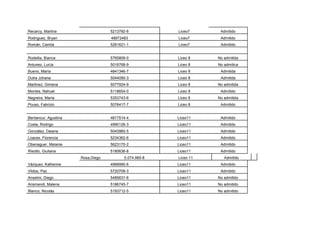
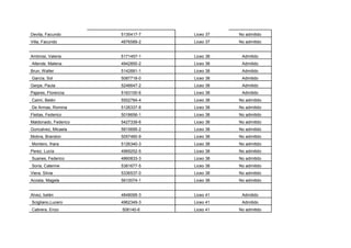
Programa de Acreditación de Inglés
                                Prueba de Admisión para realizar cursos en el año 2013
                                                                                         Nivel A2


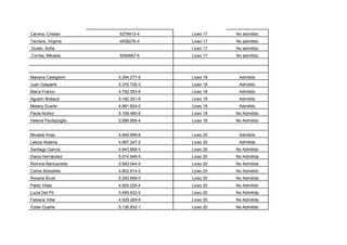
  Nombre y Apellido      C.I.                Liceo               Resultado

         Canelones
Brandon Castagnin     1.587.089-8    Las Piedras Liceo Nº 2        Admitido
Romina Bentancur      5.295.646-3    Las Piedras Liceo Nº 2        Admitida
Brian Cáceres         5.430.547-0    Las Piedras Liceo Nº 2        Admitido
Mariana Aguilera      5.132.584-3    Las Piedras Liceo Nº 2        Admitida
Joaquín Martinez      5.374.377-7    Las Piedras Liceo Nº 3        Admitido
Melany Silva          4.981.383-6    Las Piedras Liceo Nº 3        Admitida
Nahuel Guillermo      5.006.902-8    Las Piedras Liceo Nº 2        Admitido
Karen Bertti          5.195.071-9    Las Piedras Liceo Nº 3        Admitida
Carlos Missa          4.899.953-4      Liceo 18 de Mayo            Admitido
Kevin Skupnyak        5.452.670-3      Liceo 18 de Mayo            Admitido
Camila Dominguez      4.880.006-2      Liceo 18 de Mayo            Admitida
Rodrigo Viera         4.913.870-8      Liceo 18 de Mayo            Admitido
Agustina Michetti     5.107.527-8      Liceo Canelon Chico         Admitida
Daniela Mantegazza    5.490.325-8     Las Piedras Liceo Nº3       No Admitida
Camila Camacho        5.083.407-3     Las Piedras Liceo Nº3       No Admitida
Betina Veredo         5.429.500-5     Las Piedras Liceo Nº3       No Admitida
Camila Sabani         5.519.192-3     Las Piedras Liceo Nº3       No Admitida
Florencia Gularte     4.993.154-1     Las Piedras Liceo Nº3       No Admitida
Nohely Herrera        5.395.184-0     Las Piedras Liceo Nº3       No Admitida
Kevin Alvez           5.110.128-9     Las Piedras Liceo Nº3       No Admitido
Jessica Samandú       5.387.661-4     Las Piedras Liceo Nº3       No Admitida
Tania Pereira         4.932.426-9   Las Piedras Liceo Nº3   No Admitida
Jessica Rodriguez     5.650.235-5   Las Piedras Liceo Nº3   No Admitida
David Mateos          5.083.329-5   Las Piedras Liceo Nº3   No Admitido
Valeria Artigas       5.156.911-8   Las Piedras Liceo Nº3   No Admitida
Mathias Musetti       4.984.412-4   Las Piedras Liceo Nº3   No Admitido
Marcos Cruz           3.129.929-6   Las Piedras Liceo Nº3   No Admitido
Camila Lenzué         5.404.925-6   Liceo Canelon Chico     No Admitida
Daiana Pereira        5.026.850-9   Liceo Canelon Chico     No Admitida
Lucía Cabrera         5.174.793-6     Liceo 18 de Mayo      No Admitida
Daina Cosa             5.159.853-     Liceo 18 de Mayo      No Admitida
Agustina Viera        4.940.631-6     Liceo 18 de Mayo      No Admitida
Mathías Céspedes      5.170.610-6     Liceo 18 de Mayo      No Admitido
Mariana Torres        5.409.905-0     Liceo 18 de Mayo      No Admitida
Sharon Rodriguez      4.975.757-5     Liceo 18 de Mayo      No Admitida
Cristian Viana        5.148.027-0     Liceo 18 de Mayo      No Admitido
Christian Gastón      5.077.343-3     Liceo 18 de Mayo      No Admitido
Tatiana Veledo        5.423.425-7   Las Piedras Liceo Nº3   No Admitida
Sheila Cáceres        5.076.772-5   Las Piedras Liceo Nº3   No Admitida
Nadia Sánchez         5.097.657-6   Las Piedras Liceo Nº3   No Admitida
Miranda Antelo        5.326.219-4   Las Piedras Liceo Nº3   No Admitida
Alan Rosadilla        5.202.731-3   Las Piedras Liceo Nº3   No Admitido
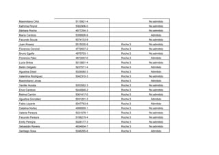
Yamila Cor            5.023.496-8   Las Piedras Liceo Nº4    Admitida
Agustin Belen         5.391.758-5   Las Piedras Liceo Nº4    Admitido
Camila Rodríguez      5.290.831-6   Las Piedras Liceo Nº4    Admitida
Florencia Elichex     5.447.088-7   Las Piedras Liceo Nº4    Admitida
Andrés Fischer        5.164.939-6   Las Piedras Liceo Nº4    Admitido
Sofía Vaz             5.883.107-9   Las Piedras Liceo Nº4    Admitida
Micaela Candini       5.118.504-1   Las Piedras Liceo Nº4    Admitida
Christian Bonchebes   5.390.630-6   Las Piedras Liceo Nº4    Admitido
Bruno Almeida         5.068.175-9   Las Piedras Liceo Nº4   No Admitido
Deborah               5.296.631-9   Las Piedras Liceo Nº4   No Admitida
Sofía Rodríguez          5.426.011-9   Las Piedras Liceo Nº4   No Admitida
Gerardo Silva            5.877.453-4   Las Piedras Liceo Nº4   No Admitido
Virginia Harret          5.097.656-4   Las Piedras Liceo Nº4   No Admitida
Gonzalo Lemos            4.998.770-0   Las Piedras Liceo Nº4   No Admitido
Martin Guidici           5.271.594-6   Las Piedras Liceo Nº4   No Admitido
Maximiliano Leguizamón   5.264.718-9   Las Piedras Liceo Nº4   No Admitido
Kevin Sotelo             5.278.697-9   Las Piedras Liceo Nº4   No Admitido
Brian Bustamante         5.381.296-9   Las Piedras Liceo Nº4   No Admitido
Christian Bustamante     5.407.967-5   Las Piedras Liceo Nº4   No Admitido
Belen Capello            4.995.003-2   Las Piedras Liceo Nº4   No Admitida
Ezequiel Pereira         5.531.901-6   Las Piedras Liceo Nº4   No Admitido
Allison Bustamante       5.381.297-5   Las Piedras Liceo Nº4   No Admitida
Mauro Carrión            5.043.455-8   Las Piedras Liceo Nº4   No Admitido
Matías González          4.937.336-7   Las Piedras Liceo Nº4   No Admitido
Gonzalo Michett          5.052.996-1   Las Piedras Liceo Nº4   No Admitido
Dana Daniel              4.857.564-7   Las Piedras Liceo Nº4   No Admitida
Florencia Sosa           5.025.179-6   Las Piedras Liceo Nº4   No Admitida
Lucero Sosa              5.598.503-7   Las Piedras Liceo Nº4   No Admitida
Florencia Ceballos       9.435.519-6   Las Piedras Liceo Nº4   No Admitida
Sophia Cabrera           4.873.893-6   Las Piedras Liceo Nº4   No Admitida
Lucas Píriz              5.208.792-0   Las Piedras Liceo Nº4   No Admitido
Lucia Capachieba         5.010.890-7   Las Piedras Liceo Nº4   No Admitida
Micaela Iglesias         5.200.540-0   Las Piedras Liceo Nº4   No Admitida
Talhia Acosta            5.411.458-8   Las Piedras Liceo Nº4   No Admitida
Facundo Gómez            5.291.786-9   Las Piedras Liceo Nº4   No Admitido
Camila Delgado           5.365.315-9   Las Piedras Liceo Nº4   No Admitida
Mariana Gonzalez         5.074.117-9   Las Piedras Liceo Nº4   No Admitida
Agustina Gómez           5.003.292-9   Las Piedras Liceo Nº4   No Admitida
Noella Ruiz              5.901.257-0   Las Piedras Liceo Nº4   No Admitida
Isabel Diaz                            Las Piedras Liceo Nº4   No Admitida
Angie Callorda           4.903.943-2   Las Piedras Liceo Nº4   No Admitida
Valentina Cuña               4.984.276-2   Las Piedras Liceo Nº4   No Admitida
Lucía González               5.412.556-3   Las Piedras Liceo Nº4   No Admitida
Kevin Sosa                   5.140.022-5   Las Piedras Liceo Nº4   No Admitido
Stefani Benitez              4.806.509-2   Las Piedras Liceo Nº3   No Admitida
Valeria Pereira              5398.519-7    Las Piedras Liceo Nº3   No Admitida
Brian Ribeiro                4.908.613-9   Las Piedras Liceo Nº3   No Admitido
José Guinea                  5.152.481-5   Las Piedras Liceo Nº3   No Admitido
Nahuel Baquero               5.299.383-3   Las Piedras Liceo Nº3   No Admitido
Micaela Etcheverry           5.381.934-3   Las Piedras Liceo Nº3   No Admitida
Fiorella Muniz               5.343.760-0   Las Piedras Liceo Nº3   No Admitida
Franco Trujillo              5.471.264-3   Las Piedras Liceo Nº2   No Admitido
Camila Santos                5.261.738-4   Las Piedras Liceo Nº2   No Admitida
Lia Díaz                     5.445.956-4   Las Piedras Liceo Nº4   No Admitida
Sofía Hernández               5.433.123    Las Piedras Liceo Nº3   No Admitida
Diana Tejera                 5.301.364-2   Las Piedras Liceo Nº2   No Admitida
Lorena Figalo                5.416.061-2   Las Piedras Liceo Nº3   No Admitida
Melanie Giles                5.107.030-3   Las Piedras Liceo Nº3   No Admitida
Lorena                       5.328.093-3   Las Piedras Liceo Nº3   No Admitida
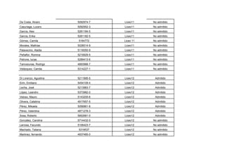
Agustin Robinson             5.667.138-7   Las Piedras Liceo Nº3    Admitido
Paola Rodriguez              5.200.898-5   Las Piedras Liceo Nº3    Admitida
Leandro Saavedra             5.472.978-7   Las Piedras Liceo Nº3    Admitido
Dahiana Machado              5.227.582-5   Las Piedras Liceo Nº3    Admitida
Bryan Ferreiro               4.850.982-4   Las Piedras Liceo Nº3    Admitido
José Pereira                 4.872.116-7   Las Piedras Liceo Nº3    Admitido
Rosita Freire                5.359.734-3   Las Piedras Liceo Nº3    Admitida
Nahuel Delgado                             Las Piedras Liceo Nº3    Admitido
Camila Durán                 5.155.070-5   Las Piedras Liceo Nº3    Admitida
Yamila Rodriguez             5.228.082-3   Las Piedras Liceo Nº3    Admitida

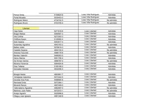
Hernández, Luis Marcos       5.177.288-8      Joaquin Suárez       No Admitido
Luz Cáceres, César Marcelo   5.499.382-9      Joaquin Suárez       No Admitido
Mora González, Emanuel         4.742.545-1       Joaquin Suárez         No Admitido
Romero Gómez, Alejandra        5.080.228-6       Joaquin Suárez          Admitida
Barboza Montero,               5.093.258-8                               Admitida
Ma.Tatiana                                       Joaquin Suárez
Caballero Escamendi, Michel    5.304.628-1       Joaquin Suárez         No Admitida
Da Silva Reina, Deivi          4.819.422-1                              No Admitido
Anthony                                          Joaquin Suárez
Daleiro De Avila, Tamara       5.295.118-4       Joaquin Suárez         No Admitida
Mañana Carbajal, Evelyn        5.117.894-3       Joaquin Suárez         No Admitida
Rodríguez Amarilla, Analía     5.020.392-1       Joaquin Suárez         No Admitida
Vázquez Portillo, Jimena       5.179.231-7       Joaquin Suárez          Admitida
González Viera, Ma. Victoria   4.906.436-2       Joaquin Suárez         No Admitida
Vaz Sosa, Mathías Daniel       5.122.069-7       Joaquin Suárez          Admitido
Beracochea Grampone,           4.930.497-3       Joaquin Suárez          Admitido
Cabrera, María Guadalupe       5.179.219-9       Joaquin Suárez         No Admitida
Colman González, Romina        5.206.503-8       Joaquin Suárez          Admitida
Barreto Da Rosa, Lucía         5.126.290-4       Joaquin Suárez         No Admitida
Zarza Estevez, Sasha           4.688.568-8       Joaquin Suárez         No Admitida
Rufine Veiga, Nazaret          5.064.263-2       Joaquin Suárez         No Admitido

Correa, Abril                  4.913.489-8   Barros Blancos Liceo Nº1   No Admitida
Dos Santos Anthony             5.016.071-5   Barros Blancos Liceo Nº1   No Admitido
Furtado, Lucía                 5.121.252-3   Barros Blancos Liceo Nº1   No Admitida
Jara, Yennifer                 5.402.656-5   Barros Blancos Liceo Nº1    Admitida
Rodríguez, Lucía               5.357.964-6   Barros Blancos Liceo Nº1   No Admitida
Baladan, Dahiana               4.871.481-5   Barros Blancos Liceo Nº1   No Admitida
Carro, Mauro                   4.962.719-8   Barros Blancos Liceo Nº1    Admitido
Fernández, Diana               5.487.019-2   Barros Blancos Liceo Nº1   No Admitida
Porta, Florencia               5.752.234-6   Barros Blancos Liceo Nº1   No Admitida
Lau, Estefani                  5.201.031-2   Barros Blancos Liceo Nº1    Admitida
Marchand, Eliana               5.164.437-4   Barros Blancos Liceo Nº1    Admitida
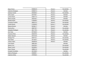
Amaral, Angela         5.028.078-5   Barros Blancos Liceo Nº1    Admitida
Barreiro, Gabriel      5.260.788-6   Barros Blancos Liceo Nº1   No Admitido
Huamani , Roberto      4.884.426-4   Barros Blancos Liceo Nº1   No Admitido
Musto, Mathías         4.959.799-3   Barros Blancos Liceo Nº1   No Admitido
Romero, Alexis         5.079.136-2   Barros Blancos Liceo Nº1   No Admitido
Ferreira, Marcos       4.904.342-1   Barros Blancos Liceo Nº1   No Admitido
Guedes, Bruno          5.411.234-2   Barros Blancos Liceo Nº1   No Admitido
Nuñez, Cristopher      5.622.960-4   Barros Blancos Liceo Nº1    Admitido
Reyes, Valentina       4.956.344-3   Barros Blancos Liceo Nº1    Admitida
Rodríguez, Ana Clara   5.198.633-6   Barros Blancos Liceo Nº1   No Admitida
Salvarrey, Paula       5.108.920-5   Barros Blancos Liceo Nº1    Admitida
Duarte, Sara           4.886.486-2   Barros Blancos Liceo Nº1   No Admitida
Francia, Lucas         4.859.775-4   Barros Blancos Liceo Nº1   No Admitido
Guedes, Nicolás        5.188.962-1   Barros Blancos Liceo Nº1   No Admitido
Rodríguez, Florencia   5.725.229-1   Barros Blancos Liceo Nº1   No Admitida
Delgado, Marta         5.462.571-7   Barros Blancos Liceo Nº1   No Admitida
González, Camila       4.959.871-5   Barros Blancos Liceo Nº1   No Admitida
López, Javier          4.828.929-2   Barros Blancos Liceo Nº1   No Admitido
Soza, Jennifer         5.165.325-4   Barros Blancos Liceo Nº1    Admitida
Franco, Nicolás        4.913.129-4   Barros Blancos Liceo Nº1    Admitido
Correa, Maira          5.670.065-2   Barros Blancos Liceo Nº1    Admitida
Arrascaeta, Delfina    5.533.575-9   Barros Blancos Liceo Nº1   No Admitida
Bermúdez, Yoseline     4.943.502-0   Barros Blancos Liceo Nº1   No Admitida
Correa, Tatiana        5.670.067-4   Barros Blancos Liceo Nº1   No Admitida
Méndez, Brian          5.411.507-1   Barros Blancos Liceo Nº1   No Admitido
Sarrasqueta, Nahia     5.286.618-5   Barros Blancos Liceo Nº1   No Admitida
Vigo, Katherine        5.236.728-6   Barros Blancos Liceo Nº1   No Admitida
Arbelo, Lucía          5.737.029-2   Barros Blancos Liceo Nº1    Admitida
Cañette, Nicolás       5.090.208-4   Barros Blancos Liceo Nº1   No Admitido
Morales, Marcela       4.876.391-3   Barros Blancos Liceo Nº1    Admitida
Rodríguez, Aldana      5.355.919-5   Barros Blancos Liceo Nº1   No Admitida
Sexa, Georgina                4.925.165-6   Barros Blancos Liceo Nº1    Admitida
Arbilla, Dylan                5.391.633-1   Barros Blancos Liceo Nº1    Admitido
Cabeza, Romina                5.670.805-2   Barros Blancos Liceo Nº1   No Admitida
Cartagena, Edgardo            5.131.815-9   Barros Blancos Liceo Nº1    Admitido
Coitinho, Romina              4.921.767-0   Barros Blancos Liceo Nº1    Admitida
Fernández, Rocío              5.224.841-4   Barros Blancos Liceo Nº1   No Admitida
Noguera, Melanie              4.923.062-8   Barros Blancos Liceo Nº1    Admitida
Pereira, Yoseline             4.872.449-8   Barros Blancos Liceo Nº1   No Admitida
Pintos, Camila                5.278.564-6   Barros Blancos Liceo Nº1    Admitida
Pintos, Cristian              5.399.739-1   Barros Blancos Liceo Nº1    Admitido
Sosa, Fernanda                5.752.617-6   Barros Blancos Liceo Nº1   No Admitida
Viera, Natalia                5.155.843-4   Barros Blancos Liceo Nº1   No Admitida
Villalba, Romina              5.372.114-8   Barros Blancos Liceo Nº1   No Admitida
Martínez, Claudio             5.066.296-7   Barros Blancos Liceo Nº1    Admitido
Pons, Rafael                  5.077.528-7   Barros Blancos Liceo Nº1    Admitido
Ramos, Erika                  5.249.169-7   Barros Blancos Liceo Nº1   No Admitida
Aguirre, Jenniffer            5.406.626-6   Barros Blancos Liceo Nº1    Admitida
Toledo, Nicol                 5.092.808-4   Barros Blancos Liceo Nº1    Admitida

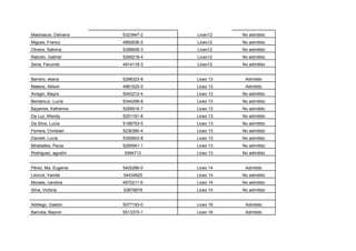
Alves Machado, Maicol David   5.137.682-0       Pando Liceo Nº1         Admitido
Cúnec Cabral, Gisella Inés    5.036.738-1       Pando Liceo Nº1        No Admitida
Garcés Peña, Romina           4.993.650-7       Pando Liceo Nº1        No Admitida
Cartagena, Fernando           5.420.186-4       Pando Liceo Nº1         Admitido
Denis Amado, Lucía Noelia     4.837.542-7       Pando Liceo Nº1        No Admitida
Moreno Calderón, Francisco    5.391.312-5       Pando Liceo Nº1         Admitido
Queiróz Fernández, Patricia   5.148.979-2       Pando Liceo Nº1         Admitida
Correa Bonilla, Camila        5.068.918-1       Pando Liceo Nº1        No Admitida
Caquias Corrales, Agustina    4.892.492-5       Pando Liceo Nº1        No Admitida
Dalto Lemos, Damián           5.084.782-2       Pando Liceo Nº1         Admitido
Gadea Fernández, Oriana       4.974.473-0       Pando Liceo Nº1        No Admitida
Leite Pérez-Ramos, Gabriel    5.031.382-9       Pando Liceo Nº1        No Admitido
Castillos González, Santiago   5.073.769-7   Pando Liceo Nº1    Admitido
González López, María          5.114.145-7   Pando Liceo Nº1   No Admitida
Guillén Casas, Facundo         5.688.141-4   Pando Liceo Nº1    Admitido
Ibáñez Acosta, Lucas           5.135.511-5   Pando Liceo Nº1   No Admitido
Lantes López, Soledad          5.974.675-0                     No Admitida
Karina                                       Pando Liceo Nº1
Mazza Susalla, Mariana         5.148.414-0   Pando Liceo Nº1   No Admitida
Rendo Caetano, Brisa Pilar     5.106.067-3   Pando Liceo Nº1    Admitida
Vieira Carrera, Katia          5.106.479-8   Pando Liceo Nº1   No Admitida
Calderón Correa, Sofía         5.582.146-5   Pando Liceo Nº1   No Admitida
Franco Perdigon, Viviana       5.212.679-7   Pando Liceo Nº1    Admitida
Alonso Azcurra, Sheila         5.045.605-7   Pando Liceo Nº1    Admitida
Moraiti Martínez, Franco       5.277.101-7   Pando Liceo Nº1    Admitido
Pereira Castillo, Laura        4.916.790-2   Pando Liceo Nº1    Admitida
Pérez Martínez, Joaquín        4.993.629-0   Pando Liceo Nº1    Admitido
Cuadro Camargo, Yosselin       5.147.076-5   Pando Liceo Nº1   No Admitida
Huelmo Cestona, Sofía          4.887.677-2   Pando Liceo Nº1    Admitida
Toribio Cabrera, Camila        5.049.396-3   Pando Liceo Nº1    Admitida
Órdenes Treglia, Nicolás       5.039.114-8   Pando Liceo Nº1   No Admitido
Ortega Massafra, Germán        5.481.050-8   Pando Liceo Nº1    Admitido
Alfonso Rodríguez, Milena      5.216.807-6   Pando Liceo Nº1    Admitida
Pereira Ferreira, Lennin       5.158.750-4   Pando Liceo Nº1   No Admitido
Suárez Strazzarino, Natalia    5.155.014-7   Pando Liceo Nº1   No Admitida
Fernández Silvera, Enzo        5.589.454-3   Pando Liceo Nº1   No Admitido
Rodríguez Pérez, Christian     5.069.209-1   Pando Liceo Nº1    Admitido
Vera Núñez, Rocío Solange      5.457.234-8   Pando Liceo Nº1    Admitida
Marichal Lima, Janaina         5.486.730-7   Pando Liceo Nº1   No Admitida
Valdez Guerra, Braian          5.047.483-9   Pando Liceo Nº1    Admitido
Leiros Rodríguez, Guillermo    5.031.057-6   Pando Liceo Nº1    Admitido
Machado, Florencia             5.283.682-9   Pando Liceo Nº1    Admitida
Pintado Gallo, Rafael Javier   5.369.485-4   Pando Liceo Nº1   No Admitido
Zabaleta, Belén             4.872.504-4     Pando Liceo Nº1       Admitida
González Barboza, Héctor    4.873.990-2     Pando Liceo Nº1      No Admitido
Melo Cardozo, Joaquín       5.162.440-3     Pando Liceo Nº1       Admitido
Garín Amarillo, Romina      5.005.738-2     Pando Liceo Nº1       Admitida
Labandera Delgado, Camila   5.031.477-6     Pando Liceo Nº1      No Admitida
Darriulat, Tatiana          5.139.297-7     Pando Liceo Nº1       Admitida
Olivera, Ana Valeria        5.494.187-6     Pando Liceo Nº1       Admitida
Pesce, Karina               3.495.725-3     Pando Liceo Nº1       Admitida
Valdez, Sandra              3.991.281-4     Pando Liceo Nº1      No Admitida
Muñoz, Irina                5.151.087-2     Pando Liceo Nº1       Admitida

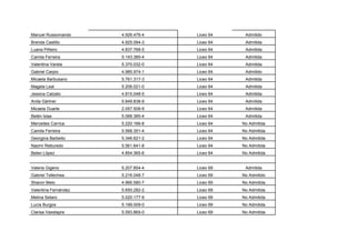
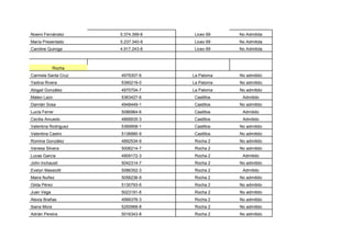
           Colonia
Narela Colmán               5.046.363-8   Liceo Nueva Helvecia    Admitida
Verónica Deleón             4.999.935-3   Liceo Nueva Helvecia    Admitida
Delfina Guirrin             4.921.235-7   Liceo Nueva Helvecia    Admitida
Joana Gutierrez             5.054.306-0   Liceo Nueva Helvecia    Admitida
Malena Gutierrez            4.965.623-4   Liceo Nueva Helvecia    Admitida
Rocio Harreguy              4.879.902-9   Liceo Nueva Helvecia    Admitida
Melanie Kardos              5.229.164-3   Liceo Nueva Helvecia    Admitida
Alexia Manzolido            5.077.058-8   Liceo Nueva Helvecia   No Admitida
Melisa Montero              5.414.208-4   Liceo Nueva Helvecia    Admitida
Constanza Nollenberger      5.229.386-7   Liceo Nueva Helvecia    Admitida
Luciana Rivero              5.590.179-0   Liceo Nueva Helvecia    Admitida
Flavia Rodríguez            5.156.613-8   Liceo Nueva Helvecia    Admitida
Lucila Rodriguez            5.236.654-8   Liceo Nueva Helvecia    Admitida
Agustina Safer              5.018.155-5   Liceo Nueva Helvecia    Admitida
Valeria Velazquez           4.915.490-7   Liceo Nueva Helvecia    Admitida
Micaela Zerpa               5.319.412-7   Liceo Nueva Helvecia    Admitida
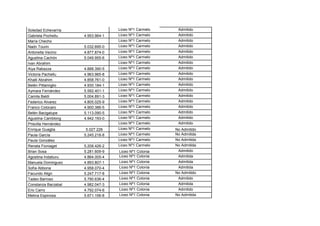
Sabrina Kid                 5.126.738-0    Liceo Nº1 Carmelo      Admitido
María Carro                 5.537.070-4    Liceo Nº1 Carmelo      Admitido
Ana Paula Falfaro                          Liceo Nº1 Carmelo      Admitido
Soledad Echevarría                  Liceo Nº1 Carmelo    Admitido
Gabriela Pochellu     4.953.964-1   Liceo Nº1 Carmelo    Admitido
María Checho                        Liceo Nº1 Carmelo    Admitido
Nadn Tourin           5.032.695-0   Liceo Nº1 Carmelo    Admitido
Antonella Vecino      4.877.874-0   Liceo Nº1 Carmelo    Admitido
Agustina Cachón       5.049.955-6   Liceo Nº1 Carmelo    Admitido
Ivan Abrahim                        Liceo Nº1 Carmelo    Admitido
Aiya Rabazza          4.888.390-5   Liceo Nº1 Carmelo    Admitido
Victoria Pachellu     4.963.965-8   Liceo Nº1 Carmelo    Admitido
Khalil Abrahim        4.858.761-0   Liceo Nº1 Carmelo    Admitido
Belén Pittamiglio     4.930.184-1   Liceo Nº1 Carmelo    Admitido
Aymara Fernández      5.592.401-1   Liceo Nº1 Carmelo    Admitido
Camila Baldi          5.004.891-3   Liceo Nº1 Carmelo    Admitido
Federico Alvarez      4.805.025-9   Liceo Nº1 Carmelo    Admitido
Franco Colocaro       4.900.386-5   Liceo Nº1 Carmelo    Admitido
Belén Bacigalupe      5.113.090-5   Liceo Nº1 Carmelo    Admitido
Agustina Camblong     4.942.193-0   Liceo Nº1 Carmelo    Admitido
Priscilla Hernández                 Liceo Nº1 Carmelo    Admitido
Enrique Guaglia        5.027.226    Liceo Nº1 Carmelo   No Admitido
Paula García          5.245.218-8   Liceo Nº1 Carmelo   No Admitida
Paula González                      Liceo Nº1 Carmelo   No Admitida
Renata Fioniaget      5.208.426-2   Liceo Nº1 Carmelo   No Admitida
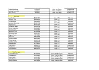
Brian Sosa            5.281.609-9   Liceo Nº1 Colonia    Admitido
Agostina Indaburu     4.864.005-4   Liceo Nº1 Colonia    Admitida
Manuela Dominguez     4.893.807-1   Liceo Nº1 Colonia    Admitida
Sofía Abbona          4.958.070-4   Liceo Nº1 Colonia    Admitida
Facundo Align         5.247.717-8   Liceo Nº1 Colonia   No Admitido
Tadeo Barroso         5.790.636-4   Liceo Nº1 Colonia    Admitido
Constanza Barzabal    4.982.047-3   Liceo Nº1 Colonia    Admitida
Eric Carro            4.792.074-6   Liceo Nº1 Colonia    Admitido
Melina Espinosa       5.671.156-8   Liceo Nº1 Colonia   No Admitida
Michelle Green           4.872.777-9   Liceo Nº1 Colonia    Admitida
Micaela Hernández        4.864.545-2   Liceo Nº1 Colonia    Admitida
Belen Leal               4.888.208-6   Liceo Nº1 Colonia    Admitida
Gimena López             5.331.703-8   Liceo Nº1 Colonia    Admitida
Valentina Melo           5.450.050-9   Liceo Nº1 Colonia    Admitida
Facundo Mendez Artigas   5.418.646-8   Liceo Nº1 Colonia   No Admitido
Yosselyn Musselli        5.104.463-9   Liceo Nº1 Colonia    Admitida
Leandro Osorio           5.030.256-5   Liceo Nº1 Colonia   No Admitido
Santiago Outerelo        4.861.141-3   Liceo Nº1 Colonia   No Admitido
Camila Reimondez         5.292.155-5   Liceo Nº1 Colonia   No Admitida
Angeles Suárez           5.285.831-2   Liceo Nº1 Colonia    Admitida
Paula Techera            5.047.492-0   Liceo Nº1 Colonia     Admitida
         Juan Lacaze
Juri Delgado             5004790-3      Juan Lacaze 1       Admitido
Eliana Falcón            4897601-0      Juan Lacaze 1      No admitido
Nicole Schenk            5698842-0      Juan Lacaze 1       Admitido
Micaela Díaz             4998377-6      Juan Lacaze 1       Admitido
Francisco Jourdán        5053746-1      Juan Lacaze 1      No admitido
David Fernández          5255426-3      Juan Lacaze 1       Admitido
Martina Suhr             5276734-7      Juan Lacaze 1       Admitido
Álvaro Silva             5147473-3      Juan Lacaze 1       Admitido
Karen Quiabazzas         5159516-1      Juan Lacaze 1       Admitido
Daiana González          5094636-1      Juan Lacaze 1       Admitido
Magdalena Martero        4892451-1      Juan Lacaze 1       Admitido
Ileana Madero            4928045-7      Juan Lacaze 1       Admitido
Marina Bentancor         4863335-4      Juan Lacaze 1       Admitido
Agustín Scaler           5251959-0      Juan Lacaze 1       Admitido
Daiana Buffa             4878226-0      Juan Lacaze 1      No admitido
Diego Tafernnberry       5256781-0      Juan Lacaze 1       Admitido
Valentina Bardacosta     53877642-4     Juan Lacaze 1      No admitido
Alan Rivero              5269137-8      Juan Lacaze 1      No admitido
Eliana Silva          5057186-7   Juan Lacaze 1    Admitido
Juan Álvarez          5216557-9   Juan Lacaze 1   No admitido
Oscar Rodas           5437967-1   Juan Lacaze 1   No admitido
Isaías Villalba       5323713-9   Juan Lacaze 1    Admitido
Tomás Nero            5654882-8   Juan Lacaze 1    Admitido
Victoria Galván       5030232-7   Juan Lacaze 1    Admitido
Pablo Medero          4867732-4   Juan Lacaze 1    Admitido
Daiana Bichi          4813572-2   Juan Lacaze 1   No admitido
Pablo Velázquez       5612206-8   Juan Lacaze 1    Admitido
Romina López          5256497-1   Juan Lacaze 1    Admitido
Jeremías Olmando      4839607-9   Juan Lacaze 1   No admitido
Yennifer López        5096439-7   Juan Lacaze 1    Admitido
Agustín Pisu          4898789-0   Juan Lacaze 1   No admitido
Anyeelen Cuayatto     5027654-8   Juan Lacaze 1    Admitido
          Maldonado
Lorena Correa         5195990-3      Liceo 2       Admitido
Lucía Umpierrez       5066383-6      Liceo 2      No Admitido
Yoana Ximeno          5003999-2      Liceo 2      No Admitido
Luciana Pérez         4934081-1      Liceo 2       Admitido
Angela Pintos         4906022-5      Liceo 2       Admitido
Eduardo Aquistapace   5723097-5      Liceo 2       Admitido
Florencia Leal        5362131-2      Liceo 2       Admitido
Camila Alvarez        5114616-2      Liceo 2       Admitido
Lucrecia Da Rosa      5441083-9      Liceo 2      No Admitido
Camila Manfredi       4922925-1      Liceo 2      No Admitido
Camila Larrosa        5497153-0      Liceo 2       Admitido

Agustina Madeiro      4913954-7      Liceo 3       Admitido
Gustavo Ferreira      5139278-9      Liceo 3       Admitido

Ignacio Sosa          5163325-8      Liceo 5      No Admitido
Belén Díaz            4795442-8           Liceo 5          No Admitido
Sabrina Montiel       5147460-8           Liceo 5          No Admitido
Sasha Durán           5034985-0           Liceo 5            Admitido
Luciana Almada        5455951-6           Liceo 5          No Admitido
Adriana Da Rosa       5100782-7           Liceo 5            Admitido
Ma. José Lanz         5074598-7           Liceo 5            Admitido
Martín Barrios        5105412-1           Liceo 5            Admitido
Camila Silveira       4823538-2           Liceo 5            Admitido
Sasha Rodriguez       5016631-1           Liceo 5   Admitido
Luna Ferrizzo         4804483-2           Liceo 5   Admitido
Kevin Gutierrez       4735794-5           Liceo 5   No Admitido
Luciana Castro        5048928-0           Liceo 5   No Admitido
Lucía González        5006294-3           Liceo 5   Admitido
Bárbara Berocay       5457190-2           Liceo 5   No Admitido
Natalia Costa         5064057-2           Liceo 5   Admitido
Magalí Golfarini      5022527-6           Liceo 5   Admitido
Lucas Vignoli         4934865-3           Liceo 5   No Admitido
Camila Llerena        5057309-7           Liceo 5   Admitido
Lucía Guillén         5389551-7           Liceo 5   Admitido
Sofía Pereyra         4877565-7           Liceo 5   Admitido
Melissa Morales       5247860-5           Liceo 5   No Admitido
         Montevideo


Biurra, Federico                  5297092-6                  Liceo 1      Admitido
Charbonnier, Vera                 5104403-7                  Liceo 1      Admitida
Mañay, Abigail                    5630856-5                  Liceo 1      Admitida
Carbonell, Camila                 5103965-8                  Liceo 1      Admitida
Iturriaga,Valentina               5236393-9                  Liceo 1     No admitida
Martinez, Iván                    4864186-0                  Liceo 1     No admitido
Alvez, felipe         4973404-4   Liceo 5    Admitido
De Armas, Facundo     5138508-9   Liceo 5    Admitido
Galione, Caetano      4811232     Liceo 5    Admitido
Lássaro, Agustina     5411220-1   Liceo 5    Admitido
Milano, Joaqín        5401070-6   Liceo 5    Admitido
Pignataro, Franco     5393605-4   Liceo 5    Admitido
Silva, alina          5180995-8   Liceo 5    Admitido
Zerpa, Valeria        4955183-4   Liceo 5    Admitido
González, Oriana      5002889     Liceo 5   No admitida
Lagazeta, Belén       4928585-5   Liceo 5   No admitido


Alvez, Carmen         5055413-4   Liceo7     Admitido
Bon, Victoria         5056651-3   Liceo7     Admitido
Baltierra, Renata     4962140-1   Liceo7     Admitido
Callejas, Sebastián   5102158-4   Liceo7     Admitido
Cord3ero, Sabrina     5127610-7   Liceo7    No admitida
Corbacho, Bruno       5232243-8   Liceo7     Admitido
De rosa, Micaela      5425375-4   Liceo7     Admitido
Galeano, María        5254103-6   Liceo7    No admitida
Grillo, Lucía         4884946-8   Liceo7     Admitido
Maturell, Rodrigo     5183143-6   Liceo7     Admitido
Méndez, Valentín      50824230    Liceo7     Admitido
Ramos, Gonzalo        5124371-4   Liceo7    No admitido
Rampa, Mariana        5071216-3   Liceo7     Admitido
Recarcy, Martina                   5213792-6           Liceo7      Admitido
Rodriguez, Bryan                   48972483            Liceo7      Admitido
Román, Camila                      5261621-1           Liceo7      Admitido


Rodellia, Bianca                   5765809-0           Liceo 8    No admitida
Antunez, Lucía                     5016768-9           Liceo 8    No admitica
Bueno, María                       4841346-7           Liceo 8     Admitida
Dutra Johana                       5044090-3           Liceo 8     Admitida
Martinez, Gimena                   5077924-9           Liceo 8    No admitida
Montes, Nahuel                     5118654-0           Liceo 8     Admitido
Negreira, María                    5353743-6           Liceo 8    No admitida
Pouso, Fabrizio                    5076417-7           Liceo 8     Admitido


Bentancur, Agustina                4817514-4           Liceo11     Admitido
Costa, Rodrigo                     4990126-3           Liceo11     Admitido
González, Daiana                   5043960-5           Liceo11     Admitido
Loaces, Florencia                  5234362-6           Liceo11     Admitido
Obenaguer, Melanie                 5623170-2           Liceo11     Admitido
Risotto, Giuliana                  5180636-8           Liceo11     Admitido
                      Rosa,Diego         5.074.985-8   Liceo 11      Admitido
Vázquez, Katherine                 4968990-6           Liceo11     Admitido
Vildos, Paz                        5720709-3           Liceo11     Admitido
Anselmi, Diego                     5485631-6           Liceo11    No admitido
Arismendi, Malena                  5186745-7           Liceo11    No admitido
Blanco, Nicolás                    5193712-5           Liceo11    No admitido
Da Costa, Alvaro       5092974-7   Liceo11    No admitido
Casuriaga, Lucero      5092952-3   Liceo11    No admitido
García, Alex           5281184-5   Liceo11    No admitido
García, Erika          5281182-5   Liceo11    No admitido
Gómez, Camila          5164772     Liceo 11   No admitido
Morales, Mathías       5028014-9   Liceo11    No admitido
Palavecino, Aladia     5116050-9   Liceo11    No admitido
Peñaflor, Romina       5219929-5   Liceo11    No admitido
Petrone, lucas         5289413-6   Liceo11    No admitido
Tamosiunas, Rodrigo    4893988-7   Liceo11    No admitido
Velázquez, Camila      5314227-1   Liceo11    No admitido


Di Lorenzo, Agustina   5211995-5   Liceo12     Admitido
Eirin, Emiliano        5454109-4   Liceo12     Admitido
Lecha, José            5213983-7   Liceo12     Admitido
López, Leandro         5373982-0   Liceo12     Admitido
Veloso, Mauro          5143205-6   Liceo12     Admitido
Olivera, Cataliina     4917657-5   Liceo12     Admitido
Pérez, Mikaela         5056861-8   Liceo12     Admitido
Pérez, Valentina       4871278-3   Liceo12     Admitido
Sosa, Roberto          5852681-0   Liceo12     Admitido
González, Carolina     5714432-0   Liceo12    No admitido
Larrosa, Facundo       5106423-7   Liceo12    No admitido
Machado, Tatiana       5319537     Liceo12    No admitido
Martinez, fernando     4937485-0   Liceo12    No admitido
Mastrasusi, Dahiana   5323947-2   Liceo12    No admitido
Migues, Franco        4892636-5   Liceo12    No admitido
Olivera, Sabrina      5388606-3   Liceo12    No admitido
Rebollo, Gabriel      5269218-4   Liceo12    No admitido
Sena, Facundo         4914118-3   Liceo12    No admitido


Barrero, eliana       5298323-8   Liceo 13    Admitido
Mateos, Allison       4961520-0   Liceo 13    Admitido
Arregin, Mayra        5043212-4   Liceo 13   No admitido
Bentancur, Lucía      5344299-8   Liceo 13   No admitido
Bayarres, Katherine   5268916-7   Liceo 13   No admitido
Da Luz, Wendy         5251191-8   Liceo 13   No admitido
Da Silva, Lucía       5189753-5   Liceo 13   No admitido
Ferrera, Christian    5236380-4   Liceo 13   No admitido
Danielli, Lucía       5355803-8   Liceo 13   No admitido
Miraballes, Paula     5269941-1   Liceo 13   No admitido
Rodriguez, agustín    5594713     Liceo 13   No admitido


Pérez, Ma. Eugenia    5400266-0   Liceo 14    Admitido
Lliorcol, Yamila      54434825    Liceo 14   No admitido
Moraes, carolina      4970211-6   Liceo 14   No admitido
Silva, Victoria       53676878    Liceo 14   No admitido


Addiego, Gastón       5077193-0   Liceo 16    Admitido
Barrutia, Bayron      5513375-1   Liceo 16    Admitido
Carrica, Ignacio      5271407-7   Liceo 16    Admitido
Castro, Luahna        5012454-3   Liceo 16    Admitido
Guichon, Lucía        4998495-2   Liceo 16    Admitido
López, Carolina       5367688-4   Liceo 16    Admitido
Méndez, Carolina      5233643-7   Liceo 16    Admitido
Polero, Matías        5131193-4   Liceo 16    Admitido
Robert, Micaela       5112499-2   Liceo 16    Admitido
Aguerre, Victoria     5548037-0   Liceo 16   No admitido
Casa, Alan            5054487-5   Liceo 16   No admitido
Da Silva, Christian   4882861-6   Liceo 16   No admitido
Gómez, Lucía          4971705-6   Liceo 16   No admitido
Rwy, Dahiana          5606086-6   Liceo 16   No admitido
Rodriguez, Pierina    4891738-8   Liceo 16   No admitido
Urbane, Tatiana       57871412    Liceo 16   No admitido


Andrada, Tania        5081567-3   Liceo 17    Admitido
Curbelo, Rocío        5075295-0   Liceo 17    Admitido
Martinez, Samuel      5956704-5   Liceo 17    Admitido
Ogali, Bruno          5267733-3   Liceo 17    Admitido
Patron, Agustina      5054044-4   Liceo 17    Admitido
Rangel, Mikaela       5239625-3   Liceo 17    Admitido
Vique, Sasha          4855914-2   Liceo 17    Admitido
Costa, Federico       5132618-2   Liceo 17    Admitido
Flores, Mikaela       525715--6   Liceo 17    Admitido
Rojas, Agustina       4953239-3   Liceo 17   No admitido
Carrera, Cristian     5279913-4     Liceo 17   No admitido
Techera, Virginia     4938276-4     Liceo 17   No admitido
Durán, Sofía                        Liceo 17   No admitido
Correa, Mikaela       5090667-6     Liceo 17   No admitido




Mariana Castiglioni   5.264.277-5   Liceo 18    Admitido
Juan Gasparik         5.376.726-3   Liceo 18    Admitido
María Franco          4.792.393-6   Liceo 18    Admitido
Agustín Bollazzi      5.182.351-6   Liceo 18    Admitido
Melany Duarte         4.981.824-0   Liceo 18    Admitido
Paola Nuñez           5.199.480-8   Liceo 18   No Admitido
Helena Pacitazoglio   5.586.956-4   Liceo 18   No Admitido


Micaela Arias         4.849.999-8   Liceo 20    Admitido
Leticia Aldama        4.987.247-2   Liceo 20    Admitida
Santiago García       4.843.869-3   Liceo 20   No Admitido
Diana Hernández       5.074.948-5   Liceo 20   No Admitida
Romina Martusciello   5.583.044-5   Liceo 20   No Admitida
Carlos Bobadilla      4.902.614-2   Liceo 20   No Admitido
Roxana Brust          5.265.898-0   Liceo 20   No Admitida
Pablo Villas          4.920.225-4   Liceo 20   No Admitido
Lucía Del Pó          5.495.932-0   Liceo 20   No Admitida
Fabiana Villar        4.929.269-6   Liceo 20   No Admitida
Yuber Duarte          5.136.932-1   Liceo 20   No Admitido
Leslie Castro              5.268.801-6   Liceo 23    Admitida
Franco Cammarota           5.393.911-9   Liceo 23    Admitido
Juan Manuel Piante         5.080.002-8   Liceo 23    Admitido
Bettina Méndez Lamberti    5.425.729-9   Liceo 23    Admitida
Brenda Reyes               5.521.876-9   Liceo 23    Admitida
Tatiana Qusada Menéndez    5.266.862-9   Liceo 23    Admitida
Victoria Tardi             4.955.593-7   Liceo 23    Admitida
Florencia Miranda          4.870.908-8   Liceo 23    Admitida
Elianne Saldivia           5.157.354-3   Liceo 23   No Admitida


Matías Rodriguez Freitas   4.945.449-2   Liceo 24   No Admitido


Florencia Vera             5.260.305-    Liceo 29    Admitida
Francisco Chiesa           5.471.857-0   Liceo 29    Admitida
Catherine Collazo          5.100.891-2   Liceo 29    Admitida
Giovana Guillen            5.276.875-5   Liceo 29    Admitida
Mariela Cavani             5.219.153-8   Liceo 29    Admitida
Marianela Vázquez          5.256.676-9   Liceo 29    Admitida
Lucas Sierra               5.308.287-8   Liceo 29    Admitido
Romina Talarico            5.333.779-1   Liceo 29    Admitida
Agusttina Uranga           5.146.525-1   Liceo 29    Admitida
Micaela Bern Cuartas       4.338.111-7   Liceo 29    Admitida
Martina Baguato            5.107.024-0   Liceo 29   No Admitida
Belén Amorin               5.470.747-6   Liceo 29   No Admitida
Sofía Talarico          5.333.742-6   Liceo 29   No Admitida
Sofía Victoria Batto    5.178.533-8   Liceo 29   No Admitida
Iara Platti             4.904.192-2   Liceo 29   No Admitida


Lucas Dondán            4.860.662-0   Liceo 30    Admitido
Vanessa de los Santos   5.181.445-3   Liceo 30    Admitida
Aymara Cardozo          5.163.952-5   Liceo 30   No Admitida
Tara Bralich            4.925.974-9   Liceo 30   No Admitida
Camila Marenco          5.117.163-8   Liceo 30   No Admitida
Matías Fuentes          5.041.685-0   Liceo 30   No Admitido
Paula Méndez            5.216.963-8   Liceo 30   No Admitida


Agustina Roig           5.488.557-1   Liceo 31    Admitida
Daiana Rodriguez        5.608.954-5   Liceo 31   No Admitida


Ramirez, Victoria       4969151-5     Liceo 32    Admitido
Bairú, Oriana           5440162-4     Liceo 32   No Admitido
Baladón, Maximiliano    5029855-8     Liceo 32   No Admitido
Berniger, Luana         5352304-5     Liceo 32   No Admitido
Moreira, Gabriela       5160480-5     Liceo 32   No Admitido
Niñez, Sasha            5174200-1     Liceo 32   No Admitido


Figueroa,Florencia      4912934-0     Liceo 37    Admitido
Lorenzo, Laura          5012415-9     Liceo 37    Admitido
Velazco, Camila         5197177-5     Liceo 37    Admitido
Devita, Facundo       5135417-7   Liceo 37   No admitido
Villa, Facundo        4876589-2   Liceo 37   No admitido


Ambrosi, Valeria      5171457-1   Liceo 38    Admitido
Allende, Malena       4942850-2   Liceo 38    Admitido
Brun, Walter          5142681-1   Liceo 38    Admitido
García, Sol           5087718-0   Liceo 38    Admitido
Gerpe, Paula          5246647-2   Liceo 38    Admitido
Pajares, Florencia    5163100-6   Liceo 38    Admitido
Caimi, Belén          5502784-4   Liceo 38   No admitido
De Armas, Romina      5126337-8   Liceo 38   No admitido
Fleitas, Federico     5018656-1   Liceo 38   No admitido
Maldonado, Federico   5427339-6   Liceo 38   No admitido
Goncalvez, Micaela    5815695-2   Liceo 38   No admitido
Molina, Brandon       5057460-9   Liceo 38   No admitido
Montero, Ihara        5126340-3   Liceo 38   No admitido
Perez, Lucía          4969252-5   Liceo 38   No admitido
Suanes, Federico      4860833-3   Liceo 38   No admitido
Soria, Caterine       5381677-5   Liceo 38   No admitido
Viera, Silvia         5336537-0   Liceo 38   No admitido
Acosta, Magela        5610074-1   Liceo 38   No admitido


Alvez, belén          4848095-3   Liceo 41    Admitido
Scigliano,Lucero      4962349-3   Liceo 41    Admitido
Cabrera, Enzo         508140-6    Liceo 41   No admitido
Di Stefano, Florencia   5633612-4     Liceo 41   No admitido
Ramilo, Kimberly        5974533-5     Liceo 41   No admitido


Oriana Madruga          5.159.450-9   Liceo 42    Admitida
Marykena Soca           5.087.972-4   Liceo 42    Admitida
Melina Trota            5.217.531-2   Liceo 42    Admitida
Andrés Reyes            4.858.639-9   Liceo 42    Admitido
Ana Penna               4.991.776-5   Liceo 42   No Admitida
Yanila Rondán           5.464.478-1   Liceo 42   No Admitida


Nancy Casufiaga         5.107.595-5   Liceo 43    Admitida
Alexander Zavaguzo      5.289.944-3   Liceo 43    Admitido
Agustina Faviora        5.238.223-2   Liceo 43    Admitida
Mathías Canaveris       5.365.117-3   Liceo 43    Admitido
Emilia Saibene          5.379.861-4   Liceo 43   No Admitida


Cyan Silva              5.141.829-2   Liceo 53    Admitida
Nicol Cedrés            5.257.784-1   Liceo 53    Admitida
Natalia Laimana         5.209.323-0   Liceo 53    Admitida
María José Rivero       5.227.899-0   Liceo 53   No Admitida
Ana Landabure           5.137.028-0   Liceo 53   No Admitida
Ignacio Correa          5.105.157-7   Liceo 53   No Admitido


Pilar Chocho            5.167.957-7   Liceo 54    Admitida
Lorena Camacho          5.047.052-6   Liceo 54   No Admitida
Florencia Alvarez              5.623.277-2   Liceo 55    Admitida
Sofía Balsamao                 5.107.091-1   Liceo 55    Admitida
Luana Baquet                   5.252.915-1   Liceo 55    Admitida
Dana bentancor                 4.859.899-6   Liceo 55    Admitida
Katheryn Cardozo               5.646.206-2   Liceo 55   No Admitida
Sofía Castro                   4.892.179-1   Liceo 55   No Admitida


Malena Maya                    4.982.538-0   Liceo 56   No Admitida


Valery Morales                 4.924.527-3   Liceo 57    Admitida
Lucía Posse                    5.108.060-7   Liceo 57    Admitida
Lucía Arballo                  5.265.219-2   Liceo 57    Admitida

                                             Liceo 59    Admitido
Guillermo González             5.193.530-9
                                             Liceo 59    Admitida
Leslie Rusano                  5.203.574-4
Emiliano Pérez                 4.929.630-7   Liceo 59    Admitida
Sofía Milagros Gea de Vylele   5.612.165-0   Liceo 59    Admitida
Mariana Santana                5.278.570-9   Liceo 59   No Admitida
Daniel Conte                   5.459.881-5   Liceo 59   No Admitida
Micaela Corra                  4.922.979-0   Liceo 59   No Admitida


                                             Liceo 64    Admitida
Catherine Celada               4.925.608-2
                                             Liceo 64    Admitida
Noelia Lerena                  4.888.280-
                                             Liceo 64    Admitida
Camila Acosta                  5.150.758-2
Manuel Russomando     4.926.476-4   Liceo 64    Admitido
Brenda Castillo       4.925.094-3   Liceo 64    Admitida
Luana Piñeiro         4.837.768-5   Liceo 64    Admitida
Camila Ferreira       5.143.385-4   Liceo 64    Admitida
Valentina Varela      5.370.032-0   Liceo 64    Admitida
Gabriel Carpio        4.985.974-1   Liceo 64    Admitido
Micaela Barbusano     5.761.317-3   Liceo 64    Admitida
Magela Leal           5.206.021-0   Liceo 64    Admitida
Jessica Calzato       4.815.048-5   Liceo 64    Admitida
Anita Gärtner         5.849.838-9   Liceo 64    Admitida
Micaela Duarte        2.057.508-9   Liceo 64    Admitida
Belén Islas           5.068.385-4   Liceo 64    Admitida
Mercedes Carrica      5.220.166-8   Liceo 64   No Admitida
Camila Ferreira       5.568.351-4   Liceo 64   No Admitida
Georgina Barbeito     5.346.621-2   Liceo 64   No Admitida
Naomí Reburedo        5.561.641-8   Liceo 64   No Admitida
Belen López           4.854.365-6   Liceo 64   No Admitida


Valeria Gigeno        5.207.854-4   Liceo 69    Admitida
Gabriel Tellechea     5.216.048-7   Liceo 69   No Admitido
Sharon Melo           4.966.580-7   Liceo 69   No Admitida
Valentina Fernández   5.650.282-2   Liceo 69   No Admitida
Melina Setaro         5.020.177-9   Liceo 69   No Admitida
Lucía Burgos          5.199.009-0   Liceo 69   No Admitida
Clarisa Vaxelapre     5.593.869-0   Liceo 69   No Admitida
Noemi Fernández       5.374.399-8   Liceo 69    No Admitida
María Presentado      5.237.340-9   Liceo 69    No Admitida
Caroline Quiroga      4.917.243-8   Liceo 69    No Admitida



             Rocha
Carmela Santa Cruz    4979307-6     La Paloma   No admitido
Yadina Rivera         5390219-0     La Paloma   No admitido
Abigail González      4970704-7     La Paloma   No admitido
Mateo Lazo            5363427-6     Castillos    Admitido
Damián Sosa           4948449-1     Castillos   No admitido
Lucía Ferrer          5086964-6     Castillos    Admitido
Cecilia Amuedo        4868935-3     Castillos    Admitido
Valentina Rodriguez   5369958-1     Castillos   No admitido
Valentina Castro      5138880-9     Castillos   No admitido
Romina González       4892534-9      Rocha 2    No admitido
Vanesa Silvera        5006214-7      Rocha 2    No admitido
Lucas García          4909172-3      Rocha 2     Admitido
John Inchausti        5042314-7      Rocha 2    No admitido
Evelyn Massiotti      5086352-3      Rocha 2     Admitido
Maira Nuñez           5058236-9     Rocha 2     No admitido
Gilda Pérez           5130793-6      Rocha 2    No admitido
Juan Vega             5023191-6      Rocha 2    No admitido
Alexia Brañas         4999376-3      Rocha 2    No admitido
Ibana Mora            5250968-8      Rocha 2    No admitido
Adrián Pereira        5016343-8      Rocha 2    No admitido
Mayra Rivero          5008642-8   Rocha 2   No admitido
Valentine Rodriguez   5456481-0   Rocha 2    Admitido
Dahiana Vicente       5005508-2   Rocha 2   No admitido
Sofía Cabral          5073705-1   Rocha 2    Admitido
Lorena Peyrot         5329171-3   Rocha 2    Admitido
Marcos Acosta         5020792-7   Rocha 2    Admitido
Micaela Núñez         5156556-0   Rocha 2   No admitido
Fernanda Prudente     4856161-0   Rocha 2   No admitido
Cecilia Ravera        5193549-0   Rocha 2   No admitido
Melanie Moreira       5203841-7   Rocha 2    Admitido
Romina Brun           4884735-7   Rocha 2   No admitido
Sebastián Rodriguez   4821179-4   Rocha 2   No admitido
Aom Sosa              5573492-9   Rocha 2    Admitido
Florencia Pérez       5004079-5   Rocha 2   No admitido
Nataly Vázquez        5047419-6   Rocha 2    Admitido
Rodrigo Píriz         5367773-1   Rocha 2   No admitido
Raúl Núñez            4914363-7   Rocha 2   No admitido
Johana Tejera         5005654-8   Rocha 2    Admitido
Lara Alvarez          4989128-0              Admitido
Ignacio Cruz          5034780-2             No admitido
Braian Cuomo          5533626-4             No admitido
Karen Chaves          4998914-0             No admitido
Erneesto Fernández    4941928-0              Admitido
Sabrina Rodriguez     5056590-1             No admitido
Valentina Núñez       4787509-0             No admitido
Maximiliano Ortiz     5115921-4             No admitido
Kathrina Peyrot       5062906-0             No admitido
Bárbara Rocha         4977254-3             No admitido
María Cardozo         5359926-6              Admitido
Facundo Souza         5074133-9             No admitido
Juan Alvarez          5015030-8   Rocha 3   No admitido
Florencia Coronel     4772537-2   Rocha 3   No admitido
Bruno Egaña           4970703-1   Rocha 3   No admitido
Florencia Páez        4873057-0   Rocha 3    Admitido
Lucía Britos          5013851-4   Rocha 3   No admitido
Belén Delgado         5237571-4   Rocha 3    Admitido
Agustina Disiot       5029060-3   Rocha 3    Admitido
Valentina Rodriguez   5042310-3   Rocha 3   No admitido
Maximiliano Leivas                Rocha 3    Admitido
Yenifer Acosta        5053562-3   Rocha 3   No admitido
Enzo Cardozo          5444848-2   Rocha 3   No admitido
Melina Carrión        5061417-0   Rocha 3   No admitido
Agustina González     5031201-3   Rocha 3    Admitido
Fabio Loyarte         5047793-8   Rocha 3    Admitido
Catalina Núñez        4999959-1   Rocha 3   No admitido
Valeria Pereyra       5031578-1   Rocha 3   No admitido
Facundo Pereyra       5106215-4   Rocha 3   No admitido
Emily Pereyra         5028177-3   Rocha 3   No admitido
Sebastián Ravera      4934604-7   Rocha 3   No admitido
Santiago Sosa         5046265-6   Rocha 3    Admitido
Natalia Vaga           5034525-2          Rocha 3            No admitido
Luciana Bentancort     5015036-4          Rocha 3        Admitido
Ruben Granero          4890116-5          Rocha 3            No admitido
Tatiana Olivera        5012134-7          Rocha 3        Admitido
Agustina Rodríguez     4982108-5          Rocha 3            No admitido
Jimena Vicente         5064232-5          Rocha 3            No admitido
Indiana Dos Santos     4840237-9          Rocha 3             Admitido
Matías Revetria        5354699-6          Rocha 3             Admitido


           Maldonado
Yazmín Sosa            5.107.433.-8   Liceo San Carlos        Admitida
Victoria Rodriguez     5.290.917-5    Liceo San Carlos        Admitida
Maikol Gimenez         5.056.173-9    Liceo San Carlos        Admitido
Helen Alamo            4.822.413-1    Liceo San Carlos        Admitida
Daiana Fontana         5.500.183-3    Liceo San Carlos        Admitida
Sofía Pérez            5.014.088-8    Liceo San Carlos        Admitida
Guillermo Larrosa      4.882.053-5    Liceo San Carlos        Admitido
Camila Ocampo          4.989.857-3    Liceo San Carlos        Admitida
Mariana de León        5.057.319-4    Liceo San Carlos        Admitida
Camila Barboza         5.130.359-8    Liceo San Carlos        Admitida
Joaquín González       4.898.451-1    Liceo San Carlos        Admitido
Santigo Pereyra        5.067.954-8    Liceo San Carlos        Admitido
Luciana Pereira        5.079.501-7    Liceo San Carlos        Admitida
Valentina Lazaga       5.029.902-9    Liceo San Carlos        Admitida
Romina Arambillete     5.061.841-1    Liceo San Carlos        Admitida
Yenifer Barrios        5.018.497-7    Liceo San Carlos        Admitida
Priscilla Hernández    4.964.793-4    Liceo San Carlos        Admitida
Sofía Borges           4.995.475-9    Liceo San Carlos        Admitida
Nahuel Luissi          5.707.272-9    Liceo San Carlos        Admitido
Kihara Azambuya          5.570.382-9    Liceo San Carlos       No Admitida
Luciana Hernández        5.350.390-8    Liceo San Carlos       No Admitida
Moira Zipitría           4.964.509-9    Liceo San Carlos       No Admitida

           San José
Belo Analia              5433018-4          Liceo Nº2           Admitido
 Bornes Lucia            5395562-0          Liceo Nº2           Admitido
Cachés Sofía             5382345-5          Liceo Nº2           Admitido
Carreras Macarena        5188741-3          Liceo Nº2          No admitido
Delgado Ana              5197035-1          Liceo Nº2           Admitido
Fernández Belén          5355801-6          Liceo Nº2           Admitido
Hornos Alejandro         5403482-7          Liceo Nº2           Admitido
López Joaquín            4833815-4          Liceo Nº2           Admitido
Menendez Sofía           5154253-4          Liceo Nº2           Admitido
Menendez LucIa           5355570-7          Liceo Nº3           Admitido
Noguera Fabio            4994893-4          Liceo Nº2           Admitido
Ortíz Sofía              5067793-6          Liceo Nº2           Admitido
Petrullo Yoselín         4982658-0          Liceo Nº3           Admitido
 Ribas Yamila            5039477-0          Liceo Nº3           Admitido
Sánchez Yamila           4090994-4          Liceo Nº2           Admitido
Soto Mariana             5211665-3          Liceo Nº2           Admitido
Tola Luciana             4968441-7          Liceo Nº3          No admitido
Vica Camila              4866293-9          Liceo Nº2          No admitido
Zerpa Natasha            4980792-0          Liceo Nº2           Admitida

       Villa Rodriguez
Cabrera Antonella        5140600-3     Liceo Villa Rodriguez    Admitida
Cabrera Rocío            5022099-7     Liceo Villa Rodriguez   No admitido
Falero Nadia             4450133-7     Liceo Villa Rodriguez   No admitido
Núñez Romina             4450133-7     Liceo Villa Rodriguez   No admitido
Picardp Melissa          5097366-9     Liceo Villa Rodriguez    Admitida
Ponce Sindy             5159824-8   Liceo Villa Rodriguez    Admitida
Portal Micaela          5030403-0   Liceo Villa Rodriguez    Admitida
Rodriguez Maico         4734742-5   Liceo Villa Rodriguez   No admitido
Rodriguez Bruno         5703705-4   Liceo Villa Rodriguez   No admitido

          Libertad
Ceja Dana               5271818-6      Liceo Libertad        Admitida
Bragio Matías           5069567-3      Liceo Libertad        Admitida
Vila Cinthia            5273303-3      Liceo Libertad        Admitida
Chiffone Karen          5129060-4      Liceo Libertad        Admitida
Soto Daiana             5053917-4      Liceo Libertad        Admitida
Susanday Agustina       4943163-2      Liceo Libertad       No admitida
Battes Julián           5078619-3      Liceo Libertad        Admitida
Castells Dayana         4944104-4      Liceo Libertad       No admitida
Antúnez Facundo         4988179-8      Liceo Libertad       No admitida
Benitez Valentín        5489263-5      Liceo Libertad        Admitida
Herou Marcia            5051795-4      Liceo Libertad        Admitida
De Armas Vanina         4886787-0      Liceo Libertad       No admitida
Moreira Florencia       5064924-8      Liceo Libertad        Admitida
Díaz Tatiana            5185168-2      Liceo Libertad        Admitida
Gonzalez Daniela        4932056-4      Liceo Libertad        Admitido

Binaghi Nadia           4893861-7      Liceo Libertad        Admitido
Ameijeida Valentina     5073342-5      Liceo Libertad        Admitido
Escobar Ana Pula        5488684-8      Liceo Libertad       No admitida
Revireda Erika          5073364-1      Liceo Libertad        Admitido
Morandi Renzo           4907449-0      Liceo Libertad        Admitido
Tafernaberry Agustina   4962997-0      Liceo Libertad       No admitida
Martinez Juan Pablo     5072572-1      Liceo Libertad       No admitida
Araújo Agustín          5025998-6      Liceo Libertad        Admitido
Oteguy Juan Ignacio     4981348-8      Liceo Libertad        Admitido
Ríos Franco                5014355-1        Liceo Libertad        No admitida
Gonzalez Fiorella          5166961-1        Liceo Libertad         Admitido
Crabajal Jenifer           5439106-7        Liceo Libertad         Admitido

      Rincón de la Bolsa
Rodriguez Tatihana         5605892-8   Liceo Rincón de la Bolsa    Admitido
Reyes Mauro                5051148-3   Liceo Rincón de la Bolsa    Admitido
Rodriguez Marelein         5465504-5   Liceo Rincón de la Bolsa    Admitido
Brillante Mikaela          4926728-3   Liceo Rincón de la Bolsa    Admitido
Sánchez Facundo            4851745-9   Liceo Rincón de la Bolsa   No admitido
Chanes Micaela             5357537-7   Liceo Rincón de la Bolsa    Admitido
Fuco Antonella             4877327-3   Liceo Rincón de la Bolsa   No admitido
Amaral Darwin              5283747-5   Liceo Rincón de la Bolsa   No admitido
Curbelo Daniela            5403627-3   Liceo Rincón de la Bolsa   No admitido
Gonzalez Noelia            5051152-4   Liceo Rincón de la Bolsa    Admitido
Barrios Gonzalo            5072938-5   Liceo Rincón de la Bolsa    Admitido
Balcedo Stephanie          4898701-6   Liceo Rincón de la Bolsa   No admitido

       Ecilda Paullier
Galeano Eliseo             5013726-9     Liceo Ecilda Paullier     Admitido
Regens Simón               5015677-2     Liceo Ecilda Paullier     Admitido
Marrero Damián             5024136-7     Liceo Ecilda Paullier     Admitido
Viera Agustina             5246658-5     Liceo Ecilda Paullier     Admitido
Garcia Eleazar             5054377-5     Liceo Ecilda Paullier     Admitido
Giménez Yary               5494837-9     Liceo Ecilda Paullier    No admitido

Resultados admisiones a2 para cursos 2013

  • 1.
    Programa de Acreditaciónde Inglés Prueba de Admisión para realizar cursos en el año 2013 Nivel A2 Nombre y Apellido C.I. Liceo Resultado Canelones Brandon Castagnin 1.587.089-8 Las Piedras Liceo Nº 2 Admitido Romina Bentancur 5.295.646-3 Las Piedras Liceo Nº 2 Admitida Brian Cáceres 5.430.547-0 Las Piedras Liceo Nº 2 Admitido Mariana Aguilera 5.132.584-3 Las Piedras Liceo Nº 2 Admitida Joaquín Martinez 5.374.377-7 Las Piedras Liceo Nº 3 Admitido Melany Silva 4.981.383-6 Las Piedras Liceo Nº 3 Admitida Nahuel Guillermo 5.006.902-8 Las Piedras Liceo Nº 2 Admitido Karen Bertti 5.195.071-9 Las Piedras Liceo Nº 3 Admitida Carlos Missa 4.899.953-4 Liceo 18 de Mayo Admitido Kevin Skupnyak 5.452.670-3 Liceo 18 de Mayo Admitido Camila Dominguez 4.880.006-2 Liceo 18 de Mayo Admitida Rodrigo Viera 4.913.870-8 Liceo 18 de Mayo Admitido Agustina Michetti 5.107.527-8 Liceo Canelon Chico Admitida Daniela Mantegazza 5.490.325-8 Las Piedras Liceo Nº3 No Admitida Camila Camacho 5.083.407-3 Las Piedras Liceo Nº3 No Admitida Betina Veredo 5.429.500-5 Las Piedras Liceo Nº3 No Admitida Camila Sabani 5.519.192-3 Las Piedras Liceo Nº3 No Admitida Florencia Gularte 4.993.154-1 Las Piedras Liceo Nº3 No Admitida Nohely Herrera 5.395.184-0 Las Piedras Liceo Nº3 No Admitida Kevin Alvez 5.110.128-9 Las Piedras Liceo Nº3 No Admitido Jessica Samandú 5.387.661-4 Las Piedras Liceo Nº3 No Admitida
  • 2.
    Tania Pereira 4.932.426-9 Las Piedras Liceo Nº3 No Admitida Jessica Rodriguez 5.650.235-5 Las Piedras Liceo Nº3 No Admitida David Mateos 5.083.329-5 Las Piedras Liceo Nº3 No Admitido Valeria Artigas 5.156.911-8 Las Piedras Liceo Nº3 No Admitida Mathias Musetti 4.984.412-4 Las Piedras Liceo Nº3 No Admitido Marcos Cruz 3.129.929-6 Las Piedras Liceo Nº3 No Admitido Camila Lenzué 5.404.925-6 Liceo Canelon Chico No Admitida Daiana Pereira 5.026.850-9 Liceo Canelon Chico No Admitida Lucía Cabrera 5.174.793-6 Liceo 18 de Mayo No Admitida Daina Cosa 5.159.853- Liceo 18 de Mayo No Admitida Agustina Viera 4.940.631-6 Liceo 18 de Mayo No Admitida Mathías Céspedes 5.170.610-6 Liceo 18 de Mayo No Admitido Mariana Torres 5.409.905-0 Liceo 18 de Mayo No Admitida Sharon Rodriguez 4.975.757-5 Liceo 18 de Mayo No Admitida Cristian Viana 5.148.027-0 Liceo 18 de Mayo No Admitido Christian Gastón 5.077.343-3 Liceo 18 de Mayo No Admitido Tatiana Veledo 5.423.425-7 Las Piedras Liceo Nº3 No Admitida Sheila Cáceres 5.076.772-5 Las Piedras Liceo Nº3 No Admitida Nadia Sánchez 5.097.657-6 Las Piedras Liceo Nº3 No Admitida Miranda Antelo 5.326.219-4 Las Piedras Liceo Nº3 No Admitida Alan Rosadilla 5.202.731-3 Las Piedras Liceo Nº3 No Admitido Yamila Cor 5.023.496-8 Las Piedras Liceo Nº4 Admitida Agustin Belen 5.391.758-5 Las Piedras Liceo Nº4 Admitido Camila Rodríguez 5.290.831-6 Las Piedras Liceo Nº4 Admitida Florencia Elichex 5.447.088-7 Las Piedras Liceo Nº4 Admitida Andrés Fischer 5.164.939-6 Las Piedras Liceo Nº4 Admitido Sofía Vaz 5.883.107-9 Las Piedras Liceo Nº4 Admitida Micaela Candini 5.118.504-1 Las Piedras Liceo Nº4 Admitida Christian Bonchebes 5.390.630-6 Las Piedras Liceo Nº4 Admitido Bruno Almeida 5.068.175-9 Las Piedras Liceo Nº4 No Admitido Deborah 5.296.631-9 Las Piedras Liceo Nº4 No Admitida
  • 3.
    Sofía Rodríguez 5.426.011-9 Las Piedras Liceo Nº4 No Admitida Gerardo Silva 5.877.453-4 Las Piedras Liceo Nº4 No Admitido Virginia Harret 5.097.656-4 Las Piedras Liceo Nº4 No Admitida Gonzalo Lemos 4.998.770-0 Las Piedras Liceo Nº4 No Admitido Martin Guidici 5.271.594-6 Las Piedras Liceo Nº4 No Admitido Maximiliano Leguizamón 5.264.718-9 Las Piedras Liceo Nº4 No Admitido Kevin Sotelo 5.278.697-9 Las Piedras Liceo Nº4 No Admitido Brian Bustamante 5.381.296-9 Las Piedras Liceo Nº4 No Admitido Christian Bustamante 5.407.967-5 Las Piedras Liceo Nº4 No Admitido Belen Capello 4.995.003-2 Las Piedras Liceo Nº4 No Admitida Ezequiel Pereira 5.531.901-6 Las Piedras Liceo Nº4 No Admitido Allison Bustamante 5.381.297-5 Las Piedras Liceo Nº4 No Admitida Mauro Carrión 5.043.455-8 Las Piedras Liceo Nº4 No Admitido Matías González 4.937.336-7 Las Piedras Liceo Nº4 No Admitido Gonzalo Michett 5.052.996-1 Las Piedras Liceo Nº4 No Admitido Dana Daniel 4.857.564-7 Las Piedras Liceo Nº4 No Admitida Florencia Sosa 5.025.179-6 Las Piedras Liceo Nº4 No Admitida Lucero Sosa 5.598.503-7 Las Piedras Liceo Nº4 No Admitida Florencia Ceballos 9.435.519-6 Las Piedras Liceo Nº4 No Admitida Sophia Cabrera 4.873.893-6 Las Piedras Liceo Nº4 No Admitida Lucas Píriz 5.208.792-0 Las Piedras Liceo Nº4 No Admitido Lucia Capachieba 5.010.890-7 Las Piedras Liceo Nº4 No Admitida Micaela Iglesias 5.200.540-0 Las Piedras Liceo Nº4 No Admitida Talhia Acosta 5.411.458-8 Las Piedras Liceo Nº4 No Admitida Facundo Gómez 5.291.786-9 Las Piedras Liceo Nº4 No Admitido Camila Delgado 5.365.315-9 Las Piedras Liceo Nº4 No Admitida Mariana Gonzalez 5.074.117-9 Las Piedras Liceo Nº4 No Admitida Agustina Gómez 5.003.292-9 Las Piedras Liceo Nº4 No Admitida Noella Ruiz 5.901.257-0 Las Piedras Liceo Nº4 No Admitida Isabel Diaz Las Piedras Liceo Nº4 No Admitida Angie Callorda 4.903.943-2 Las Piedras Liceo Nº4 No Admitida
  • 4.
    Valentina Cuña 4.984.276-2 Las Piedras Liceo Nº4 No Admitida Lucía González 5.412.556-3 Las Piedras Liceo Nº4 No Admitida Kevin Sosa 5.140.022-5 Las Piedras Liceo Nº4 No Admitido Stefani Benitez 4.806.509-2 Las Piedras Liceo Nº3 No Admitida Valeria Pereira 5398.519-7 Las Piedras Liceo Nº3 No Admitida Brian Ribeiro 4.908.613-9 Las Piedras Liceo Nº3 No Admitido José Guinea 5.152.481-5 Las Piedras Liceo Nº3 No Admitido Nahuel Baquero 5.299.383-3 Las Piedras Liceo Nº3 No Admitido Micaela Etcheverry 5.381.934-3 Las Piedras Liceo Nº3 No Admitida Fiorella Muniz 5.343.760-0 Las Piedras Liceo Nº3 No Admitida Franco Trujillo 5.471.264-3 Las Piedras Liceo Nº2 No Admitido Camila Santos 5.261.738-4 Las Piedras Liceo Nº2 No Admitida Lia Díaz 5.445.956-4 Las Piedras Liceo Nº4 No Admitida Sofía Hernández 5.433.123 Las Piedras Liceo Nº3 No Admitida Diana Tejera 5.301.364-2 Las Piedras Liceo Nº2 No Admitida Lorena Figalo 5.416.061-2 Las Piedras Liceo Nº3 No Admitida Melanie Giles 5.107.030-3 Las Piedras Liceo Nº3 No Admitida Lorena 5.328.093-3 Las Piedras Liceo Nº3 No Admitida Agustin Robinson 5.667.138-7 Las Piedras Liceo Nº3 Admitido Paola Rodriguez 5.200.898-5 Las Piedras Liceo Nº3 Admitida Leandro Saavedra 5.472.978-7 Las Piedras Liceo Nº3 Admitido Dahiana Machado 5.227.582-5 Las Piedras Liceo Nº3 Admitida Bryan Ferreiro 4.850.982-4 Las Piedras Liceo Nº3 Admitido José Pereira 4.872.116-7 Las Piedras Liceo Nº3 Admitido Rosita Freire 5.359.734-3 Las Piedras Liceo Nº3 Admitida Nahuel Delgado Las Piedras Liceo Nº3 Admitido Camila Durán 5.155.070-5 Las Piedras Liceo Nº3 Admitida Yamila Rodriguez 5.228.082-3 Las Piedras Liceo Nº3 Admitida Hernández, Luis Marcos 5.177.288-8 Joaquin Suárez No Admitido Luz Cáceres, César Marcelo 5.499.382-9 Joaquin Suárez No Admitido
  • 5.
    Mora González, Emanuel 4.742.545-1 Joaquin Suárez No Admitido Romero Gómez, Alejandra 5.080.228-6 Joaquin Suárez Admitida Barboza Montero, 5.093.258-8 Admitida Ma.Tatiana Joaquin Suárez Caballero Escamendi, Michel 5.304.628-1 Joaquin Suárez No Admitida Da Silva Reina, Deivi 4.819.422-1 No Admitido Anthony Joaquin Suárez Daleiro De Avila, Tamara 5.295.118-4 Joaquin Suárez No Admitida Mañana Carbajal, Evelyn 5.117.894-3 Joaquin Suárez No Admitida Rodríguez Amarilla, Analía 5.020.392-1 Joaquin Suárez No Admitida Vázquez Portillo, Jimena 5.179.231-7 Joaquin Suárez Admitida González Viera, Ma. Victoria 4.906.436-2 Joaquin Suárez No Admitida Vaz Sosa, Mathías Daniel 5.122.069-7 Joaquin Suárez Admitido Beracochea Grampone, 4.930.497-3 Joaquin Suárez Admitido Cabrera, María Guadalupe 5.179.219-9 Joaquin Suárez No Admitida Colman González, Romina 5.206.503-8 Joaquin Suárez Admitida Barreto Da Rosa, Lucía 5.126.290-4 Joaquin Suárez No Admitida Zarza Estevez, Sasha 4.688.568-8 Joaquin Suárez No Admitida Rufine Veiga, Nazaret 5.064.263-2 Joaquin Suárez No Admitido Correa, Abril 4.913.489-8 Barros Blancos Liceo Nº1 No Admitida Dos Santos Anthony 5.016.071-5 Barros Blancos Liceo Nº1 No Admitido Furtado, Lucía 5.121.252-3 Barros Blancos Liceo Nº1 No Admitida Jara, Yennifer 5.402.656-5 Barros Blancos Liceo Nº1 Admitida Rodríguez, Lucía 5.357.964-6 Barros Blancos Liceo Nº1 No Admitida Baladan, Dahiana 4.871.481-5 Barros Blancos Liceo Nº1 No Admitida Carro, Mauro 4.962.719-8 Barros Blancos Liceo Nº1 Admitido Fernández, Diana 5.487.019-2 Barros Blancos Liceo Nº1 No Admitida Porta, Florencia 5.752.234-6 Barros Blancos Liceo Nº1 No Admitida Lau, Estefani 5.201.031-2 Barros Blancos Liceo Nº1 Admitida Marchand, Eliana 5.164.437-4 Barros Blancos Liceo Nº1 Admitida
  • 6.
    Amaral, Angela 5.028.078-5 Barros Blancos Liceo Nº1 Admitida Barreiro, Gabriel 5.260.788-6 Barros Blancos Liceo Nº1 No Admitido Huamani , Roberto 4.884.426-4 Barros Blancos Liceo Nº1 No Admitido Musto, Mathías 4.959.799-3 Barros Blancos Liceo Nº1 No Admitido Romero, Alexis 5.079.136-2 Barros Blancos Liceo Nº1 No Admitido Ferreira, Marcos 4.904.342-1 Barros Blancos Liceo Nº1 No Admitido Guedes, Bruno 5.411.234-2 Barros Blancos Liceo Nº1 No Admitido Nuñez, Cristopher 5.622.960-4 Barros Blancos Liceo Nº1 Admitido Reyes, Valentina 4.956.344-3 Barros Blancos Liceo Nº1 Admitida Rodríguez, Ana Clara 5.198.633-6 Barros Blancos Liceo Nº1 No Admitida Salvarrey, Paula 5.108.920-5 Barros Blancos Liceo Nº1 Admitida Duarte, Sara 4.886.486-2 Barros Blancos Liceo Nº1 No Admitida Francia, Lucas 4.859.775-4 Barros Blancos Liceo Nº1 No Admitido Guedes, Nicolás 5.188.962-1 Barros Blancos Liceo Nº1 No Admitido Rodríguez, Florencia 5.725.229-1 Barros Blancos Liceo Nº1 No Admitida Delgado, Marta 5.462.571-7 Barros Blancos Liceo Nº1 No Admitida González, Camila 4.959.871-5 Barros Blancos Liceo Nº1 No Admitida López, Javier 4.828.929-2 Barros Blancos Liceo Nº1 No Admitido Soza, Jennifer 5.165.325-4 Barros Blancos Liceo Nº1 Admitida Franco, Nicolás 4.913.129-4 Barros Blancos Liceo Nº1 Admitido Correa, Maira 5.670.065-2 Barros Blancos Liceo Nº1 Admitida Arrascaeta, Delfina 5.533.575-9 Barros Blancos Liceo Nº1 No Admitida Bermúdez, Yoseline 4.943.502-0 Barros Blancos Liceo Nº1 No Admitida Correa, Tatiana 5.670.067-4 Barros Blancos Liceo Nº1 No Admitida Méndez, Brian 5.411.507-1 Barros Blancos Liceo Nº1 No Admitido Sarrasqueta, Nahia 5.286.618-5 Barros Blancos Liceo Nº1 No Admitida Vigo, Katherine 5.236.728-6 Barros Blancos Liceo Nº1 No Admitida Arbelo, Lucía 5.737.029-2 Barros Blancos Liceo Nº1 Admitida Cañette, Nicolás 5.090.208-4 Barros Blancos Liceo Nº1 No Admitido Morales, Marcela 4.876.391-3 Barros Blancos Liceo Nº1 Admitida Rodríguez, Aldana 5.355.919-5 Barros Blancos Liceo Nº1 No Admitida
  • 7.
    Sexa, Georgina 4.925.165-6 Barros Blancos Liceo Nº1 Admitida Arbilla, Dylan 5.391.633-1 Barros Blancos Liceo Nº1 Admitido Cabeza, Romina 5.670.805-2 Barros Blancos Liceo Nº1 No Admitida Cartagena, Edgardo 5.131.815-9 Barros Blancos Liceo Nº1 Admitido Coitinho, Romina 4.921.767-0 Barros Blancos Liceo Nº1 Admitida Fernández, Rocío 5.224.841-4 Barros Blancos Liceo Nº1 No Admitida Noguera, Melanie 4.923.062-8 Barros Blancos Liceo Nº1 Admitida Pereira, Yoseline 4.872.449-8 Barros Blancos Liceo Nº1 No Admitida Pintos, Camila 5.278.564-6 Barros Blancos Liceo Nº1 Admitida Pintos, Cristian 5.399.739-1 Barros Blancos Liceo Nº1 Admitido Sosa, Fernanda 5.752.617-6 Barros Blancos Liceo Nº1 No Admitida Viera, Natalia 5.155.843-4 Barros Blancos Liceo Nº1 No Admitida Villalba, Romina 5.372.114-8 Barros Blancos Liceo Nº1 No Admitida Martínez, Claudio 5.066.296-7 Barros Blancos Liceo Nº1 Admitido Pons, Rafael 5.077.528-7 Barros Blancos Liceo Nº1 Admitido Ramos, Erika 5.249.169-7 Barros Blancos Liceo Nº1 No Admitida Aguirre, Jenniffer 5.406.626-6 Barros Blancos Liceo Nº1 Admitida Toledo, Nicol 5.092.808-4 Barros Blancos Liceo Nº1 Admitida Alves Machado, Maicol David 5.137.682-0 Pando Liceo Nº1 Admitido Cúnec Cabral, Gisella Inés 5.036.738-1 Pando Liceo Nº1 No Admitida Garcés Peña, Romina 4.993.650-7 Pando Liceo Nº1 No Admitida Cartagena, Fernando 5.420.186-4 Pando Liceo Nº1 Admitido Denis Amado, Lucía Noelia 4.837.542-7 Pando Liceo Nº1 No Admitida Moreno Calderón, Francisco 5.391.312-5 Pando Liceo Nº1 Admitido Queiróz Fernández, Patricia 5.148.979-2 Pando Liceo Nº1 Admitida Correa Bonilla, Camila 5.068.918-1 Pando Liceo Nº1 No Admitida Caquias Corrales, Agustina 4.892.492-5 Pando Liceo Nº1 No Admitida Dalto Lemos, Damián 5.084.782-2 Pando Liceo Nº1 Admitido Gadea Fernández, Oriana 4.974.473-0 Pando Liceo Nº1 No Admitida Leite Pérez-Ramos, Gabriel 5.031.382-9 Pando Liceo Nº1 No Admitido
  • 8.
    Castillos González, Santiago 5.073.769-7 Pando Liceo Nº1 Admitido González López, María 5.114.145-7 Pando Liceo Nº1 No Admitida Guillén Casas, Facundo 5.688.141-4 Pando Liceo Nº1 Admitido Ibáñez Acosta, Lucas 5.135.511-5 Pando Liceo Nº1 No Admitido Lantes López, Soledad 5.974.675-0 No Admitida Karina Pando Liceo Nº1 Mazza Susalla, Mariana 5.148.414-0 Pando Liceo Nº1 No Admitida Rendo Caetano, Brisa Pilar 5.106.067-3 Pando Liceo Nº1 Admitida Vieira Carrera, Katia 5.106.479-8 Pando Liceo Nº1 No Admitida Calderón Correa, Sofía 5.582.146-5 Pando Liceo Nº1 No Admitida Franco Perdigon, Viviana 5.212.679-7 Pando Liceo Nº1 Admitida Alonso Azcurra, Sheila 5.045.605-7 Pando Liceo Nº1 Admitida Moraiti Martínez, Franco 5.277.101-7 Pando Liceo Nº1 Admitido Pereira Castillo, Laura 4.916.790-2 Pando Liceo Nº1 Admitida Pérez Martínez, Joaquín 4.993.629-0 Pando Liceo Nº1 Admitido Cuadro Camargo, Yosselin 5.147.076-5 Pando Liceo Nº1 No Admitida Huelmo Cestona, Sofía 4.887.677-2 Pando Liceo Nº1 Admitida Toribio Cabrera, Camila 5.049.396-3 Pando Liceo Nº1 Admitida Órdenes Treglia, Nicolás 5.039.114-8 Pando Liceo Nº1 No Admitido Ortega Massafra, Germán 5.481.050-8 Pando Liceo Nº1 Admitido Alfonso Rodríguez, Milena 5.216.807-6 Pando Liceo Nº1 Admitida Pereira Ferreira, Lennin 5.158.750-4 Pando Liceo Nº1 No Admitido Suárez Strazzarino, Natalia 5.155.014-7 Pando Liceo Nº1 No Admitida Fernández Silvera, Enzo 5.589.454-3 Pando Liceo Nº1 No Admitido Rodríguez Pérez, Christian 5.069.209-1 Pando Liceo Nº1 Admitido Vera Núñez, Rocío Solange 5.457.234-8 Pando Liceo Nº1 Admitida Marichal Lima, Janaina 5.486.730-7 Pando Liceo Nº1 No Admitida Valdez Guerra, Braian 5.047.483-9 Pando Liceo Nº1 Admitido Leiros Rodríguez, Guillermo 5.031.057-6 Pando Liceo Nº1 Admitido Machado, Florencia 5.283.682-9 Pando Liceo Nº1 Admitida Pintado Gallo, Rafael Javier 5.369.485-4 Pando Liceo Nº1 No Admitido
  • 9.
    Zabaleta, Belén 4.872.504-4 Pando Liceo Nº1 Admitida González Barboza, Héctor 4.873.990-2 Pando Liceo Nº1 No Admitido Melo Cardozo, Joaquín 5.162.440-3 Pando Liceo Nº1 Admitido Garín Amarillo, Romina 5.005.738-2 Pando Liceo Nº1 Admitida Labandera Delgado, Camila 5.031.477-6 Pando Liceo Nº1 No Admitida Darriulat, Tatiana 5.139.297-7 Pando Liceo Nº1 Admitida Olivera, Ana Valeria 5.494.187-6 Pando Liceo Nº1 Admitida Pesce, Karina 3.495.725-3 Pando Liceo Nº1 Admitida Valdez, Sandra 3.991.281-4 Pando Liceo Nº1 No Admitida Muñoz, Irina 5.151.087-2 Pando Liceo Nº1 Admitida Colonia Narela Colmán 5.046.363-8 Liceo Nueva Helvecia Admitida Verónica Deleón 4.999.935-3 Liceo Nueva Helvecia Admitida Delfina Guirrin 4.921.235-7 Liceo Nueva Helvecia Admitida Joana Gutierrez 5.054.306-0 Liceo Nueva Helvecia Admitida Malena Gutierrez 4.965.623-4 Liceo Nueva Helvecia Admitida Rocio Harreguy 4.879.902-9 Liceo Nueva Helvecia Admitida Melanie Kardos 5.229.164-3 Liceo Nueva Helvecia Admitida Alexia Manzolido 5.077.058-8 Liceo Nueva Helvecia No Admitida Melisa Montero 5.414.208-4 Liceo Nueva Helvecia Admitida Constanza Nollenberger 5.229.386-7 Liceo Nueva Helvecia Admitida Luciana Rivero 5.590.179-0 Liceo Nueva Helvecia Admitida Flavia Rodríguez 5.156.613-8 Liceo Nueva Helvecia Admitida Lucila Rodriguez 5.236.654-8 Liceo Nueva Helvecia Admitida Agustina Safer 5.018.155-5 Liceo Nueva Helvecia Admitida Valeria Velazquez 4.915.490-7 Liceo Nueva Helvecia Admitida Micaela Zerpa 5.319.412-7 Liceo Nueva Helvecia Admitida Sabrina Kid 5.126.738-0 Liceo Nº1 Carmelo Admitido María Carro 5.537.070-4 Liceo Nº1 Carmelo Admitido Ana Paula Falfaro Liceo Nº1 Carmelo Admitido
  • 10.
    Soledad Echevarría Liceo Nº1 Carmelo Admitido Gabriela Pochellu 4.953.964-1 Liceo Nº1 Carmelo Admitido María Checho Liceo Nº1 Carmelo Admitido Nadn Tourin 5.032.695-0 Liceo Nº1 Carmelo Admitido Antonella Vecino 4.877.874-0 Liceo Nº1 Carmelo Admitido Agustina Cachón 5.049.955-6 Liceo Nº1 Carmelo Admitido Ivan Abrahim Liceo Nº1 Carmelo Admitido Aiya Rabazza 4.888.390-5 Liceo Nº1 Carmelo Admitido Victoria Pachellu 4.963.965-8 Liceo Nº1 Carmelo Admitido Khalil Abrahim 4.858.761-0 Liceo Nº1 Carmelo Admitido Belén Pittamiglio 4.930.184-1 Liceo Nº1 Carmelo Admitido Aymara Fernández 5.592.401-1 Liceo Nº1 Carmelo Admitido Camila Baldi 5.004.891-3 Liceo Nº1 Carmelo Admitido Federico Alvarez 4.805.025-9 Liceo Nº1 Carmelo Admitido Franco Colocaro 4.900.386-5 Liceo Nº1 Carmelo Admitido Belén Bacigalupe 5.113.090-5 Liceo Nº1 Carmelo Admitido Agustina Camblong 4.942.193-0 Liceo Nº1 Carmelo Admitido Priscilla Hernández Liceo Nº1 Carmelo Admitido Enrique Guaglia 5.027.226 Liceo Nº1 Carmelo No Admitido Paula García 5.245.218-8 Liceo Nº1 Carmelo No Admitida Paula González Liceo Nº1 Carmelo No Admitida Renata Fioniaget 5.208.426-2 Liceo Nº1 Carmelo No Admitida Brian Sosa 5.281.609-9 Liceo Nº1 Colonia Admitido Agostina Indaburu 4.864.005-4 Liceo Nº1 Colonia Admitida Manuela Dominguez 4.893.807-1 Liceo Nº1 Colonia Admitida Sofía Abbona 4.958.070-4 Liceo Nº1 Colonia Admitida Facundo Align 5.247.717-8 Liceo Nº1 Colonia No Admitido Tadeo Barroso 5.790.636-4 Liceo Nº1 Colonia Admitido Constanza Barzabal 4.982.047-3 Liceo Nº1 Colonia Admitida Eric Carro 4.792.074-6 Liceo Nº1 Colonia Admitido Melina Espinosa 5.671.156-8 Liceo Nº1 Colonia No Admitida
  • 11.
    Michelle Green 4.872.777-9 Liceo Nº1 Colonia Admitida Micaela Hernández 4.864.545-2 Liceo Nº1 Colonia Admitida Belen Leal 4.888.208-6 Liceo Nº1 Colonia Admitida Gimena López 5.331.703-8 Liceo Nº1 Colonia Admitida Valentina Melo 5.450.050-9 Liceo Nº1 Colonia Admitida Facundo Mendez Artigas 5.418.646-8 Liceo Nº1 Colonia No Admitido Yosselyn Musselli 5.104.463-9 Liceo Nº1 Colonia Admitida Leandro Osorio 5.030.256-5 Liceo Nº1 Colonia No Admitido Santiago Outerelo 4.861.141-3 Liceo Nº1 Colonia No Admitido Camila Reimondez 5.292.155-5 Liceo Nº1 Colonia No Admitida Angeles Suárez 5.285.831-2 Liceo Nº1 Colonia Admitida Paula Techera 5.047.492-0 Liceo Nº1 Colonia Admitida Juan Lacaze Juri Delgado 5004790-3 Juan Lacaze 1 Admitido Eliana Falcón 4897601-0 Juan Lacaze 1 No admitido Nicole Schenk 5698842-0 Juan Lacaze 1 Admitido Micaela Díaz 4998377-6 Juan Lacaze 1 Admitido Francisco Jourdán 5053746-1 Juan Lacaze 1 No admitido David Fernández 5255426-3 Juan Lacaze 1 Admitido Martina Suhr 5276734-7 Juan Lacaze 1 Admitido Álvaro Silva 5147473-3 Juan Lacaze 1 Admitido Karen Quiabazzas 5159516-1 Juan Lacaze 1 Admitido Daiana González 5094636-1 Juan Lacaze 1 Admitido Magdalena Martero 4892451-1 Juan Lacaze 1 Admitido Ileana Madero 4928045-7 Juan Lacaze 1 Admitido Marina Bentancor 4863335-4 Juan Lacaze 1 Admitido Agustín Scaler 5251959-0 Juan Lacaze 1 Admitido Daiana Buffa 4878226-0 Juan Lacaze 1 No admitido Diego Tafernnberry 5256781-0 Juan Lacaze 1 Admitido Valentina Bardacosta 53877642-4 Juan Lacaze 1 No admitido Alan Rivero 5269137-8 Juan Lacaze 1 No admitido
  • 12.
    Eliana Silva 5057186-7 Juan Lacaze 1 Admitido Juan Álvarez 5216557-9 Juan Lacaze 1 No admitido Oscar Rodas 5437967-1 Juan Lacaze 1 No admitido Isaías Villalba 5323713-9 Juan Lacaze 1 Admitido Tomás Nero 5654882-8 Juan Lacaze 1 Admitido Victoria Galván 5030232-7 Juan Lacaze 1 Admitido Pablo Medero 4867732-4 Juan Lacaze 1 Admitido Daiana Bichi 4813572-2 Juan Lacaze 1 No admitido Pablo Velázquez 5612206-8 Juan Lacaze 1 Admitido Romina López 5256497-1 Juan Lacaze 1 Admitido Jeremías Olmando 4839607-9 Juan Lacaze 1 No admitido Yennifer López 5096439-7 Juan Lacaze 1 Admitido Agustín Pisu 4898789-0 Juan Lacaze 1 No admitido Anyeelen Cuayatto 5027654-8 Juan Lacaze 1 Admitido Maldonado Lorena Correa 5195990-3 Liceo 2 Admitido Lucía Umpierrez 5066383-6 Liceo 2 No Admitido Yoana Ximeno 5003999-2 Liceo 2 No Admitido Luciana Pérez 4934081-1 Liceo 2 Admitido Angela Pintos 4906022-5 Liceo 2 Admitido Eduardo Aquistapace 5723097-5 Liceo 2 Admitido Florencia Leal 5362131-2 Liceo 2 Admitido Camila Alvarez 5114616-2 Liceo 2 Admitido Lucrecia Da Rosa 5441083-9 Liceo 2 No Admitido Camila Manfredi 4922925-1 Liceo 2 No Admitido Camila Larrosa 5497153-0 Liceo 2 Admitido Agustina Madeiro 4913954-7 Liceo 3 Admitido Gustavo Ferreira 5139278-9 Liceo 3 Admitido Ignacio Sosa 5163325-8 Liceo 5 No Admitido
  • 13.
    Belén Díaz 4795442-8 Liceo 5 No Admitido Sabrina Montiel 5147460-8 Liceo 5 No Admitido Sasha Durán 5034985-0 Liceo 5 Admitido Luciana Almada 5455951-6 Liceo 5 No Admitido Adriana Da Rosa 5100782-7 Liceo 5 Admitido Ma. José Lanz 5074598-7 Liceo 5 Admitido Martín Barrios 5105412-1 Liceo 5 Admitido Camila Silveira 4823538-2 Liceo 5 Admitido Sasha Rodriguez 5016631-1 Liceo 5 Admitido Luna Ferrizzo 4804483-2 Liceo 5 Admitido Kevin Gutierrez 4735794-5 Liceo 5 No Admitido Luciana Castro 5048928-0 Liceo 5 No Admitido Lucía González 5006294-3 Liceo 5 Admitido Bárbara Berocay 5457190-2 Liceo 5 No Admitido Natalia Costa 5064057-2 Liceo 5 Admitido Magalí Golfarini 5022527-6 Liceo 5 Admitido Lucas Vignoli 4934865-3 Liceo 5 No Admitido Camila Llerena 5057309-7 Liceo 5 Admitido Lucía Guillén 5389551-7 Liceo 5 Admitido Sofía Pereyra 4877565-7 Liceo 5 Admitido Melissa Morales 5247860-5 Liceo 5 No Admitido Montevideo Biurra, Federico 5297092-6 Liceo 1 Admitido Charbonnier, Vera 5104403-7 Liceo 1 Admitida Mañay, Abigail 5630856-5 Liceo 1 Admitida Carbonell, Camila 5103965-8 Liceo 1 Admitida Iturriaga,Valentina 5236393-9 Liceo 1 No admitida Martinez, Iván 4864186-0 Liceo 1 No admitido
  • 14.
    Alvez, felipe 4973404-4 Liceo 5 Admitido De Armas, Facundo 5138508-9 Liceo 5 Admitido Galione, Caetano 4811232 Liceo 5 Admitido Lássaro, Agustina 5411220-1 Liceo 5 Admitido Milano, Joaqín 5401070-6 Liceo 5 Admitido Pignataro, Franco 5393605-4 Liceo 5 Admitido Silva, alina 5180995-8 Liceo 5 Admitido Zerpa, Valeria 4955183-4 Liceo 5 Admitido González, Oriana 5002889 Liceo 5 No admitida Lagazeta, Belén 4928585-5 Liceo 5 No admitido Alvez, Carmen 5055413-4 Liceo7 Admitido Bon, Victoria 5056651-3 Liceo7 Admitido Baltierra, Renata 4962140-1 Liceo7 Admitido Callejas, Sebastián 5102158-4 Liceo7 Admitido Cord3ero, Sabrina 5127610-7 Liceo7 No admitida Corbacho, Bruno 5232243-8 Liceo7 Admitido De rosa, Micaela 5425375-4 Liceo7 Admitido Galeano, María 5254103-6 Liceo7 No admitida Grillo, Lucía 4884946-8 Liceo7 Admitido Maturell, Rodrigo 5183143-6 Liceo7 Admitido Méndez, Valentín 50824230 Liceo7 Admitido Ramos, Gonzalo 5124371-4 Liceo7 No admitido Rampa, Mariana 5071216-3 Liceo7 Admitido
  • 15.
    Recarcy, Martina 5213792-6 Liceo7 Admitido Rodriguez, Bryan 48972483 Liceo7 Admitido Román, Camila 5261621-1 Liceo7 Admitido Rodellia, Bianca 5765809-0 Liceo 8 No admitida Antunez, Lucía 5016768-9 Liceo 8 No admitica Bueno, María 4841346-7 Liceo 8 Admitida Dutra Johana 5044090-3 Liceo 8 Admitida Martinez, Gimena 5077924-9 Liceo 8 No admitida Montes, Nahuel 5118654-0 Liceo 8 Admitido Negreira, María 5353743-6 Liceo 8 No admitida Pouso, Fabrizio 5076417-7 Liceo 8 Admitido Bentancur, Agustina 4817514-4 Liceo11 Admitido Costa, Rodrigo 4990126-3 Liceo11 Admitido González, Daiana 5043960-5 Liceo11 Admitido Loaces, Florencia 5234362-6 Liceo11 Admitido Obenaguer, Melanie 5623170-2 Liceo11 Admitido Risotto, Giuliana 5180636-8 Liceo11 Admitido Rosa,Diego 5.074.985-8 Liceo 11 Admitido Vázquez, Katherine 4968990-6 Liceo11 Admitido Vildos, Paz 5720709-3 Liceo11 Admitido Anselmi, Diego 5485631-6 Liceo11 No admitido Arismendi, Malena 5186745-7 Liceo11 No admitido Blanco, Nicolás 5193712-5 Liceo11 No admitido
  • 16.
    Da Costa, Alvaro 5092974-7 Liceo11 No admitido Casuriaga, Lucero 5092952-3 Liceo11 No admitido García, Alex 5281184-5 Liceo11 No admitido García, Erika 5281182-5 Liceo11 No admitido Gómez, Camila 5164772 Liceo 11 No admitido Morales, Mathías 5028014-9 Liceo11 No admitido Palavecino, Aladia 5116050-9 Liceo11 No admitido Peñaflor, Romina 5219929-5 Liceo11 No admitido Petrone, lucas 5289413-6 Liceo11 No admitido Tamosiunas, Rodrigo 4893988-7 Liceo11 No admitido Velázquez, Camila 5314227-1 Liceo11 No admitido Di Lorenzo, Agustina 5211995-5 Liceo12 Admitido Eirin, Emiliano 5454109-4 Liceo12 Admitido Lecha, José 5213983-7 Liceo12 Admitido López, Leandro 5373982-0 Liceo12 Admitido Veloso, Mauro 5143205-6 Liceo12 Admitido Olivera, Cataliina 4917657-5 Liceo12 Admitido Pérez, Mikaela 5056861-8 Liceo12 Admitido Pérez, Valentina 4871278-3 Liceo12 Admitido Sosa, Roberto 5852681-0 Liceo12 Admitido González, Carolina 5714432-0 Liceo12 No admitido Larrosa, Facundo 5106423-7 Liceo12 No admitido Machado, Tatiana 5319537 Liceo12 No admitido Martinez, fernando 4937485-0 Liceo12 No admitido
  • 17.
    Mastrasusi, Dahiana 5323947-2 Liceo12 No admitido Migues, Franco 4892636-5 Liceo12 No admitido Olivera, Sabrina 5388606-3 Liceo12 No admitido Rebollo, Gabriel 5269218-4 Liceo12 No admitido Sena, Facundo 4914118-3 Liceo12 No admitido Barrero, eliana 5298323-8 Liceo 13 Admitido Mateos, Allison 4961520-0 Liceo 13 Admitido Arregin, Mayra 5043212-4 Liceo 13 No admitido Bentancur, Lucía 5344299-8 Liceo 13 No admitido Bayarres, Katherine 5268916-7 Liceo 13 No admitido Da Luz, Wendy 5251191-8 Liceo 13 No admitido Da Silva, Lucía 5189753-5 Liceo 13 No admitido Ferrera, Christian 5236380-4 Liceo 13 No admitido Danielli, Lucía 5355803-8 Liceo 13 No admitido Miraballes, Paula 5269941-1 Liceo 13 No admitido Rodriguez, agustín 5594713 Liceo 13 No admitido Pérez, Ma. Eugenia 5400266-0 Liceo 14 Admitido Lliorcol, Yamila 54434825 Liceo 14 No admitido Moraes, carolina 4970211-6 Liceo 14 No admitido Silva, Victoria 53676878 Liceo 14 No admitido Addiego, Gastón 5077193-0 Liceo 16 Admitido Barrutia, Bayron 5513375-1 Liceo 16 Admitido
  • 18.
    Carrica, Ignacio 5271407-7 Liceo 16 Admitido Castro, Luahna 5012454-3 Liceo 16 Admitido Guichon, Lucía 4998495-2 Liceo 16 Admitido López, Carolina 5367688-4 Liceo 16 Admitido Méndez, Carolina 5233643-7 Liceo 16 Admitido Polero, Matías 5131193-4 Liceo 16 Admitido Robert, Micaela 5112499-2 Liceo 16 Admitido Aguerre, Victoria 5548037-0 Liceo 16 No admitido Casa, Alan 5054487-5 Liceo 16 No admitido Da Silva, Christian 4882861-6 Liceo 16 No admitido Gómez, Lucía 4971705-6 Liceo 16 No admitido Rwy, Dahiana 5606086-6 Liceo 16 No admitido Rodriguez, Pierina 4891738-8 Liceo 16 No admitido Urbane, Tatiana 57871412 Liceo 16 No admitido Andrada, Tania 5081567-3 Liceo 17 Admitido Curbelo, Rocío 5075295-0 Liceo 17 Admitido Martinez, Samuel 5956704-5 Liceo 17 Admitido Ogali, Bruno 5267733-3 Liceo 17 Admitido Patron, Agustina 5054044-4 Liceo 17 Admitido Rangel, Mikaela 5239625-3 Liceo 17 Admitido Vique, Sasha 4855914-2 Liceo 17 Admitido Costa, Federico 5132618-2 Liceo 17 Admitido Flores, Mikaela 525715--6 Liceo 17 Admitido Rojas, Agustina 4953239-3 Liceo 17 No admitido
  • 19.
    Carrera, Cristian 5279913-4 Liceo 17 No admitido Techera, Virginia 4938276-4 Liceo 17 No admitido Durán, Sofía Liceo 17 No admitido Correa, Mikaela 5090667-6 Liceo 17 No admitido Mariana Castiglioni 5.264.277-5 Liceo 18 Admitido Juan Gasparik 5.376.726-3 Liceo 18 Admitido María Franco 4.792.393-6 Liceo 18 Admitido Agustín Bollazzi 5.182.351-6 Liceo 18 Admitido Melany Duarte 4.981.824-0 Liceo 18 Admitido Paola Nuñez 5.199.480-8 Liceo 18 No Admitido Helena Pacitazoglio 5.586.956-4 Liceo 18 No Admitido Micaela Arias 4.849.999-8 Liceo 20 Admitido Leticia Aldama 4.987.247-2 Liceo 20 Admitida Santiago García 4.843.869-3 Liceo 20 No Admitido Diana Hernández 5.074.948-5 Liceo 20 No Admitida Romina Martusciello 5.583.044-5 Liceo 20 No Admitida Carlos Bobadilla 4.902.614-2 Liceo 20 No Admitido Roxana Brust 5.265.898-0 Liceo 20 No Admitida Pablo Villas 4.920.225-4 Liceo 20 No Admitido Lucía Del Pó 5.495.932-0 Liceo 20 No Admitida Fabiana Villar 4.929.269-6 Liceo 20 No Admitida Yuber Duarte 5.136.932-1 Liceo 20 No Admitido
  • 20.
    Leslie Castro 5.268.801-6 Liceo 23 Admitida Franco Cammarota 5.393.911-9 Liceo 23 Admitido Juan Manuel Piante 5.080.002-8 Liceo 23 Admitido Bettina Méndez Lamberti 5.425.729-9 Liceo 23 Admitida Brenda Reyes 5.521.876-9 Liceo 23 Admitida Tatiana Qusada Menéndez 5.266.862-9 Liceo 23 Admitida Victoria Tardi 4.955.593-7 Liceo 23 Admitida Florencia Miranda 4.870.908-8 Liceo 23 Admitida Elianne Saldivia 5.157.354-3 Liceo 23 No Admitida Matías Rodriguez Freitas 4.945.449-2 Liceo 24 No Admitido Florencia Vera 5.260.305- Liceo 29 Admitida Francisco Chiesa 5.471.857-0 Liceo 29 Admitida Catherine Collazo 5.100.891-2 Liceo 29 Admitida Giovana Guillen 5.276.875-5 Liceo 29 Admitida Mariela Cavani 5.219.153-8 Liceo 29 Admitida Marianela Vázquez 5.256.676-9 Liceo 29 Admitida Lucas Sierra 5.308.287-8 Liceo 29 Admitido Romina Talarico 5.333.779-1 Liceo 29 Admitida Agusttina Uranga 5.146.525-1 Liceo 29 Admitida Micaela Bern Cuartas 4.338.111-7 Liceo 29 Admitida Martina Baguato 5.107.024-0 Liceo 29 No Admitida Belén Amorin 5.470.747-6 Liceo 29 No Admitida
  • 21.
    Sofía Talarico 5.333.742-6 Liceo 29 No Admitida Sofía Victoria Batto 5.178.533-8 Liceo 29 No Admitida Iara Platti 4.904.192-2 Liceo 29 No Admitida Lucas Dondán 4.860.662-0 Liceo 30 Admitido Vanessa de los Santos 5.181.445-3 Liceo 30 Admitida Aymara Cardozo 5.163.952-5 Liceo 30 No Admitida Tara Bralich 4.925.974-9 Liceo 30 No Admitida Camila Marenco 5.117.163-8 Liceo 30 No Admitida Matías Fuentes 5.041.685-0 Liceo 30 No Admitido Paula Méndez 5.216.963-8 Liceo 30 No Admitida Agustina Roig 5.488.557-1 Liceo 31 Admitida Daiana Rodriguez 5.608.954-5 Liceo 31 No Admitida Ramirez, Victoria 4969151-5 Liceo 32 Admitido Bairú, Oriana 5440162-4 Liceo 32 No Admitido Baladón, Maximiliano 5029855-8 Liceo 32 No Admitido Berniger, Luana 5352304-5 Liceo 32 No Admitido Moreira, Gabriela 5160480-5 Liceo 32 No Admitido Niñez, Sasha 5174200-1 Liceo 32 No Admitido Figueroa,Florencia 4912934-0 Liceo 37 Admitido Lorenzo, Laura 5012415-9 Liceo 37 Admitido Velazco, Camila 5197177-5 Liceo 37 Admitido
  • 22.
    Devita, Facundo 5135417-7 Liceo 37 No admitido Villa, Facundo 4876589-2 Liceo 37 No admitido Ambrosi, Valeria 5171457-1 Liceo 38 Admitido Allende, Malena 4942850-2 Liceo 38 Admitido Brun, Walter 5142681-1 Liceo 38 Admitido García, Sol 5087718-0 Liceo 38 Admitido Gerpe, Paula 5246647-2 Liceo 38 Admitido Pajares, Florencia 5163100-6 Liceo 38 Admitido Caimi, Belén 5502784-4 Liceo 38 No admitido De Armas, Romina 5126337-8 Liceo 38 No admitido Fleitas, Federico 5018656-1 Liceo 38 No admitido Maldonado, Federico 5427339-6 Liceo 38 No admitido Goncalvez, Micaela 5815695-2 Liceo 38 No admitido Molina, Brandon 5057460-9 Liceo 38 No admitido Montero, Ihara 5126340-3 Liceo 38 No admitido Perez, Lucía 4969252-5 Liceo 38 No admitido Suanes, Federico 4860833-3 Liceo 38 No admitido Soria, Caterine 5381677-5 Liceo 38 No admitido Viera, Silvia 5336537-0 Liceo 38 No admitido Acosta, Magela 5610074-1 Liceo 38 No admitido Alvez, belén 4848095-3 Liceo 41 Admitido Scigliano,Lucero 4962349-3 Liceo 41 Admitido Cabrera, Enzo 508140-6 Liceo 41 No admitido
  • 23.
    Di Stefano, Florencia 5633612-4 Liceo 41 No admitido Ramilo, Kimberly 5974533-5 Liceo 41 No admitido Oriana Madruga 5.159.450-9 Liceo 42 Admitida Marykena Soca 5.087.972-4 Liceo 42 Admitida Melina Trota 5.217.531-2 Liceo 42 Admitida Andrés Reyes 4.858.639-9 Liceo 42 Admitido Ana Penna 4.991.776-5 Liceo 42 No Admitida Yanila Rondán 5.464.478-1 Liceo 42 No Admitida Nancy Casufiaga 5.107.595-5 Liceo 43 Admitida Alexander Zavaguzo 5.289.944-3 Liceo 43 Admitido Agustina Faviora 5.238.223-2 Liceo 43 Admitida Mathías Canaveris 5.365.117-3 Liceo 43 Admitido Emilia Saibene 5.379.861-4 Liceo 43 No Admitida Cyan Silva 5.141.829-2 Liceo 53 Admitida Nicol Cedrés 5.257.784-1 Liceo 53 Admitida Natalia Laimana 5.209.323-0 Liceo 53 Admitida María José Rivero 5.227.899-0 Liceo 53 No Admitida Ana Landabure 5.137.028-0 Liceo 53 No Admitida Ignacio Correa 5.105.157-7 Liceo 53 No Admitido Pilar Chocho 5.167.957-7 Liceo 54 Admitida Lorena Camacho 5.047.052-6 Liceo 54 No Admitida
  • 24.
    Florencia Alvarez 5.623.277-2 Liceo 55 Admitida Sofía Balsamao 5.107.091-1 Liceo 55 Admitida Luana Baquet 5.252.915-1 Liceo 55 Admitida Dana bentancor 4.859.899-6 Liceo 55 Admitida Katheryn Cardozo 5.646.206-2 Liceo 55 No Admitida Sofía Castro 4.892.179-1 Liceo 55 No Admitida Malena Maya 4.982.538-0 Liceo 56 No Admitida Valery Morales 4.924.527-3 Liceo 57 Admitida Lucía Posse 5.108.060-7 Liceo 57 Admitida Lucía Arballo 5.265.219-2 Liceo 57 Admitida Liceo 59 Admitido Guillermo González 5.193.530-9 Liceo 59 Admitida Leslie Rusano 5.203.574-4 Emiliano Pérez 4.929.630-7 Liceo 59 Admitida Sofía Milagros Gea de Vylele 5.612.165-0 Liceo 59 Admitida Mariana Santana 5.278.570-9 Liceo 59 No Admitida Daniel Conte 5.459.881-5 Liceo 59 No Admitida Micaela Corra 4.922.979-0 Liceo 59 No Admitida Liceo 64 Admitida Catherine Celada 4.925.608-2 Liceo 64 Admitida Noelia Lerena 4.888.280- Liceo 64 Admitida Camila Acosta 5.150.758-2
  • 25.
    Manuel Russomando 4.926.476-4 Liceo 64 Admitido Brenda Castillo 4.925.094-3 Liceo 64 Admitida Luana Piñeiro 4.837.768-5 Liceo 64 Admitida Camila Ferreira 5.143.385-4 Liceo 64 Admitida Valentina Varela 5.370.032-0 Liceo 64 Admitida Gabriel Carpio 4.985.974-1 Liceo 64 Admitido Micaela Barbusano 5.761.317-3 Liceo 64 Admitida Magela Leal 5.206.021-0 Liceo 64 Admitida Jessica Calzato 4.815.048-5 Liceo 64 Admitida Anita Gärtner 5.849.838-9 Liceo 64 Admitida Micaela Duarte 2.057.508-9 Liceo 64 Admitida Belén Islas 5.068.385-4 Liceo 64 Admitida Mercedes Carrica 5.220.166-8 Liceo 64 No Admitida Camila Ferreira 5.568.351-4 Liceo 64 No Admitida Georgina Barbeito 5.346.621-2 Liceo 64 No Admitida Naomí Reburedo 5.561.641-8 Liceo 64 No Admitida Belen López 4.854.365-6 Liceo 64 No Admitida Valeria Gigeno 5.207.854-4 Liceo 69 Admitida Gabriel Tellechea 5.216.048-7 Liceo 69 No Admitido Sharon Melo 4.966.580-7 Liceo 69 No Admitida Valentina Fernández 5.650.282-2 Liceo 69 No Admitida Melina Setaro 5.020.177-9 Liceo 69 No Admitida Lucía Burgos 5.199.009-0 Liceo 69 No Admitida Clarisa Vaxelapre 5.593.869-0 Liceo 69 No Admitida
  • 26.
    Noemi Fernández 5.374.399-8 Liceo 69 No Admitida María Presentado 5.237.340-9 Liceo 69 No Admitida Caroline Quiroga 4.917.243-8 Liceo 69 No Admitida Rocha Carmela Santa Cruz 4979307-6 La Paloma No admitido Yadina Rivera 5390219-0 La Paloma No admitido Abigail González 4970704-7 La Paloma No admitido Mateo Lazo 5363427-6 Castillos Admitido Damián Sosa 4948449-1 Castillos No admitido Lucía Ferrer 5086964-6 Castillos Admitido Cecilia Amuedo 4868935-3 Castillos Admitido Valentina Rodriguez 5369958-1 Castillos No admitido Valentina Castro 5138880-9 Castillos No admitido Romina González 4892534-9 Rocha 2 No admitido Vanesa Silvera 5006214-7 Rocha 2 No admitido Lucas García 4909172-3 Rocha 2 Admitido John Inchausti 5042314-7 Rocha 2 No admitido Evelyn Massiotti 5086352-3 Rocha 2 Admitido Maira Nuñez 5058236-9 Rocha 2 No admitido Gilda Pérez 5130793-6 Rocha 2 No admitido Juan Vega 5023191-6 Rocha 2 No admitido Alexia Brañas 4999376-3 Rocha 2 No admitido Ibana Mora 5250968-8 Rocha 2 No admitido Adrián Pereira 5016343-8 Rocha 2 No admitido
  • 27.
    Mayra Rivero 5008642-8 Rocha 2 No admitido Valentine Rodriguez 5456481-0 Rocha 2 Admitido Dahiana Vicente 5005508-2 Rocha 2 No admitido Sofía Cabral 5073705-1 Rocha 2 Admitido Lorena Peyrot 5329171-3 Rocha 2 Admitido Marcos Acosta 5020792-7 Rocha 2 Admitido Micaela Núñez 5156556-0 Rocha 2 No admitido Fernanda Prudente 4856161-0 Rocha 2 No admitido Cecilia Ravera 5193549-0 Rocha 2 No admitido Melanie Moreira 5203841-7 Rocha 2 Admitido Romina Brun 4884735-7 Rocha 2 No admitido Sebastián Rodriguez 4821179-4 Rocha 2 No admitido Aom Sosa 5573492-9 Rocha 2 Admitido Florencia Pérez 5004079-5 Rocha 2 No admitido Nataly Vázquez 5047419-6 Rocha 2 Admitido Rodrigo Píriz 5367773-1 Rocha 2 No admitido Raúl Núñez 4914363-7 Rocha 2 No admitido Johana Tejera 5005654-8 Rocha 2 Admitido Lara Alvarez 4989128-0 Admitido Ignacio Cruz 5034780-2 No admitido Braian Cuomo 5533626-4 No admitido Karen Chaves 4998914-0 No admitido Erneesto Fernández 4941928-0 Admitido Sabrina Rodriguez 5056590-1 No admitido Valentina Núñez 4787509-0 No admitido
  • 28.
    Maximiliano Ortiz 5115921-4 No admitido Kathrina Peyrot 5062906-0 No admitido Bárbara Rocha 4977254-3 No admitido María Cardozo 5359926-6 Admitido Facundo Souza 5074133-9 No admitido Juan Alvarez 5015030-8 Rocha 3 No admitido Florencia Coronel 4772537-2 Rocha 3 No admitido Bruno Egaña 4970703-1 Rocha 3 No admitido Florencia Páez 4873057-0 Rocha 3 Admitido Lucía Britos 5013851-4 Rocha 3 No admitido Belén Delgado 5237571-4 Rocha 3 Admitido Agustina Disiot 5029060-3 Rocha 3 Admitido Valentina Rodriguez 5042310-3 Rocha 3 No admitido Maximiliano Leivas Rocha 3 Admitido Yenifer Acosta 5053562-3 Rocha 3 No admitido Enzo Cardozo 5444848-2 Rocha 3 No admitido Melina Carrión 5061417-0 Rocha 3 No admitido Agustina González 5031201-3 Rocha 3 Admitido Fabio Loyarte 5047793-8 Rocha 3 Admitido Catalina Núñez 4999959-1 Rocha 3 No admitido Valeria Pereyra 5031578-1 Rocha 3 No admitido Facundo Pereyra 5106215-4 Rocha 3 No admitido Emily Pereyra 5028177-3 Rocha 3 No admitido Sebastián Ravera 4934604-7 Rocha 3 No admitido Santiago Sosa 5046265-6 Rocha 3 Admitido
  • 29.
    Natalia Vaga 5034525-2 Rocha 3 No admitido Luciana Bentancort 5015036-4 Rocha 3 Admitido Ruben Granero 4890116-5 Rocha 3 No admitido Tatiana Olivera 5012134-7 Rocha 3 Admitido Agustina Rodríguez 4982108-5 Rocha 3 No admitido Jimena Vicente 5064232-5 Rocha 3 No admitido Indiana Dos Santos 4840237-9 Rocha 3 Admitido Matías Revetria 5354699-6 Rocha 3 Admitido Maldonado Yazmín Sosa 5.107.433.-8 Liceo San Carlos Admitida Victoria Rodriguez 5.290.917-5 Liceo San Carlos Admitida Maikol Gimenez 5.056.173-9 Liceo San Carlos Admitido Helen Alamo 4.822.413-1 Liceo San Carlos Admitida Daiana Fontana 5.500.183-3 Liceo San Carlos Admitida Sofía Pérez 5.014.088-8 Liceo San Carlos Admitida Guillermo Larrosa 4.882.053-5 Liceo San Carlos Admitido Camila Ocampo 4.989.857-3 Liceo San Carlos Admitida Mariana de León 5.057.319-4 Liceo San Carlos Admitida Camila Barboza 5.130.359-8 Liceo San Carlos Admitida Joaquín González 4.898.451-1 Liceo San Carlos Admitido Santigo Pereyra 5.067.954-8 Liceo San Carlos Admitido Luciana Pereira 5.079.501-7 Liceo San Carlos Admitida Valentina Lazaga 5.029.902-9 Liceo San Carlos Admitida Romina Arambillete 5.061.841-1 Liceo San Carlos Admitida Yenifer Barrios 5.018.497-7 Liceo San Carlos Admitida Priscilla Hernández 4.964.793-4 Liceo San Carlos Admitida Sofía Borges 4.995.475-9 Liceo San Carlos Admitida Nahuel Luissi 5.707.272-9 Liceo San Carlos Admitido
  • 30.
    Kihara Azambuya 5.570.382-9 Liceo San Carlos No Admitida Luciana Hernández 5.350.390-8 Liceo San Carlos No Admitida Moira Zipitría 4.964.509-9 Liceo San Carlos No Admitida San José Belo Analia 5433018-4 Liceo Nº2 Admitido Bornes Lucia 5395562-0 Liceo Nº2 Admitido Cachés Sofía 5382345-5 Liceo Nº2 Admitido Carreras Macarena 5188741-3 Liceo Nº2 No admitido Delgado Ana 5197035-1 Liceo Nº2 Admitido Fernández Belén 5355801-6 Liceo Nº2 Admitido Hornos Alejandro 5403482-7 Liceo Nº2 Admitido López Joaquín 4833815-4 Liceo Nº2 Admitido Menendez Sofía 5154253-4 Liceo Nº2 Admitido Menendez LucIa 5355570-7 Liceo Nº3 Admitido Noguera Fabio 4994893-4 Liceo Nº2 Admitido Ortíz Sofía 5067793-6 Liceo Nº2 Admitido Petrullo Yoselín 4982658-0 Liceo Nº3 Admitido Ribas Yamila 5039477-0 Liceo Nº3 Admitido Sánchez Yamila 4090994-4 Liceo Nº2 Admitido Soto Mariana 5211665-3 Liceo Nº2 Admitido Tola Luciana 4968441-7 Liceo Nº3 No admitido Vica Camila 4866293-9 Liceo Nº2 No admitido Zerpa Natasha 4980792-0 Liceo Nº2 Admitida Villa Rodriguez Cabrera Antonella 5140600-3 Liceo Villa Rodriguez Admitida Cabrera Rocío 5022099-7 Liceo Villa Rodriguez No admitido Falero Nadia 4450133-7 Liceo Villa Rodriguez No admitido Núñez Romina 4450133-7 Liceo Villa Rodriguez No admitido Picardp Melissa 5097366-9 Liceo Villa Rodriguez Admitida
  • 31.
    Ponce Sindy 5159824-8 Liceo Villa Rodriguez Admitida Portal Micaela 5030403-0 Liceo Villa Rodriguez Admitida Rodriguez Maico 4734742-5 Liceo Villa Rodriguez No admitido Rodriguez Bruno 5703705-4 Liceo Villa Rodriguez No admitido Libertad Ceja Dana 5271818-6 Liceo Libertad Admitida Bragio Matías 5069567-3 Liceo Libertad Admitida Vila Cinthia 5273303-3 Liceo Libertad Admitida Chiffone Karen 5129060-4 Liceo Libertad Admitida Soto Daiana 5053917-4 Liceo Libertad Admitida Susanday Agustina 4943163-2 Liceo Libertad No admitida Battes Julián 5078619-3 Liceo Libertad Admitida Castells Dayana 4944104-4 Liceo Libertad No admitida Antúnez Facundo 4988179-8 Liceo Libertad No admitida Benitez Valentín 5489263-5 Liceo Libertad Admitida Herou Marcia 5051795-4 Liceo Libertad Admitida De Armas Vanina 4886787-0 Liceo Libertad No admitida Moreira Florencia 5064924-8 Liceo Libertad Admitida Díaz Tatiana 5185168-2 Liceo Libertad Admitida Gonzalez Daniela 4932056-4 Liceo Libertad Admitido Binaghi Nadia 4893861-7 Liceo Libertad Admitido Ameijeida Valentina 5073342-5 Liceo Libertad Admitido Escobar Ana Pula 5488684-8 Liceo Libertad No admitida Revireda Erika 5073364-1 Liceo Libertad Admitido Morandi Renzo 4907449-0 Liceo Libertad Admitido Tafernaberry Agustina 4962997-0 Liceo Libertad No admitida Martinez Juan Pablo 5072572-1 Liceo Libertad No admitida Araújo Agustín 5025998-6 Liceo Libertad Admitido Oteguy Juan Ignacio 4981348-8 Liceo Libertad Admitido
  • 32.
    Ríos Franco 5014355-1 Liceo Libertad No admitida Gonzalez Fiorella 5166961-1 Liceo Libertad Admitido Crabajal Jenifer 5439106-7 Liceo Libertad Admitido Rincón de la Bolsa Rodriguez Tatihana 5605892-8 Liceo Rincón de la Bolsa Admitido Reyes Mauro 5051148-3 Liceo Rincón de la Bolsa Admitido Rodriguez Marelein 5465504-5 Liceo Rincón de la Bolsa Admitido Brillante Mikaela 4926728-3 Liceo Rincón de la Bolsa Admitido Sánchez Facundo 4851745-9 Liceo Rincón de la Bolsa No admitido Chanes Micaela 5357537-7 Liceo Rincón de la Bolsa Admitido Fuco Antonella 4877327-3 Liceo Rincón de la Bolsa No admitido Amaral Darwin 5283747-5 Liceo Rincón de la Bolsa No admitido Curbelo Daniela 5403627-3 Liceo Rincón de la Bolsa No admitido Gonzalez Noelia 5051152-4 Liceo Rincón de la Bolsa Admitido Barrios Gonzalo 5072938-5 Liceo Rincón de la Bolsa Admitido Balcedo Stephanie 4898701-6 Liceo Rincón de la Bolsa No admitido Ecilda Paullier Galeano Eliseo 5013726-9 Liceo Ecilda Paullier Admitido Regens Simón 5015677-2 Liceo Ecilda Paullier Admitido Marrero Damián 5024136-7 Liceo Ecilda Paullier Admitido Viera Agustina 5246658-5 Liceo Ecilda Paullier Admitido Garcia Eleazar 5054377-5 Liceo Ecilda Paullier Admitido Giménez Yary 5494837-9 Liceo Ecilda Paullier No admitido