Magnífica Oportunidad de Negocio Adquiera la oportunidad de ganarse entre 1 y 5 millones de pesos mensuales.  Usted incluso podría lograr ganarse más de 20 millones de pesos, mensualmente. Esta Oportunidad de Negocios es seria, honesta y factible, respaldada por una compañía multinacional sumamente confiable y reconocida que lleva más de 50 años en el mercado mundial (14 años en Colombia), con presencia en más de 80 países y territorios. Se estima un crecimiento de los productos de esta compañía para Colombia de aproximadamente el 1500% (inclusive mas), en vista del desempeño económico del país, y de la gran oportunidad que existe en el mercado, donde solo la línea de aseo del hogar de AMWAY supera con creces en calidad y ahorro a los productos de la competencia, ya que estos permiten un ahorro de mas del 50% en dinero.  (Bogotá solamente tiene el mismo número de habitantes de muchos países donde AMWAY y sus Empresarios han logrado grandes resultado. Recuerde: USTED como empleado está garantizando el futuro del dueño de la empresa donde usted trabaja, mientras que USTED con el tiempo pierde fuerzas, juventud y se desgasta inútilmente, mientras deja pasar otras Oportunidades las cuales si van a mejorar tremendamente su Calidad de Vida. Aura Cristina Garzón Rodríguez – email :  [email_address]  – Contacto :  320-8998498
Lo mejor de esta Oportunidad de Negocio LO MAS IMPORTANTE de esta oportunidad de Negocio es que le permitirá obtener  LIBERTAD FINANCIERA . ¿ QUE ES LIBERTAD FINANCIERA ?  Es sencillamente ganar bastante dinero que nos alcance a satisfacer nuestras necesidades básicas, expectativas y sueños, y además de los anterior, tener tiempo libre para disfrutarlo. Dentro del paradigma convencional de obtener dinero, la libertad financiera NO es posible.  ¿ Porque no lo es? Como Empresario Tradicional: Se gana dinero suficiente, pero con alto riesgo, y nada de tiempo para disfrutar el dinero logrado. Como Empleado: No se gana el dinero suficiente para satisfacer nuestras metas y sueños…apenas para satisfacer a medias en la mayoría de los casos las necesidades básicas.  Mucho menos hay tiempo para disfrutar lo poco que se puede lograr. Aura Cristina Garzón Rodríguez – email :  [email_address]  – Contacto :  320-8998498
Una Oportunidad de Negocio Esta es una  oportunidad de negocio  para obtener ingresos considerables a partir de la comercialización de productos en las líneas de : Nutrición Cuidado del Hogar Cuidado Personal Cuidado de la Piel/Belleza Hay mas de  100   productos disponibles para la venta en Colombia. Aura Cristina Garzón Rodríguez – email :  [email_address]  – Contacto :  320-8998498
¿ Que te permitirá esta Oportunidad de Negocio ? Libertad Financiera  : Consiste en ganar buén dinero y además contar con el tiempo libre para disfrutarlo. Control de tu Tiempo  : Consiste en que en el futuro podrás tu controlar tu tiempo. Aprovechar el Tiempo de tu vida en beneficio tuyo y no de la Empresa donde tu trabajas como Empleado. Aura Cristina Garzón Rodríguez – email :  [email_address]  – Contacto :  320-8998498
¿ Como se gana dinero en este Negocio ? Por Venta Directa  :  Es muy fácil vender los productos.  Son superiores con respecto a otros productos convencionales en rendimiento, calidad y precio. Así que, es solo usar para dar fe y testimonio de estos puntos y luego recomendar estos a todas las personas que conocemos. El margen de utilidad  obtenido por la venta directa es : 33%  por compras de  $1  a  $759.000 . 43%  por compras mayores a  $759.000 . Aura Cristina Garzón Rodríguez – email :  [email_address]  – Contacto :  320-8998498
¿ Como se gana dinero en este Negocio ? Por Mercadeo en Red  : Replicar la experiencia  : Es enseñar a otras personas  a hacer lo mismo : Vincularse en el negocio, consumir los productos y recomendarlos ampliamente a sus respectivos conocidos Comisiones  : Las comisiones obtenidas por ventas grupales VG (ventas que hace las personas que quedan registradas bajo nuestro código) en términos de puntaje son : 1.200 VG - 9% => Ingreso mensual aproximado :  $  232,524 2.400 VG - 12% => Ingreso mensual aproximado :  $  620,06 4 4.000 VG - 15% => Ingreso mensual aproximado :  $  1,291,800 7.000 VG - 18% => Ingreso mensual aproximado :  $  2,712,780 10.000 VG - 21%  => Ingreso mensual aproximado :  $  4,521,300 MAS DE 10.000 VG => Ingreso mensual aproximado : MAS DE $  4,521,300 Aura Cristina Garzón Rodríguez – email :  [email_address]  – Contacto :  320-8998498
¿ Como se gana dinero en este Negocio ? Incentivos Adicionales  por incremento del desempeño en el negocio : Dinero en Efectivo :  Entre 1 y 5 millones de pesos. Viajes   : A importantes destinos turísticos. A seminarios y convenciones en otros países. Reconocimiento como Empresario Líder. Aura Cristina Garzón Rodríguez – email :  [email_address]  – Contacto :  320-8998498
¿ Con que elementos cuento para desarrollar el Negocio ? Actualmente tu cuentas con apoyo, material y capacitación disponible a través de : Eventos   : Orientaciones, Seminarios y Capacitaciones. Material   : Material disponible en audio, video e internet (páginas web, presentaciones, webinars, etc. Capacitación permanente sobre el manejo de los productos y el desarrollo del negocio por parte del INA (Instituto de Negocios Amway) totalmente GRATIS. Guía y orientación sobre emprendimiento y libre empresa por parte de los eventos y la línea de auspicio. Aura Cristina Garzón Rodríguez – email :  [email_address]  – Contacto :  320-8998498
¿ Cuales son los Requisitos ? Activación  :  Activar tu Código de Empresario Amway EA (costo $ 39.900) el cual incluye :  Contrato de Empresario Amway,  Manual de Referencia DVD de Entrenamiento !Bienvenido a Amway!  Folleto Plan Folleto de Instituto de Negocios Amway. Catálogo de Productos Lista de Precios. Disposición para aprender   : Tener Capacidad y disposición para aprender sobre los Productos y el manejo del Negocio, así como también adquirir habilidades y Destrezas de buen Empresario y excelente Emprendedor. Querer libertad financiera   : Proponerse en el menor Tiempo posible a adquirir libertad financiera, así como también control de su Tiempo. (Dinero adicional Y tiempo libre para disfrutarlo). Querer hace realidad nuestras METAS y SUEÑOS  : Estar dispuestos a luchar por la realización de nuestras  METAS Y SUEÑOS. Aura Cristina Garzón Rodríguez – email :  [email_address]  – Contacto :  320-8998498
¿ Cuale son los resultados obtenidos de desarrollar este Negocio ? Ganancias Económicas  por concepto de Venta Directa en el corto plazo. Beneficios en Salud y Bienestar  por el consumo de los Productos, además de un ahorro considerable en dinero. Mas Ganancias económicas  considerables por concepto de comisiones obtenidas por la generación de volumen, auspicio Y ventas de grupo. Premios obtenidos  como incentivos adicionales a la ganancia obtenida por venta directa y comisiones  de volumen De ventas grupales, tales como dinero en efectivo (de 1 a 5 millones por aumento en el escalafón de ventas), viajes a destinos turísticos importantes, cruceros por el Caribe, viajes a convenciones en otras ciudades o países. Reconocimiento  (en medios de comunicación escritos y orales)y prestigio a nivel grupal a medida que crece tu desempeño en el Negocio. Libertad financiera : El problema de la falta de dinero queda resulto.  Ingresos incrementales heredables a hijos. Los hijos heredan tanto los ingresos como la organización de Empresarios constituida. Más Dinero adicional y tiempo libre  para disfrutarlo en Familia. Crecimiento y desarrollo personal  como consecuencia de los conocimientos adquiridos a través del programa de Capacitación, orientaciones, seminarios, etc. Como consecuencia del dinero obtenido y del tiempo libre logrado , tu logras hacer realidad tus metas y sueños Personales. El Mejor Resultado :  TU CALIDAD DE VIDA  Y LA DE TU FAMILIA MEJORAN DE MANERA SIGNIFICATIVA. Aura Cristina Garzón Rodríguez – email :  [email_address]  – Contacto :  320-8998498
¿ Como se puede comenzar con el negocio ? Se sugiere comenzar (para comenzar de manera rápida) por la  línea de aseo  por las siguientes razones : No requiere mucha capacitación  para entender el manejo de esta línea. Las ventajas de estos productos es que son inmensamente superiores con respecto a la competencia.   Esto se demuestra en la siguiente diapositiva que detalla la  relación de ahorro .  Canasta Amway  : A la Canasta Amway se le denomina la paquete conformado por los productos de aseo.  Todos en su conjunto el permiten ahorrar al consumidor final alrededor de  SEISCIENTOS TREINTA Y DOS MIL PESOS ($632.000) , además del ahorro en agua, mantenimiento de la lavadora, entre otros.  Este es un ahorro del  80%  con respecto a lo que cuestan otros productos de aseo convencionales. Aura Cristina Garzón Rodríguez – email :  [email_address]  – Contacto :  320-8998498
¡ AHORRE  MAS  DE  SESCIENTOS MIL  PESOS  ($ 600.000) ! EN  CONSUMO  DE  ARTÍCULOS  DE  ASEO  PARA  EL  HOGAR LA CANASTA AMWAY – PAQUETE PRODUCTOS DE ASEO ¿Que hace usted. Todas las quincenas? Va al supermercado y compra productos Para el Aseo del Hogar y el cuidado Personal Si tuviera la alternativa de conseguir estos mismos productos ahorrando más del  80%  con garantía de Calidad y además biodegradables, cuales compraría Aura Cristina Garzón Rodríguez – email :  [email_address]  – Contacto :  320-8998498
Cada paquete deja $ 40,350 (46.31 pvs) de ganancia, un margen de rentabilidad del 33%  Con 20 clientes canasta Amway,  usted gana $ 807,000 Con 30 clientes canasta Amway,  usted gana $ 1,473,470 (1,389.3 pvs) Ahora la pregunta es : ¿ Cuantas personas cree que hacen lo mismo todos los Meses y estarían interesadas en tener estos beneficios ? ¿Cuántos Hermanos tienes ? ¿Cuántos tíos ? ¿Cuántos primos ? ¿Cuántos cuñados y cuñadas ? ¿Cuántos compañeros de trabajo ? ¿Cuántos vecinos ? ¿Cuántos amigos ? TODOS SUS REFERIDOS Aura Cristina Garzón Rodríguez – email :  [email_address]  – Contacto :  320-8998498
¿ Quieres conocer mas acerca de las otras líneas de Productos ? IMPORTANTE   : Debes ir a las capacitaciones (son gratuitas) pero se debe ir para conocer en detalle los productos relacionados con las líneas de nutrición y cuidado personal.  Aura Cristina Garzón Rodríguez – email :  [email_address]  – Contacto :  320-8998498
¿ Quieres conocer todos los Productos en detalle ? Aura Cristina Garzón Rodríguez – email :  [email_address]  – Contacto :  320-8998498
SA8 Detergente en Polvo Detergente Altamente Concentrado Precio Público :$ 26.900 Utilidad : $ 6.725 Puntos : 7.54 L.O.C. Limpiador Multiusos Limpia y brilla toda superficie Precio Público :$ 22.900 Utilidad : $ 5,725 Puntos : 6.42 SA8 Blanqueador para Multiples Telas Blanqueador para ropa Blanca y de Color Precio Público :$  33.900 Utilidad : $ 8.475 Puntos : 9.50 Pursue Limpiador Desinfectante Mantiene las superficies libres de bacterias Precio Público :$  23.900 Utilidad : $ 5.975 Puntos : 7.77 SA8 Aerosol de Prelavado Ideal para manchas díficles Precio Público :$ 18.900 Utilidad : $ 4.725 Puntos : 5.30 Dish Drops Lavaplatos Líquido No reseca las manos. Precio Público :$  34.900 Utilidad : $  8.725 Puntos : 9.78 Cuidado de la Ropa Limpieza de Superficies Aura Cristina Garzón Rodríguez – email :  [email_address]  – Contacto :  320-8998498 LINEA DE ASEO
Vitaminas y Minerales Suplementos Nutrición Infantil Alimentación Balanceada Especialidades AC Plus  Fuente natural de Vitamina C  Precio Público :$ 23.900 Utilidad : $ 5.975 Puntos : 6.70 Daily (30 tabletas) Te cuida diariamente Precio Público :$ 18.900 Utilidad : $ 4.725 Puntos : 5.30 Daily (60Tabletas) Te cuida diariamente Precio Público :$ 34.900 Utilidad : $ 8.725 Puntos : 9.78 Omega 3 (30 cápsulas)  Cuida tu corazón Precio Público :$ 28.900 Utilidad : $ 7.225 Puntos : 8,10 Parselenium E  Perejil, Selenio y Vitamina E, la combinación de tu elección  Precio Público :$ 37.900 Utilidad : $ 9.475 Puntos : 10.62 Complejo Natural B (90 Tabletas)  Libera tu energía  Precio Público :$ 31.900 Utilidad : $ 7.975 Puntos : 8.94 Double X  Eleva tu Energía al máximo  Precio Público :$ 161.900 Utilidad : $ 40.475 Puntos : 45.38 Double X - Repuesto  Double X - Repuesto  Precio Público :$ 144.900 Utilidad : $ 36.225 Puntos : 40.61 Cerocarb  Baja tus calorías. Manten la figura. Precio Público :$ 39.900 Utilidad : $ 9.975 Puntos : 11.18 Acerola C Masticable  Práctica forma de tomar vitamina C  de origen natural  Precio Público :$ 26.900 Utilidad : $ 6.725 Puntos : 7.54 Nutrifibra en Polvo  Aquí está la fibra que tu cuerpo  Necesita Precio Público :$ 49.900 Utilidad : $ 12.475 Puntos : 13.99 Proteína de Soya  Lo mejor de la Proteína sin la grasa  Precio Público :$ 63.900 Utilidad : $ 15.975 Puntos : 17.91 CLA 500  Ejercicio, Nutrición y Músculos Saludables Precio Público :$ 65.900 Utilidad : $ 16.475 Puntos : 18.47 Nutrishake Malteada Nutrilite Caramelo Una forma más deliciosa mantener tu figura  Precio Público :$ 64.900 Utilidad : $ 16.225 Puntos : 18.19 Nutrishake Malteada Nutrilite Cookies and Cream  Una forma más deliciosa mantener tu figura  Precio Público :$ 64.900 Utilidad : $ 16.225 Puntos : 19.18 Nutrishake Malteada Nutrilite Fresa Una forma más deliciosa mantener tu figura  Precio Público :$ 64.900 Utilidad : $ 16.225 Puntos : 18.19 Nutrishake Malteada Nutrilite Banano  Una forma más deliciosa mantener tu figura  Precio Público :$ 64.900 Utilidad : $ 16.225 Puntos : 18.19 Hierro con Ácido Fólico  Plus   Balance para toda mujer  Precio Público :$ 26.900 Utilidad : $ 6.725 Puntos :  Ajo Concentrado  Las propiedades del Ajo  con agradable sabor  Precio Público :$ 50.900 Utilidad : $ 12.725 Puntos : 14.27 Hair Skin Nails  Belleza de adentro hacia afuera Precio Público :$ 39.900 Utilidad : $ 9.975 Puntos :  Aura Cristina Garzón Rodríguez – email :  [email_address]  – Contacto :  320-8998498 LINEA DE NUTRICIÓN Betacaroteno  Fuente natural de Vitamina A  Precio Público :$ 33.900 Utilidad : $ 8.475 Puntos : 9.50
Cuidado Básico Piel Normal a Seca Cuidado Básico Piel Madura 25+,35+ y 45+ Crema Botánica Reparadora de Noche 35 años o más / Para todo tipo de Piel Precio Público :$ 60.900 Utilidad : $ 15.225 Puntos : 17.07 Crema Protectora de Día FPS 30 45 años o más / Para todo tipo de piel Precio Público :$ 65.900 Utilidad : $ 16.475 Puntos : 18.47 Crema Vitaminada Reparadora de Noche 45 años o más / Para todo tipo de Piel Precio Público :$ 63.900 Utilidad : $ 15.975 Puntos : 17.91 Cuidado Básico Piel Normal a Grasa Aura Cristina Garzón Rodríguez – email :  [email_address]  – Contacto :  320-8998498 LINEA DE CUIDADO DE LA PIEL Crema Limpiadora Hidratante  Para Piel Normal a Seca. Paso 1: Limpiar  Precio Público :$ 23.900 Utilidad : $ 5.975 Puntos : 6.70 Loción Hidratante Para Piel Normal a Seca. Paso 2:  Tonificar Precio Público :$ 31.900 Utilidad : $ 7.975 Puntos : 8.94 Crema Protectora Hidratante  FPS 15 Para Piel Normal a Seca. Paso 3: Humectar  Precio Público :$ 37.900 Utilidad : $ 9.475 Puntos : 10.62 Gel Limpiador Purificante Para Piel Normal a Grasa. Paso 1: Limpiar  Precio Público :$ 27.900 Utilidad : $ 6.975 Puntos : 7.82 Loción Purificante Para Piel de Normal a Grasa. Paso 2: Tonificar  Precio Público :$ 31.900 Utilidad : $ 7.975 Puntos : 8.94 Loción Hidratante Para Pieles Maduras. Paso 2: Tonificar  Precio Público :$ 37.900 Utilidad : $ 9.475 Puntos : 10.62 Crema Niveladora Humectante  Para Piel Normal a Grasa. Paso 3: Humectar  Precio Público :$ 37.900 Utilidad : $ 9.475 Puntos : 10.62 Aceite Limpiador Hidratante  Para Pieles Maduras. Paso 1: Limpiar  Precio Público :$ 37.900 Utilidad : $ 9.475 Puntos : 10.62 Crema Protectora de día FPS 15 25 años o más / Para todo tipo de Piel  Precio Público :$ 49.900 Utilidad : $ 12.475 Puntos : 13.99 Crema Reparadora de Noche 25 años o más / Para todo tipo de Piel  Precio Público :$ 59.900 Utilidad : $ 14.975 Puntos : 16.79 Crema Protectora de día FPS 20 35 años o más / Para todo tipo de Piel Precio Público :$ 56.900 Utilidad : $ 14.225 Puntos : 15.95
Desmaquillante de Ojos y Labios Para toda edad  Precio Público :$ 34.900 Utilidad : $ 8.725 Puntos :  Cuidado para todo tipo de Piel Gel Facial Antioxidante con Vitamina C  Destellos de Juventud  Precio Público :$ 72.900 Utilidad : $ 18.225 Puntos : 20.43 Loción Facial Reestructurante AHA-BHA Destellos de Juventud Precio Público :$ 52.900 Utilidad : $ 13.225 Puntos : 14.83 Mascarillas Cuidados Especiales Gel Reestructurante para el contorno de ojos Evita las ojeras Precio Público :$ 48.900 Utilidad : $ 12.225 Puntos : 13.71 Crema Multi-Acción para el contorno de ojos Ojos radiantes Precio Público :$ 49.900 Utilidad : $ 12.475 Puntos : 13.99 Gel Corporal Exfoliante Consiente tu cuerpo de una forma inigualable  Precio Público :$ 35.900 Utilidad : $ 8.975 Puntos : 10.66 Loción Hidratante Corporal Revitalizante Consiente tu cuerpo de una forma inigualable Precio Público :$ 28.900 Utilidad : $ 7.225 Puntos : 8.10 Years Free Cuidado del Cuerpo Aura Cristina Garzón Rodríguez – email :  [email_address]  – Contacto :  320-8998498 LINEA DE CUIDADO DE LA PIEL Gel Facial Control de Imperfecciones  Libera tu piel de imperfecciones  Precio Público :$ 26.900 Utilidad : $ 6.725 Puntos : 7.54 Crema Mascarilla Hidratante Moiskin ha creado tres prácticas mascarillas que puedes  usar dependiendo de la necesidad de tu piel  Precio Público :$ 34.900 Utilidad : $ 8.725 Puntos : 9.78 Crema Mascarilla Limpiadora Purificante Moiskin ha creado tres prácticas mascarillas que puedes  usar dependiendo de la necesidad de tu piel.  Precio Público :$ 26.900 Utilidad : $ 6.725 Puntos : 7.54 Gel Limpiador Exfoliante Moiskin ha creado tres prácticas mascarillas que puedes  usar dependiendo de la necesidad de tu piel. Precio Público :$ 32.900 Utilidad : $ 8.225 Puntos : 9.22
Cuida tu Cabello Shampoo Óptimo Balance  Dile adiós al cabello graso y lúcelo lleno de vida y brillo.  Precio Público :$ 13.900 Utilidad : $ 3.475 Puntos : 3.90 Acondicionador Óptimo Balance  Dile adiós al cabello graso y lúcelo lleno de vida y brillo. Precio Público :$ 14.900 Utilidad : $ 3.725 Puntos : 4.18 Shampoo para Rizos perfectos  Nutrición desde la raíz  Precio Público :$ 13.900 Utilidad : $ 3.475 Puntos : 3.90 Acondicionador para Rizos perfectos  Cabello Espectacular  Precio Público :$ 14.900 Utilidad : $ 3.725 Puntos : 4.18 Shampoo para Cabello mixto  Shampoo para Cabello mixto  Mantén tu cabello hidratado y resistente lavándolo diariamente. Precio Público :$ 13.900 Utilidad : $ 3.475 Puntos : 3.90 Acondicionador para Cabello mixto  Mantén tu cabello hidratado y resistente lavándolo diariamente. Precio Público :$ 14.900 Utilidad : $ 3.725 Puntos : 4.18 Shampoo para Cabello Seco y Maltratado  Llena tu cabello de vida con una apariencia sedosa y brillante.  Su fórmula especialmente diseñada para reparar el cabello desde  la primera aplicación lo deja más manejable y con una apariencia  saludable. Precio Público :$ 13.900 Utilidad : $ 3.475 Puntos : 3.90 Acondicionador para Cabello seco y maltratado  Cabello Espectacular  Precio Público :$ 14.900 Utilidad : $ 3.725 Puntos : 4.18 Acondicionador para Color Intenso Conserva radiante el color de tu cabello y protégelo de  los rayos UV Precio Público :$ 17.900 Utilidad : $ 4.475 Puntos : 5.02 Gel Modelador Media Fijación  Tu cabello lucirá más firme y tu peinado resistirá hasta  en los climas más húmedos. Precio Público :$ 25.900 Utilidad : $ 6.475 Puntos : 7.26 Gel Modelador Extra Fijación  Extra control y fijación hasta en condiciones extremas. Precio Público :$ 25.900 Utilidad : $ 6.475 Puntos : 7.26 Loción Protección de Color  Protege y mantiene el color de tu cabello por más tiempo.  Contiene antioxidantes y vitaminas. Precio Público :$ 34.900 Utilidad : $ 8.725 Puntos : 9.78 Crema de Hidratación Intensiva  Reparación profunda desde la primera aplicación. Contiene filtros UV. Precio Público :$ 25.900 Utilidad : $ 6.475 Puntos : 7.26 Acondicionador Anticaspa  Acondicionador Anticaspa  Controla y remueve los signos de la caspa sin resecar el cuero cabelludo.  Luce un cabello sedoso y saludable  Precio Público :$ 17.900 Utilidad : $ 4.475 Puntos : 5.02 Shampoo Anticaspa Hidratación Revitalizante  Controla y remueve los signos de la caspa sin resecar el cuero cabelludo.  Luce un cabello sedoso y saludable. Precio Público :$ 16.900 Utilidad : $ 4.225 Puntos : 5.02 Acondicionador Caída Control & Prevention  Combate la caída de manera natural  Precio Público :$ 17.900 Utilidad : $ 4.475 Puntos : 4.74 Shampoo para Color Intenso Conserva radiante el color de tu cabello con una apariencia saludable. Precio Público :$ 16.900 Utilidad : $ 4.225 Puntos : 4.74 Loción Restauradora Puntas  y Brillo Tu cabello lucirá mucho más brillante y  saludable desde la primera aplicación  con las puntas restauradas y  controlando el frizz. Además hidrata  y sella el cabello previniendo el daño  del medio ambiente. los rayos UV Precio Público :$28.900 Utilidad : $ 7.225 Puntos : 8.10 Shampoo Caida Control  Prevention   combate la caída de manera natural  Precio Público :$ 16.900 Utilidad : $ 4.225 Puntos : 4.74 LINEA DE CUIDADO PERSONAL
Refrescante Bucal en Aerosol Glister  Una explosión de frescura con cada aplicación.  Precio Público :$ 8.900 Utilidad : $ 2.225 Puntos : 2.49 Pasta de Dientes Multiacción con Fluoruro 200 gr  ¡Obtén 6 beneficios para ti y toda tu familia en 1 sola pasta dental!  ¡Sonríe más! La salud de tu boca es belleza.  Precio Público :$ 14.900 Utilidad : $ 3.725 Puntos : 4.18 Pasta de Dientes Multiacción con Fluoruro 60 gr  Lleva los 6 beneficios de Glister en un práctico empaque.  ¡Sonríe más! La salud de tu boca es belleza. Precio Público :$ 8.900 Utilidad : $ 2.225 Puntos : 2.49 Cuida tu Boca Cuida tu Cuerpo Femme Desodorante Antitranspirante en Barra  Seca y protegida por más de 24 horas sin dejar manchas en tu ropa.  Contiene partículas antitranspirantes que ayudan a reducir y controlar  la transpiración.  Precio Público :$ 12.900 Utilidad : $ 3.225 Puntos : 3.62 Femme Desodorante Antitranspirante Roll-on  Vive tu día libre! Siéntete segura las 24 horas del día  Precio Público :$ 9.900 Utilidad : $ 2.475 Puntos : 2.77 Homme Desodorante Antitranspirante en barra  Disfruta de un aroma masculino mientras te sientes fresco y protegido  por más de 24 horas. Contiene partículas antitranspirantes que ayudan  a reducir y controlar la transpiración.  Precio Público :$ 12.900 Utilidad : $ 3.225 Puntos : 3.62 Homme Desodorante Antitranspirante Roll-on  Gracias a su fórmula antitranspirante de secado rápido, adicionada con elementos botánicos  controlas tu transpiración, manteniéndote protegido y fresco por más tiempo.  Precio Público :$ 9.900 Utilidad : $ 2.475 Puntos : 2.77 Loción de Protección Solar FPS 15  Absorbe hasta el 84,6% de los rayos UVA. Usándola diariamente su fórmula hidratante te  protege de los rayos del sol causantes de arrugas, manchas y pérdida de la elasticidad en la piel.  Protege tu piel ahora para que la luzcas siempre.  Precio Público :$ 29.900 Utilidad : $ 7.475 Puntos : 8.38 Loción de Protección Solar FPS 30  Protege tu piel y ayuda a retardar el envejecimiento  Precio Público :$ 32.900 Utilidad : $ 8.225 Puntos : 9.22 Loción de Protección Solar FPS 50  Protege tu piel y ayuda a retardar el envejecimiento  Precio Público :$ 35.900 Utilidad : $ 8.975 Puntos : 10.06 Loción Hidratante con Glicerina  Rica en aceites y extractos naturales que junto con la glicerina retienen la humedad en la piel y  la acondiciona, dejándola suave gracias a su fórmula ligera que no deja sensación grasosa. Precio Público :$ 16.900 Utilidad : $ 4.225 Puntos : 4.74 Jabón de Tocador Aromático y Emoliente  Con extractos de murumuru y guaraná dejan tu piel fresca y tersa con un agradable aroma  natural. Precio Público :$ 15.900 Utilidad : $ 3.975 Puntos : 4.46 Jabón de Tocador Aromatico y Humectante Formulado con extractos de acerola y aceite de andiroba, suavizan y ayudan a mejorar la  elasticidad de la piel además de protegerla del medio ambiente. Precio Público :$ 15.900 Utilidad : $ 3.975 Puntos : 4.46 Jabón de Tocador Aromático y Acondicionador  Contiene extractos de té verde y aceite de copaiba que mantienen la humedad en tu piel. Precio Público :$  15.900 Utilidad : $ 3.975 Puntos : 4.46
Fragancias NIDHI  El tesoro que resalta tu hermosura y magnetismo de mujer.  Precio Público :$ 64.900 Utilidad : $ 16.225 Puntos : 18.19 HEKET  Lleva tu femenidad, romance y delicadeza por doquier.  Precio Público :$ 49.900 Utilidad : $ 12.475 Puntos : 13.99 RUZAT  Irresistible fragancia creada para el hombre moderno y elegante.  Precio Público :$ 64.900 Utilidad : $ 16.225 Puntos : 18.19 HAENER  Apasiónate en el aroma aventurero.  Precio Público :$ 46.900 Utilidad : $ 11.725 Puntos : 13.15 PLEIOS  ¡Impregna tu individualidad!  Precio Público :$ 64.900 Utilidad : $ 16.225 Puntos : 18.19 CITRUS  Acompaña tu vida con un toque de frescura.  Precio Público :$ 35.900 Utilidad : $ 8.975 Puntos : 10.06 LAVENDER  Enfrenta tu vida con toque relajante y discreto.  Precio Público :$ 35.900 Utilidad : $ 8.975 Puntos : 10.06 Musk Vive tu vida intensa y seductora como eres.  Precio Público :$ 35.900 Utilidad : $ 8.975 Puntos : 10.06 Splash Lavender (Muestras)  Enfrenta tu vida con toque relajante y discreto. Contenido 6 unidades  Precio Público :$ 5.900 Utilidad : $ 1.475 Splash Musk (Muestras)  Vive tu vida intensa y seductora como eres. Contenido 6 unidades  Precio Público :$ 5.900 Utilidad : $ 1.475 Splash Citrus (Muestras)  Acompaña tu vida con un toque de frescura Contenido 6 frascos  Precio Público :$ 5.900 Utilidad : $ 1.475 Pleios   ¡Impregna tu individualidad!  6 unidades  Precio Público :$ 5.900 Utilidad : $ 1.475 RUZAT (Muestras)  Lleva en tu aroma el secreto de la atracción.  6 unidades  Precio Público :$ 5.900 Utilidad : $ 1.475 Aura Cristina Garzón Rodríguez – email :  [email_address]  – Contacto :  320-8998498 LINEA DE CUIDADO PERSONAL  NIDHI (Muestras)  El tesoro que resalta tu hermosura y magnetismo de mujer 6 unidades  Precio Público :$ 5.900 Utilidad : $ 1.475 HEKET (Muestras)  HEKET (Muestras, 6 unidades)  Precio Público :$ 5.900 Utilidad : $ 1.475
Juego de Ollas Deluxe  Juego de ollas de 1.5 L y olla-sartén con tapa y tapa domo  Precio Público :$ 1.427.900 Utilidad : $ 356.975 Puntos : 400.22 Juego de Vaporeras  Olla holandesa de 4 litros con tapa, vaporera e inserto de vaporera doble para la olla de 4 litros  Precio Público :$ 1.029.900 Utilidad : $ 257.475 Puntos : 288.66 Juego de Vaporeras Deluxe  Juego de vaporeras iCookT de acero inoxidable  Precio Público :$ 1.714.900 Utilidad : $ 428.725 Puntos : 480.66 Juego de 2 Ollas  Juego de ollas de 2 Litros y de 3 Litros cada una con tapa  Precio Público :$ 1.234.900 Utilidad : $ 308.725 Puntos : 346.12 Juego de Sartenes Antiadherentes (Juego B)  Sartenes antiadherentes de 8, 10 y 12 pulgadas con tapa de vidrio templado  Precio Público :$ 1.505.900 Utilidad : $ 376.475 Puntos : 422.08 Sartén Antiadherente (Juego F)  Sartén antiadherente de 12 pulgadas con tapa de vidrio templado  Precio Público :$ 634.900 Utilidad : $ 158.725 Puntos : 177.95 Aura Cristina Garzón Rodríguez – email :  [email_address]  – Contacto :  320-8998498 Cuidado de la Piel para el Hombre Tecnología del Hogar Espuma Limpiadora para el Rostro Un rostro limpio y fresco todo el día  Precio Público :$ 38.900 Utilidad : $ 9.725 Puntos : 10.90 Gel para Afeitar Suaviza la barba para una afeitada confortable  Precio Público :  $ 26.900 Utilidad : $ 6.725 Puntos : 7.54 Loción después de Afeitar Reduce el exceso de grasa desde la primera aplicación  Precio Público :  $ 44.900 Utilidad : $ 11.225 Puntos : 12.58 Gel Hidratante para el Rostro La piel se ve y se siente mejor  Precio Público :  $ 53.900 Utilidad : $ 13.475 Puntos : 15.11 Loción Protectora para el Rostro con FPS 15  Protege la piel contra los rayos UV Precio Público :  $ 58.900 Utilidad : $ 13.475 Puntos : 16.11
RESUMEN Aura Cristina Garzón Rodríguez – email :  [email_address]  – Contacto :  320-8998498
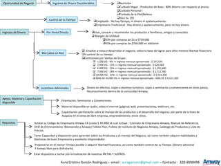
Oportunidad de Negocio Ingresos de Dinero Considerables Nutrición :  Cuidado Hogar : Productos de Aseo : 80% Ahorro con respecto al precio. Cuidado Personal :  Cuidado de la Piel/Belleza:  Mas de 100  Control de tu Tiempo Empleado : No hay tiempo, ni dinero ni apalancamiento. Empresario Tradicional : Hay dinero y apalancamiento, pero no hay dinero. Ingresos de Dinero  Por Venta Directa Usar, conocer y recomendar los productos a familiares, amigos y conocidos. Margen de Utilidad : 33% por compras de $1 a $759.000 43% por compras de $760.000 en adelante Mercadeo en Red - Enseñar a otros a desarrollar el negocio, sobre la base de lograr para ellos mismos libertad financiera Y control de su tiempo. Comisiones por Ventas de Grupo :  1.200 VG - 9% => Ingreso mensual aproximado : $  232,524 2.400 VG - 12% => Ingreso mensual aproximado : $  620,064 4.000 VG - 15% => Ingreso mensual aproximado : $  1,291,800 7.000 VG - 18% => Ingreso mensual aproximado : $  2,712,780 10.000 VG - 21%  => Ingreso mensual aproximado : $  4,521,300 MAS DE 10.000 VG => Ingreso mensual aproximado : MAS DE $  4,521,300 Incentivos Adicionales Dinero en efectivo, viajes a destinos turísticos, viajes a seminarios y convenciones en otros países, Reconocimiento dentro de la comunidad Amway. Apoyo, Material y Capacitación disponible Activar su Código de Empresario Amway EA (costo $ 39.900) el cual incluye : Contrato de Empresario Amway, Manual de Referencia, DVD de Entrenamiento !Bienvenido a Amway! Folleto Plan, Folleto de Instituto de Negocios Amway, Catálogo de Productos y Lista de Precios. Material disponible en audio, video e internet (páginas web, presentaciones, webinars, etc. Capacitación permanente sobre el manejo de los productos y el desarrollo del negocio, por parte de la línea de  Auspicio en el tema de libre empresa, emprendimiento, entre otros. Requisitos Orientación, Seminarios y Convenciones. Tener Capacidad y disposición para aprender sobre los Productos y el manejo del Negocio, así como también adquirir habilidades y  Destrezas de buen Empresario y excelente Emprendedor. Proponerse en el menor Tiempo posible a adquirir libertad financiera, así como también control de su Tiempo. (Dinero adicional Y tiempo libre para disfrutarlo). Estar dispuestos a luchar por la realización de nuestras METAS Y SUEÑOS. Aura Cristina Garzón Rodríguez – email :  [email_address]  – Contacto :  320-8998498
Resultados Obtenidos : Ganancias Económicas por concepto de Venta Directa en el corto plazo. Beneficios en Salud y Bienestar por el consumo de los Productos, además de un ahorro considerable en dinero. Ganancias económicas considerables por concepto de comisiones obtenidas por la generación de volumen, auspicio Y ventas de grupo. Premios obtenidos como incentivos adicionales a la ganancia obtenida por venta directa y comisiones  de volumen De ventas grupales, tales como dinero en efectivo (de 1 a 5 millones por aumento en el escalafón de ventas), viajes a destinos turísticos importantes, cruceros por el Caribe, viajes a convenciones en otras ciudades o países. Premios obtenidos como incentivos adicionales a la ganancia obtenida por venta directa y comisiones  de volumen De ventas grupales, tales como dinero en efectivo (de 1 a 5 millones por aumento en el escalafón de ventas), viajes a destinos turísticos importantes, cruceros por el Caribe, viajes a convenciones en otras ciudades o países. Reconocimiento (en medios de comunicación escritos y orales)y prestigio a nivel grupal a medida que crece tu desempeño en el Negocio. Libertad financiera: El problema de la falta de dinero queda resulto.  Ingresos incrementales heredables a hijos. Los hijos Heredan tanto los ingresos como la organización de Empresarios constituida. Dinero adicional y tiempo libre para disfrutarlo en Familia. Crecimiento y desarrollo personal como consecuencia de los conocimientos adquiridos a través del programa de  Capacitación, orientaciones, seminarios, etc. Como consecuencia del dinero obtenido y del tiempo libre logrado, tu logras hacer realidad tus metas y sueños Personales. El Mejor Resultado :  TU CALIDAD DE VIDA  Y LA DE TU FAMILIA MEJORAN DE MANERA SIGNIFICATIVA. Así que : Si usted es empleado, deje de estar luchando en vano por la realización de las metas y los sueños del dueño de la empresa donde usted trabaja de manera tan dura, esclavizada e inútil.  Deje de ser esclavo del salario y de su jefe. Si usted es Empresario Tradicional o trabajador independiente, dese una oportunidad y aproveche su capacidad de experiencia como Empresario y/o Independiente para desarrollar esta actividad de negocio el cual, además de darle considerables ingresos adicionales, le dará también tiempo libre para Disfrutarlo, así como también crecimiento y desarrollo personal. Aura Cristina Garzón Rodríguez – email :  [email_address]  – Contacto :  320-8998498
CONCLUSIÓN SER EMPRESARIO AMWAY  Se constituye hoy en día como el mejor Vehículo Económico, que nos permitirá la realización de nuestras metas y sueños a partir de la obtención de considerables ingresos adicionales, y además de tiempo libre para disfrutarlos en Familia. MISION DE AMWAY  : Ayudar a las Personas a mejorar su Calidad de Vida a través de ser dueños de su propio Negocio. Aura Cristina Garzón Rodríguez – email :  [email_address]  – Contacto :  320-8998498
¿ Tienes dudas ? Llama al  320-8998498 Bogotá D.C. Colombia Aura Cristina Garzón Rodríguez – email :  [email_address]  – Contacto :  320-8998498

Plan de negocios 2010 Sintetizado

  • 1.
    Magnífica Oportunidad deNegocio Adquiera la oportunidad de ganarse entre 1 y 5 millones de pesos mensuales. Usted incluso podría lograr ganarse más de 20 millones de pesos, mensualmente. Esta Oportunidad de Negocios es seria, honesta y factible, respaldada por una compañía multinacional sumamente confiable y reconocida que lleva más de 50 años en el mercado mundial (14 años en Colombia), con presencia en más de 80 países y territorios. Se estima un crecimiento de los productos de esta compañía para Colombia de aproximadamente el 1500% (inclusive mas), en vista del desempeño económico del país, y de la gran oportunidad que existe en el mercado, donde solo la línea de aseo del hogar de AMWAY supera con creces en calidad y ahorro a los productos de la competencia, ya que estos permiten un ahorro de mas del 50% en dinero. (Bogotá solamente tiene el mismo número de habitantes de muchos países donde AMWAY y sus Empresarios han logrado grandes resultado. Recuerde: USTED como empleado está garantizando el futuro del dueño de la empresa donde usted trabaja, mientras que USTED con el tiempo pierde fuerzas, juventud y se desgasta inútilmente, mientras deja pasar otras Oportunidades las cuales si van a mejorar tremendamente su Calidad de Vida. Aura Cristina Garzón Rodríguez – email : [email_address] – Contacto : 320-8998498
  • 2.
    Lo mejor deesta Oportunidad de Negocio LO MAS IMPORTANTE de esta oportunidad de Negocio es que le permitirá obtener LIBERTAD FINANCIERA . ¿ QUE ES LIBERTAD FINANCIERA ? Es sencillamente ganar bastante dinero que nos alcance a satisfacer nuestras necesidades básicas, expectativas y sueños, y además de los anterior, tener tiempo libre para disfrutarlo. Dentro del paradigma convencional de obtener dinero, la libertad financiera NO es posible. ¿ Porque no lo es? Como Empresario Tradicional: Se gana dinero suficiente, pero con alto riesgo, y nada de tiempo para disfrutar el dinero logrado. Como Empleado: No se gana el dinero suficiente para satisfacer nuestras metas y sueños…apenas para satisfacer a medias en la mayoría de los casos las necesidades básicas. Mucho menos hay tiempo para disfrutar lo poco que se puede lograr. Aura Cristina Garzón Rodríguez – email : [email_address] – Contacto : 320-8998498
  • 3.
    Una Oportunidad deNegocio Esta es una oportunidad de negocio para obtener ingresos considerables a partir de la comercialización de productos en las líneas de : Nutrición Cuidado del Hogar Cuidado Personal Cuidado de la Piel/Belleza Hay mas de 100 productos disponibles para la venta en Colombia. Aura Cristina Garzón Rodríguez – email : [email_address] – Contacto : 320-8998498
  • 4.
    ¿ Que tepermitirá esta Oportunidad de Negocio ? Libertad Financiera : Consiste en ganar buén dinero y además contar con el tiempo libre para disfrutarlo. Control de tu Tiempo : Consiste en que en el futuro podrás tu controlar tu tiempo. Aprovechar el Tiempo de tu vida en beneficio tuyo y no de la Empresa donde tu trabajas como Empleado. Aura Cristina Garzón Rodríguez – email : [email_address] – Contacto : 320-8998498
  • 5.
    ¿ Como segana dinero en este Negocio ? Por Venta Directa : Es muy fácil vender los productos. Son superiores con respecto a otros productos convencionales en rendimiento, calidad y precio. Así que, es solo usar para dar fe y testimonio de estos puntos y luego recomendar estos a todas las personas que conocemos. El margen de utilidad obtenido por la venta directa es : 33% por compras de $1 a $759.000 . 43% por compras mayores a $759.000 . Aura Cristina Garzón Rodríguez – email : [email_address] – Contacto : 320-8998498
  • 6.
    ¿ Como segana dinero en este Negocio ? Por Mercadeo en Red : Replicar la experiencia : Es enseñar a otras personas a hacer lo mismo : Vincularse en el negocio, consumir los productos y recomendarlos ampliamente a sus respectivos conocidos Comisiones : Las comisiones obtenidas por ventas grupales VG (ventas que hace las personas que quedan registradas bajo nuestro código) en términos de puntaje son : 1.200 VG - 9% => Ingreso mensual aproximado : $ 232,524 2.400 VG - 12% => Ingreso mensual aproximado : $ 620,06 4 4.000 VG - 15% => Ingreso mensual aproximado : $ 1,291,800 7.000 VG - 18% => Ingreso mensual aproximado : $ 2,712,780 10.000 VG - 21% => Ingreso mensual aproximado : $ 4,521,300 MAS DE 10.000 VG => Ingreso mensual aproximado : MAS DE $ 4,521,300 Aura Cristina Garzón Rodríguez – email : [email_address] – Contacto : 320-8998498
  • 7.
    ¿ Como segana dinero en este Negocio ? Incentivos Adicionales por incremento del desempeño en el negocio : Dinero en Efectivo : Entre 1 y 5 millones de pesos. Viajes : A importantes destinos turísticos. A seminarios y convenciones en otros países. Reconocimiento como Empresario Líder. Aura Cristina Garzón Rodríguez – email : [email_address] – Contacto : 320-8998498
  • 8.
    ¿ Con queelementos cuento para desarrollar el Negocio ? Actualmente tu cuentas con apoyo, material y capacitación disponible a través de : Eventos : Orientaciones, Seminarios y Capacitaciones. Material : Material disponible en audio, video e internet (páginas web, presentaciones, webinars, etc. Capacitación permanente sobre el manejo de los productos y el desarrollo del negocio por parte del INA (Instituto de Negocios Amway) totalmente GRATIS. Guía y orientación sobre emprendimiento y libre empresa por parte de los eventos y la línea de auspicio. Aura Cristina Garzón Rodríguez – email : [email_address] – Contacto : 320-8998498
  • 9.
    ¿ Cuales sonlos Requisitos ? Activación : Activar tu Código de Empresario Amway EA (costo $ 39.900) el cual incluye : Contrato de Empresario Amway, Manual de Referencia DVD de Entrenamiento !Bienvenido a Amway! Folleto Plan Folleto de Instituto de Negocios Amway. Catálogo de Productos Lista de Precios. Disposición para aprender : Tener Capacidad y disposición para aprender sobre los Productos y el manejo del Negocio, así como también adquirir habilidades y Destrezas de buen Empresario y excelente Emprendedor. Querer libertad financiera : Proponerse en el menor Tiempo posible a adquirir libertad financiera, así como también control de su Tiempo. (Dinero adicional Y tiempo libre para disfrutarlo). Querer hace realidad nuestras METAS y SUEÑOS : Estar dispuestos a luchar por la realización de nuestras METAS Y SUEÑOS. Aura Cristina Garzón Rodríguez – email : [email_address] – Contacto : 320-8998498
  • 10.
    ¿ Cuale sonlos resultados obtenidos de desarrollar este Negocio ? Ganancias Económicas por concepto de Venta Directa en el corto plazo. Beneficios en Salud y Bienestar por el consumo de los Productos, además de un ahorro considerable en dinero. Mas Ganancias económicas considerables por concepto de comisiones obtenidas por la generación de volumen, auspicio Y ventas de grupo. Premios obtenidos como incentivos adicionales a la ganancia obtenida por venta directa y comisiones de volumen De ventas grupales, tales como dinero en efectivo (de 1 a 5 millones por aumento en el escalafón de ventas), viajes a destinos turísticos importantes, cruceros por el Caribe, viajes a convenciones en otras ciudades o países. Reconocimiento (en medios de comunicación escritos y orales)y prestigio a nivel grupal a medida que crece tu desempeño en el Negocio. Libertad financiera : El problema de la falta de dinero queda resulto. Ingresos incrementales heredables a hijos. Los hijos heredan tanto los ingresos como la organización de Empresarios constituida. Más Dinero adicional y tiempo libre para disfrutarlo en Familia. Crecimiento y desarrollo personal como consecuencia de los conocimientos adquiridos a través del programa de Capacitación, orientaciones, seminarios, etc. Como consecuencia del dinero obtenido y del tiempo libre logrado , tu logras hacer realidad tus metas y sueños Personales. El Mejor Resultado : TU CALIDAD DE VIDA Y LA DE TU FAMILIA MEJORAN DE MANERA SIGNIFICATIVA. Aura Cristina Garzón Rodríguez – email : [email_address] – Contacto : 320-8998498
  • 11.
    ¿ Como sepuede comenzar con el negocio ? Se sugiere comenzar (para comenzar de manera rápida) por la línea de aseo por las siguientes razones : No requiere mucha capacitación para entender el manejo de esta línea. Las ventajas de estos productos es que son inmensamente superiores con respecto a la competencia. Esto se demuestra en la siguiente diapositiva que detalla la relación de ahorro . Canasta Amway : A la Canasta Amway se le denomina la paquete conformado por los productos de aseo. Todos en su conjunto el permiten ahorrar al consumidor final alrededor de SEISCIENTOS TREINTA Y DOS MIL PESOS ($632.000) , además del ahorro en agua, mantenimiento de la lavadora, entre otros. Este es un ahorro del 80% con respecto a lo que cuestan otros productos de aseo convencionales. Aura Cristina Garzón Rodríguez – email : [email_address] – Contacto : 320-8998498
  • 12.
    ¡ AHORRE MAS DE SESCIENTOS MIL PESOS ($ 600.000) ! EN CONSUMO DE ARTÍCULOS DE ASEO PARA EL HOGAR LA CANASTA AMWAY – PAQUETE PRODUCTOS DE ASEO ¿Que hace usted. Todas las quincenas? Va al supermercado y compra productos Para el Aseo del Hogar y el cuidado Personal Si tuviera la alternativa de conseguir estos mismos productos ahorrando más del 80% con garantía de Calidad y además biodegradables, cuales compraría Aura Cristina Garzón Rodríguez – email : [email_address] – Contacto : 320-8998498
  • 13.
    Cada paquete deja$ 40,350 (46.31 pvs) de ganancia, un margen de rentabilidad del 33% Con 20 clientes canasta Amway, usted gana $ 807,000 Con 30 clientes canasta Amway, usted gana $ 1,473,470 (1,389.3 pvs) Ahora la pregunta es : ¿ Cuantas personas cree que hacen lo mismo todos los Meses y estarían interesadas en tener estos beneficios ? ¿Cuántos Hermanos tienes ? ¿Cuántos tíos ? ¿Cuántos primos ? ¿Cuántos cuñados y cuñadas ? ¿Cuántos compañeros de trabajo ? ¿Cuántos vecinos ? ¿Cuántos amigos ? TODOS SUS REFERIDOS Aura Cristina Garzón Rodríguez – email : [email_address] – Contacto : 320-8998498
  • 14.
    ¿ Quieres conocermas acerca de las otras líneas de Productos ? IMPORTANTE : Debes ir a las capacitaciones (son gratuitas) pero se debe ir para conocer en detalle los productos relacionados con las líneas de nutrición y cuidado personal. Aura Cristina Garzón Rodríguez – email : [email_address] – Contacto : 320-8998498
  • 15.
    ¿ Quieres conocertodos los Productos en detalle ? Aura Cristina Garzón Rodríguez – email : [email_address] – Contacto : 320-8998498
  • 16.
    SA8 Detergente enPolvo Detergente Altamente Concentrado Precio Público :$ 26.900 Utilidad : $ 6.725 Puntos : 7.54 L.O.C. Limpiador Multiusos Limpia y brilla toda superficie Precio Público :$ 22.900 Utilidad : $ 5,725 Puntos : 6.42 SA8 Blanqueador para Multiples Telas Blanqueador para ropa Blanca y de Color Precio Público :$ 33.900 Utilidad : $ 8.475 Puntos : 9.50 Pursue Limpiador Desinfectante Mantiene las superficies libres de bacterias Precio Público :$ 23.900 Utilidad : $ 5.975 Puntos : 7.77 SA8 Aerosol de Prelavado Ideal para manchas díficles Precio Público :$ 18.900 Utilidad : $ 4.725 Puntos : 5.30 Dish Drops Lavaplatos Líquido No reseca las manos. Precio Público :$ 34.900 Utilidad : $ 8.725 Puntos : 9.78 Cuidado de la Ropa Limpieza de Superficies Aura Cristina Garzón Rodríguez – email : [email_address] – Contacto : 320-8998498 LINEA DE ASEO
  • 17.
    Vitaminas y MineralesSuplementos Nutrición Infantil Alimentación Balanceada Especialidades AC Plus Fuente natural de Vitamina C Precio Público :$ 23.900 Utilidad : $ 5.975 Puntos : 6.70 Daily (30 tabletas) Te cuida diariamente Precio Público :$ 18.900 Utilidad : $ 4.725 Puntos : 5.30 Daily (60Tabletas) Te cuida diariamente Precio Público :$ 34.900 Utilidad : $ 8.725 Puntos : 9.78 Omega 3 (30 cápsulas) Cuida tu corazón Precio Público :$ 28.900 Utilidad : $ 7.225 Puntos : 8,10 Parselenium E Perejil, Selenio y Vitamina E, la combinación de tu elección Precio Público :$ 37.900 Utilidad : $ 9.475 Puntos : 10.62 Complejo Natural B (90 Tabletas) Libera tu energía Precio Público :$ 31.900 Utilidad : $ 7.975 Puntos : 8.94 Double X Eleva tu Energía al máximo Precio Público :$ 161.900 Utilidad : $ 40.475 Puntos : 45.38 Double X - Repuesto Double X - Repuesto Precio Público :$ 144.900 Utilidad : $ 36.225 Puntos : 40.61 Cerocarb Baja tus calorías. Manten la figura. Precio Público :$ 39.900 Utilidad : $ 9.975 Puntos : 11.18 Acerola C Masticable Práctica forma de tomar vitamina C de origen natural Precio Público :$ 26.900 Utilidad : $ 6.725 Puntos : 7.54 Nutrifibra en Polvo Aquí está la fibra que tu cuerpo Necesita Precio Público :$ 49.900 Utilidad : $ 12.475 Puntos : 13.99 Proteína de Soya Lo mejor de la Proteína sin la grasa Precio Público :$ 63.900 Utilidad : $ 15.975 Puntos : 17.91 CLA 500 Ejercicio, Nutrición y Músculos Saludables Precio Público :$ 65.900 Utilidad : $ 16.475 Puntos : 18.47 Nutrishake Malteada Nutrilite Caramelo Una forma más deliciosa mantener tu figura Precio Público :$ 64.900 Utilidad : $ 16.225 Puntos : 18.19 Nutrishake Malteada Nutrilite Cookies and Cream Una forma más deliciosa mantener tu figura Precio Público :$ 64.900 Utilidad : $ 16.225 Puntos : 19.18 Nutrishake Malteada Nutrilite Fresa Una forma más deliciosa mantener tu figura Precio Público :$ 64.900 Utilidad : $ 16.225 Puntos : 18.19 Nutrishake Malteada Nutrilite Banano Una forma más deliciosa mantener tu figura Precio Público :$ 64.900 Utilidad : $ 16.225 Puntos : 18.19 Hierro con Ácido Fólico Plus Balance para toda mujer Precio Público :$ 26.900 Utilidad : $ 6.725 Puntos : Ajo Concentrado Las propiedades del Ajo con agradable sabor Precio Público :$ 50.900 Utilidad : $ 12.725 Puntos : 14.27 Hair Skin Nails Belleza de adentro hacia afuera Precio Público :$ 39.900 Utilidad : $ 9.975 Puntos : Aura Cristina Garzón Rodríguez – email : [email_address] – Contacto : 320-8998498 LINEA DE NUTRICIÓN Betacaroteno Fuente natural de Vitamina A Precio Público :$ 33.900 Utilidad : $ 8.475 Puntos : 9.50
  • 18.
    Cuidado Básico PielNormal a Seca Cuidado Básico Piel Madura 25+,35+ y 45+ Crema Botánica Reparadora de Noche 35 años o más / Para todo tipo de Piel Precio Público :$ 60.900 Utilidad : $ 15.225 Puntos : 17.07 Crema Protectora de Día FPS 30 45 años o más / Para todo tipo de piel Precio Público :$ 65.900 Utilidad : $ 16.475 Puntos : 18.47 Crema Vitaminada Reparadora de Noche 45 años o más / Para todo tipo de Piel Precio Público :$ 63.900 Utilidad : $ 15.975 Puntos : 17.91 Cuidado Básico Piel Normal a Grasa Aura Cristina Garzón Rodríguez – email : [email_address] – Contacto : 320-8998498 LINEA DE CUIDADO DE LA PIEL Crema Limpiadora Hidratante Para Piel Normal a Seca. Paso 1: Limpiar Precio Público :$ 23.900 Utilidad : $ 5.975 Puntos : 6.70 Loción Hidratante Para Piel Normal a Seca. Paso 2: Tonificar Precio Público :$ 31.900 Utilidad : $ 7.975 Puntos : 8.94 Crema Protectora Hidratante FPS 15 Para Piel Normal a Seca. Paso 3: Humectar Precio Público :$ 37.900 Utilidad : $ 9.475 Puntos : 10.62 Gel Limpiador Purificante Para Piel Normal a Grasa. Paso 1: Limpiar Precio Público :$ 27.900 Utilidad : $ 6.975 Puntos : 7.82 Loción Purificante Para Piel de Normal a Grasa. Paso 2: Tonificar Precio Público :$ 31.900 Utilidad : $ 7.975 Puntos : 8.94 Loción Hidratante Para Pieles Maduras. Paso 2: Tonificar Precio Público :$ 37.900 Utilidad : $ 9.475 Puntos : 10.62 Crema Niveladora Humectante Para Piel Normal a Grasa. Paso 3: Humectar Precio Público :$ 37.900 Utilidad : $ 9.475 Puntos : 10.62 Aceite Limpiador Hidratante Para Pieles Maduras. Paso 1: Limpiar Precio Público :$ 37.900 Utilidad : $ 9.475 Puntos : 10.62 Crema Protectora de día FPS 15 25 años o más / Para todo tipo de Piel Precio Público :$ 49.900 Utilidad : $ 12.475 Puntos : 13.99 Crema Reparadora de Noche 25 años o más / Para todo tipo de Piel Precio Público :$ 59.900 Utilidad : $ 14.975 Puntos : 16.79 Crema Protectora de día FPS 20 35 años o más / Para todo tipo de Piel Precio Público :$ 56.900 Utilidad : $ 14.225 Puntos : 15.95
  • 19.
    Desmaquillante de Ojosy Labios Para toda edad Precio Público :$ 34.900 Utilidad : $ 8.725 Puntos : Cuidado para todo tipo de Piel Gel Facial Antioxidante con Vitamina C Destellos de Juventud Precio Público :$ 72.900 Utilidad : $ 18.225 Puntos : 20.43 Loción Facial Reestructurante AHA-BHA Destellos de Juventud Precio Público :$ 52.900 Utilidad : $ 13.225 Puntos : 14.83 Mascarillas Cuidados Especiales Gel Reestructurante para el contorno de ojos Evita las ojeras Precio Público :$ 48.900 Utilidad : $ 12.225 Puntos : 13.71 Crema Multi-Acción para el contorno de ojos Ojos radiantes Precio Público :$ 49.900 Utilidad : $ 12.475 Puntos : 13.99 Gel Corporal Exfoliante Consiente tu cuerpo de una forma inigualable Precio Público :$ 35.900 Utilidad : $ 8.975 Puntos : 10.66 Loción Hidratante Corporal Revitalizante Consiente tu cuerpo de una forma inigualable Precio Público :$ 28.900 Utilidad : $ 7.225 Puntos : 8.10 Years Free Cuidado del Cuerpo Aura Cristina Garzón Rodríguez – email : [email_address] – Contacto : 320-8998498 LINEA DE CUIDADO DE LA PIEL Gel Facial Control de Imperfecciones Libera tu piel de imperfecciones Precio Público :$ 26.900 Utilidad : $ 6.725 Puntos : 7.54 Crema Mascarilla Hidratante Moiskin ha creado tres prácticas mascarillas que puedes usar dependiendo de la necesidad de tu piel Precio Público :$ 34.900 Utilidad : $ 8.725 Puntos : 9.78 Crema Mascarilla Limpiadora Purificante Moiskin ha creado tres prácticas mascarillas que puedes usar dependiendo de la necesidad de tu piel. Precio Público :$ 26.900 Utilidad : $ 6.725 Puntos : 7.54 Gel Limpiador Exfoliante Moiskin ha creado tres prácticas mascarillas que puedes usar dependiendo de la necesidad de tu piel. Precio Público :$ 32.900 Utilidad : $ 8.225 Puntos : 9.22
  • 20.
    Cuida tu CabelloShampoo Óptimo Balance Dile adiós al cabello graso y lúcelo lleno de vida y brillo. Precio Público :$ 13.900 Utilidad : $ 3.475 Puntos : 3.90 Acondicionador Óptimo Balance Dile adiós al cabello graso y lúcelo lleno de vida y brillo. Precio Público :$ 14.900 Utilidad : $ 3.725 Puntos : 4.18 Shampoo para Rizos perfectos Nutrición desde la raíz Precio Público :$ 13.900 Utilidad : $ 3.475 Puntos : 3.90 Acondicionador para Rizos perfectos Cabello Espectacular Precio Público :$ 14.900 Utilidad : $ 3.725 Puntos : 4.18 Shampoo para Cabello mixto Shampoo para Cabello mixto Mantén tu cabello hidratado y resistente lavándolo diariamente. Precio Público :$ 13.900 Utilidad : $ 3.475 Puntos : 3.90 Acondicionador para Cabello mixto Mantén tu cabello hidratado y resistente lavándolo diariamente. Precio Público :$ 14.900 Utilidad : $ 3.725 Puntos : 4.18 Shampoo para Cabello Seco y Maltratado Llena tu cabello de vida con una apariencia sedosa y brillante. Su fórmula especialmente diseñada para reparar el cabello desde la primera aplicación lo deja más manejable y con una apariencia saludable. Precio Público :$ 13.900 Utilidad : $ 3.475 Puntos : 3.90 Acondicionador para Cabello seco y maltratado Cabello Espectacular Precio Público :$ 14.900 Utilidad : $ 3.725 Puntos : 4.18 Acondicionador para Color Intenso Conserva radiante el color de tu cabello y protégelo de los rayos UV Precio Público :$ 17.900 Utilidad : $ 4.475 Puntos : 5.02 Gel Modelador Media Fijación Tu cabello lucirá más firme y tu peinado resistirá hasta en los climas más húmedos. Precio Público :$ 25.900 Utilidad : $ 6.475 Puntos : 7.26 Gel Modelador Extra Fijación Extra control y fijación hasta en condiciones extremas. Precio Público :$ 25.900 Utilidad : $ 6.475 Puntos : 7.26 Loción Protección de Color Protege y mantiene el color de tu cabello por más tiempo. Contiene antioxidantes y vitaminas. Precio Público :$ 34.900 Utilidad : $ 8.725 Puntos : 9.78 Crema de Hidratación Intensiva Reparación profunda desde la primera aplicación. Contiene filtros UV. Precio Público :$ 25.900 Utilidad : $ 6.475 Puntos : 7.26 Acondicionador Anticaspa Acondicionador Anticaspa Controla y remueve los signos de la caspa sin resecar el cuero cabelludo. Luce un cabello sedoso y saludable Precio Público :$ 17.900 Utilidad : $ 4.475 Puntos : 5.02 Shampoo Anticaspa Hidratación Revitalizante Controla y remueve los signos de la caspa sin resecar el cuero cabelludo. Luce un cabello sedoso y saludable. Precio Público :$ 16.900 Utilidad : $ 4.225 Puntos : 5.02 Acondicionador Caída Control & Prevention Combate la caída de manera natural Precio Público :$ 17.900 Utilidad : $ 4.475 Puntos : 4.74 Shampoo para Color Intenso Conserva radiante el color de tu cabello con una apariencia saludable. Precio Público :$ 16.900 Utilidad : $ 4.225 Puntos : 4.74 Loción Restauradora Puntas y Brillo Tu cabello lucirá mucho más brillante y saludable desde la primera aplicación con las puntas restauradas y controlando el frizz. Además hidrata y sella el cabello previniendo el daño del medio ambiente. los rayos UV Precio Público :$28.900 Utilidad : $ 7.225 Puntos : 8.10 Shampoo Caida Control Prevention combate la caída de manera natural Precio Público :$ 16.900 Utilidad : $ 4.225 Puntos : 4.74 LINEA DE CUIDADO PERSONAL
  • 21.
    Refrescante Bucal enAerosol Glister Una explosión de frescura con cada aplicación. Precio Público :$ 8.900 Utilidad : $ 2.225 Puntos : 2.49 Pasta de Dientes Multiacción con Fluoruro 200 gr ¡Obtén 6 beneficios para ti y toda tu familia en 1 sola pasta dental! ¡Sonríe más! La salud de tu boca es belleza. Precio Público :$ 14.900 Utilidad : $ 3.725 Puntos : 4.18 Pasta de Dientes Multiacción con Fluoruro 60 gr Lleva los 6 beneficios de Glister en un práctico empaque. ¡Sonríe más! La salud de tu boca es belleza. Precio Público :$ 8.900 Utilidad : $ 2.225 Puntos : 2.49 Cuida tu Boca Cuida tu Cuerpo Femme Desodorante Antitranspirante en Barra Seca y protegida por más de 24 horas sin dejar manchas en tu ropa. Contiene partículas antitranspirantes que ayudan a reducir y controlar la transpiración. Precio Público :$ 12.900 Utilidad : $ 3.225 Puntos : 3.62 Femme Desodorante Antitranspirante Roll-on Vive tu día libre! Siéntete segura las 24 horas del día Precio Público :$ 9.900 Utilidad : $ 2.475 Puntos : 2.77 Homme Desodorante Antitranspirante en barra Disfruta de un aroma masculino mientras te sientes fresco y protegido por más de 24 horas. Contiene partículas antitranspirantes que ayudan a reducir y controlar la transpiración. Precio Público :$ 12.900 Utilidad : $ 3.225 Puntos : 3.62 Homme Desodorante Antitranspirante Roll-on Gracias a su fórmula antitranspirante de secado rápido, adicionada con elementos botánicos controlas tu transpiración, manteniéndote protegido y fresco por más tiempo. Precio Público :$ 9.900 Utilidad : $ 2.475 Puntos : 2.77 Loción de Protección Solar FPS 15 Absorbe hasta el 84,6% de los rayos UVA. Usándola diariamente su fórmula hidratante te protege de los rayos del sol causantes de arrugas, manchas y pérdida de la elasticidad en la piel. Protege tu piel ahora para que la luzcas siempre. Precio Público :$ 29.900 Utilidad : $ 7.475 Puntos : 8.38 Loción de Protección Solar FPS 30 Protege tu piel y ayuda a retardar el envejecimiento Precio Público :$ 32.900 Utilidad : $ 8.225 Puntos : 9.22 Loción de Protección Solar FPS 50 Protege tu piel y ayuda a retardar el envejecimiento Precio Público :$ 35.900 Utilidad : $ 8.975 Puntos : 10.06 Loción Hidratante con Glicerina Rica en aceites y extractos naturales que junto con la glicerina retienen la humedad en la piel y la acondiciona, dejándola suave gracias a su fórmula ligera que no deja sensación grasosa. Precio Público :$ 16.900 Utilidad : $ 4.225 Puntos : 4.74 Jabón de Tocador Aromático y Emoliente Con extractos de murumuru y guaraná dejan tu piel fresca y tersa con un agradable aroma natural. Precio Público :$ 15.900 Utilidad : $ 3.975 Puntos : 4.46 Jabón de Tocador Aromatico y Humectante Formulado con extractos de acerola y aceite de andiroba, suavizan y ayudan a mejorar la elasticidad de la piel además de protegerla del medio ambiente. Precio Público :$ 15.900 Utilidad : $ 3.975 Puntos : 4.46 Jabón de Tocador Aromático y Acondicionador Contiene extractos de té verde y aceite de copaiba que mantienen la humedad en tu piel. Precio Público :$ 15.900 Utilidad : $ 3.975 Puntos : 4.46
  • 22.
    Fragancias NIDHI El tesoro que resalta tu hermosura y magnetismo de mujer. Precio Público :$ 64.900 Utilidad : $ 16.225 Puntos : 18.19 HEKET Lleva tu femenidad, romance y delicadeza por doquier. Precio Público :$ 49.900 Utilidad : $ 12.475 Puntos : 13.99 RUZAT Irresistible fragancia creada para el hombre moderno y elegante. Precio Público :$ 64.900 Utilidad : $ 16.225 Puntos : 18.19 HAENER Apasiónate en el aroma aventurero. Precio Público :$ 46.900 Utilidad : $ 11.725 Puntos : 13.15 PLEIOS ¡Impregna tu individualidad! Precio Público :$ 64.900 Utilidad : $ 16.225 Puntos : 18.19 CITRUS Acompaña tu vida con un toque de frescura. Precio Público :$ 35.900 Utilidad : $ 8.975 Puntos : 10.06 LAVENDER Enfrenta tu vida con toque relajante y discreto. Precio Público :$ 35.900 Utilidad : $ 8.975 Puntos : 10.06 Musk Vive tu vida intensa y seductora como eres. Precio Público :$ 35.900 Utilidad : $ 8.975 Puntos : 10.06 Splash Lavender (Muestras) Enfrenta tu vida con toque relajante y discreto. Contenido 6 unidades Precio Público :$ 5.900 Utilidad : $ 1.475 Splash Musk (Muestras) Vive tu vida intensa y seductora como eres. Contenido 6 unidades Precio Público :$ 5.900 Utilidad : $ 1.475 Splash Citrus (Muestras) Acompaña tu vida con un toque de frescura Contenido 6 frascos Precio Público :$ 5.900 Utilidad : $ 1.475 Pleios ¡Impregna tu individualidad! 6 unidades Precio Público :$ 5.900 Utilidad : $ 1.475 RUZAT (Muestras) Lleva en tu aroma el secreto de la atracción. 6 unidades Precio Público :$ 5.900 Utilidad : $ 1.475 Aura Cristina Garzón Rodríguez – email : [email_address] – Contacto : 320-8998498 LINEA DE CUIDADO PERSONAL NIDHI (Muestras) El tesoro que resalta tu hermosura y magnetismo de mujer 6 unidades Precio Público :$ 5.900 Utilidad : $ 1.475 HEKET (Muestras) HEKET (Muestras, 6 unidades) Precio Público :$ 5.900 Utilidad : $ 1.475
  • 23.
    Juego de OllasDeluxe Juego de ollas de 1.5 L y olla-sartén con tapa y tapa domo Precio Público :$ 1.427.900 Utilidad : $ 356.975 Puntos : 400.22 Juego de Vaporeras Olla holandesa de 4 litros con tapa, vaporera e inserto de vaporera doble para la olla de 4 litros Precio Público :$ 1.029.900 Utilidad : $ 257.475 Puntos : 288.66 Juego de Vaporeras Deluxe Juego de vaporeras iCookT de acero inoxidable Precio Público :$ 1.714.900 Utilidad : $ 428.725 Puntos : 480.66 Juego de 2 Ollas Juego de ollas de 2 Litros y de 3 Litros cada una con tapa Precio Público :$ 1.234.900 Utilidad : $ 308.725 Puntos : 346.12 Juego de Sartenes Antiadherentes (Juego B) Sartenes antiadherentes de 8, 10 y 12 pulgadas con tapa de vidrio templado Precio Público :$ 1.505.900 Utilidad : $ 376.475 Puntos : 422.08 Sartén Antiadherente (Juego F) Sartén antiadherente de 12 pulgadas con tapa de vidrio templado Precio Público :$ 634.900 Utilidad : $ 158.725 Puntos : 177.95 Aura Cristina Garzón Rodríguez – email : [email_address] – Contacto : 320-8998498 Cuidado de la Piel para el Hombre Tecnología del Hogar Espuma Limpiadora para el Rostro Un rostro limpio y fresco todo el día Precio Público :$ 38.900 Utilidad : $ 9.725 Puntos : 10.90 Gel para Afeitar Suaviza la barba para una afeitada confortable Precio Público : $ 26.900 Utilidad : $ 6.725 Puntos : 7.54 Loción después de Afeitar Reduce el exceso de grasa desde la primera aplicación Precio Público : $ 44.900 Utilidad : $ 11.225 Puntos : 12.58 Gel Hidratante para el Rostro La piel se ve y se siente mejor Precio Público : $ 53.900 Utilidad : $ 13.475 Puntos : 15.11 Loción Protectora para el Rostro con FPS 15 Protege la piel contra los rayos UV Precio Público : $ 58.900 Utilidad : $ 13.475 Puntos : 16.11
  • 24.
    RESUMEN Aura CristinaGarzón Rodríguez – email : [email_address] – Contacto : 320-8998498
  • 25.
    Oportunidad de NegocioIngresos de Dinero Considerables Nutrición : Cuidado Hogar : Productos de Aseo : 80% Ahorro con respecto al precio. Cuidado Personal : Cuidado de la Piel/Belleza: Mas de 100 Control de tu Tiempo Empleado : No hay tiempo, ni dinero ni apalancamiento. Empresario Tradicional : Hay dinero y apalancamiento, pero no hay dinero. Ingresos de Dinero Por Venta Directa Usar, conocer y recomendar los productos a familiares, amigos y conocidos. Margen de Utilidad : 33% por compras de $1 a $759.000 43% por compras de $760.000 en adelante Mercadeo en Red - Enseñar a otros a desarrollar el negocio, sobre la base de lograr para ellos mismos libertad financiera Y control de su tiempo. Comisiones por Ventas de Grupo : 1.200 VG - 9% => Ingreso mensual aproximado : $ 232,524 2.400 VG - 12% => Ingreso mensual aproximado : $ 620,064 4.000 VG - 15% => Ingreso mensual aproximado : $ 1,291,800 7.000 VG - 18% => Ingreso mensual aproximado : $ 2,712,780 10.000 VG - 21% => Ingreso mensual aproximado : $ 4,521,300 MAS DE 10.000 VG => Ingreso mensual aproximado : MAS DE $ 4,521,300 Incentivos Adicionales Dinero en efectivo, viajes a destinos turísticos, viajes a seminarios y convenciones en otros países, Reconocimiento dentro de la comunidad Amway. Apoyo, Material y Capacitación disponible Activar su Código de Empresario Amway EA (costo $ 39.900) el cual incluye : Contrato de Empresario Amway, Manual de Referencia, DVD de Entrenamiento !Bienvenido a Amway! Folleto Plan, Folleto de Instituto de Negocios Amway, Catálogo de Productos y Lista de Precios. Material disponible en audio, video e internet (páginas web, presentaciones, webinars, etc. Capacitación permanente sobre el manejo de los productos y el desarrollo del negocio, por parte de la línea de Auspicio en el tema de libre empresa, emprendimiento, entre otros. Requisitos Orientación, Seminarios y Convenciones. Tener Capacidad y disposición para aprender sobre los Productos y el manejo del Negocio, así como también adquirir habilidades y Destrezas de buen Empresario y excelente Emprendedor. Proponerse en el menor Tiempo posible a adquirir libertad financiera, así como también control de su Tiempo. (Dinero adicional Y tiempo libre para disfrutarlo). Estar dispuestos a luchar por la realización de nuestras METAS Y SUEÑOS. Aura Cristina Garzón Rodríguez – email : [email_address] – Contacto : 320-8998498
  • 26.
    Resultados Obtenidos :Ganancias Económicas por concepto de Venta Directa en el corto plazo. Beneficios en Salud y Bienestar por el consumo de los Productos, además de un ahorro considerable en dinero. Ganancias económicas considerables por concepto de comisiones obtenidas por la generación de volumen, auspicio Y ventas de grupo. Premios obtenidos como incentivos adicionales a la ganancia obtenida por venta directa y comisiones de volumen De ventas grupales, tales como dinero en efectivo (de 1 a 5 millones por aumento en el escalafón de ventas), viajes a destinos turísticos importantes, cruceros por el Caribe, viajes a convenciones en otras ciudades o países. Premios obtenidos como incentivos adicionales a la ganancia obtenida por venta directa y comisiones de volumen De ventas grupales, tales como dinero en efectivo (de 1 a 5 millones por aumento en el escalafón de ventas), viajes a destinos turísticos importantes, cruceros por el Caribe, viajes a convenciones en otras ciudades o países. Reconocimiento (en medios de comunicación escritos y orales)y prestigio a nivel grupal a medida que crece tu desempeño en el Negocio. Libertad financiera: El problema de la falta de dinero queda resulto. Ingresos incrementales heredables a hijos. Los hijos Heredan tanto los ingresos como la organización de Empresarios constituida. Dinero adicional y tiempo libre para disfrutarlo en Familia. Crecimiento y desarrollo personal como consecuencia de los conocimientos adquiridos a través del programa de Capacitación, orientaciones, seminarios, etc. Como consecuencia del dinero obtenido y del tiempo libre logrado, tu logras hacer realidad tus metas y sueños Personales. El Mejor Resultado : TU CALIDAD DE VIDA Y LA DE TU FAMILIA MEJORAN DE MANERA SIGNIFICATIVA. Así que : Si usted es empleado, deje de estar luchando en vano por la realización de las metas y los sueños del dueño de la empresa donde usted trabaja de manera tan dura, esclavizada e inútil. Deje de ser esclavo del salario y de su jefe. Si usted es Empresario Tradicional o trabajador independiente, dese una oportunidad y aproveche su capacidad de experiencia como Empresario y/o Independiente para desarrollar esta actividad de negocio el cual, además de darle considerables ingresos adicionales, le dará también tiempo libre para Disfrutarlo, así como también crecimiento y desarrollo personal. Aura Cristina Garzón Rodríguez – email : [email_address] – Contacto : 320-8998498
  • 27.
    CONCLUSIÓN SER EMPRESARIOAMWAY Se constituye hoy en día como el mejor Vehículo Económico, que nos permitirá la realización de nuestras metas y sueños a partir de la obtención de considerables ingresos adicionales, y además de tiempo libre para disfrutarlos en Familia. MISION DE AMWAY : Ayudar a las Personas a mejorar su Calidad de Vida a través de ser dueños de su propio Negocio. Aura Cristina Garzón Rodríguez – email : [email_address] – Contacto : 320-8998498
  • 28.
    ¿ Tienes dudas? Llama al 320-8998498 Bogotá D.C. Colombia Aura Cristina Garzón Rodríguez – email : [email_address] – Contacto : 320-8998498