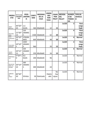
UNIDA
            H*L*A EN    PESO         MEDIDAS           CAJAS MEDIDA   NUMER TIPO DE
PRODU                          CANTI              DES
            CENTIMET   UNITARI        DE LA             POR DEL       O DE    VEHICUL
 CTO          ROS               DAD               POR
                         O            CAJA             PALET PALLET   TENDID O
                                                 CAJA
                                                                      OS
                                                                1x120       3      Para
WISKY
            40*20* 1,5                                                            carga
BOTELLA     20     KILOS        360 40x60x40        12    15                      frajil
                   150                                          1x120       4      Para
            15*30* GRAMO                                                          carga
GALLETAS
NOEL        10     S           1500 50x60x40        62    20                      frajil
POTE        20*10* 270GRA                                       1x120       4 Normal
CHOCOLIST
O           10     MOS          600 40x60x40        48    20
                   1020                                         1x120       3      Para
CAJA ADES
            20*10* GRAMO                                                          carga
NARANJA     5      S            960                 20    15                      frajil
                   250                                          1x120       4   Normal
            20*15* GRAMO
CALDO
MAGUI       15     S            250 40x30x60        16    15
            5*20*1 0,5                                          1x120       3   Normal
MANTEQUI
LLA         0      KILOS        200 40x60x40        96

                   300                                          1x120       4   Normal
ROLLOS DE   30*10* GRAMO
PAPEL DE
COCINA      10     S            400 40x60x40        24

                                                           No   1x120       5   Normal
CANECAS     80*30*                               Paletiz  hay
DE
VINILO      30     50 kilos      30 Paletizado     ado cajsas
360
        cm
kg
peso maximo 1000kg incluido pallet
120*100
60*40*40                                                                                            vista superior caja                                      vista lateral izq          vista lateral der   vista frontal
      1 alto de la caja sobre alto del producto
      3 largo caja dividido largo producto                                                                                               40 cm   altura 40                       40cm
      2 ancho caja sobre ancho producto                                                                                                                                                                                        altura 40 cm
      6 total wisky por caja
                                                                                                            60 cm                                            ancho 40 cm                    40 cm               largo 60 cm
      60dividimos el total de wisky entre wisky por caja

   653,3     cantidad de wisky maximo por peso                                                peso max por pallet/peso unitario
             cantidad maxima por volumen                                                      altura maxima 1,70 m incluido pallet

vista superior            120cm de largo                                                                                vistal frontal


                                      1caja               2cajas
                                                                                                                                                                                                                    40 cm
100cm de ancho                                                                                                                                                                                                                                             40




                                                                                                                                                                                                                    40 cm                                  40
                          3 cajs              4 cajas              5 cajas




                          VISTA SUPERIOR                                                                                                                                                                            40 cm                                  40


                     15            MULTIPLICO LA CANTIDAD DE UNIDADES POR TENDIDO POR NUMERO DE TENDIDOS

                 3,8medida total del pallet (altura)descontando altura pallet dividido altura dce la caja                                                                                                       altura 20 cm                               20
                                                                                                                                                                                       120cm                                                   100 cm   140 ALTURA PALLET
         100*120*140                                                                                                                                                      vista frontal                                        vista lateral
        4TOTAL DE CAJAS DIVIDIDO NUMERO DE CAJAS POR PALLET
                                                                                         CONTENEDOR DE 40
2,4 MTS                                       12 PALLTS
                                                                                   2,4
             6 MTS                                                           MTS                               12 MTS          24 PALLETS



                                                                                              Contenedores para movilizar la carga

                                    TIPOS DE CONTENEDORES
DRY VAN: Estos son los contenedores estándar. Cerrados herméticamente y sin
refrigeración o ventilación.
REEFER: Contenedores refrigerados de las mismas medidas que el anteriormente
mencionado, pero que cuentan con un sistema de conservación de frío o calor y termostato.
Deben ir conectados en el buque y en la Terminal, incluso en el camión si fuese posible.
OPEN TOP: De las mismas medidas que los anteriores, pero abiertos por la parte de
arriba. Puede sobresalir la mercancía, pero en ese caso, se pagan suplementos en función
de cuánta carga haya dejado de cargarse por este exceso.
FLAT RACK: Carecen también de paredes laterales e incluso, según casos, de paredes
delanteras y posteriores. Se emplean para cargas atípicas y pagan suplementos de la misma
manera que los open top.
OPEN SIDE: Su mayor característica es que es abierto en uno de sus lados, sus medidas
son de 20' o 40' ft. Se
utiliza para cargas de mayores dimensiones en longitud que no se
pueden cargar por la puerta del contenedor .
La carga máxima puede variar según la naviera y el tipo de contenedor. Los contenedores
más normalizados internacionalmente de 20' tienen un peso bruto máximo de unas 29 Tns
(es decir, la carga más la tara o peso del contenedor y los de 40' de unas 32 Tns. Aunque,
cómo muchas veces se traslada el contenedor vía terrestre desde la zona de carga al puerto,
hay que atenerse a la legislación vigente en cada país sobre pesos máximos en camiones.
La tara o peso del contenedor puede ir de 1,8 Tns hasta 4 Tns para los de 20' y de 3,2 Tns
hasta 4,8 para los de 40'



                      OTRAS CARACTERÍSTICAS DE LOS CONTENEDORES
MATERIAL: Pueden ser fabricados en chapa de aluminio o de vidrio, con el espesor y
resistencia suficiente para soportar grandes toneladas.
DIMENSIONES: Deben ser compatibles con las medidas de los barcos o camiones que
los transportan, con una capacidad mínima de doscientos litros y mínima de mil litros.
SISTEMA DE CERRAMIENTO: Deberá estar protegido por cerraduras y bisagras,
colocadas en tornillos de cabeza por dentro, esto para garantizar su seguridad durante el
transporte o almacenamiento.
Su interior debe ser fácilmente accesible para la inspección aduanera, sin la existencia de
compartimientos donde se puedan ocultar las mercancías.
Debe permitir su fácil identificación mediante la colocación de marcas y números gravados
de forma que no pueden ser modificados o alterados.
Deben ser pintados de color amarillo, de manera que sean fácilmente visibles,
conteniendo la indicación correspondiente en color negro.
VENTAJAS
Son más seguros por su resistencia a los contratiempos.
Son más económicos.
Se adaptan al buque o remolque según el tipo de transporte utilizado para su traslado.
Se ahorra especio ya que pueden ir unos arribas de otros .
Marca de furgón 4703FB 4703TB
                              Furgones de artículos manufacturados:
                                           galvanizado;
                              galvanizado, recubrimiento polimérico
                      laminado (chapa de madera), marrón, blanco o policromo
                                           Isotérmicos:

espuma plástica de                                                                            40 mm

panel-"sándwich" (espuma sintética de poliuretano de                                         40 mm)

espuma plástica de                                                                        50-100 mm

                                      Características técnicas:

Volumen de carrocería, m3                                                                      28, 33

Dimensiones máximas, m                                            4,5x2,3x2,2;4,5x2,5x2,5;5,3x2,5x2,5



                                      Camion unitario
                                         Configuración
                                        2 ejes y 2 llantas
                                        Tipo de carretera
                                         A4, A2 B4 y B2
• Longitud máxima                                        14.00 m

• Peso bruto vehicular máximo                            17.50 ton

• Peso bruto vehicular máximo con suspensión neumática   19.00 ton




                         camion remolque
                                 Configuración
                                4 ejes y 14 llantas
                                Tipo de carretera
                                 A4, A2 B4 y B2

• Longitud máxima                                        28.50 m

• Peso bruto vehicular máximo                            3750 ton

• Peso bruto vehicular máximo con suspensión neumática   41.00 ton




                                tractocamion
                                 Configuración
                                3 ejes y 10 llantas
                                Tipo de carretera
                                 A4, A2 B4 y B2
                                                         20.80 m
• Longitud máxima
• Peso bruto vehicular máximo                                27.50 ton

• Peso bruto vehicular máximo con suspensión neumática       30.00 ton




                         tractocamion doble articulado

                                   T2-S1-R2
                                                Tipo de carretera
                                                 A4, A2 B4 y B2
                                 • Longitud máxima                       31.00 m

     Configuración               • Peso bruto vehicular máximo           47.50 ton
   5 ejes y 18 llantas

                                 • Peso bruto vehicular máximo con
                                   suspensión neumática                  52.00 ton
Tarifas del transporte terrestre
   Las tarifas para el transporte terrestre de productos hortofrutícolas varían con la distancia.
   En Colombia, el Ministerio de Transporte regula las tarifas para el transporte de carga en
   general, mientras que los fletes de transporte refrigerado son fijados por cada empresa
   transportadora.
   La relación peso/ volumen y cubrimiento del flete en el transporte por carretera es de 1
   tonelada por 2 metros cúbicos con un desplazamiento puerta a puerta.
   Cuadro No. 19. Tarifas transporte terrestre refrigerado para el transporte de frutas y
   hortalizas (miles de pesos)
                       Destino
             Origen    B/ventu S/Mart Cartagen   B/quill
                       ra      a      a          a         Ipiales   Cúcuta Bogotá Cali     Medellín

                          3.20                   3.20 4.00 3.20                     2.10
             Bogotá 2.900 0    3.200             0    0    0                        0    2.100
                                 3.30            3.30                        2.10
             Cali                0    3.300      0                           0              2.100
             Medellí       2.90                  2.90                3.20 2.10 2.10
             n       2.900 0    2.900            0                   0    0    0
             Fletes para tractomula refrigerada capacidad: 30 ton, volumen: 78 m3
             Fuente: Transportes Refrigerados Iceberg.



IMPORT HONG KONG, CHINA, TAIWAN

         PAIS                PUERTO                  CONTENEDORES

                                                  20dv               40dv           40hc


                                                  1.150              2.300          2.550
          HONG KONG Hong Kong
                                                  1.150              2.300          2.550
          CHINA              Chiwan
                                                  1.150              2.300          2.550
                             Yantian
1.150       2.300       2.550
                       Nansha
                                        1.200       2.400       2.650
                       Xiamen
                                        1.200       2.400       2.650
                       Fuzhou
                                        1.200       2.300       2.550
                       Shanghai
                                        1.200       2.300       2.550
                       Ningbo
                                        1.250       2.400       2.650
                       Qingdao
                                        1.275       2.450       2.700
                       Xingang
                                        1.200       2.400       2.650
      TAIWAN           Kaoshiung

Tarifas informativas de Fletes. Expresadas en USD por contenedor. Corresponden
exclusivamente al flete marítimo desde el puerto de origen hasta la llegada al puerto de
destino.

Movi carga

  • 1.
    UNIDA H*L*A EN PESO MEDIDAS CAJAS MEDIDA NUMER TIPO DE PRODU CANTI DES CENTIMET UNITARI DE LA POR DEL O DE VEHICUL CTO ROS DAD POR O CAJA PALET PALLET TENDID O CAJA OS 1x120 3 Para WISKY 40*20* 1,5 carga BOTELLA 20 KILOS 360 40x60x40 12 15 frajil 150 1x120 4 Para 15*30* GRAMO carga GALLETAS NOEL 10 S 1500 50x60x40 62 20 frajil POTE 20*10* 270GRA 1x120 4 Normal CHOCOLIST O 10 MOS 600 40x60x40 48 20 1020 1x120 3 Para CAJA ADES 20*10* GRAMO carga NARANJA 5 S 960 20 15 frajil 250 1x120 4 Normal 20*15* GRAMO CALDO MAGUI 15 S 250 40x30x60 16 15 5*20*1 0,5 1x120 3 Normal MANTEQUI LLA 0 KILOS 200 40x60x40 96 300 1x120 4 Normal ROLLOS DE 30*10* GRAMO PAPEL DE COCINA 10 S 400 40x60x40 24 No 1x120 5 Normal CANECAS 80*30* Paletiz hay DE VINILO 30 50 kilos 30 Paletizado ado cajsas
  • 2.
    360 cm kg peso maximo 1000kg incluido pallet 120*100 60*40*40 vista superior caja vista lateral izq vista lateral der vista frontal 1 alto de la caja sobre alto del producto 3 largo caja dividido largo producto 40 cm altura 40 40cm 2 ancho caja sobre ancho producto altura 40 cm 6 total wisky por caja 60 cm ancho 40 cm 40 cm largo 60 cm 60dividimos el total de wisky entre wisky por caja 653,3 cantidad de wisky maximo por peso peso max por pallet/peso unitario cantidad maxima por volumen altura maxima 1,70 m incluido pallet vista superior 120cm de largo vistal frontal 1caja 2cajas 40 cm 100cm de ancho 40 40 cm 40 3 cajs 4 cajas 5 cajas VISTA SUPERIOR 40 cm 40 15 MULTIPLICO LA CANTIDAD DE UNIDADES POR TENDIDO POR NUMERO DE TENDIDOS 3,8medida total del pallet (altura)descontando altura pallet dividido altura dce la caja altura 20 cm 20 120cm 100 cm 140 ALTURA PALLET 100*120*140 vista frontal vista lateral 4TOTAL DE CAJAS DIVIDIDO NUMERO DE CAJAS POR PALLET CONTENEDOR DE 40 2,4 MTS 12 PALLTS 2,4 6 MTS MTS 12 MTS 24 PALLETS Contenedores para movilizar la carga TIPOS DE CONTENEDORES DRY VAN: Estos son los contenedores estándar. Cerrados herméticamente y sin refrigeración o ventilación. REEFER: Contenedores refrigerados de las mismas medidas que el anteriormente mencionado, pero que cuentan con un sistema de conservación de frío o calor y termostato. Deben ir conectados en el buque y en la Terminal, incluso en el camión si fuese posible. OPEN TOP: De las mismas medidas que los anteriores, pero abiertos por la parte de arriba. Puede sobresalir la mercancía, pero en ese caso, se pagan suplementos en función de cuánta carga haya dejado de cargarse por este exceso. FLAT RACK: Carecen también de paredes laterales e incluso, según casos, de paredes delanteras y posteriores. Se emplean para cargas atípicas y pagan suplementos de la misma manera que los open top. OPEN SIDE: Su mayor característica es que es abierto en uno de sus lados, sus medidas son de 20' o 40' ft. Se utiliza para cargas de mayores dimensiones en longitud que no se pueden cargar por la puerta del contenedor .
  • 3.
    La carga máximapuede variar según la naviera y el tipo de contenedor. Los contenedores más normalizados internacionalmente de 20' tienen un peso bruto máximo de unas 29 Tns (es decir, la carga más la tara o peso del contenedor y los de 40' de unas 32 Tns. Aunque, cómo muchas veces se traslada el contenedor vía terrestre desde la zona de carga al puerto, hay que atenerse a la legislación vigente en cada país sobre pesos máximos en camiones. La tara o peso del contenedor puede ir de 1,8 Tns hasta 4 Tns para los de 20' y de 3,2 Tns hasta 4,8 para los de 40' OTRAS CARACTERÍSTICAS DE LOS CONTENEDORES MATERIAL: Pueden ser fabricados en chapa de aluminio o de vidrio, con el espesor y resistencia suficiente para soportar grandes toneladas. DIMENSIONES: Deben ser compatibles con las medidas de los barcos o camiones que los transportan, con una capacidad mínima de doscientos litros y mínima de mil litros. SISTEMA DE CERRAMIENTO: Deberá estar protegido por cerraduras y bisagras, colocadas en tornillos de cabeza por dentro, esto para garantizar su seguridad durante el transporte o almacenamiento. Su interior debe ser fácilmente accesible para la inspección aduanera, sin la existencia de compartimientos donde se puedan ocultar las mercancías. Debe permitir su fácil identificación mediante la colocación de marcas y números gravados de forma que no pueden ser modificados o alterados. Deben ser pintados de color amarillo, de manera que sean fácilmente visibles, conteniendo la indicación correspondiente en color negro. VENTAJAS Son más seguros por su resistencia a los contratiempos. Son más económicos. Se adaptan al buque o remolque según el tipo de transporte utilizado para su traslado. Se ahorra especio ya que pueden ir unos arribas de otros .
  • 5.
    Marca de furgón4703FB 4703TB Furgones de artículos manufacturados: galvanizado; galvanizado, recubrimiento polimérico laminado (chapa de madera), marrón, blanco o policromo Isotérmicos: espuma plástica de 40 mm panel-"sándwich" (espuma sintética de poliuretano de 40 mm) espuma plástica de 50-100 mm Características técnicas: Volumen de carrocería, m3 28, 33 Dimensiones máximas, m 4,5x2,3x2,2;4,5x2,5x2,5;5,3x2,5x2,5 Camion unitario Configuración 2 ejes y 2 llantas Tipo de carretera A4, A2 B4 y B2
  • 6.
    • Longitud máxima 14.00 m • Peso bruto vehicular máximo 17.50 ton • Peso bruto vehicular máximo con suspensión neumática 19.00 ton camion remolque Configuración 4 ejes y 14 llantas Tipo de carretera A4, A2 B4 y B2 • Longitud máxima 28.50 m • Peso bruto vehicular máximo 3750 ton • Peso bruto vehicular máximo con suspensión neumática 41.00 ton tractocamion Configuración 3 ejes y 10 llantas Tipo de carretera A4, A2 B4 y B2 20.80 m • Longitud máxima
  • 7.
    • Peso brutovehicular máximo 27.50 ton • Peso bruto vehicular máximo con suspensión neumática 30.00 ton tractocamion doble articulado T2-S1-R2 Tipo de carretera A4, A2 B4 y B2 • Longitud máxima 31.00 m Configuración • Peso bruto vehicular máximo 47.50 ton 5 ejes y 18 llantas • Peso bruto vehicular máximo con suspensión neumática 52.00 ton
  • 8.
    Tarifas del transporteterrestre Las tarifas para el transporte terrestre de productos hortofrutícolas varían con la distancia. En Colombia, el Ministerio de Transporte regula las tarifas para el transporte de carga en general, mientras que los fletes de transporte refrigerado son fijados por cada empresa transportadora. La relación peso/ volumen y cubrimiento del flete en el transporte por carretera es de 1 tonelada por 2 metros cúbicos con un desplazamiento puerta a puerta. Cuadro No. 19. Tarifas transporte terrestre refrigerado para el transporte de frutas y hortalizas (miles de pesos) Destino Origen B/ventu S/Mart Cartagen B/quill ra a a a Ipiales Cúcuta Bogotá Cali Medellín 3.20 3.20 4.00 3.20 2.10 Bogotá 2.900 0 3.200 0 0 0 0 2.100 3.30 3.30 2.10 Cali 0 3.300 0 0 2.100 Medellí 2.90 2.90 3.20 2.10 2.10 n 2.900 0 2.900 0 0 0 0 Fletes para tractomula refrigerada capacidad: 30 ton, volumen: 78 m3 Fuente: Transportes Refrigerados Iceberg. IMPORT HONG KONG, CHINA, TAIWAN PAIS PUERTO CONTENEDORES 20dv 40dv 40hc 1.150 2.300 2.550 HONG KONG Hong Kong 1.150 2.300 2.550 CHINA Chiwan 1.150 2.300 2.550 Yantian
  • 9.
    1.150 2.300 2.550 Nansha 1.200 2.400 2.650 Xiamen 1.200 2.400 2.650 Fuzhou 1.200 2.300 2.550 Shanghai 1.200 2.300 2.550 Ningbo 1.250 2.400 2.650 Qingdao 1.275 2.450 2.700 Xingang 1.200 2.400 2.650 TAIWAN Kaoshiung Tarifas informativas de Fletes. Expresadas en USD por contenedor. Corresponden exclusivamente al flete marítimo desde el puerto de origen hasta la llegada al puerto de destino.