueden  contenerlo   Este   estereotipo   puede   estar   relacionado   y   contenido   en   los   siguientes   estereotipos:  form,  subform,  table  y  section.     Valores  Etiquetados     Name:  string   Valor  string  que  representa  el  nombre  del  estereotipo  field.     Type:  fieldType  =  text   Esta   propiedad   determina   el   tipo   de   información   que   se   puede   introducir   en   el   field.   Los   tipos   de   datos   soportados   por   este   campo   son:     Text   Tipo  de  dato  que  permite  recolectar,  guardar  y  desplegar  texto   simple.     Date/Time   Tipo  de  dato  que  permite  desplegar  la  fecha  y  horario  en  una   variedad  de  formatos.     Number   Tipo   de   dato   que   permite   limitar   al   field   para   aceptar   sólo   valores  numéricos,  así  como  el  formato  de  despliegue.     DialogList   Tipo  de  dato  que  permite  comportarse  al  field  como  una  lista  de   de  opción  múltiple  a  través  de  una  caja  de  texto  que  contiene   un  botón  que  permite  abrir  una  cuadro  de  dialogo  con  una  lista   de  opciones  para  su  elección.     Checkbox   Tipo  de  dato  que  permite  comportarse  al  field  como  una  lista  de   opciónmúltiple  a  través  de  casillas  de  selección.     RadioButton   Tipo  de  dato  que  permite  comportarse  al  field  como  una  lista  de   opción  múltiple  donde  sólo  puede  elegirse  una  de  ellas  a  través   de  botones  de  radio.     Listbox   Tipo  de  dato  que  permite  comportarse  al  field  como  una  lista  de   de  opción  múltiple  a  través  de  una  caja  de  texto  que  contiene   dos  botones  (arriba-­abajo)  para  navegar  a  través  de  la  lista.    
  • 160.
    Tesis:  Modelado  Visual de  Aplicaciones  Domino   Anexo:  Perfil  para  aplicaciones  Lotus  Notes   150   Combobox   Tipo  de  dato  que  permite  comportarse  al  field  como  una  lista  de   de  opción  múltiple  a  través  de  una  caja  de  texto  que  contiene   una  lista  desplegable  con  opciones  para  su  elección.     RichText   Tipo  de  dato  que  permite  recolectar,  guardar  y  desplegar  texto   enriquecido  (texto  con  formato).     Authors   Tipo  de  datos  que  trabaja  con  el  modelo  de  seguridad  de  LDD.   Permite  controlar  quien  puede  crear,  editar  y  leer  documentos   creados  en  un  form.     Names   Tipo   de   dato   que   permite   desplegar   nombres   de   usuarios   a   través  de  un  campo  calculado  o  editable.     Readers   Tipo  de  datos  que  trabaja  con  el  modelo  de  seguridad  de  LDD.   Permite  controlar  quien  puede  leer  documentos  creados  en  un   form.     Password   Tipo  de  dato  que  permite  ocultar  los  caracteres  escritos  en  un   field  a  través  de  asteriscos.     TimeZone   Tipo   de   dato   que   permite   desplegar   una   lista   de   las   zonas   horarias  en  el  mundo.     RichTextLite   Tipo   de   dato   que   permite   recolectar,   guardar   y   desplegar   cualquier  tipo  de  texto.  Permite  tener  un  mayor  control  sobre  los   datos   que   el   field   puede   aceptar.   La   caja   de   texto   viene   acompañada  de  un  botón  de  ayuda  y  un  botón  que  muestra  el   tipo  de  dato  que  el  campo  acepta.     Color   Tipo  de  dato  que  permite  al  field  comportarse  como  un  selector   de  color  desplegando  una  caja  de  colores  para  la  selección  de   un  color.     Category:  CategoryOptions  =  editable   Permite   definir   la   categoría   del   tipo   de   dato   seleccionado.   Las   categorías  existentes  son  las  siguientes:  
  • 161.
    Tesis:  Modelado  Visual de  Aplicaciones  Domino   Anexo:  Perfil  para  aplicaciones  Lotus  Notes   151     Editable   Permite  que  el  tipo  de  dato  seleccionado  sea  editable.     Computed   Permite   que   el   tipo   de   dato   seleccionado   sea   calculado   cada   vez  que  un  documento  se  crea,  guarda  o  actualiza.     ComputedForDisplay   Permite   que   el   tipo   de   dato   seleccionado   sea   calculado   cada   vez  que  un  documento  sea  abierto  o  cerrado.     ComputedWhenComposed   Permite   que   el   tipo   de   dato   seleccionado   sea   calculado   sólo   cuando  el  documento  se  cree  por  primera  vez.     Options:string   Valor  de  tipo  string  que  permite  especificar  más  opciones  que  algún   field  pueda  requerir  y  que  no  pueda  ser  especificado  por  alguna  de  las   propiedades  que  este  tiene.     AllowMultipleValues:  boolean  =  false   Valor  booleano  que  permite  a  los  usuarios  poder  introducir  más  de  un   valor  en  un  field.  Para  que  los  usuarios  puedan  introducir  más  de  un   valor  en  el  campo,  esta  propiedad  debe  ser  true.     Shared:  boolean  =  false   Valor  booleano  que  indica  si  el  estereotipo  es  compartido  o  simple.  Un   field   simple   se   crea   directamente   sobre   el   elemento   contenedor,   mientras  que  un  compartido  se  crea  por  separado  y  puede  utilizarse   en   múltiples   elementos   que   puedan   contenerlo.   Para   que   este   elemento  pueda  ser  compartido,  esta  opción  debe  tener  un  valor  true.     HideParagraphFrom:  HideOptions   Propiedad   que   determina   para   cuales   clientes   se   encontrará   oculto   este   elemento.   Los   clientes   de   los   cuales   puede   ocultarse   este   elemento  son:     NotesR4.6orLater:  boolean=  false   Valor   booleano   que   indica   que   este   elemento   se   ocultará   al   utilizar  un  cliente  Notes  versión  4.6  o  superior.     WebBrowser:  boolean=  false   Valor   booleano   que   indica   que   este   elemento   se   ocultará   al   utilizar  un  cliente  del  tipo  navegador  Web.    
  • 162.
    Tesis:  Modelado  Visual de  Aplicaciones  Domino   Anexo:  Perfil  para  aplicaciones  Lotus  Notes   152   Mobile:  boolean=  false   Valor   booleano   que   indica   que   este   elemento   se   ocultará   al   utilizar  un  cliente  móvil.     HideParagraphWhenDocumentIs:  WhenDocumentIsOptions   Propiedad  que  determina  las  circunstancias  en  las  que  debe  ocultarse   este  elemento.  Las  circunstancias  posibles  son:     PreviewedForReading:  boolean  =  false   Valor   booleano   que   determina   que   la   información   de   este   elemento   no   sea   visible   cuando   un   usuario   lea   un   documento   en  el  panel  visualizador  de  documentos.     OpenedForReading:  boolean  =  false   Valor   booleano   que   determina   si   la   información   de   este   elemento  estará  visible  cuando  un  usuario  abre  un  documento   en  modo  lectura.     Printed:  boolean  =  false   Valor  booleano  que  determina  si  la  información  oculta  de  este   elemento  estará  visible  en  documentos  impresos.     Embedded:  boolean  =  false   Valor   booleano   que   determina   si   el   elemento   estará   visible   cuando  los  usuarios  acceden  a  un  documento  en  el  cual  se  ha   utilizado  el  editor  embebido  para  embeber  el  elemento.     PreviewedForEditing:  boolean  =  false   Valor   booleano   que   determina   si   la   información   de   este   elemento   estará   visible   cuando   un   usuario   trabaja   con   un   documento  en  modo  edición  en  el  panel  de  previsualización.     OpenedForEditing:  boolean  =  false   Valor   booleano   que   determina   si   la   información   estará   visible   cuando   los   usuarios   trabajen   sobre   documentos   en   modo   edición.     CopiedToTheClipboard:  boolean  =  false   Valor    booleano  que  determina  si  se  debe  ocultar  el  contenido   de  este  elemento  cuando  un  usuario  copia  un  documento.     HideParagraphIfFormulaIsTrue:  boolean  =  false   Valor  booleano  que  indica  si  una  formula  indicará  las  circunstancias  en   las  cuales  la  información  se  ocultará.     Formula:  string  
  • 163.
    Tesis:  Modelado  Visual de  Aplicaciones  Domino   Anexo:  Perfil  para  aplicaciones  Lotus  Notes   153   Valor   de   tipo   string   que   permite   especificar   una   fórmula   para   este   elemento.     Los  HTML  Tags  son  propiedades  que  permiten  manejar  este  elemento  con   Javascript  en  el  Web.     HTMLTag_Id:  string      Propiedad  que  representa  el  elementoID  en  los  tags  de  HTML.             HTMLTag_Class:  string                Propiedad  que  representa  el  elemento  Class  en  los  tags  de  HTML.           HTMLTag_Style:  string                  Propiedad  que  representa  el  elemento  Style  en  los  tags  de  HTML.             HTMLTag_Title:  string                  Propiedad  que  representa  el  elemento  Title  en  los  tags  de  HTML.             HTMLTag_Other:  string                 Propiedad  que  permite  representar  otros  elementos  para  los  tags  de   HTML.  Por  ejemplo:  align,  border,  height,  entre  otros.     Restricciones   •   Un   field   puede   estar   contenido   en   un   table   o   section     sólo   cuando   estos   elementos  estén  contenidos  en  un  form  o  subform.   •   Los   tipos   de   datos   Text,   Date/Time,   Number,   DialogList,   Checkbox,   RadioButton,   Listbox,   Names   y   Readers   sólo   pueden   utilizar   los   siguientes   valores  de  la  propiedad  Category:  Editable,  Computed,  ComputedForDisplay   y  ComputedWhenComposed.   •   Los   tipos   de   datos   RichText   y   Color   sólo   pueden   utilizar   los   siguientes   valores  de  la  propiedad  Category:  Editable  y  Computed.   •   Para   el   tipo   de   dato   Checkbox,   la   propiedad   AllowMultipleValues   debe   ser   siempre  true.   •   Para   los   tipos   de   datos:   Combobox,   RichText,   RadioButton,   TimeZone   o   Color;;  la  propiedad  AllowMultipleValues  no  puede  utilizarse.   •   Para  los  tipos  de  datos:  Password  o  RichTextLite,  las  propiedades  Category   y  AllowMultipleValues  no  pueden  utilizarse.   •   Las   propiedades   HideParagraphFrom,HideParagraphWhenDocumentIs,   HideParagraphIfFormulaIsTruey   Formula   sólo   están   disponibles   cuando   la   propiedad  shared  tiene  un  valor  de  false.   •   Cuando   el   valor   de   la   propiedad   HideParagraphFrom   es   NotesR4.6orLatersólo   pueden   utilizarse   las   opciones   OpenedForReading   y   OpenedForEditing  de  la  propiedad  HideWhenDocumentIs.     Notación  
  • 164.
    Tesis:  Modelado  Visual de  Aplicaciones  Domino   Anexo:  Perfil  para  aplicaciones  Lotus  Notes   154     Estereotipo  «Action»   Descripción   Un  elemento  action  es  código  que  consiste  de  una  combinación  de  acciones  o  una   simple  acción  de  Domino.  Un  action  provee  métodos  de  acceso  rápido  a  las  tareas   rutinarias   y  puede  codificarse  con  el  lenguajeJavaScript  o  CommonJavaScript.  Un   action  sólo  puede  estar  disponible  a  través  del  elemento  actionbar.     Metaclase  UML  extendida   Class     Relaciones     Elementos  que  puede  contener   Este   estereotipo   sólo   puede   relacionarse   directamente   y   contener   al   estereotipo  agent.     Elementos  que  pueden  contenerlo   Este   estereotipo   puede   estar   relacionado   y   contenido   en   los   siguientes   estereotipos:   page,   folder,   view,   form   y   subform,   pero   sólo   a   través   del   elemento  actionbar.     Valores  Etiquetados     Name:  string   Valor  string  que  representa  el  nombre  del  estereotipo  action.     Shared:  boolean  =  false   Valor  booleano  que  indica  si  el  estereotipo  es  compartido  o  simple.  Un   action   simple   es   aquel   que   se   codifica   directamente   en   alguno   de   los   elementos   de   diseño   que   soportan   al   elemento   actionbar.   Un   action   compartido  se  codifica  independientemente  de  los  elementos  de  diseño  y   puede   por   tanto   insertarse   en   múltiples   elementos   que   soporten   la   utilización   de   acciones   compartidas.   Por   ejemplo,   view,   folders,   form,   page  o  subforms.     HideActionFrom:  HideOptions   Propiedad   que   determina   para   cuales   clientes   se   encontrará   oculto     este  elemento.  Los  clientes  de  los  cuales  puede  ocultarse  un  elemento   son:     NotesR4.6orLater:  boolean  =  false   Valor   booleano   que   indica   que   este   elemento   se   ocultará   al   utilizar  un  cliente  Notes  versión  4.6  o  superior.    
  • 165.
    Tesis:  Modelado  Visual de  Aplicaciones  Domino   Anexo:  Perfil  para  aplicaciones  Lotus  Notes   155   WebBrowser:  boolean  =  false   Valor   booleano   que   indica   que   un   elemento   se   ocultará   al   utilizar  un  cliente  del  tipo  navegador  Web.     Mobile:  boolean  =  false   Valor   booleano   que   indica   que   este   elemento   se   ocultará   al   utilizar  un  cliente  móvil.     HideActionWhenDocumentIs:  WhenDocumentIsOptions   Propiedad  que  determina  las  circunstancias  en  las  que  debe  ocultarse   este  elemento.  Las  circunstancias  posibles  son:     PreviewedForReading:  boolean  =  false   Valor   booleano   que   determina   que   la   información   de   este   elemento   no   sea   visible   cuando   un   usuario   lea   un   documento   en  el  panel  visualizador  de  documentos.     OpenedForReading:  boolean  =  false   Valor  booleano  que  determina  si  la  información  de  este  elemento   estará   visible   cuando   un   usuario   abre   un   documento   en   modo   lectura.     PreviewedForEditing:  boolean  =  false   Valor  booleano  que  determina  si  la  información  de  este  elemento   estará  visible  cuando  un  usuario  trabaja  con  un  documento  en   modo  edición  en  el  panel  de  previsualización.     OpenedForEditing:  boolean  =  false   Valor   booleano   que   determina   si   la   información   estará   visible   cuando   los   usuarios   trabajen   sobre   documentos   en   modo   edición.     HideActionIfFormulaIsTrue:  boolean  =  false   Valor  booleano  que  indica  si  una  formula  indicará  las  circunstancias  en   las  cuales  la  información  se  ocultará.     Formula:  string   Valor   de   tipo   string   que   permite   especificar   una   fórmula   para   este   elemento.     Description:  string   Valor  string  que  se  utiliza  para  proporcionar  una  descripción  general   de  la  función  que  desempeña  este  elemento.     Restricciones  
  • 166.
    Tesis:  Modelado  Visual de  Aplicaciones  Domino   Anexo:  Perfil  para  aplicaciones  Lotus  Notes   156   •   Sólo   están   disponibles   los   valores   PreviewedForReading,   OpenedForReading,   PreviewedForEditing   y   OpenedForEditing   en   la   propiedad  HideActionWhenDocumentIs.     Notación     Estereotipo  «View»   Descripción   Representa   una   lista   de   documentos   de   una   BD.   Dependiendo   del   criterio   de   selección,  se  pueden  desplegar  todos  los  documentos  o  sólo  un  conjunto  de  ellos.   Un  view  es  una  tabla  de  los  contenidos  de  una  BD  y  sirve  para  mostrar  información   contenida   en   uno   o   varios   documentos.   Un   view   se   encuentra   estructurado   por   elementos  de  tipo  column.     Metaclase  UML  extendida   Class     Relaciones     Elementos  que  puede  contener   Este  estereotipo  puede  relacionarse  directamente  y  contener  a  los  siguientes   estereotipos:  column  y  actionbar.     Elementos  que  pueden  contenerlo   Este   estereotipo   puede   estar   relacionado   y   contenido   en   los   siguientes   estereotipos:  database,  page,form,  subform,  table,  section  y  frame.     Valores  Etiquetados     Name:  string   Valor  string  que  representa  el  nombre  del  estereotipo  view.             Alias:  string   Valor  string  que  representa  el  alias  para  el  estereotipo  view.         ViewType:  ViewTypeOptions             Esta  propiedad  puede  tener  los  siguientes  valores:           Operation         Interface     Style:  ViewStyle  =  StandardOutline   Permite  seleccionar  el  estilo  del  view.  Los  valores  posibles  son:    
  • 167.
    Tesis:  Modelado  Visual de  Aplicaciones  Domino   Anexo:  Perfil  para  aplicaciones  Lotus  Notes   157    StandardOutline   Opción   que   permite   presentar   un   view   como   una   tabla   de   contenidos  de  la  BD.  Esta  opción  es  el  tipo  de  view  más  común   y  es  la  que  se  utiliza  por  defecto.        Calendar   Opción   que   permite   presentar   un   view   como   calendario   para   agrupar  y  desplegar  documentos  con  un  formato  de  calendario.       ShowResponseDocumentsInAhierarchy:  boolean  =  true         Valor  booleano  utilizado  para  indentar  los  documentos  de  una  manera   jerárquica.         CollapseAllWhenDBisFirstOpened:  Boolean  =  false      Valor  booleano  utilizado  para     DefaultWhenDBisFirstOpened:  Boolean  =  true   Valor  booleano  utilizado  para  especificar  que  el  view  sea  el  elemento   que  se  despliegue  por  omisión  la  primera  vez  que  se  abra  la  BD.     RowHeight:  int  =  1   Valor  entero  utilizado  para  especificar  la  altura  en  líneas  que  tendrán   los  renglones  del  view.         AvailableToPublicAccess:  boolean  =  false   Permite  que  los  usuarios  tengan  acceso  al  view.  Para  que  un  usuario   tenga  acceso  al  view  el  valor  de  esta  propiedad  debe  ser  true.     DontShowEmptyCategories:  boolean  =  false   Valor  booleano  que  permite  eliminar  el  despliegue  de  categorías  que   no   contienen   documentos.   Para   no   desplegar   las   categorías   sin   documentos,  elegir  para  esta  propiedad  el  valor  true.     Description:  string   Valor  string  que  se  utiliza  para  proporcionar  una  descripción  general   de  la  función  que  desempeña  este  elemento.     ViewSelection:  string   Evento  que  se  ejecuta  al  momento  que  el  view  es  desplegado.  Es  un   valor  de  tipo  string  utilizado  para  especificar  una  fórmula  para  realizar   una  selección  de  documentos  que  aparecerán  en  este  elemento  una   vez  abierto.     Restricciones   •   Un   view   puede   estar   contenido   en   un   table   o   section     sólo   cuando   estos   elementos  estén  contenidos  en  un  form,subform  o  page.  
  • 168.
    Tesis:  Modelado  Visual de  Aplicaciones  Domino   Anexo:  Perfil  para  aplicaciones  Lotus  Notes   158   •   Un   nuevo   view   debe   contener   al   menos   a   un   elemento   column   simple   al   momento  de  su  creación.   •   Las   propiedades   CollapseAllWhenDBisFirstOpened,   RowHeight   y   ShowResponseDocumentsInAhierarchyno  están  disponibles  cuando  se  elige   la  opción  calendar  de  la  propiedad  Style.     Notación     Estereotipo  «Folder»   Descripción   Un   folderes   estructuralmente   similar   a   un   view   y   tiene   los   mismos   elementos   de   diseño.  Los  folders  son  contenedores  de  documentos  relacionados  o  de  grupos  de   éstos.  Este  tipo  de  elemento  no  tiene  un  criterio  para  seleccionar  documentos,  los   usuarios   deciden   cuales   de   estos   se   almacenan   en   los   folders.   Un   folder   se   encuentra  estructurado  por  elementos  de  tipo  column.     Metaclase  UML  extendida   Class     Relaciones     Elementos  que  puede  contener   Este  estereotipo  puede  relacionarse  directamente  y  contener  a  los  siguientes   estereotipos:  column  y  actionbar.     Elementos  que  pueden  contenerlo   Este   estereotipo   puede   estar   relacionado   y   contenido   en   los   siguientes   estereotipos:  database,  page,form,  subform,  table,  section  y  frame.     Valores  Etiquetados     Name:  string   Valor  string  que  representa  el  nombre  del  estereotipo  folder.             Alias:  string   Valor  string  que  representa  el  alias  para  el  estereotipo  folder.         FolderType:  ViewTypeOptions           Esta  propiedad  puede  tener  los  siguientes  valores:         Operation         Interface     Style:  ViewStyle  =  standardOutiline   Permite  seleccionar  el  estilo  del  folder.  Los  valores  posibles  son:  
  • 169.
    Tesis:  Modelado  Visual de  Aplicaciones  Domino   Anexo:  Perfil  para  aplicaciones  Lotus  Notes   159      StandardOutline   Opción   que   permite   presentar   un   folder   como   una   tabla   de   contenidos   de   la   BD.   Esta   opción   es   el   tipo   de   folder   más   común  y  es  la  que  se  utiliza  por  defecto.        Calendar   Opción   que   permite   presentar   un   folder   como   calendario   para   agrupar  y  desplegar  documentos  con  un  formato  de  calendario.       ShowResponseDocumentsInAhierarchy:  boolean  =  false   Valor  booleano  utilizado  para  indentar  los  documentos  de  una  manera   jerarquica.         CollapseAllWhenDBisFirstOpened:  boolean=  false    Valor  booleano  utilizado  para     DefaultWhenDBisFirstOpened:  boolean  =  true   Valor  booleano  utilizado  para  especificar  que  la  folder  sea  el  elemento   que  se  despliegue  por  omisión  la  primera  vez  que  se  abra  la  BD.     RowHeight:  int  =  1   Valor  entero  utilizado  para  especificar  la  altura  en  líneas  que  tendrán   los  renglones  del  folder.         AvailableToPublicAccess:  boolean  =  false   Permite  que  los  usuarios  tengan  acceso  al  folder.  Para  que  un  usuario   tenga  acceso,  el  valor  de  esta  propiedad  debe  ser  true.     DontShowEmptyCategories:  boolean  =  false   Valor  booleano  que  permite  eliminar  el  despliegue  de  categorías  que   no   contienen   documentos.   Para   no   desplegar   las   categorías   sin   documentos,  elegir  para  esta  propiedad  valor  true.     Description:  string   Valor  string  que  se  utiliza  para  proporcionar  una  descripción  general   de  la  función  que  desempeña  este  elemento.     Restricciones   •   Un   folder   puede   estar   contenido   en   un   table   o   section     sólo   cuando   estos   elementos  estén  contenidos  en  un  form,subformo  page.   •   Un   nuevo   folder   debe   contener   al   menos   a   un   elemento   column   simple   al   momento  de  su  creación.  
  • 170.
    Tesis:  Modelado  Visual de  Aplicaciones  Domino   Anexo:  Perfil  para  aplicaciones  Lotus  Notes   160   •   Las   propiedades   CollapseAllWhenDBisFirstOpened,   RowHeight   y   ShowResponseDocumentsInAhierarchyno  están  disponibles  cuando  se  elige   la  opción  calendar  de  la  propiedad  Style.       Notación      Estereotipo  «Column»   Descripción   Los  columns  muestran  un  tipo  de  información  acerca  de  los  documentos  listados  en   un   view.   Un   column   en   un   view   es   el   elemento   organizador   y   es   también   el   elemento  por  el  que  un  view  se  encuentra  estructurado.  Los  columns  pueden  ser   simples  o  compartidos  al  igual  que  los  actions  y  los  fields.  Un  column  simple  se  crea   y   utiliza   solamente   en   un   view   y   un   folder.   Los   columns   compartidos   permiten   la   creación   de   un   column   común   para   insertarse   en   múltiples   viewso   foldersen   la   misma  BD.     Metaclase  UML  extendida   Class     Relaciones     Elementos  que  puede  contener   Este   estereotipo   no   puede   relacionarse   directamente   y   contener   a   ningún   otro  elemento.     Elementos  que  pueden  contenerlo   Este   estereotipo   puede   estar   relacionado   y   contenido   en   los   siguientes   estereotipos:  viewy  folder.     Valores  Etiquetados     Title:  string   Valor   string   que   representa   el   titulo   de   la   columna   y   que   se   utiliza   como  ayuda  para  que  los  usuarios  puedan  identificar  su  contenido.     Shared:  boolean  =  false   Valor  booleano  que  indica  si  el  estereotipo  es  compartido  o  simple.  Un   column  simple  es  aquel  que  se  diseña  directamente  en  un  view  o  folder.   Una  columnacompartida  permite  ser  insertada  en  múltiples  view  o  folders   en  la  misma  BD  eliminando  la  necesidad  de  crear  la  misma  columna  con   las  mismas  funcionalidades  para  otros  elementos.       DisplayValuesAsIcons:  boolean  =  false  
  • 171.
    Tesis:  Modelado  Visual de  Aplicaciones  Domino   Anexo:  Perfil  para  aplicaciones  Lotus  Notes   161   Valor  booleano  que  permite  desplegar  iconos  en  vez  de  texto  en  una   columna  para  hacer  que  ésta  sea  distintiva.         ShowResponsesOnly:  boolean  =  false     ShowTwistieWhenRowIsExpandable:  boolean  =  false   Valor  booleano  que  permite  mostrar  un  triangulo  azul  expandible  junto   a  una  columna  para  mostrar  categorías.       Sort:  sortType  =  None   Propiedad  que  permite  especificar  el  método  de  ordenamiento  de  los   documentos  mostrados  en  la  columna.  Los  métodos  disponibles  son:       None   Opción  que  permite  especificar  que  los  documentos  mostrados   en  la  columna  no  se  ordenarán.      Ascending   Opción  que  permite  ordenar  en  forma  ascendente  (A  precede  a   B,   1   precede   a   2   y   fechas   anteriores   preceden   a   fechas   posteriores)  los  documentos  mostrados  en  la  columna.       Descending   Opción  que  permite  ordenar  en  forma  descendente  (B  precede   a   A,   2   precede   a   1   y   fechas   posteriores   preceden   a   fechas   anteriores)los  documentos  mostrados  en  la  columna.       Type:  typeOption  =  standard       StandardType     CategorizedType     ShowMultipleValuesAsSeparateEntries:  boolean  =  true   Si  una  columna  ordenada  despliega  valores  provenientes  de  una  lista   de  valores  multiples,  éste  valor  debe  establecerse  a  true  para  mostrar   cada  valor  en  un  renglón  separado.         ClickOnColumnHeaderToSort:  sortType  =  None   Propiedad   que   permite   asignar   al   encabezado   de   la   columna   la   función  de  ordenar  el  contenido  de  formas  ascendente,  descendente  o   ambas  a  través  de  un  clic  en  el  mismo.     None   Opción   que   permite   especificar   que   no   se   podrá   ordenar   el   contenido  de  la  columna  a  través  de  su  encabezado.  
  • 172.
    Tesis:  Modelado  Visual de  Aplicaciones  Domino   Anexo:  Perfil  para  aplicaciones  Lotus  Notes   162      Ascending   Opción  que  permite  ordenar  en  forma  ascendente  (A  precede  a   B,   1   precede   a   2   y   fechas   anteriores   preceden   a   fechas   posteriores)  los  documentos  mostrados  en  la  columna  a  través   de  su  encabezado.       Descending   Opción  que  permite  ordenar  en  forma  descendente  (B  precede   a   A,   2   precede   a   1   y   fechas   posteriores   preceden   a   fechas   anteriores)los  documentos  mostrados  en  la  columna  a  través  de   su  encabezado.           Both   Opción   que   permite   ordenar   en   forma   ascendente   y   descendente  los  documentos  mostrados  en  la  columna  a  través   de  su  encabezado.     CaseSensitiveSorting:  boolean  =  false   Valor   booleano   que   permite   especificar   si   el   ordenamiento   será   sensitivo  a  mayúsculas  y  minúsculas.     AccentSensitiveSorting:  boolean  =  false   Valor   booleano   que   permite   especificar   si   el   ordenamiento   será   sensitivo  a  caracteres  acentuados.         HideColumn:  boolean  =  false   Valor   booleano   que   permite   especificar   si   la   columna   se   encontrará   visible  o  no  al  momento  de  ejecutar  el  view.             ShowValuesAsLink:  boolean  =  false   Valor  booleano  que  permite  convertir  una  columna  en  una  liga  hacia  el   documento  que  contiene.       Description:  string   Valor  string  que  se  utiliza  para  proporcionar  una  descripción  general   de  la  función  que  desempeña  este  elemento.         ColumnValue:  string                           Restricciones   •   La   propiedad   ShowTwistieWhenRowIsExpandable   no   aplica   cuando   el   elemento   view   en   el   que   se   encuentra   contenido   la   columna   es   de   tipo   calendar.    
  • 173.
    Tesis:  Modelado  Visual de  Aplicaciones  Domino   Anexo:  Perfil  para  aplicaciones  Lotus  Notes   163   •   La  propiedad  Sort  no  tiene  disponible  la  opción  both.   •   Cuando  se  ha  seleccionado  el  valor  de  Categorized  para  la  propiedad  Type,   el  valor  de  la  propiedad  Sort  debe  ser  ascending  o  descending  pero  nunca   None.   •   Cuando   se   selecciona   el   valor   de   Categorized   para   la   propiedad   Type   la   propiedad   ShowMultipleValuesAsSeparateEntries   no   está   disponible   y   siempre  tendrá  un  valor  true.     Notación     Estereotipo  «File»   Descripción   Representa   a   un   archivo   externo   que   se   ha   importado   a   la   BD   de   LDD.   Estos   archivos   se   utilizan   en   el   diseño   de   aplicaciones.Por   ejemplo,   probablemente   se   necesite  una  misma  página  inicial  para  todas  las  aplicaciones  de  una  empresa,  esta   página  puede  ser  un  archivo  HTML  importado.  De  esta  manera  un  archivo  puede   compartirse  con  las  aplicaciones  que  se  desarrollen.     Metaclase  UML  extendida   Component     Relaciones     Elementos  que  puede  contener   Este   estereotipo   no   puede   relacionarse   directamente   y   contener   a   ningún   otro  elemento.     Elementos  que  pueden  contenerlo   Este   estereotipo   puede   estar   relacionado   y   contenido   en   los   siguientes   estereotipos:  form,  subform  y  page.     Valores  Etiquetados     Name:  string   Valor  string  que  representa  el  nombre  del  archivo  importado  a  la  BD.             FileType:  string   Valor  string  que  permite  describir  el  tipo  de  archivo  importado.  El  tipo   debe  definirse  con  la  extensión  del  mismo.         Author:  string                 Valor  string  que    representa  el  nombre  del  autor  del  archivo.     ElaborationDate:  string    
  • 174.
    Tesis:  Modelado  Visual de  Aplicaciones  Domino   Anexo:  Perfil  para  aplicaciones  Lotus  Notes   164   Valor  string  que  representa  la  fecha  de  elaboración  del  archivo.           AvailableToPublicAccess:  boolean  =  false   Permite   que   los   usuarios   tengan   acceso   al   archivo.   Para   que   un   usuario  tenga  acceso,  el  valor  de  esta  propiedad  debe  ser  true.           KindOfFile:  string   Propiedad   que   permite   describir   si   el   archivo   importado   es   código   fuente  u  otro  tipo  de  archivo.  Los  valores  posibles  para  esta  propiedad   son:     Code   Opción  que  representa  que  el  tipo  de  archivo  importado  es  un   archivo  con  código  fuente.  Por  ejemplo  un  archivo  HTML.     Other   Opción  que  representa  que  el  tipo  de  archivo  importado  no  es   código  fuente  y  pertenece  a  otra  categoría.     Description:  string   Valor  string  que  se  utiliza  para  proporcionar  una  descripción  general   de  la  función  que  desempeña  este  elemento.     Restricciones     Notación     Estereotipo  «Image»   Descripción   Representa  a  una  imagen  externa  que  se  almacena  en  la  BD.     Metaclase  UML  extendida   Component     Relaciones     Elementos  que  puede  contener   Este   estereotipo   no   puede   relacionarse   directamente   y   contener   a   ningún   otro  elemento.     Elementos  que  pueden  contenerlo   Este   estereotipo   puede   estar   relacionado   y   contenido   en   los   siguientes   estereotipos:  form,  subform  y  page.    
  • 175.
    Tesis:  Modelado  Visual de  Aplicaciones  Domino   Anexo:  Perfil  para  aplicaciones  Lotus  Notes   165   Valores  Etiquetados     Name:  string   Valor  string  que  representa  el  nombre  de  la  imagen  importada  a  la  BD.             ImageType:  string   Valor  string  que  permite  describir  el  tipo  de  imagen  importada.  El  tipo   debe  definirse  con  la  extensión  del  mismo.         Author:  string                 Valor  string  que    representa  el  nombre  del  autor  de  la  imagen.     ElaborationDate:  string     Valor  string  que  representa  la  fecha  de  elaboración  de  la  imagen.           AvailableToPublicAccess:  boolean  =  false   Permite   que   los   usuarios   tengan   acceso   a   la   imagen.   Para   que   un   usuario  tenga  acceso,  el  valor  de  esta  propiedad  debe  ser  true.           Description:  string   Valor  string  que  se  utiliza  para  proporcionar  una  descripción  general   de  la  función  que  desempeña  este  elemento.     Restricciones     Notación     Estereotipo  «Stylesheet»   Descripción   Representa  a  una  hoja  de  estilo  importada  en  la  BD.     Metaclase  UML  extendida   Component     Relaciones     Elementos  que  puede  contener   Este   estereotipo   no   puede   relacionarse   directamente   y   contener   a   ningún   otro  elemento.     Elementos  que  pueden  contenerlo   Este   estereotipo   puede   estar   relacionado   y   contenido   en   los   siguientes   estereotipos:  form,  subform  y  page.    
  • 176.
    Tesis:  Modelado  Visual de  Aplicaciones  Domino   Anexo:  Perfil  para  aplicaciones  Lotus  Notes   166   Valores  Etiquetados     Name:  string   Valor  string  que  representa  el  nombre  de  la  hoja  de  estilo  importada  a   la  BD.             Author:  string                 Valor  string  que    representa  el  nombre  del  autor  de  la  hoja  de  estilo.       ElaborationDate:  string     Valor   string   que   representa   la   fecha   de   elaboración   de   la   hoja   de   estilo.           AvailableToPublicAccess:  boolean  =  false   Permite  que  los  usuarios  tengan  acceso  a  la  hoja  de  estilo.  Para  que   un  usuario  tenga  acceso,  el  valor  de  esta  propiedad  debe  ser  true.           Description:  string   Valor  string  que  se  utiliza  para  proporcionar  una  descripción  general   de  la  función  que  desempeña  este  elemento.     Restricciones     Notación     Estereotipo  «Applet»   Descripción   Representa  a  un  Applet  de  Java  importado  a  la  BD.     Metaclase  UML  extendida   Component     Relaciones     Elementos  que  puede  contener   Este   estereotipo   no   puede   relacionarse   directamente   y   contener   a   ningún   estereotipo.     Elementos  que  pueden  contenerlo   Este   estereotipo   puede   estar   relacionado   y   contenido   en   los   siguientes   estereotipos:  form,  page,  subform,  table  y  section.     Valores  Etiquetados    
  • 177.
    Tesis:  Modelado  Visual de  Aplicaciones  Domino   Anexo:  Perfil  para  aplicaciones  Lotus  Notes   167   Name:  string   Valor  string  que  representa  el  nombre  del  Applet  importado  a  la  BD.             Author:  string                 Valor  string  que    representa  el  nombre  del  autor  del  Applet.       ElaborationDate:  string                   Valor  string  que  representa  la  fecha  de  elaboración  del  Applet.           Description:  string   Valor  string  que  se  utiliza  para  proporcionar  una  descripción  general   de  la  función  que  desempeña  este  elemento.       Restricciones     Notación       Estereotipo  «Outline»   Descripción   Representa  a  un  elemento  outline  en  LDD.  Los  outlines  proveen  a  los  usuarios  una   forma  de  navegar  en  una  aplicación  y  mantener  una  estructura  de  navegación  fija,   similar  a  un  diagrama  de  jerarquías.     Metaclase  UML  extendida   Class     Relaciones     Elementos  que  puede  contener   Este   estereotipo   sólo   puede   relacionarse   directamente   y   contener   al   estereotipo  outlineEntry.     Elementos  que  pueden  contenerlo   Este   estereotipo   puede   relacionarse   directamente   y   estar   contenido   en   los   siguientes  estereotipos:  form,  subform,  table,  section  y  page.     Valores  Etiquetados     Name:  string   Valor  string  que  representa  el  nombre  del  outline.             AvailableToPublicAccess:  boolean  =  false  
  • 178.
    Tesis:  Modelado  Visual de  Aplicaciones  Domino   Anexo:  Perfil  para  aplicaciones  Lotus  Notes   168   Permite   que   los   usuarios   tengan   acceso   al   outline.   Para   que   un   usuario  tenga  acceso,  el  valor  de  esta  propiedad  debe  ser  true.           Description:  string   Valor  string  que  se  utiliza  para  proporcionar  una  descripción  general   de  la  función  que  desempeña  este  elemento.     Restricciones   •    Un  outline  no  puede  estar  contenido  en  un    table  o  section  al  menos  que   estos  estén  contenidos  en  un  form,  subform  o  page.     Notación     Estereotipo  «OutlineEntry»   Descripción   Representa a una entrada en un outline. Estas entradas constituyen una pieza en la estructura de navegación del mismo. Un outlineEntry puede ser una acción o categoría que organiza otras entradas con nivel más profundo en el outline.   Metaclase  UML  extendida   Class     Relaciones     Elementos  que  puede  contener   Este   estereotipo   no   puede   relacionarse   directamente   y   contener   a   ningún   otro  elemento.     Elementos  que  pueden  contenerlo   Este  estereotipo  sólo  puede  estar  relacionado  y  contenido  en  el  estereotipo   outline.     Valores  Etiquetados     Name:  string   Valor  string  que  representa  el  nombre  del  outlineEntry.         Frame:  string                 Type:  typeOptions  =  URL   Valor   string   que   representa   el   tipo   de   contenido   que   desplegará   el   outlineEntry.  Existen  cuatro  tipos  de  contenidos  que  pueden  elegirse:    
  • 179.
    Tesis:  Modelado  Visual de  Aplicaciones  Domino   Anexo:  Perfil  para  aplicaciones  Lotus  Notes   169   Action   Opción   que   se   utiliza   para   especificar   una   acción   que   provea   una    tarea  automatizada.     URL   Opción  que  se  utiliza  para  especificar  que  el  outlineEntry  abrirá   una   página   Web   especificando   una   URL   completa   en   la   propiedad  value  del  tipo  http://www.paginaweb.com.     NamedElement   Opción  que  se  utiliza  para  especificar  que  el  outlineEntry  abrirá   el  elemento  especificado  en  la  propiedad  value.  Los  elementos   que   soporta   esta   propiedad   son:   page,   frameset,   view,   form,   folder  y  navigator.     Link   Opción  que  se  utiliza  para  especificar  que  el  outlineEntry  abrirá   un   documento   o   elemento   view   especificado   en   la   propiedad   value.         Frame:  string       Value:  string   Valor   string   que   se   utiliza   para   especificar   la   liga   hacia   el   tipo   de   contenido   que   el   outlineEntry   desplegará.   Esta   liga   puede   ser   una   dirección  URL,  el  nombre  de  algún  elemento  soportado  por  la  opción   NamedElement  de  la  propiedad  Typeo  una  fórmula  que  lanzará  otro   contenido,  dirección  o  elemento  de  LDD.     HideParagraphFrom:  HideOptions   Propiedad   que   determina   para   cuales   clientes   se   encontrará   oculto   este   elemento.   Los   clientes   de   los   cuales   puede   ocultarse   este   elemento  son:     NotesR4.6orLater:  boolean=  false   Valor   booleano   que   indica   que   este   elemento   se   ocultará   al   utilizar  un  cliente  Notes  versión  4.6  o  superior.     WebBrowser:  boolean=  false   Valor   booleano   que   indica   que   este   elemento   se   ocultará   al   utilizar  un  cliente  del  tipo  navegador  Web.     Mobile:  boolean=  false   Valor   booleano   que   indica   que   este   elemento   se   ocultará   al   utilizar  un  cliente  móvil.    
  • 180.
    Tesis:  Modelado  Visual de  Aplicaciones  Domino   Anexo:  Perfil  para  aplicaciones  Lotus  Notes   170   HideParagraphWhenDocumentIs:  WhenDocumentIsOptions   Propiedad  que  determina  las  circunstancias  en  las  que  debe  ocultarse   este  elemento.  Las  circunstancias  posibles  son:     PreviewedForReading:  boolean  =  false   Valor   booleano   que   determina   que   la   información   de   este   elemento   no   sea   visible   cuando   un   usuario   lea   un   documento   en  el  panel  visualizador  de  documentos.     OpenedForReading:  boolean  =  false   Valor   booleano   que   determina   si   la   información   de   este   elemento  estará  visible  cuando  un  usuario  abre  un  documento   en  modo  lectura.     Printed:  boolean  =  false   Valor  booleano  que  determina  si  la  información  oculta  de  este   elemento  estará  visible  en  documentos  impresos.     Embedded:  boolean  =  false   Valor   booleano   que   determina   si   el   elemento   estará   visible   cuando  los  usuarios  acceden  a  un  documento  en  el  cual  se  ha   utilizado  el  editor  embebido  para  embeber  el  elemento.     PreviewedForEditing:  boolean  =  false   Valor   booleano   que   determina   si   la   información   de   este   elemento   estará   visible   cuando   un   usuario   trabaja   con   un   documento  en  modo  edición  en  el  panel  de  pre  visualización.     OpenedForEditing:  boolean  =  false   Valor   booleano   que   determina   si   la   información   estará   visible   cuando   los   usuarios   trabajen   sobre   documentos   en   modo   edición.     CopiedToTheClipboard:  boolean  =  false   Valor    booleano  que  determina  si  se  debe  ocultar  el  contenido   de  este  elemento  cuando  un  usuario  copia  un  documento.     HideParagraphIfFormulaIsTrue:  boolean  =  false   Valor  booleano  que  indica  si  una  formula  indicará  las  circunstancias  en   las  cuales  la  información  se  ocultará.     Formula:  string   Valor   de   tipo   string   que   permite   especificar   una   fórmula   para   este   elemento.           Description:  string  
  • 181.
    Tesis:  Modelado  Visual de  Aplicaciones  Domino   Anexo:  Perfil  para  aplicaciones  Lotus  Notes   171   Valor  string  que  se  utiliza  para  proporcionar  una  descripción  general   de  la  función  que  desempeña  este  elemento.     Restricciones   •   La  propiedad  value  no  se  encuentra  disponible  cuando  se  elige  el  valor   Link  de  la  propiedad  Type.   •   La   propiedad   Frame   no   se   encuentran   disponibles   cuando   se   elige   el   valor  Action  de  la  propiedad  Type.   •   Cuando   el   valor   de   la   propiedad   HideParagraphFrom   es   NotesR4.6orLatersólo  pueden  utilizarse  las  opciones  OpenedForReading   y  OpenedForEditing  de  la  propiedad  HideWhenDocumentIs.     Notación     Estereotipo  «Hotspot»   Descripción   Representa   a   un   elemento   hotspot   en   LDD.   Es   un   área   programada   donde   se   puede  ejecutar  una  acción  a  través  de  un  simple  clic.  Para  automatizar  un  hotspot   se  necesita  programarle  una  acción.     Metaclase  UML  extendida   Class     Relaciones     Elementos  que  puede  contener   Este   estereotipo   no   puede   relacionarse   directamente   y   contener   a   ningún   otro  elemento.     Elementos  que  pueden  contenerlo   Este   estereotipo   puede   estar   relacionado   y   contenido   en   los   siguientes   estereotipos:  form,  subform,  page,  table,  section  y  navigator.     Valores  Etiquetados     Name:  string   Valor  string  que  representa  el  nombre  del  hotspot  y  al  mismo  tiempo  la   cadena  de  caracteres  que  representa  a  este  elemento  en  el  diseño  de   una  aplicación.     HotspotType:  hotspotType   Propiedad   que   permite   especificar   el   tipo   de   hotspot   al   cual   representará   este   estereotipo.   Existen   cinco   tipos   de   hotspot   que   pueden  elegirse:  
  • 182.
    Tesis:  Modelado  Visual de  Aplicaciones  Domino   Anexo:  Perfil  para  aplicaciones  Lotus  Notes   172     Link     Opción  que  se  utiliza  para  especificar  que  el  tipo  de  hotspot  es   LinkHotspot.   Este   tipo   de   opción   permite   crear   una   liga   a   un   documento,  view,  DB,  URL  u  otros.           Action   Opción  que  se  utiliza  para  especificar  que  el  tipo  de  hotspot  es   ActionHotspot.   Este   tipo   de   opción   permite   crear   una   acción   programada  utilizando  alguno  de  los  lenguajes  soportados  por   LDD.         Rectangle   Opción  que  se  utiliza  para  especificar  que  el  tipo  de  hotspot  es   RectangleHotspot.   Este   tipo   de   opción   permite   crear   un   área   rectangular   programada   y   seleccionable   que   permite   ejecutar   una  acción  o  invocar  a  un  elemento  de  la  BD.           Polygon   Opción  que  se  utiliza  para  especificar  que  el  tipo  de  hotspot  es   Polygon   Hotspot.   Este   tipo   de   opción   permite   crear   un   área   poligonal  programada  y  seleccionable  que  permite  ejecutar  una   acción  o  invocar  a  un  elemento  de  la  BD.           Circle   Opción  que  se  utiliza  para  especificar  que  el  tipo  de  hotspot  es   Circle   Hotspot.   Este   tipo   de   opción   permite   crear   un   área   circular   programada   y   seleccionable   que   permite   ejecutar   una   acción  o  invocar  a  un  elemento  de  la  BD.     Type:  typeOptions  =  URL   Valor   string   que   representa   el   tipo   de   contenido   que   desplegará   el   hotspot.  Existen  cuatro  tipos  de  contenidos  que  pueden  elegirse:     URL   Opción  que  se  utiliza  para  especificar  que  el  hotspot  abrirá  una   página  Web  especificando  una  URL  completa  en  la  propiedad   value  del  tipo  http://www.paginaweb.com.     NamedElement   Opción  que  se  utiliza  para  especificar  que  el  hotspot  abrirá  el   elemento   especificado   en   la   propiedad   value.   Los   elementos   que   soporta   esta   propiedad   son:   page,   frameset,   view,   form,   folder  y  navigator.     Link  
  • 183.
    Tesis:  Modelado  Visual de  Aplicaciones  Domino   Anexo:  Perfil  para  aplicaciones  Lotus  Notes   173   Opción  que  se  utiliza  para  especificar  que  el  hotspot  abrirá  un   documento  o  elemento  view  especificado  en  la  propiedad  value.         Frame:  string                     Los  HTML  Tags  son  propiedades  que  permiten  manejar  este  elemento  con   Javascript  en  el  Web.     HTMLTag_Id:  string         Propiedad  que  representa  el  elementoID  en  los  tags  de  HTML.             HTMLTag_Class:  string                 Propiedad  que  representa  el  elemento  Class  en  los  tags  de  HTML.           HTMLTag_Style:  string                     Propiedad  que  representa  el  elemento  Style  en  los  tags  de  HTML.             HTMLTag_Title:  string                   Propiedad  que  representa  el  elemento  Title  en  los  tags  de  HTML.             HTMLTag_Other:  string                 Propiedad  que  permite  representar  otros  elementos  para  los  tags  de   HTML.  Por  ejemplo:  align,  border,  height,  entre  otros.     Click:  ClickOptions   Evento  que  permite  especificar  el  tipo  de  acción  que  se  ejecutará  al   momento   de   hacer   clic   sobre   el   tipo   de   hotspot   seleccionado.   Las   acciones  que  se  pueden  ejecutar  son  de  tres  tipos:     Fórmula   Opción   que   permite   especificar   una   fórmula   en   la   propiedad   value   que   se   ejecutará   al   momento   de   hacer   clic   sobre   el   hotspot.     SimpleAction   Opción   que   permite   especificar   el   elemento   de   LDD   que   se   lanzará  al  momento  de  hacer  clic  sobre  el  hotspot.  Los  posibles   elementos  que  se  pueden  lanzar  son:  view,  navigator,  folder,link   o  URL.      LotusScript   Opción  que  permite  especificar  una  acción  escrita  en  lenguaje   LotusScript,  la  cual  se  ejecutará  al  momento  de  hacer  clic  sobre   el  hotspot.       Value:  string  
  • 184.
    Tesis:  Modelado  Visual de  Aplicaciones  Domino   Anexo:  Perfil  para  aplicaciones  Lotus  Notes   174         Valor   string   que   se   utiliza   para   especificar   la   liga   hacia   el   tipo   de   contenido  que  el  hotspot  desplegara.  Esta  liga  puede  ser  una  dirección   URL   o   el   nombre   de   algún   elemento   soportado.   Por   ejemplo,   el   nombre  de  un  form,  page  o  cualquiera  de  los  estereotipos  que  puede   contener   o   relacionarse.   Esta   propiedad   también   se   utiliza   para   especificar  la  formula  que  se  ejecutará  al  momento  de  hacer  clic  en  el   hotspot  siempre  y  cuando  se  haya  seleccionado  la  opción  formula  de   la  propiedad  click.  En  este  valor  también  se  introduce  el  nombre  del   elemento  que  se  lanzará  si  la  opción  simpleaction  se  ha  seleccionado   de  la  propiedad  click.         Description:  string   Valor  string  que  se  utiliza  para  proporcionar  una  descripción  general   de  la  función  que  desempeña  este  elemento.     Restricciones   •   Un  hotspot  no  puede  estar  contenido  en  un    table  o  section  al  menos  que   estos  estén  contenidos  en  un  form,  subform  o  page.   •   La  opción  action  de  la  propiedad  Type  no  está  disponible  para  un  hotspot.   •   Las   opciones   rectangle,   polygon   y   circle   de   la   propiedad   hotspotType   sólo   están   disponibles   si   el   elemento   hotspot   está   contenido   en   un   elemento   navigator.   •   La  propiedad  Type  no  está  disponible  para  los  tipos  de  de  hotspot:  rectangle,   circle  y  polygon.   •   La   propiedad   value   sólo   está   disponible   para   la   propiedad   click   con   los   valores  formula  y  simpleaction.   •   Las  propiedades  HTMLTags,  Type  y  Frame  sólo  están  disponibles  para  los   tipos  de  hotspot:action  y  link.   •   La  propiedad  click  sólo  está  disponible  para  los  tipos  de  hotspot:  rectangle,   circle  y  polygon.     Notación     Estereotipo  «ComputerText»   Descripción   Representa  a  un  elemento  Computer  Text  en  LDD.  Un  computer  text  es  un  campo   donde  su  valor  se  determina  a  través  de  una  fórmula  que  el  desarrollador  programa.   Los   campos   calculados   pueden   ser   simples,   compuestos   o   para   desplegar   información.   Un   campo   simple   se   calcula   cada   vez   que   un   documento   se   crea,   actualiza   o   guarda   información.   Un   campo   compuesto   se   calcula   sólo   cuando   un   documento   se   crea   por   primera   vez.   Un   campo   para   desplegar   información   se   calcula  cada  vez  que  un  documento  se  abre  o  guarda.    
  • 185.
    Tesis:  Modelado  Visual de  Aplicaciones  Domino   Anexo:  Perfil  para  aplicaciones  Lotus  Notes   175   Metaclase  UML  extendida   Class     Relaciones     Elementos  que  puede  contener   Este   estereotipo   no   puede   relacionarse   directamente   y   contener   a   ningún   otro  elemento.     Elementos  que  pueden  contenerlo   Este   estereotipo   puede   estar   relacionado   y   contenido   en   los   siguientes   estereotipos:  form,  subform,  page,  tabley  section.     Valores  Etiquetados     Value:  string   Valor  string  que  representa     HideParagraphFrom:  HideOptions   Propiedad   que   determina   para   cuales   clientes   se   encontrará   oculto   este   elemento.   Los   clientes   de   los   cuales   puede   ocultarse   este   elemento  son:     NotesR4.6orLater:  boolean=  false   Valor   booleano   que   indica   que   este   elemento   se   ocultará   al   utilizar  un  cliente  Notes  versión  4.6  o  superior.     WebBrowser:  boolean=  false   Valor   booleano   que   indica   que   este   elemento   se   ocultará   al   utilizar  un  cliente  del  tipo  navegador  Web.     Mobile:  boolean=  false   Valor   booleano   que   indica   que   este   elemento   se   ocultará   al   utilizar  un  cliente  móvil.     HideParagraphWhenDocumentIs:  WhenDocumentIsOptions   Propiedad  que  determina  las  circunstancias  en  las  que  debe  ocultarse   este  elemento.  Las  circunstancias  posibles  son:     PreviewedForReading:  boolean  =  false   Valor   booleano   que   determina   que   la   información   de   este   elemento   no   sea   visible   cuando   un   usuario   lea   un   documento   en  el  panel  visualizador  de  documentos.     OpenedForReading:  boolean  =  false  
  • 186.
    Tesis:  Modelado  Visual de  Aplicaciones  Domino   Anexo:  Perfil  para  aplicaciones  Lotus  Notes   176   Valor   booleano   que   determina   si   la   información   de   este   elemento  estará  visible  cuando  un  usuario  abre  un  documento   en  modo  lectura.     Printed:  boolean  =  false   Valor  booleano  que  determina  si  la  información  oculta  de  este   elemento  estará  visible  en  documentos  impresos.     Embedded:  Boolean  =  false   Valor   booleano   que   determina   si   el   elemento   estará   visible   cuando  los  usuarios  acceden  a  un  documento  en  el  cual  se  ha   utilizado  el  editor  embebido  para  embeber  el  elemento.     PreviewedForEditing:  boolean  =  false   Valor   booleano   que   determina   si   la   información   de   este   elemento   estará   visible   cuando   un   usuario   trabaja   con   un   documento  en  modo  edición  en  el  panel  de  pre  visualización.     OpenedForEditing:  boolean  =  false   Valor   booleano   que   determina   si   la   información   estará   visible   cuando   los   usuarios   trabajen   sobre   documentos   en   modo   edición.     CopiedToTheClipboard:  boolean  =  false   Valor    booleano  que  determina  si  se  debe  ocultar  el  contenido   de  este  elemento  cuando  un  usuario  copia  un  documento.     HideIfFormulaIsTrue:  boolean  =  false   Valor  booleano  que  indica  si  una  formula  indicará  las  circunstancias  en   las  cuales  la  información  se  ocultará.     Formula:  string   Valor   de   tipo   string   que   permite   especificar   una   fórmula   para   este   elemento.     Los  HTML  Tags  son  propiedades  que  permiten  manejar  este  elemento  con   Javascript  en  el  Web.     HTMLTag_Id:  string      Propiedad  que  representa  el  elementoID  en  los  tags  de  HTML.             HTMLTag_Class:  string                Propiedad  que  representa  el  elemento  Class  en  los  tags  de  HTML.           HTMLTag_Style:  string                  Propiedad  que  representa  el  elemento  Style  en  los  tags  de  HTML.    
  • 187.
    Tesis:  Modelado  Visual de  Aplicaciones  Domino   Anexo:  Perfil  para  aplicaciones  Lotus  Notes   177           HTMLTag_Title:  string                  Propiedad  que  representa  el  elemento  Title  en  los  tags  de  HTML.             HTMLTag_Other:  string                 Propiedad  que  permite  representar  otros  elementos  para  los  tags  de   HTML.  Por  ejemplo:  align,  border,  height,  entre  otros.         Description:  string   Valor  string  que  se  utiliza  para  proporcionar  una  descripción  general   de  la  función  que  desempeña  este  elemento.     Restricciones   •   Cuando   el   valor   de   la   propiedad   HideParagraphFrom   es   NotesR4.6orLatersólo   pueden   utilizarse   las   opciones   OpenedForReading   y   OpenedForEditing  de  la  propiedad  HideWhenDocumentIs.   •   Un  computertext  no  puede  estar  contenido  en  un    table  o  section  al  menos   que  estos  estén  contenidos  en  un  form,  subform  o  page.     Notación     Estereotipo  «Navigator»   Descripción   Representa  a  un  navigator  en  LDD.  Un  navigator  es  una  interfaz  gráfica  que  permite   a   los   usuarios   acceder   a   views,   datos   de   la   BD   de   Domino   u   otras   aplicaciones.   Este  elemento  puede  incluir  botones  gráficos  o  hotspots.     Metaclase  UML  extendida   Class     Relaciones     Elementos  que  puede  contener   Este   estereotipo   puede   relacionarse   directamente   y   contener   sólo   al   estereotipo  hotspot.     Elementos  que  pueden  contenerlo   Este   estereotipo   puede   estar   relacionado   y   contenido   en   los   siguientes   estereotipos:  form,  subform,  page,  frame,  tabley  section.     Valores  Etiquetados     Name:  string   Valor  string  que  representa  el  nombre  del  navigator.  
  • 188.
    Tesis:  Modelado  Visual de  Aplicaciones  Domino   Anexo:  Perfil  para  aplicaciones  Lotus  Notes   178         Description:  string   Valor  string  que  se  utiliza  para  proporcionar  una  descripción  general   de  la  función  que  desempeña  este  elemento.     Restricciones   •   Un  navigator  no  puede  estar  contenido  en  un    table  o  section  al  menos  que   estos  estén  contenidos  en  un  form,  subform  o  page.   •   Un  navigator  sólo  puede  contener  a  hotspots  del  tipo:  rectangle,  polygon  y   circle.     Notación     Estereotipo  «Button»   Descripción   Representa  a  un  button,  el  cual  es  un  tipo  de  hotspot  en  LDD.  Este  elemento  se   utiliza  para  llevar  a  cabo  una  acción  o  fórmula,  código  LotusScript  o  JavaScript.Los   hotspots   tipo   botón   y   acción   realizan   lo   mismo.   La   diferencia   radica   en   que   el   hotspot   tipo   botón   aparecer   como   botón   y   el   de   tipo   acción   aparece   como   texto   resaltado.     Metaclase  UML  extendida   Class     Relaciones     Elementos  que  puede  contener   Este   estereotipo   no   puede   relacionarse   directamente   y   contener   a   ningún   otro  estereotipo.     Elementos  que  pueden  contenerlo   Este   estereotipo   puede   estar   relacionado   y   contenido   en   los   siguientes   estereotipos:  form,  subform,  page,  tabley  section.     Valores  Etiquetados     Name:  string   Valor  string  que  representa  el  nombre  y  la  etiqueta  del  button.     HideParagraphFrom:  HideOptions   Propiedad   que   determina   para   cuales   clientes   se   encontrará   oculto   este   elemento.   Los   clientes   de   los   cuales   puede   ocultarse   este   elemento  son:    
  • 189.
    Tesis:  Modelado  Visual de  Aplicaciones  Domino   Anexo:  Perfil  para  aplicaciones  Lotus  Notes   179   NotesR4.6orLater:  boolean=  false   Valor   booleano   que   indica   que   este   elemento   se   ocultará   al   utilizar  un  cliente  Notes  versión  4.6  o  superior.     WebBrowser:  boolean=  false   Valor   booleano   que   indica   que   este   elemento   se   ocultará   al   utilizar  un  cliente  del  tipo  navegador  Web.     Mobile:  boolean=  false   Valor   booleano   que   indica   que   este   elemento   se   ocultará   al   utilizar  un  cliente  móvil.     HideParagraphWhenDocumentIs:  WhenDocumentIsOptions   Propiedad  que  determina  las  circunstancias  en  las  que  debe  ocultarse   este  elemento.  Las  circunstancias  posibles  son:     PreviewedForReading:  boolean  =  false   Valor   booleano   que   determina   que   la   información   de   este   elemento   no   sea   visible   cuando   un   usuario   lea   un   documento   en  el  panel  visualizador  de  documentos.     OpenedForReading:  boolean  =  false   Valor   booleano   que   determina   si   la   información   de   este   elemento  estará  visible  cuando  un  usuario  abre  un  documento   en  modo  lectura.     Printed:  boolean  =  false   Valor  booleano  que  determina  si  la  información  oculta  de  este   elemento  estará  visible  en  documentos  impresos.     Embedded:  Boolean  =  false   Valor   booleano   que   determina   si   el   elemento   estará   visible   cuando  los  usuarios  acceden  a  un  documento  en  el  cual  se  ha   utilizado  el  editor  embebido  para  embeber  el  elemento.     PreviewedForEditing:  boolean  =  false   Valor   booleano   que   determina   si   la   información   de   este   elemento   estará   visible   cuando   un   usuario   trabaja   con   un   documento  en  modo  edición  en  el  panel  de  previsualización.     OpenedForEditing:  boolean  =  false   Valor   booleano   que   determina   si   la   información   estará   visible   cuando   los   usuarios   trabajen   sobre   documentos   en   modo   edición.     CopiedToTheClipboard:  boolean  =  false  
  • 190.
    Tesis:  Modelado  Visual de  Aplicaciones  Domino   Anexo:  Perfil  para  aplicaciones  Lotus  Notes   180   Valor    booleano  que  determina  si  se  debe  ocultar  el  contenido   de  este  elemento  cuando  un  usuario  copia  un  documento.     HideIfFormulaIsTrue:  boolean  =  false   Valor  booleano  que  indica  si  una  formula  indicará  las  circunstancias  en   las  cuales  la  información  se  ocultará.     Formula:  string   Valor   de   tipo   string   que   permite   especificar   una   fórmula   para   este   elemento.     Los  HTML  Tags  son  propiedades  que  permiten  manejar  este  elemento  con   Javascript  en  el  Web.     HTMLTag_Id:  string      Propiedad  que  representa  el  elementoID  en  los  tags  de  HTML.             HTMLTag_Class:  string                Propiedad  que  representa  el  elemento  Class  en  los  tags  de  HTML.           HTMLTag_Style:  string                  Propiedad  que  representa  el  elemento  Style  en  los  tags  de  HTML.             HTMLTag_Title:  string                  Propiedad  que  representa  el  elemento  Title  en  los  tags  de  HTML.             HTMLTag_Other:  string                 Propiedad  que  permite  representar  otros  elementos  para  los  tags  de   HTML.  Por  ejemplo:  align,  border,  height,  entre  otros.         Description:  string   Valor  string  que  se  utiliza  para  proporcionar  una  descripción  general   de  la  función  que  desempeña  este  elemento.         OnclickLanguage:  LanguageType   Propiedad  que  permite  especificar  el  tipo  de  lenguaje  para  codificar  el   evento  que  se  lanzará  al  momento  de  hacer  clic  sobre  el  botón.  Los   lenguajes  soportados  son  JavaScript  y  CommonJavaScript.             OnClick   Método   que   se   ejecuta   al   momento   de   hacer   clic   sobre   el   elemento   button.         OnMouseOver   Método  que  se  ejecuta  al  momento  de  pasar  el  puntero  del  ratón  sobre   el  elemento  button.  
  • 191.
    Tesis:  Modelado  Visual de  Aplicaciones  Domino   Anexo:  Perfil  para  aplicaciones  Lotus  Notes   181     OnkeyDown   Método   que   ejecuta   el   código   del   elemento   button   al   momento   de   presionar  una  tecla  que  se  ha  programado  para  ejecutar  el  código.     OnMouseDown   Método   que   se   ejecuta   al   momento   de   presionar   el   botón   del   ratón   sobre  el  elemento  button.     Restricciones   •   Un   button   no   puede   estar   contenido   en   un     table   o   section   al   menos   que   estos  estén  contenidos  en  un  form,  subform  o  page.   •   Cuando   el   valor   de   la   propiedad   HideParagraphFrom   es   NotesR4.6orLatersólo   pueden   utilizarse   las   opciones   OpenedForReading   y   OpenedForEditing  de  la  propiedad  HideWhenDocumentIs.     Notación     Estereotipo  «Agent»   Descripción   Representa   a   un   elemento   Agenten   LDD.   Estos   elementos   permiten   automatizar   tareas  en  Domino.  Son  programas  independientes  que  realizan  una  tarea  específica  en   una  BD.     Metaclase  UML  extendida   Class     Relaciones     Elementos  que  puede  contener   Este   estereotipo   no   puede   relacionarse   directamente   y   contener   a   ningún   otro  estereotipo.     Elementos  que  pueden  contenerlo   Este   estereotipo   puede   estar   relacionado   y   contenido   en   los   siguientes   estereotipos:  database,form,  subform,  action,  y  page.     Valores  Etiquetados     Name:  string   Valor  string  que  representa  el  nombre  del  agent.         Type:  AgentType=  shared  
  • 192.
    Tesis:  Modelado  Visual de  Aplicaciones  Domino   Anexo:  Perfil  para  aplicaciones  Lotus  Notes   182   Propiedad  que  se  utilizara  para  especificar  el  tipo  de  agente.  Los  tipos   posibles  son:     Private   Opción  que  permite  especificar  que  el  agente  será  privado  y  no   podrá  ser  utilizado  por  otros  usuarios.     Shared   Opción  que  permite  especificar  que  el  agente  será  compartido  y   utilizado  por  varios  usuarios.         RunAsWebUser:  boolean  =  false   Valor  booleano  que  permite  al  agente  correr  con  el  nombre  de  usuario   que  utiliza  el  usuario  Web.     RunOfBehalftUser:  string     Valor  string  que  permite  especificar  los  usuarios  sobre  los  cuales  este   agente  podrá  ejecutarse.     SetRuntimeSecurity:securityLevel  =  DoNotAllowRestrictedOperations(RO)   Propiedad   que   permite   especificar   el   nivel   de   seguridad   del   agente.   Las  opciones  posibles  son:     DoNotAllowRestrictedOperations(RO)   Opción  que  permite  que  el  agente  no  lleve  a  cabo  operaciones   restringidas.             AllowRestrictedOperations Opción   que   permite   que   el   agente   lleve   a   cabo   operaciones   restringidas.                   AllowROWithFullAdministrationRigths   Opción   que   permite   al   agente   llevar   a   cabo   operaciones   restringidas   y   realizarlas   con   todos   los   derechos   de   administración.         DefaultAccessForAllReaders:  boolean  =  true   Valor   booleano   que   permite   especificar   en   la   propiedad   users   a   los   usuarios   que   tendrán   acceso   al   agente.   Un   valor   true     permite   el   acceso   a   todos   los   usuarios,   un   valor   false   permite   el   acceso   solamente  a  los  usuarios  especificados  en  la  propiedad  users.         Users:  string   Valor  string  que  permite  especificar  los  usuarios  que  tendrán  acceso  al   agente.          
  • 193.
    Tesis:  Modelado  Visual de  Aplicaciones  Domino   Anexo:  Perfil  para  aplicaciones  Lotus  Notes   183   AllowUserToViewAndRunThisAgent:  boolean  =  false   Valor  booleano  que  permite  a  los  usuarios  que  tienen  acceso  público  a   los  documentos  de  la  BD  ejecutar  el  agente.         TriggerOnEvent:  boolean  =  true   Valor  booleano  que  permite  especificar  que  el  agente  se  lanzará  una   vez  que  ocurra  el  evento  seleccionado  en  la  propiedad  OnEventType.         TriggerOnSchedule:  boolean  =  false   Valor   booleano   que   permite   especificar   que   el   agente   se   lanzará   en   una  fecha  y  horario  señalado  en  las  propiedad  OnScheduleType.         Target:  TargetOptions  =  AllNew&ModifiedDocuements   Propiedad  que  permite  especificar  el  tipo  sobre  el  cual  se  ejecutará  el   agente.  Los  tipos  de  documentos  son:           AllNew&ModifiedDocuments   Opción   que   permite   especificar   que   el   agente   se   ejecutará   solamente   sobre   todos   los   documentos   nuevos   y   modificados   de  la  BD.           AllDocumentInDatabase   Opción   que   permite   especificar   que   el   agente   se   ejecutará   sobre  todos  los  documentos  de  la  BD.                 AllUnreadDocumentsInView     Opción   que   permite   especificar   que   el   agente   se   ejecutará   solamente  sobre  todos  los  documentos  sin  leer  de  un  view.                 AllDocumentInView     Opción   que   permite   especificar   que   el   agente   se   ejecutará   sobre  todos  los  documentos  de  un  view.           AllSelectedDocument           None           OnEventType:  OnEventTypeOptions  =  ActionMenuSelection   Propiedad   que   permite   especificar   que   el   agente   se   iniciará   cuando   ocurra  cierto  evento.  Los  eventos  posibles  son:     ActionMenuSelection         AgentListSelection      
  • 194.
    Tesis:  Modelado  Visual de  Aplicaciones  Domino   Anexo:  Perfil  para  aplicaciones  Lotus  Notes   184     BeforeNewMailArrives   Opción  que  permite  al  agente  ejecutarse  antes  de  que  el  correo   se  deposite  en  la  BD.     AfterNewMailHasArrived   Opción   que   permite   al   agente   ejecutarse   después   de   que   el   correo  se  deposite  en  la  BD.     AfterDocumentAreCreatedOrModified   Opción   que   permite   al   agente   ejecutarse   después   de   que   un   documento  es  creado  o  modificado  en  la  BD.     WhenDocumentArePasted   Opción  que  permite  al  agente  ejecutarse  cuando  un  documento   se  ha  pegado  en  la  BD.     OnScheduleType:  OnScheduleTypeOptios  =  MoreThanOnceADay     Propiedad   que   permite   especificar   que   el   agente   se   iniciará   en   una   fecha   y   horario   determinado.   Esta   propiedad   está   ligada   a   las   propiedades:  RunAgentEvery,  StopRunningAgentOnThisDate,  AllDay,   OnDay,   AtTime,   StartRunningAgentOnThisDate,   BetweenTimes,   y   StartRunningAgentAt.Las   opciones   disponibles   para   esta   propiedad   son:           MoreThanOnceADay   Opción  que  permite  especificar  que  el  agente  se  ejecutará  más   de   una   vez   al   día.   Esta   opción   se   encuentra   ligada   con   las   propiedades  RunAgentEvery,  BetweenTimes  y  AllDay.           Daily   Opción   que   permite   especificar   que   el   agente   se   ejecutará   diariamente.   Esta   opción   se   encuentra   ligada   a   la   propiedad   StartRunningAgentAt.           Weekly   Opción   que   permite   especificar   que   el   agente   se   ejecutará   semanalmente.   Esta   opción   se   encuentra   ligada   a   las   propiedades  AtTime  y  OnDay.           Montly   Opción   que   permite   especificar   que   el   agente   se   ejecutará   mensualmente.   Esta   opción   se   encuentra   ligada   a   las   propiedades  AtTime  y  OnDay.     Never  
  • 195.
    Tesis:  Modelado  Visual de  Aplicaciones  Domino   Anexo:  Perfil  para  aplicaciones  Lotus  Notes   185   Opción   que   permite   especificar   que   el   agente   no   tendrá   un   horario  y  fecha  determinada  para  ejecutarse.           Nota:  ver  las  restricciones  de  uso  de  cada  una  de  estas  propiedades.             RunAgentEvery:  string   Valor  string  utilizado  para  especificar  el  intervalo  de  tiempo  en  el  cual   se  ejecutará  el  agente.  Por  ejemplo:  “cada  hora”,  “cada  media  hora”,   entre  otros.         BetweenTimes:  string   Valor  string  utilizado  para  especificar  los  tiempos  entre  los  cuales  se   ejecutará  el  agente.  Por  ejemplo:  “entre  12:00  y  12:30”,  “entre  10:00  y   10:25”,  entre  otros.         AllDay:  boolean  =  true   Valor   booleano   utilizado   para   especificar   si   el   agente   se   lanzará   diariamente.           OnDay:  string   Valor  stringutilizado  para  especificar  el  día  de  la  semana  en  el  que  el   agente  se  lanzará.         StartRunningAgentAtTime:  string   Valor   string   utilizado   para   especificar   la   hora   de   lanzamiento   del   agente  en  la  fecha  especificada.             StartRunningAgentOnThisDate:  string   Valor   string   utilizado   para   restringir   la   fecha   en   la   que   el   agente   se   lanzará.         StopRunningAgentOnThisDate:  string   Valor   stringutilizado   para   restringir   la   fecha   en   la   que   el   agente   se   detendrá.         DontRunAgentOnWeekends:  boolean  =  false   Valor  booleano  utilizado  para  especificar  si  el  agente  tendrá  permitido   ejecutarse  los  fines  de  semana.             RunOn:  string   Valor  string  utilizado  para  especificar  el  nombre  del  servidor  donde  el   agente  se  ejecutará.         ChooseServerWhenAgentIsEnable:  boolean   =  false    
  • 196.
    Tesis:  Modelado  Visual de  Aplicaciones  Domino   Anexo:  Perfil  para  aplicaciones  Lotus  Notes   186   Valor   booleano   utilizado   para   especificar   que   los   usuarios   sean   avisados  de  que  un  agente  está  habilitado  y  necesita  especificársele   un  servidor  de  ejecución.     Description:  string   Valor  string  que  se  utiliza  para  proporcionar  una  descripción  general   de  la  función  que  desempeña  este  elemento.     Restricciones   •   Las   propiedades   TriggerOnEvent   y   TriggerOnScheduleno   pueden   tener   un   valor  true  al  mismo  tiempo,  una  de  ellas  debe  ser  false.   •   La   propiedad   OnEventType   sólo   puede   utilizarse   cuando   la   propiedad   TriggerOnEvent  tiene  un  valor  de  true.   •   La   propiedad   OnScheduleType   sólo   puede   utilizarse   cuando   la   propiedad   TriggerOnSchedule  tiene  un  valor  de  true.   •   Las   propiedades   ChooseServerWhenAgentIsEnables,   BetweenTimes,   AllDay,   StartRunningAgentAtTime,   OnDay,   StartRunningAgentOnThisDate,RunOn,     StopRunningAgentOnThisDate,   DontRunAgentOnWeekends  y  RunAgentEvery  sólo  pueden  utilizarse  cuando   la  propiedad  TriggerOnSchedule  tiene  un  valor  true.   •   La   propiedad   Target   no   está   disponible   cuando   se   eligen   las   opciones   BeforeNewMailArrives,   AfterNewMailHasArrived,   WhenDocumentArePasted   y  AfterDocumentAreCreatedOrModified  de  la  propiedadOnEventType.   •   Con   la   opción   AfterDocumentAreCreatedOrModified   de   la   propiedad   OnEventType  el  agente  se  ejecutará  por  defecto  en  intervalos  de  30  minutos,   pero  no  inmediatamente  después  de  cada  actualización  de  un  documento.   •   Cuando   la   propiedad   TriggerOnSchedule   tiene   un   valor   true,   sólo   están   disponibles   los   valores   AllDocumentsInDatabase   y   AllNew&ModifiedDocuments  de  la  propiedad  Target.   •   Las   propiedades   RunAgentEvery,   BetweenTimes   y   AllDay   sólo   están   disponibles   para   la   opción     MoreThanOnceADayde   la   propiedad   OnScheduleType.   •   Las   propiedades   AllDay   y   BetweenTimes   no   pueden   utilizarse   al   mismo   tiempo.  Si  la  propiedad  AllDay  tiene  un  valor  false,  entonces  puede  utilizarse   la  propiedad  BetweenTimes.   •   La   propiedad   StartRunningAgentAtTimesólo   está   disponible   para   las   opciones    Daily,  weekly  y  montly  de  la  propiedad  OnScheduleType.   •   La  propiedad  OnDay  sólo  está  disponible  para  las  opciones  weekly  y  montly   de  la  propiedadOnScheduleType.   •   La   propiedad   users   sólo   puede   utilizarse   si   la   propiedad   DefaultAccessForAllReaders  tiene  un  valor  false.   •   La   propiedad   DontRunAgentOnWeekends   no   está   disponible   cuando   se   eligen  las  opciones  weekly  y  montly  de  la  propiedad  OnScheduleType.   •   La   propiedad   RunOn   no   está   disponible   cuando   la   propiedad   ChooseServerWhenAgentIsEnabletiene  un  valor  true.  
  • 197.
    Tesis:  Modelado  Visual de  Aplicaciones  Domino   Anexo:  Perfil  para  aplicaciones  Lotus  Notes   187     Notación     Estereotipo  «ActionBar»   Descripción   Representa  a  una  barra  de  acciones  en  LDD.  Un  action  bar  es  un  contenedor  de   acciones   programadas.   Un   action   bar   es   una   barra   horizontal   de   botones,   estos   botones  pueden  contener  tanto  acciones  simples  como  compartidas.     Metaclase  UML  extendida   Class     Relaciones     Elementos  que  puede  contener   Este   estereotipo   puede   relacionarse   directamente   y   contener   sólo   al   estereotipo  action.     Elementos  que  pueden  contenerlo   Este   estereotipo   puede   estar   relacionado   y   contenido   en   los   siguientes   estereotipos:  form,  subform,  view,  folder  y  pages.     Valores  Etiquetados      Display:  DisplayOptions   Propiedad  que  permite  elegir  la  forma  en  que  la  barra  de  acciones  se   desplegará  en  el  Web.  Las  opciones  disponibles  son:     UsingHTML   Opción  por  defecto  que  permite  desplegar  la  barra  de  acciones   utilizando  HTML.           UsingJavaApplet   Opción   que   permite   desplegar   la   barra   de   acciones   como   un   applet  de  Java,  dándoles  a  los  usuarios  una  mejor  apariencia  y   funcionalidad  en  el  manejo  de  la  barra.     Description:  string   Valor  string  que  se  utiliza  para  proporcionar  una  descripción  general   de  la  función  que  desempeña  este  elemento.     Restricciones   •   Las  propiedades  de  una  barra  de  acciones  no  están  disponibles  cuando  ésta   se  utiliza  en  un  subform.  
  • 198.
    Tesis:  Modelado  Visual de  Aplicaciones  Domino   Anexo:  Perfil  para  aplicaciones  Lotus  Notes   188     Notación     Estereotipo  «Table»   Descripción   Representa   una   tabla   de   texto   enriquecido   en   LDD.   d)   tablas   programables:   son   tablas   que   intercambian   renglones   basándose   en   una   acción   o   un   campo   de   fórmula.     Metaclase  UML  extendida   Class     Relaciones     Elementos  que  puede  contener   Este   estereotipo   puede   relacionarse   directamente   y   contener   a   los   estereotipos:   table,   sections,   hotspot,   button,   view,   folder,   computer   text,   outline,   files,   subform,   stylesheet,   field,   scriptlibrary,   image,   navigator,     y   applets.     Elementos  que  pueden  contenerlo   Este   estereotipo   puede   estar   relacionado   y   contenido   en   los   siguientes   estereotipos:  form,  subform,  page.     Valores  Etiquetados      RowsNumber:  int  =  2   Valor  entero  que  representa  el  número  inicial  de  renglones  que  tendrá   la  tabla.         ColumnNumber:  Int  =  2   Valor  entero  que  representa  el  número  inicial  de  columnas    que  tendrá   la  tabla.         With:  WithOptions  =  fitWithMargins   Propiedad  que  permite  definir  el  comportamiento  de  una  tabla  cuando   se  abre  un  documento.  Las  tablas  pueden  ajustarse  al  tamaño  de  un   documento  abierto  o  simplemente  tomar  el  tamaño  de  la  ventana.  Las   opciones  disponibles  para  esta  propiedad  son:     FitWithMargins    Permite  tomar  los  márgenes  del  elemento  que  lo  contiene.     FitToWindows  
  • 199.
    Tesis:  Modelado  Visual de  Aplicaciones  Domino   Anexo:  Perfil  para  aplicaciones  Lotus  Notes   189   Permite   que   una   tabla   tome   los   márgenes   completos   de   un   documento  de  izquierda  a  derecha.     FixedWith    Permite  finar  un  tamaño  fijo  para  cada  columna  de  la  tabla.         Type:  TypeOptios  =  basic   Propiedad   que   permite   elegir   el   tipo   de   tabla   utilizada   en   el   documento.  Los  tipos  de  tablas  disponibles  son:     Basic   Son  tablas  con  un  número  de  columnas  y  renglones  definidos.     Tabbed   Tipo   de   tabla   que   permite   a   los   usuarios   cambiar   renglones   haciendo  clic  en  las  fichas  que  se  encuentra  en  la  parte  superior   de  la  misma.     Animated   Tipo   de   tabla   que   permite   intercambiar   renglones   en   un   intervalo  de  tiempo  que  el  usuario  determina.     Caption   Tipo   de   tabla   que   permite   tener   secciones   desplegables   que   permite   ocultar   u   mostrar   la   información   contenida   en   cada   renglón.         Programed   Tipo  de  tabla  que  permite  intercambiar  renglones  basándose  en   una  acción  o  un  campo  de  fórmula.           ColumnTitles:  boolean  =  false   Valor   booleano   que   determina   si   las   columnas   tendrán   un   titulo   definido.     Description:  string   Valor  string  que  se  utiliza  para  proporcionar  una  descripción  general   de  la  función  que  desempeña  este  elemento.     Restricciones   •   Un  table  puede  contener  a  un  subform  y  field  cuando  éste  no  se  encuentre   contenido  en  un  page.     Notación    
  • 200.
    Tesis:  Modelado  Visual de  Aplicaciones  Domino   Anexo:  Perfil  para  aplicaciones  Lotus  Notes   190   Estereotipo  «Section»   Descripción   Representa   un   área   que   puede   expandirse   o   colapsarse   para   mostrar,   ocultar,   agrupar  y  organizar  los  elementos  contenidos  en  esa  área.  Un  section  puede  incluir   campos,  objetos,  regiones  de  diseño  y  texto.     Metaclase  UML  extendida   Class     Relaciones     Elementos  que  puede  contener   Este   estereotipo   puede   relacionarse   directamente   y   contener   a   los   estereotipos:   table,   sections,   hotspot,   button,   view,   folder,   computer   text,   outline,   files,   subform,   stylesheet,   field,   scriptlibrary,   image,   navigator,     y   applets.     Elementos  que  pueden  contenerlo   Este   estereotipo   puede   estar   relacionado   y   contenido   en   los   siguientes   estereotipos:  form,  subform,  page.     Valores  Etiquetados       Titulo:  string   Valor  string  que  representa  el  título  de  la  sección,  el  cual  puede  ser  de   tipo  texto  o  calculado  por  una  fórmula  introducida  en  esta  propiedad.         AccessControled:  boolean   Valor   booleano   que   determina   si   este   elemento   será   de   acceso   controlado.         HideParagraphFrom:  HideOptions   Propiedad   que   determina   para   cuales   clientes   se   encontrará   oculto   este   elemento.   Los   clientes   de   los   cuales   puede   ocultarse   este   elemento  son:     NotesR4.6orLater:  boolean=  false   Valor   booleano   que   indica   que   este   elemento   se   ocultará   al   utilizar  un  cliente  Notes  versión  4.6  o  superior.     WebBrowser:  boolean=  false   Valor   booleano   que   indica   que   este   elemento   se   ocultará   al   utilizar  un  cliente  del  tipo  navegador  Web.     Mobile:  boolean=  false  
  • 201.
    Tesis:  Modelado  Visual de  Aplicaciones  Domino   Anexo:  Perfil  para  aplicaciones  Lotus  Notes   191   Valor   booleano   que   indica   que   este   elemento   se   ocultará   al   utilizar  un  cliente  móvil.     HideParagraphWhenDocumentIs:  WhenDocumentIsOptions   Propiedad  que  determina  las  circunstancias  en  las  que  debe  ocultarse   este  elemento.  Las  circunstancias  posibles  son:     PreviewedForReading:  boolean  =  false         Valor   booleano   que   determina   que   la   información   de   este   elemento   no   sea   visible   cuando   un   usuario   lea   un   documento   en  el  panel  visualizador  de  documentos.     OpenedForReading:  boolean  =  false   Valor   booleano   que   determina   si   la   información   de   este   elemento  estará  visible  cuando  un  usuario  abre  un  documento   en  modo  lectura.     Printed:  boolean  =  false   Valor  booleano  que  determina  si  la  información  oculta  de  este   elemento  estará  visible  en  documentos  impresos.     Embedded:  Boolean  =  false   Valor   booleano   que   determina   si   el   elemento   estará   visible   cuando  los  usuarios  acceden  a  un  documento  en  el  cual  se  ha   utilizado  el  editor  embebido  para  embeber  el  elemento.     PreviewedForEditing:  boolean  =  false   Valor   booleano   que   determina   si   la   información   de   este   elemento   estará   visible   cuando   un   usuario   trabaja   con   un   documento  en  modo  edición  en  el  panel  de  previsualización.     OpenedForEditing:  boolean  =  false   Valor   booleano   que   determina   si   la   información   estará   visible   cuando   los   usuarios   trabajen   sobre   documentos   en   modo   edición.     CopiedToTheClipboard:  boolean  =  false   Valor    booleano  que  determina  si  se  debe  ocultar  el  contenido   de  este  elemento  cuando  un  usuario  copia  un  documento.     HideIfFormulaIsTrue:  boolean  =  false   Valor  booleano  que  indica  si  una  formula  indicará  las  circunstancias  en   las  cuales  la  información  se  ocultará.     Formula:  string  
  • 202.
    Tesis:  Modelado  Visual de  Aplicaciones  Domino   Anexo:  Perfil  para  aplicaciones  Lotus  Notes   192   Valor   de   tipo   string   que   permite   especificar   una   fórmula   para   este   elemento.     Description:  string   Valor  string  que  se  utiliza  para  proporcionar  una  descripción  general   de  la  función  que  desempeña  este  elemento.     Restricciones   •   Un  section  puede  contener  a  un  subform  y  field  cuando  éste  no  se  encuentre   contenido  en  un  page.   •   Cuando   el   valor   de   la   propiedad   HideParagraphFrom   es   NotesR4.6orLatersólo   pueden   utilizarse   las   opciones   OpenedForReading   y   OpenedForEditing  de  la  propiedad  HideWhenDocumentIs.     Notación     Estereotipo  «WebService»   Descripción   Representa  a  un  servicio  Web  utilizado  en  LDD.  Un  elemento  Webservice  es  una   aplicación  autónoma  basada  en  XML  que  puede  publicarse  e  invocarse  en  el  Web.     Metaclase  UML  extendida   Class     Relaciones     Elementos  que  puede  contener   Este   estereotipo   no   puede   relacionarse   directamente   y   contener   a   ningún   estereotipo.     Elementos  que  pueden  contenerlo   Este   estereotipo   puede   estar   relacionado   y   contenido   en   los   siguientes   estereotipos:  database.     Valores  Etiquetados       Name:  string    Valor  string  que  permite  especificar  el  nombre  del  WebService.     WarnIfTheWSDLinterfaceIsModified:  boolean   Valor   booleano   que   permite   especificar   que   se   realice   un   aviso   en   caso  de  que  el  documento  WSDL  sea  modificado.     PortTypeClass:  string  
  • 203.
    Tesis:  Modelado  Visual de  Aplicaciones  Domino   Anexo:  Perfil  para  aplicaciones  Lotus  Notes   193   Permite  especificar  la  clase  que  contiene  las  operaciones  (el  código  de   ejecución)  para  el  tipo  de  puerto.     RunAsWebUser:  boolean  =  false   Valor   booleano   que   permite   al   WebService   correr   con   el   nombre   de   usuario  que  utiliza  el  usuario  Web.     RunOfBehalftUser:  string   Valor  string  que  permite  especificar  los  usuarios  sobre  los  cuales  este   WebService  podrá  ejecutarse.     SetRuntimeSecurity:securityLevel  =  DoNotAllowRestrictedOperations(RO)   Propiedad   que   permite   especificar   el   nivel   de   seguridad   del   WebService.  Las  opciones  posibles  son:     DoNotAllowRestrictedOperations(RO)   Opción  que  permite  que  el  agente  no  lleve  a  cabo  operaciones   restringidas.             AllowRestrictedOperations Opción   que   permite   que   el   WebService   lleve   a   cabo   operaciones  restringidas.                   AllowROWithFullAdministrationRigths   Opción   que   permite   al   WebService   llevar   a   cabo   operaciones   restringidas   y   realizarlas   con   todos   los   derechos   de   administración.         DefaultAccessForAllReaders:  boolean  =  true   Valor   booleano   que   permite   especificar   en   la   propiedad   users   a   los   usuarios  que  tendrán  acceso  al  WebService.  Un  valor  true    permite  el   acceso   a   todos   los   usuarios,   un   valor   false   permite   el   acceso   solamente  a  los  usuarios  especificados  en  la  propiedad  users.         Users:  string   Valor  string  que  permite  especificar  los  usuarios  que  tendrán  acceso  al   WebService.           AllowPublicAccessUserToUse:  boolean  =  false   Valor  booleano  que  permite  a  los  usuarios  que  tienen  acceso  público   utilizar  el  WebService.      ProgrammingLevel:  ModelOptions   Propiedad   que   permite   especificar   el   modelo   de   programación   del   WebService.  Las  opciones  disponibles  son:    
  • 204.
    Tesis:  Modelado  Visual de  Aplicaciones  Domino   Anexo:  Perfil  para  aplicaciones  Lotus  Notes   194   RPC   Opción   que   se   utiliza   para   deserealizar   los   datos   en   tipos   de   datos  concretos.     Message   Opción     que   permite   utilizar   MOM   (Message   Oriented   Model,   por  sus  siglas  en  inglés),  el  cual  utiliza  parámetros  específicos   como  firmas  para  pasar  mensajes  XML  de  SOAP  en  lugar  de   deserealizar  en  tipos  de  datos  concretos.        SOAPmessageFormat:  strig   Valor   string   utilizado   para   especificar   el   formato   del   mensaje   SOAP.   Los   formatos   soportados   por   LDD   son:   RPC/encoded,   RPC/literal,   DOC/literal  y  Wrapped.         PortTypeName:  string   Valor  string  utilizado  para  especificar  el  nombre  del  tipo  de  puerto  por   el  que  se  accederá  al  WebService.  Esta  especificación  corresponde  al   atributo  “name”  de  <wsdl:portType>  en  el  documento  WSDL.             ServiceElementName:  string   Valor  string  utilizado  para  especificar  el  nombre  del  WebService.  Esta   especificación  corresponde  al  atributo  “name”  de  <wsdl:service>  en  el   documento  WSDL.             ServicePortName:  string   Valor   string   utilizado   para   especificar   el   puerto   del   por   el   que   se   accederá   al   WebService.   Esta   especificación   corresponde   al   atributo   “name”   de   <wsdl:port>     debajo   de   <wsdl:service>   en   el   documento   WSDL.         Description:  string   Valor  string  que  se  utiliza  para  proporcionar  una  descripción  general   de  la  función  que  desempeña  este  elemento.     Restricciones   •   La   propiedad   users   sólo   puede   utilizarse   si   la   propiedad   DefaultAccessForAllReaders  tiene  un  valor  false.   •   La  propiedad  SOAPmessageFormat  no  está  disponible  cuando  se  utiliza  la   opción  RPC  de  la  propiedad  ProgrammingLevel.     Notación     Estereotipo  «ScriptLibrary»  
  • 205.
    Tesis:  Modelado  Visual de  Aplicaciones  Domino   Anexo:  Perfil  para  aplicaciones  Lotus  Notes   195   Descripción   Representa  un  scriptLibrary  en  LDD.  Una  librería  es  un  lugar  donde  se  almacena   código  que  será  compartido  en  una  aplicación  utilizando  LotusScript,  JavaScript  o   Java.  Se  pueden  utilizar  estos  tres  tipos  de  lenguajes  para  codificar  librerías  que   posteriormente  podrán  compartirse  entre  elementos  como  los  forms  y  pages.     Metaclase  UML  extendida   Class     Relaciones     Elementos  que  puede  contener   Este   estereotipo   no   puede   relacionarse   directamente   y   contener   ningún   estereotipo.       Elementos  que  pueden  contenerlo   Este   estereotipo   puede   estar   relacionado   y   contenido   en   los   siguientes   estereotipos:  form,  subform  y  page.     Valores  Etiquetados     Name:  string   Valor  string  que  representa  el  nombre  de  la  librería.             Languaje:  string                   Valor   string   que   permite   describir   el   tipo   de   lenguaje   en   el   que   se   encuentra  codificada  la  librería.         Author:  string                 Valor  string  que    representa  el  nombre  del  autor  de  la  librería.     ElaborationDate:  string                   Valor  string  que  representa  la  fecha  de  elaboración  de  la  librería.           Version:  string         Valor  string  que  representa  la  versión  de  elaboración  de  la  librería.         Description:  string   Valor  string  que  se  utiliza  para  proporcionar  una  descripción  general   de  la  función  que  desempeña  este  elemento.     Restricciones       Notación    
  • 206.
    Tesis:  Modelado  Visual de  Aplicaciones  Domino   Anexo:  Perfil  para  aplicaciones  Lotus  Notes   196   Etiqueta  identificadora  decontención   «Containment» «stereotype »contenedor   Indicador  de  agregación   «stereotype »  contenido   Estereotipo  «Contention»   Descripción   Representa  un  tipo  de  relación  más  fuerte  que  la  asociación,  pero  más  débil  que  la   agregación   en   UML.   Esta   relación   se   da   entre   un   elemento   contenedor   y   un   elemento   contenido,   el   cual   puede   ser   también   un   elemento   contenedor.   Esta   relación   es   binaria   y   debe   de   satisfacer   un   conjunto   de   propiedades   para   que   la   relación   sea   válida.   En   una   relación   de   contención   los   objetos   contenedor   y   contenido   no   tienen   una   relación   todo/parte,   sino   que   es   una   relación   más   débil   donde  no  existe  una  dependencia  estructural  entre  ambos  elementos.     Metaclase  UML  extendida   Agregation     Valores  Etiquetados       Para  ver  los  atributos  de  esta  relación  ver  la  sección  anterior.     Restricciones   •   Esta  relación  no  puede  utilizarse  con  objetos  del  mismo  tipo.  Por  ejemplo     Notación   Una  relación  de  contención  se  dibuja  como  una  línea  sólida  conectado  dos  objetos   (estereotipos).   La   contención   se   indica   con   un   rombo   pequeño   ahuecado   que   se   añade  al  final  del  enlace.  El  rombo  se  dibuja  en  el  objeto  que  hace  la  función  de   contenedor  y  el  enlace  debe  tener  una  etiqueta  con  la  palabra  “«Containment»”.  La   siguiente  figura  muestra  un  ejemplo  de  la  notación  para  esta  relación  en  UML.                       Estereotipo  «ReflexiveContention»   Descripción   Representa  un  tipo  de  relación  más  fuerte  que  la  asociación,  pero  más  débil  que  la   agregación   en   UML.   Es   un   tipo   de   contención   que   se   da   sólo   entre   algunos   elementos  contenedores.  Esta  relación  es  binaria  y  debe  de  satisfacer  un  conjunto   de   propiedades   para   que   la   relación   sea   válida.   En   una   relación   de   contención   reflexiva   ambos   elementos   son   de   tipo   contenedor   y   no   tienen   una   relación   todo/parte,  sino  que  es  una  relación  más  débil  donde  los  objetos  no  tienen  que  ver   estructuralmente   uno   con   el   otro.   La   diferencia   con   una   contención   es   que   la   contención  reflexiva  permite  contener  un  elemento  de  su  mismo  tipo.   Figura 80 Notación para la relación de contención
  • 207.
    Tesis:  Modelado  Visual de  Aplicaciones  Domino   Anexo:  Perfil  para  aplicaciones  Lotus  Notes   197   Etiqueta   identificadora   decontención   reflexiva   «ReflexiveContainment» Indicador  de  agregación   «stereotype »contenedor   «stereotype »   contenedor   contenido     Metaclase  UML  extendida   Agregation     Valores  Etiquetados       Para  ver  los  atributos  de  esta  relación  ver  la  sección  anterior.   Restricciones   •   Esta  relación  puede  utilizarse  sólo  entre  elementos  contenedores  que  sean   del  mismo  tipo.  Por  ejemplo:  un  subform  puede  contener  a  otro  subform,  un   table  puede  contener  a  otro  table,  entre  otros.     Notación   La  contención  reflexiva  se  dibuja  como  una  línea  sólida  conectado  dos  objetos.  La   contención   se   indica   con   un   rombo   pequeño   ahuecado   que   se   añade   al   final   del   enlace.   El   rombo   se   dibuja   en   el   objeto   que   hace   la   función   de   contenedor   y   el   enlace  debe  tener  una  etiqueta  con  la  palabra  “«ReflexiveContainment»”.  La  siguiente   imagen  muestra  un  ejemplo  de  la  notación  para  esta  relación  en  UML.                   Otras  relaciones   Se   han   incluido   dos   relaciones   más   (agregación   y   composición   de   UML)   con   el   fin   de   complementar   las   relaciones   descritas   en   las   secciones   anteriores.   Estas   relaciones   se   utilizarán  con  la  misma  semántica,  sólo  se  han  restringido  algunos  de  sus  atributos  con   ciertos  valores  que  se  puede  ver  más  adelante.  Esto  quiere  decir  que  estas  dos  relaciones   también  podrán  utilizarse  para  modelar  aplicaciones  Domino  con  la  misma  semántica  de   estas  relaciones.     Relación  de  agregación   Descripción   Esta   relación   se   da   entre   un   elemento   contenedor   y   un   elemento   contenido   que   tiene  la  característica  de  ser  un  elemento  compartido  o  embebido.  Esuna  relación   binaria   tipo   todo/parte,   en   la   cual   uno   de   los   extremos   representa   el   todo   (contenedor)  y  el  otro  representa  la  parte  de  la  agregacióno  la  parte  que  constituye   al  todo  (contenido).     Figura 81 Notación para la relación de contención reflexiva
  • 208.
    Tesis:  Modelado  Visual de  Aplicaciones  Domino   Anexo:  Perfil  para  aplicaciones  Lotus  Notes   198   Indicador  de  agregación   «stereotype »contenedor   «stereotype »  contenido   Metaclase  UML  extendida   Esta  relación  no  extiende  a  ningún  elemento  de  UML,  sólo  se  han  fijado  los  valores   de  algunas  relaciones.     Valores  etiquetados     Para  ver  los  atributos  de  esta  relación  ver  la  sección  anterior.     Restricciones     Notación     La   agregación   se   representa   por   una   línea   sólida   conectando   a   dos   objetos,   es   decir,  una  relación  binaria.  La  agregación  se  indica  con  un  diamante  ahuecado  que   se  añade  al  final  del  enlace.  El  diamante  se  dibuja  en  la  clase  que  es  el  conjunto   como  se  muestra  en  la  figura  siguiente.                 Relación  de  composición   Descripción   La   composición   es   un   tipo   de   agregación   más   fuerte,   donde   existe   una   estrecha   relación   entre   un   elemento   agregado   y   sus   elementos   componentes.   El   punto   central  de  la  composición  es  que  el  componente  se  considera  como  tal  sólo  como   parte  del  objeto  compuesto.     La  composición  se  da  entre  un  elemento  contenedor  y  un  elemento  contenido.  En   esta  relación  uno  de  los  extremos  representa  un  todo  y  el  otro  representa  un  objeto   que  necesariamente  debe  existir  con  la  creación  del  contenedor.  En  esta  relación  se   requiere  que  el  elemento  contenido  esté  incluido  mínimamente  en  un  contenedor  al   momento  de  crearlo.  Un  elemento  compuesto  tiene  el  mismo  tiempo  de  vida  que   sus  propios  componentes.  Al  destruir  al  objeto  compuesto  también  los  componentes   serán  destruidos.         Metaclase  UML  extendida   Esta  relación  no  extiende  a  ningún  elemento  de  UML,  sólo  se  han  fijado  los  valores   de  algunas  relaciones..     Notación   La  composición  se  representa  por  una  línea  sólida  conectando  a  dos  objetos,  es   decir,  una  relación  binaria.  La  composición  se  indica  con  un  diamante  relleno  que  se   Figura 82 Relación de agregación, esquema general
  • 209.
    Tesis:  Modelado  Visual de  Aplicaciones  Domino   Anexo:  Perfil  para  aplicaciones  Lotus  Notes   199   Indicador   de   composición   «stereotype »contenedor   «stereotype »  contenido   añade  al  final  del  enlace.  El  diamante  se  dibuja  en  la  clase  que  es  el  contenedor   como  se  muestra  a  continuación             Características   de  relaciones  de  contención,  contención  reflexiva,  agregación  y  composición.   En   este   apartado   se   presenta   un   conjunto   de   propiedades   estructurales   y   funcionales.   Estas   propiedades   están   basadas   en   las   propiedades   de   las   relaciones   de   UML.   No   obstante   se   describen   en   términos   más   estrictos   con   la   finalidad   de   caracterizar   las   relaciones  para  las  primitivas  de  modelado  de  LDD.     Multiplicity   Tabla 6 Definición de la propiedad multiplicidad Definición   Especifica  el  más  bajo  (Min)  o  alto  (Max)  número  de  elementos  de   tipo   contenido   que   deben   o   pueden   ser   conectados   a   un   solo   elemento  de  tipo  contenedor.   Definida  sobre   association-­end.   Nomenclatura   Lowassociation-­end,  Uppassociation-­end   Valores   1,  0…1,  0…*,  1…*   UML  relacionados   Atributo   multiplicidad:   especifica   el   número   de   instancias   objetivo   que  pueden  estar  asociadas  con  una  sola  instancia  fuente  a  través   de  una  asociación  dada.   Delete  Propagation   Tabla 7 Definición de la propiedad propagación de borrado Definición   Indica   qué   acción   debe   ser   ejecutada   cuando   un   elemento   es   borrado  (sobre  sus  enlaces  o  sus  objetos  asociados):   •   {Restrictivo}:  si  el  elemento  tiene  enlaces,  los  enlaces  y   Figura 83 Relación de composición, esquema general
  • 210.
    Tesis:  Modelado  Visual de  Aplicaciones  Domino   Anexo:  Perfil  para  aplicaciones  Lotus  Notes   200   los  objetos  asociados  no  pueden  ser  borrados.   •   {Cascada}:  si  el  objeto  tiene  enlaces,  los  enlaces  y  los   objetos   asociados   deben   ser   borrados.   Se   utiliza   cuando   no   se   tienen   elementos   compartidos   o   embebidos  asociados.   •   {Cascada  restrictiva}:  si  el  objeto  tiene  enlaces,  estos  y   los   enlaces   deben   ser   borrados   con   excepción   de   aquellos  elementos  que  son  compartidos  o  embebidos.   Definida  sobre   association-­end.   Nomenclatura   DPassociation-­end   Valores   Restrictivo|Cascada|Cascada  restrictiva   UML  relacionados   Semánticas   de   propagación:   un   compuesto   implica   semánticas   de   propagación   a   sus   partes.   Por   ejemplo,   si   el   todo   es   copiado   o   destruido,   entonces   las   partes   también   (porque   una   parte   puede   pertenecer  a  lo  sumo  a  un  compuesto).   Reflexivity   Tabla 8 Definición de la propiedad reflexividad Definición   Especifica   si   un   elemento   contenedor   puede   contener   a   otro   elemento  de  su  mismo  tipo.  El  valor  {Reflexiva}  indica  que  esto  es   posible  y  {No  reflexiva}  indica  lo  contrario.   Definida  sobre   association-­end.   Nomenclatura   RFrelationship   Valores   Reflexiva|  No  reflexiva   UML  relacionados   Una  característica  de  relaciones  de  agregación  y  composición:   […]  la  instancia  forma  un  grafo  dirigido,  no  cíclico.   Valores  fijos  de  las  relaciones  definidas   Para  completar  la  semántica  de  las  relaciones,  se  especifica  el  valor  de  las  propiedades   introducidas   en   la   sección   0   para   cada   una   de   las   relaciones.   De   esta   manera   cada  
  • 211.
    Tesis:  Modelado  Visual de  Aplicaciones  Domino   Anexo:  Perfil  para  aplicaciones  Lotus  Notes   201   relación   contiene   ciertas   propiedades   definidas.   La   tabla   muestran   los   valores   de   las   propiedades  definidas  anteriormente.  El  símbolo *  indica  que  una  cualquier  valor.  Para   cada  relación  (columna)  la  tabla  muestra  los  valores  de  las  propiedades.             Tabla 9 Valores fijos para la relaciones Propiedad/Relación   Contención   Contención   reflexiva   Agregación   Composición   Multiplicidad   *   *   *   (1,1…*)   Propagación   de   borrado   *   *   Cascada  restrictiva   Cascada   Reflexividad   No  reflexiva   *   No  reflexiva   No  reflexiva