RAFAEL VELELA ELIZABETH
TERCERA UNIDAD
MEDICAMENTOS,
PRODUCTOS QUIMICOS
PARA LA SALUD
RAFAEL VELELA ELIZABETH
PROPÓSITOS
• Aplicará los conceptos químicos estudiados al analizar algunas moléculas
sencillas de medicamentos, para reconocer que las propiedades de las sustancias
dependen de su estructura.
• Reconocerá la importancia de los procesos de análisis y síntesis químico para el
desarrollo de medicamentos como ejemplos de los procedimientos esenciales de
la Química.
• Valorará el impacto socioeconómico de los productos de la Industria Química,
mediante la investigación del desarrollo de los medicamentos, a fin de destacar la
importancia de la Química en el mundo actual.
RAFAEL VELELA ELIZABETH
RAFAEL VELELA ELIZABETH
APARTADO 20 ¿Qué son los medicamentos? (2 horas)
INTRODUCCIÓN
En este apartado se presentan actividades en las cuales se tratarán algunos
aspectos relacionados con los medicamentos. En donde los alumnos utilizando las
formulaciones determinarán si son mezclas homogéneas o heterogéneas esta
actividad también nos llevará a destacar la importancia de su composición y las
dosis en los medicamentos.
Se valorará la importancia del análisis y de la síntesis en la elaboración de
medicamentos. Para esto se recomienda realizar la práctica obtención de la
aspirina.
De las fórmulas de algunos principios activos en los medicamentos los alumnos
identificarán los grupos funcionales presentes en los mismos.
Principio activo
Es un
Compuesto
Se somete al Se producen
por
Análisis químico Síntesis química
Para conocer su Puede modificar
su
Estructura molecular
Que establece sus
Propiedades
PRODUCTOS QUÍMICOS
Como los
Medicamentos
Contienen al menos unSon
Mezclas
Pueden ser
Homogéneas Heterogéneas
Es muy importante su
Formulación
RAFAEL VELELA ELIZABETH
ESTRATEGIA 20. ¿Qué son los medicamentos? (2 horas)
Actividad 20.1
Solicitar a los alumnos que investiguen en algunas etiquetas de medicamentos
que indiquen su composición.
(Principio activo, usos, advertencias, indicaciones terapéuticas, ingredientes
inactivos, dosis).
Con la finalidad de poder establecer si son compuestos o mezclas (Homogéneas o
Heterogéneas).
Además buscará en una serie de medicamentos localizables en su casa , por
ejemplo melox plus, aspirina, cápsula etc. donde explique claramente la diferencia
entre dichas mezclas.
Actividad 20.2
Con base en las siguientes imágenes ppt (Anexo 80) señalen las distintas
características de los medicamentos, así como analizar la información de las
etiquetas sobre:
- Clasificación de los medicamentos como mezclas (homogéneas heterogéneas).
- Importancia de conocer: los principios activos de un medicamento y las
cantidades en que se encuentran, la dosis, las contraindicaciones, los efectos
secundarios y la caducidad.
- Necesidad de tomar las dosis completas y de evitar la automedicación.
- Importancia de leer la información en las etiquetas de medicamentos.
- Ventajas y desventajas de los productos medicinales de origen natural y de los
medicamentos.
RAFAEL VELELA ELIZABETH
RAFAEL VELELA ELIZABETH
ESTRATEGIA.21 ¿Cómo se obtienen los medicamentos? 5 horas
Actividad 21.1
Dejar como tarea la lectura del artículo “La aspirina: legado de la
Medicina tradicional”. (Anexo 81)
ANEXO 81
LA ASPIRINA, LEGADO DE LA MEDICINA TRADICIONAL.
La historia de la aspirina es uno de
los mejores ejemplos para ilustrar en
clase la importancia de la medicina
tradicional y su influencia en la
industria farmacéutica moderna.
Aunque actualmente se trata de un
medicamento sintético, en un
principio fue semisintético, ya que se
obtuvo a partir de la “salicina”,
intermediario de origen vegetal,
extraído de la corteza de varias
especies de sauces. Estos árboles
pertenecen al género Salix (nombre
dado por los romanos y mencionado
por Virgilio); forman parte de la flora
terrestre desde tiempo muy remoto,
como lo demuestran algunos fósiles
de la era Terciaria. Las dos especies
más comunes de Salix son S. Alba y
S. Purpurea.
Hipócrates, el célebre médico del
siglo V a.C. recomienda a sus
pacientes la corteza de sauce como
remedio para aliviar el dolor. Desde
épocas remotas, dicha corteza y las
hojas del sauce, sea en forma de jugo
o de cocimiento, se han utilizado para
calmar el dolor de neuralgias y
reumatismo.
En 1763 el reverendo M. Edmund
Stone envió una carta el presidente
de la “Real Sociedad de Londres para
el Mejoramiento del saber Natural.”
En ella le notificaba que la gente de la
región curaba la fiebre y aliviaba el
dolor con la corteza del S. Alba, árbol
muy común en lugares pantanosos,
por lo que creyó que curaba el
paludismo. Posteriormente se
comprobó que no tiene acción sobre
el plamodium, pero que si alivia los
ataques febriles. Esta carta inició toda
una serie de investigaciones en
Inglaterra y Europa. Fue así como se
inició la historia de la aspirina, la cual
fue lanzada al mercado 136 años
después. Éste analgésico no produce
adicción.
Franceses y alemanes compitieron
para encontrar el principio activo de la
corteza del sauce. En 1828, Johann
A. Buchner, un químico farmacéutico
del Instituto Farmacológico de Munich
, aisló una pequeña cantidad de un
glucósido: la “salicina” .Un año
después H. Leroux, farmacéutico
francés, mejoró el método de
extracción obteniendo un rendimiento
mayor . en 1833 E. Merck obtuvo la
salicina pura , lo que permitió a Gay-
Lussac demostrar que no se trataba
de un alcaloide.
En 1838 Raffaelle Piria (de Pisa,
Italia) aisló otro compuesto que
denominó ácido salicílico.
Anteriormente, el químico sueco Karl
Jacob Lowing (1835) extrajo de una
planta (spirae ulnaria) un aceite
soluble en éter del cual cristalizó un
ácido que denominó “Spirsäure” el
cual resultó ser igual al ácido
salicílico según demostró Dumas
posteriormente.
RAFAEL VELELA ELIZABETH
En 1843 A. Cahours farmacólogo de
Gales, demostró que el aceite de
wintergreen, utilizado para aliviar
dolores, contenía el éster metílico del
ácido salicílico. Este aceite se extrae
de una planta (gualteria procubens )
de la familia de la Ericáceas. En 1853
Charles Gerhardt químico francés fue
el primero en sintetizar la aspirina a
partir del ácido salicílico, pero
desgraciadamente este importante
suceso permaneció en el olvido hasta
1898.
En 1860 Kolbe y Lautermann
sintetizaron el ácido salicílico. Uno de
sus estudiantes frederich von Heyden
, estableció en dresden una gran
fábrica para la producción de
salicilatos.
Felix Hoffmann, químico de la casa
Bayer, tenía un padre artrítico que no
toleraba los salicilatos, debido que le
provocaban fuerte irritación
gastrointestinal. Esta circunstancia lo
instó a buscar otros compuestos
menos ácidos, llegando así a
sintetizar el ácido acetil salicílico
(1898) que fue llamado aspirina por la
casa Bayer , por la “A” de (acetilo) y
“spirin” , del alemán spirsäure (1899).
Desde entonces se consumen
mundialmente miles de toneladas de
éste medicamento. En Estados
Unidos se considera que el consumo
por persona alcanza un promedio de
150 tabletas al año.
Aparentemente, la corteza del sauce
es poco utilizada en la medicina
popular de México, siendo pocos los
libros que registran su uso como
antipirético. Probablemente esto se
deba a la popularidad y al bajo costo
de la aspirina, que restringe el uso del
sauce a poblaciones indígenas,
alejadas de la civilización.
Obtención de la Aspirina
Corteza de sauce
Extracción
CH2OH CH2OH
Hid.
O Glucosa OH + Glucosa
Salicina Saligenina
(Producto Natural) ( Alcohol Salicílico)
COOH COOH
Cat.
OH + (CH3CO)2O O C CH3
O
RAFAEL VELELA ELIZABETH
Ácido Salicílico Ácido acetilsalicílico
ASPIRINA
(Producto Natural) (Producto sintético)
Con éste medicamento se ha
comprobado un fenómeno poco
frecuente. En lugar de decrecer su
popularidad con los años (al parecer en
el mercado nuevos medicamentos
mejores y a precios más accesibles) su
uso ha aumentado debido a las nuevas
aplicaciones y propiedades que se le han
encontrado. En principio, se usó como
antipirético, analgésico, antiinflamatorio,
por lo que es muy utilizado en el
tratamiento de fiebre reumática,
reumatismo, gota, artritis reumatoide.
Con el tiempo, estos usos se han
ampliado.
En 1950 Lawrence Craven fue el primero
en utilizar la aspirina para evitar la
formación de coágulos en enfermedades
como trombosis cerebral e infartos al
miocardio, debido a que ayuda a prevenir
la acumulación de
plaquetas.
Por muchos años
permaneció en el misterio el modo de
acción de la aspirina. John R. Vane,
ganador del premio Nobel en 1982, del
Colegio Real de Cirujanos de Londres,
propuso en 1971 una hipótesis para
explicar su actividad . Considera que
ésta bloquea la síntesis de algunas
prostaglandinas (hormonas celulares
involucradas en el dolor e inflamación de
órganos y tejidos y en la aglutinación de
plaquetas) por lo que reduce el riesgo de
formación de coágulos. Comprueba así
lo establecido por Craven.
Esta propiedad también lo hace útil en el
tratamiento de otras enfermedades,
como la hipertensión gestacional y la
migraña, en la cual se ha observado que
durante los accesos, aumenta la
actividad plaquetaria.
También se ha observado que la aspirina
disminuye en un 40% la mortalidad
debida a cáncer en el estomago y que
favorece la oxigenación de la sangre en
el cerebro.
La Asociación estadounidense de
Cardiología recomienda la ingestión de
aspirina a baja dosis a personas de edad
media, con antecedentes familiares de
enfermedades coronarias o con factores
de riesgo como tabaquismo, sobrepeso,
hipertensión, falta de ejercicio y exceso
de colesterol en la sangre.
A pesar de sus virtudes hay que recordar
que nunca debe recurrirse a la
automedicación. La aspirina, como todos
los medicamentos, presenta efectos
indeseables, que pueden ser peligrosos
en ciertos individuos, como los
hemofílicos u otros con ciertas
enfermedades gastrointestinales.
Siempre que se sintetiza un
medicamento promisorio, su fórmula es
utilizada como modelo para obtener otros
compuestos semejantes en los que se
modifican y mejoran sus propiedades
curativas y se disminuyen los efectos
secundarios. Como ejemplo de lo
anterior, tenemos:
-el salicilato de colina (Artropan) que por
ser muy soluble en agua, se absorbe
muy rápidamente, por lo que se
recomienda cuando son necesarias dosis
altas de aspirina.
-salicilato de salicilo (Diplosal). Con
acción semejante al salicilato de sodio.
Se hidroliza lentamente en el estomago
por ser resistente al jugo gástrico. Con
su hidrólisis ocurre lentamente en el
intestino, se usa como antiséptico
intestinal, pero tiene el inconveniente de
ser tóxico, porque liberal fenol en el
intestino.
-salicilarnida, que se usa como
sustituyente de otros salicilatos, en caso
de presentarse hipersensibilidad a ellos.
antiinflamatoria
RAFAEL VELELA ELIZABETH
El salsalato es usado también como
antipirético y antiinflamatorio.
COOH---------N (CH3)3
OH CH2CH2OH
ARTROPAN
COOH
CO O
OH
DIPLOSAL
CONH2
OH SALICILAMIDA
SALSALATO
OH COOH
COO
SALOL
RAFAEL VELELA ELIZABETH
COO
OH
Existe otro grupo de compuestos que,
aunque con fórmulas semejantes a la
aspirina, tiene diferentes usos como son:
-Ácido salicílico, con uso tópico como
queratolítico. Por sus propiedades
antisépticas y fungicidas, tiene algunas
aplicaciones en dermatología.
-Aldehído salicílico, utilizado en
perfumería.
-El salicililato de metilo se usa
externamente como rubefaciente y
analgésico; también se usa en
perfumería.
-El alcohol salicílico, que es un
analgésico local.
-El salicil que es un antiséptico.
-La salicil anilida, un fungicida de uso
tópico.
COOH CHO
OH OH
Ácido Salicílico (Alcohol Salicílico)
CO NH C6H5 COOH
OH OH
NH2
Salicil Anilida PAS
COOCH3 CHO
OH OH
Salicilato de Metilo Aldehído Salicílico
CO CO
HO
OH
RAFAEL VELELA ELIZABETH
SALICIL
N
CO O
-La salicil morfolida es un colerético.
-El “PAS” (ácido para amino salicílico)
es un tuberculostático.
-El salsalato es antiséptico y
antiinflamatorio.
Teniendo en cuenta las tres
principales propiedades de la aspirina
(analgésico, antipirético y
antiinflamatorio) se han tratado de
sintetizar compuestos que, aunque
tiene estructuras diferentes a ella,
puedan superarla en esas tres
acciones terapéuticas, como son los
casos de la indometacina y el
ibuprofeno.
John Nocholson, dando a la aspirina
un valor unitario en cada una de las
tres acciones, inició un programa de
síntesis de compuestos que la
superaran. Muchos resultaron
tóxicos, por lo que fueron
desechados. No obstante, el
ibuprofeno, a pesar de producir
reacciones secundarias indeseables,
tiene de 16 a 32 veces la actividad de
la aspirina como antiinflamatorio, es
30 veces más activo como anestésico
y 20 como antipirético.
La indometacina tiene mayor número
de efectos secundarios indeseables y
es más toxica
IBUPROFENO
OH
SALICIL MORFOLIDA
Análisis en equipo de lo leído, destacar:
- El origen de la aspirina y de muchos otros medicamentos, en la
- La extracción del principio activo aplicando los métodos de separación de
mezclas.
- Las pequeñas cantidades de principio activo que se encuentran en
los productos naturales.
- Los procesos de análisis para establecer qué sustancia es el principio
activo y cuál es su estructura química.
- La síntesis del principio activo.
- La modificación de la estructura del principio activo para disminuir
efectos secundarios.
- La relación entre la estructura del principio activo y su acción en el
organismo.
- La elaboración de medicamentos tipo aspirina.
- La presencia e identificación de grupos funcionales en la aspirina y en
medicamentos tipo aspirina.
- Las pruebas farmacológicas a que son sometidos los medicamentos
antes de ser autorizado su uso.
- Ventajas de la síntesis de medicamentos sin necesidad de recurrir a
las fuentes naturales.
- Impacto socioeconómico de la síntesis de medicamentos.
Concluir la discusión señalando que muchos de los medicamentos que
usamos han tenido su origen en la medicina tradicional, que se han
desarrollado siguiendo una metodología como la empleada para la
síntesis de la aspirina y hacer énfasis en los procedimientos de análisis
y síntesis química.
Actividad 21.2
Con base en la lectura anterior resolver en equipo el crucigrama referente al
contenido de dicho documento (Anexo 82)
ANEXO 82
CRUCIGRAMA PARA RESOLVER
LA ASPIRINA, LEGADO DE LA MEDICINA TRADICIONAL
1
A
N A L 1
G E S I C O
E
2
I B U P R O F E N O
3
B H
2
F
U A
7
S
3
H
I P O C R A T E
S
4 R
6
p A
E H A
4
A
5
C I D O S A L I C I L I C O
B N L D T A I
R E I I Q
5
C O O H
E R C C U I
I C
10
A E L
8
M N I U T
6R
E U M A T I S M O T
7
A Ñ O
R N O S
C 9 S
M
K E E
M D
8
A
11
C I
12
D
O A C E T I L S
A
13 L I C I L I C O
S O J N C
P S A T 9
A
I I N I C
R S T I I
I E N O
N F
10
A
N I L I D A
11
S
A L S A L A T O L
A
M
A
12
A
R T R O P A N
O
R
13
M
E T I L O
A
HORIZONTALES:
1. Las tres principales propiedades de la aspirina son antipirético, antiinflamatorio y
2. Se han sintetizado compuestos que tienen estructuras diferentes a la aspirina pueden superar a esta en su
acción terapéutica tal es el caso del
3. Medico Griego que recomienda a sus pacientes la corteza del sauce como remedio para
aliviar el dolor.
4.En 1838 Raffaelle Piria aisló otro compuesto que denomino
5. En la fórmula del Ibuprofeno
CH3
(CH3)2CHCH2 CH COOH
IBUPROFENO
El grupo funcional ácido carboxílico esta representado por:
6. Las hojas del sauce en forma de jugo o de cocimiento se han utilizado para calmar el dolor de
neuralgias y
7. En Estados Unidos se considera que el consumo de aspirinas por persona alcanza un promedio de
150 tabletas al
8. Félix Hoffman en 1898 fue el primero en sintetizar el
. COOH
9. En la formula de la aspirina O C CH3
O
El grupo funcional COOH se llama ácido
10. Es fungicida y de uso tópico la salicil
COOH
OH
11. La siguiente formula COO
representa al compuesto llamado
12. Por ser muy soluble en agua se absorbe muy rápidamente por lo que se recomienda cuando son necesarias
dosis altas de aspirinas el salicilato de colina llamado comercialmente
13. Se usa externamente como rubefaciente y analgésico, también se usa en perfumería el salicilato de
VERTICALES:
1. En 1853 fue la primera vez que se sintetizo la aspirina a partir del ácido salicílico por el químico
francés Charles
2. En un principio el ácido acetilsalicílico (aspirina) se uso como antipirético, es decir para
disminuir la
3. En 1828 fue aislada una pequeña cantidad de un glucósido: la “salicina” por el médico alemán
Johann
4. Vegetal extraído de la corteza de varias especies de sauces del genero salix
5. Hace 136 años fue lanzada al mercado la aspirina analgésico que no produce
6. La aspirina se utiliza para evitar la formación de coagulas en enfermedades como la trombosis
cerebral e infartos al miocardio debido a que ayuda a prevenir la acumulación de
7. Se usa como antiséptico el
8. En 1833 se obtuvo la salicina pura por E.
9. Siempre que se sintetiza un medicamento promisorio su formula es utilizada como modelo para obtener
otro compuesto.
10. A pesar de las grandes virtudes de la aspirina no debe recurrirse a la
COOH
11. La siguiente formula O C CH3 representa
O
Al acetilsalicílico llamado comercialmente
12. Para personas con antecedentes familiares de enfermedades coronarias, sobrepeso, hipertensión , exceso
de colesterol en la sangre, se recomienda la ingestión de la aspirina en pequeñas
13. En 1971 John R. Vance considera que el ácido acetilsalicílico ( aspirina ) bloquea la síntesis de algunas
prostaglandinas( hormonas celulares involucradas en el dolor e inflamación ) lo que provoca que esta tenga
una actividad
ESTRATEGIA 22. ¿Cómo se sintetiza un principio activo?
Actividad 22.1
Actividad experimental para sintetizar un principio activo, por ejemplo el
ácido acetilsalicílico (aspirina) (Anexo 83)
ANEXO 83
ACTIVIDAD EXPERIMENTAL
“OBTENCIÓN DE LA ASPIRINA”
OBJETIVOS:
A)Obtener en el laboratorio un medicamento de uso cotidiano.
B)Demostrar experimentalmente que el principio activo de la aspirina obtenida en
el laboratorio es el mismo que el de un producto comercial común.
INTRODUCCIÓN: Cuando tienes un dolor de cabeza ¿prefieres beber una taza de
corteza de sauce o tomar dos aspirinas? Los ingredientes activos de los dos
remedios tienen estructuras químicas semejantes y los dos son eficaces contra el
dolor de cabeza, pero el ácido salicílico, el compuesto químico de la corteza del
sauce, produce varios efectos colaterales dañinos, como dolor de estómago, por
ejemplo. Con la aspirina ocurre lo mismo pero es un analgésico más eficaz y se
puede tomar en dosis más bajas. Después de años de investigación, los científicos
produjeron aspirina en el laboratorio a partir de ácido salicílico y anhídrido acético .
La aspirina contiene un solo ingrediente activo, el ácido acetilsalicílico. La aspirina
no es tan sólo una sustancia pura, sino que su estructura es distinta y no produce
el dolor de estómago tan agudo que provoca el ácido salicílico.
MATERIAL SUSTANCIAS
1 balanza granataria
1 tubo de ensaye
1 gotero
1 agitador de vidrio
2 vasos de precipitado de 250 ml
pinzas para tubo de ensayo
Matraz erlenmeyer de 125 ml.
1 soporte completo
Aparato de Fisher para punto de fusión
cubreobjeto
Acido salicílico
Anhídrido Acético
Acido sulfúrico concentrado
Agua destilada
MEDIDAS DE SEGURIDAD: No olvides el uso de la bata de laboratorio y trabajar
las sustancias con mucha precaución como lo indique el profesor, ya que son
peligrosas.
Lee cuidadosamente el procedimiento
PROCEDIMIENTO:
1.Poner 1g de ácido salicílico en un tubo de ensaye, agregar 2 mL de anhídrido
acético (PRECAUCIÓN), el anhídrido acético es un líquido muy inflamable y
sumamente irritante, produce necrosis de los tejidos por lo que se deberá evitarse
el contacto con la piel y ojos) Agregar 5 gotas de ácido sulfúrico concentrado
teniendo cuidado de agregarlas lentamente y dejando que resbalen por un
agitador de vidrio (éste ácido actúa como catalizador), agitar lentamente el tubo de
ensaye para que se mezclen los reactivos.
2. Colocar por 5 minutos el tubo de ensaye en un vaso de precipitados de 100 mL
que tenga agua a una temperatura cercana a ebullición, para que se complete la
reacción.
3. Enfriar al chorro de agua y verter el contenido del tubo en un matraz Erlenmeyer
de 125mL que contenga 50 mL de agua destilada.
4. Agitar el matraz para ayudar a la hidrólisis del exceso de anhídrido acético y
enfriar, introduciendo el matraz en el hielo picado , raspar el sólido y filtrar. Se
obtiene un rendimiento de 4g de ácido acetilsalicílico o aspirina.
5. Coloca una pequeña muestra de éste producto en un cubreobjetos, y colocarla
en un aparato para medir su punto de fusión.
6. Tomar alguna parte de algún medicamento que contenga aspirina y medir su
punto de fusión de la misma forma que se hizo con la aspirina obtenida del
laboratorio.
7. Comparar los dos resultados.
8. Anota las observaciones en un cuadro.
MANEJO DE DESECHOS: vierte los desechos en un frasco para que tu profesor
proceda a su tratamiento.
DATOS Y OBSERVACIONES.
RESULTADOS
ANALIZA Y CONCLUYE:
1. Escribe las fórmulas químicas de las sustancias involucradas en ésta reacción.
2. En caso de no haber agregado ácido sulfúrico a la reacción, ¿ésta se realiza?
Fundamenta tu respuesta.
3. ¿Qué función cumple un catalizador como el ácido sulfúrico en ésta reacción?
4. ¿Cómo puedes afirmar que la sustancia obtenida es aspirina?
APLICACIÓN Y EVALUACIÓN:
-¿Qué importancia tiene el que los químicos puedan sintetizar medicamentos en
los laboratorios farmacéuticos?
-¿Qué semejanzas y qué diferencias hay entre las estructuras del ácido salicílico y
la de la aspirina?
-¿Qué beneficios acarrea el que se puedan sintetizar medicamentos?
-¿Qué es más conveniente, obtener el ácido salicílico de la corteza del sauce o la
obtención de la aspirina en el laboratorio?
Llevar la discusión del experimento en forma grupal hacia:
- Destacar las condiciones de la reacción (temperatura, catalizadores,
Concentración de los reactivos, etc.).
- Identificar los grupos funcionales en los reactivos y en los productos.
- Analizar los cambios de grupos funcionales en las estructuras de los
reactivos y productos.
Elaborar un informe de la actividad experimental.
Actividad 22.2
Se le proporcionara por equipo copias de diferentes estructuras moleculares de
algunos medicamentos para que identifiquen los grupos funcionales presentes en
estos (Anexo 84)
ANEXO 84
Grupos funcionales en medicamentos
Estos son los grupos funcionales que están presentes en las sustancias activas de
los medicamentos:
La finalidad será:
• Identificar los grupos funcionales en moléculas de algunos principios activos
presentes en medicamentos.
• Reconocer los grupos funcionales como la parte reactiva de las moléculas
orgánicas.
Estos son los grupos funcionales que están presentes en las sustancias activas de
los medicamentos.
Grupos funcionales en medicamentos
Cómo funciona:
Al ingerir un medicamento, éste pasa del estómago a los intestinos, y luego al
hígado antes de circular por el resto del cuerpo. Los grupos funcionales presentes
en los medicamentos son los responsables de cómo actúan éstos sobre los
órganos y las células.
A continuación te mostramos los grupos funcionales que se encuentran presentes
en algunos medicamentos, coloca sobre la línea el nombre que le corresponde.
Nombre del medicamento Grupos
Funcional
es
Información
adicional
Aspirina
Carboxilo
Ester
Alivia dolores leves
y es un
antiinflamatorio
eficaz. Actúa
inhibiendo la
producción de
prostaglandinas,
que son
compuestos que
intervienen en la
transmisión de las
señales de dolor al
cerebro.
El grupo éster del
ácido acetilsalicilíco
es el responsable
de inhibir a las
Carboxilo
Ester
enzimas COX-1 y
COX-2, se
transforman en un
grupo alcohol.
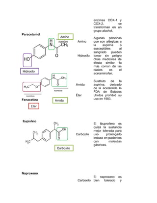
Paracetamol
Amino
Hidroxilo
Algunas personas
que son alérgicas a
la aspirina o
susceptibles al
sangrado pueden
tomar sin peligro
otras medicinas de
efecto similar, la
más común de las
cuales es el
acetaminofen.
Fenacetina
Amida
Éter
Sustituto de la
aspirina, derivado
de la acetanilida la
FDA de Estados
Unidos prohibió su
uso en 1983.
Carboxilo
El Ibuprofeno es
quizá la sustancia
mejor tolerada para
uso prolongado
incluso en pacientes
con molestias
gástricas.
Naproxeno
Carboxilo
El naproxeno es
bien tolerado y
Hidroxilo
Amino
Eter
Amida
Carboxilo
Éter
absorbe
completamente,
tanto por vía oral,
como rectal. Los
antiácidos que
contienen óxido de
magnesio o
hidróxido de
aluminio reducen su
velocidad de
absorción.
Ketofeno
Carboxilo
Cetona
El Ketofeno se
absorbe rápida y
completamente
luego de su
administración oral,
pero se distribuye
irregularmente en el
agua corporal.
Efedrina
ANFETAMINAS
Amina
Hidroxilo
La primera se
sintetizó en el
laboratorio durante
pruebas en las que
se trataba de
encontrar un
reemplazante
sintético de la
efedrina, un
brocodilatador
contenido en las
plantas del género
Ephedra conocidas
como “mahuang”.
Carboxilo
Eter
Carboxilo
Cetona
Hidroxilo
Amina
Benceno
Amina
Las anfetaminas
causan adicción y
su uso continuo
genera una psicosis
muy similar a la
esquizofrenia
paranoide.
Amina
Éter
Ester
La sustitución de los
hidrógenos de los
grupos -OH por el
grupo CH3-C = O
convierte a la
morfina en heroína
Un compuesto con
mayor potencia
como estimulante.
EVALUACIÓN
( d ) Se clasifican como mezclas homogéneas y heterogéneas
a) minerales
b) vitaminas
c) grasas
d) medicamentos
Hidroxilo Eter Hidroxilo Eter
Amina
Ester
Amina
Amina
( a ) La sustancia que presenta la acción curativa en un medicamento es él:
a) productos químicos
b) principio activo
c) excipiente c.b.p.
d) mezclas inorgánicas
A) La fórmula del medicamento Hierbal
es:
B) Carbocisteína es:
Maleato de clorfeniramina 4 mg
Almidón 45 mg
Lactosa 30 mg
Grenetina 8 mg
Estearato de magnesio 10 mg
Talco 3 mg_
100 mg
Bromuro de sodio una pizca
Carbocisteina 3 gotas
vehículo c.b.p. 100 ml
( c ) Comparando la fórmula de los medicamentos A y B selecciona la
correcta:
a) el medicamento B es confiable
b) el medicamento A es subjetivo
c) el medicamento A es seguro
d) el medicamento B es preciso
( d ) La recomendación respecto a un tratamiento es:
a) seguirlo hasta que haya mejoría
b) cumplirlo y terminarlo en cualquier momento
c) cumplirlo y no terminarlo
d) cumplirlo y terminarlo por indicaciones del médico
Evaluación
Escribe sobre las líneas de las estructuras orgánicas de medicamentos el nombre
del grupo funcional que le corresponda a cada una de ellas en la parte señalada.
ASPIRINA PARACETAMOL
Carboxilo
Amino
Ester
Hidroxilo
FENACETINA
NAPROXENO
ANFETAMINAS
BIBLIOGRAFÍA
Portal académico del CCH Área Ciencias Experimentales Asignatura de Química
www.scribd.com/.../Cap-4-Grupos-funcionales-con-enlaces-simples
www.educacionquimica.info
Hill, J. W. y Kolb, D. K. (1999). Química para el nuevo milenio. México, Prentice
Hall Hispanoamericana S. A. pp. 536-585
Mari Zulaika, L. (2000). Cómo actúan los medicamentos. España, Osasuna eta-
virola. Consultada el 27 de noviembre de 2009 en
http://www.hiru.com/es/osasuna/osasuna_05_09_01.html
ANEXO 80
Carboxilo
Éter
Amino
Carboxilo
Amida
Eter
7.. medicamentos 130508003811-phpapp01

7.. medicamentos 130508003811-phpapp01

  • 1.
    RAFAEL VELELA ELIZABETH TERCERAUNIDAD MEDICAMENTOS, PRODUCTOS QUIMICOS PARA LA SALUD
  • 2.
    RAFAEL VELELA ELIZABETH PROPÓSITOS •Aplicará los conceptos químicos estudiados al analizar algunas moléculas sencillas de medicamentos, para reconocer que las propiedades de las sustancias dependen de su estructura. • Reconocerá la importancia de los procesos de análisis y síntesis químico para el desarrollo de medicamentos como ejemplos de los procedimientos esenciales de la Química. • Valorará el impacto socioeconómico de los productos de la Industria Química, mediante la investigación del desarrollo de los medicamentos, a fin de destacar la importancia de la Química en el mundo actual.
  • 3.
  • 4.
    RAFAEL VELELA ELIZABETH APARTADO20 ¿Qué son los medicamentos? (2 horas) INTRODUCCIÓN En este apartado se presentan actividades en las cuales se tratarán algunos aspectos relacionados con los medicamentos. En donde los alumnos utilizando las formulaciones determinarán si son mezclas homogéneas o heterogéneas esta actividad también nos llevará a destacar la importancia de su composición y las dosis en los medicamentos. Se valorará la importancia del análisis y de la síntesis en la elaboración de medicamentos. Para esto se recomienda realizar la práctica obtención de la aspirina. De las fórmulas de algunos principios activos en los medicamentos los alumnos identificarán los grupos funcionales presentes en los mismos. Principio activo Es un Compuesto Se somete al Se producen por Análisis químico Síntesis química Para conocer su Puede modificar su Estructura molecular Que establece sus Propiedades PRODUCTOS QUÍMICOS Como los Medicamentos Contienen al menos unSon Mezclas Pueden ser Homogéneas Heterogéneas Es muy importante su Formulación
  • 5.
    RAFAEL VELELA ELIZABETH ESTRATEGIA20. ¿Qué son los medicamentos? (2 horas) Actividad 20.1 Solicitar a los alumnos que investiguen en algunas etiquetas de medicamentos que indiquen su composición. (Principio activo, usos, advertencias, indicaciones terapéuticas, ingredientes inactivos, dosis). Con la finalidad de poder establecer si son compuestos o mezclas (Homogéneas o Heterogéneas). Además buscará en una serie de medicamentos localizables en su casa , por ejemplo melox plus, aspirina, cápsula etc. donde explique claramente la diferencia entre dichas mezclas. Actividad 20.2 Con base en las siguientes imágenes ppt (Anexo 80) señalen las distintas características de los medicamentos, así como analizar la información de las etiquetas sobre: - Clasificación de los medicamentos como mezclas (homogéneas heterogéneas). - Importancia de conocer: los principios activos de un medicamento y las cantidades en que se encuentran, la dosis, las contraindicaciones, los efectos secundarios y la caducidad. - Necesidad de tomar las dosis completas y de evitar la automedicación. - Importancia de leer la información en las etiquetas de medicamentos. - Ventajas y desventajas de los productos medicinales de origen natural y de los medicamentos.
  • 6.
  • 7.
    RAFAEL VELELA ELIZABETH ESTRATEGIA.21¿Cómo se obtienen los medicamentos? 5 horas Actividad 21.1 Dejar como tarea la lectura del artículo “La aspirina: legado de la Medicina tradicional”. (Anexo 81) ANEXO 81 LA ASPIRINA, LEGADO DE LA MEDICINA TRADICIONAL. La historia de la aspirina es uno de los mejores ejemplos para ilustrar en clase la importancia de la medicina tradicional y su influencia en la industria farmacéutica moderna. Aunque actualmente se trata de un medicamento sintético, en un principio fue semisintético, ya que se obtuvo a partir de la “salicina”, intermediario de origen vegetal, extraído de la corteza de varias especies de sauces. Estos árboles pertenecen al género Salix (nombre dado por los romanos y mencionado por Virgilio); forman parte de la flora terrestre desde tiempo muy remoto, como lo demuestran algunos fósiles de la era Terciaria. Las dos especies más comunes de Salix son S. Alba y S. Purpurea. Hipócrates, el célebre médico del siglo V a.C. recomienda a sus pacientes la corteza de sauce como remedio para aliviar el dolor. Desde épocas remotas, dicha corteza y las hojas del sauce, sea en forma de jugo o de cocimiento, se han utilizado para calmar el dolor de neuralgias y reumatismo. En 1763 el reverendo M. Edmund Stone envió una carta el presidente de la “Real Sociedad de Londres para el Mejoramiento del saber Natural.” En ella le notificaba que la gente de la región curaba la fiebre y aliviaba el dolor con la corteza del S. Alba, árbol muy común en lugares pantanosos, por lo que creyó que curaba el paludismo. Posteriormente se comprobó que no tiene acción sobre el plamodium, pero que si alivia los ataques febriles. Esta carta inició toda una serie de investigaciones en Inglaterra y Europa. Fue así como se inició la historia de la aspirina, la cual fue lanzada al mercado 136 años después. Éste analgésico no produce adicción. Franceses y alemanes compitieron para encontrar el principio activo de la corteza del sauce. En 1828, Johann A. Buchner, un químico farmacéutico del Instituto Farmacológico de Munich , aisló una pequeña cantidad de un glucósido: la “salicina” .Un año después H. Leroux, farmacéutico francés, mejoró el método de extracción obteniendo un rendimiento mayor . en 1833 E. Merck obtuvo la salicina pura , lo que permitió a Gay- Lussac demostrar que no se trataba de un alcaloide. En 1838 Raffaelle Piria (de Pisa, Italia) aisló otro compuesto que denominó ácido salicílico. Anteriormente, el químico sueco Karl Jacob Lowing (1835) extrajo de una planta (spirae ulnaria) un aceite soluble en éter del cual cristalizó un ácido que denominó “Spirsäure” el cual resultó ser igual al ácido salicílico según demostró Dumas posteriormente.
  • 8.
    RAFAEL VELELA ELIZABETH En1843 A. Cahours farmacólogo de Gales, demostró que el aceite de wintergreen, utilizado para aliviar dolores, contenía el éster metílico del ácido salicílico. Este aceite se extrae de una planta (gualteria procubens ) de la familia de la Ericáceas. En 1853 Charles Gerhardt químico francés fue el primero en sintetizar la aspirina a partir del ácido salicílico, pero desgraciadamente este importante suceso permaneció en el olvido hasta 1898. En 1860 Kolbe y Lautermann sintetizaron el ácido salicílico. Uno de sus estudiantes frederich von Heyden , estableció en dresden una gran fábrica para la producción de salicilatos. Felix Hoffmann, químico de la casa Bayer, tenía un padre artrítico que no toleraba los salicilatos, debido que le provocaban fuerte irritación gastrointestinal. Esta circunstancia lo instó a buscar otros compuestos menos ácidos, llegando así a sintetizar el ácido acetil salicílico (1898) que fue llamado aspirina por la casa Bayer , por la “A” de (acetilo) y “spirin” , del alemán spirsäure (1899). Desde entonces se consumen mundialmente miles de toneladas de éste medicamento. En Estados Unidos se considera que el consumo por persona alcanza un promedio de 150 tabletas al año. Aparentemente, la corteza del sauce es poco utilizada en la medicina popular de México, siendo pocos los libros que registran su uso como antipirético. Probablemente esto se deba a la popularidad y al bajo costo de la aspirina, que restringe el uso del sauce a poblaciones indígenas, alejadas de la civilización. Obtención de la Aspirina Corteza de sauce Extracción CH2OH CH2OH Hid. O Glucosa OH + Glucosa Salicina Saligenina (Producto Natural) ( Alcohol Salicílico) COOH COOH Cat. OH + (CH3CO)2O O C CH3 O
  • 9.
    RAFAEL VELELA ELIZABETH ÁcidoSalicílico Ácido acetilsalicílico ASPIRINA (Producto Natural) (Producto sintético) Con éste medicamento se ha comprobado un fenómeno poco frecuente. En lugar de decrecer su popularidad con los años (al parecer en el mercado nuevos medicamentos mejores y a precios más accesibles) su uso ha aumentado debido a las nuevas aplicaciones y propiedades que se le han encontrado. En principio, se usó como antipirético, analgésico, antiinflamatorio, por lo que es muy utilizado en el tratamiento de fiebre reumática, reumatismo, gota, artritis reumatoide. Con el tiempo, estos usos se han ampliado. En 1950 Lawrence Craven fue el primero en utilizar la aspirina para evitar la formación de coágulos en enfermedades como trombosis cerebral e infartos al miocardio, debido a que ayuda a prevenir la acumulación de plaquetas. Por muchos años permaneció en el misterio el modo de acción de la aspirina. John R. Vane, ganador del premio Nobel en 1982, del Colegio Real de Cirujanos de Londres, propuso en 1971 una hipótesis para explicar su actividad . Considera que ésta bloquea la síntesis de algunas prostaglandinas (hormonas celulares involucradas en el dolor e inflamación de órganos y tejidos y en la aglutinación de plaquetas) por lo que reduce el riesgo de formación de coágulos. Comprueba así lo establecido por Craven. Esta propiedad también lo hace útil en el tratamiento de otras enfermedades, como la hipertensión gestacional y la migraña, en la cual se ha observado que durante los accesos, aumenta la actividad plaquetaria. También se ha observado que la aspirina disminuye en un 40% la mortalidad debida a cáncer en el estomago y que favorece la oxigenación de la sangre en el cerebro. La Asociación estadounidense de Cardiología recomienda la ingestión de aspirina a baja dosis a personas de edad media, con antecedentes familiares de enfermedades coronarias o con factores de riesgo como tabaquismo, sobrepeso, hipertensión, falta de ejercicio y exceso de colesterol en la sangre. A pesar de sus virtudes hay que recordar que nunca debe recurrirse a la automedicación. La aspirina, como todos los medicamentos, presenta efectos indeseables, que pueden ser peligrosos en ciertos individuos, como los hemofílicos u otros con ciertas enfermedades gastrointestinales. Siempre que se sintetiza un medicamento promisorio, su fórmula es utilizada como modelo para obtener otros compuestos semejantes en los que se modifican y mejoran sus propiedades curativas y se disminuyen los efectos secundarios. Como ejemplo de lo anterior, tenemos: -el salicilato de colina (Artropan) que por ser muy soluble en agua, se absorbe muy rápidamente, por lo que se recomienda cuando son necesarias dosis altas de aspirina. -salicilato de salicilo (Diplosal). Con acción semejante al salicilato de sodio. Se hidroliza lentamente en el estomago por ser resistente al jugo gástrico. Con su hidrólisis ocurre lentamente en el intestino, se usa como antiséptico intestinal, pero tiene el inconveniente de ser tóxico, porque liberal fenol en el intestino. -salicilarnida, que se usa como sustituyente de otros salicilatos, en caso de presentarse hipersensibilidad a ellos. antiinflamatoria
  • 10.
    RAFAEL VELELA ELIZABETH Elsalsalato es usado también como antipirético y antiinflamatorio. COOH---------N (CH3)3 OH CH2CH2OH ARTROPAN COOH CO O OH DIPLOSAL CONH2 OH SALICILAMIDA SALSALATO OH COOH COO SALOL
  • 11.
    RAFAEL VELELA ELIZABETH COO OH Existeotro grupo de compuestos que, aunque con fórmulas semejantes a la aspirina, tiene diferentes usos como son: -Ácido salicílico, con uso tópico como queratolítico. Por sus propiedades antisépticas y fungicidas, tiene algunas aplicaciones en dermatología. -Aldehído salicílico, utilizado en perfumería. -El salicililato de metilo se usa externamente como rubefaciente y analgésico; también se usa en perfumería. -El alcohol salicílico, que es un analgésico local. -El salicil que es un antiséptico. -La salicil anilida, un fungicida de uso tópico. COOH CHO OH OH Ácido Salicílico (Alcohol Salicílico) CO NH C6H5 COOH OH OH NH2 Salicil Anilida PAS COOCH3 CHO OH OH Salicilato de Metilo Aldehído Salicílico CO CO HO OH
  • 12.
    RAFAEL VELELA ELIZABETH SALICIL N COO -La salicil morfolida es un colerético. -El “PAS” (ácido para amino salicílico) es un tuberculostático. -El salsalato es antiséptico y antiinflamatorio. Teniendo en cuenta las tres principales propiedades de la aspirina (analgésico, antipirético y antiinflamatorio) se han tratado de sintetizar compuestos que, aunque tiene estructuras diferentes a ella, puedan superarla en esas tres acciones terapéuticas, como son los casos de la indometacina y el ibuprofeno. John Nocholson, dando a la aspirina un valor unitario en cada una de las tres acciones, inició un programa de síntesis de compuestos que la superaran. Muchos resultaron tóxicos, por lo que fueron desechados. No obstante, el ibuprofeno, a pesar de producir reacciones secundarias indeseables, tiene de 16 a 32 veces la actividad de la aspirina como antiinflamatorio, es 30 veces más activo como anestésico y 20 como antipirético. La indometacina tiene mayor número de efectos secundarios indeseables y es más toxica IBUPROFENO OH SALICIL MORFOLIDA
  • 13.
    Análisis en equipode lo leído, destacar: - El origen de la aspirina y de muchos otros medicamentos, en la - La extracción del principio activo aplicando los métodos de separación de mezclas. - Las pequeñas cantidades de principio activo que se encuentran en los productos naturales. - Los procesos de análisis para establecer qué sustancia es el principio activo y cuál es su estructura química. - La síntesis del principio activo. - La modificación de la estructura del principio activo para disminuir efectos secundarios. - La relación entre la estructura del principio activo y su acción en el organismo. - La elaboración de medicamentos tipo aspirina. - La presencia e identificación de grupos funcionales en la aspirina y en medicamentos tipo aspirina. - Las pruebas farmacológicas a que son sometidos los medicamentos antes de ser autorizado su uso. - Ventajas de la síntesis de medicamentos sin necesidad de recurrir a las fuentes naturales. - Impacto socioeconómico de la síntesis de medicamentos. Concluir la discusión señalando que muchos de los medicamentos que usamos han tenido su origen en la medicina tradicional, que se han desarrollado siguiendo una metodología como la empleada para la síntesis de la aspirina y hacer énfasis en los procedimientos de análisis y síntesis química. Actividad 21.2 Con base en la lectura anterior resolver en equipo el crucigrama referente al contenido de dicho documento (Anexo 82) ANEXO 82 CRUCIGRAMA PARA RESOLVER LA ASPIRINA, LEGADO DE LA MEDICINA TRADICIONAL
  • 14.
    1 A N A L1 G E S I C O
  • 15.
    E 2 I B UP R O F E N O 3 B H 2 F U A 7 S 3 H I P O C R A T E S 4 R 6 p A E H A 4 A 5 C I D O S A L I C I L I C O B N L D T A I R E I I Q 5 C O O H E R C C U I I C 10 A E L 8 M N I U T 6R E U M A T I S M O T 7 A Ñ O R N O S C 9 S M K E E M D 8 A 11 C I 12 D O A C E T I L S A 13 L I C I L I C O S O J N C P S A T 9 A I I N I C R S T I I I E N O N F 10 A N I L I D A 11 S A L S A L A T O L A M A 12 A R T R O P A N O R 13 M E T I L O A
  • 16.
    HORIZONTALES: 1. Las tresprincipales propiedades de la aspirina son antipirético, antiinflamatorio y 2. Se han sintetizado compuestos que tienen estructuras diferentes a la aspirina pueden superar a esta en su acción terapéutica tal es el caso del 3. Medico Griego que recomienda a sus pacientes la corteza del sauce como remedio para aliviar el dolor. 4.En 1838 Raffaelle Piria aisló otro compuesto que denomino 5. En la fórmula del Ibuprofeno CH3 (CH3)2CHCH2 CH COOH IBUPROFENO El grupo funcional ácido carboxílico esta representado por: 6. Las hojas del sauce en forma de jugo o de cocimiento se han utilizado para calmar el dolor de neuralgias y 7. En Estados Unidos se considera que el consumo de aspirinas por persona alcanza un promedio de 150 tabletas al 8. Félix Hoffman en 1898 fue el primero en sintetizar el . COOH 9. En la formula de la aspirina O C CH3 O El grupo funcional COOH se llama ácido 10. Es fungicida y de uso tópico la salicil COOH OH 11. La siguiente formula COO representa al compuesto llamado 12. Por ser muy soluble en agua se absorbe muy rápidamente por lo que se recomienda cuando son necesarias dosis altas de aspirinas el salicilato de colina llamado comercialmente
  • 17.
    13. Se usaexternamente como rubefaciente y analgésico, también se usa en perfumería el salicilato de VERTICALES: 1. En 1853 fue la primera vez que se sintetizo la aspirina a partir del ácido salicílico por el químico francés Charles 2. En un principio el ácido acetilsalicílico (aspirina) se uso como antipirético, es decir para disminuir la 3. En 1828 fue aislada una pequeña cantidad de un glucósido: la “salicina” por el médico alemán Johann 4. Vegetal extraído de la corteza de varias especies de sauces del genero salix 5. Hace 136 años fue lanzada al mercado la aspirina analgésico que no produce 6. La aspirina se utiliza para evitar la formación de coagulas en enfermedades como la trombosis cerebral e infartos al miocardio debido a que ayuda a prevenir la acumulación de 7. Se usa como antiséptico el 8. En 1833 se obtuvo la salicina pura por E. 9. Siempre que se sintetiza un medicamento promisorio su formula es utilizada como modelo para obtener otro compuesto. 10. A pesar de las grandes virtudes de la aspirina no debe recurrirse a la COOH 11. La siguiente formula O C CH3 representa O Al acetilsalicílico llamado comercialmente 12. Para personas con antecedentes familiares de enfermedades coronarias, sobrepeso, hipertensión , exceso de colesterol en la sangre, se recomienda la ingestión de la aspirina en pequeñas 13. En 1971 John R. Vance considera que el ácido acetilsalicílico ( aspirina ) bloquea la síntesis de algunas prostaglandinas( hormonas celulares involucradas en el dolor e inflamación ) lo que provoca que esta tenga una actividad ESTRATEGIA 22. ¿Cómo se sintetiza un principio activo? Actividad 22.1
  • 18.
    Actividad experimental parasintetizar un principio activo, por ejemplo el ácido acetilsalicílico (aspirina) (Anexo 83) ANEXO 83 ACTIVIDAD EXPERIMENTAL “OBTENCIÓN DE LA ASPIRINA” OBJETIVOS: A)Obtener en el laboratorio un medicamento de uso cotidiano. B)Demostrar experimentalmente que el principio activo de la aspirina obtenida en el laboratorio es el mismo que el de un producto comercial común. INTRODUCCIÓN: Cuando tienes un dolor de cabeza ¿prefieres beber una taza de corteza de sauce o tomar dos aspirinas? Los ingredientes activos de los dos remedios tienen estructuras químicas semejantes y los dos son eficaces contra el dolor de cabeza, pero el ácido salicílico, el compuesto químico de la corteza del sauce, produce varios efectos colaterales dañinos, como dolor de estómago, por ejemplo. Con la aspirina ocurre lo mismo pero es un analgésico más eficaz y se puede tomar en dosis más bajas. Después de años de investigación, los científicos produjeron aspirina en el laboratorio a partir de ácido salicílico y anhídrido acético . La aspirina contiene un solo ingrediente activo, el ácido acetilsalicílico. La aspirina no es tan sólo una sustancia pura, sino que su estructura es distinta y no produce el dolor de estómago tan agudo que provoca el ácido salicílico. MATERIAL SUSTANCIAS 1 balanza granataria 1 tubo de ensaye 1 gotero 1 agitador de vidrio 2 vasos de precipitado de 250 ml pinzas para tubo de ensayo Matraz erlenmeyer de 125 ml. 1 soporte completo Aparato de Fisher para punto de fusión cubreobjeto Acido salicílico Anhídrido Acético Acido sulfúrico concentrado Agua destilada MEDIDAS DE SEGURIDAD: No olvides el uso de la bata de laboratorio y trabajar las sustancias con mucha precaución como lo indique el profesor, ya que son peligrosas. Lee cuidadosamente el procedimiento PROCEDIMIENTO: 1.Poner 1g de ácido salicílico en un tubo de ensaye, agregar 2 mL de anhídrido acético (PRECAUCIÓN), el anhídrido acético es un líquido muy inflamable y sumamente irritante, produce necrosis de los tejidos por lo que se deberá evitarse el contacto con la piel y ojos) Agregar 5 gotas de ácido sulfúrico concentrado teniendo cuidado de agregarlas lentamente y dejando que resbalen por un
  • 19.
    agitador de vidrio(éste ácido actúa como catalizador), agitar lentamente el tubo de ensaye para que se mezclen los reactivos. 2. Colocar por 5 minutos el tubo de ensaye en un vaso de precipitados de 100 mL que tenga agua a una temperatura cercana a ebullición, para que se complete la reacción. 3. Enfriar al chorro de agua y verter el contenido del tubo en un matraz Erlenmeyer de 125mL que contenga 50 mL de agua destilada. 4. Agitar el matraz para ayudar a la hidrólisis del exceso de anhídrido acético y enfriar, introduciendo el matraz en el hielo picado , raspar el sólido y filtrar. Se obtiene un rendimiento de 4g de ácido acetilsalicílico o aspirina. 5. Coloca una pequeña muestra de éste producto en un cubreobjetos, y colocarla en un aparato para medir su punto de fusión. 6. Tomar alguna parte de algún medicamento que contenga aspirina y medir su punto de fusión de la misma forma que se hizo con la aspirina obtenida del laboratorio. 7. Comparar los dos resultados. 8. Anota las observaciones en un cuadro. MANEJO DE DESECHOS: vierte los desechos en un frasco para que tu profesor proceda a su tratamiento. DATOS Y OBSERVACIONES. RESULTADOS ANALIZA Y CONCLUYE: 1. Escribe las fórmulas químicas de las sustancias involucradas en ésta reacción. 2. En caso de no haber agregado ácido sulfúrico a la reacción, ¿ésta se realiza? Fundamenta tu respuesta. 3. ¿Qué función cumple un catalizador como el ácido sulfúrico en ésta reacción? 4. ¿Cómo puedes afirmar que la sustancia obtenida es aspirina? APLICACIÓN Y EVALUACIÓN: -¿Qué importancia tiene el que los químicos puedan sintetizar medicamentos en los laboratorios farmacéuticos? -¿Qué semejanzas y qué diferencias hay entre las estructuras del ácido salicílico y la de la aspirina? -¿Qué beneficios acarrea el que se puedan sintetizar medicamentos?
  • 20.
    -¿Qué es másconveniente, obtener el ácido salicílico de la corteza del sauce o la obtención de la aspirina en el laboratorio? Llevar la discusión del experimento en forma grupal hacia: - Destacar las condiciones de la reacción (temperatura, catalizadores, Concentración de los reactivos, etc.). - Identificar los grupos funcionales en los reactivos y en los productos. - Analizar los cambios de grupos funcionales en las estructuras de los reactivos y productos. Elaborar un informe de la actividad experimental. Actividad 22.2 Se le proporcionara por equipo copias de diferentes estructuras moleculares de algunos medicamentos para que identifiquen los grupos funcionales presentes en estos (Anexo 84) ANEXO 84 Grupos funcionales en medicamentos Estos son los grupos funcionales que están presentes en las sustancias activas de los medicamentos: La finalidad será: • Identificar los grupos funcionales en moléculas de algunos principios activos presentes en medicamentos. • Reconocer los grupos funcionales como la parte reactiva de las moléculas orgánicas. Estos son los grupos funcionales que están presentes en las sustancias activas de los medicamentos. Grupos funcionales en medicamentos Cómo funciona: Al ingerir un medicamento, éste pasa del estómago a los intestinos, y luego al hígado antes de circular por el resto del cuerpo. Los grupos funcionales presentes
  • 21.
    en los medicamentosson los responsables de cómo actúan éstos sobre los órganos y las células. A continuación te mostramos los grupos funcionales que se encuentran presentes en algunos medicamentos, coloca sobre la línea el nombre que le corresponde. Nombre del medicamento Grupos Funcional es Información adicional Aspirina Carboxilo Ester Alivia dolores leves y es un antiinflamatorio eficaz. Actúa inhibiendo la producción de prostaglandinas, que son compuestos que intervienen en la transmisión de las señales de dolor al cerebro. El grupo éster del ácido acetilsalicilíco es el responsable de inhibir a las Carboxilo Ester
  • 22.
    enzimas COX-1 y COX-2,se transforman en un grupo alcohol. Paracetamol Amino Hidroxilo Algunas personas que son alérgicas a la aspirina o susceptibles al sangrado pueden tomar sin peligro otras medicinas de efecto similar, la más común de las cuales es el acetaminofen. Fenacetina Amida Éter Sustituto de la aspirina, derivado de la acetanilida la FDA de Estados Unidos prohibió su uso en 1983. Carboxilo El Ibuprofeno es quizá la sustancia mejor tolerada para uso prolongado incluso en pacientes con molestias gástricas. Naproxeno Carboxilo El naproxeno es bien tolerado y Hidroxilo Amino Eter Amida Carboxilo
  • 23.
    Éter absorbe completamente, tanto por víaoral, como rectal. Los antiácidos que contienen óxido de magnesio o hidróxido de aluminio reducen su velocidad de absorción. Ketofeno Carboxilo Cetona El Ketofeno se absorbe rápida y completamente luego de su administración oral, pero se distribuye irregularmente en el agua corporal. Efedrina ANFETAMINAS Amina Hidroxilo La primera se sintetizó en el laboratorio durante pruebas en las que se trataba de encontrar un reemplazante sintético de la efedrina, un brocodilatador contenido en las plantas del género Ephedra conocidas como “mahuang”. Carboxilo Eter Carboxilo Cetona Hidroxilo Amina Benceno
  • 24.
    Amina Las anfetaminas causan adiccióny su uso continuo genera una psicosis muy similar a la esquizofrenia paranoide. Amina Éter Ester La sustitución de los hidrógenos de los grupos -OH por el grupo CH3-C = O convierte a la morfina en heroína Un compuesto con mayor potencia como estimulante. EVALUACIÓN ( d ) Se clasifican como mezclas homogéneas y heterogéneas a) minerales b) vitaminas c) grasas d) medicamentos Hidroxilo Eter Hidroxilo Eter Amina Ester Amina Amina
  • 25.
    ( a )La sustancia que presenta la acción curativa en un medicamento es él: a) productos químicos b) principio activo c) excipiente c.b.p. d) mezclas inorgánicas A) La fórmula del medicamento Hierbal es: B) Carbocisteína es: Maleato de clorfeniramina 4 mg Almidón 45 mg Lactosa 30 mg Grenetina 8 mg Estearato de magnesio 10 mg Talco 3 mg_ 100 mg Bromuro de sodio una pizca Carbocisteina 3 gotas vehículo c.b.p. 100 ml ( c ) Comparando la fórmula de los medicamentos A y B selecciona la correcta: a) el medicamento B es confiable b) el medicamento A es subjetivo c) el medicamento A es seguro d) el medicamento B es preciso ( d ) La recomendación respecto a un tratamiento es: a) seguirlo hasta que haya mejoría b) cumplirlo y terminarlo en cualquier momento c) cumplirlo y no terminarlo d) cumplirlo y terminarlo por indicaciones del médico Evaluación Escribe sobre las líneas de las estructuras orgánicas de medicamentos el nombre del grupo funcional que le corresponda a cada una de ellas en la parte señalada. ASPIRINA PARACETAMOL Carboxilo Amino Ester Hidroxilo
  • 26.
    FENACETINA NAPROXENO ANFETAMINAS BIBLIOGRAFÍA Portal académico delCCH Área Ciencias Experimentales Asignatura de Química www.scribd.com/.../Cap-4-Grupos-funcionales-con-enlaces-simples www.educacionquimica.info Hill, J. W. y Kolb, D. K. (1999). Química para el nuevo milenio. México, Prentice Hall Hispanoamericana S. A. pp. 536-585 Mari Zulaika, L. (2000). Cómo actúan los medicamentos. España, Osasuna eta- virola. Consultada el 27 de noviembre de 2009 en http://www.hiru.com/es/osasuna/osasuna_05_09_01.html ANEXO 80 Carboxilo Éter Amino Carboxilo Amida Eter