CICLO DEL ÁCIDO CÍTRICO
GENERALIDADES
La energía capturada en los enlaces fosfoanhídrido del ATP, representa
el 7% de la energía potencial de la glucosa
Metabolismo anaeróbico es ineficaz energéticamente, deja sin
explotar cerca del 90% de la energía de carbohidratos
El ciclo del ácido cítrico es la ruta central y universal del metabolismo
aeróbico.
Este ciclo se encarga de oxidar la acetil CoA en CO2 con producción de
NADH y FADH ricos en energía
Ruta anaeróbica/fermentación
Ruta aeróbica
GENERALIDADES
El ciclo del ácido cítrico esta presente en todas las formas de vida
aeróbica.
En algunos organismos (plantas y microorganismos) está modificado
por una desviación, el ciclo del glioxilato.
El ciclo del glioxilato, permite usar acetato como fuente de energía y
carbono para biosíntesis
Permite que las plantas sinteticen carbohidratos a partir de acetato.
MITOCONDRIAS
 La energía necesaria para continuar oxidando el piruvato reside en las
mitocondrias
 Mitocondrias, compartimientos especializados del metabolismo
aeróbico.
Tiene doble membrana (externa e interna)
 La interna es plegada y limita la región interna llena de fluido (matriz)
MITOCONDRIAS
La matriz contiene las enzimas para el
metabolismo del piruvato
 el piruvato no puede pasar la membrana
interna; por ello, la transporta la piruvato
translocasa
 Esta enzima intercambia un piruvato por
un ión hidroxilo para balancear la carga en
ambos lados de membrana mitocondrial
MITOCONDRIAS
Matriz:
 Complejo piruvato deshidrogenasa
 Enzimas del ácido ciclo del ácido cítrico
 enzimas de la beta oxidación de ácidos
grasos
 enzimas de oxidación de aminoácidos
 Ribosomas, ADN
 ATP, ADP, Pi, iones (Ca, Mg y K)
 Contiene el aparto bioquímico para capturar
O2, transporte de e-, y síntesis de ATP
PIRUVATO OXIDADO A ACETIL COA Y CO2
 Ya en la matriz de la mitocondria, el piruvato sigue su camino hacia el
metabolismo aeróbico
 Previo a entrar al ciclo del ácido cítrico el piruvato debe sufrir 3
transformaciones:
i. Descarboxilación (pérdida de CO2)
ii. Oxidación del grupo ceto del C2 en un grupo carboxilo
iii. Activación por unión de la coenzima A a través de un enlace
tioéster
 Estos cambios son llevados a cabo por 3 enzimas, 5 coenzimas y cinco
reacciones … Complejo Piruvato deshidrogenasa
 El complejo piruvato deshidrogenasa
funciona como un puente entre la glucólisis
y el metabolismo aeróbico
 Se encarga convertir piruvato a acetil CoA
(acetato activado)
 El NADH producido cede un ión hidruro
a la cadena respiratoria, que transporta los
2 electrones al oxígeno
 Al final la transferencia de NADH al
oxígeno produce 2.5 ATP por par de e-
PIRUVATO OXIDADO A ACETIL COA Y CO2
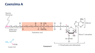
 Coenzimas (grupo prostético)
1. Tiamina pirofosfato (TPP)
2. Flavina adenina dinucleótido
(FAD)
3. Coenzima A (también llamada
CoASH, para enfatizar el rol del
grupo tiol –SH)
4. Nicotinamida adenina
dinucleótido (NAD)
5. lipoamida
La piruvato deshidrogenasa requiere 3 enzimas y 5 coenzimas
 4 vitaminas en nutrición humana
son vitales componentes de este
sistema:
 Tiamina (en TPP)
 riboflavina (en FAD)
 niacina (en NAD)
 pantoteato o ácido pantoténico
(en CoA)
Coenzima A
 Enzimas
1. Piruvato deshidrogenasa
2. Dihidrolipoil transacetilasa
3. Dihidrolipoil deshidrogenasa
 Luego de oxidar el piruvato a
acetil CoA, el complejo enzimático
debe regresar a su estado original
para oxidar más piruvato
La piruvato deshidrogenasa requiere 3 enzimas y 5 coenzimas
 La CoA tiene función importante
en trasportar grupos acetilo o
grupos acilo, los cuales se activan
al unirse con grupo –SH a través
de un enlace tioéster
El enlae tioéster es de alta energía
y parte de la energía liberada en la
oxidación del piruvato, se
almacena en este enlace
E1, cataliza decarboxilación
del piruvato
E2, Cataliza transferencia de
grupo acetil a la CoA,
formando acetil CoA
E3, cataliza regeneración del
disulfito. Transferencia de
electrones, primero a FAD y
luego a NAD+
La piruvato deshidrogenasa requiere 3 enzimas y 5 coenzimas
 Luego de oxidar el piruvato a acetil CoA, el complejo enzimático debe
regresar a su estado original para oxidar más piruvato
 Esto se logra a través de reacciones de oxidación y reducción
 Donde intervienen NAD+ y FAD (ambos tienen rol de transpote de e-)
 NAD+, en su forma reducida tiene dos e- y un hidrógeno más: NADH
 Esto se logra con un ión hidruro (H-) y un protón (H+)
 FAD, ambos hidrógenos se transfieren al cofactor FAD para formar
FADH2
El complejo piruvato deshidrogenasa regresa a
estado inicial
RESUMEN PREPARACIÓN DEL PIRUVATO(ANTES DE INICIAR EL CICLO DEL ACIDO
CÍTRICO)
Llega el piruvato precursor, materia prima (llega con 3C)
Debe someterse a una serie de reacciones (objetivo, preparación de una molécula con enlaces que son
capaces de generar cofactores proveedores de energía)
La preparación puede resumirse en tres etapas
*Descarboxilación (pérdica de CO2)
*Oxidación y formación ceto o acetil (Molecula 2 C)
*Activación (Generara el enlace con alto valor energético o enlace tipo tio ester)
Tio, Tiol = Gruposn SH (azufrados)
Se van a necesitar de 3 enzimas
Se van a necesitar 5 Coenzimas, grupos prostéticos
Ocurren 5 reacciones
RESULTADO ES ACETIL COENZIMA A (solo en esta presentación puede
ingresar al CAC
 Grupo acetilo energético
(Acetil CoA) y energía reductora
(NADH)
Piruvato oxidado a Acetil Coa y CO2
 Reacción neta
 Piruvato en forma activada para
entra al ciclo del ácido cítrico
CICLO DEL ÁCIDO CÍTRICO
 También llamado ciclo de Krebs, quien postuló que el metabolismo
aeróbico estaca formado por un ciclo de 8 reacciones
 Es un ciclo catalítico, con dos propósitos:
1. Degradación de la unidad C2 de la acetil CoA en CO2, generando más
energía que se captura en ATP o GTP, y una energía reductora en
forma de NADH y FADH2
2. Suministrar precursores para biosíntesis de aminoácidos, porfirinas,
nucleótidos y ácidos nucleicos
Ciclo del ácido cítrico
 Cuando es necesario los intermediarios se activan con CoA,
mediante enlace tioéster
 Todos los intermediarios tiene 2 o 3 grupos carboxilo en forma de
iones carboxilato
 Consta de 8 pasos
Ciclo del ácido cítrico
Membrana mitocondrial externa
Membrana mitocondrial intern
Espacio Intermembrana
MATRIZ
C.
KREBS
Succinato
Fumarato
 Es una condensación de Acetil
CoA con oxaloacetato para formar
citrato
 catalizada por citrato sintasa
 El carbono metil del grupo Acetil
se une al grupo carbonilo (C2) del
oxaloacetato
 tipo de reacción: hidrólisis,
ruptura no hidrolítica
Número de C en el citrato=
Paso 1. Formación de citrato
 Existe la formación de un
intermediario ácido tricarboxílico
cis-aconitato
 Catalizada por aconitasa
 tipo de reacción: ruptura no
hidrolítica
 Grupo prostético: Fe-S (centro de
la aconitasa)
 El alcohol terciario del citrato no
se puede oxidar sin ruptura del
enlace C-C
Paso 2. formación de isocitrato vía cis-aconitato
 Se oxida el isocitrato que resulta
del rearreglo del citrato
 Enzima: isocitrato deshidrogenasa
Paso 3. Oxidación de isocitrato a α-cetoglutarato y CO2
NAD+ funciona como aceptor de e-
 Redox y ruptura no hidrolítica
 El complejo α-cetoglutarato
deshidrogenasa tiene la misma
química que la piruvato
deshidrogenasa (5 pasos, 3 enzimas,
5 cofactores)
 Al final se logra captura la energía
de la descarboxilación de α-
cetoglutarato en el compuesto de
alta energía succinil CoA
 NAD+ es aceptor de e-
CoA portador de grupo succinil
Paso 4. Oxidación de α-cetoglutarato a succinil CoA y CO2
 La energía de la oxidación se conserva en el
enlace tioéster de la succinil CoA
 Redox y ruptura no hidrolítica
 Succinil CoA y acetil CoA tienen
enlace tioéster con energía libre
estándar fuertemente negativa
(~36 kJ/mol)
 La energía liberada por la ruptura
del enlace tioéster se utiliza para
sintetizar un enlace fosfoanhídrido
en ATP o GTP (~2.9 kJ/mol)
 Se produce ATP a nivel de
sustrato
 Tipo reacción: transferencia de
grupo fosforilo
Paso 5. Conversión de Succinil-CoA a Succinato
 Enzima: succinato
deshidrogenasa, tiene un grupo
prostético FAD (Fe-S, en el centro)
 Se forma doble enlace por
oxidación
 Malonato (tóxico para
organismos): inhibidor competitivo
de la succinato deshidogrenasa.
Bloque el ciclo del ácido cítrico
 Tipo reacción: redox
Paso 6. Oxidación de Succinato a fumarato
 La enzima fumarato hidratasa
(fumaras) cataliza la adición
estereoespecífica de agua al doble
enlace del fumarato
 Para formar L-estereoisómero de
malato
 Ruptura no hidrolítica
Paso 7. Hidratación de fumarato a malato
 El oxaloacetato se produce por
oxidación del grupo OH- de L-
malato
 La enzima malato deshidrogenasa
está unida con la coenzima NAD+
Paso 8. Oxidación de malato a oxaloacetato
Productos del ciclo del ácido cítrico, por vuelta
FADH2
PROCEDENCIA DE LA ACETIL-COA
ACETIL-CoA
Aminoácidos
PIRUVATO
b-Oxidación de ácidos
grasos
Cuerpos cetónicos
Hidratos de Carbono
ACETIL- CoA
NADH
DESTINO DE LOS PRODUCTOS DE LA DESCARBOXILACION OXIDATIVA DE PIRUVATO
CADENA RESPIRATORIA
3 ATP
CICLO DE
KREBS ATP
BALANCE ENERGETICO DEL CICLO DE KREBS
3 NADH 3 X 3 9 ATP
1 FADH2 1 X 2 2 ATP
1 GTP 1 ATP
12 ATP
DESCARBOXILACION OXIDATIVA DE PIRUVATO
1 NADH 1 X 3 3 ATP
1 MOLECULA DE GLUCOSA PRODUCE 2 MOLECULAS DE PIRUVATO (15 + 15 = 30
ATP) y 2 NADH por sistema lanzadera (2 o 3 ATP c/u) = 4 ó 6 ATP
TOTAL: 30 ATP + 6 (4) ATP = 36 ó 38 ATP
15 X 2 =30ATP Neto CAC o KREBS
 Las vías metabólicas del ciclo del ácido
cítrico están controladas por enzimas
alostéricas en cuatro posiciones
1. Complejo piruvato deshidrogenasa
2. citrato sintasa
3. isocitrato deshidrogenasa
4. complejo α-cetoglutarato
deshidrogenasa
 Moduladores positivos
 Moduladores negativos
Regulación de la vía metabólica
Regulación de la vía metabólica
 Es anfibólico (catabolismo y anabolismo)
 Fuente importante de precursores
biosintéticos
 Sus esqueletos carbonados son
utilizados como punto de partida de
síntesis de biomoléculas
 … aminoácidos, nucleótidos y porfirinas
Papel anabólico
 Aminoácidos,
nucleótidos y porfirinas
Papel anabólico

9. Ciclo del ácido cítrico_.pdf

  • 1.
  • 2.
    GENERALIDADES La energía capturadaen los enlaces fosfoanhídrido del ATP, representa el 7% de la energía potencial de la glucosa Metabolismo anaeróbico es ineficaz energéticamente, deja sin explotar cerca del 90% de la energía de carbohidratos El ciclo del ácido cítrico es la ruta central y universal del metabolismo aeróbico. Este ciclo se encarga de oxidar la acetil CoA en CO2 con producción de NADH y FADH ricos en energía Ruta anaeróbica/fermentación Ruta aeróbica
  • 3.
    GENERALIDADES El ciclo delácido cítrico esta presente en todas las formas de vida aeróbica. En algunos organismos (plantas y microorganismos) está modificado por una desviación, el ciclo del glioxilato. El ciclo del glioxilato, permite usar acetato como fuente de energía y carbono para biosíntesis Permite que las plantas sinteticen carbohidratos a partir de acetato.
  • 4.
    MITOCONDRIAS  La energíanecesaria para continuar oxidando el piruvato reside en las mitocondrias  Mitocondrias, compartimientos especializados del metabolismo aeróbico. Tiene doble membrana (externa e interna)  La interna es plegada y limita la región interna llena de fluido (matriz)
  • 5.
    MITOCONDRIAS La matriz contienelas enzimas para el metabolismo del piruvato  el piruvato no puede pasar la membrana interna; por ello, la transporta la piruvato translocasa  Esta enzima intercambia un piruvato por un ión hidroxilo para balancear la carga en ambos lados de membrana mitocondrial
  • 6.
    MITOCONDRIAS Matriz:  Complejo piruvatodeshidrogenasa  Enzimas del ácido ciclo del ácido cítrico  enzimas de la beta oxidación de ácidos grasos  enzimas de oxidación de aminoácidos  Ribosomas, ADN  ATP, ADP, Pi, iones (Ca, Mg y K)  Contiene el aparto bioquímico para capturar O2, transporte de e-, y síntesis de ATP
  • 7.
    PIRUVATO OXIDADO AACETIL COA Y CO2  Ya en la matriz de la mitocondria, el piruvato sigue su camino hacia el metabolismo aeróbico  Previo a entrar al ciclo del ácido cítrico el piruvato debe sufrir 3 transformaciones: i. Descarboxilación (pérdida de CO2) ii. Oxidación del grupo ceto del C2 en un grupo carboxilo iii. Activación por unión de la coenzima A a través de un enlace tioéster  Estos cambios son llevados a cabo por 3 enzimas, 5 coenzimas y cinco reacciones … Complejo Piruvato deshidrogenasa
  • 8.
     El complejopiruvato deshidrogenasa funciona como un puente entre la glucólisis y el metabolismo aeróbico  Se encarga convertir piruvato a acetil CoA (acetato activado)  El NADH producido cede un ión hidruro a la cadena respiratoria, que transporta los 2 electrones al oxígeno  Al final la transferencia de NADH al oxígeno produce 2.5 ATP por par de e- PIRUVATO OXIDADO A ACETIL COA Y CO2
  • 9.
     Coenzimas (grupoprostético) 1. Tiamina pirofosfato (TPP) 2. Flavina adenina dinucleótido (FAD) 3. Coenzima A (también llamada CoASH, para enfatizar el rol del grupo tiol –SH) 4. Nicotinamida adenina dinucleótido (NAD) 5. lipoamida La piruvato deshidrogenasa requiere 3 enzimas y 5 coenzimas  4 vitaminas en nutrición humana son vitales componentes de este sistema:  Tiamina (en TPP)  riboflavina (en FAD)  niacina (en NAD)  pantoteato o ácido pantoténico (en CoA)
  • 10.
  • 11.
     Enzimas 1. Piruvatodeshidrogenasa 2. Dihidrolipoil transacetilasa 3. Dihidrolipoil deshidrogenasa  Luego de oxidar el piruvato a acetil CoA, el complejo enzimático debe regresar a su estado original para oxidar más piruvato La piruvato deshidrogenasa requiere 3 enzimas y 5 coenzimas  La CoA tiene función importante en trasportar grupos acetilo o grupos acilo, los cuales se activan al unirse con grupo –SH a través de un enlace tioéster El enlae tioéster es de alta energía y parte de la energía liberada en la oxidación del piruvato, se almacena en este enlace
  • 12.
    E1, cataliza decarboxilación delpiruvato E2, Cataliza transferencia de grupo acetil a la CoA, formando acetil CoA E3, cataliza regeneración del disulfito. Transferencia de electrones, primero a FAD y luego a NAD+ La piruvato deshidrogenasa requiere 3 enzimas y 5 coenzimas
  • 13.
     Luego deoxidar el piruvato a acetil CoA, el complejo enzimático debe regresar a su estado original para oxidar más piruvato  Esto se logra a través de reacciones de oxidación y reducción  Donde intervienen NAD+ y FAD (ambos tienen rol de transpote de e-)  NAD+, en su forma reducida tiene dos e- y un hidrógeno más: NADH  Esto se logra con un ión hidruro (H-) y un protón (H+)  FAD, ambos hidrógenos se transfieren al cofactor FAD para formar FADH2 El complejo piruvato deshidrogenasa regresa a estado inicial
  • 14.
    RESUMEN PREPARACIÓN DELPIRUVATO(ANTES DE INICIAR EL CICLO DEL ACIDO CÍTRICO) Llega el piruvato precursor, materia prima (llega con 3C) Debe someterse a una serie de reacciones (objetivo, preparación de una molécula con enlaces que son capaces de generar cofactores proveedores de energía) La preparación puede resumirse en tres etapas *Descarboxilación (pérdica de CO2) *Oxidación y formación ceto o acetil (Molecula 2 C) *Activación (Generara el enlace con alto valor energético o enlace tipo tio ester) Tio, Tiol = Gruposn SH (azufrados) Se van a necesitar de 3 enzimas Se van a necesitar 5 Coenzimas, grupos prostéticos Ocurren 5 reacciones RESULTADO ES ACETIL COENZIMA A (solo en esta presentación puede ingresar al CAC
  • 15.
     Grupo acetiloenergético (Acetil CoA) y energía reductora (NADH) Piruvato oxidado a Acetil Coa y CO2  Reacción neta  Piruvato en forma activada para entra al ciclo del ácido cítrico
  • 16.
  • 17.
     También llamadociclo de Krebs, quien postuló que el metabolismo aeróbico estaca formado por un ciclo de 8 reacciones  Es un ciclo catalítico, con dos propósitos: 1. Degradación de la unidad C2 de la acetil CoA en CO2, generando más energía que se captura en ATP o GTP, y una energía reductora en forma de NADH y FADH2 2. Suministrar precursores para biosíntesis de aminoácidos, porfirinas, nucleótidos y ácidos nucleicos Ciclo del ácido cítrico
  • 18.
     Cuando esnecesario los intermediarios se activan con CoA, mediante enlace tioéster  Todos los intermediarios tiene 2 o 3 grupos carboxilo en forma de iones carboxilato  Consta de 8 pasos Ciclo del ácido cítrico
  • 19.
    Membrana mitocondrial externa Membranamitocondrial intern Espacio Intermembrana MATRIZ C. KREBS Succinato Fumarato
  • 20.
     Es unacondensación de Acetil CoA con oxaloacetato para formar citrato  catalizada por citrato sintasa  El carbono metil del grupo Acetil se une al grupo carbonilo (C2) del oxaloacetato  tipo de reacción: hidrólisis, ruptura no hidrolítica Número de C en el citrato= Paso 1. Formación de citrato
  • 21.
     Existe laformación de un intermediario ácido tricarboxílico cis-aconitato  Catalizada por aconitasa  tipo de reacción: ruptura no hidrolítica  Grupo prostético: Fe-S (centro de la aconitasa)  El alcohol terciario del citrato no se puede oxidar sin ruptura del enlace C-C Paso 2. formación de isocitrato vía cis-aconitato
  • 22.
     Se oxidael isocitrato que resulta del rearreglo del citrato  Enzima: isocitrato deshidrogenasa Paso 3. Oxidación de isocitrato a α-cetoglutarato y CO2 NAD+ funciona como aceptor de e-  Redox y ruptura no hidrolítica
  • 23.
     El complejoα-cetoglutarato deshidrogenasa tiene la misma química que la piruvato deshidrogenasa (5 pasos, 3 enzimas, 5 cofactores)  Al final se logra captura la energía de la descarboxilación de α- cetoglutarato en el compuesto de alta energía succinil CoA  NAD+ es aceptor de e- CoA portador de grupo succinil Paso 4. Oxidación de α-cetoglutarato a succinil CoA y CO2  La energía de la oxidación se conserva en el enlace tioéster de la succinil CoA  Redox y ruptura no hidrolítica
  • 24.
     Succinil CoAy acetil CoA tienen enlace tioéster con energía libre estándar fuertemente negativa (~36 kJ/mol)  La energía liberada por la ruptura del enlace tioéster se utiliza para sintetizar un enlace fosfoanhídrido en ATP o GTP (~2.9 kJ/mol)  Se produce ATP a nivel de sustrato  Tipo reacción: transferencia de grupo fosforilo Paso 5. Conversión de Succinil-CoA a Succinato
  • 25.
     Enzima: succinato deshidrogenasa,tiene un grupo prostético FAD (Fe-S, en el centro)  Se forma doble enlace por oxidación  Malonato (tóxico para organismos): inhibidor competitivo de la succinato deshidogrenasa. Bloque el ciclo del ácido cítrico  Tipo reacción: redox Paso 6. Oxidación de Succinato a fumarato
  • 26.
     La enzimafumarato hidratasa (fumaras) cataliza la adición estereoespecífica de agua al doble enlace del fumarato  Para formar L-estereoisómero de malato  Ruptura no hidrolítica Paso 7. Hidratación de fumarato a malato
  • 27.
     El oxaloacetatose produce por oxidación del grupo OH- de L- malato  La enzima malato deshidrogenasa está unida con la coenzima NAD+ Paso 8. Oxidación de malato a oxaloacetato
  • 28.
    Productos del ciclodel ácido cítrico, por vuelta
  • 30.
  • 31.
    PROCEDENCIA DE LAACETIL-COA ACETIL-CoA Aminoácidos PIRUVATO b-Oxidación de ácidos grasos Cuerpos cetónicos Hidratos de Carbono
  • 32.
    ACETIL- CoA NADH DESTINO DELOS PRODUCTOS DE LA DESCARBOXILACION OXIDATIVA DE PIRUVATO CADENA RESPIRATORIA 3 ATP CICLO DE KREBS ATP
  • 33.
    BALANCE ENERGETICO DELCICLO DE KREBS 3 NADH 3 X 3 9 ATP 1 FADH2 1 X 2 2 ATP 1 GTP 1 ATP 12 ATP DESCARBOXILACION OXIDATIVA DE PIRUVATO 1 NADH 1 X 3 3 ATP 1 MOLECULA DE GLUCOSA PRODUCE 2 MOLECULAS DE PIRUVATO (15 + 15 = 30 ATP) y 2 NADH por sistema lanzadera (2 o 3 ATP c/u) = 4 ó 6 ATP TOTAL: 30 ATP + 6 (4) ATP = 36 ó 38 ATP 15 X 2 =30ATP Neto CAC o KREBS
  • 34.
     Las víasmetabólicas del ciclo del ácido cítrico están controladas por enzimas alostéricas en cuatro posiciones 1. Complejo piruvato deshidrogenasa 2. citrato sintasa 3. isocitrato deshidrogenasa 4. complejo α-cetoglutarato deshidrogenasa  Moduladores positivos  Moduladores negativos Regulación de la vía metabólica
  • 35.
    Regulación de lavía metabólica
  • 36.
     Es anfibólico(catabolismo y anabolismo)  Fuente importante de precursores biosintéticos  Sus esqueletos carbonados son utilizados como punto de partida de síntesis de biomoléculas  … aminoácidos, nucleótidos y porfirinas Papel anabólico
  • 37.
     Aminoácidos, nucleótidos yporfirinas Papel anabólico