Juan ‐ Luis Menares Rodríguez
Arquitecto Tasador / I.C.A. 10.867
Rol 4414 Registro Consultores MINVU
INFORME DE TASACION
Comuna: VIÑA DEL MAR
Rol Predial: 2476-77
Dirección: LLANQUIHUE MZ B− 9 ST 3,
SECTOR ALEJANDRO NAVARRETE
Destino del bien raíz: HABITACIÓN
PROFESIONAL ACTUANTE:
Juan Luis Menares Rodríguez
Arquitecto UTFSM, ICA 10.867, Rol 4414 Reg. Consultores MINVU
CONTACTO: +56 9 4105 5309, juan.menares@ug.uchile.cl
INFORME TASACION INMUEBLE
Juan ‐ Luis Menares Rodríguez
Arquitecto Tasador / I.C.A. 10.867
Rol 4414 Registro Consultores MINVU
OBJETIVO
Se extiende el presente informe de tasación para trámites posteriores de preventa y obtención de crédito hipotecario
mediante entidad bancaria o financiera afín. Su utilización en acciones jurídicas o comerciales queda abierta.
IDENTIFICACION DEL BIEN RAIZ
Comuna: VIÑA DEL MAR
Rol Predial: 2476-77
Dirección: LLANQUIHUE MZ B− 9 ST 3,
POB. ALEJANDRO NAVARRETE, REÑACA
Destino del bien raíz: HABITACIÓN
Permiso de obras: PON 70/74
Recepción de obras: ROE 226/76
Propietario: TERESA ROJAS SOFFER
Mandante: EVELYN PUEBLA
Rut: 10418211-9
Tasador: JUAN LUIS MENARES RODRIGUEZ, Arquitecto
Tasador Rol 4414, Registro de Consultores MINVU
Fecha: 8 de Febrero de 2023
I. DESCRIPCIÓN DEL SECTOR
A. Localización
La vivienda se encuentra localizada en el límite nor poniente de Viña del Mar, dentro de la zona denominada
“Alejandro Navarrete”, miradores de Jardín del Mar, Zona V-12 del plano regulador comunal. En específico entre
Pasaje 27 por el Poniente (calle de acceso), Pasaje 26 por el Sur, Llanquihue por el Oriente (acceso principal) y
Llanquihue por el Norte.
B. Características generales y composición
El terreno posee una anulada por cortes y rellenos contenidos. No existen evidencias de los estratos anteriores a la
construcción del edificio. De los antecedentes en terreno puede inferirse que se trata de suelos arcillosos con
presencia de maicillo y roca descompuesta en el subsuelo. La llegada al firme se garantiza mediante cimentación
corrida y contenciones. Se han ejecutado todas las obras necesarias de nivelación y contención. Los patios y
estacionamientos son de pendiente apropiada al uso cotidiano -al interior y exterior del predio-. Cuenta con obras.
C. Infraestructura y urbanización
La vivienda y su entorno inmediato se encuentran urbanizados. Al presente cuenta con servicios básicos operativos.
Al igual que todas las unidades del barrio posee dotación de servicios activa mediante conexión y empalme a la red
pública en control del operador de servicios local –concesionaria ESVAL-.
El suministro de fuerza eléctrica es mediante red aérea trifásica existente según se rescata de los antecedentes de
factibilidad online –Chilquinta-. La postación está vigente y sus servicios operativos.
La pavimentación de recorrido vehicular en el camino de acceso, Llanquihue y Pasaje 27, es en carpeta con rasante
de hormigón armado, al igual que las veredas y escurrimientos de agua lluvia-. Cuenta con zarpa y empalme de
igual materialidad en el acceso de estacionamiento. La vivienda posee entrada desde la calle hasta su
estacionamiento. Se verifica existencia de área verde y ambiente sólido de estacionamiento. Los cerramientos son
en albañilería y acero.
INFORME TASACION INMUEBLE
Juan ‐ Luis Menares Rodríguez
Arquitecto Tasador / I.C.A. 10.867
Rol 4414 Registro Consultores MINVU
II. DESCRIPCIÓN DE LA PROPIEDAD
A. Características
La vivienda posee una materialidad mixta de albañilerías confinadas y maderas, todas con terminaciones de
estándar medio. La trama vial circundante le provee de todos los servicios públicos necesarios para la vivienda. La
población del sector es de clase media de tipo C2. En un radio de 100 metros cuenta con comercio minorista, y en
uno de 500 m con centros mayoristas de enseres y acceso a instituciones de salud y educación en todos sus
niveles. La cota promedio de 200 m sobre el NMM, le hacen parte del clima mediterráneo costero propio de los
faldeos de la Cordillera de la Costa.
B. Emplazamiento general
La obra está aproximadamente a 2.00 km de la playa –desde el acceso principal a la propiedad-, en sus patios tiene
panorámicas al oriente –reserva natural- y al poniente –Jardín del Mar-. Con respecto al plan regulador comunal, se
encuentra en el área V-12 -correspondiente a las manzanas mirador de la Población Alejandro Navarrete, con 200
metros sobre el nivel medio del mar-, por lo que posee una excelente ventilación, asoleamiento y perspectivas sobre
la costa nor poniente de la ciudad –valor inmaterial del barrio-. Se integra al circuito de peatonales y avenidas
costeras de Jardín del Mar alto y el quinto sector.
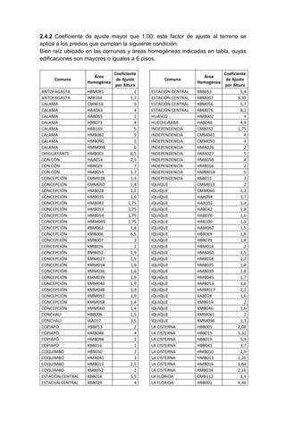
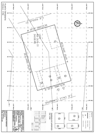
C. Terreno: Deslindes y Superficies
Los deslindes señalados corresponden a los rescatados del levantamiento. Se haya inscrita a fojas 3311, nro 4386
en el registro de propiedad del año 2001.
 Al Norte : 20.00 m en línea continua (limitando con otro propietario)
 Al Sur : 20.00 m en línea continua (limitando con otro propietario)
 Al Oriente : 12.00 m en línea continua (limitando con Pasaje 27)
 Al Poniente : 12.00 m en línea continua (limitando con Calle Llanquihue)
 Superficie : 240.00 M2
Programa y estado actual
 Destino :
Inmueble de destino habitacional -obras en terreno sin pendiente-.
 Programa :
Vivienda con área social, cocina, baños y dormitorios. En volumen anexo estacionamiento.
 Materialidad :
Muros de hormigón armado en contenciones y losas. Albañilerías confinadas y divisiones de madera en interiores y
segundo piso de vivienda.
 Conservación :
Su estado general es semi nuevo y habitable. No se considera desvalorización por tiempo o daños.
 Deudas, Expropiaciones y Cesiones
No registra
INFORME TASACION INMUEBLE
Juan ‐ Luis Menares Rodríguez
Arquitecto Tasador / I.C.A. 10.867
Rol 4414 Registro Consultores MINVU
D. Foto georreferenciada
Coordenadas -32.982566, -71.528368
III. RESUMEN DE ANTECEDENTES SECTORIALES
Zona V-12 Plan Regulador Comunal VIÑA DEL MAR
Usos Permitidos Vivienda, Salud, Área verde,
Actividad inofensiva compatible.
Usos Prohibidos Industria, equipamiento; actividad molesta, insalubre y peligrosa en general.
Condiciones de Edificación
a) Superficie Predial mínima 240.00 m2
b) Frente Predial mínimo ***
c) Ocupación máxima de suelo 50.00%
d) Coeficiente de Constructibilidad 120.00%
e) Sistema de agrupación Aislado/ Pareado/ Contínuo
f) Fondo predial mínimo ***
g) Antejardín mínimo 3.00 m
h) Altura de cierros 1.60 (semi transparente hacia la calle)
i) Densidad de ocupación 850 hab/há
j) Altura máxima 7 pisos/ 21 metros
Rasantes y distanciamientos según OGUC. Retranqueos de un metro adicional por cada nivel sobre el
segundo piso proyectado.
INFORME TASACION INMUEBLE
Juan ‐ Luis Menares Rodríguez
Arquitecto Tasador / I.C.A. 10.867
Rol 4414 Registro Consultores MINVU
IV. VALORIZACION SIMPLE
a) El valor comercial se asignará por referencia directa con las áreas homogéneas –AH- de la comuna, según
tabla 2017 del servicio de impuestos internos (vigente al momento de elaboración del informe). Además se
cotejará con ejemplos de mercado homologables.
b) El valor físico de las construcciones, corresponderá al vigente por metro cuadrado MINVU, incluyendo los
costos indirectos de ejecución, y pudiendo considerar depreciación. Se utilizará tabla de costos unitarios
correspondientes al trimestre y su categorización.
c) Los costos de ejecución se harán en base a la tabla del colegio de arquitectos de Chile y estimando recargo
adicional por concepto de especialidades técnicas.
Los siguientes recuadros muestran:
1.- Las diversas áreas homogéneas, dando el valor promedio en pesos por m2.
Area Homogénea AH Valor $/m2 ÁREAS HOMOGENEAS $/M2
HBB 169 90,958 HBB 169 121,924
HAB 021 195,595 HAB 021 262,184
HMB 022 177,755 HMB 022 238,270
HMB 089 123,277 HMB 089 165,246
HMB 105 96,158 HMB 105 128,894
Promedio $/m2 136,749 PROMEDIO $/M2 183,304
Promedio con ajuste 136,749 Promedio con ajuste 183,304
UF 2017 26348 FACTOR CORRECCIÓN
UF 2023 35318 1.340443297
2.- El recargo porcentual de aranceles para proyectos según tablas del Colegio de Arquitectos -respecto al rango de
costo material en UF-.
Factores de ajuste
Factor Superficie 1
Factor frente fondo 1
Factor altura 1
Factor casos excepcionales 1
Factor prom. de ajuste 1
3.- Los factores de ajuste por situaciones especiales, constatando variabilidad leve de costos promedio, dado el
factor superficie –que supera a las constatadas a su alrededor-.
INFORME TASACION INMUEBLE
Juan ‐ Luis Menares Rodríguez
Arquitecto Tasador / I.C.A. 10.867
Rol 4414 Registro Consultores MINVU
Factores de ajuste
Factor Superficie 1
Factor frente fondo 1
Factor altura 1
Factor casos excepcionales 1
Factor prom. de ajuste 1
Teniendo como resultado 183.304 $/m2 se multiplicará esta cifra en un 200% para corregir la división a la mitad
del valor promedio de compraventas -por sector- aplicado en el SII para el cálculo de contribuciones. Por tanto
el promedio resultante de selección de áreas homogéneas cercanas al caso será 366.608 $/m2.
Siendo la presente tasación del tipo técnica comercial, se presentará a continuación tabla de casos
homologables, seleccionados desde bases de datos de corretaje de propiedades. Esto a fin de obtener un costo
promedio por metro cuadrado que se coteje con la cifra obtenida mediante el cálculo desde las tablas de
valorización técnica territorial precedentes.
Los casos homologables rescatados son los siguientes:
Caso Total $ Apx. obra $ Lote $ Lote M2 link $/m2 lote
1 118,000,000 58,000,000 60,000,000 107
https://www.corpinmobiliaria.cl/prop/venta-
casa-vina-del-mar-alejandro-
navarrete_1965316?utm_source=Lifull-
connect&utm_medium=referrer
560,748
2 123,589,795 66,500,000 57,089,795 108
https://casas.trovit.cl/listing/casa-en-venta-en-
vina-del-mar.s1wY1W1cM1j1R
528,609
3 175,000,000 80,000,000 95,000,000 190
https://casas.mitula.cl/detalle/370358/26801296
75192359074/21/1/terrenos-gomez-
carre%C3%B1o?search_terms=terrenos+gomez+c
arre%C3%B1o&page=1&pos=21&t_sec=1&t_or=2
&t_pvid=49645ccf-3538-4ff0-94dd-1d0edcbb515c
500,000
4 379,050,000 125,000,000 254,050,000 380
https://casas.trovit.cl/listing/casa-en-jardin-del-
mar-5d-4b-163380m2.42f80097-409a-3bdf-b336-
a1fe7815cfb2
668,553
5 190,662,984 60,000,000 130,662,984 230
https://casas.trovit.cl/listing/vina-del-mar-
poblacion-alejandro-navarrete-pasaje-18-d3-casa-
7-gomez-carreno-vina-del-mar.1b71ntZ1wA1K
568,100
costo promedio 565,202
promedio con factores de ajuste SII 565,202
Considerando el promedio en la presente tabla de 565.202 $/m2 y el promedio resultante de selección de áreas
homogéneas cercanas al caso de 366.608 $/m2 tenemos un valor promedio final del metro cuadrado
correspondiente a 465.905 $/m2 los que serán aplicados a la tabla de cálculo final.
Para estimar el costo de materiales de construcción se considera la categoría E de construcción LIVIANA en
MADERA con presencias de terminaciones mixtas –cuya desvalorización se ha de explicitar en tabla final-. Las
obras de terminación serán consideradas dentro del costo unitario por m2 de la misma categoría -dada su baja
relevancia en el contexto general-. En primeros pisos y estacionamiento aplicará la categoría C correspondiente
a las soluciones en albañilería confinada.
INFORME TASACION INMUEBLE
Juan ‐ Luis Menares Rodríguez
Arquitecto Tasador / I.C.A. 10.867
Rol 4414 Registro Consultores MINVU
Costo m2 materiales
Clasificación E Madera
Categoría 2 Media sup.
Promedio $/m2
Clasificación C Madera
Categoría 2 Media sup.
Promedio 311898 $/m2
Valor promedio final tierra $/m2
465904.69
Por último se considera en la tabla de la valorización final
- 75% sobre el total de materiales, a razón de costos de mano de obra necesaria para ejecutar las obras.
- Itemizado de costos adicional por concepto de proyectos e instalación de obras complementarias.
- Un coste estimativo de especialidades a 2 UF/m2 a razón de la data de ejecución de obras.
- Desvalorizaciones según tabla SII.
Alcances preliminares
1. El profesional actuante no tiene hoy ni espera tener en el futuro, interés en la propiedad tasada ni ningún
impedimento para llevar a cabo este trabajo en forma independiente.
2. El tasador no tiene personal interés ni participación en los usos que se hagan de la tasación.
3. Que se ha inspeccionado la propiedad por medios de levantamiento GPS. La información que presenta es
verdadera, y no se ha obviado nada de importancia.
4. Que todos los inconvenientes y limitaciones que pueda tener el inmueble y su vecindario están mencionados.
5. Que las conclusiones y opiniones referentes a la información requerida en este informe han sido preparadas
por el tasador abajo firmante, el cual se hace legalmente responsable de las apreciaciones contenidas en la
tasación, en conformidad al artículo 22, del Reglamento de Sociedades Anónimas.
6. Los factores de ajuste son estimados en base a situación topográfica constatada en terreno.
7. El costo por metros lineales y la valorización de obras de provisión de servicios serán a criterio del profesional
actuante. Se añadirá el costo de proyectos aprobados, dada su relevancia por concepto de gasto y vigencia –
si existieren-.
8. La propiedad está sujeta a plano regulador comunal vigente. Se informa de cambios que pudiesen afectarle.
9. Las conclusiones de una tasación son objetivas en la medida de lo posible, haciendo uso de datos públicos y
levantamientos; esta circunstancia no implica nulidad de posibilidades de variación por razones de índole
social en general.
10. Corresponderá al mandante extender el certificado de hipotecas, gravámenes, prohibiciones y litigios.
A CONTINUACIÓN TABLA DE VALORIZACIÓN.
INFORME TASACION INMUEBLE
Juan ‐ Luis Menares Rodríguez
Arquitecto Tasador / I.C.A. 10.867
Rol 4414 Registro Consultores MINVU
A. CUADRO DE VALORIZACION
1. Predio y materiales
Item Sup. m² $/m² UF/m² Total $ Total UF
Lote 240.00 465,905 13.19 111,817,200.00 3,166.28
Materiales construcción sólida 91.14 311,898 8.83 28,426,383.72 804.94
Materiales construcción liviana 33.01 223,202 6.32 7,367,898.02 208.63
Subtotal bienes inmuebles 147,611,481.74 4,179.85
2. Proyectos y construcción
Item Sup. m² $/m² UF/m² Total $ Total UF
Construcción sólida 91.14 234,510 6.64 21,373,220.84 605.22
Construcción liviana 33.01 167,821 4.75 5,539,772.95 156.87
Especialidades 91.14 70,630 2.00 6,437,218.20 182.28
Subtotal profesionales y maestros 33,350,211.99 944.36
3. Obras Complementarias
Item U / m.l. $/U UF/m Total $ Total UF
Cierro perimetral y muros contención 64.00 115,000 3.26 7,360,000.00 208.41
Empalme y conexión 2.00 3,500,000 99.11 7,000,000.00 198.22
Empalme eléctrico 1.00 3,500,000 99.11 3,500,000.00 99.11
Mano de Obra 5.00 700,000.00 3,500,000.00 99.11
Subtotal OO. CC. 21,360,000.00 604.84
4. Desvalorización
Item vida util SII $ / año años obra Tot. $ x desc. Total UF
obras categoría C 80 355,330 40 14,213,192 402.47
obras categoría E 80 92,099 40 3,683,949 104.32
obras complementarias 80 223,250 47 10,492,750 297.12
5. TOTAL VALORIZACION FISICA 173,931,802.86 4,925.15
B. VALORES DE TASACION
Item Total $ Total UF
VALOR TASACION 173,931,802.86 4,925.15
VALOR SEGURO PREDIO 100% 111,817,200.00 3,166.28
VALOR SEGURO CONSTRUCCIONES Y OO. CC. 100% 62,114,602.86 1,758.87
VALOR LIQUIDACION 75% 130,448,852.14 3,693.87
Valor UF Febrero 2023 35,315.00
INFORME TASACION INMUEBLE
Juan ‐ Luis Menares Rodríguez
Arquitecto Tasador / I.C.A. 10.867
Rol 4414 Registro Consultores MINVU
C. RESULTADOS:
1. A partir de los parámetros utilizados, los resultados arrojan un valor base del terreno en 3166 UF
2. Considerando la superficie del inmueble y desvalorización; los proyectos y materiales se estiman en 1758 UF
3. Considerando el valor de la UF a la fecha, el monto de tasación se estima en $173.931.802
4. En Anexos de este informe se entrega documentación de respaldo a los parámetros aplicados para la tasación
D. COMENTARIO FINAL DE VALORIZACIÓN:
Estando urbanizada y ejecutada las obras de infraestructura correspondiente al acceso y servicios -en entorno inmediato
de las obras- y existiendo labores de ingeniería y arquitectura ya realizadas y en óptimas condiciones (consideradas con
ajustes de valor por su fecha de ejecución); se estima una incorporación factible al mercado.
El valor promedio de la unidad vendible, definido bajo la metodología de informe, considera modificaciones a la baja de
carácter leve dada la ejecución –aproximadamente cuatro décadas atrás-. La construcción se aprecia en estado de
conservación óptima, no requiriendo intervenciones en estructuras para consolidar la habitabilidad.
J U A N - L U I S M E N A R E S R O D R I G U E Z
Tasador: Rol 4414 Reg. Consultores MINVU
Profesión: Arquitecto/ I.C.A.10867
INFORME TASACION INMUEBLE
Juan ‐ Luis Menares Rodríguez
Arquitecto Tasador / I.C.A. 10.867
Rol 4414 Registro Consultores MINVU
V. COMPLEMENTO DE ANTECEDENTES TECNICO-LEGALES
1. Registro tasador
2. Certificado de avalúo
3. Certificado de deuda tributaria
4. Certificado exención de expropiación
5. Plano plancheta SII
6. Plano esquemático del lote
7. Plano esquemático obras
8. Planta Google Earth
9. Planta Google Maps
10. Fotografías
11. Extracto plano regulador comunal
12. Extracto plano de áreas homogéneas 2018
13. Extracto P.R.C. Ordenanza Local
14. Tabla de ajustes SII
15. Tabla desvalorización SII
16. Tabla de categorías de construcción
17. Tabla de Honorarios CA
INFORME TASACION INMUEBLE
Fecha de Emisión: 07 de Febrero de 2023
CERTIFICADO DE AVALÚO FISCAL
Avalúos en pesos del PRIMER SEMESTRE DE 2023
Comuna : VINA DEL MAR
Número de Rol de Avalúo : 02476 − 00077
Dirección o Nombre del bien raíz : LLANQUIHUE MZ B− 9 ST 3 ALEJANDRO NAVARRETE
Destino del bien raíz : HABITACIONAL
AVALÚO TOTAL : $ 51.484.022
AVALÚO EXENTO DE IMPUESTO : $ 51.484.022
AVALÚO AFECTO A IMPUESTO : $ 0
El avalúo que se certifica ha sido determinado según el procedimiento de tasación fiscal para el cálculo del
impuesto territorial, de acuerdo a la legislación vigente, y por tanto no corresponde a una tasación comercial de la
propiedad.
Por Orden del Director
CERTIFICADO GRATUITO
1/1
Certificado de Deuda
ROJAS SOFFER TERESA Y OTROS
NOMBRE
LLANQUIHUE MZ B- 9 ST 3 VINA DEL MAR
037-02476-077
DIRECCION
ROL
COMUNA
ESTE ROL VINA DEL MAR 037-02476-077 NO REGISTRA DEUDA
11:49
La Institución o persona ante quien se presenta este certificado, podrá verificar su autenticidad en www.tgr.cl, ingresando el número del código de
barra que se indica en certificado.
(Liquidada al: 07-02-2023)
El Servicio de Tesorería certifica que de acuerdo al estado de la Cuenta Única Tributaria no se registra deuda asociada a este ROL VINA DEL MAR
037-02476-077.
IMPORTANTE
Emitido a las:
Página 1 de
Fecha de Emisión del Certificado: 07-02-2023
1
DOCUMENTO NO VALIDO PARA PAGAR EN INSTITUCIONES RECAUDADORAS
001SD202303825534262
N° Certificado: 2700988
Informe Situación de Inmueble
Valparaiso, 7 de Febrero de 2023
Este Servicio informa con esta fecha que:
Inmueble ubicado en LLANQUIHUE MZ B 9 ST 3 ALEJANDRO NAVARRETE de la
comuna de VIÑA DEL MAR, Rol de Avalúo Nº 02476-00077 se encuentra NO AFECTO A
EXPROPIACIÓN por SERVIU de Valparaiso.
Se extiende el presente informe a solicitud JUAN LUIS MENARES RODRÍGUEZ, para ser
presentado en CHILE PROPERTY APPRAISAL.
Emitido de conformidad con lo dispuesto en los articulos 5 y 20 de la Ley 19.628 y 17 de la
Ley 19.880.
Oficina Virtual Internet
Cajero Virtual Internet
Costo de la Solicitud: $ 0
Código de Transacción: BD4866B7
Si el número del inmueble del Rol consultado no coincide con la numeración de la propiedad desplegada, deberá solicitar un certificado de
numeración en la dirección de obras de la municipalidad a la que pertenece la propiedad.
Informe para el inmueble ubicado en LLANQUIHUE MZ B 9 ST 3 ALEJANDRO NAVARRETE de la comuna de VIÑA DEL MAR, Rol
de Avalúo Nº 02476-00077, emitido en: Valparaiso, 7 de Febrero de 2023
Cajero: Oficina Virtual Internet
N° Certificado: 2700988
La
información
espacial
contenida
es
solo
referencial.
Información
espacial
almacenada
en
WGS
84,
proyección
UTM,
huso
12
Sur,
17
Sur,
19
Sur
según
corresponda.
Capa
vectorial
de
límites
de
propiedades
rurales,
fue
generada
por
CIREN,
a
partir
de
los
planos
análogos
del
SII
sobre
imágenes
satelitales
ortorrectificadas.
La
capa
Áreas
Homogéneas
del
Reavalúo
SNE
2023
está
determinada
de
acuerdo
a
la
base
de
datos
catastral
del
SII
vigente
al
segundo
semestre
de
2022,
por
lo
que
no
reflejan
modificaciones
posteriores
y
los
montos
de
valor
m
de
terreno
están
expresados
en
moneda
nacional
al
SEGUNDO
SEMESTRE
DE
2022.
Las
capas
de
Áreas
Homogéneas
y
el
valor
del
m
de
terreno
(en
moneda
nacional
al
SEGUNDO
SEMESTRE
DE
2021)
del
Reavalúo
2022
están
determinadas
de
acuerdo
a
la
base
CARTOGRAFIA
DIGITAL
SII
MAPAS
Catálogo
Mapas
Ingresar
Buscar
Comunas
Buscar
Reavalúo
Buscar
Dirección
Buscar
Rol
DATO
PREDIAL
Catastro
Legal
Comuna
Rol
Predial
VIÑA
DEL
MAR
2476-76
Dirección
o
Nombre
de
la
Propiedad
LAGO
LANQUIHUE
COOPERATIVA
Ubicación
Reavalúo
URBANA
RAV
NO
AGRICOLA
2022
Destino
Área
Homogénea
HABITACIONAL
HBB169
Catastro
Valorizado
Avalúo
Total
$51.156.392
Avalúo
Afecto
$0
Avalúo
Exento
$51.156.392
Avalúos
en
pesos
del
PRIMER
SEMESTRE
DE
2023
El
avalúo
indicado
ha
sido
determinado
según
el
proceso
de
tasación
fiscal
para
el
cálculo
de
impuesto
territorial,
de
acuerdo
a
la
legislación
vigente,
y
por
tanto
no
corresponde
a
una
tasación
comercial
de
la
propiedad.
Ocultar
2
2
de
datos
catastral
del
SII
vigente
al
segundo
semestre
de
2021,
por
lo
que
no
reflejan
modificaciones
posteriores.
La
capa
Áreas
Homogéneas
del
Reavalúo
de
sitios
no
edificados,
propiedades
abandonadas
y
pozos
lastreros
2021,
está
determinada
de
acuerdo
a
la
base
de
datos
catastral
del
SII
vigente
al
segundo
semestre
de
2020,
por
lo
que
no
reflejan
modificaciones
posteriores
y
los
montos
de
valor
m
de
terreno
están
expresados
en
moneda
nacional
al
SEGUNDO
SEMESTRE
DE
2020.
La
capa
Áreas
Homogéneas
del
Reavalúo
de
sitios
no
edificados,
propiedades
abandonadas
y
pozos
lastreros
2020,
está
determinada
de
acuerdo
a
la
base
de
datos
catastral
del
SII
vigente
al
segundo
semestre
de
2019,
por
lo
que
no
reflejan
modificaciones
posteriores
y
los
montos
de
valor
m
de
terreno
están
expresados
en
moneda
nacional
al
SEGUNDO
SEMESTRE
DE
2019.
La
capa
Áreas
Homogéneas
del
Reavalúo
de
sitios
no
edificados,
propiedades
abandonadas
y
pozos
lastreros
2019,
está
determinada
de
acuerdo
a
la
base
de
datos
catastral
del
SII
vigente
al
segundo
semestre
de
2018,
por
lo
que
no
reflejan
modificaciones
posteriores
y
los
montos
de
valor
m
de
terreno
están
expresados
en
moneda
nacional
al
SEGUNDO
SEMESTRE
DE
2018.
2
2
2
PISO 1, CLASE C
PISO 2, CLASE E
PISO 1, AMPLIACIÓN CLASE C
Decreto 10046, VIÑA DEL MAR (2016)
Biblioteca del Congreso Nacional de Chile - www.leychile.cl - documento generado el 06-Feb-2023 página 8 de 11
IV.- Modifíquese el artículo 16 "Zonas y Áreas", agregando a la columna
"ZONAS URBANAS", las zonas V12, E12 y EV.
V.- Modifíquese en el artículo 17 "Normas de usos de suelo, condiciones de
subdivisión y edificación", agregándose las siguientes zonas junto a sus
correspondientes normas de uso de suelo y condiciones de edificación:
V.1.- ZONA V12 (Aplicada sobre las poligonales A1-A26 y B1-B6 graficadas en el
plano P.MPRC.SGC-LSER/01)
1.- USOS DE SUELO
1.1.- Usos Permitidos
1.1.1.- Residencial Vivienda Hoteles, moteles, residenciales, hosterías
1.1.2.- Equipamiento
Decreto 10046, VIÑA DEL MAR (2016)
Biblioteca del Congreso Nacional de Chile - www.leychile.cl - documento generado el 06-Feb-2023 página 9 de 11
Comercio: Restaurant, bar, fuente de soda, centro comercial, supermercado,
mercado, feria libre, local comercial; centro de servicio automotor y estación de
servicio automotor.
Culto, cultura: Museo, biblioteca, sala de concierto, teatro, auditorio, jardín
botánico, casa de la cultura, cine.
Deporte: Estadio, coliseo, cancha, piscina, centro deportivo y gimnasio;
Educación;
Esparcimiento: Parque de entretenciones;
Salud: Clínicas, postas, consultorios;
Seguridad; Bomberos, comisaría, tenencia.
Servicios; Correo, telégrafo y servicios de utilidad pública; servicios
profesionales; servicios artesanales inofensivos;
Social;
1.1.3.- Infraestructura: Estaciones de transporte público
1.1.4. Espacio público;
1.1.5. Área verde.
1.2. Usos prohibidos: Todos los no consignados en los numerales anteriores y
expresamente los siguientes: talleres, estaciones de servicio automotor y centros de
mantención automotor, venta de vehículos livianos, impacto similar al uso
industrial, edificios de estacionamiento.
2. CONDICIONES DE SUBDIVISIÓN Y EDIFICACIÓN:
2.1. Superficie predial mínima: 240 metros cuadrados
2.3. Coeficiente de ocupación de suelo: 0,50
2.4. Coeficiente de Constructibilidad: 1,2
2.5. Tipo de agrupamiento: Continuo, aislado y pareado 2.6. Altura máxima:
7 pisos y 21 metros, medidos desde el suelo natural.
2.7. Distanciamientos y rasantes: Se deberá aplicar lo establecido en la
Ordenanza de la Ley General de Urbanismo y Construcciones.
2.8. Antejardín:
. De tipo A con un ancho de 3 m
. Para los predios que enfrenten las vías troncales y colectoras de la comuna
el antejardín será de 7 m.
2.9. Densidad bruta máxima: 850 habitantes por hectárea
2.10. Estacionamientos: Según se establece en Capítulo y Tabla Dotaciones
Mínimas de Estacionamiento Vehicular de la presente ordenanza.
V.2.- ZONA E-12 (Aplicada sobre la poligonal A1-A26 graficada en el plano
P.MPRC.SGC-LSER/01)
1.- USOS DE SUELO
1.1.- Usos permitidos
1.1.1.- Residencial Vivienda Hoteles, moteles, residenciales, hosterías.
1.1.2.- Equipamiento Comercio: Centro de servicio automotor, estaciones de
servicio automotor (bombas de bencina); ferias; local comercial, mercados,
restoranes, supermercados, oficinas profesionales.
Culto, cultura:
Deporte:
Esparcimiento: Parque de entretenciones
Salud: hospitales, clínicas, postas, dispensarios, consultorios;
Seguridad;
Servicios;
Social;
1.1.3.- Actividades productivas "inofensivas": a) Taller,
1.1.4. Espacio público;
1.1.5. Área verde: Parques, plazas, jardines y juegos infantiles.
1.2. Usos prohibidos: Todos los no consignados en los numerales anteriores y
expresamente los siguientes:
Exhibición y/o ventas de vehículos livianos (viales, acuáticos y/o aéreos);
ANEXO N° 2
TASACIÓN DE TERRENOS
1 CONSIDERACIONES GENERALES:
Cuando un determinado inmueble presenta características que le generan una
variación respecto del valor unitario de terreno establecido para el Área
Homogénea en que se ubica, y éstas características no se encuentran señaladas
en la ficha descriptiva del Área Homogénea y tampoco se encuentran
consideradas en la determinación del valor unitario de terreno fijado para esta en
los planos de precios comunales, ni se ven reflejadas en el coeficiente guía
aplicado al terreno, antecedentes que se encuentra señalados en el Anexo N°1
aprobado por la misma resolución que aprueba el presente anexo, se aplicará al
inmueble, un coeficiente corrector para ajustar el valor del terreno según la
situación particular que lo afecta.
De acuerdo con lo anterior, el Avalúo de Terreno está determinado de la siguiente
forma:
Avalúo de Terreno ($) = VTAH · ST · CG · CCTF
Donde:
VTAH: Corresponde al valor unitario de terreno asignado al Área Homogénea
($/m2).
ST: Superficie de terreno (m2).
CG: Coeficiente Guía de Terreno.
CCTF: Coeficiente Corrector de Terreno Final.
Para la determinación del Coeficiente Corrector de Terreno Final, se consideran
los siguientes factores que pudieran afectar al inmueble:
- Coeficiente Corrector por relación Frente – Fondo.
- Coeficiente Corrector por Superficie de terreno.
- Coeficiente Corrector Excepcional.
- Coeficiente de Ajuste por Altura de la edificación.
Las condiciones consideradas para la aplicación de estos factores y la
determinación del Coeficiente Corrector Final se indican en los puntos 2 y 3 de
este Anexo.
2 CONDICIONES PARA LA APLICACIÓN DE COEFICIENTES
CORRECTORES AL AVALÚO DEL TERRENO:
2.1 COEFICIENTE CORRECTOR POR RELACIÓN FRENTE-FONDO (CFF):
COCIENTE FRENTE – FONDO
(metros de frente / metros de fondo)
COEFICIENTE CORRECTOR POR
RELACIÓN FRENTE - FONDO
MAYOR O IGUAL A 0,33 1,00
MAYOR O IGUAL A 0,20 Y MENOR A 0,33 0,90
MENOR A 0,20 0,80
El fondo de un bien raíz se calculará como el cociente entre la superficie de
terreno y los metros de frente.
El frente de un bien raíz corresponde a la longitud de la línea oficial de la
propiedad, por donde se encuentra su acceso. En caso que un bien raíz tenga
acceso por más de una vía, se considera como frente el de mayor longitud.
𝑭𝑭𝑭𝑭𝑭𝑭𝒅𝒅𝒐𝒐 (𝒎𝒎) = 𝑺𝑺𝑺𝑺𝑺𝑺𝑺𝑺𝑺𝑺𝑺𝑺𝑺𝑺𝑺𝑺𝑺𝑺𝑺𝑺 𝒕𝒕𝒕𝒕𝒕𝒕𝒕𝒕𝒕𝒕𝒕𝒕𝒕𝒕 (𝒎𝒎2)
𝑭𝑭𝑭𝑭𝑭𝑭𝑭𝑭𝑭𝑭𝑭𝑭 (𝒎𝒎)
No se aplican los coeficientes de esta tabla a:
- Predios cuya superficie de terreno sea mayor a dos veces el rango máximo de
superficie definido para el AH.
- Predios acogidos a la Ley N°19.537 sobre Copropiedad Inmobiliaria, tanto
unidades vendibles como al bien común.
- Predios acogidos a conjunto armónico.
- Predios tasados con más de una línea de terreno.
- Predios tasados en modalidad padre/hijo.
En aquellos bienes raíces ubicados completamente en subsuelo, la superficie de
terreno a tasar será la proyección en planta de todos los niveles bajo o sobre el
suelo, según corresponda. Sobre esta superficie proyectada, el frente de la
propiedad corresponde a la mayor distancia mientras que el fondo se calculará de
acuerdo a la fórmula anterior.
2.2 COEFICIENTE CORRECTOR POR SUPERFICIE (CS):
Se aplicará el coeficiente corrector, según la superficie representativa de terreno
definida para el Área Homogénea en que se ubica el inmueble, registrada en los
Planos de Precios de Terreno, de acuerdo a las siguientes condiciones:
CONDICIÓN
COEFICIENTE
CORRECTOR POR
SUPERFICIE
Superficie bien raíz menor o igual que el rango máximo de
superficie definido para el AH.
1,00
Superficie bien raíz mayor que el rango máximo de
superficie definido para el AH y menor o igual que diez veces
el rango máximo de superficie definido para el AH.
0,80
Superficie bien raíz mayor que diez veces el rango máximo
de superficie definido para el AH y menor o igual que veinte
veces el rango máximo de superficie definido para el AH.
0,70
Superficie bien raíz mayor que veinte veces el rango máximo
de superficie definido para el AH y menor o igual que treinta
veces el rango máximo de superficie definido para el AH.
0,60
Superficie bien raíz mayor que treinta veces el rango
máximo de superficie definido para el AH y menor o igual
que cuarenta veces el rango máximo de superficie definido
para el AH.
0,50
Superficie del bien raíz mayor que cuarenta veces el rango
máximo de superficie definido para el AH.
0,40
No se aplican los coeficientes de esta tabla a:
- Predios acogidos a la Ley N°19.537 sobre Copropiedad Inmobiliaria, tanto
unidades vendibles como al bien común.
- Predios acogidos a conjunto armónico.
2.3 COEFICIENTE CORRECTOR EXCEPCIONAL (CE):
Si un determinado bien raíz, presenta una minusvalía debidamente respaldada por
los medios de prueba que demuestren objetivamente la condición de menor valor
del inmueble, como asimismo la situación o el factor que origina esta pérdida de
valor, producto de características particulares o de alguna situación especial que
lo afecte, que ameritan la aplicación de un coeficiente corrector que recoja esta
minusvalía, la cual no se encuentra considerada en la determinación del valor de
terreno establecido para el Área Homogénea en la cual se emplaza, ni se
encuentra indicada en su ficha descriptiva correspondiente, se deberá aplicar un
coeficiente corrector excepcional, según la siguiente tabla:
DESCRIPCIÓN
PORCENTAJE
DE AFECTACIÓN
DE LA
SUPERFICIE DE
TERRENO DEL
PREDIO
COEFICIENTE
CORRECTOR
EXCEPCIONAL
Predio con deficiencia de accesibilidad No aplica 0,80
Predio afecto a servidumbre de paso
Más de 75% 0,10
Más de 50% a 75% 0,25
Más de 25% a 50% 0,50
de 10% a 25% 0,75
Predio equipamiento subterráneo en bien
nacional de uso público
No aplica 0,50
Predio con prohibición de edificar, establecida en
el respectivo Instrumento de Planificación
Territorial (IPT)(*)
Más de 75% 0,10
Más de 50% a 75% 0,25
Más de 25% a 50% 0,50
de 10% a 25% 0,75
Predio con destino principal habitacional,
colindante a basural, definido por IPT
No aplica 0,30
Predio con destino principal habitacional,
colindante a cementerio
No aplica 0,80
Predio con destino principal habitacional,
colindante a cárcel
No aplica 0,70
Predio con destino principal habitacional,
colindante a estadio de fútbol
No aplica 0,80
Predio con destino principal habitacional,
colindante a propiedad declarada abandonada
por Decreto Municipal
No aplica 0,80
Corrector por superficie no centralizado - Saldo
predial declarado en Certificado de Informes
Previos otorgado por la DOM respectiva
No aplica 0,50
Corrector por superficie no centralizado –
Macrolote con superficie de terreno desde
500.000 a 1.000.000 m2.
No aplica 0,30
Corrector por superficie no centralizado –
Macrolote con superficie de terreno mayor a
1.000.000 m2.
No aplica 0,20
Corrector por superficie no centralizado –
Macrolote con superficie de terreno desde
500.000 a 1.000.000 m2. y mayor a 50 veces el
rango de superficie mayor definido para el área
homogénea respectiva.
No aplica 0.15
Corrector por superficie no centralizado –
Macrolote con superficie de terreno mayor a
1.000.000 m2 y mayor a 50 veces el rango de
superficie mayor definido para el área
homogénea respectiva.
No aplica 0,10
Área verde pública definida en el respectivo IPT
(*)
No aplica 0,50
Área verde Privada definida en el respectivo IPT
(*)
No aplica 0,20
Corrector por nuevas obras de urbanización No aplica Mayor a 1,00
Concesión marítima, sector playa No aplica 0,5
* Definido en IPT o por organismo gubernamental competente.
La aplicación de este coeficiente no se otorga en el caso que el valor fiscal
establecido ya recoja la minusvalía presente en el predio.
Cuando la minusvalía objetivamente acreditada no corresponda a las causales
definidas en el presente Anexo, se podrá asimilar a un corrector equivalente.
La aplicación de este coeficiente no se otorga en forma copulativa, si un inmueble
presenta más de una de las situaciones detalladas en la tabla anterior, se
considera el menor coeficiente.
No se aplican los coeficientes de esta tabla a:
- Predios acogidos a la Ley N°19.537 sobre Copropiedad Inmobiliaria, tanto
unidades vendibles como al bien común.
- Predios acogidos a conjunto armónico.
2.4 COEFICIENTE DE AJUSTE POR ALTURA DE LA EDIFICACIÓN (CA):
Si en una determinada Área Homogénea coexisten edificaciones de alta y baja
altura, considerando como baja altura edificaciones menores a 6 pisos, podrá
aplicarse al terreno un Ajuste por Altura de la edificación de manera de equilibrar
diferencias de valores de terreno entre inmuebles con edificaciones de alta y baja
altura, pudiendo presentarse las siguientes situaciones:
2.4.1 Coeficiente de ajuste menor que 1,00: este factor de ajuste al terreno se
aplica a los predios que cumplan la siguiente condición:
Bien raíz ubicado en las comunas y áreas homogéneas indicadas en tabla, cuyas
edificaciones son menores a 6 pisos.
Comuna
Área
Homogénea
Coeficiente
de Ajuste
por Altura
Comuna
Área
Homogénea
Coeficiente
de Ajuste
por Altura
ANTOFAGASTA CMA012 0,7 LAS CONDES CAA131 0,6
ANTOFAGASTA EMM044 0,7 LAS CONDES CAA137 0,52
ANTOFAGASTA HAA049 0,5 LAS CONDES CAA140 0,5
ANTOFAGASTA HAA053 0,5 LAS CONDES CAA153 0,54
ANTOFAGASTA HAA055 0,5 LAS CONDES CAA154 0,62
ANTOFAGASTA HBM087 0,7 LAS CONDES CAA189 0,5
ANTOFAGASTA HMA105 0,8 LAS CONDES CMA017 0,46
ANTOFAGASTA HMA113 0,7 LAS CONDES CMA149 0,5
ANTOFAGASTA HMB116 0,7 LAS CONDES HAA004 0,5
ANTOFAGASTA HMM133 0,9 LAS CONDES HAA007 0,51
ANTOFAGASTA HMM135 0,73 LAS CONDES HAA016 0,5
ANTOFAGASTA HMM136 0,9 LAS CONDES HAA023 0,47
ANTOFAGASTA HMM137 0,8 LAS CONDES HAA084 0,5
ANTOFAGASTA HMM149 0,6 LAS CONDES HAA090 0,5
CONCÓN HMB061 0,27 LAS CONDES HAA092 0,46
ESTACIÓN CENTRAL XBM072 0,45 LAS CONDES HAA155 0,5
LA SERENA XMA004 0,52 LAS CONDES HMA010 0,5
LA SERENA XMA067 0,36 LAS CONDES HMA012 0,5
LAS CONDES CAA006 0,5 LAS CONDES HMA018 0,5
LAS CONDES CAA034 0,5 LAS CONDES HMA021 0,5
Comuna
Área
Homogénea
Coeficiente
de Ajuste
por Altura
Comuna
Área
Homogénea
Coeficiente
de Ajuste
por Altura
LAS CONDES HMA060 0,55 ÑUÑOA HMM106 0,63
LAS CONDES HMA079 0,68 ÑUÑOA XMM024 0,71
LAS CONDES HMA121 0,73 ÑUÑOA XMM071 0,74
LAS CONDES HMA139 0,68 PUENTE ALTO CMB019 0,62
LAS CONDES HMA141 0,61 SANTIAGO CENTRO HMM010 0,26
LAS CONDES HMA174 0,71 SANTIAGO CENTRO HMM045 0,86
LAS CONDES HMA180 0,5 SANTIAGO CENTRO HMM047 0,55
LAS CONDES HMA190 0,51 SANTIAGO CENTRO HMM049 0,6
LAS CONDES HMA192 0,5 SANTIAGO CENTRO XMM072 0,43
LAS CONDES XAA160 0,57 SANTIAGO CENTRO XMM074 0,2
LAS CONDES XAA176 0,5 SANTIAGO SUR CMM006 0,8
LAS CONDES XMA063 0,7 VITACURA CAA064 0,77
ÑUÑOA CMM023 0,68 VITACURA HAA007 0,5
ÑUÑOA CMM070 0,68 VITACURA HAA018 0,54
ÑUÑOA HAA104 0,73 VITACURA HAA023 0,6
ÑUÑOA HMA011 0,45 VITACURA HAA040 0,7
ÑUÑOA HMB005 0,58 VITACURA HAA085 0,58
ÑUÑOA HMB009 0,52 VITACURA HAA095 0,55
ÑUÑOA HMB097 0,75 VITACURA HAA099 0,49
ÑUÑOA HMM010 0,6 VITACURA HAA106 0,43
ÑUÑOA HMM012 0,57 VITACURA HMA101 0,5
ÑUÑOA HMM075 0,43 VITACURA XAA017 0,6
En propiedades habitacionales acogidas a la Ley N°19.537 sobre Copropiedad
Inmobiliaria, se aplicará este ajuste al avalúo de terreno del bien común.
2.4.2 Coeficiente de ajuste mayor que 1,00: este factor de ajuste al terreno se
aplica a los predios que cumplan la siguiente condición:
Bien raíz ubicado en las comunas y áreas homogéneas indicadas en tabla, cuyas
edificaciones son mayores o iguales a 6 pisos.
Comuna
Área
Homogénea
Coeficiente
de Ajuste
por Altura
Comuna
Área
Homogénea
Coeficiente
de Ajuste
por Altura
ANTOFAGASTA HBM081 2 ESTACIÓN CENTRAL XBB053 5,4
ANTOFAGASTA IMB164 1,7 ESTACIÓN CENTRAL XBM007 9,39
CALAMA CMB016 5 ESTACIÓN CENTRAL XBM056 5,7
CALAMA HAA063 4 ESTACIÓN CENTRAL XBM076 8,2
CALAMA HAB065 2 HUASCO HMB002 4
CALAMA HBB073 4 HUECHURABA HAB046 4,4
CALAMA HBB169 5 INDEPENDENCIA CMB052 1,75
CALAMA HMB082 5 INDEPENDENCIA CMM041 4
CALAMA HMB090 5 INDEPENDENCIA CMM050 4
CALAMA HMM098 6 INDEPENDENCIA HMA026 2
CHIGUAYANTE HMB001 6,5 INDEPENDENCIA HMA027 5
CON CÓN HAA014 2,5 INDEPENDENCIA HMA058 4
CON CÓN HBB029 7 INDEPENDENCIA HMB016 2
CON CÓN HMB059 1,7 INDEPENDENCIA HMM018 5
CONCEPCIÓN CMM038 1,3 INDEPENDENCIA XBB011 3
CONCEPCIÓN CMM050 1,4 IQUIQUE CMM013 2
CONCEPCIÓN HMB028 1,2 IQUIQUE CMM060 1,2
CONCEPCIÓN HMB035 1,6 IQUIQUE HAA094 1,7
CONCEPCIÓN HMB041 1,75 IQUIQUE HAA102 1,4
CONCEPCIÓN HMB053 1,75 IQUIQUE HAB042 1,8
CONCEPCIÓN HMB054 1,75 IQUIQUE HAB076 1,6
CONCEPCIÓN HMM049 1,75 IQUIQUE HAB100 1,5
CONCEPCIÓN XBM062 1,4 IQUIQUE HAM062 1,5
CONCEPCIÓN XMB006 6,5 IQUIQUE HBB069 1,8
CONCEPCIÓN XMB007 3 IQUIQUE HBB079 1,8
CONCEPCIÓN XMB026 2 IQUIQUE HBM014 2
CONCEPCIÓN XMB052 1,9 IQUIQUE HMA050 1,5
CONCEPCIÓN XMM027 1,5 IQUIQUE HMB018 2,2
CONCEPCIÓN XMM034 1,6 IQUIQUE HMB035 1,8
CONCEPCIÓN XMM036 1,6 IQUIQUE HMB039 1,8
CONCEPCIÓN XMM039 1,9 IQUIQUE HMB045 1,7
CONCEPCIÓN XMM040 1,9 IQUIQUE HMB053 1,6
CONCEPCIÓN XMM048 1,9 IQUIQUE HMM017 2,2
CONCEPCIÓN XMM051 1,9 IQUIQUE XAB028 1,6
CONCEPCIÓN XMM058 1,4 IQUIQUE XMB019 2
CONCEPCIÓN XMM060 1,4 IQUIQUE XMB046 1,6
CONCHALÍ HBB006 1,5 IQUIQUE XMM061 2
CONCHALÍ IAA017 3,5 IQUIQUE XMM098 1,3
COPIAPÓ HBB013 2 LA CISTERNA HBB005 2,08
COPIAPÓ HMB046 4 LA CISTERNA HBB015 5,31
COPIAPÓ HMB098 2 LA CISTERNA HBB019 5,9
COPIAPÓ XBB016 2 LA CISTERNA HBB043 3,7
COQUIMBO HBB050 2 LA CISTERNA HMB010 2,9
COQUIMBO HMA041 3 LA CISTERNA HMB013 1,26
COQUIMBO HMB012 2,5 LA CISTERNA HMB016 1,84
COQUIMBO XMB052 2 LA CISTERNA XMB034 2,16
ESTACIÓN CENTRAL XBB014 5,5 LA FLORIDA CMB112 3,4
ESTACIóN CENTRAL XBB029 4 LA FLORIDA HBB001 4,46
Comuna
Área
Homogénea
Coeficiente
de Ajuste
por Altura
Comuna
Área
Homogénea
Coeficiente
de Ajuste
por Altura
LA FLORIDA HBB005 4,9 ÑUÑOA XMB086 1,32
LA FLORIDA HMB010 6,45 ÑUÑOA XMM001 2,05
LA FLORIDA HMB013 3,35 ÑUÑOA XMM013 2,89
LA FLORIDA HMB020 1,36 ÑUÑOA XMM029 2,13
LA FLORIDA HMB021 1,38 ÑUÑOA XMM090 1,71
LA FLORIDA HMB028 3,33 ÑUÑOA XMM091 1,68
LA FLORIDA HMB061 1,91 ÑUÑOA XMM093 1,16
LA FLORIDA HMB062 2,96 ÑUÑOA XMM094 2,2
LA FLORIDA HMB108 3 ÑUÑOA XMM095 2,27
LA FLORIDA XMB004 2,34 OSORNO XMM080 1,7
LA FLORIDA XMB024 1,35 PEÑALOLÉN HAB107 5,58
LA FLORIDA XMB107 1,57 PEÑALOLÉN HMA030 1,87
LA FLORIDA XMM049 3,64 PROVIDENCIA CMA035 1,42
LA GRANJA HBB008 4,76 PROVIDENCIA CMB012 1,49
LA SERENA EBB008 2 PROVIDENCIA CMB092 1,9
LAS CONDES CAB035 2 PROVIDENCIA CMM020 1,37
LAS CONDES CMB148 2,56 PROVIDENCIA CMM081 1,3
LAS CONDES CMM133 2,3 PROVIDENCIA HMA040 1,24
LAS CONDES HAB199 2,4 PROVIDENCIA HMA047 1,4
LAS CONDES HMB002 1,68 PROVIDENCIA HMB010 1,23
LAS CONDES HMB019 2 PROVIDENCIA HMB029 1,33
LAS CONDES HMB022 2,48 PROVIDENCIA HMM025 1,27
LAS CONDES HMB188 2 PROVIDENCIA HMM042 1,31
LAS CONDES HMB198 2 PROVIDENCIA XBB007 1,35
LAS CONDES HMM196 1,9 PROVIDENCIA XMB088 2,03
LO PRADO HMB001 3 PROVIDENCIA XMM001 1,25
MACUL HMB031 2,2 PROVIDENCIA XMM003 1,32
MACUL XMB004 2 PROVIDENCIA XMM017 1,19
MACUL XMB026 2,3 PROVIDENCIA XMM022 1,35
MACUL XMM045 2 PROVIDENCIA XMM034 1,45
MAIPU HMB028 4,6 PUERTO MONTT CMM001 1,2
MAIPU XMB040 3,4 QUINTA NORMAL CBB037 9,99
ÑUÑOA CMM098 1,46 QUINTA NORMAL HBB001 3,83
ÑUÑOA CMM099 2,74 QUINTA NORMAL HBB008 6,69
ÑUÑOA HAA048 1,33 QUINTA NORMAL HBB023 5,19
ÑUÑOA HBB018 2,52 QUINTA NORMAL HBB041 4,78
ÑUÑOA HMB003 2,82 QUINTA NORMAL HMB026 1,61
ÑUÑOA HMB008 1,76 QUINTA NORMAL XBB017 2,24
ÑUÑOA HMB014 3,43 QUINTA NORMAL XBB031 4,42
ÑUÑOA HMB020 1,85 QUINTA NORMAL XMB006 4,92
ÑUÑOA HMB034 3,22 QUINTA NORMAL XMM014 1,57
ÑUÑOA HMB058 1,19 RECOLETA HBM038 3
ÑUÑOA HMB068 1,43 RECOLETA HMA027 4
ÑUÑOA HMB082 1,64 RECOLETA HMA041 3
ÑUÑOA HMB088 2,17 RECOLETA HMM051 3
ÑUÑOA HMM004 1,45 RECOLETA XMA049 3
ÑUÑOA HMM026 2,32 SAN JOAQUÍN HBB022 3,89
ÑUÑOA HMM027 2,03 SAN JOAQUÍN XMB036 9,99
ÑUÑOA HMM033 1,22 SAN JOAQUÍN XMB049 8,97
ÑUÑOA HMM076 1,41 SAN MIGUEL CMB063 5,11
ÑUÑOA HMM079 3,58 SAN MIGUEL CMB064 5,21
ÑUÑOA HMM089 1,57 SAN MIGUEL CMB066 2,57
ÑUÑOA HMM092 1,59 SAN MIGUEL HBB021 9,17
ÑUÑOA XMB038 2,52 SAN MIGUEL HBB026 5,42
ÑUÑOA XMB042 1,67 SAN MIGUEL HMA044 3,81
Comuna
Área
Homogénea
Coeficiente
de Ajuste
por Altura
Comuna
Área
Homogénea
Coeficiente
de Ajuste
por Altura
SAN MIGUEL HMA070 1,85 TEMUCO EMM098 6,5
SAN MIGUEL HMB005 6,45 TEMUCO HAB142 5,5
SAN MIGUEL HMB015 5,62 TEMUCO HBB051 2,4
SAN MIGUEL HMB018 3,18 TEMUCO HMB086 7
SAN MIGUEL HMB019 3,51 TEMUCO HMB097 1,5
SAN MIGUEL HMB035 4,37 TEMUCO HMB099 2
SAN MIGUEL HMB036 2,72 TEMUCO HMB104 3
SAN MIGUEL HMB037 3,33 TEMUCO HMB105 2,5
SAN MIGUEL HMB038 5,74 TEMUCO HMB123 2,5
SAN MIGUEL HMB046 3,05 TEMUCO HMB131 2,2
SAN MIGUEL HMB056 1,92 TEMUCO HMB172 2
SAN MIGUEL HMM047 4,06 TEMUCO HMM170 2
SAN MIGUEL XBB001 1,3 TEMUCO XMB004 4
SAN MIGUEL XBB002 4,75 TEMUCO XMB006 2,5
SAN MIGUEL XBB016 4,15 TEMUCO XMB008 5
SAN MIGUEL XBB024 6,35 TEMUCO XMB010 4
SAN MIGUEL XMB068 2,98 TEMUCO XMB110 2,5
SAN PEDRO DE LA PAZ HAB067 1,2 VILCÚN XMB030 9,99
SAN PEDRO DE LA PAZ HBB039 2 VILLARRICA XMB004 2,5
SAN PEDRO DE LA PAZ HMB022 2 VIÑA DEL MAR CMM078 1,17
SAN PEDRO DE LA PAZ HMB036 1,25 VIÑA DEL MAR HMB006 3,55
SAN PEDRO DE LA PAZ HMB038 3 VIÑA DEL MAR IMB113 9,02
SAN PEDRO DE LA PAZ HMB066 1,6 VIÑA DEL MAR XAA002 2,33
SAN PEDRO DE LA PAZ XBB049 1,6 VIÑA DEL MAR XAA088 1,84
SANTIAGO OESTE HBM020 3,3 VIÑA DEL MAR XAA183 3,27
SANTIAGO OESTE HMB027 3 VIÑA DEL MAR XAB121 2
SANTIAGO OESTE XBB038 4,8 VIÑA DEL MAR XAM003 1,96
SANTIAGO OESTE XBM034 2,4 VITACURA CAB009 1,25
SANTIAGO OESTE XMM011 2,5 VITACURA CMB011 1,35
SANTIAGO SUR CMM029 1,55 VITACURA CMB015 1,24
TEMUCO CAM001 1,3 VITACURA CMB024 1,55
TEMUCO CMB003 2,5 VITACURA CMM006 1,37
TEMUCO CMB100 1,5 VITACURA HMB020 1,96
TEMUCO CMM002 4 VITACURA HMM003 1,2
TEMUCO CMM009 2,5 VITACURA HMM005 1,38
En propiedades acogidas a la Ley N°19.537 sobre Copropiedad Inmobiliaria, se
aplicará este ajuste al avalúo de terreno del bien común.
Para las Áreas Homogéneas no señaladas en los puntos 2.4.1 y 2.4.2, se
considerará coeficiente de ajuste por altura igual a 1,00.
3 COEFICIENTE CORRECTOR AL AVALÚO DEL TERRENO FINAL (CCTF):
El coeficiente resultante de multiplicar los coeficientes correctores por Superficie y
Frente-Fondo, se compara con el Coeficiente Corrector Excepcional, que pudiera
registrar el terreno, aplicándose el menor de ellos.
El coeficiente así determinado se multiplicará por el Coeficiente de Ajuste por
Altura de la edificación establecido para el AH para obtener el coeficiente corrector
de terreno final a aplicar.
CCTF = [(FF · CS) o (CE)] · CA
Donde:
CCTF: Coeficiente corrector de terreno final.
CFF: Coeficiente corrector por relación frente-fondo.
CS: Coeficiente corrector por superficie.
CE: Coeficiente corrector excepcional.
CA: Coeficiente de ajuste por altura de la edificación.
NUEVA TABLA DE VIDA ÚTIL DE LOS BIENES FÍSICOS DEL ACTIVO
INMOVILIZADO
Nueva Tabla de Vida Útil fijada por el Servicio de Impuestos Internos para bienes físicos del activo
inmovilizado, según Resolución N°43, de 26-12-2002, con vigencia a partir del 01-01-2003.
NÓMINA DE BIENES SEGUN ACTIVIDADES
NUEVA VIDA
ÚTIL NORMAL
DEPRECIACIÓN
ACELERADA
A.- ACTIVOS GENÉRICOS
1) Construcciones con estructuras de acero, cubierta y entrepisos de
perfiles acero o losas hormigón armado.
80 26
2) Edificios, casas y otras construcciones, con muros de ladrillos o de
hormigón, con cadenas, pilares y vigas hormigón armado, con o sin
losas.
50 16
3) Edificios fábricas de material sólido albañilería de ladrillo, de
concreto armado y estructura metálica.
40 13
4) Construcciones de adobe o madera en general. 30 10
5) Galpones de madera o estructura metálica. 20 6
6) Otras construcciones definitivas (ejemplos: caminos, puentes,
túneles, vías férreas, etc.).
20 6
7) Construcciones provisorias. 10 3
8) Instalaciones en general (ejemplos: eléctricas, de oficina, etc.). 10 3
9) Camiones de uso general. 7 2
10) Camionetas y jeeps. 7 2
11) Automóviles 7 2
12) Microbuses, taxibuses, furgones y similares. 7 2
13) Motos en general. 7 2
14) Remolques, semirremolques y carros de arrastre. 7 2
15) Maquinarias y equipos en general. 15 5
16) Balanzas, hornos microondas, refrigeradores, conservadoras,
vitrinas refrigeradas y cocinas.
9 3
17) Equipos de aire y cámaras de refrigeración. 10 3
18) Herramientas pesadas. 8 2
19) Herramientas livianas. 3 1
20) Letreros camineros y luminosos. 10 3
21) Útiles de oficina (ejemplos: máquina de escribir, fotocopiadora,
etc.).
3 1
22) Muebles y enseres. 7 2
23) Sistemas computacionales, computadores, periféricos, y similares
(ejemplos: cajeros automáticos, cajas registradoras, etc.).
6 2
24) Estanques 10 3
25) Equipos médicos en general. 8 2
26) Equipos de vigilancia y detección y control de incendios, alarmas. 7 2
27) Envases en general. 6 2
28) Equipo de audio y video. 6 2
29) Material de audio y video. 5 1
B.- INDUSTRIA DE LA CONSTRUCCIÓN
1) Maquinaria destinada a la construcción pesada (Ejemplos:
motoniveladoras, traxcavators, bulldozers, tractores, caterpillars,
dragas, excavadoras, pavimentadores, chancadoras, betoneras,
vibradoras, tecles, torres elevadoras, tolvas, mecanismo de volteo,
motores eléctricos, estanques, rodillos, moldes pavimento, etc.).
8 2
2) Bombas, perforadoras, carros remolques, motores a gasolina, grupos
electrógenos, soldadoras.
6 2
C.- INDUSTRIA EXTRACTIVA (MINERÍA)
1) Maquinarias y equipos en general destinados a trabajos pesados en
minas y plantas beneficiadoras de minerales.
9 3
2) Instalaciones en minas y plantas beneficiadoras de minerales. 5 1
3) Tranques de relaves. 10 3
4) Túnel – mina. 20 6
D. - EMPRESAS DE TRANSPORTE
NUEV
A TABLA DE VIDA UTIL DE LOS BIENES FISICOS DEL ACT... https://www.sii.cl/pagina/valores/bienes/tabla_vida_enero.htm
1 de 5 21/9/2022 16:17
TRANSPORTE MARÍTIMO
1) Naves y barcos de carga en general, frigoríficos o graneleros con
casco de acero.
18 6
2) Naves con casco de acero. 36 12
3) Naves con casco de madera. 23 7
4) Remolcadores y barcazas con casco de acero. 20 6
5) Remolcadores y barcazas con casco de madera. 15 5
6) Embarcaciones menores en general con casco de acero o madera. 10 3
7) Porta contenedores, incluidos los buques Roll-On Roll. 16 5
8) Boyas, anclas, cadenas, etc. 10 3
9) Muelles de estructura metálica. 20 6
10) Terminales e instalaciones marítimas. 10 3
TRANSPORTE TERRESTRE
1) Tolvas, mecanismo de volteo. 9 3
2) Carros portacontenedores en general. 7 2
E.- SECTOR ENERGÉTICO
E.1) EMPRESAS ELÉCTRICAS
1) Equipos de generación y eléctricos utilizados en la generación. 10 3
2) Obras civiles hidráulicas y otros relacionados con la generación.
- Bocatomas, muros de presa. 50 16
- Descargas 30 10
- Túneles, piques, pretiles, evacuaciones, cámaras de carga, tuberías de
presión.
20 6
- Canales 18 6
- Sifones, captaciones, estanques y chimeneas de equilibrio. 10 3
- Desarenador 8 2
3) Líneas de distribución de alta tensión y baja tensión, líneas de
transmisión, cables de transmisión, cables de poder.
20 6
4) Líneas de alta tensión – Transporte.
- Obras civiles. 20 6
- Conductores 20 6
- Apoyos de suspensión y apoyos de amarres. 10 3
5) Cables de alta tensión – Transporte.
- Obras civiles. 20 6
- Conductores 20 6
6) Subestaciones – Transporte.
- Obras civiles. 25 8
- Construcciones y casetas de entronque (estaciones de bombeo,
reactancias compensación).
20 6
- Transformadores, celdas de transformadores, celdas de líneas,
equipos auxiliares y equipos de telecomandos.
10 3
7) Líneas de alta tensión – Distribución.
- Obras civiles. 20 6
- Conductores 20 6
- Apoyos de suspensión, apoyos de amarres y remodelación de líneas. 10 3
8) Cables de alta tensión – Distribución.
- Obras civiles. 20 6
- Conductores 20 6
9) Líneas de media tensión – Aéreas.
- Redes desnudas, redes aisladas, postes y otros. 20 6
- Equipos 12 4
10) Líneas de media tensión – Subterráneas.
- Redes, cámaras, canalizaciones y otros. 20 6
- Equipos 12 4
11) Líneas de baja tensión – Aéreas.
- Redes desnudas, redes aisladas, postes y otros. 20 6
- Equipos 12 4
12) Líneas de baja tensión – Subterráneas.
- Redes, cámaras, canalizaciones y otros. 20 6
- Equipos. 12 4
13) Subestaciones de distribución.
- Obras civiles y construcciones. 20 6
NUEV
A TABLA DE VIDA UTIL DE LOS BIENES FISICOS DEL ACT... https://www.sii.cl/pagina/valores/bienes/tabla_vida_enero.htm
2 de 5 21/9/2022 16:17
- Transformadores, celdas de transformadores, celdas de líneas,
equipos auxiliares y equipos de telecomandos.
10 3
14) Subestaciones MT/MT.
- Obras civiles y construcciones. 20 6
- Transformadores, celdas de transformadores, equipos auxiliares y
equipos de telecomandos.
10 3
15) Subestaciones anexas MT/MT.
- Obras civiles y construcciones 20 6
- Transformadores, celdas de transformadores, equipos auxiliares y
equipos de telecomandos.
10 3
16) Centros de transformación MT/BT.
- Obras civiles. 20 6
- Transformadores aéreos, subterráneos y de superficie. 10 3
- Otros equipos eléctricos aéreos, subterráneos y comunes. 12 4
17) Contadores y aparatos de medida – Central de operaciones y
servicio de clientes.
10 3
18) Otras instalaciones técnicas para energía eléctrica
- Obras civiles. 20 6
- Equipos 10 3
19) Alumbrado público. 10 3
E.2) EMPRESAS SECTOR PETRÓLEO Y GAS NATURAL
1) Buques tanques (petroleros, gaseros), naves y barcos cisternas para
transporte de combustible líquido.
15 5
2) Oleoductos y gasoductos terrestres, cañerías y líneas troncales. 18 6
3) Planta de tratamiento de hidrocarburos. 10 3
4) Oleoductos y gaseoductos marinos. 10 3
5) Equipos e instrumental de explotación. 10 3
6) Plataforma de producción en el mar fija. 10 3
7) Equipos de perforación marinos. 10 3
8) Baterías de recepción en tierra (estanques, bombas, sistema de
cañerías con sus válvulas, calentadores, instrumentos de control,
elementos de seguridad contra incendio y prevención de riesgos, etc.).
10 3
9) Instalaciones de almacenamiento tales como "tank farms". 15 5
10) Plataformas de perforación y de producción de costa afuera. 22 7
F.- EMPRESAS DE TELECOMUNICACIONES
1) Equipos conmutación local en oficinas centrales.
- Equipos O.C. automáticos. 10 3
- Equipos O.C. auto (combinados). 10 3
- Equipos O.C. batería central. 10 3
- Equipos O.C. magneto. 10 3
- Equipos de fuerza. 10 3
- Equipos de tasación. 10 3
- Equipos de radio. 12 4
- Equipos canalizadores y repetidores en O.C. 10 3
2) Equipos conmutación L.D. en oficinas centrales.
- Posiciones de larga distancia. 10 3
- Equipos de radio. 12 4
- Equipos canalizadores y repetidores en O.C.. 10 3
3) Otros equipos de O.C.
- Teléfonos, calculógrafos y sillas de operadoras. 10 3
4) Equipos seguridad industrial en oficinas centrales.
- Equipos industriales de climatización. 10 3
5) Equipos para suscriptores.
- Teléfonos automáticos. 10 3
- Teléfonos batería central. 10 3
- Teléfonos magneto. 10 3
- Equipos especiales. 10 3
- Alambre bajantes. 10 3
- Alambre interior. 10 3
- PABX automáticos. 10 3
- PBX automáticos. 10 3
NUEV
A TABLA DE VIDA UTIL DE LOS BIENES FISICOS DEL ACT... https://www.sii.cl/pagina/valores/bienes/tabla_vida_enero.htm
3 de 5 21/9/2022 16:17
- PBX batería central. 10 3
- PBX magneto. 10 3
- Locutorios. 10 3
- Equipos fax. 10 3
6) Equipos planta externa local.
- - Postes y crucetas de madera. 20 6
- - Postes y crucetas de fierro. 20 6
- Postes de concreto. 20 6
- Antenas y líneas de transmisión. 12 4
- Cables aéreos y bobinas de carga. 20 6
- Cables subterráneos y bobinas de carga. 20 6
- Cables interiores. 20 6
- Cables aéreos desnudos. 20 6
- Equipos canalizadores y repetidores en postes. 12 4
- Conductos y cámaras. 20 6
- Cables enlaces. 20 6
- Blocks, regletas, cassettes de protección. 20 6
- Sala de cables y MDF. 20 6
- Armarios de distribución. 20 6
- Cajas terminales, doble conexión. 20 6
- Empalmes de cables aéreos y subterráneo. 20 6
- Sistema gráfico de manejo de redes. 20 6
- Cables de fibra óptica. 20 6
- Cámaras y ductos. 20 6
7) Equipos planta externa L.D.
- Postes y crucetas de madera. 20 6
- Postes y crucetas de fierro. 20 6
- Postes de concreto. 20 6
- Antenas y líneas de transmisión. 12 4
- Cables aéreos y bobinas de carga. 20 6
- Cables subterráneos y bobinas de carga. 20 6
- Alambres aéreos desnudos. 20 6
- Equipos canalizadores y repetidores en postes. 12 4
- Conductos y cámaras. 20 6
- Equipos de control automático. 10 3
- Estaciones satelitales terrenas. 12 4
- Cables de fibra óptica. 20 6
- Equipos de fibra óptica. 12 4
- Segmento espacial. 10 3
G.- ACTIVIDAD DE LA AGRICULTURA
1) Tractores, segadoras, cultivadoras, fumigadoras, motos bombas,
pulverizadoras.
8 2
2) Cosechadoras, arados, esparcidoras de abono y de cal, máquinas de
ordeñar.
11 3
3) Esquiladoras mecánicas y maquinarias no comprendidas en el
número anterior.
11 3
4) Vehículos de carga, motorizados, como ser: camiones trailers,
camiones fudres y acoplados, colosos de tiro animal.
10 3
5) Carretas, carretones, carretelas, etc. 15 5
6) Camiones de carga y camionetas de uso intensivo en la actividad
agrícola.
6 2
7) Tuberías para agua potable instaladas en predios agrícolas. 18 6
8) Construcciones de material sólido, como ser: silos, casas patronales
y de inquilinos, lagares, etc.
50 16
9) Construcciones de adobe y madera, estructuras metálicas. 20 6
10) Animales de trabajo. 8 2
11) Toros, carneros, cabríos, verracos, potros y otros reproductores. 5 1
12) Gallos y pavos reproductores. 3 1
13) Nogales, paltos, ciruelos, manzanos, almendros. 18 6
14) Viñedos según variedad. 11 a 23 3 a 7
15) Limoneros 12 4
16) Duraznos 10 3
17) Otras plantaciones frutales no comprendidas en los números 13),
14), 15) y 16) anteriores.
13 4
NUEV
A TABLA DE VIDA UTIL DE LOS BIENES FISICOS DEL ACT... https://www.sii.cl/pagina/valores/bienes/tabla_vida_enero.htm
4 de 5 21/9/2022 16:17
18) Olivos 40 13
19) Naranjos 30 10
20) Perales 25 8
21) Orégano 9 3
22) Alfalfa 4 1
23) Animales de lechería (vacas). 7 2
24) Gallinas 3 1
25) Ovejas 5 1
26) Yeguas 12 4
27) Porcinos de reproducción (hembras). 6 2
28) Conejos machos y hembras. 3 1
29) Caprinos 5 1
30) Asnales 5 1
31) Postes y alambradas para viñas. 10 3
32) Tranques y obras de captación de aguas:
a) Tranque propiamente tal. Por ser de duración indefinida no es
depreciable.
- -
b) Instalaciones anexas al tranque. Bombas extractoras de agua,
estanques e instalaciones similares en general.
10 3
33) Canales de riego:
a) Sin aplicación de concreto o de otro material de construcción, su
duración es indefinida, por lo tanto no es depreciable.
- -
b) Con aplicación de concreto o de otro material de construcción, se
trata de obras generalmente anexas, o simplemente tramos del canal
mismo y su duración según el caso será:
De concreto 70 23
De fierro pesado 45 15
De madera 25 8
34) Pozos de riego y de bebida. Se aplica la depreciación únicamente
sobre los refuerzos, instalaciones y maquinarias destinadas al mayor
aprovechamiento del pozo en la siguiente forma:
a) Cemento u hormigón armado. 20 6
b) Ladrillo 15 5
c) Bomba elevadora de agua. 20 6
35) Puentes. Según el material empleado en la construcción:
a) De cemento. 75 25
b) Metálico 45 15
c) Madera 30 10
H.- OTRAS
1) Enseres, artículos de porcelana, loza, vidrio, cuchillería, mantelería,
ropa de cama y similares, utilizados en hoteles, moteles y restaurantes.
3 1
2) Redes utilizadas en la pesca. 3 1
3) Sistemas o estructuras físicas para criaderos de especies
hidrobiológicas.
3 1
4) Pupitres, sillas, bancos, escritorios, pizarrones, laboratorios de
química, gabinetes de física, equipos de gimnasia y atletismo, utilizados
en establecimientos educacionales.
5 1
5) Aviones monomotores con cabida hasta seis personas. 10 3
NUEV
A TABLA DE VIDA UTIL DE LOS BIENES FISICOS DEL ACT... https://www.sii.cl/pagina/valores/bienes/tabla_vida_enero.htm
5 de 5 21/9/2022 16:17
1
COLEGIO DE ARQUITECTOS DE CHILE A.G.
VALORES REFERENCIALES PARA EL COBRO DE HONORARIOS
POR SERVICIOS PROFESIONALES DE LOS ARQUITECTOS
(Edición 2007)
CAPITULO 1
Introducción.
El presente documento de Valores Referenciales para el cobro de honorarios por
Servicios Profesionales de los Arquitectos se ha elaborado para el uso de los
socios activos del Colegio de Arquitectos de Chile. En la preparación de su
contenido se ha considerado los estudios realizados por la Comisión de Arancel
del Colegio, la Ley 7.211 que creó el Colegio de Arquitectos y el Decreto Ley
3.621, vigente a la fecha.
Este estudio incluye las siguientes ideas básicas:
1.1. Modifica y complementa el documento previo de igual nombre, aprobado
por el Directorio Nacional en sesiones Nº 40 y 41 de fechas 11 y 25 de
octubre de 1984.
1.2. Considera en todos sus términos y alcances el Arancel y sus aclaraciones
que regian el Colegio hasta su transformación en Asociación Gremial
(1981).
1.3. Separa completamente los actos y servicios de los arquitectos de las
remuneraciones correspondientes a éste.
1.4. Ordena y numera las distintas materias.
1.5. Actualiza los valores de las respectivas tablas y las refiere a un patrón
reajustable.
1.6. Este documento corresponde a las labores detalladas en el Documento
“Actos y Servicios Profesionales de los Arquitectos”.
2
CAPITULO 2.
Disposiciones generales.
2.1. Los honorarios establecidos en este documento referencial corresponden a
las labores detalladas en la descripción de los actos y servicios
profesionales de los arquitectos y tiene por objeto informarlos sobre la
forma de establecer una remuneración mínima, proporcional a su labor y
responsabilidad.
2.2. Los valores referenciales estipulados corresponden a un desarrollo normal
y continuo de las diversas etapas de intervención del arquitecto y de la
ejecución de un encargo de trabajo, proyecto u obra. Dichos valores
referenciales están expresados en porcentajes respecto a los costos de las
obras o en su defecto, a Unidades de Fomento Reajustables de acuerdo a
lo que se señala en las tablas en que se establecen los honorarios
referenciales.
2.3. En caso que la Unidad de Fomento Reajustable (UF) fuese reemplazada
por otro signo, se usará en nuevo símbolo que corresponda para garantizar,
en todo caso, la reajustabilidad de los valores comprometidos.
2.4. En toda prestación de servicios, el arquitecto deberá suscribir el contrato de
servicios profesionales correspondiente. En dicho contrato deberá
establecerse, entre otros aspectos, la forma de pago de los honorarios
estipulados, que deberán estar de acuerdo con la labor desarrollada por el
arquitecto.
2.5. Cualquier circunstancia que obligue al arquitecto a una labor suplementaria
a la originalmente establecida, deberá ser manifestada de inmediato al
cliente o propietario para estipular la remuneración correspondiente.
2.6. Todo cambio sustancial del programa de una obra ordenada por el
propietario dará lugar a una liquidación de los honorarios de los trabajos
previamente ejecutados por el arquitecto.
2.7. Cuando el trabajo del arquitecto fuere limitado sólo a la confección del
proyecto de una obra, cuya construcción será dirigida por otro arquitecto,
podrá recargar en un 20% el monto de los honorarios establecidos en la
Categoría correspondiente. A su vez, si sólo se le encargara la dirección y/o
la fiscalización de una obra proyectada por otro arquitecto, podrá recargar
su honorario en forma similar.
2.8. Si se produjera la liquidación anticipada de un contrato, por causales ajenas
al arquitecto y su labor, éste tiene derecho a una indemnización que deberá
establecerse en el correspondiente contrato de prestación de servicios
profesionales y cuyo monto no podrá ser inferior a un 20% del monto de los
honorarios no percibidos.
2.9. Si la obra que se encomienda a un arquitecto se encuentra en una ciudad
distinta de su residencia o lugar de trabajo habitual, se deberá convenir un
recargo, ajeno al honorario, para compensar, además de los gastos que
3
esta circunstancia le significa, el mayor tiempo que le demandará las visitas
a la obra.
2.10. Cuando una obra se ejecute con interrupciones ajenas a la responsabilidad
del arquitecto, mayores de seis meses, los honorarios establecidos
previamente tendrán un recargo convencional.
2.11. Los porcentajes de honorarios establecidos en las tablas de Categorías 1ª,
2ª, 3ª, 4ª, 5ª y 6ª, señaladas en el punto 4.1, del Documento profesional
“Actos y Servicios Profesionales de los Arquitectos”. se entiende que
corresponden a obras que serán ejecutadas a suma alzada por un
contratista general.
2.12. Cuando el trabajo no se ejecute en la forma antes señalada, se procederá
considerando las estipulaciones fijadas en el punto 4.5. del documento
“Actos y Servicios Profesionales de los Arquitectos”, de Trabajos
Especiales.
2.13. Si el propietario suministra, o se conviene, o se autoriza al constructor, el
empleo de materiales u otros elementos de fabricación propia, en
existencia, usados o depreciados, para el cálculo de honorarios serán
considerados como si fueran nuevos, con su correspondiente valor en
plaza.
2.14. Las partidas A, de los trabajos preparatorios y B de proyecto, de las
Categorías 1ª, 2ª, 3ª, 4ª, 5ª y 6ª, se pueden cobrar de acuerdo al
presupuesto global actualizado oficial, preparado por el arquitecto y
aceptado por el propietario.
Las partidas C, estructuración y D, construcción, serán canceladas de
acuerdo al desarrollo de las obras y su costo efectivo.
2.15. Cuando se desarrollo un conjunto de edificaciones y para ello sea necesario
estudiar la planificación del conjunto, se aplicará a ésta el arancel
referencial señalado para la 8ª Categoría.
2.16. Cuando en un conjunto de edificaciones, sea éste de viviendas económicas
o cualquier tipo de construcciones, se produzcan repeticiones de uno o más
tipos de las unidades proyectadas, se considerará la unidad de repetición
de acuerdo a la siguiente pauta:
En viviendas unifamiliares se entenderá por unidad de repetición la vivienda
aislada, el pareo o el conjunto de hasta cuatro viviendas continuas o
bloques mayores que conformen un sistema de estructuras continuo.
En edificios o bloques, locales, etc., cuando ellos se encuentran aislados o
continuados sin relación entre sí, tanto de comunicación como de
estructura.
Cuando los edificios o bloques se encuentren unidos entre sí por elementos
comunes (pasillos, corredores, etc.) que los une sin modificación de la
planimetría del bloque mismo, se tomará como unidad de repetición el
bloque y se agregará los elementos comunes como primera unidad de
repetición.
Cuando los bloques se agrupan con elemento de accesos comunes que
hagan necesaria la modificación planimétrica del bloque aislado tipo, se
4
considerará el conjunto de bloques relacionados entre sí, como unidad de
repetición.
2.17. Los honorarios correspondientes a trabajos que repiten unidades, de
acuerdo a lo señalado en el punto precedente, sólo son afectados en las
Etapas “B” y ”C” de Proyecto.
En la primera unidad de repetición se cobrará el 100% de esta Etapa, en la
2ª repetición se cobrará el 80% de esta Etapa, en la 3ª unidad se cobrará el
65% y por el resto de las repeticiones se cobrará el 50%.
En conjunto masivos, que se ejecuten en forma ininterrumpida, en las
repeticiones sobre 100 unidades se cobrará el 25% de valor de esta Etapa,
sobre 500 unidades se cobrará el 15% y sobre 1000 viviendas se cobrará el
10%; además la tabla se aplicará sobre la totalidad de la inversión.
Las etapas “A” de Trabajos Preparatorios y la “D” Construcción, no
consultan disminución porcentual de honorarios por repetición de unidades.
2.18. La superposición de pisos no se considera como repetición de unidades.
2.19. Para los efectos de los que se ha venido a denominar como “Planos Tipo
Oficiales” que son proyectos aprobados por autoridad competente y cuyo
destino es su aplicación en determinados lugares, bajo determinadas
circunstancias, y que ocmprenden, además de los planos generales,
estructuras y cálculos, planos especiales, bases y especificaciones; se
podrá rebajar los honorarios que corresponden en un 20% en las Etapas
“A” y”B” y la parte que no corresponde a obras de la “C”, además de la
rebaja por concepto de repetición que afecta a la Etapa “B”.
2.20. Igual criterio se aplicará para los planos tipo de viviendas industrializadas,
semiprefabricadas, precortadas o prefabricadas; por cuanto los planos
generales y especiales se consideran ocupados y aplicados varias veces.
2.21. En la vivienda industrializada, los honorarios correspondientes a la Etapa
“B” de proyecto, deben encontrarse incluidos en el valor de venta de la
vivienda y pagados al arquitecto por el industrial. Los honorarios de la
dirección de la obra, obtención de permisos municipales y recepción de
obras, será materia de un contrato directo entre el propietario y el
arquitecto.
2.22. Cada vez que un arquitecto contrate sus servicios profesionales para
realizar proyectos de arquitectura, planificación, arbitrajes, peritajes,
informes, asesorías, etc., y deba requerir los servicios de asesores
profesionales afectos a otras disciplinas, el honorario estipulado para dichos
asesores será recargado en un 10% que será agregado al honorario del
arquitecto, puesto que por derecho propio y como responsable final y
ulterior de la obra arquitectónica, debe coordinar responsablemente estas
asesorías.
2.23. Dichas asesorías podrán ser, entre otras, en Cálculo de estabilidad y
estructuras”, “Mecánica de suelos”, “Agua potable, alcantarillado,
electricidad, gas, teléfonos” tanto al interior de las construcciones,
“Instalaciones de climatización” como ser: aire acondicionado, calefacción,
aire caliente, energía solar, etc.” “Iluminación, intercomunicación y
5
acústica”, “Equipamiento de transporte” como ascensores, escaleras
mecánicas, montacargas, etc. “Obras civiles” como pavimentación y
caminos, obras de arte, drenajes, defensas de ríos, captaciones, plantas de
tratamiento y elevadoras de agua, etc., “Asesorías Jurídicas” por bases de
contratos, títulos de dominio, informes periciales, etc. “Asesorías
comerciales” en estudios de marketing, gestión inmobiliaria, factibilidades
económicas, etc.
2.24. Para contratar una asesoría, el arquitecto deberá tener la conformidad del
cliente o propietario; y estipular la remuneración que corresponda a dicha
asesoría. Si fuera del caso, en su estudio de honorarios no considerará las
partidas atingentes a la materia de acuerdo al fraccionamiento de
honorarios indicado en el capítulo Nº 6 del Documento “Actos y Servicios
Profesionales de los Arquitectos”.
2.25. El pago de honorarios al Asesor podrá ser hecho por el cliente
directamente, o a través del arquitecto, en el primer caso, previo el VºBº de
este último.
2.26. El arquitecto que regularice Permisos Municipales cobrará por ello un
honorario convencional que estará en función y proporción al trabajo por
realizar, tanto en tiempo como en visitas a la obra y elementos de dibujo
que deba emplear.
2.27. En el caso que los proyectos encomendados al arquitecto deban ser
aprobados para ser acogidos a la 19537 de Copropiedad Inmobiliaria (año
1997), y dado que en la ley se estipula que los planos deben ser firmados
por el arquitecto autor del proyecto, éste tendrá derecho a cobrar los
mayores gastos a que dé lugar este trámite, tales como dibujo y los
materiales necesarios para cumplir este trámite, tales como dibujo y los
materiales necesarios para cumplir las exigencias de presentación que
soliciten las direcciones de obras Municipales. El pago de estos gastos no
significará recargo de honorarios.
2.28. Si los proyectos primitivos no fueron oportunamente solicitados para ser
aprobados de acuerdo a la Ley 19537 y posteriormente se desea acogerlos
a sus beneficios, no existiendo la posibilidad de contar con la aprobación
del arquitecto, autor de dichos proyectos, como lo estipula ley, el arquitecto
a quien se encomiende el trabajo deberá proceder de acuerdo a lo
señalado en el capítulo Nº 5, acápite 5.4. del Documento Profesional CA
Nº2. El arquitecto reemplazante tiene derecho a un honorario convencional
que puede ser un porcentaje sobre el valor de dicho inmueble, o por “hora
profesional” de acuerdo a lo señalado en el Capítulo 3, punto 3.1. del
presente Documento Profesional sobre Valores Referenciales. En todo
caso, el honorario por horas profesionales no cubre el costo de materiales
empleados en el desarrollo del proyecto correspondiente.
2.29. El arquitecto que se contrate en la modalidad de “hora profesional” podrá
cargar a costos de su trabajo todos aquellos gastos que optimicen su
trabajo, de modo que su rendimiento por hora sea máximo.
6
CAPÍTULO 3
Valores Referenciales.
3 TABLA DE CATEGORIAS
3.1 PRIMERA CATEGORIA
OBRAS DE CARÁCTER MONUMENTAL U ORNAMENTAL
TABLA Nº 1
PRIMERA CATEGORIA
OBRAS DE CARÁCTER MONUMENTAL U ORNAMENTAL
Valor de obras D 650 sobre
Por ejecutar, en UF HASTA 650 H 6.500 6.500
________________________________________________________________________________________
Honorario total
en realización completa 15,00% 12,00% 10,00%
A. Trabajos preparatorios 2,50% 2,00% 1,50%
B. Proyecto 6,00% 4,80% 4,00%
C. Estructura 1,50% 1,20% 1,00%
D. Ejecución 5,00% 4,00% 3,50%
________________________________________________________________________________________
3.2 SEGUNDA CATEGORIA
EDIFICIOS EN GENERAL – EXCLUIDA VIVIENDA DE INTERES SOCIAL
TABLA Nº 2
SEGUNDA CATEGORIA
EDIFICIOS EN GENERAL – EXCLUIDA VIVIENDA DE INTERES SOCIAL
Valor de obras D 650 D 6.500 D 32.500 sobre
Por ejecutar, en UF HASTA 650 H 6.500 H 32.500 H 65.000 65.000
________________________________________________________________________________________
Honorario total
en realización completa 9,00% 8,00% 7,00% 6,00% 5,00%
A. Trabajos preparatorios 1,00% 0,90% 0,80% 0,65% 0,55%
B. Proyecto 3,80% 3,40% 3,00% 2,50% 2,10%
C. Estructura 1,00% 0,90% 0,80% 0,65% 0,55%
D. Ejecución 3,20% 2,80% 2,40% 2,20% 1,80%
________________________________________________________________________________________
7
3.3 TERCERA CATEGORIA
VIVIENDA DE INTERES SOCIAL
TABLA Nº 3
TERCERA CATEGORIA
VIVIENDA DE INTERES SOCIAL
Valor de obras D 650 D 6.500 D 32.500 sobre
Por ejecutar, en UF HASTA 650 H 6.500 H 32.500 H 65.000 65.000
________________________________________________________________________________________
Honorario total
en realización completa 6,75% 6,00% 5,25% 4,50% 3,75%
A. Trabajos preparatorios 0,75% 0,67% 0,60% 0,50% 0,40%
B. Proyecto 2,85% 2,53% 2,21% 1,90% 1,59%
C. Estructura 0,75% 0,67% 0,60% 0,50% 0,40%
D. Ejecución 2,40% 2,13% 1,84% 1,60% 1,36%
________________________________________________________________________________________
3.4 CUARTA CATEGORIA
EDIFICIOS INDUSTRIALES O AGRICOLAS
TABLA Nº 4
CUARTA CATEGORIA
EDIFICIOS INDUSTRIALES O AGRICOLAS, incluye Gimnasios.
Valor de obras D 650 D 6.500 D 32.500 sobre
Por ejecutar, en UF HASTA 650 H 6.500 H 32.500 H 65.000 65.000
________________________________________________________________________________________
Honorario total
en realización completa 7,00% 6,00% 5,00% 4,00% 3,00%
A. Trabajos preparatorios 0,58% 0,50% 0,40% 0,30% 0,20%
B. Proyecto 2,22% 1,90% 1,66% 1,30% 0,84%
C. Estructura 2,33% 2,00% 1,50% 1,20% 1,00%
D. Ejecución 1,67% 1,60% 1,44% 1,20% 0,96%
8
3.5 QUINTA CATEGORIA
EDIFICIOS Y CENTROS DEPORTIVOS
TABLA Nº 5
QUINTA CATEGORIA
EDIFICIOS Y CENTROS DEPORTIVOS
Valor de obras D 651 D 6.500 D 32.001 sobre
Por ejecutar, en UF HASTA 650 H 6.499 H 32.000 H 65.000 65.000
________________________________________________________________________________________
Instalaciones sociales y de apoyo
Casino Restaurante, camarines 9,00% 8,00% 7,00% 6,00% 5,00%
o vestruarios, salas uso múltiple
(equivalente 2ª Categoría)
Gimnasios 7,00% 6,00% 5,00% 4,00% 3,00%
(Equivalente 4ª Categoría)
Instalaciones Deportivas recreativas
o pistas:
pista de atletismo
cancha de fútbol, rugby, hockey césped
multicanchas y canchas basketball,
tenis, vóleibol, etc. 6,00% 5,00% 4,00% 3,00% 2,00%
(Equivalente 1ª Categoría)
Instalaciones especiales
Piscinas abiertas y cubiertas
Velódromos 8,00% 7,00% 6,00% 5,00% 4,00%
Camarines
Ski y deportes de invierno
Rodeo, etc.
Plano Seccional
Incluye plano de ejes y trazados, 5,00% 4,00% 3,00% 2,00% 1,00%
Plano general con caminos,
Edificaciones, accesos, estacio-
Namientos, cierres y arborización
General.
9
3.6 SEXTA CATEGORIA
ARQUITECTURA PAISAJISTA
TABLA Nº 6
__________________________________________________________________
SEXTA CATEGORIA
ARQUITECTURA PAISAJISTA
Valor de obras D 250 D 550 D 2.500 sobre
Por ejecutar, en UF HASTA 250 H 550 H 2.500 H 15.000 15.000
________________________________________________________________________________________
Honorario total
en realización completa 22,00% 19,00% 17,00% 15,00% 12,00%
A. Trabajos preparatorios 3,00% 2,60% 2,30% 2,00% 1,60%
B. Proyecto 8,00% 7,00% 6,20% 5,50% 4,40%
C. Estructura 5,00% 4,20% 3,90% 3,50% 2,70%
D. Ejecución 6,00% 5,20% 4,60% 4,00% 3,30%
3.7 SEPTIMA CATEGORIA
CALCULOS DE ESTABILIDAD
TABLA Nº 7
1. Para el cálculo de honorarios se utilizará las categorías indicadas en la definición general con las
precisiones que se detallan:
1ª Categoría
- Obras de carácter monumental 0,25 UF x m2
2ª Categoría
- Edificios en general 0,20 UF x m2
- Edificios de más de 5 niveles 0,22 UF x m2
3ª Categoría
-Edificios industriales y agrícolas 0,15 UF x m2
2. Corrección de desglose Etapa Cálculo de estructuras
a) Bosquejo de estructuración 10%
b) Cálculo y plano de estructuras incluye memoria de
cálculo y especificaciones técnicas de estructura 80%
c) Coordinación y aclaraciones del proyecto de
estructuras en obra 10%
10
3.8. OCTAVA CATEGORIA
ESTUDIOS, PROYECTOS Y OBRAS DE URBANISMO, PLANIFICACION
Y ORDENAMIENTO DEL TERRITORIO
3.8.1 OCTAVA CATEGORIA “A”
PROYECTOS GENERALES DE PLANIFICACION Y URBANISMO.
El honorario será convencional, debiendo indicarse en detalle el alcance del
estudio encomendado, las etapas en que se divide, las personas que
trabajarán bajo las órdenes del arquitecto y horas profesionales asignadas a
cada una de ellas.
3.8.2 OCTAVA CATEGORIA “B”
PROYECTOS PARCIALES DE URBANIZACION.
Valores a considerar Sub Categorías
I II III
Desde 1.300 UF. 3%
1.300 UF a 32.500 UF 2% 3% 4%
32.500 UF a 65.000 UF --- 2% 3%
65.000 UF a 325.500 UF --- 1% 2%
Sobre 325.000 UF --- --- 1%
______________________________________________________________________________
Los valores por considerar se formarán sumando el costo total de
urbanización, de acuerdo con el presupuesto total de las obras
involucradas, más el valor asignado al terreno para los efectos de los
estudios económicos o el valor de compra actualizado de ellos.
Se desglosará de acuerdo al Art. 6.2. del Documento Aranceles y Servicios
Profesionales de los Arquitectos.
11
3.8.3 OCTAVA CATEGORIA “C”
SUBDIVISIONES DE TERRENOS.
El honorario referencial alcanzará al 1% del valor asignado al terreno para
los efectos de los estudios económicos o su valor comercial. Este
porcentaje es válido para terrenos planos. En caso que el terreno presente
accidentes o grandes diferencias de nivel, el honorario será del 2%.
Estudio de cambios de uso de suelo por horas: el honorario calculado será
estimado en horas profesionales.
3.9. NOVENA CATEGORIA
TASACIONES
TABLA Nº 9
Valores a considerar
Hasta 325 UF 4,00 o/oo
Desde 325 UF hasta 1.300 UF 2,50 o/oo
Desde 1.300 UF hasta 3.250 UF 1,50 o/oo
Desde 3.250 UF hasta 6.500 UF 1,00 o/oo
Desde 6.500 UF hasta 16.250 UF 0,75 o/oo
Sobre 16.250 UF 0,50 o/oo
En consideración al tipo de información que se requiera en una tasación, éstas,
con su consecuente valor referencial se clasifican en:
• Apreciación :
El honorario será el 50% del indicado en la tabla Nº9, con un valor
referencial mínimo de 2 UF
• Informe:
El honorario será igual al que señala la tabla Nº 9, con un valor referencial
mínimo de 4 UF.
12
• Informe detallado:
El honorario se aplicará recargando lo indicado en la tabla Nº 9 en 200%,
con un valor referencial mínimo de 6 UF.
Observaciones.
- En caso de tratarse de tasaciones de conjuntos hetorogéneos, se cobrará por
separado los distintos elementos o grupos diferentes.
- Los honorarios indicados anteriormente, tanto en la tabla, como respecto de su
expresión, sufrirán modificaciones en su respectiva categoría en los casos que
a continuación se detallan:
* Tasaciones judiciales: tendrán un 100% de recargo.
* Retasaciones: se aplicará sólo un 50% del honorario.
* Ampliaciones: se aplicará el honorario total sobre lo nuevo.
* Para compra de propiedades: en instituciones bancarias, hipotecarias, etc.,
se aplicará el honorario correspondiente con un recargo de 50%.
* Terrenos eriazos: se aplicará el 50% del honorario respectivo.
* Ley de Copropiedad Inmobiliaria 19.537: la tasación de un departamento,
oficial o local que forme parte de un conjunto acogido a la ley tendrá un
recargo de un 100% sobre lo que señala la tabla.
* Tasadores oficiales: los tasadores oficiales que desempeñan en forma
permanente dicho cargo ante una institución, podrán rebajar los honorarios
hasta en un 50%.
* Tasaciones con levantamiento: El levantamiento del plano correspondiente
se regirá por lo dispuesto en la 11ª Categoría en un valor independiente al de
la tasación misma.
13
3.10 DECIMA CATEGORIA
CONCURSOS PUBLICOS Y PRIVADOS
La remuneración de todos los arquitectos que intervengan en un concurso
de arquitectura, público o privado se regirán estrictamente por las
disposiciones del Documento “Reglamento de Concursos”
3.11 DECIMO PRIMERA CATEGORIA
TRABAJOS ESPECIALES
3.11.1. Sub Categoría “A” Administración de Obras
Los honorarios que se indican son adicionales a los que corresponden al
arquitecto por el trabajo generado en la categoría correspondiente..
- Administración por constructor y por contratos parciales 1,5% Adic.
- Administración pro constructor cost-plus o por precios
unitarios 2,5% Adic.
- Administración directa por el arquitecto. 6,0% Adic.
3.11.3. Sub Categoría “C” modificación de obras
Los honorarios que aquí se indican, recargan los honorarios
correspondientes generados por trabajos establecidos en otras categorías.
- Ampliaciones en obra del mismo arquitecto 20% recargo
- Ampliaciones en obra de otra persona 30% recargo
- Alteraciones en obra del mismo arquitecto 40% recargo
- Alteraciones en obra de otra persona 50% recargo
- Reparaciones 40% recargo
- Restauraciones – Se considerará todo el
edificio como obra nueva,
y su honorario tendrá 50% recargo
.
14
3.11.4. Sub Categoría “C”. levantamientos, cubicaciones y mensuras, etc.
sobre proyectos y obras ya ejecutadas.
En esta sub categoría se calcularán en base al valor de la hora
referencial, más los gastos en que se incurra durante el trabajo.
Se consultan los siguientes ítems:
- Levantamientos de edificios, excluyendo terrenos; pueden ser con indicación
de superficies, señalando contornos generales; o levantamiento de
distribuciones interiores; o levantamientos completos.
- Cubicaciones o mensuras, las que pueden ser sobre planos o sobre pbra
ejecutada.
- Levantamientos de terrenos eriazos, en los que hay que diferenciar aquellos
levantamientos sobre terrenos menores de una hectárea y los mayores a esa
superficie; y si son accidentados o con pendientes dignas de anotar, etc.
3.11.5 Sub categoría “D”. Regularización de permisos municipales.
Como en el caso anterior, también en esta sub categoría se calcularán los
honorarios en base al valor de la hora profesional referencial, agregando los
gastos en que se incurra durante el proceso de regularización.
3.12 DUODECIMA CATEGORIA
ARQUITECTURA CONCEPTUAL Y TRABAJOS CONVENCIONALES
Estos se evaluarán considerando la envergadura del trabajo, el tiempo a
emplear, la experiencia, grado de responsabilidad, capacidad y esfuerzo a
desarrollar además de todos los gastos en que se haya de ocurrir. El
honorario a convenir se basará en el valor de la hora profesional referencial,
o será motivo de un convenio entre las partes.
15
3.13 DECIMO TERCERA CATEGORIA
ARQUITECTOS REVISORES INDEPENDIENTES
Basado el honorario en la rebaja de un 30% de los derechos de edificación,
éstos de desglosan de la siguiente manera:
a) Honorario revisión anteproyecto 6% de los derechos municipales.
b) Honorario revisión expediente de edificación:
Como anticipo - 15% de los derechos municipales.
Contra informe favorable - 12% de los derechos municipales.
Contra obtención permiso
de edificación - 3% de los derechos municipales.
Honorario total - 30% de los derechos municipales.
c) Honorario informe recepción final - 6% de los derechos municipales.
El honorario mínimo por gestión será de 10 UF.
Los porcentajes antes citados podrán tener un recargo convencional
adicional basado en diversos factores como ser:
- complejidad del anteproyecto o proyecto.
- Antecedentes no habituales.
- Exigencias especiales (rapidez, gestión directa, etc.)
- Tramitación de documentación complementaria.
Nota : cualquier actividad anexa no descrita se regula por las disposiciones
de las categorías de este arancel a las que se puedan asimilar.
4. VALOR REFERENCIAL DE LA HORA PROFESIONAL.
4.1. El valor referencial mínimo de la hora profesional es de 1 UF. Dicho valor
corresponderá también a una consulta verbal.
4.2. El valor señalado en el punto precedente podrá ser recargado según sea la
complejidad del trabajo, la experiencia, responsabilidad y grado de
especialización del arquitecto, considerando para ello los siguientes
aspectos:
16
• AÑOS DE PROFESION
Hasta 5 años sin recargo
De 5 a 15 años 20% de recargo
Sobre 15 años 50% de recargo
• ESPECIALIZACION DEL ARQUITECTO
Convencional, con un máximo de 100 % de recargo
• PARTICIPACION EN EQUIPO
Arquitecto Jefe del Equipo 100 % de recargo
Arquitecto co participante 50% de recargo
Arquitecto ayudante 30 % de recargo
• DURACION DEL TRABAJO
Trabajo continuado o habitual sin recargo
Trabajo esporádico 30% de recargo
4.3. Si en una contratación se cumple con más de una de las condiciones
señaladas en el punto precedente, se considerará la suma de los
porcentajes.
4.4. El tiempo consumido por el arquitecto en esperas o viajes, se cobrará de
acuerdo al valor de hora referencial, rebajado en un 30%, considerando una
jornada diaria de 6 horas y lo señalado en el punto 2.9 del capítulo Nº2,
Disposiciones Generales de este Documento Profesional.
5. TABLAS DE VALORES REFERENCIALES APLICABLES A LAS
DISTINTAS CATEGORIAS.
5.1. Los valores señalados en las tablas están expresados en Unidades de
Fomento reajustables (UF).
17
5.2. Al usar las distintas Tablas de Categorías se aplicará al valor de la obra o
trabajo el porcentaje más alto, hasta el máximo indicado en la primera
columna: si el costo fuera mayor, se aplicará al excedente el porcentaje de
la columna siguiente, y así sucesivamente.
5.3. Los honorarios establecidos en las Categorías 1ª a 7ª se podrán calcular en
UF/m2 para lo cual se hará el ejercicio de estimar el presupuesto de la obra
total de la etapa respectiva y se aplicará el porcentaje que establece la
categoría correspondiente. El resultado se dividirá por la superficie
proyectada, lo que establece el valor en UF por m2.

TASACIONES QUILICURA

  • 2.
    Juan ‐ LuisMenares Rodríguez Arquitecto Tasador / I.C.A. 10.867 Rol 4414 Registro Consultores MINVU INFORME DE TASACION Comuna: VIÑA DEL MAR Rol Predial: 2476-77 Dirección: LLANQUIHUE MZ B− 9 ST 3, SECTOR ALEJANDRO NAVARRETE Destino del bien raíz: HABITACIÓN PROFESIONAL ACTUANTE: Juan Luis Menares Rodríguez Arquitecto UTFSM, ICA 10.867, Rol 4414 Reg. Consultores MINVU CONTACTO: +56 9 4105 5309, juan.menares@ug.uchile.cl INFORME TASACION INMUEBLE
  • 3.
    Juan ‐ LuisMenares Rodríguez Arquitecto Tasador / I.C.A. 10.867 Rol 4414 Registro Consultores MINVU OBJETIVO Se extiende el presente informe de tasación para trámites posteriores de preventa y obtención de crédito hipotecario mediante entidad bancaria o financiera afín. Su utilización en acciones jurídicas o comerciales queda abierta. IDENTIFICACION DEL BIEN RAIZ Comuna: VIÑA DEL MAR Rol Predial: 2476-77 Dirección: LLANQUIHUE MZ B− 9 ST 3, POB. ALEJANDRO NAVARRETE, REÑACA Destino del bien raíz: HABITACIÓN Permiso de obras: PON 70/74 Recepción de obras: ROE 226/76 Propietario: TERESA ROJAS SOFFER Mandante: EVELYN PUEBLA Rut: 10418211-9 Tasador: JUAN LUIS MENARES RODRIGUEZ, Arquitecto Tasador Rol 4414, Registro de Consultores MINVU Fecha: 8 de Febrero de 2023 I. DESCRIPCIÓN DEL SECTOR A. Localización La vivienda se encuentra localizada en el límite nor poniente de Viña del Mar, dentro de la zona denominada “Alejandro Navarrete”, miradores de Jardín del Mar, Zona V-12 del plano regulador comunal. En específico entre Pasaje 27 por el Poniente (calle de acceso), Pasaje 26 por el Sur, Llanquihue por el Oriente (acceso principal) y Llanquihue por el Norte. B. Características generales y composición El terreno posee una anulada por cortes y rellenos contenidos. No existen evidencias de los estratos anteriores a la construcción del edificio. De los antecedentes en terreno puede inferirse que se trata de suelos arcillosos con presencia de maicillo y roca descompuesta en el subsuelo. La llegada al firme se garantiza mediante cimentación corrida y contenciones. Se han ejecutado todas las obras necesarias de nivelación y contención. Los patios y estacionamientos son de pendiente apropiada al uso cotidiano -al interior y exterior del predio-. Cuenta con obras. C. Infraestructura y urbanización La vivienda y su entorno inmediato se encuentran urbanizados. Al presente cuenta con servicios básicos operativos. Al igual que todas las unidades del barrio posee dotación de servicios activa mediante conexión y empalme a la red pública en control del operador de servicios local –concesionaria ESVAL-. El suministro de fuerza eléctrica es mediante red aérea trifásica existente según se rescata de los antecedentes de factibilidad online –Chilquinta-. La postación está vigente y sus servicios operativos. La pavimentación de recorrido vehicular en el camino de acceso, Llanquihue y Pasaje 27, es en carpeta con rasante de hormigón armado, al igual que las veredas y escurrimientos de agua lluvia-. Cuenta con zarpa y empalme de igual materialidad en el acceso de estacionamiento. La vivienda posee entrada desde la calle hasta su estacionamiento. Se verifica existencia de área verde y ambiente sólido de estacionamiento. Los cerramientos son en albañilería y acero. INFORME TASACION INMUEBLE
  • 4.
    Juan ‐ LuisMenares Rodríguez Arquitecto Tasador / I.C.A. 10.867 Rol 4414 Registro Consultores MINVU II. DESCRIPCIÓN DE LA PROPIEDAD A. Características La vivienda posee una materialidad mixta de albañilerías confinadas y maderas, todas con terminaciones de estándar medio. La trama vial circundante le provee de todos los servicios públicos necesarios para la vivienda. La población del sector es de clase media de tipo C2. En un radio de 100 metros cuenta con comercio minorista, y en uno de 500 m con centros mayoristas de enseres y acceso a instituciones de salud y educación en todos sus niveles. La cota promedio de 200 m sobre el NMM, le hacen parte del clima mediterráneo costero propio de los faldeos de la Cordillera de la Costa. B. Emplazamiento general La obra está aproximadamente a 2.00 km de la playa –desde el acceso principal a la propiedad-, en sus patios tiene panorámicas al oriente –reserva natural- y al poniente –Jardín del Mar-. Con respecto al plan regulador comunal, se encuentra en el área V-12 -correspondiente a las manzanas mirador de la Población Alejandro Navarrete, con 200 metros sobre el nivel medio del mar-, por lo que posee una excelente ventilación, asoleamiento y perspectivas sobre la costa nor poniente de la ciudad –valor inmaterial del barrio-. Se integra al circuito de peatonales y avenidas costeras de Jardín del Mar alto y el quinto sector. C. Terreno: Deslindes y Superficies Los deslindes señalados corresponden a los rescatados del levantamiento. Se haya inscrita a fojas 3311, nro 4386 en el registro de propiedad del año 2001.  Al Norte : 20.00 m en línea continua (limitando con otro propietario)  Al Sur : 20.00 m en línea continua (limitando con otro propietario)  Al Oriente : 12.00 m en línea continua (limitando con Pasaje 27)  Al Poniente : 12.00 m en línea continua (limitando con Calle Llanquihue)  Superficie : 240.00 M2 Programa y estado actual  Destino : Inmueble de destino habitacional -obras en terreno sin pendiente-.  Programa : Vivienda con área social, cocina, baños y dormitorios. En volumen anexo estacionamiento.  Materialidad : Muros de hormigón armado en contenciones y losas. Albañilerías confinadas y divisiones de madera en interiores y segundo piso de vivienda.  Conservación : Su estado general es semi nuevo y habitable. No se considera desvalorización por tiempo o daños.  Deudas, Expropiaciones y Cesiones No registra INFORME TASACION INMUEBLE
  • 5.
    Juan ‐ LuisMenares Rodríguez Arquitecto Tasador / I.C.A. 10.867 Rol 4414 Registro Consultores MINVU D. Foto georreferenciada Coordenadas -32.982566, -71.528368 III. RESUMEN DE ANTECEDENTES SECTORIALES Zona V-12 Plan Regulador Comunal VIÑA DEL MAR Usos Permitidos Vivienda, Salud, Área verde, Actividad inofensiva compatible. Usos Prohibidos Industria, equipamiento; actividad molesta, insalubre y peligrosa en general. Condiciones de Edificación a) Superficie Predial mínima 240.00 m2 b) Frente Predial mínimo *** c) Ocupación máxima de suelo 50.00% d) Coeficiente de Constructibilidad 120.00% e) Sistema de agrupación Aislado/ Pareado/ Contínuo f) Fondo predial mínimo *** g) Antejardín mínimo 3.00 m h) Altura de cierros 1.60 (semi transparente hacia la calle) i) Densidad de ocupación 850 hab/há j) Altura máxima 7 pisos/ 21 metros Rasantes y distanciamientos según OGUC. Retranqueos de un metro adicional por cada nivel sobre el segundo piso proyectado. INFORME TASACION INMUEBLE
  • 6.
    Juan ‐ LuisMenares Rodríguez Arquitecto Tasador / I.C.A. 10.867 Rol 4414 Registro Consultores MINVU IV. VALORIZACION SIMPLE a) El valor comercial se asignará por referencia directa con las áreas homogéneas –AH- de la comuna, según tabla 2017 del servicio de impuestos internos (vigente al momento de elaboración del informe). Además se cotejará con ejemplos de mercado homologables. b) El valor físico de las construcciones, corresponderá al vigente por metro cuadrado MINVU, incluyendo los costos indirectos de ejecución, y pudiendo considerar depreciación. Se utilizará tabla de costos unitarios correspondientes al trimestre y su categorización. c) Los costos de ejecución se harán en base a la tabla del colegio de arquitectos de Chile y estimando recargo adicional por concepto de especialidades técnicas. Los siguientes recuadros muestran: 1.- Las diversas áreas homogéneas, dando el valor promedio en pesos por m2. Area Homogénea AH Valor $/m2 ÁREAS HOMOGENEAS $/M2 HBB 169 90,958 HBB 169 121,924 HAB 021 195,595 HAB 021 262,184 HMB 022 177,755 HMB 022 238,270 HMB 089 123,277 HMB 089 165,246 HMB 105 96,158 HMB 105 128,894 Promedio $/m2 136,749 PROMEDIO $/M2 183,304 Promedio con ajuste 136,749 Promedio con ajuste 183,304 UF 2017 26348 FACTOR CORRECCIÓN UF 2023 35318 1.340443297 2.- El recargo porcentual de aranceles para proyectos según tablas del Colegio de Arquitectos -respecto al rango de costo material en UF-. Factores de ajuste Factor Superficie 1 Factor frente fondo 1 Factor altura 1 Factor casos excepcionales 1 Factor prom. de ajuste 1 3.- Los factores de ajuste por situaciones especiales, constatando variabilidad leve de costos promedio, dado el factor superficie –que supera a las constatadas a su alrededor-. INFORME TASACION INMUEBLE
  • 7.
    Juan ‐ LuisMenares Rodríguez Arquitecto Tasador / I.C.A. 10.867 Rol 4414 Registro Consultores MINVU Factores de ajuste Factor Superficie 1 Factor frente fondo 1 Factor altura 1 Factor casos excepcionales 1 Factor prom. de ajuste 1 Teniendo como resultado 183.304 $/m2 se multiplicará esta cifra en un 200% para corregir la división a la mitad del valor promedio de compraventas -por sector- aplicado en el SII para el cálculo de contribuciones. Por tanto el promedio resultante de selección de áreas homogéneas cercanas al caso será 366.608 $/m2. Siendo la presente tasación del tipo técnica comercial, se presentará a continuación tabla de casos homologables, seleccionados desde bases de datos de corretaje de propiedades. Esto a fin de obtener un costo promedio por metro cuadrado que se coteje con la cifra obtenida mediante el cálculo desde las tablas de valorización técnica territorial precedentes. Los casos homologables rescatados son los siguientes: Caso Total $ Apx. obra $ Lote $ Lote M2 link $/m2 lote 1 118,000,000 58,000,000 60,000,000 107 https://www.corpinmobiliaria.cl/prop/venta- casa-vina-del-mar-alejandro- navarrete_1965316?utm_source=Lifull- connect&utm_medium=referrer 560,748 2 123,589,795 66,500,000 57,089,795 108 https://casas.trovit.cl/listing/casa-en-venta-en- vina-del-mar.s1wY1W1cM1j1R 528,609 3 175,000,000 80,000,000 95,000,000 190 https://casas.mitula.cl/detalle/370358/26801296 75192359074/21/1/terrenos-gomez- carre%C3%B1o?search_terms=terrenos+gomez+c arre%C3%B1o&page=1&pos=21&t_sec=1&t_or=2 &t_pvid=49645ccf-3538-4ff0-94dd-1d0edcbb515c 500,000 4 379,050,000 125,000,000 254,050,000 380 https://casas.trovit.cl/listing/casa-en-jardin-del- mar-5d-4b-163380m2.42f80097-409a-3bdf-b336- a1fe7815cfb2 668,553 5 190,662,984 60,000,000 130,662,984 230 https://casas.trovit.cl/listing/vina-del-mar- poblacion-alejandro-navarrete-pasaje-18-d3-casa- 7-gomez-carreno-vina-del-mar.1b71ntZ1wA1K 568,100 costo promedio 565,202 promedio con factores de ajuste SII 565,202 Considerando el promedio en la presente tabla de 565.202 $/m2 y el promedio resultante de selección de áreas homogéneas cercanas al caso de 366.608 $/m2 tenemos un valor promedio final del metro cuadrado correspondiente a 465.905 $/m2 los que serán aplicados a la tabla de cálculo final. Para estimar el costo de materiales de construcción se considera la categoría E de construcción LIVIANA en MADERA con presencias de terminaciones mixtas –cuya desvalorización se ha de explicitar en tabla final-. Las obras de terminación serán consideradas dentro del costo unitario por m2 de la misma categoría -dada su baja relevancia en el contexto general-. En primeros pisos y estacionamiento aplicará la categoría C correspondiente a las soluciones en albañilería confinada. INFORME TASACION INMUEBLE
  • 8.
    Juan ‐ LuisMenares Rodríguez Arquitecto Tasador / I.C.A. 10.867 Rol 4414 Registro Consultores MINVU Costo m2 materiales Clasificación E Madera Categoría 2 Media sup. Promedio $/m2 Clasificación C Madera Categoría 2 Media sup. Promedio 311898 $/m2 Valor promedio final tierra $/m2 465904.69 Por último se considera en la tabla de la valorización final - 75% sobre el total de materiales, a razón de costos de mano de obra necesaria para ejecutar las obras. - Itemizado de costos adicional por concepto de proyectos e instalación de obras complementarias. - Un coste estimativo de especialidades a 2 UF/m2 a razón de la data de ejecución de obras. - Desvalorizaciones según tabla SII. Alcances preliminares 1. El profesional actuante no tiene hoy ni espera tener en el futuro, interés en la propiedad tasada ni ningún impedimento para llevar a cabo este trabajo en forma independiente. 2. El tasador no tiene personal interés ni participación en los usos que se hagan de la tasación. 3. Que se ha inspeccionado la propiedad por medios de levantamiento GPS. La información que presenta es verdadera, y no se ha obviado nada de importancia. 4. Que todos los inconvenientes y limitaciones que pueda tener el inmueble y su vecindario están mencionados. 5. Que las conclusiones y opiniones referentes a la información requerida en este informe han sido preparadas por el tasador abajo firmante, el cual se hace legalmente responsable de las apreciaciones contenidas en la tasación, en conformidad al artículo 22, del Reglamento de Sociedades Anónimas. 6. Los factores de ajuste son estimados en base a situación topográfica constatada en terreno. 7. El costo por metros lineales y la valorización de obras de provisión de servicios serán a criterio del profesional actuante. Se añadirá el costo de proyectos aprobados, dada su relevancia por concepto de gasto y vigencia – si existieren-. 8. La propiedad está sujeta a plano regulador comunal vigente. Se informa de cambios que pudiesen afectarle. 9. Las conclusiones de una tasación son objetivas en la medida de lo posible, haciendo uso de datos públicos y levantamientos; esta circunstancia no implica nulidad de posibilidades de variación por razones de índole social en general. 10. Corresponderá al mandante extender el certificado de hipotecas, gravámenes, prohibiciones y litigios. A CONTINUACIÓN TABLA DE VALORIZACIÓN. INFORME TASACION INMUEBLE
  • 9.
    Juan ‐ LuisMenares Rodríguez Arquitecto Tasador / I.C.A. 10.867 Rol 4414 Registro Consultores MINVU A. CUADRO DE VALORIZACION 1. Predio y materiales Item Sup. m² $/m² UF/m² Total $ Total UF Lote 240.00 465,905 13.19 111,817,200.00 3,166.28 Materiales construcción sólida 91.14 311,898 8.83 28,426,383.72 804.94 Materiales construcción liviana 33.01 223,202 6.32 7,367,898.02 208.63 Subtotal bienes inmuebles 147,611,481.74 4,179.85 2. Proyectos y construcción Item Sup. m² $/m² UF/m² Total $ Total UF Construcción sólida 91.14 234,510 6.64 21,373,220.84 605.22 Construcción liviana 33.01 167,821 4.75 5,539,772.95 156.87 Especialidades 91.14 70,630 2.00 6,437,218.20 182.28 Subtotal profesionales y maestros 33,350,211.99 944.36 3. Obras Complementarias Item U / m.l. $/U UF/m Total $ Total UF Cierro perimetral y muros contención 64.00 115,000 3.26 7,360,000.00 208.41 Empalme y conexión 2.00 3,500,000 99.11 7,000,000.00 198.22 Empalme eléctrico 1.00 3,500,000 99.11 3,500,000.00 99.11 Mano de Obra 5.00 700,000.00 3,500,000.00 99.11 Subtotal OO. CC. 21,360,000.00 604.84 4. Desvalorización Item vida util SII $ / año años obra Tot. $ x desc. Total UF obras categoría C 80 355,330 40 14,213,192 402.47 obras categoría E 80 92,099 40 3,683,949 104.32 obras complementarias 80 223,250 47 10,492,750 297.12 5. TOTAL VALORIZACION FISICA 173,931,802.86 4,925.15 B. VALORES DE TASACION Item Total $ Total UF VALOR TASACION 173,931,802.86 4,925.15 VALOR SEGURO PREDIO 100% 111,817,200.00 3,166.28 VALOR SEGURO CONSTRUCCIONES Y OO. CC. 100% 62,114,602.86 1,758.87 VALOR LIQUIDACION 75% 130,448,852.14 3,693.87 Valor UF Febrero 2023 35,315.00 INFORME TASACION INMUEBLE
  • 10.
    Juan ‐ LuisMenares Rodríguez Arquitecto Tasador / I.C.A. 10.867 Rol 4414 Registro Consultores MINVU C. RESULTADOS: 1. A partir de los parámetros utilizados, los resultados arrojan un valor base del terreno en 3166 UF 2. Considerando la superficie del inmueble y desvalorización; los proyectos y materiales se estiman en 1758 UF 3. Considerando el valor de la UF a la fecha, el monto de tasación se estima en $173.931.802 4. En Anexos de este informe se entrega documentación de respaldo a los parámetros aplicados para la tasación D. COMENTARIO FINAL DE VALORIZACIÓN: Estando urbanizada y ejecutada las obras de infraestructura correspondiente al acceso y servicios -en entorno inmediato de las obras- y existiendo labores de ingeniería y arquitectura ya realizadas y en óptimas condiciones (consideradas con ajustes de valor por su fecha de ejecución); se estima una incorporación factible al mercado. El valor promedio de la unidad vendible, definido bajo la metodología de informe, considera modificaciones a la baja de carácter leve dada la ejecución –aproximadamente cuatro décadas atrás-. La construcción se aprecia en estado de conservación óptima, no requiriendo intervenciones en estructuras para consolidar la habitabilidad. J U A N - L U I S M E N A R E S R O D R I G U E Z Tasador: Rol 4414 Reg. Consultores MINVU Profesión: Arquitecto/ I.C.A.10867 INFORME TASACION INMUEBLE
  • 11.
    Juan ‐ LuisMenares Rodríguez Arquitecto Tasador / I.C.A. 10.867 Rol 4414 Registro Consultores MINVU V. COMPLEMENTO DE ANTECEDENTES TECNICO-LEGALES 1. Registro tasador 2. Certificado de avalúo 3. Certificado de deuda tributaria 4. Certificado exención de expropiación 5. Plano plancheta SII 6. Plano esquemático del lote 7. Plano esquemático obras 8. Planta Google Earth 9. Planta Google Maps 10. Fotografías 11. Extracto plano regulador comunal 12. Extracto plano de áreas homogéneas 2018 13. Extracto P.R.C. Ordenanza Local 14. Tabla de ajustes SII 15. Tabla desvalorización SII 16. Tabla de categorías de construcción 17. Tabla de Honorarios CA INFORME TASACION INMUEBLE
  • 14.
    Fecha de Emisión:07 de Febrero de 2023 CERTIFICADO DE AVALÚO FISCAL Avalúos en pesos del PRIMER SEMESTRE DE 2023 Comuna : VINA DEL MAR Número de Rol de Avalúo : 02476 − 00077 Dirección o Nombre del bien raíz : LLANQUIHUE MZ B− 9 ST 3 ALEJANDRO NAVARRETE Destino del bien raíz : HABITACIONAL AVALÚO TOTAL : $ 51.484.022 AVALÚO EXENTO DE IMPUESTO : $ 51.484.022 AVALÚO AFECTO A IMPUESTO : $ 0 El avalúo que se certifica ha sido determinado según el procedimiento de tasación fiscal para el cálculo del impuesto territorial, de acuerdo a la legislación vigente, y por tanto no corresponde a una tasación comercial de la propiedad. Por Orden del Director CERTIFICADO GRATUITO 1/1
  • 15.
    Certificado de Deuda ROJASSOFFER TERESA Y OTROS NOMBRE LLANQUIHUE MZ B- 9 ST 3 VINA DEL MAR 037-02476-077 DIRECCION ROL COMUNA ESTE ROL VINA DEL MAR 037-02476-077 NO REGISTRA DEUDA 11:49 La Institución o persona ante quien se presenta este certificado, podrá verificar su autenticidad en www.tgr.cl, ingresando el número del código de barra que se indica en certificado. (Liquidada al: 07-02-2023) El Servicio de Tesorería certifica que de acuerdo al estado de la Cuenta Única Tributaria no se registra deuda asociada a este ROL VINA DEL MAR 037-02476-077. IMPORTANTE Emitido a las: Página 1 de Fecha de Emisión del Certificado: 07-02-2023 1 DOCUMENTO NO VALIDO PARA PAGAR EN INSTITUCIONES RECAUDADORAS 001SD202303825534262
  • 16.
    N° Certificado: 2700988 InformeSituación de Inmueble Valparaiso, 7 de Febrero de 2023 Este Servicio informa con esta fecha que: Inmueble ubicado en LLANQUIHUE MZ B 9 ST 3 ALEJANDRO NAVARRETE de la comuna de VIÑA DEL MAR, Rol de Avalúo Nº 02476-00077 se encuentra NO AFECTO A EXPROPIACIÓN por SERVIU de Valparaiso. Se extiende el presente informe a solicitud JUAN LUIS MENARES RODRÍGUEZ, para ser presentado en CHILE PROPERTY APPRAISAL. Emitido de conformidad con lo dispuesto en los articulos 5 y 20 de la Ley 19.628 y 17 de la Ley 19.880. Oficina Virtual Internet Cajero Virtual Internet Costo de la Solicitud: $ 0 Código de Transacción: BD4866B7 Si el número del inmueble del Rol consultado no coincide con la numeración de la propiedad desplegada, deberá solicitar un certificado de numeración en la dirección de obras de la municipalidad a la que pertenece la propiedad. Informe para el inmueble ubicado en LLANQUIHUE MZ B 9 ST 3 ALEJANDRO NAVARRETE de la comuna de VIÑA DEL MAR, Rol de Avalúo Nº 02476-00077, emitido en: Valparaiso, 7 de Febrero de 2023 Cajero: Oficina Virtual Internet N° Certificado: 2700988
  • 17.
    La información espacial contenida es solo referencial. Información espacial almacenada en WGS 84, proyección UTM, huso 12 Sur, 17 Sur, 19 Sur según corresponda. Capa vectorial de límites de propiedades rurales, fue generada por CIREN, a partir de los planos análogos del SII sobre imágenes satelitales ortorrectificadas. La capa Áreas Homogéneas del Reavalúo SNE 2023 está determinada de acuerdo a la base de datos catastral del SII vigente al segundo semestre de 2022, por lo que no reflejan modificaciones posteriores y los montos de valor m de terreno están expresados en moneda nacional al SEGUNDO SEMESTRE DE 2022. Las capas de Áreas Homogéneas y el valor del m de terreno (en moneda nacional al SEGUNDO SEMESTRE DE 2021) del Reavalúo 2022 están determinadas de acuerdo a la base CARTOGRAFIA DIGITAL SII MAPAS Catálogo Mapas Ingresar Buscar Comunas Buscar Reavalúo Buscar Dirección Buscar Rol DATO PREDIAL Catastro Legal Comuna Rol Predial VIÑA DEL MAR 2476-76 Dirección o Nombre de la Propiedad LAGO LANQUIHUE COOPERATIVA Ubicación Reavalúo URBANA RAV NO AGRICOLA 2022 Destino Área Homogénea HABITACIONAL HBB169 Catastro Valorizado Avalúo Total $51.156.392 Avalúo Afecto $0 Avalúo Exento $51.156.392 Avalúos en pesos del PRIMER SEMESTRE DE 2023 El avalúo indicado ha sido determinado según el proceso de tasación fiscal para el cálculo de impuesto territorial, de acuerdo a la legislación vigente, y por tanto no corresponde a una tasación comercial de la propiedad. Ocultar 2 2
  • 18.
    de datos catastral del SII vigente al segundo semestre de 2021, por lo que no reflejan modificaciones posteriores. La capa Áreas Homogéneas del Reavalúo de sitios no edificados, propiedades abandonadas y pozos lastreros 2021, está determinada de acuerdo a la base de datos catastral del SII vigente al segundo semestre de 2020, por lo que no reflejan modificaciones posteriores y los montos de valor m de terreno están expresados en moneda nacional al SEGUNDO SEMESTRE DE 2020. La capa Áreas Homogéneas del Reavalúo de sitios no edificados, propiedades abandonadas y pozos lastreros 2020, está determinada de acuerdo a la base de datos catastral del SII vigente al segundo semestre de 2019, por lo que no reflejan modificaciones posteriores y los montos de valor m de terreno están expresados en moneda nacional al SEGUNDO SEMESTRE DE 2019. La capa Áreas Homogéneas del Reavalúo de sitios no edificados, propiedades abandonadas y pozos lastreros 2019, está determinada de acuerdo a la base de datos catastral del SII vigente al segundo semestre de 2018, por lo que no reflejan modificaciones posteriores y los montos de valor m de terreno están expresados en moneda nacional al SEGUNDO SEMESTRE DE 2018. 2 2 2
  • 20.
  • 21.
  • 22.
  • 34.
    Decreto 10046, VIÑADEL MAR (2016) Biblioteca del Congreso Nacional de Chile - www.leychile.cl - documento generado el 06-Feb-2023 página 8 de 11 IV.- Modifíquese el artículo 16 "Zonas y Áreas", agregando a la columna "ZONAS URBANAS", las zonas V12, E12 y EV. V.- Modifíquese en el artículo 17 "Normas de usos de suelo, condiciones de subdivisión y edificación", agregándose las siguientes zonas junto a sus correspondientes normas de uso de suelo y condiciones de edificación: V.1.- ZONA V12 (Aplicada sobre las poligonales A1-A26 y B1-B6 graficadas en el plano P.MPRC.SGC-LSER/01) 1.- USOS DE SUELO 1.1.- Usos Permitidos 1.1.1.- Residencial Vivienda Hoteles, moteles, residenciales, hosterías 1.1.2.- Equipamiento
  • 35.
    Decreto 10046, VIÑADEL MAR (2016) Biblioteca del Congreso Nacional de Chile - www.leychile.cl - documento generado el 06-Feb-2023 página 9 de 11 Comercio: Restaurant, bar, fuente de soda, centro comercial, supermercado, mercado, feria libre, local comercial; centro de servicio automotor y estación de servicio automotor. Culto, cultura: Museo, biblioteca, sala de concierto, teatro, auditorio, jardín botánico, casa de la cultura, cine. Deporte: Estadio, coliseo, cancha, piscina, centro deportivo y gimnasio; Educación; Esparcimiento: Parque de entretenciones; Salud: Clínicas, postas, consultorios; Seguridad; Bomberos, comisaría, tenencia. Servicios; Correo, telégrafo y servicios de utilidad pública; servicios profesionales; servicios artesanales inofensivos; Social; 1.1.3.- Infraestructura: Estaciones de transporte público 1.1.4. Espacio público; 1.1.5. Área verde. 1.2. Usos prohibidos: Todos los no consignados en los numerales anteriores y expresamente los siguientes: talleres, estaciones de servicio automotor y centros de mantención automotor, venta de vehículos livianos, impacto similar al uso industrial, edificios de estacionamiento. 2. CONDICIONES DE SUBDIVISIÓN Y EDIFICACIÓN: 2.1. Superficie predial mínima: 240 metros cuadrados 2.3. Coeficiente de ocupación de suelo: 0,50 2.4. Coeficiente de Constructibilidad: 1,2 2.5. Tipo de agrupamiento: Continuo, aislado y pareado 2.6. Altura máxima: 7 pisos y 21 metros, medidos desde el suelo natural. 2.7. Distanciamientos y rasantes: Se deberá aplicar lo establecido en la Ordenanza de la Ley General de Urbanismo y Construcciones. 2.8. Antejardín: . De tipo A con un ancho de 3 m . Para los predios que enfrenten las vías troncales y colectoras de la comuna el antejardín será de 7 m. 2.9. Densidad bruta máxima: 850 habitantes por hectárea 2.10. Estacionamientos: Según se establece en Capítulo y Tabla Dotaciones Mínimas de Estacionamiento Vehicular de la presente ordenanza. V.2.- ZONA E-12 (Aplicada sobre la poligonal A1-A26 graficada en el plano P.MPRC.SGC-LSER/01) 1.- USOS DE SUELO 1.1.- Usos permitidos 1.1.1.- Residencial Vivienda Hoteles, moteles, residenciales, hosterías. 1.1.2.- Equipamiento Comercio: Centro de servicio automotor, estaciones de servicio automotor (bombas de bencina); ferias; local comercial, mercados, restoranes, supermercados, oficinas profesionales. Culto, cultura: Deporte: Esparcimiento: Parque de entretenciones Salud: hospitales, clínicas, postas, dispensarios, consultorios; Seguridad; Servicios; Social; 1.1.3.- Actividades productivas "inofensivas": a) Taller, 1.1.4. Espacio público; 1.1.5. Área verde: Parques, plazas, jardines y juegos infantiles. 1.2. Usos prohibidos: Todos los no consignados en los numerales anteriores y expresamente los siguientes: Exhibición y/o ventas de vehículos livianos (viales, acuáticos y/o aéreos);
  • 36.
    ANEXO N° 2 TASACIÓNDE TERRENOS 1 CONSIDERACIONES GENERALES: Cuando un determinado inmueble presenta características que le generan una variación respecto del valor unitario de terreno establecido para el Área Homogénea en que se ubica, y éstas características no se encuentran señaladas en la ficha descriptiva del Área Homogénea y tampoco se encuentran consideradas en la determinación del valor unitario de terreno fijado para esta en los planos de precios comunales, ni se ven reflejadas en el coeficiente guía aplicado al terreno, antecedentes que se encuentra señalados en el Anexo N°1 aprobado por la misma resolución que aprueba el presente anexo, se aplicará al inmueble, un coeficiente corrector para ajustar el valor del terreno según la situación particular que lo afecta. De acuerdo con lo anterior, el Avalúo de Terreno está determinado de la siguiente forma: Avalúo de Terreno ($) = VTAH · ST · CG · CCTF Donde: VTAH: Corresponde al valor unitario de terreno asignado al Área Homogénea ($/m2). ST: Superficie de terreno (m2). CG: Coeficiente Guía de Terreno. CCTF: Coeficiente Corrector de Terreno Final. Para la determinación del Coeficiente Corrector de Terreno Final, se consideran los siguientes factores que pudieran afectar al inmueble: - Coeficiente Corrector por relación Frente – Fondo. - Coeficiente Corrector por Superficie de terreno. - Coeficiente Corrector Excepcional. - Coeficiente de Ajuste por Altura de la edificación. Las condiciones consideradas para la aplicación de estos factores y la determinación del Coeficiente Corrector Final se indican en los puntos 2 y 3 de este Anexo.
  • 37.
    2 CONDICIONES PARALA APLICACIÓN DE COEFICIENTES CORRECTORES AL AVALÚO DEL TERRENO: 2.1 COEFICIENTE CORRECTOR POR RELACIÓN FRENTE-FONDO (CFF): COCIENTE FRENTE – FONDO (metros de frente / metros de fondo) COEFICIENTE CORRECTOR POR RELACIÓN FRENTE - FONDO MAYOR O IGUAL A 0,33 1,00 MAYOR O IGUAL A 0,20 Y MENOR A 0,33 0,90 MENOR A 0,20 0,80 El fondo de un bien raíz se calculará como el cociente entre la superficie de terreno y los metros de frente. El frente de un bien raíz corresponde a la longitud de la línea oficial de la propiedad, por donde se encuentra su acceso. En caso que un bien raíz tenga acceso por más de una vía, se considera como frente el de mayor longitud. 𝑭𝑭𝑭𝑭𝑭𝑭𝒅𝒅𝒐𝒐 (𝒎𝒎) = 𝑺𝑺𝑺𝑺𝑺𝑺𝑺𝑺𝑺𝑺𝑺𝑺𝑺𝑺𝑺𝑺𝑺𝑺𝑺𝑺 𝒕𝒕𝒕𝒕𝒕𝒕𝒕𝒕𝒕𝒕𝒕𝒕𝒕𝒕 (𝒎𝒎2) 𝑭𝑭𝑭𝑭𝑭𝑭𝑭𝑭𝑭𝑭𝑭𝑭 (𝒎𝒎) No se aplican los coeficientes de esta tabla a: - Predios cuya superficie de terreno sea mayor a dos veces el rango máximo de superficie definido para el AH. - Predios acogidos a la Ley N°19.537 sobre Copropiedad Inmobiliaria, tanto unidades vendibles como al bien común. - Predios acogidos a conjunto armónico. - Predios tasados con más de una línea de terreno. - Predios tasados en modalidad padre/hijo. En aquellos bienes raíces ubicados completamente en subsuelo, la superficie de terreno a tasar será la proyección en planta de todos los niveles bajo o sobre el suelo, según corresponda. Sobre esta superficie proyectada, el frente de la propiedad corresponde a la mayor distancia mientras que el fondo se calculará de acuerdo a la fórmula anterior. 2.2 COEFICIENTE CORRECTOR POR SUPERFICIE (CS): Se aplicará el coeficiente corrector, según la superficie representativa de terreno definida para el Área Homogénea en que se ubica el inmueble, registrada en los Planos de Precios de Terreno, de acuerdo a las siguientes condiciones:
  • 38.
    CONDICIÓN COEFICIENTE CORRECTOR POR SUPERFICIE Superficie bienraíz menor o igual que el rango máximo de superficie definido para el AH. 1,00 Superficie bien raíz mayor que el rango máximo de superficie definido para el AH y menor o igual que diez veces el rango máximo de superficie definido para el AH. 0,80 Superficie bien raíz mayor que diez veces el rango máximo de superficie definido para el AH y menor o igual que veinte veces el rango máximo de superficie definido para el AH. 0,70 Superficie bien raíz mayor que veinte veces el rango máximo de superficie definido para el AH y menor o igual que treinta veces el rango máximo de superficie definido para el AH. 0,60 Superficie bien raíz mayor que treinta veces el rango máximo de superficie definido para el AH y menor o igual que cuarenta veces el rango máximo de superficie definido para el AH. 0,50 Superficie del bien raíz mayor que cuarenta veces el rango máximo de superficie definido para el AH. 0,40 No se aplican los coeficientes de esta tabla a: - Predios acogidos a la Ley N°19.537 sobre Copropiedad Inmobiliaria, tanto unidades vendibles como al bien común. - Predios acogidos a conjunto armónico. 2.3 COEFICIENTE CORRECTOR EXCEPCIONAL (CE): Si un determinado bien raíz, presenta una minusvalía debidamente respaldada por los medios de prueba que demuestren objetivamente la condición de menor valor del inmueble, como asimismo la situación o el factor que origina esta pérdida de valor, producto de características particulares o de alguna situación especial que lo afecte, que ameritan la aplicación de un coeficiente corrector que recoja esta minusvalía, la cual no se encuentra considerada en la determinación del valor de terreno establecido para el Área Homogénea en la cual se emplaza, ni se encuentra indicada en su ficha descriptiva correspondiente, se deberá aplicar un coeficiente corrector excepcional, según la siguiente tabla:
  • 39.
    DESCRIPCIÓN PORCENTAJE DE AFECTACIÓN DE LA SUPERFICIEDE TERRENO DEL PREDIO COEFICIENTE CORRECTOR EXCEPCIONAL Predio con deficiencia de accesibilidad No aplica 0,80 Predio afecto a servidumbre de paso Más de 75% 0,10 Más de 50% a 75% 0,25 Más de 25% a 50% 0,50 de 10% a 25% 0,75 Predio equipamiento subterráneo en bien nacional de uso público No aplica 0,50 Predio con prohibición de edificar, establecida en el respectivo Instrumento de Planificación Territorial (IPT)(*) Más de 75% 0,10 Más de 50% a 75% 0,25 Más de 25% a 50% 0,50 de 10% a 25% 0,75 Predio con destino principal habitacional, colindante a basural, definido por IPT No aplica 0,30 Predio con destino principal habitacional, colindante a cementerio No aplica 0,80 Predio con destino principal habitacional, colindante a cárcel No aplica 0,70 Predio con destino principal habitacional, colindante a estadio de fútbol No aplica 0,80 Predio con destino principal habitacional, colindante a propiedad declarada abandonada por Decreto Municipal No aplica 0,80 Corrector por superficie no centralizado - Saldo predial declarado en Certificado de Informes Previos otorgado por la DOM respectiva No aplica 0,50 Corrector por superficie no centralizado – Macrolote con superficie de terreno desde 500.000 a 1.000.000 m2. No aplica 0,30 Corrector por superficie no centralizado – Macrolote con superficie de terreno mayor a 1.000.000 m2. No aplica 0,20 Corrector por superficie no centralizado – Macrolote con superficie de terreno desde 500.000 a 1.000.000 m2. y mayor a 50 veces el rango de superficie mayor definido para el área homogénea respectiva. No aplica 0.15 Corrector por superficie no centralizado – Macrolote con superficie de terreno mayor a 1.000.000 m2 y mayor a 50 veces el rango de superficie mayor definido para el área homogénea respectiva. No aplica 0,10 Área verde pública definida en el respectivo IPT (*) No aplica 0,50 Área verde Privada definida en el respectivo IPT (*) No aplica 0,20 Corrector por nuevas obras de urbanización No aplica Mayor a 1,00 Concesión marítima, sector playa No aplica 0,5 * Definido en IPT o por organismo gubernamental competente.
  • 40.
    La aplicación deeste coeficiente no se otorga en el caso que el valor fiscal establecido ya recoja la minusvalía presente en el predio. Cuando la minusvalía objetivamente acreditada no corresponda a las causales definidas en el presente Anexo, se podrá asimilar a un corrector equivalente. La aplicación de este coeficiente no se otorga en forma copulativa, si un inmueble presenta más de una de las situaciones detalladas en la tabla anterior, se considera el menor coeficiente. No se aplican los coeficientes de esta tabla a: - Predios acogidos a la Ley N°19.537 sobre Copropiedad Inmobiliaria, tanto unidades vendibles como al bien común. - Predios acogidos a conjunto armónico. 2.4 COEFICIENTE DE AJUSTE POR ALTURA DE LA EDIFICACIÓN (CA): Si en una determinada Área Homogénea coexisten edificaciones de alta y baja altura, considerando como baja altura edificaciones menores a 6 pisos, podrá aplicarse al terreno un Ajuste por Altura de la edificación de manera de equilibrar diferencias de valores de terreno entre inmuebles con edificaciones de alta y baja altura, pudiendo presentarse las siguientes situaciones: 2.4.1 Coeficiente de ajuste menor que 1,00: este factor de ajuste al terreno se aplica a los predios que cumplan la siguiente condición: Bien raíz ubicado en las comunas y áreas homogéneas indicadas en tabla, cuyas edificaciones son menores a 6 pisos. Comuna Área Homogénea Coeficiente de Ajuste por Altura Comuna Área Homogénea Coeficiente de Ajuste por Altura ANTOFAGASTA CMA012 0,7 LAS CONDES CAA131 0,6 ANTOFAGASTA EMM044 0,7 LAS CONDES CAA137 0,52 ANTOFAGASTA HAA049 0,5 LAS CONDES CAA140 0,5 ANTOFAGASTA HAA053 0,5 LAS CONDES CAA153 0,54 ANTOFAGASTA HAA055 0,5 LAS CONDES CAA154 0,62 ANTOFAGASTA HBM087 0,7 LAS CONDES CAA189 0,5 ANTOFAGASTA HMA105 0,8 LAS CONDES CMA017 0,46 ANTOFAGASTA HMA113 0,7 LAS CONDES CMA149 0,5 ANTOFAGASTA HMB116 0,7 LAS CONDES HAA004 0,5 ANTOFAGASTA HMM133 0,9 LAS CONDES HAA007 0,51 ANTOFAGASTA HMM135 0,73 LAS CONDES HAA016 0,5 ANTOFAGASTA HMM136 0,9 LAS CONDES HAA023 0,47 ANTOFAGASTA HMM137 0,8 LAS CONDES HAA084 0,5 ANTOFAGASTA HMM149 0,6 LAS CONDES HAA090 0,5 CONCÓN HMB061 0,27 LAS CONDES HAA092 0,46 ESTACIÓN CENTRAL XBM072 0,45 LAS CONDES HAA155 0,5 LA SERENA XMA004 0,52 LAS CONDES HMA010 0,5 LA SERENA XMA067 0,36 LAS CONDES HMA012 0,5 LAS CONDES CAA006 0,5 LAS CONDES HMA018 0,5 LAS CONDES CAA034 0,5 LAS CONDES HMA021 0,5
  • 41.
    Comuna Área Homogénea Coeficiente de Ajuste por Altura Comuna Área Homogénea Coeficiente deAjuste por Altura LAS CONDES HMA060 0,55 ÑUÑOA HMM106 0,63 LAS CONDES HMA079 0,68 ÑUÑOA XMM024 0,71 LAS CONDES HMA121 0,73 ÑUÑOA XMM071 0,74 LAS CONDES HMA139 0,68 PUENTE ALTO CMB019 0,62 LAS CONDES HMA141 0,61 SANTIAGO CENTRO HMM010 0,26 LAS CONDES HMA174 0,71 SANTIAGO CENTRO HMM045 0,86 LAS CONDES HMA180 0,5 SANTIAGO CENTRO HMM047 0,55 LAS CONDES HMA190 0,51 SANTIAGO CENTRO HMM049 0,6 LAS CONDES HMA192 0,5 SANTIAGO CENTRO XMM072 0,43 LAS CONDES XAA160 0,57 SANTIAGO CENTRO XMM074 0,2 LAS CONDES XAA176 0,5 SANTIAGO SUR CMM006 0,8 LAS CONDES XMA063 0,7 VITACURA CAA064 0,77 ÑUÑOA CMM023 0,68 VITACURA HAA007 0,5 ÑUÑOA CMM070 0,68 VITACURA HAA018 0,54 ÑUÑOA HAA104 0,73 VITACURA HAA023 0,6 ÑUÑOA HMA011 0,45 VITACURA HAA040 0,7 ÑUÑOA HMB005 0,58 VITACURA HAA085 0,58 ÑUÑOA HMB009 0,52 VITACURA HAA095 0,55 ÑUÑOA HMB097 0,75 VITACURA HAA099 0,49 ÑUÑOA HMM010 0,6 VITACURA HAA106 0,43 ÑUÑOA HMM012 0,57 VITACURA HMA101 0,5 ÑUÑOA HMM075 0,43 VITACURA XAA017 0,6 En propiedades habitacionales acogidas a la Ley N°19.537 sobre Copropiedad Inmobiliaria, se aplicará este ajuste al avalúo de terreno del bien común.
  • 42.
    2.4.2 Coeficiente deajuste mayor que 1,00: este factor de ajuste al terreno se aplica a los predios que cumplan la siguiente condición: Bien raíz ubicado en las comunas y áreas homogéneas indicadas en tabla, cuyas edificaciones son mayores o iguales a 6 pisos. Comuna Área Homogénea Coeficiente de Ajuste por Altura Comuna Área Homogénea Coeficiente de Ajuste por Altura ANTOFAGASTA HBM081 2 ESTACIÓN CENTRAL XBB053 5,4 ANTOFAGASTA IMB164 1,7 ESTACIÓN CENTRAL XBM007 9,39 CALAMA CMB016 5 ESTACIÓN CENTRAL XBM056 5,7 CALAMA HAA063 4 ESTACIÓN CENTRAL XBM076 8,2 CALAMA HAB065 2 HUASCO HMB002 4 CALAMA HBB073 4 HUECHURABA HAB046 4,4 CALAMA HBB169 5 INDEPENDENCIA CMB052 1,75 CALAMA HMB082 5 INDEPENDENCIA CMM041 4 CALAMA HMB090 5 INDEPENDENCIA CMM050 4 CALAMA HMM098 6 INDEPENDENCIA HMA026 2 CHIGUAYANTE HMB001 6,5 INDEPENDENCIA HMA027 5 CON CÓN HAA014 2,5 INDEPENDENCIA HMA058 4 CON CÓN HBB029 7 INDEPENDENCIA HMB016 2 CON CÓN HMB059 1,7 INDEPENDENCIA HMM018 5 CONCEPCIÓN CMM038 1,3 INDEPENDENCIA XBB011 3 CONCEPCIÓN CMM050 1,4 IQUIQUE CMM013 2 CONCEPCIÓN HMB028 1,2 IQUIQUE CMM060 1,2 CONCEPCIÓN HMB035 1,6 IQUIQUE HAA094 1,7 CONCEPCIÓN HMB041 1,75 IQUIQUE HAA102 1,4 CONCEPCIÓN HMB053 1,75 IQUIQUE HAB042 1,8 CONCEPCIÓN HMB054 1,75 IQUIQUE HAB076 1,6 CONCEPCIÓN HMM049 1,75 IQUIQUE HAB100 1,5 CONCEPCIÓN XBM062 1,4 IQUIQUE HAM062 1,5 CONCEPCIÓN XMB006 6,5 IQUIQUE HBB069 1,8 CONCEPCIÓN XMB007 3 IQUIQUE HBB079 1,8 CONCEPCIÓN XMB026 2 IQUIQUE HBM014 2 CONCEPCIÓN XMB052 1,9 IQUIQUE HMA050 1,5 CONCEPCIÓN XMM027 1,5 IQUIQUE HMB018 2,2 CONCEPCIÓN XMM034 1,6 IQUIQUE HMB035 1,8 CONCEPCIÓN XMM036 1,6 IQUIQUE HMB039 1,8 CONCEPCIÓN XMM039 1,9 IQUIQUE HMB045 1,7 CONCEPCIÓN XMM040 1,9 IQUIQUE HMB053 1,6 CONCEPCIÓN XMM048 1,9 IQUIQUE HMM017 2,2 CONCEPCIÓN XMM051 1,9 IQUIQUE XAB028 1,6 CONCEPCIÓN XMM058 1,4 IQUIQUE XMB019 2 CONCEPCIÓN XMM060 1,4 IQUIQUE XMB046 1,6 CONCHALÍ HBB006 1,5 IQUIQUE XMM061 2 CONCHALÍ IAA017 3,5 IQUIQUE XMM098 1,3 COPIAPÓ HBB013 2 LA CISTERNA HBB005 2,08 COPIAPÓ HMB046 4 LA CISTERNA HBB015 5,31 COPIAPÓ HMB098 2 LA CISTERNA HBB019 5,9 COPIAPÓ XBB016 2 LA CISTERNA HBB043 3,7 COQUIMBO HBB050 2 LA CISTERNA HMB010 2,9 COQUIMBO HMA041 3 LA CISTERNA HMB013 1,26 COQUIMBO HMB012 2,5 LA CISTERNA HMB016 1,84 COQUIMBO XMB052 2 LA CISTERNA XMB034 2,16 ESTACIÓN CENTRAL XBB014 5,5 LA FLORIDA CMB112 3,4 ESTACIóN CENTRAL XBB029 4 LA FLORIDA HBB001 4,46
  • 43.
    Comuna Área Homogénea Coeficiente de Ajuste por Altura Comuna Área Homogénea Coeficiente deAjuste por Altura LA FLORIDA HBB005 4,9 ÑUÑOA XMB086 1,32 LA FLORIDA HMB010 6,45 ÑUÑOA XMM001 2,05 LA FLORIDA HMB013 3,35 ÑUÑOA XMM013 2,89 LA FLORIDA HMB020 1,36 ÑUÑOA XMM029 2,13 LA FLORIDA HMB021 1,38 ÑUÑOA XMM090 1,71 LA FLORIDA HMB028 3,33 ÑUÑOA XMM091 1,68 LA FLORIDA HMB061 1,91 ÑUÑOA XMM093 1,16 LA FLORIDA HMB062 2,96 ÑUÑOA XMM094 2,2 LA FLORIDA HMB108 3 ÑUÑOA XMM095 2,27 LA FLORIDA XMB004 2,34 OSORNO XMM080 1,7 LA FLORIDA XMB024 1,35 PEÑALOLÉN HAB107 5,58 LA FLORIDA XMB107 1,57 PEÑALOLÉN HMA030 1,87 LA FLORIDA XMM049 3,64 PROVIDENCIA CMA035 1,42 LA GRANJA HBB008 4,76 PROVIDENCIA CMB012 1,49 LA SERENA EBB008 2 PROVIDENCIA CMB092 1,9 LAS CONDES CAB035 2 PROVIDENCIA CMM020 1,37 LAS CONDES CMB148 2,56 PROVIDENCIA CMM081 1,3 LAS CONDES CMM133 2,3 PROVIDENCIA HMA040 1,24 LAS CONDES HAB199 2,4 PROVIDENCIA HMA047 1,4 LAS CONDES HMB002 1,68 PROVIDENCIA HMB010 1,23 LAS CONDES HMB019 2 PROVIDENCIA HMB029 1,33 LAS CONDES HMB022 2,48 PROVIDENCIA HMM025 1,27 LAS CONDES HMB188 2 PROVIDENCIA HMM042 1,31 LAS CONDES HMB198 2 PROVIDENCIA XBB007 1,35 LAS CONDES HMM196 1,9 PROVIDENCIA XMB088 2,03 LO PRADO HMB001 3 PROVIDENCIA XMM001 1,25 MACUL HMB031 2,2 PROVIDENCIA XMM003 1,32 MACUL XMB004 2 PROVIDENCIA XMM017 1,19 MACUL XMB026 2,3 PROVIDENCIA XMM022 1,35 MACUL XMM045 2 PROVIDENCIA XMM034 1,45 MAIPU HMB028 4,6 PUERTO MONTT CMM001 1,2 MAIPU XMB040 3,4 QUINTA NORMAL CBB037 9,99 ÑUÑOA CMM098 1,46 QUINTA NORMAL HBB001 3,83 ÑUÑOA CMM099 2,74 QUINTA NORMAL HBB008 6,69 ÑUÑOA HAA048 1,33 QUINTA NORMAL HBB023 5,19 ÑUÑOA HBB018 2,52 QUINTA NORMAL HBB041 4,78 ÑUÑOA HMB003 2,82 QUINTA NORMAL HMB026 1,61 ÑUÑOA HMB008 1,76 QUINTA NORMAL XBB017 2,24 ÑUÑOA HMB014 3,43 QUINTA NORMAL XBB031 4,42 ÑUÑOA HMB020 1,85 QUINTA NORMAL XMB006 4,92 ÑUÑOA HMB034 3,22 QUINTA NORMAL XMM014 1,57 ÑUÑOA HMB058 1,19 RECOLETA HBM038 3 ÑUÑOA HMB068 1,43 RECOLETA HMA027 4 ÑUÑOA HMB082 1,64 RECOLETA HMA041 3 ÑUÑOA HMB088 2,17 RECOLETA HMM051 3 ÑUÑOA HMM004 1,45 RECOLETA XMA049 3 ÑUÑOA HMM026 2,32 SAN JOAQUÍN HBB022 3,89 ÑUÑOA HMM027 2,03 SAN JOAQUÍN XMB036 9,99 ÑUÑOA HMM033 1,22 SAN JOAQUÍN XMB049 8,97 ÑUÑOA HMM076 1,41 SAN MIGUEL CMB063 5,11 ÑUÑOA HMM079 3,58 SAN MIGUEL CMB064 5,21 ÑUÑOA HMM089 1,57 SAN MIGUEL CMB066 2,57 ÑUÑOA HMM092 1,59 SAN MIGUEL HBB021 9,17 ÑUÑOA XMB038 2,52 SAN MIGUEL HBB026 5,42 ÑUÑOA XMB042 1,67 SAN MIGUEL HMA044 3,81
  • 44.
    Comuna Área Homogénea Coeficiente de Ajuste por Altura Comuna Área Homogénea Coeficiente deAjuste por Altura SAN MIGUEL HMA070 1,85 TEMUCO EMM098 6,5 SAN MIGUEL HMB005 6,45 TEMUCO HAB142 5,5 SAN MIGUEL HMB015 5,62 TEMUCO HBB051 2,4 SAN MIGUEL HMB018 3,18 TEMUCO HMB086 7 SAN MIGUEL HMB019 3,51 TEMUCO HMB097 1,5 SAN MIGUEL HMB035 4,37 TEMUCO HMB099 2 SAN MIGUEL HMB036 2,72 TEMUCO HMB104 3 SAN MIGUEL HMB037 3,33 TEMUCO HMB105 2,5 SAN MIGUEL HMB038 5,74 TEMUCO HMB123 2,5 SAN MIGUEL HMB046 3,05 TEMUCO HMB131 2,2 SAN MIGUEL HMB056 1,92 TEMUCO HMB172 2 SAN MIGUEL HMM047 4,06 TEMUCO HMM170 2 SAN MIGUEL XBB001 1,3 TEMUCO XMB004 4 SAN MIGUEL XBB002 4,75 TEMUCO XMB006 2,5 SAN MIGUEL XBB016 4,15 TEMUCO XMB008 5 SAN MIGUEL XBB024 6,35 TEMUCO XMB010 4 SAN MIGUEL XMB068 2,98 TEMUCO XMB110 2,5 SAN PEDRO DE LA PAZ HAB067 1,2 VILCÚN XMB030 9,99 SAN PEDRO DE LA PAZ HBB039 2 VILLARRICA XMB004 2,5 SAN PEDRO DE LA PAZ HMB022 2 VIÑA DEL MAR CMM078 1,17 SAN PEDRO DE LA PAZ HMB036 1,25 VIÑA DEL MAR HMB006 3,55 SAN PEDRO DE LA PAZ HMB038 3 VIÑA DEL MAR IMB113 9,02 SAN PEDRO DE LA PAZ HMB066 1,6 VIÑA DEL MAR XAA002 2,33 SAN PEDRO DE LA PAZ XBB049 1,6 VIÑA DEL MAR XAA088 1,84 SANTIAGO OESTE HBM020 3,3 VIÑA DEL MAR XAA183 3,27 SANTIAGO OESTE HMB027 3 VIÑA DEL MAR XAB121 2 SANTIAGO OESTE XBB038 4,8 VIÑA DEL MAR XAM003 1,96 SANTIAGO OESTE XBM034 2,4 VITACURA CAB009 1,25 SANTIAGO OESTE XMM011 2,5 VITACURA CMB011 1,35 SANTIAGO SUR CMM029 1,55 VITACURA CMB015 1,24 TEMUCO CAM001 1,3 VITACURA CMB024 1,55 TEMUCO CMB003 2,5 VITACURA CMM006 1,37 TEMUCO CMB100 1,5 VITACURA HMB020 1,96 TEMUCO CMM002 4 VITACURA HMM003 1,2 TEMUCO CMM009 2,5 VITACURA HMM005 1,38 En propiedades acogidas a la Ley N°19.537 sobre Copropiedad Inmobiliaria, se aplicará este ajuste al avalúo de terreno del bien común. Para las Áreas Homogéneas no señaladas en los puntos 2.4.1 y 2.4.2, se considerará coeficiente de ajuste por altura igual a 1,00.
  • 45.
    3 COEFICIENTE CORRECTORAL AVALÚO DEL TERRENO FINAL (CCTF): El coeficiente resultante de multiplicar los coeficientes correctores por Superficie y Frente-Fondo, se compara con el Coeficiente Corrector Excepcional, que pudiera registrar el terreno, aplicándose el menor de ellos. El coeficiente así determinado se multiplicará por el Coeficiente de Ajuste por Altura de la edificación establecido para el AH para obtener el coeficiente corrector de terreno final a aplicar. CCTF = [(FF · CS) o (CE)] · CA Donde: CCTF: Coeficiente corrector de terreno final. CFF: Coeficiente corrector por relación frente-fondo. CS: Coeficiente corrector por superficie. CE: Coeficiente corrector excepcional. CA: Coeficiente de ajuste por altura de la edificación.
  • 46.
    NUEVA TABLA DEVIDA ÚTIL DE LOS BIENES FÍSICOS DEL ACTIVO INMOVILIZADO Nueva Tabla de Vida Útil fijada por el Servicio de Impuestos Internos para bienes físicos del activo inmovilizado, según Resolución N°43, de 26-12-2002, con vigencia a partir del 01-01-2003. NÓMINA DE BIENES SEGUN ACTIVIDADES NUEVA VIDA ÚTIL NORMAL DEPRECIACIÓN ACELERADA A.- ACTIVOS GENÉRICOS 1) Construcciones con estructuras de acero, cubierta y entrepisos de perfiles acero o losas hormigón armado. 80 26 2) Edificios, casas y otras construcciones, con muros de ladrillos o de hormigón, con cadenas, pilares y vigas hormigón armado, con o sin losas. 50 16 3) Edificios fábricas de material sólido albañilería de ladrillo, de concreto armado y estructura metálica. 40 13 4) Construcciones de adobe o madera en general. 30 10 5) Galpones de madera o estructura metálica. 20 6 6) Otras construcciones definitivas (ejemplos: caminos, puentes, túneles, vías férreas, etc.). 20 6 7) Construcciones provisorias. 10 3 8) Instalaciones en general (ejemplos: eléctricas, de oficina, etc.). 10 3 9) Camiones de uso general. 7 2 10) Camionetas y jeeps. 7 2 11) Automóviles 7 2 12) Microbuses, taxibuses, furgones y similares. 7 2 13) Motos en general. 7 2 14) Remolques, semirremolques y carros de arrastre. 7 2 15) Maquinarias y equipos en general. 15 5 16) Balanzas, hornos microondas, refrigeradores, conservadoras, vitrinas refrigeradas y cocinas. 9 3 17) Equipos de aire y cámaras de refrigeración. 10 3 18) Herramientas pesadas. 8 2 19) Herramientas livianas. 3 1 20) Letreros camineros y luminosos. 10 3 21) Útiles de oficina (ejemplos: máquina de escribir, fotocopiadora, etc.). 3 1 22) Muebles y enseres. 7 2 23) Sistemas computacionales, computadores, periféricos, y similares (ejemplos: cajeros automáticos, cajas registradoras, etc.). 6 2 24) Estanques 10 3 25) Equipos médicos en general. 8 2 26) Equipos de vigilancia y detección y control de incendios, alarmas. 7 2 27) Envases en general. 6 2 28) Equipo de audio y video. 6 2 29) Material de audio y video. 5 1 B.- INDUSTRIA DE LA CONSTRUCCIÓN 1) Maquinaria destinada a la construcción pesada (Ejemplos: motoniveladoras, traxcavators, bulldozers, tractores, caterpillars, dragas, excavadoras, pavimentadores, chancadoras, betoneras, vibradoras, tecles, torres elevadoras, tolvas, mecanismo de volteo, motores eléctricos, estanques, rodillos, moldes pavimento, etc.). 8 2 2) Bombas, perforadoras, carros remolques, motores a gasolina, grupos electrógenos, soldadoras. 6 2 C.- INDUSTRIA EXTRACTIVA (MINERÍA) 1) Maquinarias y equipos en general destinados a trabajos pesados en minas y plantas beneficiadoras de minerales. 9 3 2) Instalaciones en minas y plantas beneficiadoras de minerales. 5 1 3) Tranques de relaves. 10 3 4) Túnel – mina. 20 6 D. - EMPRESAS DE TRANSPORTE NUEV A TABLA DE VIDA UTIL DE LOS BIENES FISICOS DEL ACT... https://www.sii.cl/pagina/valores/bienes/tabla_vida_enero.htm 1 de 5 21/9/2022 16:17
  • 47.
    TRANSPORTE MARÍTIMO 1) Navesy barcos de carga en general, frigoríficos o graneleros con casco de acero. 18 6 2) Naves con casco de acero. 36 12 3) Naves con casco de madera. 23 7 4) Remolcadores y barcazas con casco de acero. 20 6 5) Remolcadores y barcazas con casco de madera. 15 5 6) Embarcaciones menores en general con casco de acero o madera. 10 3 7) Porta contenedores, incluidos los buques Roll-On Roll. 16 5 8) Boyas, anclas, cadenas, etc. 10 3 9) Muelles de estructura metálica. 20 6 10) Terminales e instalaciones marítimas. 10 3 TRANSPORTE TERRESTRE 1) Tolvas, mecanismo de volteo. 9 3 2) Carros portacontenedores en general. 7 2 E.- SECTOR ENERGÉTICO E.1) EMPRESAS ELÉCTRICAS 1) Equipos de generación y eléctricos utilizados en la generación. 10 3 2) Obras civiles hidráulicas y otros relacionados con la generación. - Bocatomas, muros de presa. 50 16 - Descargas 30 10 - Túneles, piques, pretiles, evacuaciones, cámaras de carga, tuberías de presión. 20 6 - Canales 18 6 - Sifones, captaciones, estanques y chimeneas de equilibrio. 10 3 - Desarenador 8 2 3) Líneas de distribución de alta tensión y baja tensión, líneas de transmisión, cables de transmisión, cables de poder. 20 6 4) Líneas de alta tensión – Transporte. - Obras civiles. 20 6 - Conductores 20 6 - Apoyos de suspensión y apoyos de amarres. 10 3 5) Cables de alta tensión – Transporte. - Obras civiles. 20 6 - Conductores 20 6 6) Subestaciones – Transporte. - Obras civiles. 25 8 - Construcciones y casetas de entronque (estaciones de bombeo, reactancias compensación). 20 6 - Transformadores, celdas de transformadores, celdas de líneas, equipos auxiliares y equipos de telecomandos. 10 3 7) Líneas de alta tensión – Distribución. - Obras civiles. 20 6 - Conductores 20 6 - Apoyos de suspensión, apoyos de amarres y remodelación de líneas. 10 3 8) Cables de alta tensión – Distribución. - Obras civiles. 20 6 - Conductores 20 6 9) Líneas de media tensión – Aéreas. - Redes desnudas, redes aisladas, postes y otros. 20 6 - Equipos 12 4 10) Líneas de media tensión – Subterráneas. - Redes, cámaras, canalizaciones y otros. 20 6 - Equipos 12 4 11) Líneas de baja tensión – Aéreas. - Redes desnudas, redes aisladas, postes y otros. 20 6 - Equipos 12 4 12) Líneas de baja tensión – Subterráneas. - Redes, cámaras, canalizaciones y otros. 20 6 - Equipos. 12 4 13) Subestaciones de distribución. - Obras civiles y construcciones. 20 6 NUEV A TABLA DE VIDA UTIL DE LOS BIENES FISICOS DEL ACT... https://www.sii.cl/pagina/valores/bienes/tabla_vida_enero.htm 2 de 5 21/9/2022 16:17
  • 48.
    - Transformadores, celdasde transformadores, celdas de líneas, equipos auxiliares y equipos de telecomandos. 10 3 14) Subestaciones MT/MT. - Obras civiles y construcciones. 20 6 - Transformadores, celdas de transformadores, equipos auxiliares y equipos de telecomandos. 10 3 15) Subestaciones anexas MT/MT. - Obras civiles y construcciones 20 6 - Transformadores, celdas de transformadores, equipos auxiliares y equipos de telecomandos. 10 3 16) Centros de transformación MT/BT. - Obras civiles. 20 6 - Transformadores aéreos, subterráneos y de superficie. 10 3 - Otros equipos eléctricos aéreos, subterráneos y comunes. 12 4 17) Contadores y aparatos de medida – Central de operaciones y servicio de clientes. 10 3 18) Otras instalaciones técnicas para energía eléctrica - Obras civiles. 20 6 - Equipos 10 3 19) Alumbrado público. 10 3 E.2) EMPRESAS SECTOR PETRÓLEO Y GAS NATURAL 1) Buques tanques (petroleros, gaseros), naves y barcos cisternas para transporte de combustible líquido. 15 5 2) Oleoductos y gasoductos terrestres, cañerías y líneas troncales. 18 6 3) Planta de tratamiento de hidrocarburos. 10 3 4) Oleoductos y gaseoductos marinos. 10 3 5) Equipos e instrumental de explotación. 10 3 6) Plataforma de producción en el mar fija. 10 3 7) Equipos de perforación marinos. 10 3 8) Baterías de recepción en tierra (estanques, bombas, sistema de cañerías con sus válvulas, calentadores, instrumentos de control, elementos de seguridad contra incendio y prevención de riesgos, etc.). 10 3 9) Instalaciones de almacenamiento tales como "tank farms". 15 5 10) Plataformas de perforación y de producción de costa afuera. 22 7 F.- EMPRESAS DE TELECOMUNICACIONES 1) Equipos conmutación local en oficinas centrales. - Equipos O.C. automáticos. 10 3 - Equipos O.C. auto (combinados). 10 3 - Equipos O.C. batería central. 10 3 - Equipos O.C. magneto. 10 3 - Equipos de fuerza. 10 3 - Equipos de tasación. 10 3 - Equipos de radio. 12 4 - Equipos canalizadores y repetidores en O.C. 10 3 2) Equipos conmutación L.D. en oficinas centrales. - Posiciones de larga distancia. 10 3 - Equipos de radio. 12 4 - Equipos canalizadores y repetidores en O.C.. 10 3 3) Otros equipos de O.C. - Teléfonos, calculógrafos y sillas de operadoras. 10 3 4) Equipos seguridad industrial en oficinas centrales. - Equipos industriales de climatización. 10 3 5) Equipos para suscriptores. - Teléfonos automáticos. 10 3 - Teléfonos batería central. 10 3 - Teléfonos magneto. 10 3 - Equipos especiales. 10 3 - Alambre bajantes. 10 3 - Alambre interior. 10 3 - PABX automáticos. 10 3 - PBX automáticos. 10 3 NUEV A TABLA DE VIDA UTIL DE LOS BIENES FISICOS DEL ACT... https://www.sii.cl/pagina/valores/bienes/tabla_vida_enero.htm 3 de 5 21/9/2022 16:17
  • 49.
    - PBX bateríacentral. 10 3 - PBX magneto. 10 3 - Locutorios. 10 3 - Equipos fax. 10 3 6) Equipos planta externa local. - - Postes y crucetas de madera. 20 6 - - Postes y crucetas de fierro. 20 6 - Postes de concreto. 20 6 - Antenas y líneas de transmisión. 12 4 - Cables aéreos y bobinas de carga. 20 6 - Cables subterráneos y bobinas de carga. 20 6 - Cables interiores. 20 6 - Cables aéreos desnudos. 20 6 - Equipos canalizadores y repetidores en postes. 12 4 - Conductos y cámaras. 20 6 - Cables enlaces. 20 6 - Blocks, regletas, cassettes de protección. 20 6 - Sala de cables y MDF. 20 6 - Armarios de distribución. 20 6 - Cajas terminales, doble conexión. 20 6 - Empalmes de cables aéreos y subterráneo. 20 6 - Sistema gráfico de manejo de redes. 20 6 - Cables de fibra óptica. 20 6 - Cámaras y ductos. 20 6 7) Equipos planta externa L.D. - Postes y crucetas de madera. 20 6 - Postes y crucetas de fierro. 20 6 - Postes de concreto. 20 6 - Antenas y líneas de transmisión. 12 4 - Cables aéreos y bobinas de carga. 20 6 - Cables subterráneos y bobinas de carga. 20 6 - Alambres aéreos desnudos. 20 6 - Equipos canalizadores y repetidores en postes. 12 4 - Conductos y cámaras. 20 6 - Equipos de control automático. 10 3 - Estaciones satelitales terrenas. 12 4 - Cables de fibra óptica. 20 6 - Equipos de fibra óptica. 12 4 - Segmento espacial. 10 3 G.- ACTIVIDAD DE LA AGRICULTURA 1) Tractores, segadoras, cultivadoras, fumigadoras, motos bombas, pulverizadoras. 8 2 2) Cosechadoras, arados, esparcidoras de abono y de cal, máquinas de ordeñar. 11 3 3) Esquiladoras mecánicas y maquinarias no comprendidas en el número anterior. 11 3 4) Vehículos de carga, motorizados, como ser: camiones trailers, camiones fudres y acoplados, colosos de tiro animal. 10 3 5) Carretas, carretones, carretelas, etc. 15 5 6) Camiones de carga y camionetas de uso intensivo en la actividad agrícola. 6 2 7) Tuberías para agua potable instaladas en predios agrícolas. 18 6 8) Construcciones de material sólido, como ser: silos, casas patronales y de inquilinos, lagares, etc. 50 16 9) Construcciones de adobe y madera, estructuras metálicas. 20 6 10) Animales de trabajo. 8 2 11) Toros, carneros, cabríos, verracos, potros y otros reproductores. 5 1 12) Gallos y pavos reproductores. 3 1 13) Nogales, paltos, ciruelos, manzanos, almendros. 18 6 14) Viñedos según variedad. 11 a 23 3 a 7 15) Limoneros 12 4 16) Duraznos 10 3 17) Otras plantaciones frutales no comprendidas en los números 13), 14), 15) y 16) anteriores. 13 4 NUEV A TABLA DE VIDA UTIL DE LOS BIENES FISICOS DEL ACT... https://www.sii.cl/pagina/valores/bienes/tabla_vida_enero.htm 4 de 5 21/9/2022 16:17
  • 50.
    18) Olivos 4013 19) Naranjos 30 10 20) Perales 25 8 21) Orégano 9 3 22) Alfalfa 4 1 23) Animales de lechería (vacas). 7 2 24) Gallinas 3 1 25) Ovejas 5 1 26) Yeguas 12 4 27) Porcinos de reproducción (hembras). 6 2 28) Conejos machos y hembras. 3 1 29) Caprinos 5 1 30) Asnales 5 1 31) Postes y alambradas para viñas. 10 3 32) Tranques y obras de captación de aguas: a) Tranque propiamente tal. Por ser de duración indefinida no es depreciable. - - b) Instalaciones anexas al tranque. Bombas extractoras de agua, estanques e instalaciones similares en general. 10 3 33) Canales de riego: a) Sin aplicación de concreto o de otro material de construcción, su duración es indefinida, por lo tanto no es depreciable. - - b) Con aplicación de concreto o de otro material de construcción, se trata de obras generalmente anexas, o simplemente tramos del canal mismo y su duración según el caso será: De concreto 70 23 De fierro pesado 45 15 De madera 25 8 34) Pozos de riego y de bebida. Se aplica la depreciación únicamente sobre los refuerzos, instalaciones y maquinarias destinadas al mayor aprovechamiento del pozo en la siguiente forma: a) Cemento u hormigón armado. 20 6 b) Ladrillo 15 5 c) Bomba elevadora de agua. 20 6 35) Puentes. Según el material empleado en la construcción: a) De cemento. 75 25 b) Metálico 45 15 c) Madera 30 10 H.- OTRAS 1) Enseres, artículos de porcelana, loza, vidrio, cuchillería, mantelería, ropa de cama y similares, utilizados en hoteles, moteles y restaurantes. 3 1 2) Redes utilizadas en la pesca. 3 1 3) Sistemas o estructuras físicas para criaderos de especies hidrobiológicas. 3 1 4) Pupitres, sillas, bancos, escritorios, pizarrones, laboratorios de química, gabinetes de física, equipos de gimnasia y atletismo, utilizados en establecimientos educacionales. 5 1 5) Aviones monomotores con cabida hasta seis personas. 10 3 NUEV A TABLA DE VIDA UTIL DE LOS BIENES FISICOS DEL ACT... https://www.sii.cl/pagina/valores/bienes/tabla_vida_enero.htm 5 de 5 21/9/2022 16:17
  • 60.
    1 COLEGIO DE ARQUITECTOSDE CHILE A.G. VALORES REFERENCIALES PARA EL COBRO DE HONORARIOS POR SERVICIOS PROFESIONALES DE LOS ARQUITECTOS (Edición 2007) CAPITULO 1 Introducción. El presente documento de Valores Referenciales para el cobro de honorarios por Servicios Profesionales de los Arquitectos se ha elaborado para el uso de los socios activos del Colegio de Arquitectos de Chile. En la preparación de su contenido se ha considerado los estudios realizados por la Comisión de Arancel del Colegio, la Ley 7.211 que creó el Colegio de Arquitectos y el Decreto Ley 3.621, vigente a la fecha. Este estudio incluye las siguientes ideas básicas: 1.1. Modifica y complementa el documento previo de igual nombre, aprobado por el Directorio Nacional en sesiones Nº 40 y 41 de fechas 11 y 25 de octubre de 1984. 1.2. Considera en todos sus términos y alcances el Arancel y sus aclaraciones que regian el Colegio hasta su transformación en Asociación Gremial (1981). 1.3. Separa completamente los actos y servicios de los arquitectos de las remuneraciones correspondientes a éste. 1.4. Ordena y numera las distintas materias. 1.5. Actualiza los valores de las respectivas tablas y las refiere a un patrón reajustable. 1.6. Este documento corresponde a las labores detalladas en el Documento “Actos y Servicios Profesionales de los Arquitectos”.
  • 61.
    2 CAPITULO 2. Disposiciones generales. 2.1.Los honorarios establecidos en este documento referencial corresponden a las labores detalladas en la descripción de los actos y servicios profesionales de los arquitectos y tiene por objeto informarlos sobre la forma de establecer una remuneración mínima, proporcional a su labor y responsabilidad. 2.2. Los valores referenciales estipulados corresponden a un desarrollo normal y continuo de las diversas etapas de intervención del arquitecto y de la ejecución de un encargo de trabajo, proyecto u obra. Dichos valores referenciales están expresados en porcentajes respecto a los costos de las obras o en su defecto, a Unidades de Fomento Reajustables de acuerdo a lo que se señala en las tablas en que se establecen los honorarios referenciales. 2.3. En caso que la Unidad de Fomento Reajustable (UF) fuese reemplazada por otro signo, se usará en nuevo símbolo que corresponda para garantizar, en todo caso, la reajustabilidad de los valores comprometidos. 2.4. En toda prestación de servicios, el arquitecto deberá suscribir el contrato de servicios profesionales correspondiente. En dicho contrato deberá establecerse, entre otros aspectos, la forma de pago de los honorarios estipulados, que deberán estar de acuerdo con la labor desarrollada por el arquitecto. 2.5. Cualquier circunstancia que obligue al arquitecto a una labor suplementaria a la originalmente establecida, deberá ser manifestada de inmediato al cliente o propietario para estipular la remuneración correspondiente. 2.6. Todo cambio sustancial del programa de una obra ordenada por el propietario dará lugar a una liquidación de los honorarios de los trabajos previamente ejecutados por el arquitecto. 2.7. Cuando el trabajo del arquitecto fuere limitado sólo a la confección del proyecto de una obra, cuya construcción será dirigida por otro arquitecto, podrá recargar en un 20% el monto de los honorarios establecidos en la Categoría correspondiente. A su vez, si sólo se le encargara la dirección y/o la fiscalización de una obra proyectada por otro arquitecto, podrá recargar su honorario en forma similar. 2.8. Si se produjera la liquidación anticipada de un contrato, por causales ajenas al arquitecto y su labor, éste tiene derecho a una indemnización que deberá establecerse en el correspondiente contrato de prestación de servicios profesionales y cuyo monto no podrá ser inferior a un 20% del monto de los honorarios no percibidos. 2.9. Si la obra que se encomienda a un arquitecto se encuentra en una ciudad distinta de su residencia o lugar de trabajo habitual, se deberá convenir un recargo, ajeno al honorario, para compensar, además de los gastos que
  • 62.
    3 esta circunstancia lesignifica, el mayor tiempo que le demandará las visitas a la obra. 2.10. Cuando una obra se ejecute con interrupciones ajenas a la responsabilidad del arquitecto, mayores de seis meses, los honorarios establecidos previamente tendrán un recargo convencional. 2.11. Los porcentajes de honorarios establecidos en las tablas de Categorías 1ª, 2ª, 3ª, 4ª, 5ª y 6ª, señaladas en el punto 4.1, del Documento profesional “Actos y Servicios Profesionales de los Arquitectos”. se entiende que corresponden a obras que serán ejecutadas a suma alzada por un contratista general. 2.12. Cuando el trabajo no se ejecute en la forma antes señalada, se procederá considerando las estipulaciones fijadas en el punto 4.5. del documento “Actos y Servicios Profesionales de los Arquitectos”, de Trabajos Especiales. 2.13. Si el propietario suministra, o se conviene, o se autoriza al constructor, el empleo de materiales u otros elementos de fabricación propia, en existencia, usados o depreciados, para el cálculo de honorarios serán considerados como si fueran nuevos, con su correspondiente valor en plaza. 2.14. Las partidas A, de los trabajos preparatorios y B de proyecto, de las Categorías 1ª, 2ª, 3ª, 4ª, 5ª y 6ª, se pueden cobrar de acuerdo al presupuesto global actualizado oficial, preparado por el arquitecto y aceptado por el propietario. Las partidas C, estructuración y D, construcción, serán canceladas de acuerdo al desarrollo de las obras y su costo efectivo. 2.15. Cuando se desarrollo un conjunto de edificaciones y para ello sea necesario estudiar la planificación del conjunto, se aplicará a ésta el arancel referencial señalado para la 8ª Categoría. 2.16. Cuando en un conjunto de edificaciones, sea éste de viviendas económicas o cualquier tipo de construcciones, se produzcan repeticiones de uno o más tipos de las unidades proyectadas, se considerará la unidad de repetición de acuerdo a la siguiente pauta: En viviendas unifamiliares se entenderá por unidad de repetición la vivienda aislada, el pareo o el conjunto de hasta cuatro viviendas continuas o bloques mayores que conformen un sistema de estructuras continuo. En edificios o bloques, locales, etc., cuando ellos se encuentran aislados o continuados sin relación entre sí, tanto de comunicación como de estructura. Cuando los edificios o bloques se encuentren unidos entre sí por elementos comunes (pasillos, corredores, etc.) que los une sin modificación de la planimetría del bloque mismo, se tomará como unidad de repetición el bloque y se agregará los elementos comunes como primera unidad de repetición. Cuando los bloques se agrupan con elemento de accesos comunes que hagan necesaria la modificación planimétrica del bloque aislado tipo, se
  • 63.
    4 considerará el conjuntode bloques relacionados entre sí, como unidad de repetición. 2.17. Los honorarios correspondientes a trabajos que repiten unidades, de acuerdo a lo señalado en el punto precedente, sólo son afectados en las Etapas “B” y ”C” de Proyecto. En la primera unidad de repetición se cobrará el 100% de esta Etapa, en la 2ª repetición se cobrará el 80% de esta Etapa, en la 3ª unidad se cobrará el 65% y por el resto de las repeticiones se cobrará el 50%. En conjunto masivos, que se ejecuten en forma ininterrumpida, en las repeticiones sobre 100 unidades se cobrará el 25% de valor de esta Etapa, sobre 500 unidades se cobrará el 15% y sobre 1000 viviendas se cobrará el 10%; además la tabla se aplicará sobre la totalidad de la inversión. Las etapas “A” de Trabajos Preparatorios y la “D” Construcción, no consultan disminución porcentual de honorarios por repetición de unidades. 2.18. La superposición de pisos no se considera como repetición de unidades. 2.19. Para los efectos de los que se ha venido a denominar como “Planos Tipo Oficiales” que son proyectos aprobados por autoridad competente y cuyo destino es su aplicación en determinados lugares, bajo determinadas circunstancias, y que ocmprenden, además de los planos generales, estructuras y cálculos, planos especiales, bases y especificaciones; se podrá rebajar los honorarios que corresponden en un 20% en las Etapas “A” y”B” y la parte que no corresponde a obras de la “C”, además de la rebaja por concepto de repetición que afecta a la Etapa “B”. 2.20. Igual criterio se aplicará para los planos tipo de viviendas industrializadas, semiprefabricadas, precortadas o prefabricadas; por cuanto los planos generales y especiales se consideran ocupados y aplicados varias veces. 2.21. En la vivienda industrializada, los honorarios correspondientes a la Etapa “B” de proyecto, deben encontrarse incluidos en el valor de venta de la vivienda y pagados al arquitecto por el industrial. Los honorarios de la dirección de la obra, obtención de permisos municipales y recepción de obras, será materia de un contrato directo entre el propietario y el arquitecto. 2.22. Cada vez que un arquitecto contrate sus servicios profesionales para realizar proyectos de arquitectura, planificación, arbitrajes, peritajes, informes, asesorías, etc., y deba requerir los servicios de asesores profesionales afectos a otras disciplinas, el honorario estipulado para dichos asesores será recargado en un 10% que será agregado al honorario del arquitecto, puesto que por derecho propio y como responsable final y ulterior de la obra arquitectónica, debe coordinar responsablemente estas asesorías. 2.23. Dichas asesorías podrán ser, entre otras, en Cálculo de estabilidad y estructuras”, “Mecánica de suelos”, “Agua potable, alcantarillado, electricidad, gas, teléfonos” tanto al interior de las construcciones, “Instalaciones de climatización” como ser: aire acondicionado, calefacción, aire caliente, energía solar, etc.” “Iluminación, intercomunicación y
  • 64.
    5 acústica”, “Equipamiento detransporte” como ascensores, escaleras mecánicas, montacargas, etc. “Obras civiles” como pavimentación y caminos, obras de arte, drenajes, defensas de ríos, captaciones, plantas de tratamiento y elevadoras de agua, etc., “Asesorías Jurídicas” por bases de contratos, títulos de dominio, informes periciales, etc. “Asesorías comerciales” en estudios de marketing, gestión inmobiliaria, factibilidades económicas, etc. 2.24. Para contratar una asesoría, el arquitecto deberá tener la conformidad del cliente o propietario; y estipular la remuneración que corresponda a dicha asesoría. Si fuera del caso, en su estudio de honorarios no considerará las partidas atingentes a la materia de acuerdo al fraccionamiento de honorarios indicado en el capítulo Nº 6 del Documento “Actos y Servicios Profesionales de los Arquitectos”. 2.25. El pago de honorarios al Asesor podrá ser hecho por el cliente directamente, o a través del arquitecto, en el primer caso, previo el VºBº de este último. 2.26. El arquitecto que regularice Permisos Municipales cobrará por ello un honorario convencional que estará en función y proporción al trabajo por realizar, tanto en tiempo como en visitas a la obra y elementos de dibujo que deba emplear. 2.27. En el caso que los proyectos encomendados al arquitecto deban ser aprobados para ser acogidos a la 19537 de Copropiedad Inmobiliaria (año 1997), y dado que en la ley se estipula que los planos deben ser firmados por el arquitecto autor del proyecto, éste tendrá derecho a cobrar los mayores gastos a que dé lugar este trámite, tales como dibujo y los materiales necesarios para cumplir este trámite, tales como dibujo y los materiales necesarios para cumplir las exigencias de presentación que soliciten las direcciones de obras Municipales. El pago de estos gastos no significará recargo de honorarios. 2.28. Si los proyectos primitivos no fueron oportunamente solicitados para ser aprobados de acuerdo a la Ley 19537 y posteriormente se desea acogerlos a sus beneficios, no existiendo la posibilidad de contar con la aprobación del arquitecto, autor de dichos proyectos, como lo estipula ley, el arquitecto a quien se encomiende el trabajo deberá proceder de acuerdo a lo señalado en el capítulo Nº 5, acápite 5.4. del Documento Profesional CA Nº2. El arquitecto reemplazante tiene derecho a un honorario convencional que puede ser un porcentaje sobre el valor de dicho inmueble, o por “hora profesional” de acuerdo a lo señalado en el Capítulo 3, punto 3.1. del presente Documento Profesional sobre Valores Referenciales. En todo caso, el honorario por horas profesionales no cubre el costo de materiales empleados en el desarrollo del proyecto correspondiente. 2.29. El arquitecto que se contrate en la modalidad de “hora profesional” podrá cargar a costos de su trabajo todos aquellos gastos que optimicen su trabajo, de modo que su rendimiento por hora sea máximo.
  • 65.
    6 CAPÍTULO 3 Valores Referenciales. 3TABLA DE CATEGORIAS 3.1 PRIMERA CATEGORIA OBRAS DE CARÁCTER MONUMENTAL U ORNAMENTAL TABLA Nº 1 PRIMERA CATEGORIA OBRAS DE CARÁCTER MONUMENTAL U ORNAMENTAL Valor de obras D 650 sobre Por ejecutar, en UF HASTA 650 H 6.500 6.500 ________________________________________________________________________________________ Honorario total en realización completa 15,00% 12,00% 10,00% A. Trabajos preparatorios 2,50% 2,00% 1,50% B. Proyecto 6,00% 4,80% 4,00% C. Estructura 1,50% 1,20% 1,00% D. Ejecución 5,00% 4,00% 3,50% ________________________________________________________________________________________ 3.2 SEGUNDA CATEGORIA EDIFICIOS EN GENERAL – EXCLUIDA VIVIENDA DE INTERES SOCIAL TABLA Nº 2 SEGUNDA CATEGORIA EDIFICIOS EN GENERAL – EXCLUIDA VIVIENDA DE INTERES SOCIAL Valor de obras D 650 D 6.500 D 32.500 sobre Por ejecutar, en UF HASTA 650 H 6.500 H 32.500 H 65.000 65.000 ________________________________________________________________________________________ Honorario total en realización completa 9,00% 8,00% 7,00% 6,00% 5,00% A. Trabajos preparatorios 1,00% 0,90% 0,80% 0,65% 0,55% B. Proyecto 3,80% 3,40% 3,00% 2,50% 2,10% C. Estructura 1,00% 0,90% 0,80% 0,65% 0,55% D. Ejecución 3,20% 2,80% 2,40% 2,20% 1,80% ________________________________________________________________________________________
  • 66.
    7 3.3 TERCERA CATEGORIA VIVIENDADE INTERES SOCIAL TABLA Nº 3 TERCERA CATEGORIA VIVIENDA DE INTERES SOCIAL Valor de obras D 650 D 6.500 D 32.500 sobre Por ejecutar, en UF HASTA 650 H 6.500 H 32.500 H 65.000 65.000 ________________________________________________________________________________________ Honorario total en realización completa 6,75% 6,00% 5,25% 4,50% 3,75% A. Trabajos preparatorios 0,75% 0,67% 0,60% 0,50% 0,40% B. Proyecto 2,85% 2,53% 2,21% 1,90% 1,59% C. Estructura 0,75% 0,67% 0,60% 0,50% 0,40% D. Ejecución 2,40% 2,13% 1,84% 1,60% 1,36% ________________________________________________________________________________________ 3.4 CUARTA CATEGORIA EDIFICIOS INDUSTRIALES O AGRICOLAS TABLA Nº 4 CUARTA CATEGORIA EDIFICIOS INDUSTRIALES O AGRICOLAS, incluye Gimnasios. Valor de obras D 650 D 6.500 D 32.500 sobre Por ejecutar, en UF HASTA 650 H 6.500 H 32.500 H 65.000 65.000 ________________________________________________________________________________________ Honorario total en realización completa 7,00% 6,00% 5,00% 4,00% 3,00% A. Trabajos preparatorios 0,58% 0,50% 0,40% 0,30% 0,20% B. Proyecto 2,22% 1,90% 1,66% 1,30% 0,84% C. Estructura 2,33% 2,00% 1,50% 1,20% 1,00% D. Ejecución 1,67% 1,60% 1,44% 1,20% 0,96%
  • 67.
    8 3.5 QUINTA CATEGORIA EDIFICIOSY CENTROS DEPORTIVOS TABLA Nº 5 QUINTA CATEGORIA EDIFICIOS Y CENTROS DEPORTIVOS Valor de obras D 651 D 6.500 D 32.001 sobre Por ejecutar, en UF HASTA 650 H 6.499 H 32.000 H 65.000 65.000 ________________________________________________________________________________________ Instalaciones sociales y de apoyo Casino Restaurante, camarines 9,00% 8,00% 7,00% 6,00% 5,00% o vestruarios, salas uso múltiple (equivalente 2ª Categoría) Gimnasios 7,00% 6,00% 5,00% 4,00% 3,00% (Equivalente 4ª Categoría) Instalaciones Deportivas recreativas o pistas: pista de atletismo cancha de fútbol, rugby, hockey césped multicanchas y canchas basketball, tenis, vóleibol, etc. 6,00% 5,00% 4,00% 3,00% 2,00% (Equivalente 1ª Categoría) Instalaciones especiales Piscinas abiertas y cubiertas Velódromos 8,00% 7,00% 6,00% 5,00% 4,00% Camarines Ski y deportes de invierno Rodeo, etc. Plano Seccional Incluye plano de ejes y trazados, 5,00% 4,00% 3,00% 2,00% 1,00% Plano general con caminos, Edificaciones, accesos, estacio- Namientos, cierres y arborización General.
  • 68.
    9 3.6 SEXTA CATEGORIA ARQUITECTURAPAISAJISTA TABLA Nº 6 __________________________________________________________________ SEXTA CATEGORIA ARQUITECTURA PAISAJISTA Valor de obras D 250 D 550 D 2.500 sobre Por ejecutar, en UF HASTA 250 H 550 H 2.500 H 15.000 15.000 ________________________________________________________________________________________ Honorario total en realización completa 22,00% 19,00% 17,00% 15,00% 12,00% A. Trabajos preparatorios 3,00% 2,60% 2,30% 2,00% 1,60% B. Proyecto 8,00% 7,00% 6,20% 5,50% 4,40% C. Estructura 5,00% 4,20% 3,90% 3,50% 2,70% D. Ejecución 6,00% 5,20% 4,60% 4,00% 3,30% 3.7 SEPTIMA CATEGORIA CALCULOS DE ESTABILIDAD TABLA Nº 7 1. Para el cálculo de honorarios se utilizará las categorías indicadas en la definición general con las precisiones que se detallan: 1ª Categoría - Obras de carácter monumental 0,25 UF x m2 2ª Categoría - Edificios en general 0,20 UF x m2 - Edificios de más de 5 niveles 0,22 UF x m2 3ª Categoría -Edificios industriales y agrícolas 0,15 UF x m2 2. Corrección de desglose Etapa Cálculo de estructuras a) Bosquejo de estructuración 10% b) Cálculo y plano de estructuras incluye memoria de cálculo y especificaciones técnicas de estructura 80% c) Coordinación y aclaraciones del proyecto de estructuras en obra 10%
  • 69.
    10 3.8. OCTAVA CATEGORIA ESTUDIOS,PROYECTOS Y OBRAS DE URBANISMO, PLANIFICACION Y ORDENAMIENTO DEL TERRITORIO 3.8.1 OCTAVA CATEGORIA “A” PROYECTOS GENERALES DE PLANIFICACION Y URBANISMO. El honorario será convencional, debiendo indicarse en detalle el alcance del estudio encomendado, las etapas en que se divide, las personas que trabajarán bajo las órdenes del arquitecto y horas profesionales asignadas a cada una de ellas. 3.8.2 OCTAVA CATEGORIA “B” PROYECTOS PARCIALES DE URBANIZACION. Valores a considerar Sub Categorías I II III Desde 1.300 UF. 3% 1.300 UF a 32.500 UF 2% 3% 4% 32.500 UF a 65.000 UF --- 2% 3% 65.000 UF a 325.500 UF --- 1% 2% Sobre 325.000 UF --- --- 1% ______________________________________________________________________________ Los valores por considerar se formarán sumando el costo total de urbanización, de acuerdo con el presupuesto total de las obras involucradas, más el valor asignado al terreno para los efectos de los estudios económicos o el valor de compra actualizado de ellos. Se desglosará de acuerdo al Art. 6.2. del Documento Aranceles y Servicios Profesionales de los Arquitectos.
  • 70.
    11 3.8.3 OCTAVA CATEGORIA“C” SUBDIVISIONES DE TERRENOS. El honorario referencial alcanzará al 1% del valor asignado al terreno para los efectos de los estudios económicos o su valor comercial. Este porcentaje es válido para terrenos planos. En caso que el terreno presente accidentes o grandes diferencias de nivel, el honorario será del 2%. Estudio de cambios de uso de suelo por horas: el honorario calculado será estimado en horas profesionales. 3.9. NOVENA CATEGORIA TASACIONES TABLA Nº 9 Valores a considerar Hasta 325 UF 4,00 o/oo Desde 325 UF hasta 1.300 UF 2,50 o/oo Desde 1.300 UF hasta 3.250 UF 1,50 o/oo Desde 3.250 UF hasta 6.500 UF 1,00 o/oo Desde 6.500 UF hasta 16.250 UF 0,75 o/oo Sobre 16.250 UF 0,50 o/oo En consideración al tipo de información que se requiera en una tasación, éstas, con su consecuente valor referencial se clasifican en: • Apreciación : El honorario será el 50% del indicado en la tabla Nº9, con un valor referencial mínimo de 2 UF • Informe: El honorario será igual al que señala la tabla Nº 9, con un valor referencial mínimo de 4 UF.
  • 71.
    12 • Informe detallado: Elhonorario se aplicará recargando lo indicado en la tabla Nº 9 en 200%, con un valor referencial mínimo de 6 UF. Observaciones. - En caso de tratarse de tasaciones de conjuntos hetorogéneos, se cobrará por separado los distintos elementos o grupos diferentes. - Los honorarios indicados anteriormente, tanto en la tabla, como respecto de su expresión, sufrirán modificaciones en su respectiva categoría en los casos que a continuación se detallan: * Tasaciones judiciales: tendrán un 100% de recargo. * Retasaciones: se aplicará sólo un 50% del honorario. * Ampliaciones: se aplicará el honorario total sobre lo nuevo. * Para compra de propiedades: en instituciones bancarias, hipotecarias, etc., se aplicará el honorario correspondiente con un recargo de 50%. * Terrenos eriazos: se aplicará el 50% del honorario respectivo. * Ley de Copropiedad Inmobiliaria 19.537: la tasación de un departamento, oficial o local que forme parte de un conjunto acogido a la ley tendrá un recargo de un 100% sobre lo que señala la tabla. * Tasadores oficiales: los tasadores oficiales que desempeñan en forma permanente dicho cargo ante una institución, podrán rebajar los honorarios hasta en un 50%. * Tasaciones con levantamiento: El levantamiento del plano correspondiente se regirá por lo dispuesto en la 11ª Categoría en un valor independiente al de la tasación misma.
  • 72.
    13 3.10 DECIMA CATEGORIA CONCURSOSPUBLICOS Y PRIVADOS La remuneración de todos los arquitectos que intervengan en un concurso de arquitectura, público o privado se regirán estrictamente por las disposiciones del Documento “Reglamento de Concursos” 3.11 DECIMO PRIMERA CATEGORIA TRABAJOS ESPECIALES 3.11.1. Sub Categoría “A” Administración de Obras Los honorarios que se indican son adicionales a los que corresponden al arquitecto por el trabajo generado en la categoría correspondiente.. - Administración por constructor y por contratos parciales 1,5% Adic. - Administración pro constructor cost-plus o por precios unitarios 2,5% Adic. - Administración directa por el arquitecto. 6,0% Adic. 3.11.3. Sub Categoría “C” modificación de obras Los honorarios que aquí se indican, recargan los honorarios correspondientes generados por trabajos establecidos en otras categorías. - Ampliaciones en obra del mismo arquitecto 20% recargo - Ampliaciones en obra de otra persona 30% recargo - Alteraciones en obra del mismo arquitecto 40% recargo - Alteraciones en obra de otra persona 50% recargo - Reparaciones 40% recargo - Restauraciones – Se considerará todo el edificio como obra nueva, y su honorario tendrá 50% recargo .
  • 73.
    14 3.11.4. Sub Categoría“C”. levantamientos, cubicaciones y mensuras, etc. sobre proyectos y obras ya ejecutadas. En esta sub categoría se calcularán en base al valor de la hora referencial, más los gastos en que se incurra durante el trabajo. Se consultan los siguientes ítems: - Levantamientos de edificios, excluyendo terrenos; pueden ser con indicación de superficies, señalando contornos generales; o levantamiento de distribuciones interiores; o levantamientos completos. - Cubicaciones o mensuras, las que pueden ser sobre planos o sobre pbra ejecutada. - Levantamientos de terrenos eriazos, en los que hay que diferenciar aquellos levantamientos sobre terrenos menores de una hectárea y los mayores a esa superficie; y si son accidentados o con pendientes dignas de anotar, etc. 3.11.5 Sub categoría “D”. Regularización de permisos municipales. Como en el caso anterior, también en esta sub categoría se calcularán los honorarios en base al valor de la hora profesional referencial, agregando los gastos en que se incurra durante el proceso de regularización. 3.12 DUODECIMA CATEGORIA ARQUITECTURA CONCEPTUAL Y TRABAJOS CONVENCIONALES Estos se evaluarán considerando la envergadura del trabajo, el tiempo a emplear, la experiencia, grado de responsabilidad, capacidad y esfuerzo a desarrollar además de todos los gastos en que se haya de ocurrir. El honorario a convenir se basará en el valor de la hora profesional referencial, o será motivo de un convenio entre las partes.
  • 74.
    15 3.13 DECIMO TERCERACATEGORIA ARQUITECTOS REVISORES INDEPENDIENTES Basado el honorario en la rebaja de un 30% de los derechos de edificación, éstos de desglosan de la siguiente manera: a) Honorario revisión anteproyecto 6% de los derechos municipales. b) Honorario revisión expediente de edificación: Como anticipo - 15% de los derechos municipales. Contra informe favorable - 12% de los derechos municipales. Contra obtención permiso de edificación - 3% de los derechos municipales. Honorario total - 30% de los derechos municipales. c) Honorario informe recepción final - 6% de los derechos municipales. El honorario mínimo por gestión será de 10 UF. Los porcentajes antes citados podrán tener un recargo convencional adicional basado en diversos factores como ser: - complejidad del anteproyecto o proyecto. - Antecedentes no habituales. - Exigencias especiales (rapidez, gestión directa, etc.) - Tramitación de documentación complementaria. Nota : cualquier actividad anexa no descrita se regula por las disposiciones de las categorías de este arancel a las que se puedan asimilar. 4. VALOR REFERENCIAL DE LA HORA PROFESIONAL. 4.1. El valor referencial mínimo de la hora profesional es de 1 UF. Dicho valor corresponderá también a una consulta verbal. 4.2. El valor señalado en el punto precedente podrá ser recargado según sea la complejidad del trabajo, la experiencia, responsabilidad y grado de especialización del arquitecto, considerando para ello los siguientes aspectos:
  • 75.
    16 • AÑOS DEPROFESION Hasta 5 años sin recargo De 5 a 15 años 20% de recargo Sobre 15 años 50% de recargo • ESPECIALIZACION DEL ARQUITECTO Convencional, con un máximo de 100 % de recargo • PARTICIPACION EN EQUIPO Arquitecto Jefe del Equipo 100 % de recargo Arquitecto co participante 50% de recargo Arquitecto ayudante 30 % de recargo • DURACION DEL TRABAJO Trabajo continuado o habitual sin recargo Trabajo esporádico 30% de recargo 4.3. Si en una contratación se cumple con más de una de las condiciones señaladas en el punto precedente, se considerará la suma de los porcentajes. 4.4. El tiempo consumido por el arquitecto en esperas o viajes, se cobrará de acuerdo al valor de hora referencial, rebajado en un 30%, considerando una jornada diaria de 6 horas y lo señalado en el punto 2.9 del capítulo Nº2, Disposiciones Generales de este Documento Profesional. 5. TABLAS DE VALORES REFERENCIALES APLICABLES A LAS DISTINTAS CATEGORIAS. 5.1. Los valores señalados en las tablas están expresados en Unidades de Fomento reajustables (UF).
  • 76.
    17 5.2. Al usarlas distintas Tablas de Categorías se aplicará al valor de la obra o trabajo el porcentaje más alto, hasta el máximo indicado en la primera columna: si el costo fuera mayor, se aplicará al excedente el porcentaje de la columna siguiente, y así sucesivamente. 5.3. Los honorarios establecidos en las Categorías 1ª a 7ª se podrán calcular en UF/m2 para lo cual se hará el ejercicio de estimar el presupuesto de la obra total de la etapa respectiva y se aplicará el porcentaje que establece la categoría correspondiente. El resultado se dividirá por la superficie proyectada, lo que establece el valor en UF por m2.