Temas de importancia actual Manejo de información GIS. Conectividad. Cálculo de media y desv st de cultivos. Manejo de intersiembras. Fert. Variable. Siembra variable. Calibración de monitores y sensores. Manejo de grupos (equipos de trabajo).
La persona, el centro de la tecnología. El hombre al servicio de la máquina La máquina al servicio del hombre
Objetivos de la empresa Administradores Gerentes Subgerentes Encargados Tractoristas Contratistas LOTE Asesores Flujo de información en la empresa agropecuaria Objetivos particulares Objetivos particulares Objetivos particulares
Objetivos del grupo El grupo es de ustedes Fijan plan de trabajo y temas a tocar No es un examen, se trata de mejorar Sinceridad, solidaridad, compromiso - Generar un lenguaje común. Ser el ámbito de capacitación principal, donde se aclaran dudas y se solucionan problemas.
COEF. VARIACIÓN 20 cm 20 cm Desvío std. D Estd:  es la distancia promedio que se desvía del promedio de la muestra Coef Var:  es la proporción que representa el desvío std respecto del promedio de la muestra. ¿Por que nos interesa el Coef Var? Podemos tener un D std. igual en dos muestras, por ej: 5 cm, pero si el promedio de una de las muestras es de 20 cm, y el de la otra es de 10 cm, la desuniformidad de siembra será mayor en la de prom. 10, ya que 5 cm es el 50% en esta muestra, y el 25% en la de 20cm. Desvío std. 10 cm D std.: 5 cm C Var: 50 % D std.: 10 cm C Var: 50 % D std.: 5 cm C Var: 25 %
COEF. VARIACIÓN - DENSIDAD D: 80.000 CV: 15% D: 80.000 CV: 40% D: 65.000 CV: 15% D: 65.000 CV: 40%
MAÍZ Logro (%) y Coef. Var. (%) por empresa.
MAÍZ Logro (%) y Coef. Var. (%) por empresa.
MAÍZ Logro (%) y Coef. Var. (%) por sembradora.
MAÍZ Logro (%) y Coef. Var. (%) por sembradora.
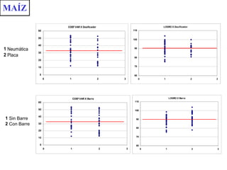
MAÍZ Dosificador Barredor
MAÍZ
SOJA Logro (%) por empresa.
SOJA Logro (%) por sembradora.
SOJA
SOJA Dosificador

Siembra Gruesa 06 07

  • 1.
  • 2.
    Temas de importanciaactual Manejo de información GIS. Conectividad. Cálculo de media y desv st de cultivos. Manejo de intersiembras. Fert. Variable. Siembra variable. Calibración de monitores y sensores. Manejo de grupos (equipos de trabajo).
  • 3.
    La persona, elcentro de la tecnología. El hombre al servicio de la máquina La máquina al servicio del hombre
  • 4.
    Objetivos de laempresa Administradores Gerentes Subgerentes Encargados Tractoristas Contratistas LOTE Asesores Flujo de información en la empresa agropecuaria Objetivos particulares Objetivos particulares Objetivos particulares
  • 5.
    Objetivos del grupoEl grupo es de ustedes Fijan plan de trabajo y temas a tocar No es un examen, se trata de mejorar Sinceridad, solidaridad, compromiso - Generar un lenguaje común. Ser el ámbito de capacitación principal, donde se aclaran dudas y se solucionan problemas.
  • 6.
    COEF. VARIACIÓN 20cm 20 cm Desvío std. D Estd: es la distancia promedio que se desvía del promedio de la muestra Coef Var: es la proporción que representa el desvío std respecto del promedio de la muestra. ¿Por que nos interesa el Coef Var? Podemos tener un D std. igual en dos muestras, por ej: 5 cm, pero si el promedio de una de las muestras es de 20 cm, y el de la otra es de 10 cm, la desuniformidad de siembra será mayor en la de prom. 10, ya que 5 cm es el 50% en esta muestra, y el 25% en la de 20cm. Desvío std. 10 cm D std.: 5 cm C Var: 50 % D std.: 10 cm C Var: 50 % D std.: 5 cm C Var: 25 %
  • 7.
    COEF. VARIACIÓN -DENSIDAD D: 80.000 CV: 15% D: 80.000 CV: 40% D: 65.000 CV: 15% D: 65.000 CV: 40%
  • 8.
    MAÍZ Logro (%)y Coef. Var. (%) por empresa.
  • 9.
    MAÍZ Logro (%)y Coef. Var. (%) por empresa.
  • 10.
    MAÍZ Logro (%)y Coef. Var. (%) por sembradora.
  • 11.
    MAÍZ Logro (%)y Coef. Var. (%) por sembradora.
  • 12.
  • 13.
  • 14.
    SOJA Logro (%)por empresa.
  • 15.
    SOJA Logro (%)por sembradora.
  • 16.
  • 17.