GUÍA PARA EL MANEJO
      DEL ASMA


 Medidas estandarizadas esenciales



              Segunda edición
                    2005




  Unión Internacional Contra la Tuberculosis
      y las Enfermedades Respiratorias
GUÍA PARA EL MANEJO
      DEL ASMA


    Medidas estandarizadas esenciales


               Segunda edición
                    2005




        Nadia Aït-Khaled, Donald A Enarson




   Unión Internacional Contra la Tuberculosis
       y las Enfermedades Respiratorias
68 Boulevard Saint-Michel, 75006 Paris, Francia
Editor:
Unión Internacional Contra la Tuberculosis y las Enfermedades Respiratorias (La Unión)
68 Boulevard Saint-Michel, 75006 Paris, Francia


Autores:
Nadia Aït-Khaled, Donald A. Enarson




Título original: Management of asthma: a guide to the essentials of good clinical practice

© Unión Internacional Contra la Tuberculosis y las Enfermedades Respiratorias (La Unión),
2005

Publicatión: Agosto de 2007

Reservados todos los derechos.

No es permitido reproducir ninguna parte de esa publicación sin obtener la permisión de los
autores y de los editores.

ISBN 2-914365-26-8


                                             II
Prólogo

Durante la última década se han realizado avances considerables en el manejo
del asma. La información en esta materia se ha difundido ampliamente a escala
mundial gracias al informe publicado en 1995 - “Global Strategy for Asthma
Management and Prevention”.1 En 1996, la Unión Contra la Tuberculosis y
las Enfermedades Respiratorias (La Unión) publicó una guía sobre el manejo
del asma en adultos en países con escasos recursos económicos,2 basada en los
conocimientos modernos sobre el manejo del asma, pero adaptada al contexto de
los países menos industrializados. Tras la publicación de esta guía, se llevaron
a cabo estudios destinados a evaluar la factibilidad y la eficacia de las medidas
recomendadas. Dichos estudios se realizaron en áreas piloto de varios países con
ingresos medios y bajos. Sus resultados fueron presentados en un taller sobre asma,
organizado por la División Asma de La Unión y desarrollado en París en diciembre
de 2000,3 que reunió a los médicos que habían realizado los estudios de evaluación
y a varios expertos internacionales. Las principales conclusiones del taller fueron
las siguientes: las medidas técnicas establecidas en la guía pueden ser aplicadas
por los profesionales de salud, son eficaces y conducen a una disminución de la
gravedad del asma en la mayoría de los casos, así como a la casi total desaparición
de las visitas al servicio de urgencias y de las hospitalizaciones. Estas medidas son
costo-efectivas ya que esa necesidad menor de recurrir a los servicios de urgencia se
traduce en una importante reducción de los costos de salud. Pero el precio todavía
elevado de los corticoides inhalados constituía, en varios países, un obstáculo
principal para el acceso de los pacientes al tratamiento.4 Este obstáculo puede ser
superado: una encuesta realizada por La Unión mostró que, para los medicamentos
esenciales contra el asma recomendados en esta Guía, hoy existen medicamentos
genéricos de buena calidad a precios mucho más bajos que los fármacos de marca.
Su disponibilidad puede volver accesible el tratamiento esencial del asma a todos
los enfermos del mundo entero.

Las principales recomendaciones del taller de La Unión sobre el asma3 constituyen
la base de esta segunda edición de la guía: extender las recomendaciones técnicas
al manejo del asma en niños de 5 años o más, tener en cuenta los resultados de la
evaluación de la primera guía para mejorar la segunda edición, cambiar el título de
la guía, puesto que las medidas técnicas propuestas pueden considerarse medidas
esenciales de salud pública para el manejo de los asmáticos en cualquier país.

Como en su primera edición, esta guía propone que el modelo adoptado para el
manejo de la tuberculosis en los servicios de salud sea aplicado en la implementación
del “paquete de medidas técnicas” para el manejo del asma. Como base organizativa


                                         III
para el manejo de pacientes con asma, se han elegido las estructuras de salud de
primer nivel de referencia, y el cuidado de los pacientes es dispensado en el contexto
de los servicios generales de salud.

Las medidas de manejo se dirigen a adultos y a niños de 5 años o más. A la vista de
las insuficiencias detectadas en la primera edición, en ésta se ha mejorado la parte
concerniente al diagnóstico del asma y se ha simplificado la tarjeta de tratamiento
y el registro del asma.

Los médicos implicados en la elaboración y/o la evaluación de la primera
edición de la guía, que han sido consultados para esta segunda edición son los
siguientes: Prof. N Behbehani, Kuwait; Dr. LM Camara, Guinea; Prof.ª R Chapela,
México; Prof.ª A El Sony, Sudán; Prof. M Gninafon, Benin; Prof. B Keita, Malí;
Prof.ª S Mahi, Argelia; Prof.ª M Yousser, Siria; Dr. JA Odhiambo, Kenia,
Prof. O Tidjani, Togo; Prof.ª O Sow, Guinea; Dra. H Wembanyama Kasandji,
República Democrática del Congo; Dr. N White, Suráfrica; Prof. N Zidouni,
Argelia. Esta guía se ha beneficiado del asesoramiento de expertos de la «Sección
de Enfermedades Respiratorias de la Unión»: Prof.ª Margaret Becklake, Canadá;
Prof. Peter Burney, Inglaterra; Prof.ª Moira Chan-Yeung, Canadá. El grupo de
expertos se ha ampliado con la participación de otros expertos internacionales:
Prof. Jean Bousquet, Francia; Prof. Tim Clark, Inglaterra; Prof.ª Elif Dagli,
Turquía. La revisión de la guía ha corrido a cargo de la Prof.ª Nadia Aït-Khaled y el
Prof. Donald A Enarson.

Esta edición de la guía está dedicada a la memoria de la Prof.ª Ann Woolcock, que
consagró toda su vida a identificar las medidas de manejo más eficaces para aliviar
los sufrimientos de los pacientes con asma del mundo entero. Esperamos que esta
guía contribuya a ese fin.

Referencias
1.   Global strategy for asthma management and prevention. NHLBI/WHO workshop report. Bethesda, MD:
     National Institutes of Health. National Heart, Lung, and Blood Institute, Publication 95-3659, January
     1995.
2.   Aït-Khaled N, Enarson D. Management of asthma in adults. A guide for low-income countries. Paris, France:
     IUATLD, 1996.
3.   Aït-Khaled N, Enarson D A, Behbehani N, Chan Yeung M, Irisen E. The Asthma Workshop. Report of a
     workshop organised by the International Union Against Tuberculosis and Lung Disease, Paris, 15-16 December
     2000. Int J Tuberc Lung Dis 2001; 5: 973-977.
4.   Aït-Khaled N, Auregan G, Bencharif N, Camara L M, Dagli E, Djankine K, Keita B, Ky C, Mahi S, Ngoran
     K, Pham DL, Sow O, Yousser M, Zidouni N, Enarson D. Affordability of inhaled corticosteroids as a potential
     barrier to treatment of asthma in some developing countries. Int J Tuberc Lung Dis 2000; 4: 268-271.




                                                     IV
Índice

	    I	 Introducción ..................................................................................1
	     	 1. ¿Por qué una guía para el manejo del asma? ..............................1
        2. Intención de la guía .....................................................................3
        3. Objetivos de la guía ....................................................................4

	 II	 ¿Qué	es	el	asma? ............................................................................5
         1.   Definiciones del asma .................................................................6
         2.   Factores de riesgo de desarrollo del asma...................................7
         3.   Factores desencadenantes de las crisis de asma ..........................8
         4.   Aspectos clínicos ........................................................................9

	 III	 Cómo	diagnosticar	el	asma	y	evaluar	su	gravedad ...................12
         1. Establecimiento del diagnóstico de asma .................................12
         2. Determinación de la gravedad del asma ...................................17

	 IV	 ¿Cuál	es	el	tratamiento	esencial	a	largo	plazo	para	el	asma?.. 21
         1.   Objetivos del tratamiento ..........................................................21
         2.   Medidas preventivas .................................................................22
         3.   Fármacos esenciales para el tratamiento del asma ....................22
         4.   Inicio del tratamiento ................................................................25
         5.   Tratamiento de mantenimiento .................................................27
         6.   Ajuste del tratamiento durante el seguimiento..........................30
         7.   Cuándo prescribir ciclos cortos de corticoides orales ...............31
         8.   Algunos aspectos específicos en el manejo del asma ..............32
         9.   ¿Qué pacientes hay que transferir a un nivel más
              especializado? ...........................................................................33

	 V	 Cómo	manejar	las	crisis	de	asma ...............................................34
         1. ¿Cuál es el grado de gravedad de una crisis de asma? ..............34
         2. Cómo manejar una crisis de asma .............................................37
         3. Tratamiento de las crisis a domicilio ........................................43

                                                   V
VI	 Cómo	organizar	los	cuidados	de	los	pacientes	asmáticos ........45
          1. Educación en salud: ¿Qué debe saber el paciente? ...................45
          2. Implementación: ¿Cómo encaja el cuidado del asma
             en los servicios de salud? ..........................................................52

	 VII		 Proporcionar	un	servicio	de	calidad ......................................... 57
          1. ¿Por qué hay que estandarizar los cuidados? .......................... 57
          2. ¿Cómo se puede garantizar la calidad de los
             servicios de cuidados? Evaluación de las actividades ............. 57
          3. ¿Qué elementos hay que vigilar? ............................................ 58
          4. Suministros: cómo asegurarlos a escala nacional .................... 59
          5. Formación: cómo organizarla .................................................. 60
          6. Adaptación a la situación local y puesta en marcha
             de la intervención ..................................................................... 61
          7. Investigación: ¿Cuál es su papel? ............................................ 61

Apéndices.................................................................................................. 63

Documentos .............................................................................................. 75




                                                     VI
I  Introducción

1.  ¿Por qué una guía para el manejo del asma?
1.1  El asma es un problema frecuente
Las encuestas internacionales recientes sobre asma y alergia en los niños,
«International Study on Asthma and Allergy in Childhood» (ISAAC; Estudio
Internacional sobre Asma y Alergia en Niños), han demostrado que el asma
es una enfermedad frecuente en la mayoría de los países del mundo. La
prevalencia declarada de los síntomas del asma en niños de 3 a 4 años
varía de un país a otro: es más elevada en Nueva Zelanda (25%) y en los
países más industrializados, pero también es alta en ciertas ciudades de África
(0%) y de América Latina (3%). El asma afecta de manera prioritaria a
niños y a adultos menores de 45 años, pero puede sobrevenir a cualquier
edad. En los niños, la distribución por sexos es, por término medio, de dos
niños por cada niña, mientras que en los adultos la prevalencia es mayor en
mujeres que en hombres. En países con ingresos medios o bajos, se espera
un incremento de la morbilidad asociada al asma debido a la juventud de la
población, al crecimiento demográfico, a la disminución de la prevalencia
de las enfermedades infecciosas, al incremento de la urbanización y de la
industrialización, y al cambio progresivo de los estilos de vida.

1.2  El asma mata
La falta de información en los países con escasos recursos económicos hace
difícil la estimación de la mortalidad por asma. En los países industrializados,
la tasa de mortalidad gira en torno a  por cada 00.000 habitantes al año,
pero puede alcanzar hasta 9 personas de cada 00.000. Pese a un mejor
conocimiento de la enfermedad y a la disponibilidad de tratamientos más
eficaces, se ha constatado un aumento del número de defunciones evitables
durante los últimos treinta años. Esta mortalidad se registra sobre todo entre
los jóvenes. En los países industrializados, es mucho más elevada entre la
población más desfavorecida. La causa más evidente de la mortalidad por
asma es un manejo a largo plazo incorrecto o insuficiente de los casos de
asma.
Asma en el mundo: 
                Más de 200 millones de casos
                Más de 100.000 muertes al año

1.3  El tratamiento suele ser inadecuado
Cuando los cuidados dispensados a los pacientes asmáticos no se proporcionan
de una forma correcta, aparecen efectos negativos: se multiplican las consultas
no programadas al médico y a los servicios de urgencias. En consecuencia, las
estancias prolongadas en el hospital se convierten en regla general y la mala
terapéutica contribuye al riesgo de muerte entre los pacientes asmáticos.

1.4  El costo de la enfermedad es muy elevado
El costo de la enfermedad comprende no sólo los costos directos de los
medicamentos y del recurso a los servicios de salud, sino también los costos
indirectos ligados a la pérdida de productividad y a los gastos inevitables
para el enfermo y su familia, que suelen ser muy importantes pero difíciles
de determinar. Los costos directos derivados del recurso a los servicios
de urgencias y de las hospitalizaciones, así como los costos indirectos e
intangibles, son más elevados cuando el manejo a largo plazo de los pacientes
asmáticos no está bien organizado. El costo medio anual de los medicamentos
varía considerablemente de un país a otro. En 2002, el costo anual mínimo de
los medicamentos necesarios para tratar un caso de asma persistente moderada
recurriendo al régimen de tratamiento estandarizado recomendado por la
guía de la Unión, variaba según los países: 54 $US en Argelia, 288 $US en
Sudán, 650 $US en Kuwait. El elevado precio de los medicamentos contra el
asma es uno de los principales obstáculos para la organización del manejo a
largo plazo de los pacientes asmáticos no sólo en países con escasos recursos
económicos, sino en todos los países, especialmente en el caso de pacientes
que pertenecen a los grupos de población más desfavorecidos. La mayoría de
estos pacientes ganan sueldos insuficientes para adquirir los medicamentos
con regularidad y en muchos países sus gastos de salud no están cubiertos
(o lo están apenas) por un seguro de salud. En 2002, sin embargo, el uso de
fármacos genéricos permitió tratar un caso de asma persistente moderada por
unos 36 $US.2 El acceso de los pacientes a los medicamentos para el asma
puede conducir a una evidente disminución de la carga de la enfermedad.
Y así, el programa de manejo del asma implementado en Finlandia en 990
                                      2
mostró, a escala nacional, una importante disminución progresiva de la
mortalidad y del número de días de hospitalización por asma, acompañada de
un incremento del número de pacientes que, gracias al programa, han tenido
acceso a un tratamiento correcto durante la última década.
La necesidad de desarrollar una propuesta para la implementación de un
manejo estandarizado del asma a un costo relativamente razonable y accesible
para la mayoría de los enfermos del mundo está justificada por la frecuencia,
la gravedad potencial y el costo de esta enfermedad. La primera etapa de la
estandarización consiste en la elaboración de una guía que resuma los puntos
clave del manejo del asma.

2.  Intención de la Guía
El propósito de esta guía es proponer un método de manejo de los pacientes
asmáticos aplicable a todos los países, incluidos los de escasos recursos
económicos, e introducir un tratamiento estandarizado para mejorar el cuidado
de los pacientes y reducir los costos de dicho cuidado.

Esta guía no es un libro de medicina. Simplemente, propone las medidas
esenciales para el manejo de la mayoría de los pacientes asmáticos. Otras
medidas que puedan revelarse necesarias para el manejo de formas específicas
de asma y de la minoría de pacientes cuya asma está mal controlada
por el tratamiento recomendado, son de la incumbencia de los servicios
especializados de referencia y no aparecen descritas en esta guía.




                                     3
3. Objetivos de la guía
     3.1	 Obtener	un	diagnóstico	correcto	y	una	clasificación	de	
          la gravedad del asma durante la evaluación inicial de los 
          pacientes.
     3.2	 Identificar	 la	 lista	 de	 medicamentos	 esenciales	 para	 el	
          manejo del asma.
     3.3  Introducir un plan de tratamiento para el manejo de los 
          pacientes con asma.
     3.4	 Adoptar	un	método	para	la	clasificación	de	las	crisis	de	
          asma.
     3.5   Introducir un método adecuado para el manejo de las 
           crisis.
     3.6	 Definir	el	contenido,	método	y	modalidad	de	la	educación	
          en salud.
     3.7  Señalar  las  funciones  de  los  diferentes  niveles  de  los 
          servicios de salud en el manejo del asma.
     3.8  Determinar las necesidades en materia de formación de 
          los  proveedores  de  atención  de  salud  implicados  en  el 
          manejo de los pacientes asmáticos.
     3.9  Introducir un sistema de información que proporcione 
          las  bases  para  el  manejo  de  suministros  y  para  la 
          evaluación.


Referencias
.   Beasley R, The International Study of Asthma and Allergies in Childhood ISAAC Steering Committee.
     Worldwide variations in prevalence of symptoms of asthma, allergic rhinoconjunctivitis and atopic eczema.
     Lancet 1998; 351:1225-1232.
2.   Aït-Khaled N, Enarson DA, Bousquet J. Chronic respiratory diseases in developing countries the burden and
     strategies for prevention and management. Bull World Health Organ 2001; 79: 971-979.




                                                     4
II  ¿Qué es el asma?

El asma es una enfermedad caracterizada por ataques espontáneos de disnea
con sibilancias, predominantemente nocturnos. Esta enfermedad evoluciona
más o menos gravemente durante varios años y, en ocasiones, durante toda
la vida. Un manejo correcto de la enfermedad conduce a la disminución o
casi total desaparición de los síntomas y permite al enfermo llevar una vida
social y profesional normal. Al contrario, si el asma no es correctamente
controlada puede:

–   volverse crónica desarrollando una limitación permanente al flujo
    aéreo;
–   conducir a una significativa discapacidad física y social;
–   causar la muerte debido a una crisis grave.

La comprensión de los mecanismos a través de los cuales se desarrolla el asma
proporciona la base para los métodos de tratamiento actualmente propuestos.
El asma está provocada por múltiples factores ambientales en personas con
una predisposición genética a desarrollar la enfermedad.
                            Desarrollo del asma
                               Factores de riesgo

                                   Herencia
                               Factores causales
                           Factores desencadenantes



                                 Inflamación
                               de las vías aéreas



                                     Síntomas

                Hiperreactividad                        Limitación
                de las vías aéreas                     al flujo aéreo




                                         5
Algunos de estos factores pueden provocar una inflamación crónica de las
vías aéreas que pueden dar lugar a una hiperreactividad de las mismas. Esos
factores se conocen bajo el nombre de factores causales.

Pero existen otros factores que, al actuar sobre esas vías aéreas hiperreactivas,
pueden provocar una limitación al flujo aéreo de intensidad variable
dando origen a los síntomas del asma; son los denominados factores
desencadenantes. La limitación al flujo aéreo y los síntomas agravan la
inflamación de las vías aéreas, dando lugar a un auténtico círculo vicioso con
riesgo de empeoramiento si la enfermedad no es tratada adecuadamente.

1.	 Definiciones	del	asma
1.1	 Definición	técnica
El entendimiento fisiopatológico de esta afección constituye la base de la
definición de asma propuesta por el Consenso Internacional y la «Global
Strategy for Asthma Management and Prevention» (Estrategia Global para
el Manejo y Prevención del Asma):

“El asma es una enfermedad inflamatoria crónica de las vías aéreas en la que
intervienen diversos tipos de células. Esta inflamación crónica provoca un
aumento de la hiperreactividad de las vías aéreas, que conduce a episodios
de sibilancias, disnea, opresión torácica y tos, especialmente de noche o en
la madrugada. Estos episodios se asocian habitualmente a una obstrucción
de las vías aéreas generalizada pero variable, que a menudo es reversible ya
sea de forma espontánea o mediante tratamiento.”

Esta inflamación crónica provoca modificaciones anatomopatológicas de
las vías aéreas que pueden ser irreversibles: hipertrofia del músculo liso,
formación de nuevos vasos sanguíneos y deposición de colágeno debajo
del epitelio. Estudios recientes basados en autopsias de pacientes fallecidos
por asma han mostrado una inflamación aguda y crónica de las vías aéreas,
incluidos los bronquiolos de menos de 2 mm de diámetro, e incluso del
parénquima. Estos resultados subrayan la importancia de utilizar corticoides
inhalados.

1.2	 Definición	operativa
Todo paciente que acude a un servicio de atención de salud aquejando
síntomas respiratorios predominantemente nocturnos como tos, dificultades
respiratorias y/o sibilancias, que aparecen y desaparecen, que varían de un
día para otro y que provocan, sobre todo, la interrupción del sueño obligando
al paciente a levantarse de la cama, debe considerarse sospechoso de padecer
asma y debe ser cuidadosamente examinado. Si no se halla ninguna otra
causa y la situación persiste durante algún tiempo, debe considerarse que el
sujeto padece asma.

2.  Factores de riesgo de desarrollo del asma
2.1  Factores predisponentes
La alergia es el factor predisponente más importante en el asma. Se refleja en
la tendencia a producir niveles anormalmente elevados de inmunoglobulina
E (IgE) en respuesta a la exposición a agentes ambientales.

La herencia también desempeña un papel predisponente: en los pacientes
asmáticos existe, con frecuencia, una historia familiar de asma.

2.2  Factores causales
Algunas sustancias son capaces de estimular el sistema inmunológico
para que reaccione produciendo anticuerpos IgE específicos. Cuando un
individuo predispuesto se expone a tales alergenos, los linfocitos T del
sistema inmunológico se vuelven linfocitos Th2, que producen cantidades
anormales de IgE. De este modo, la persona puede resultar sensibilizada a
tales alergenos. Cuando esa persona se expone de nuevo a la misma sustancia,
se produce una reacción inmunológica que desencadena los síntomas. El
proceso inflamatorio es provocado por mediadores celulares procedentes
de los mastocitos activados por la reacción entre el alergeno y la IgE. Esos
mediadores son producidos también por otras células: macrófagos, linfocitos
y eosinófilos.

Hay muchos factores causales. Generalmente, el asma es causada por una
combinación de ellos:

–    los alergenos en el interior de las casas: los ácaros (el alergeno más
     común en el mundo entero), que se encuentran en el polvo casero -
     principalmente en la ropa de cama, las alfombras y las moquetas - , se
     reproducen fácilmente entre los 20o y los 22oC a un nivel de humedad
     superior al 55%; los animales (gatos, perros, ratas, cucarachas); y el
     moho, que prolifera en espacios húmedos, sombríos y mal ventilados;
–    los alergenos fuera de las casas: el polen, el moho;
–    sustancias encontradas en el lugar de trabajo de origen químico o
     contenidas en el polvo (existe una lista actualizada permanentemente
     de las profesiones más expuestas en el sitio: http://asmanet.com);
–    medicamentos: aspirina y ciertos analgésicos antiinflamatorios no
     esteroides.

2.3  Factores contribuyentes
Son factores que contribuyen al desarrollo del asma en individuos expuestos
a factores causales. Entre ellos, figuran los siguientes:

–    El humo de tabaco ambiental: el tabaquismo pasivo es un factor de riesgo
     especialmente importante en el desarrollo del asma en los niños, y las
     madres que fuman durante el embarazo incrementan el riesgo de asma
     en sus hijos.
–    El papel de las infecciones respiratorias agudas en el desarrollo del
     asma es complejo. El hecho de sufrir una infección grave, en particular
     debida al virus sincitial respiratorio, antes de la edad de  ó 2 años
     puede favorecer el desarrollo de asma. Por otro lado, las infecciones
     respiratorias agudas frecuentes a partir de esa edad pueden proteger al
     niño contra el desarrollo del asma.
–    Los agentes contaminantes del aire en el interior de las casas también
     influyen en el desencadenamiento de los síntomas, pero su papel en el
     desarrollo de asma no está demostrado.

Al contrario, existen factores que pueden proteger contra el desarrollo del
asma:

–    la vida rural en una granja, en contacto con animales (hipótesis
     “higiénica” del desarrollo del asma);
–    la exposición a animales domésticos durante los primeros años de
     vida;
–    el consumo de pescado y fruta fresca.

3.  Factores desencadenantes de las crisis de asma
Los factores desencadenantes son fácilmente identificables dado que suelen
ser los mismos para un enfermo determinado. Esa identificación es necesaria

                                     8
para poder proponer medidas preventivas adaptadas a cada paciente. Además
de los factores causales que pueden desencadenar los ataques, existen otros
factores con poco o ningún efecto en el desarrollo de asma, pero susceptibles
de desencadenar ataques:

–    factores irritantes: humo de leña y de otras biomasas, aerosoles
     domésticos, aerocontaminantes de los vehículos;
–    las infecciones bacterianas o virales de las vías respiratorias superiores
     e inferiores, tanto en adultos como en niños;
–    el ejercicio puede desencadenar ataques breves debidos a la
     hiperventilación y a la inhalación de aire frío, sobre todo en niños y
     deportistas;
–    los cambios climáticos, como los descensos de temperatura, la humedad
     y la niebla;
–    el reflujo gastroesofágico;
–    el embarazo, los períodos menstruales y la menopausia pueden provocar
     un aumento del número de ataques de asma en algunas pacientes;
–    el estrés y las emociones fuertes;
–    los animales de compañía: gatos, perros, etc.

4.  Aspectos clínicos
4.1  Signos clínicos
Los principales signos clínicos son:
–    opresión torácica;
–    disnea;
–    sibilancias.

Ninguno de estos síntomas es exclusivo del asma y cualquiera de ellos
pueden aparecer en otras enfermedades torácicas. De ahí que se puedan
producir errores en el diagnóstico del asma y, como consecuencia de ello,
tratamientos incompletos y inapropiados e incluso ausencia de tratamiento.
Debe considerarse siempre el diagnóstico de asma cuando:

–    se producen episodios nocturnos de disnea, que interrumpen el sueño
     del paciente, especialmente de madrugada;
–    el paciente necesita sentarse en la cama para aliviar su dificultad
     respiratoria;
                                       9
–    los síntomas desaparecen espontáneamente o tomando medicación
     antiasmática (broncodilatadores);
–    los síntomas aparecen en ataques recurrentes;
–    el paciente tiene antecedentes personales de alergia (rinitis alérgica,
     eczema); o familiares (rinitis, eczema, asma);
–    el paciente presenta historia previa de padecer accesos de tos;
–    el paciente presenta afecciones alérgicas concomitantes: rinitis alérgica,
     eczema;
–    los síntomas son desencadenados por diversos factores, como la
     exposición al polvo, el aire frío o los cambios climáticos bruscos;
–    existen períodos de calma de los síntomas a lo largo de la
     enfermedad.

4.2  Cuadro clínico
El cuadro típico de asma es más frecuente en adultos y niños de 5 años o
más. Se caracteriza por frecuentes episodios de sibilancias, tos y dificultad
respiratoria, fundamentalmente nocturnos y de duración e intensidad
variables. Los períodos entre episodios varían y están acompañados por
breves episodios sintomáticos que se resuelven espontáneamente cuando
la enfermedad es benigna o moderada. En las formas más graves de la
enfermedad, puede aparecer una disnea permanente debido a la evolución
de la obstrucción del flujo aéreo de reversible a irreversible. Esta evolución
grave de la enfermedad es poco común; está ligada al desarrollo de lesiones
anatomopatológicas irreversibles. La aparición de esta forma grave de asma
se debe generalmente a un tratamiento demasiado tardío y/o inadecuado.

Existen cuadros clínicos menos típicos, observados fundamentalmente en
los niños:
–    ataques recurrentes de tos, particularmente por la tarde y/o noche, que
     no responden a los antitusivos;
–    opresión torácica con sibilancias, surgida sólo tras el ejercicio físico;
–    cuadro clínico similar al de una infección respiratoria aguda: fiebre
     moderada acompañada de síntomas respiratorios con o sin disnea y
     sibilancias. Ante este cuadro clínico, el diagnóstico de asma sólo es
     evocado, en la mayoría de los casos, tras la recurrencia de episodios en
     un lapso de tiempo relativamente corto (más de tres veces en un año).


                                      0
Las	formas	específicas	más	raras deben ser identificadas, dado que a veces
requieren tratamientos más específicos: manejo individual y, si es posible,
remisión a un especialista.

En el asma con alergia a la aspirina o a otros analgésicos antiinflamatorios
no esteroides, los pacientes experimentan reacciones alérgicas cutáneas y
ataques graves después de tomar aspirina u otro tipo de analgésico. Es muy
importante para tales pacientes evitar una nueva exposición, ya que ésta podría
conducir a ataques de asma muy graves, incluso mortales. Sin embargo, aun
evitando la exposición a dichas sustancias, el asma sigue siendo generalmente
grave y su control requiere cuidados especializados.

El asma ocupacional deberá evocarse si los síntomas sobrevienen en el
lugar de trabajo o inmediatamente después del trabajo y si desaparecen o
mejoran durante las vacaciones. Si los pacientes con asma ocupacional son
identificados precozmente, pueden curarse o mejorar de manera significativa
evitando toda nueva exposición a la sustancia nociva. Los pacientes
sospechosos de padecer asma ocupacional deberán recurrir a un especialista
para la confirmación del diagnóstico y para la eventual adopción de medidas
médico-legales (cambio de ocupación, indemnización, etc.).

El asma estacional es una forma particular de asma más común. Los síntomas
sobrevienen siempre en la misma estación durante varios años consecutivos.
Este tipo de asma se debe, a menudo, a la sensibilización exclusiva al polen o
al moho. El asma inducida por el polen suele ir precedida o acompañada de
manifestaciones alérgicas, como la rinoconjuntivitis, que se producen siempre
durante la misma estación. El asma estacional puede agravarse después de
varios años y volverse crónica debido a la sensibilización progresiva a otros
factores de riesgo.

Referencias
1.   Global strategy for asthma management and prevention. NHLBI/WHO workshop report. Bethesda, MD:
     National Institutes of Health. National Heart, Lung, and Blood Institute, Publication 95-3659. January
     995.
2.   Global strategy for asthma management and prevention. Bethesda, MD: National Institutes of Health, National
     Heart, Lung and Blood Institute, Revised 2004. www.ginasthma.com
III  Cómo diagnosticar el asma y  
                      evaluar su gravedad

Antes de tratar a un paciente asmático es necesario:

–    establecer el diagnóstico de asma e identificar los posibles factores
     causales y desencadenantes;
–    determinar el grado de gravedad del asma.

1.  Establecimiento del diagnóstico de asma
Si el paciente ha sido examinado durante una crisis de asma, el diagnóstico
es evidente. Si no ha sido visto nunca durante un ataque, resulta mucho más
difícil confirmar el diagnóstico.

1.1  ¿Cuándo hay que diagnosticar asma?
El paciente asmático se queja de síntomas respiratorios, principalmente:
–    sibilancias;
–    opresión torácica;
–    disnea;
–    tos.

Sin embargo, cualquier síntoma respiratorio puede ser debido al asma. La
característica principal de los síntomas del asma es su variabilidad. En
general, los síntomas aparecen por episodios, y su aparición y gravedad varían
con el tiempo, incluso en el caso de pacientes con síntomas continuos: los
síntomas varían a lo largo del día, de un día a otro, de una estación a otra y de
un episodio al siguiente. El cuestionario estandarizado de la UICTER sobre
los síntomas bronquiales, usado en las encuestas epidemiológicas sobre el
asma, está basado en la investigación de estos síntomas y de su variabilidad
(Apéndice ).

La historia clínica
Constituye la clave del diagnóstico. Durante la entrevista clínica, es
importante utilizar palabras sencillas en un idioma que el paciente o los
padres -si el paciente es un niño- entiendan perfectamente. La entrevista
contiene una parte no dirigida que permite al paciente o a los padres contar

                                       2
la historia de la enfermedad, y una serie de preguntas específicas destinadas
a obtener información sobre la existencia y las características de cada
síntoma respiratorio, su variabilidad en el tiempo, los factores causales y
desencadenantes de los ataques, así como los factores que pueden mejorar los
síntomas. Los ataques recurrentes de disnea -fundamentalmente nocturnos y
acompañados de sibilancias-, que despiertan al paciente y lo obligan a sentarse
para poder respirar, son los síntomas más característicos de asma.

Al final de la entrevista, el diagnóstico de asma se impone fuertemente en la
mayoría de los casos. A veces la historia clínica es menos típica, siendo posible
que el paciente padezca otra enfermedad de síntomas similares. En tal caso
habrá que completar la entrevista clínica con preguntas que ayuden a excluir
o a confirmar el diagnóstico de otras afecciones frecuentes sospechadas en
un paciente que se queja de opresión torácica recurrente. El contexto local
es especialmente importante, por lo que será preciso hablar en prioridad de
las enfermedades más comunes en la región o país donde vive el enfermo.

Las afecciones más frecuentes evocadas en el marco del diagnóstico
diferencial varían según la edad de los pacientes.

Los adultos con bronquitis crónica, bronquiectasia, síntomas respiratorios
asociados a una cardiopatía o síndrome de hiperventilación, presentan
síntomas que pueden confundirse con los del asma.

Si el paciente tiene tos productiva diaria (especialmente, al levantarse por
la mañana) con escasos cambios de un día para otro, lo más probable es
que padezca una bronquitis crónica, especialmente causada por el hábito
tabáquico. Si el paciente presenta una disnea de ejercicio que se agrava con el
tiempo, deberá pensarse en una enfermedad pulmonar obstructiva crónica.

Si el paciente tiene una tos productiva crónica con esputo purulento, que
sobreviene en determinadas posturas, deberá considerarse el diagnóstico de
bronquiectasia.

Si el paciente tiene dolores u opresión torácica que aparecen con el ejercicio
y se alivian con el reposo y/o dolores que se irradian desde el tórax hacia el
cuello o el brazo izquierdo, los síntomas estarán probablemente ligados a
una enfermedad cardíaca isquémica.



                                       3
Una disnea de decúbito con edema en los miembros inferiores evoca, en
primer lugar, una descompensación cardíaca.

Si los síntomas consisten en una sensación de disnea sin otras molestias
torácicas durante el día, acompañada de una sensación de entumecimiento
y hormigueo en los dedos, pánico o miedo, podemos pensar en una
hiperventilación ligada a un cuadro de ansiedad. Este tipo de disnea afecta
de manera especial a mujeres jóvenes.

En	niños	de	5	años	o	más,	hay que considerar otros diagnósticos:
Infección respiratoria aguda, sobre todo cuando el episodio respiratorio viene
acompañado de fiebre. Ahora bien, si se producen más de 3 recaídas en un
año, el diagnóstico más probable es el de asma.

Inhalación de un cuerpo extraño con obstrucción parcial de los bronquios
y sibilancias, sobre todo si las sibilancias son unilaterales. En caso de
fuerte sospecha, deberá hacerse una radiografía de tórax y, si posible, una
fibrobroncoscopía.

Bronquiectasia, cuando el síntoma principal es una tos productiva crónica
con esputo purulento, sobre todo si el paciente sufrió alguna infección grave
en su infancia, por ejemplo, una neumonía post-sarampión.

Tanto en adultos como en niños, se puede sospechar de tuberculosis -sobre
todo en los países con tuberculosis endémica-, cuando están presentes uno o
más signos típicos (adelgazamiento importante, tos y fiebre desde hace varias
semanas, sudoración nocturna, historia de contagio en el caso de niños).

El examen clínico
Si el paciente es examinado durante un período libre de síntomas, el resultado
del examen clínico no permitirá establecer el diagnóstico de asma. La
presencia de sibilancias es propia del asma, pero la presencia de crepitantes
sugerirá otras afecciones. Por otra parte, la ausencia de sibilancias no excluye
la posibilidad de asma, ya que en períodos asintomáticos no hay ninguna
anomalía evidente y la auscultación es normal.

La radiografía de tórax
Aunque la radiografía torácica resulta inútil para el diagnóstico del asma,
sin embargo, se recurrirá a ella:

                                      4
–    si se sospechan otras afecciones diferentes del asma, susceptibles de
     provocar los síntomas señalados por el paciente,
–    si se teme una complicación del asma, como neumotórax o neumonía.

1.2	 Cómo	confirmar	el	diagnóstico	de	asma
Toda persona sospechosa de padecer asma, deberá someterse a exámenes de
la función pulmonar. En la mayoría de los casos, el diagnóstico es confirmado
por las mediciones del flujo espiratorio máximo (FEM) mediante un simple
medidor de flujo o flujómetro. El FEM permite medir la limitación al flujo
aéreo. Existe una buena correlación entre el FEM y el volumen espiratorio
máximo en un segundo (VEMS), medido mediante espirometría. En los
servicios de salud especializados, la medición del FEM u otras pruebas de
función pulmonar se pueden realizar con un espirómetro u otros aparatos de
medida. Sin embargo, debido a la simplicidad de su utilización, el flujómetro
es la herramienta más práctica para poner de manifiesto la variabilidad de
FEM.

Las mediciones del FEM deben efectuarse cuando el paciente presenta
síntomas, pero también cuando los síntomas disminuyen o desaparecen.
Estas mediciones podrán efectuarse también antes y después del tratamiento.
La característica de la función pulmonar en los pacientes con asma es la
variabilidad del FEM. Cuando se constata una variabilidad ≥ 20%, el
diagnóstico de asma es prácticamente seguro y el paciente puede registrarse
como paciente asmático.

En caso de que esa variabilidad del FEM no se haya podido demostrar, el
diagnóstico de asma probable puede, no obstante, ser valorado por el médico
tras la eliminación de otros posibles diagnósticos.

1.3	 Cómo	medir	el	flujo	espiratorio	máximo
El flujómetro es un dispositivo fiable, robusto, práctico y barato que se
utiliza para detectar la presencia de limitación al flujo aéreo. El grado de
limitación se evalúa comparando el nivel del FEM de un paciente con su
FEM predicho (el correspondiente a un amplio grupo de personas de la misma
edad, sexo y altura con una función pulmonar normal). El FEM predicho
aparece clasificado en tablas de referencia en función de la edad, el sexo y
la altura en el caso de los adultos y únicamente en función de la altura en el
caso de los niños.

                                     5
Es útil repetir en un paciente asmático las mediciones del FEM durante
varios días, tanto en el transcurso de las crisis, como tras la administración
de los medicamentos para el asma. Dado que el rasgo más característico
del asma es la variación de la limitación al flujo aéreo de un día para otro
y en diferentes circunstancias (antes y después de la medicación, durante
los períodos sintomáticos y fuera de ellos, cada mañana y cada noche antes
de tomar el tratamiento), los resultados de la medición del FEM dependen
en gran parte del modo como se realiza la prueba. Los aspectos técnicos
para llevar a cabo la determinación del FEM figuran en el Apéndice 2. Esta
medición puede resultar difícil en el caso de niños menores de 5 años y de
ciertas personas mayores.

Cuando el paciente acude al servicio de salud, hay que medir su FEM. Es
preciso asegurarse sistemáticamente de que la prueba ha sido realizada
correctamente y anotar el mejor resultado de las 3 pruebas sucesivas
(Apéndice 2). Este FEM se expresará en l/min y deberá compararse con el
FEM predicho para evaluar la función pulmonar del paciente con respecto a la
normal. El FEM se expresa, pues, como un porcentaje del FEM predicho.


         FEM en porcentaje del valor predicho del paciente
      FEM % predicho = FEM l/min / FEM predicho en l/min x 00


Si la medición del FEM se ha efectuado correctamente, el diagnóstico de asma
puede confirmarse evaluando la variabilidad del FEM del paciente medido
en diferentes ocasiones: antes y después de la prueba de broncodilatación o
de corticoides, antes y después del tratamiento y en las distintas consultas.


        Cálculo de la variabilidad del FEM entre dos mediciones
 Variabilidad del FEM % = FEM máximo en l/min - FEM mínimo en l/min/
                       FEM mínimo en l/min x 00


La variabilidad de los resultados de la prueba es característica del asma y
permite confirmar el diagnóstico (Apéndice 3). Los valores por debajo de lo
normal mejoran después del tratamiento y los valores normales disminuyen
cuando aparecen los síntomas.
¿Qué otros exámenes son útiles para el diagnóstico?
La espirometría es otro método utilizado para evaluar la función pulmonar.
Es más precisa que las mediciones del flujo espiratorio máximo, pero menos
accesible: en la mayoría de los países con escasos recursos económicos, esta
prueba sólo está disponible en los grandes hospitales y en algunos centros
de referencia especializados.

Las demás pruebas (medición de la hiperreactividad de las vías aéreas, pruebas
cutáneas de alergia, cuantificación de IgE total y específica, y de leucocitos
eosinófilos en la sangre periférica) no suelen realizarse en la práctica de rutina
ya que resultan inútiles para el manejo de la mayoría de los pacientes, además
de muy costosos. Estas pruebas pueden utilizarse en los centros de referencia
especializados para casos de diagnóstico difícil, para formas inusuales de
asma o en el marco de la investigación.

  Se considerarán asmáticos y serán tratados como tales los casos
  siguientes:
  Asma	 confirmada: paciente con síntomas típicos del asma y una
  variabilidad del FEM ≥ 20%.
  Asma probable: paciente con síntomas típicos del asma y una historia
  de la enfermedad característica del asma, tras exclusión de otros
  diagnósticos.


2.  Determinación de la gravedad del asma
La determinación de la gravedad del asma es una etapa importante en el
manejo del paciente ya que permite proponer un tratamiento adecuado.
Esta evaluación se realiza a partir de la historia de la enfermedad y de la
medición del mejor FEM del paciente. Recurriendo únicamente a esos dos
métodos, es posible determinar la gravedad clínica del asma basándose en las
características de los síntomas, el nivel de función pulmonar y, en aquellos
pacientes que se hallen bajo tratamiento, el tipo de medicamento y la cantidad
habitualmente requerida.

2.1  Hacer una evaluación clínica
La evaluación clínica está basada en la frecuencia media y en la gravedad
de los síntomas clínicos durante un largo período previo a la evaluación.
La recopilación de información sobre los síntomas es parcialmente fiable
debido a su subjetividad, pues está basada en el juicio y memoria del paciente
y, en cierta medida, en el criterio del personal de salud. La evaluación de
la gravedad del asma deberá realizarse antes de que el paciente inicie el
tratamiento a largo plazo. La manera más importante de juzgar la gravedad
de la enfermedad consiste en determinar la frecuencia media de los síntomas
durante un período largo. De este modo, se precisará si los síntomas son:

–    Intermitentes: los síntomas desaparecen durante largos períodos.
     Cuando reaparecen, lo hacen menos de una vez por semana. Los períodos
     de ataques sólo duran unas horas o unos días; cuando existen síntomas
     nocturnos, éstos aparecen menos de 2 veces al mes.
–    Persistentes: los síntomas nunca cesan más de una semana: cuando
     aparecen más de una vez por semana, son considerados persistentes:
     –    persistentes leves: síntomas que surgen menos de una vez al día;
          los síntomas nocturnos aparecen más de dos veces al mes;
     –    persistentes moderados: síntomas que surgen cotidianamente; las
          crisis afectan a la actividad habitual y al sueño más de una vez por
          semana;
     –    persistentes graves: síntomas más o menos continuos con crisis
          frecuentes, que limitan la actividad física y aparecen frecuentemente
          durante la noche.

En el caso específico del asma estacional, a menudo ligada a una alergia al
polen, la gravedad de los síntomas se determinará según su frecuencia durante
la estación para decidir el tratamiento a largo plazo que el paciente deberá
seguir al menos durante esa estación.

2.2  Hacer una evaluación funcional (nivel de la función pulmonar)
El nivel de la función pulmonar es un criterio objetivo para determinar la
gravedad de la enfermedad, proporcionado por el mejor FEM del paciente.
Debe determinarse en período estable (por ejemplo, tras un tratamiento de
corticoides orales) y después de utilizar un broncodilatador. Debe expresarse
en porcentaje del FEM predicho del paciente. Se distinguen tres niveles
funcionales:
–    Ausencia de obstrucción: FEM superior o igual al 80% del FEM
     predicho.
–    Obstrucción moderada: FEM entre el 0 y el 9% del FEM predicho.
–    Obstrucción grave: FEM inferior al 0% del FEM predicho.

                                      18
2.3  Determinar el grado de gravedad del asma
Durante la fase inicial del manejo, los pacientes asmáticos pueden ser
clasificados según la gravedad de su enfermedad según los criterios descritos
en el siguiente cuadro.

                Clasificación	clínica	y	funcional	durante 
                        la fase inicial del manejo

Evaluación de la gravedad       Frecuencia de        Nivel del mejor FEM 
                                los síntomas         (% del predicho)
Persistente grave               Continuos                 0
Persistente moderada            Diarios                  60-79
Persistente leve                Semanales                 ≥ 80
Intermitente                     Semanales               ≥ 80

El grado de gravedad más elevado de las 2 evaluaciones realizadas
determinará el nivel de gravedad del asma; la clasificación de la enfermedad
será la siguiente:

                  Clasificación	de	la	gravedad	del	asma

Asma persistente grave    FEM  0% sea cual sea la gravedad de los
                          síntomas
                          o síntomas persistentes graves sea cual sea el
                          nivel del FEM
Asma persistente moderada FEM 60-79% y gravedad de los síntomas 
                          síntomas persistentes graves
                          o síntomas persistentes moderados y
                          FEM  0%
Asma persistente leve     FEM ≥ 80% y síntomas persistentes leves

Observaciones importantes
–   En la mayoría de los casos, existe una concordancia entre el nivel de la
    función pulmonar y la gravedad de los síntomas.
–   Cuando hay un desacuerdo entre el examen clínico y la prueba de función
    pulmonar, el grado más elevado de gravedad detectado en una de las

                                     9
2 evaluaciones determinará el nivel de gravedad del asma. Es mejor
    sobrestimar que subestimar la gravedad (la subestimación tendría como
    consecuencia la instauración de un tratamiento inadecuado).
–   En los casos raros de niños o ancianos para los que no puede obtenerse
    los valores correctos del FEM, la clasificación de la enfermedad se basará
    únicamente en un examen clínico y en la respuesta al tratamiento.
–   En casos de asma estrictamente estacional, el grado de gravedad será
    determinado mediante la evaluación clínica y funcional durante la
    estación en que surgen los síntomas.
–   Si un paciente ya está recibiendo tratamiento regular, la gravedad de
    la enfermedad es más difícil de determinar. Se calculará según el nivel
    del FEM del paciente y el tratamiento a largo plazo mínimo necesario
    para controlar su asma (ver capítulo Tratamiento).




                                     20
IV  ¿Cuál es el tratamiento esencial  
               a largo plazo para el asma?

El asma requiere un tratamiento a largo plazo, a menudo durante varios
años, incluso durante toda la vida. En consecuencia, y al igual que ocurre
con otras enfermedades crónicas, el tratamiento de los pacientes asmáticos
plantea problemas de costo, cumplimiento, organización y manejo de los
suministros de medicamentos. Las medidas preventivas que permiten evitar
la exposición a los factores desencadenantes identificados pueden ayudar a
prevenir o a reducir los síntomas.

El tratamiento requiere siempre un broncodilatador para aliviar la limitación
al flujo aéreo y un tratamiento continuado con medicamentos antiinflamatorios
para controlar la enfermedad.

Un tratamiento con una buena relación costo-efectividad será siempre el
tratamiento de elección.

1.  Objetivos del tratamiento
Los objetivos del tratamiento deben ser explicados al paciente y/o a su
familia desde el inicio del mismo. El paciente debe saber que el tratamiento
es a largo plazo y que no siempre es posible determinar inmediatamente el
tiempo necesaria para alcanzar los objetivos. Se considera que el asma está
bajo control cuando se han alcanzado los objetivos siguientes:

Objetivos clínicos
– Reducción o desaparición total de los síntomas, especialmente los
    nocturnos;
– Ausencia de visitas a servicios de urgencias;
– Ausencia de limitación de la actividad.

Objetivo funcional
– FEM normal o ≥ 80% del FEM predicho.




                                     2
Objetivo terapéutico
– Ninguna necesidad, o sólo ocasionalmente, de usar broncodilatadores.

En los casos de asma persistente más graves, es posible que estos objetivos
no sean alcanzados como consecuencia de una inflamación irreversible de
la mucosa bronquial. En tal caso, los objetivos del tratamiento deberán ser
más modestos: mejoría clínica y funcional del paciente, tratando de obtener
los mejores resultados posibles con un mínimo de efectos secundarios.

2.  Medidas preventivas
Las medidas preventivas consisten en evitar o controlar la exposición tanto a
los factores causales del asma (ácaros domésticos, animales domésticos, moho,
exposición ocupacional, según el caso), como a los factores desencadenantes
de los síntomas (tabaquismo, contaminación ambiental, aspirina, etc.).
Los padres de niños asmáticos deben estar informados de que es nocivo
exponer a sus hijos al tabaquismo pasivo.
La desensibilización específica, costosa y de eficacia limitada, no tiene
ningún papel en el tratamiento del asma en los países con ingresos medios o
bajos., 2

3.  Fármacos esenciales para el tratamiento del asma
Si se pretende que el asma sea tratada correctamente, hay que garantizar un
suministro permanente de medicamentos. Para el tratamiento a largo plazo del
asma, se necesita un número limitado de medicamentos; dichos medicamentos
figuran en la lista de medicamentos esenciales de la OMS.3




                                     22
Medicamentos esenciales para el tratamiento del asma
                                                         Modo de 
                                                         administración 
Medicamentos                    Nombre genérico          y dosis 

Antiinflamatorios
Corticoides                     Beclometasona            Aerosol: 250 µg por
                                                         inhalación
                                Prednisona               Comprimidos: 5 mg
Broncodilatadores
Beta-2
  simpaticomiméticos            Salbutamol               Aerosol: 00 µg
  de acción corta y rápida                               por inhalación


3.1	 Medicamentos	antiinflamatorios
Corticoides inhalados (beclometasona)
Por su gran eficacia y baja tasa de efectos secundarios, la beclometasona
inhalada en dosis altas, disponible bajo forma genérica, es el tratamiento de
elección en los casos de asma persistente. Gracias a su acción antiinflamatoria,
la beclometasona disminuye progresivamente la hiperreactividad bronquial
y, consecuentemente, los síntomas del asma.

Los efectos secundarios son mínimos; consisten casi exclusivamente en
reacciones locales como ronquera, tos irritativa y, ocasionalmente, candidiasis
bucal (o infección por hongos). Tales efectos, observados generalmente
cuando la dosis diaria es igual o superior a 000 µg, pueden evitarse si se
instruye al paciente para que haga uso de cámaras espaciadoras y para que
se enjuague la boca tras la toma de corticoides inhalados. Los corticoides
inhalados apenas tienen efectos secundarios nocivos. Su inocuidad (también
con respecto al crecimiento) ha sido igualmente demostrada en niños que
inhalaban dosis diarias inferiores o iguales a 800 µg.

Corticoides sistémicos (prednisona oral)
Estos medicamentos pueden ser utilizados en tratamientos a corto o a largo
plazo:



                                      23
–    A corto plazo: se administran para tratar las exacerbaciones durante
     un breve período; una vez que éstas han remitido, se interrumpe dicha
     medicación. En este caso, no tienen efectos secundarios nocivos.
–    A largo plazo: debido a sus efectos nocivos, la prednisona sólo debe
     utilizarse en los casos más graves de asma que se resisten a cualquier
     otra terapia. Efectos nocivos tal como las infecciones oportunistas
     (especialmente la tuberculosis), la diabetes, la hipertensión arterial
     o la osteoporosis son complicaciones frecuentes derivadas de una
     corticoterapia oral a largo plazo. Por otra parte, la interrupción brusca
     de un tratamiento prolongado de corticoides orales de varios años de
     duración puede dar lugar a una insuficiencia suprarrenal aguda.

3.2  Broncodilatadores
Los beta-2 simpaticomiméticos son los broncodilatadores más potentes.
Relajan el músculo liso bronquial y contribuyen a despejar las vías
respiratorias de las secreciones bronquiales.

Los beta-2 simpaticomiméticos de acción corta y rápida constituyen el
tratamiento de elección para los ataques de asma y para prevenir el asma
inducido por el ejercicio. Son bien tolerados y sus efectos secundarios de tipo
sistémico (taquicardia, temblor, hipokalemia) son poco frecuentes.

La inhalación es el método preferente de administración debido a la eficacia
de las pequeñas dosis, a su acción rápida (que alcanza su máximo en pocos
segundos) y a la casi total ausencia de efectos secundarios.

El salbutamol (que existe bajo forma genérica) es uno de los mejores beta-2
simpaticomiméticos de acción corta.

3.3  Otros medicamentos
Los medicamentos esenciales para el tratamiento a largo plazo de los
pacientes asmáticos figuran en la tabla de la página 23. Hay disponibles
muchos otros tipos de medicación, pero su uso contribuye poco o nada al
resultado del tratamiento de la mayoría de los casos de asma. Además, el
aumento del número de medicamentos prescritos conduce a una disminución
del cumplimiento del tratamiento y a un aumento de los costos. Algunos de
esos medicamentos podrán utilizarse en los servicios especializados para
casos de asma particularmente difíciles de controlar.

                                      24
En caso de rinitis alérgica asociada, los antihistamínicos de primera generación
y la beclometasona nasal pueden utilizarse según las recomendaciones
de la iniciativa «Allergic Rhinitis and its Impact on Asthma» (ARIA2):
antihístamínicos orales H1 para fiebres del heno leves y beclometasona
nasal (100 - 400 µg/día), según el nivel de gravedad en las rinitis alérgicas
moderadas o graves.

Ciertos medicamentos como los antitusivos, los mucolíticos, los
antihistamínicos (excepto en el caso de una rinitis alérgica o de otra afección
alérgica asociada) y los antibióticos (excepto en el caso de una infección
bacteriana evidente), representan una enorme pérdida de dinero, no producen
ningún beneficio al paciente y, por tanto, no deben ser prescritos.

3.4  Modo de administración: vía inhalada
Este modo de administración es el más eficaz y el menos dañino tanto en el
caso de los broncodilatadores como en el de los corticoides. La técnica de
inhalación de los medicamentos es el factor más importante para el éxito del
tratamiento. Si ésta no es correcta, los beneficios obtenidos serán mínimos.
Por esta razón, cuando se prescriben medicamentos inhalados, el paciente
debe ser cuidadosamente instruido en cuanto a la forma correcta de utilizarlos.
Estas instrucciones deben repetirse a menudo y conviene solicitar al paciente
que efectúe la maniobra delante del personal de salud para asegurarse de que
su técnica es correcta. En el Apéndice 4 se incluye una descripción detallada
de la técnica de inhalación.

A los pacientes que no logran controlar la técnica de inhalación directa pese
a una formación adecuada (niños pequeños, ancianos) y a aquellos que
reciben 000 µg o más de beclometasona, se les recomienda la utilización
de una cámara espaciadora. Si el paciente no puede disponer de una cámara
espaciadora industrial, puede utilizar una cámara de fabricación artesanal,
cuyo buen funcionamiento es hoy ampliamente reconocido (Apéndice 5).

4.  Inicio del tratamiento
Aparte de los pacientes que sufren de asma intermitente y sólo necesitan
que se les administre salbutamol inhalado según necesidad, los demás deben
recibir un tratamiento de corticoides inhalados a largo plazo, cuya posología
dependerá del grado de gravedad de la enfermedad en cada caso.


                                      25
Enfoque del tratamiento escalonado de los pacientes con asma*
                              Grado de gravedad
                                                           Persistente                                         Intermitente
                Grave                           Moderado                                 Leve

     Prednisona
     • 0.5 mg/kg/día
     Beclometasona inhalada
     • 2000 µg/día
     Salbutamol inhalado
     • No más de 3-4
       inhalaciones/día
                                     Beclometasona inhalada
                                     • 2000 µg/día durante
                                        semana
                                     • Reducir a 000 µg/día
                                       si hay mejoría
                                     Salbutamol inhalado
                                     • Según necesidad
                                     • No más de 3-4
                                       inhalaciones/día
                                                                         Beclometasona inhalada
                                                                         • 000 µg/día durante
                                                                            semana
                                                                         • Reducir a 500 µg/día si
                                                                           hay mejoría
                                                                         Salbutamol inhalado
                                                                         • Según necesidad
                                                                         • No más de 3-4
                                                                           inhalaciones/día
                                                                                                          Salbutamol inhalado
                                                                                                          • No más de 3-4
                                                                                                             inhalaciones/semana y/o
                                                                                                          • tras ejercicio y/o
                                                                                                             exposición

                                                    Objetivos del tratamiento:
    Mejor control posible                                Control completo del asma
    • menor cantidad de síntomas                         • ningún síntoma o muy pocos
    • menor necesidad de                                 • ninguna crisis
      salbutamol                                         • ninguna visita a servicios de urgencias
    • menor limitación de la                             • uso mínimo de broncodilatadores ( 3 veces/semana)
      actividad                                          • ninguna limitación de la actividad
    • mejor FEM                                          • FEM normal o casi normal
    • pocos efectos secundarios                          • ningún efecto secundario o muy pocos


* Las dosis de beclometasona son más pequeñas en el caso de los niños de 5 años o más que en el de los adultos.
Aumento del tratamiento: si el asma no se llega a controlar con el tratamiento prescrito pese a un uso correcto del mismo, las
dosis de los medicamentos se duplicarán en cada escalón.
Disminución del tratamiento: si se han alcanzado los objetivos del tratamiento, el tratamiento se mantendrá durante varios meses
y las dosis se reducirán a la mitad en cada escalón hasta que se determine el tratamiento mínimo necesario.


                                                             2
Cuando el paciente presenta asma persistente, el tratamiento debe iniciarse
inmediatamente con un régimen capaz de reducir rápidamente la inflamación
de las vías aéreas y aliviar los síntomas. En la mayoría de los casos, el
tratamiento ideal será un ciclo corto de corticoides orales, administrado en
las dosis siguientes:
–    En adultos, 20 mg prednisona oral, 2000 µg de beclometasona a 250
     µg (8 inhalaciones) y 400 µg de salbutamol (4 inhalaciones) cada día.
–    En niños de 5 años o más, 0.5 mg/kg de prednisona y/o 750 µg de
     beclometasona y 400 µg de salbutamol.

Transcurridos 8 días (a veces un poco más), el paciente está totalmente
estabilizado y los síntomas han desaparecido o mejorado sensiblemente.
Ya puede medirse el mejor FEM del paciente y evaluarse la gravedad de la
enfermedad. Es entonces cuando se podrá instaurar un tratamiento a largo
plazo adaptado al grado de gravedad del asma.

5.  Tratamiento de mantenimiento
El tipo de tratamiento a largo plazo que debe administrarse a un paciente
asmático viene determinado por la gravedad de su enfermedad. Debido a que
el asma evoluciona de manera dinámica a lo largo del tiempo, el tratamiento
debe adaptarse a la variabilidad intra e interindividual de los pacientes.
Cuando el paciente ya se ha estabilizado mediante el tratamiento inicial a
base de corticoides orales, puede evaluarse la gravedad de su enfermedad.
El tratamiento puede entonces reducirse hasta el nivel recomendado para el
grado de gravedad de su enfermedad, nivel que debe permitir el control de
la misma.

El tratamiento recomendado es un tratamiento escalonado, adaptado al
nivel de gravedad de la enfermedad. Todos los pacientes que sufren de asma
persistente seguirán recibiendo:
–       un tratamiento a largo plazo de corticoides inhalados, en las dosis
        recomendadas según el nivel de gravedad,
–       y salbutamol inhalado según necesidad en caso de síntomas.

5.1  Asma persistente grave
El asma persistente grave requiere un tratamiento máximo con todos los
fármacos disponibles:


                                    2
–    prednisona oral en dosis de de 0.5 mg/kg/día,
–    beclometasona inhalada en dosis de 2000 µg (8 inhalaciones) para
     adultos y de 50 a 000 µg (3 a 4 inhalaciones) para niños,
–    1 a 2 inhalaciones de salbutamol según necesidad.

Cuando el estado del paciente se haya estabilizado y el FEM se haya
estancado, se podrá reducir progresivamente la dosis de prednisona. En
un gran número de pacientes, la toma de prednisona podrá interrumpirse
entonces, quedando el control del asma asegurado únicamente por elevadas
dosis de beclometasona inhalada.

Si el asma no está bajo control al cabo de 3 meses, pese a haberse administrado
correctamente el tratamiento prescrito, se optará por un tratamiento a largo
plazo de corticoides orales en la dosis mínima necesaria para lograr el mejor
control posible del asma.

5.2  Asma persistente moderada
Hay que comenzar por una fuerte dosis de beclometasona: 2000 µg/día (8
inhalaciones) para adultos y de 50 µg para niños. Cuando los síntomas del
asma se hallen bajo control y el FEM haya mejorado durante un período de
2 semanas, se intentará reducir la dosis de beclometasona inhalada a 000
µg/día en adultos y a 500 µg en niños.

Si de este modo no se logra controlar el asma, pese a haberse administrado
correctamente el tratamiento prescrito, se prescribirá el escalón superior del
tratamiento.

5.3  Asma persistente ligera
Hay que llegar progresivamente a la dosis de beclometasona recomendada
para controlar el asma persistente ligera: 500 µg para adultos y 250 µg para
niños.

Si así no se logra un control absoluto del asma, pese a haberse administrado
correctamente el tratamiento prescrito, habrá que prescribir el escalón superior
del tratamiento.




                                      28
Tratamiento diario recomendado según grado de gravedad

Grado de                 Adultos                  Niños de 5 años o más 
gravedad  
Asma           Beclometasona inhalada          Beclometasona inhalada 50 a
persistente    2000 µg                         000 µg
grave          Salbutamol inhalado según       Salbutamol inhalado según
               necesidad (menos de 4           necesidad (menos de 4
               inhalaciones diarias)           inhalaciones diarias)
               ± prednisona                    ± prednisona
Asma           Beclometasona inhalada          Beclometasona inhalada 500 µg
persistente    000 µg
moderada       Salbutamol inhalado según       Salbutamol inhalado según
               necesidad (menos de 4           necesidad (menos de 4
               inhalaciones diarias)           inhalaciones diarias)
Asma           Beclometasona inhalada          Beclometasona inhalada 250 µg
persistente    500 µg
leve           Salbutamol inhalado según       Salbutamol inhalado según
               necesidad (menos de 4           necesidad (menos de 4
               inhalaciones diarias)           inhalaciones diarias)
Asma           No beclometasona                No beclometasona
intermitente   Salbutamol inhalado según       Salbutamol inhalado según
               necesidad (menos de 4           necesidad (menos de
               inhalaciones diarias)           4 inhalaciones diarias)

Sea cual sea la gravedad del asma, el tratamiento de los episodios sintomáticos
(incluida el asma intermitente, para la cual es el único tratamiento) consistirá
en  ó 2 inhalaciones de salbutamol. Si el asma no llega a controlarse a pesar
de aumentar el salbutamol a 3 administraciones diarias, deberá considerarse
que el paciente padece la categoría superior de gravedad del asma y deberá
tratarse en consecuencia.

Una vez establecido, el tratamiento a largo plazo capaz de controlar el
asma deberá ser mantenido durante al menos 3 meses antes de considerar la
posibilidad de una disminución.




                                      29
Observación
    El tratamiento a largo plazo del asma propuesto en esta guía es un
    modelo que utiliza únicamente los dos medicamentos incluidos en la
    lista de medicamentos básicos de la OMS. Este tratamiento es uno de
    los más rentables actualmente existentes. Ahora bien, los responsables
    nacionales que deseen abordar el manejo del asma recurriendo a otros
    medicamentos pueden elegir un tratamiento eficaz recomendado por
    los consensos internacionales, teniendo en cuenta la disponibilidad
    de los medicamentos, su costo y su accesibilidad para la mayoría
    de los pacientes. En cualquier caso, deberá respetarse siempre los
    siguientes principios básicos: estandarización del tratamiento para
    todos los escalones de tratamiento según la gravedad de la enfermedad
    y prescripción diaria a largo plazo de un corticoide inhalado para todos
    los casos de asma persistente.


6.  Ajuste del tratamiento durante el seguimiento
Una vez fijados los objetivos del tratamiento, el médico puede decidir adaptar
el tratamiento a lo largo de las consultas de seguimiento. Para juzgar acerca
del control del asma, se basará en la evaluación clínica desde la visita anterior
y en la medición del flujo espiratorio máximo.

6.1  Aumento de la intensidad del tratamiento
En caso de asma mal controlada, el escalón de tratamiento inicial elegido
puede resultar insuficiente. En ese caso, el médico deberá pasar al escalón
superior de tratamiento. Pero antes de tomar esta decisión es estrictamente
necesario que se asegure de que:

–    el paciente ha tomado realmente la medicación prescrita;
–    la técnica de inhalación de los medicamentos es correcta;
–    no se trata de una simple agravación temporal de los síntomas ligada a
     una complicación transitoria (infección respiratoria aguda, cambio
     climático, exposición accidental a un alergeno);
–    se han evitado los factores evitables desencadenantes de los ataques de
     asma.


                                       30
6.2  Disminución de la intensidad del tratamiento
Después de 3 a 6 meses de tratamiento adecuado correctamente observado,
el asma estará bajo control en la mayoría de los casos. La reducción de la
medicación ha de efectuarse cuidadosamente. Cuando el asma esté bajo
control, la reducción de la dosis de medicamentos se realizará por escalones
y reduciendo a la mitad la dosis de beclometasona. Esta nueva dosis se
mantendrá durante 3 a  meses antes de considerar una nueva reducción del
tratamiento. La dosis mínima de corticoides inhalados capaz de permitir el
control del asma se mantendrá, generalmente, durante varios años.

7.  Cuándo prescribir ciclos cortos de corticoides orales
Independientemente del tratamiento prescrito al paciente, puede resultar
necesario añadir un ciclo corto de corticoides a su tratamiento habitual en
razón de un empeoramiento transitorio de la enfermedad. Las indicaciones
más frecuentes son las siguientes:

–   empeoramiento progresivo con reaparición de los síntomas en un paciente
    cuya asma estaba bajo control;
–   reaparición de crisis nocturnas;
–   caída del FEM por debajo del 0% del mejor FEM obtenido con
    anterioridad;
–   pérdida de la eficacia de los beta-2 con aumento de las dosis necesarias.

El tratamiento consistirá en la prescripción de prednisona a razón de 0.5
mg/kg/día durante 8 días, tanto para adultos como para niños. Es importante
investigar las causas de este agravamiento de la enfermedad, cuyo carácter
transitorio puede evocarse:

–   el paciente no está tomando la medicación de forma regular;
–   complicación aguda: infección respiratoria, cambio climático brusco;
–   exposición accidental a un alergeno: pintura, animales o polvo;
–   cambio transitorio de residencia (por ejemplo, durante las vacaciones. Si
    la nueva casa está mal aireada y poco soleado durante una buena parte
    del año, existe una proliferación de alergenos -moho en particular- muy
    nocivos para el paciente, que queda bruscamente expuesto a este nuevo
    entorno).

La identificación de la causa del deterioro permite, en cierto número de casos,
preconizar medidas preventivas que permiten limitar o evitar las recaídas.

                                      3
8.	 Algunos	aspectos	específicos	en	el	manejo	del	asma
El ejercicio físico regular es recomendable para la mayoría de los
pacientes asmáticos, incluso si sufren de un asma inducida por el ejercicio.
Ocasionalmente, el ejercicio puede desencadenar una crisis de asma o una
simple molestia respiratoria. Si esto ocurre con frecuencia, es importante
asegurarse de que el paciente está tomando regularmente su medicación;
eventualmente, se le aumentará la dosis de corticoides inhalados. Si, aun así,
el ejercicio sigue provocando ataques, éstos podrán prevenirse mediante un
par de inhalaciones de salbutamol unos minutos antes de iniciar el ejercicio.
Hay que recomendar el deporte a todos los pacientes asmáticos, incluso a
aquellos que padecen de asma inducida por el ejercicio.
Es preciso aconsejar a todos los pacientes que eviten el humo del tabaco. Se
debe animar a los fumadores a dejar de fumar. La exposición de los pacientes
al humo ambiental (tabaquismo pasivo) debe desaconsejarse rotundamente.
Para los niños expuestos, la primera medida de prevención consiste en que
sus padres dejen de fumar.
Las repercusiones del embarazo en el asma son frecuentes (mejoría o
agravación). La medicación antiasmática no tiene efectos nocivos para el
feto. Hay que advertir a las mujeres embarazadas que el mayor riesgo para
sus bebés está directamente relacionado con un mal control de su asma debido
a un tratamiento insuficiente.
El uso de un tratamiento betabloqueador en pacientes asmáticos debe evitarse
en la medida de lo posible, ya que estos medicamentos pueden dar lugar al
empeoramiento de su asma.
Cuando un paciente asmático requiere cirugía, es importante asegurarse de
que el asma está bien controlada antes de la intervención. Durante la operación
e inmediatamente después, los pacientes pueden experimentar un aumento
de su limitación al flujo aéreo y de las secreciones mucosas bronquiales.
Antes de una intervención quirúrgica importante, suele ser útil aumentar de
un escalón la dosis de corticoides inhalados. En el caso de los pacientes que
reciben corticoides orales, deberá mantenerse la medicación y considerarse la
posibilidad de un aumento de la dosis antes, durante y cierto tiempo después
de la intervención.




                                      32
9.  ¿Qué pacientes hay que transferir a un nivel más espe-
    cializado? 
Ciertos pacientes deben ser enviados a un nivel de referencia más especializado
si en el primer nivel de referencia no se dispone de exámenes necesarios para
confirmar un diagnóstico o para eliminar ciertos diagnósticos diferenciales,
o debido a afecciones concomitantes. A veces, el objetivo es obtener una
orientación terapéutica.

Un paciente cuya asma no está bajo control tras un manejo adecuado, debe ser
remitido a un nivel más especializado. Sin embargo, aplicando las medidas
recomendadas en esta guía, es posible controlar el asma en la mayoría de
los casos. Antes de transferir al paciente, es necesario comprobar que el
tratamiento se ha seguido correctamente y que la técnica de inhalación es
la adecuada.

Si se identifica en un paciente un asma con intolerancia a la aspirina y/o a los
antiinflamatorios no esteroides, dichos medicamentos serán interrumpidos
obligatoriamente. A menudo, esos pacientes sufren de un asma grave e
inestable, y, en la medida de lo posible, deberán ser remitidos a un nivel
de referencia más elevado para la confirmación del diagnóstico y un
asesoramiento terapéutico.

Los pacientes en que el principal desencadenante de los síntomas parece
situarse en el lugar de trabajo también deberán ser transferidos a un nivel
de referencia superior para confirmar el diagnóstico de asma ocupacional y
solicitar una eventual compensación médico-legal.

Referencias
1.   Sterk PJ, Buist SA, Woolcock AJ, Marks GB, Platts-Mills TAE, Von Mutius E, Bousquet J, Frew J, Pauwels
     R, Aït-Khaled N, Hill SL, Partridge MR. The message from the World Asthma Meeting. The working groups
     of the World Asthma Meeting, held in Barcelona, Spain, 9-13 December 1998. Eur Respir J 1999; 14: 1435-
     453.
2.   Bousquet J, Van Cauwenberg P, Khaltaev N: ARIA Workshop Group, World Health Organization. Allergic
     rhinitis and its impact on asthma. ARIA workshop report in collaboration with WHO. J Allergy Clin Immunol
     2001; 108 (5 Part 2): S147-S334.
3.   World Health Organization. Model List of Essential Medicines, 2th ed. Geneva, Switzerland: WHO, April
     2002.




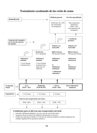
                                                     33
V  Cómo manejar las crisis de asma

Las crisis de asma son accesos paroxísticos de disnea aguda con sibilancias,
ligados a una obstrucción al flujo aéreo. Estos ataques pueden ocurrir en
todo momento, si bien sobrevienen fundamentalmente durante la noche,
despertando al enfermo y obligándolo a sentarse para poder respirar. Pueden
sobrevenir incluso en un paciente cuya asma está bien controlada si éste se
expone a factores desencadenantes específicos, pero más a menudo son el
reflejo de un fracaso en el manejo a largo plazo del paciente.

1.  ¿Cuál es el grado de gravedad de una crisis de asma?
La gravedad de las crisis es variable: desde la crisis más anodina, reversible
en unos minutos, hasta las crisis graves que ponen en juego el pronóstico vital.
En este último caso, el empeoramiento se instala generalmente a lo largo de
varias horas o varios días, pero, ocasionalmente, puede ocurrir de manera
repentina y brutal en el espacio de unos minutos (crisis catastrófica súbita).
El grado de gravedad de un ataque está determinado por la importancia
de la limitación al flujo aéreo (si la obstrucción alcanza más del 50% de
las vías aéreas, la vida del paciente está en peligro), por la mayor o menor
reversibilidad de la obstrucción y por la rapidez de la reversibilidad de la
obstrucción bajo tratamiento.

Aunque los signos clínicos de un ataque de asma sean bastante característicos,
a veces es indispensable considerar otros casos de disnea aguda, en particular,
el neumotórax.

1.1  ¿Qué elementos se utilizan para evaluar la gravedad de una 
     crisis?
La evaluación de la gravedad de las crisis puede realizarse mediante diferentes
signos que reflejan las dificultades respiratorias y su repercusión funcional.

Signos clínicos
La rápida entrevista a que se somete al paciente, así como su examen físico,
permiten determinar el grado de gravedad de una crisis de asma:



                                      34
–   Características de la disnea:
    – ¿está presente al caminar, al hablar o en posición de reposo?
    – ¿ha aumentado la frecuencia respiratoria?
–   ¿Se hallan presentes las sibilancias, moderadas o marcadas, o al contrario
    han desaparecido?
–   ¿Existe respiración paradójica o tiraje muscular intercostal o movimientos
    abdominales?
–   ¿Se ha producido una aceleración o ralentización del pulso?
–   ¿Cuál es el estado de conciencia del enfermo? ¿Está agitado? ¿Está
    somnoliento? ¿Está inconsciente?

Cuantificación	de	la	función	pulmonar
La medición del flujo espiratorio máximo (FEM) antes y después de la
inhalación de salbutamol es el criterio más objetivo para evaluar la gravedad
de la obstrucción y su reversibilidad. Para evaluar la gravedad de la
obstrucción en el momento del ataque, el FEM tras inhalación de salbutamol
debe ser expresado en porcentaje del mejor FEM conseguido por el paciente
(o, en su defecto, del FEM predicho). Por esta razón es importante que el
paciente conozca su “valor máximo” y que esta información sea anotada en
su tarjeta individual.

1.2  ¿Cuál es la escala para estimar la gravedad de una crisis de 
     asma?
El Consenso Internacional ha propuesto el uso de una tabla para evaluar el
grado de gravedad de un ataque de asma.

Esta tabla permite, a partir de los signos clínicos y de las medidas de la función
pulmonar, distinguir cuatro grados de gravedad en las crisis de asma: leve,
moderada, grave, paro respiratorio inminente.

El FEM debe ser cuantificado, si posible, en cuanto el paciente llega al servicio
de urgencias, pero sobre todo 0 ó 5 minutos después de la administración
de salbutamol inhalado.




                                       35
Evaluación de la gravedad de una crisis de asma*
                        según el Consenso Internacional

                                                                               Paro  
Signos                                                                         respiratorio 
clínicos           Leve              Moderada             Grave                inminente
Disnea             al caminar,       al hablar,           en situación de
                   puede estar       prefiere estar       descanso,
                   acostado          sentado              si está acostado
Habla en           frases            trozos de frases     palabras         no puede hablar
Nivel de           agitado a         generalmente         siempre agitado somnoliento
conciencia         veces             agitado                               o confuso

Frecuencia         aumentada         aumentada            a menudo
respiratoria                                              30/min
Tiraje             no                moderado             intenso              movimientos
muscular                                                                       paradójicos
Sibilancias    moderadas,            fuertes              muy fuertes          ausentes
               al final de la
               espiración
Pulso/minuto, 100                   100-120              120                 bradicardia
adulto
Niño de 5 años 120                  120-130              130                 bradicardia
o más
FEM tras        0%                 entre 50 y 0% 50%                       imposible
inhalación                                          o 00 l/min               de medir
 de salbutamol
 (en % del
 mejor FEM
 o, en su
 defecto, en %
 del FEM pre-
 dicho del
 paciente)
*   La gravedad de una crisis viene indicada por la categoría más alta de gravedad, donde se hallan
    presentes varios signos (no necesariamente todos). Si la entrevista clínica revela un factor de
    alto riesgo de asma fatal y/o un tratamiento anterior ineficaz a domicilio, el nivel de gravedad
    superior se atribuye a la crisis.




                                               3
No todos los criterios correspondientes a una misma categoría están
necesariamente presentes en un determinado paciente. Cuando haya varios
signos clínicos presentes, se tendrá en cuenta el grado de gravedad más elevado.

La evaluación de la gravedad puede modificarse, pudiendo atribuirse a una
crisis un grado de gravedad superior si en la anamnesis se encuentran factores
de riesgo particulares. La rápida entrevista a que se somete al paciente o a
su familia (si el paciente no puede responder a las preguntas) permite en
ocasiones:

–   encontrar un factor de alto riesgo de asma fatal:
    – un tratamiento con corticoides muy reciente o en curso;
    – una hospitalización o visitas frecuentes a servicios de urgencias
        durante el año anterior;
    – una intubación previa por asma;
    – una enfermedad psiquiátrica grave;
–   y/o descubrir que el paciente ha emprendido sin éxito un tratamiento de
    urgencia antes de presentarse en el servicio de urgencias.

2.  Cómo manejar una crisis de asma
2.1  ¿Cuáles son los objetivos del tratamiento?
–   Evitar la muerte;
–   Restitutir el estado clínico y funcional a su mejor nivel lo antes posible,
    suprimiendo la obstrucción;
–   Mantener una función pulmonar óptima;
–   Prevenir la recaída precoz mediante el tratamiento de la inflamación.

2.2  ¿Qué medios terapéuticos se han de utilizar?
Salbutamol
Es la medicación más eficaz y la menos tóxica. Tiene varias presentaciones:

–   inhalador de dosis medida: se usa con o sin cámara espaciadora según la
    gravedad del ataque, la habilidad del paciente y su capacidad para inhalar.
    Las dosis varían entre 4 y 8 inhalaciones en cada toma.
–   nebulización: para cada nebulización, se mezcla  ml de la solución para
    nebulizar con 3 ó 4 ml de solución isotónica. La nebulización se realiza
    mediante un nebulizador (eléctrico o bomba accionada con el pie) o
    conectando directamente el aparato a una fuente de oxígeno.

                                      3
Corticoides
En situaciones de emergencia, los corticoides se administran siempre por vía
sistémica. Por su acción antiinflamatoria, estos medicamentos aceleran la
resolución de las crisis que no responden a los broncodilatadores únicamente
y, por encima de todo, evitan el riesgo de recaída. La mejoría clínica producida
por los corticoides, sea cual sea su forma de administración, requiere un
mínimo de cuatro horas; la administración de corticoides por vía intravenosa
no entraña, por tanto, ninguna ventaja. Esta vía se reserva a los pacientes con
problemas de mala absorción o de intolerancia digestiva, o para las crisis muy
graves en pacientes que ya tienen una vena cateterizada. Se administrará una
dosis de prednisona oral de entre /2 y 2 mg/kg/día (una media 30 a 60 mg/día
para los adultos) o, si es necesario, de 00 a 200 mg de hidrocortisona cada
4 ó  horas por vía intravenosa.

  Medicamentos esenciales para el tratamiento del asma en urgencia

                                           Modo de administración  
Medicamentos              Nombre genérico        y dosis

Broncodilatadores
Simpaticomiméticos        Salbutamol           Aerosol: 00 µg por inhalación
                                               Solución para nebulizador:
                                               5 mg/ml
Antiinflamatorios
Corticoides               Hidrocortisona       Ampolletas: 00 mg
                          Prednisona           (vía intravenosa)
                                               Comprimidos: 5 mg

Oxígeno
Si una crisis es clasificada como grave, habrá que administrar oxígeno al
paciente. El oxígeno se humidificará y administrará a alto flujo (6 l/min)
lo más concentradamente posible. En los países con escasos recursos
económicos donde los servicios de urgencia no siempre disponen de oxígeno
mural y botellas de oxígeno, se pueden utilizar utilizar extractores de oxígeno
si hay electricidad disponible: para obtener un flujo de oxígeno de 6 l/min se
necesitan dos extractores en paralelo.




                                       38
2.3  Manejo del asma en el servicio de urgencias
En cuanto el paciente ingresa en la sala de urgencias, es necesario:
– determinar la gravedad de la crisis;
– utilizar el mejor tratamiento disponible en el centro;
– organizar el seguimiento del paciente.

El médico no debe abandonar al paciente durante los 5 primeros minutos, ya
que el estado de éste puede agravarse bruscamente. Deberá controlar el estado
del paciente cada 20 minutos durante la primera hora, y luego cada hora, con el
fin de determinar la respuesta al tratamiento. La evaluación del FEM se hará en
relación con el mejor FEM del paciente si se conoce; si no, en relación con el
FEM predicho (cuando no se dispone del mejor FEM del paciente, la evaluación
de la gravedad de la crisis y el control de su evolución pueden resultar difíciles,
ya que en aquellos pacientes con asma persistente moderada o grave, el mejor
FEM es, la mayoría de las veces, inferior a lo normal).

La evolución de la crisis durante el tratamiento se juzgará según los criterios
siguientes:
– respuesta completa: desaparición casi total de los signos clínicos; FEM
    superior al 70% o al 80%;
– respuesta incompleta: mejoría sin desaparición de los signos clínicos;
    incremento del FEM, que sigue siendo inferior al 0%;
– ausencia de respuesta o deterioro: ausencia de mejoría o agravación de
    los signos clínicos; FEM inferior al 50%.

El seguimiento clínico debe ser preciso y sistemático, revisándose con
regularidad cada signo clínico y el FEM. Los resultados de la evaluación
deben ser cuidadosamente registrados en una tarjeta de seguimiento.

El paciente podrá abandonar la sala de urgencias sólo si la respuesta al
tratamiento es completa y estable. Esa estabilidad debe constatarse dejando
al paciente bajo observación durante una hora más después de la respuesta
completa a la medicación y comprobando que su estado no varía. Esta
vigilancia tiene por objetivo el de detectar riesgos de recaída inmediata, que,
aunque poco frecuentes, son generalmente graves.

Según la gravedad de las crisis, pueden proponerse diferentes esquemas de
tratamiento.


                                        39
Crisis grave 
Se iniciará de inmediato un tratamiento máximo que comportará:
– Oxigenoterapia a fuerte concentración, a flujo elevado (6 l/min);
– Salbutamol inhalado a dosis elevadas: 0 a 5 inhalaciones en cada
    administración. Esa misma dosis se administrará cada 20 minutos durante
    la primera hora mediante una cámara espaciadora. La nebulización no es
    más eficaz que la inhalación con cámara espaciadora. Sin embargo, en
    determinados casos, cuando el paciente está agotado y especialmente en
    el caso de los niños, se puede optar por una nebulización que contenga
    una solución de salbutamol de 5 mg/ml. La nebulización se administrará
    cada 20 minutos durante la primera hora, utilizándose en cada una de
    ellas entre un 20 y un 25% de la ampolla, o sea, entre 000 µg y 500
    µg de salbutamol. (Pero también se puede proceder a una administración
    continua utilizando una ampolla que será nebulizada durante la primera
    hora). El salbutamol se puede nebulizar utilizando oxígeno en lugar de
    aire enchufando el nebulizador a la fuente de oxígeno;
– Una inyección subcutánea de salbutamol, eventualmente;
– Hidrocortisona intravenosa a razón de 100 a 200 mg (2 a 4 mg/kg). La
    administración de corticoides por vía intravenosa no es más eficaz que la
    administración por vía oral en dosis diarias de 60 a 80 mg de prednisona.
    Si se elige la administración oral, la dosis diaria será administrada en una
    sola toma.
Tras la primera hora se proseguirá con el tratamiento del modo siguiente:
– oxigenoterapia al mismo flujo y de manera continua;
– corticoides intravenosos (si se ha optado por esta vía de administración),
   a la misma dosis y cada 4 horas;
– salbutamol inhalado a la misma dosis y cada 4 horas.
El seguimiento de las crisis graves se efectuará durante un mínimo de 
horas. La evaluación del estado del paciente al término de este período de
vigilancia permitirá determinar si éste puede ser dado de alta o debe ingresar
en un hospital:

–   en caso de ausencia de mejoría o en caso de agravación. Por ejemplo, si los
    signos clínicos de una crisis grave no mejoran, si aparecen signos de paro
    respiratorio inminente, o si el FEM es inferior al 30%), es imprescindible
    transferir al paciente a un centro de atención de salud donde haya un



                                      40
médico especialista competente o donde se le pueda administrar cuidados
    intensivos y una ventilación mecánica;
–   en caso de respuesta incompleta (cuando los signos clínicos corresponden
    a una crisis moderada y el FEM se mantiene entre un 30% y un 0%),
    el paciente es hospitalizado en un servicio médico para proseguir con su
    tratamiento;
–   en caso de respuesta satisfactoria (cuando los signos clínicos desaparecen,
    el FEM es superior al 0%), el paciente puede ser dado de alta del hospital
    una vez que el médico haya constatado que su estado permanece estable
    una hora después de la última dosis de salbutamol.

Paro respiratorio inminente
Todos los pacientes con paro respiratorio inminente deben ser sometidos a un
tratamiento (como mínimo el correspondiente a una crisis grave) en cuanto
llegan al servicio de urgencias y transferidos, si posible, a otro servicio más
adaptado: ya sea a una unidad de cuidados intensivos, o a un servicio que
disponga de un especialista competente y donde sea posible efectuar una
ventilación mecánica.

Crisis moderada
El tratamiento comporta la administración de:
– salbutamol inhalado, a ser posible utilizando una cámara espaciadora.
    La dosis será de 4 a 8 inhalaciones por toma, repetidas cada 20 minutos
    durante la primera hora y seguidas eventualmente de dosis similares cada
    hora en caso de respuesta incompleta;
– prednisona oral en una dosis única de 0.5 a 1 mg/kg.

El seguimiento debe durar entre .5 y 2 horas. Si la respuesta es completa y
estable, se puede dar de alta al paciente una hora después de la última dosis
de salbutamol. En caso de ausencia de respuesta o de respuesta incompleta,
se proseguirá el manejo como si se tratase de un caso de crisis grave.

Crisis leve
El tratamiento consiste en la administración de salbutamol inhalado en dosis
de 4 a 8 inhalaciones por toma, ya sea directamente o utilizando una cámara
espaciadora. En caso de respuesta incompleta, el tratamiento se renovará cada
20 minutos durante la primera hora. El paciente podrá ser dado de alta una
hora después de que se haya obtenido una respuesta completa. La vigilancia

                                      4
debe prolongarse entre 1.5 – 2 horas. En caso de no-respuesta o de respuesta
incompleta, la crisis será tratada como una crisis moderada.

2.4  Indicaciones para la hospitalización
La decisión de ingresar al paciente en un servicio de urgencias o en un hospital
puede tomarse inmediatamente en razón de la gravedad de la crisis o tras un
tratamiento que no haya conducido a su resolución completa.

Hospitalización inmediata en un servicio especializado
En los casos siguientes, los pacientes serán transferidos lo antes posible a una
unidad de cuidados intensivos o, en su defecto, a un servicio especializado
donde haya un especialista competente y/o donde sea posible efectuar una
oxigenoterapia:
– paro respiratorio inminente;
– crisis grave con uno o varios factores de alto riesgo de asma fatal.

Otros pacientes serán transferidos a los servicios especializados durante el
seguimiento del tratamiento prescrito en el servicio de urgencias:
– crisis grave que empeora aun bajo tratamiento, con signos de paro
   respiratorio inminente;
– crisis grave que no mejora con el tratamiento al cabo de un tratamiento
   adecuado durante 2 horas.

Permanencia en un servicio de urgencias durante 6 a 12 horas
En razón de la gravedad de las crisis, ciertos pacientes deben ser hospitalizados
en el servicio de urgencias durante un período mínimo de  horas:
– crisis grave con un FEM inferior al 50%;
– crisis moderada que no responde al tratamiento inicial;
– crisis moderada ocurrida en un paciente que presenta uno o varios
    factores de alto riesgo de asma fatal.

Hospitalización  en  un  servicio  médico  a  partir  de  la  12ª  hora  de 
seguimiento
A partir de la 2ª hora de tratamiento y vigilancia en el servicio de urgencias,
los pacientes que presentaban una crisis moderada o grave y cuyo estado ha
empeorado o no ha mejorado con el tratamiento adecuado (FEM entre 30%
y 0%) serán hospitalizados en un servicio médico.


                                       42
2.5  Condiciones básicas para el alta hospitalaria
Los pacientes que mayores riesgos corren de morir a causa del asma son
aquellos que acuden con frecuencia a los servicios de urgencias como
consecuencia de crisis asmáticas. Ésta es la razón fundamental por la que
el alta hospitalaria de los pacientes que han acudido a urgencias debe ir
acompañada de una serie de medidas destinadas a prevenir la recaída precoz
y mejorar su situación a largo plazo:
– tratar de determinar las causas de las crisis de asma para poder remediarlas
    (incumplimiento del tratamiento, ausencia de manejo a largo plazo,
    infección bronquial, comorbilidad);
– asegurarse de que la técnica de inhalación es correcta;
– prescribir al paciente, además de los beta-2 simpaticomiméticos, un ciclo
    corto de corticoides para evitar la recaída;
– el centro de salud donde está (o debería estar) registrado el paciente debe
    estar informada de los cuidados dispensados a éste, de la gravedad de la
    crisis y de los medicamentos utilizados para tratarla.

3.  Tratamiento de las crisis a domicilio
Los pacientes y/o padres bien informados con respecto al manejo del asma
son capaces de reconocer los signos de empeoramiento de la enfermedad y
de iniciar un tratamiento en su casa en cuanto aparecen los primeros signos
clínicos de la crisis. Para estos pacientes, sólo será necesario recurrir a los
servicios de urgencias en caso de sufrir una crisis que, ya de entrada, parece
más grave de lo normal o que no responde al tratamiento de emergencia
recomendado en el plan de tratamiento explicado por el personal de salud al
paciente o a sus padres.

Referencia
International Consensus Report on Diagnosis and Treatment of Asthma. Publication N° 92-3091, Bethesda, MD,
USA: National Heart, Lung, and Blood Institute, National Institutes of Health. March 992.




                                                   43
Tratamiento escalonado de las crisis de asma

                                                                        Medicina general          Servicio especializado
        Hospitalización

                                                                          FEM entre 30 y 0%          Paro respiratorio
                                                                          tras tratamiento               inminente o
                                                                           de emergencia                FEM  30%
                                                                                                     tras tratamiento de
                                                                                                         emergencia




                                                                                                    ± Ventilación
      Aumento del tratamien-                                                                        mecánica
      to en caso de ausencia 
      de mejoría
                                                                           Oxígeno con               Oxígeno con
                                                                           mascarilla                mascarilla

                                                 Prednisona                Hidrocortisona           Hidrocortisona
                                                 0.5-1 mg/kg/día           100 mg cada 4 horas      100 mg cada 4 horas


                          Salbutamol             Salbutamol                Salbutamol                Salbutamol
                          inhalado               inhalado                  inhalado                  intravenoso
                          3 veces durante        3 veces durante
                          la primera hora        la primera hora,          O                         O 
                                                 luego una vez             Salbutamol                Salbutamol
                                                 cada hora                 nebulizado                nebulizado
                                                                           ± Salbutamol
                                                                           subcutáneo




Evaluación                    Leve                 Moderada                   Grave               Paro respiratorio 
    
inicial                     FEM  70%             FEM 50-70%                FEM  50%                 inminente
   

Seguimiento
                            1 1/2-2 horas          1 1/2-2 horas             6-12 horas 


                 Alta tras una recuperación casi total y:

                             FEM ≥ 80%             FEM  70%                FEM  70%




             Condiciones para el alta tras una recuperación casi total:
             •   prescribir salbutamol inhalado y un ciclo corto de corticoides orales;
             •   asegurarse de que la técnica de inhalación del paciente es correcta;
             •   escribir una carta para el médico o el servicio de salud que dispensa (o debería dispensar) los
                 cuidados regulares de los pacientes asmáticos.



                                                                44
VI  Cómo organizar los cuidados  
                  de los pacientes asmáticos

La educación en salud del paciente (o de su familia en el caso de los niños)
es fundamental si se pretende que éste asuma responsabilidades en el manejo
de la enfermedad. Esta educación debe permitir a los pacientes adherirse a
un tratamiento regular, reconocer los signos de empeoramiento y modificar
el tratamiento en caso de exacerbación.

La educación en salud es el único medio que permite a un paciente (y/o a su
familia) comprender la afección que padece y modificar así su comportamiento
frente a la misma. Permite mejorar progresivamente las competencias y
capacidades del paciente (o de los padres si el paciente es un niño) para
participar activamente en el manejo racional de su enfermedad.

1.  Educación en salud: ¿Qué debe saber el paciente?
El objetivo de la educación en salud consiste en favorecer las relaciones
entre el paciente y su familia, por un lado, y el equipo de salud, por otro.
De la calidad de esta relación dependerá en gran parte el cumplimiento del
tratamiento y la capacidad del paciente (o de sus padres) para participar en
el manejo y control de la enfermedad.

Con el fin de lograr sus objetivos, la educación en salud debe ser permanente,
regularmente evaluada, repetitiva y, sobre todo, adaptada al nivel sociocultural
del paciente.

1.1  El contenido de la educación en salud
La educación en salud de un paciente consiste en escuchar, informar,
enseñar técnicas y favorecer la colaboración entre el paciente y el personal
de salud.

Escuchar al paciente
La clave de toda educación en salud consiste en escuchar atentamente al
paciente y establecer una relación cercana entre éste y el médico. Esta escucha
permitirá al médico comprender:


                                      45
–   el modo como el paciente percibe su enfermedad;
–   los conocimientos del paciente acerca de la enfermedad y del tratamiento;
–   las repercusiones de la enfermedad y su impacto en la calidad de vida del
    paciente;
–   el nivel sociocultural del paciente;
–   lo que el paciente espera conseguir con el tratamiento.

Informar al paciente
Además de las informaciones solicitadas por el paciente y a las cuales
el médico debe tratar de responder cuidadosamente, éste debe también
proporcionar al paciente toda información que pueda ayudarle a mejorar el
cumplimiento del tratamiento y que le permita desarrollar la capacidad de
participar activamente en el manejo de su enfermedad.

En relación con la enfermedad:
– debe anunciarse al paciente el diagnóstico exacto de asma;
– la enfermedad debe explicarse con un lenguaje sencillo, sin tecnicismos,
   con el fin de:
   – convencer al paciente de la necesidad de un tratamiento a largo plazo;
   – explicarle los resultados que puede alcanzar con ese tratamiento.

En relación con el tratamiento:
El médico debe asegurarse de que el paciente y/o su familia ha(n) comprendido
bien las informaciones siguientes:

–   existen dos tipos de medicamentos para tratar el asma: los que permiten
    tratar los síntomas suprimiendo la limitación al flujo aéreo y los que actúan
    sobre la inflamación previniendo la aparición de síntomas y disminuyendo
    la gravedad de la enfermedad;
–   un tratamiento a largo plazo nunca debe interrumpirse y el paciente debe
    disponer en todo momento de medicamentos de reserva;
–   la vía inhalada es preferible a las demás vías de administración ya
    que los medicamentos llegan directamente a los bronquios; por eso
    los medicamentos inhalados son muy eficaces, actúan rápidamente a
    pequeñas dosis y no tienen (o apenas) efectos secundarios.

El médico debe igualmente asegurarse de que el paciente y/o sus padres han
entendido bien de qué modo pueden tomar parte activa en el manejo de la
enfermedad enseñándoles:

                                       4
–   a reconocer los signos de empeoramiento del asma y a aumentar el
    tratamiento habitual antes de acudir al médico;
–   a reconocer las crisis que requieren la visita inmediata a un servicio de
    urgencias después de haber tomado el tratamiento recomendado por el
    personal de salud para este tipo de crisis;
–   cuándo y dónde consultar en razón de un empeoramiento de los síntomas.

En relación con la higiene de vida:
Se aconsejará al paciente:
– evitar la exposición a los factores identificados como desencadenantes
    habituales de las crisis;
– llevar una vida activa, que incluya la práctica de un deporte. El deporte ha
    de ser recomendado, incluso en el caso de asma inducida por el ejercicio
    físico. Ciertos pacientes aquejados de un asma persistente grave mal
    controlada se ven a veces incapacitados para practicar un deporte. Incluso
    en los casos más graves, siempre es útil hacer ejercicio con regularidad.

Enseñar las técnicas al paciente 
La técnica de inhalación con un inhalador de dosis medida:
Hay que enseñar al paciente la técnica de utilización de los inhaladores de
dosis medidas (Apéndice 4):
– el aprendizaje no se logra en una sola sesión, de ahí la necesidad de
   verificar la calidad de la técnica en cada una de las consultas del paciente;
– los fracasos terapéuticos están, muy a menudo, ligados a la mala
   utilización de los medicamentos inhalados;
– si el paciente es incapaz de obtener una coordinación correcta entre
   la mano que presiona el aerosol y el movimiento de inhalación, se
   recomienda la utilización de una cámara espaciadora. Si no hay cámaras
   disponibles en el país en cuestión, se enseñará al paciente a fabricar una
   con una botella de plástico (Apéndice 5).

La técnica de medición del flujo espiratorio máximo (FEM):
– el paciente debe aprender a llevar a cabo de forma correcta la medición
    del flujo espiratorio máximo;
– hay que realizar tres pruebas y registrar el mejor resultado obtenido;
– la medición del FEM debe realizarse antes y después de la toma de
    salbutamol para que el paciente se percate de la eficacia de dicho
    medicamento.

                                      4
1.2  Fomento de la colaboración y organización del seguimiento a 
       largo plazo
El cumplimiento de un tratamiento regular y su adaptación inmediata a los
episodios evolutivos de la enfermedad son la clave del éxito en el tratamiento
del asma. Para conseguirlo es necesario desarrollar una auténtica colaboración
entre el médico y el paciente.

Varios métodos permiten favorecer el desarrollo de esta colaboración:

Elegir y prescribir el mejor tratamiento posible, el más eficaz y aplicable:
– una terapéutica eficaz dará lugar a una adhesión inmediata al tratamiento.
   Por esta razón, no deberá subestimarse la gravedad de la enfermedad a
   la hora de elegir el mejor tratamiento;
– la elección del tratamiento debe realizarse junto con el paciente,
   asegurándose de que éste podrá seguirlo (¿puede comprar los
   medicamentos?, ¿sabe inhalar los medicamentos?, ¿entiende para qué
   sirve cada uno de los medicamentos prescritos?);
– es importante también que el paciente entienda el interés y las indicaciones
   de los ciclos cortos de corticoides orales.

Limitar el número de medicamentos y de tomas:
– el tratamiento a largo plazo requiere normalmente 2 medicamentos:
   salbutamol y beclometasona inhalados;
– el número de tomas de los medicamentos deberá reducirse al mínimo, o
   sea, a  ó 2 tomas al día en la mayoría de los casos.

Explicar claramente la prescripción:
– la prescripción debe redactarse de manera legible, de modo que el paciente
    o un miembro de su familia puedan leerla;
– la prescripción se entregará acompañada de explicaciones muy claras, a
    ser posible mostrando los medicamentos (o incluso los frascos vacíos).
    De ahí la conveniencia de disponer de algunas muestras en la consulta.
– Hay que prever un determinado número de cajas de cada medicamento
    hasta la próxima consulta, incluso un pequeño excedente con el fin de
    evitar la interrupción del tratamiento.
La técnica para tomar los medicamentos deberá explicarse muy claramente;
el paciente -o un miembro de su familia- debe ser capaz de recapitular su
tratamiento al profesional de salud que le ha dado las explicaciones.

                                     48
Organizar el seguimiento a largo plazo
El seguimiento a largo plazo contribuye a mejorar progresivamente la
educación en salud del paciente, así como a ajustar el tratamiento en función
de la evolución de la enfermedad. Además, tranquiliza al paciente y le
proporciona el apoyo psicológico necesario en toda enfermedad crónica.

El seguimiento comporta dos tipos de consulta:
Consultas regulares previa cita:
– Las primeras consultas para el manejo de un paciente asmático son a
   menudo bastante seguidas (cada semana). Tienen por objetivo el de
   determinar el mejor tratamiento a largo plazo para controlar el asma,
   evaluar la aceptación de la terapéutica por parte del paciente e iniciar su
   educación en salud. Las consultas siguientes, previa concertación de una
   cita, podrán ser más espaciadas (cada tres meses por término medio).
– Durante estas visitas, el profesional de salud deberá determinar:
   – la situación clínica: número y gravedad de los episodios sintomáticos
       desde la última consulta, número de visitas al servicio de urgencias;
   – el FEM antes y después del broncodilatador;
   – los medicamentos realmente tomados por el paciente.
– Si se constata un incumplimiento del tratamiento, hay que buscar la causa
   y tratar de remediarla.

Consultas en urgencias:
– Durante las consultas regulares, deberá explicarse al paciente cómo y
   dónde conseguir atención en situaciones de emergencia a cualquier hora
   del día o de la noche;
– Los profesionales de salud que proporcionan los cuidados a largo plazo
   en clínicas deben trabajar en estrecha colaboración con los que trabajan
   en los servicios de urgencia con el fin de reducir la necesidad de acudir
   a urgencias y el riesgo de fallecimiento;
– Sólo el profesional de salud que se ocupa del seguimiento regular del
   paciente puede tomar la decisión de introducir cambios en el tratamiento
   a largo plazo.

Animar al paciente a participar en el manejo de su enfermedad: el plan 
de tratamiento
El objetivo final de la educación en salud consiste en implicar totalmente al
paciente en el manejo a largo plazo de su enfermedad, permitirle entender

                                     49
bien su enfermedad y los medicamentos requeridos para que pueda asumir la
responsabilidad de modificar él mismo su tratamiento en caso de necesidad,
siguiendo el plan de tratamiento que le haya sido recomendado.

1.3  Planes de tratamiento
Existen ejemplos de “planes de tratamiento” propuestos en diferentes
recomendaciones de consenso para guiar al paciente en el ajuste de su propio
tratamiento. Estos planes definen 3 zonas de tratamiento según los elementos
clínicos y los resultados del FEM del paciente.

En la mayoría de los países con ingresos bajos o medios, los planes de
tratamiento basados en el seguimiento individual de la evolución del flujo
espiratorio máximo son raramente utilizables por parte de la mayoría de
los pacientes (debido al elevado índice de analfabetismo y a la falta de
disponibilidad de flujómetros). Además, se ha demostrado que los planes de
automanejo basados exclusivamente en elementos clínicos dan resultados
equivalentes a los proporcionados por las mediciones del FEM. Este plan,
que distingue 3 zonas, debe registrarse en un documento personal que el
médico proporcionará al paciente.

Zona verde (estado estable):
– el paciente no sufre ataques de asma;
– no aparecen síntomas nocturnos;
– el paciente realiza sus tareas habituales.

Esta zona corresponde a la del asma que está bajo control: el tratamiento a
largo plazo que controla el asma es anotado; es el tratamiento habitual del
paciente.

Zona amarilla (empeoramiento):
– síntomas frecuentes consistentes en tos o dificultad respiratoria;
– los síntomas alteran el sueño y/o las actividades del paciente;
– los síntomas son más graves hoy que ayer.

El tratamiento suplementario que debe seguir el paciente está escrito en
su tarjeta y ha sido bien explicado. Generalmente, el médico recomendará
al paciente un ciclo corto de corticoides orales y/o duplicar la dosis de
beclometasona inhalada, y le pedirá que prevea una consulta inmediata en


                                    50
caso de que no se produzca una mejoría. En caso de mejoría, el paciente
volverá a su tratamiento anterior al cabo de una semana.

Zona roja (crisis):
– crisis grave, disnea aguda con dificultades para hablar y caminar;
– se ha tomado el tratamiento recomendado para la zona amarilla, pero sin
   resultados.

El paciente debe acudir inmediatamente a un servicio de urgencias después
de haber tomado el tratamiento recomendado por su médico. Este tratamiento
comporta habitualmente varias inhalaciones de salbutamol con cámara
espaciadora y un ciclo de corticoides orales (1 mg/kg) en una dosis única.

¿A qué pacientes hay que proporcionarles un plan de tratamiento?
Los pacientes con asma persistente moderada o grave, que sufren
exacerbaciones más frecuentemente y a menudo más graves, son los que
más se beneficiarán de dicho plan. El médico tratante tiene la responsabilidad
de proporcionar al paciente un plan de tratamiento cuando él lo considere
oportuno y en el momento en que el paciente lo pueda entender.

¿Cuándo se debe dar al paciente un plan de tratamiento?
Dar al paciente un plan de tratamiento representa el último estadio de la
educación en salud. El médico no deberá confiar tal responsabilidad al
paciente (o a sus padres si el paciente es un niño) hasta no estar seguro de
que éste la puede asumir. Debe asegurarse de que el paciente (o sus padres)
ha entendido perfectamente:
– la importancia de su tratamiento a largo plazo;
– el papel de cada medicamento;
– la técnica para tomar los medicamentos;
– los signos de empeoramiento.

Durante las consultas de seguimiento, el médico debe comprobar igualmente
que el paciente está respetando su tratamiento.

En consecuencia, un paciente nunca debe recibir un plan de tratamiento
durante su primera consulta; el momento en que lo reciba dependerá del
tiempo que necesite para adquirir las nociones básicas de educación en salud.
El plan de tratamiento se dará más rápidamente a los pacientes más graves


                                     5
que sufren de exacerbaciones frecuentes, con el fin de tratar de limitar la
gravedad.

¿Cómo hay que dar el plan de tratamiento al paciente?
Cada paciente dispondrá de una tarjeta individual, de la cual proponemos un
ejemplo en el Documento 1. En esta tarjeta figuran: el diagnóstico, el plan
de tratamiento y su mejor FEM.

En ella se señalará también información personal acerca del paciente e
información sobre la técnica de inhalación de los medicamentos y sobre los
servicios de urgencias.

Esta tarjeta será entregada al paciente durante la primera consulta. El médico
registrará en ella el plan de tratamiento sólo tras haberse asegurado de que
el paciente es capaz de adaptar él mismo su propio tratamiento.

1.4  Métodos de educación en salud
Existen diferentes métodos para la educación en salud del paciente.

Educación en salud individualizada:
Es realizada por el médico que se halla a cargo del paciente. Pueden participar
en ella los demás miembros del equipo de salud. Los mensajes deben ser
sencillos y adaptarse al nivel cultural de cada paciente. El progreso de cada
paciente será evaluado por el profesional de salud encargado de su cuidado,
el cual determinará, además, el momento idóneo para introducir el plan de
tratamiento.

Educación en salud por grupos:
Este tipo de educación puede ser impartida por el servicio de salud a un
grupo de pacientes, si bien nunca debe reemplazar la educación en salud
individual.

2.  Implementación: ¿Cómo encaja el cuidado del asma en 
2.  los servicios de salud?
El adecuado manejo de pacientes con asma corre a cargo tanto médicos
generales como especialistas. Para ser mejorado y racionalizado, este manejo
debe ser organizado y jerarquizado en los servicios generales de salud pública.

                                      52
Esto implica varios niveles de intervención, que se distinguen entre sí por
el grado de especialización del personal de salud, el tipo de centro de salud
y los equipamientos.

El manejo del asma puede concebirse según tres niveles de cuidados diferentes,
que están en comunicación permanente para asegurar una fácil transferencia
de los pacientes y de la información médica de un centro a otro.

2.1.  Centros periféricos
A este nivel, ejerce un médico general o, a veces, un(a) enfermero/a.
Ambos pueden participar en el manejo de los pacientes asmáticos según su
competencia y el equipamiento disponible en dichos centros.

Tareas de los profesionales de salud en los centros periféricos
–   Identificar los casos sospechosos de asma;
–   Diagnosticar la mayoría de los casos de asma y evaluar su gravedad;
–   Manejar todos los casos de asma intermitente;
–   Remitir todos los casos de asma persistente al primer nivel de referencia;
–   Remitir al nivel superior a los pacientes que planteen un problema de
    diagnóstico o terapéutico.

2.2  Centro de primer nivel de referencia
En un sector sanitario de 50.000 a 200.000 habitantes, existen diversos
centros periféricos y un centro de referencia que se encuentra generalmente
ubicado en la capital del distrito, dentro o fuera del hospital. El manejo de
los pacientes asmáticos con enfermedad persistente debe desarrollarse en
este centro de referencia de primer nivel, donde ejerce un especialista en
neumología o un médico general especialmente formado en el manejo de
enfermedades respiratorias.

En este centro se encuentran agrupados diferentes servicios especializados
(incluida la unidad de diagnóstico y de tratamiento del programa nacional
contra la tuberculosis, en la mayoría de los países con ingresos medios
o bajos). Estos servicios están integrados y forman el primer nivel de
especialización. El médico o los médicos que ejercen en este centro tienen
la responsabilidad de garantizar que todos los cuidados proporcionados a
nivel periférico (nivel de atención primaria de salud) son correctos, incluidos


                                      53
los dispensados a los pacientes asmáticos. El hospital del distrito está
generalmente bajo la responsabilidad de uno de los médicos del centro.

Tareas  de  los  profesionales  de  salud  en  el  centro  de  primer  nivel  de 
referencia
–   Asegurar el diagnóstico, la educación en salud, el tratamiento y el
    seguimiento de los pacientes asmáticos del distrito;
– Manejar todos los casos de asma persistente del distrito;
– Manejar los casos transferidos de asma infrecuente o complicada;
– Remitir a los pacientes al nivel de referencia superior si necesario;
– Asegurar una formación médica continua del personal de salud del distrito
    en materia de asma y de su manejo;
– Emprender o participar en investigaciones operativas a nivel de distrito;
– Registrar todos los nuevos casos de asma persistente identificados en el
    distrito;
– Registrar con regularidad los resultados del tratamiento para todos los
    casos de asma persistente.
Se puede designar a un miembro del equipo como responsable del
mantenimiento del sistema de información y del suministro de medicamentos
y equipamientos. A este nivel, los profesionales de salud disponen del sistema
de información (registro, archivos) y del medidor del flujo espiratorio máximo
o flujómetro. Deberán disponer también de un aparato de rayos X y de un
servicio de urgencias capaz de manejar las crisis de asma graves. El servicio
de urgencias debe disponer como mínimo de un medidor de flujo, de una
cámara espaciadora y de oxígeno.

2.3  Centro especializado de segundo nivel de referencia
El segundo nivel de referencia especializado está representado por los
hospitales de tercer nivel/universitarios o por grandes hospitales bien
equipados donde ejercen especialistas en neumología. Estos servicios
aseguran las funciones de referencia para todos los demás niveles de los
servicios de salud.

Equipamiento necesario en el segundo nivel de referencia
Estos servicios de referencia deben:
– disponer de un espirómetro y, si posible, de un analizador de gases
   sanguíneos;
– tener acceso a un servicio de radiología;

                                      54
–   tener acceso a una unidad de cuidados intensivos o a un servicio
    especializado capaz de proporcionar una ventilación mecánica.
Tareas del personal en el segundo nivel de referencia
Además de las tareas asumidas en el primer nivel de referencia, estos servicios
especializados deben manejar casos más complicados remitidos por el primer
nivel de referencia.

    Coordinación de los diferentes niveles de los servicios de salud

Nivel             Centro               Personal        Material

Periférico        Centro de salud      Médicos         Flujómetro
                                       generales
Primer nivel de   Hospital o           Especialistas   Flujómetro
referencia        centro de salud                      Espirómetro (si posible)
                  especializado                        Oxígeno
                                                       Cámara espaciadora
                                                       Nebulizador
Segundo nivel     Hospital             Especialistas   Espirómetro
de referencia                                          Gasómetro arterial
                                                       Rayos X


2.4  Coordinación entre los diferentes niveles
Sea cual sea el nivel de intervención en el que el paciente es atendido, deberán
aplicarse los principios siguientes:
– remitir al paciente a un nivel superior si la naturaleza de su asma excede las
    capacidades y/o los medios del nivel de atención en que es atendido;
– reenviar al paciente al nivel de atención inicial una vez que el problema
    por el cual fue transferido a otro nivel ha sido adecuadamente resuelto;
– la transferencia de un paciente de un nivel de atención de salud a otro
    debe ir acompañada de una carta donde se expliquen las razones de dicha
    transferencia, las intervenciones realizadas y su estado de salud actual.




                                      55
2.5.  Organización del manejo de los pacientes asmáticos a nivel 
      nacional
Deberá nombrarse a un Coordinador Nacional, cuya responsabilidad será la
de garantizar el seguimiento del número de casos y la calidad de los cuidados
dispensados a todos los pacientes del país, así como la calidad y la regularidad
de los suministros. Este coordinador debe apoyarse en un comité más amplio
para cumplir las principales tareas siguientes:
– desarrollar un plan nacional para el manejo estandarizado de los casos;
– elaborar y participar en el programa de formación continua destinado a
    los profesionales de la salud implicados en el manejo de los pacientes
    asmáticos;
– supervisar la evaluación regular de la epidemiología y del manejo del
    asma en el país;
– promover y participar en la implementación de investigaciones que
    permitan mejorar el manejo de los pacientes asmáticos.

Los médicos, tanto generales como especialistas, que ejercen en el sector
privado participan en el manejo de los pacientes asmáticos. Estos profesionales
deberían poder participar igualmente en las formaciones para así adherirse
al plan general de manejo adoptado a nivel nacional.




                                      5
VII  Proporcionar un servicio de calidad

1.  ¿Por qué hay que estandarizar los cuidados?
Dispensar a los pacientes asmáticos cuidados estandarizados de calidad es
importante por varias razones:
– si los cuidados se proporcionan de manera no estandarizada, muchos
   pacientes no alcanzarán el estado de salud óptima que sería posible
   alcanzar;
– se necesita un enfoque sistemático estandarizado debido a la naturaleza
   crónica de la enfermedad;
– la ausencia de estandarización de los cuidados y de evaluación y registro
   de los resultados incrementa los costos de salud para el paciente, la familia
   y la colectividad.

2.  ¿Cómo se puede garantizar la calidad de los servicios de 
    salud? Evaluación de las actividades
El único medio que permite controlar la calidad de los servicios es el registro
y la evaluación de la información relativa a los cuidados de cada paciente.
El registro del número de pacientes en una institución o colectividad y la
evaluación de su evolución proporcionan las informaciones necesarias para
poder analizar los resultados del tratamiento, planificar el modo de dispensar
los cuidados de salud, determinar el análisis de la situación y revisar la
estrategia de manejo si los resultados no son satisfactorios.

Este registro debe ser sistemático y completo, y, por tanto, recurrir al enfoque
de cohorte: todos los pacientes a quienes va dirigida la intervención de salud
son registrados y evaluados, y ninguno es omitido o excluido de la evaluación.
Por esta razón se recomienda registrar a todos los pacientes que sufren de
asma persistente (confirmada o probable) y para los cuales se ha prescrito
un tratamiento a largo plazo.

Los pacientes que sufren de asma persistente constituyen el grupo específico
seleccionado para el seguimiento regular de su evolución, ya que son los más
enfermos; en caso de tratamiento deficiente, su enfermedad tendrá un mayor
impacto en sus vidas y en las de sus familias; son ellos los que más recursos
consumen y también los que mayores riesgos de morir corren.

                                      5
3.  ¿Qué elementos hay que vigilar?
3.1  La calidad de los cuidados clínicos dispensados a los pacientes
Algunos indicadores de la calidad de los cuidados son:
– la proporción de casos confirmados según la definición en relación con
   el conjunto de casos;
– la concordancia entre los signos clínicos, el nivel del FEM y la gravedad
   atribuida a la enfermedad;
– la concordancia entre el grado de gravedad de la enfermedad y el
   tratamiento prescrito.

3.2  La evolución de los pacientes bajo tratamiento
La reevaluación periódica de los pacientes bajo tratamiento es un medio
para determinar los beneficios y la eficacia del tratamiento. El registro de la
variación del grado de gravedad de la enfermedad es un buen indicador de
la eficacia del tratamiento.

3.3  El  impacto  del  conjunto  de  los  servicios  proporcionados  al 
                                                                        
3.3  paciente
Seguir la evolución de cada paciente permite registrar su enfermedad y saber
si los servicios proporcionados han tenido algún impacto en ella. En este
sentido, los indicadores más importantes son:
– la proporción de pacientes fallecidos mientras estaban bajo tratamiento;
– la frecuencia de las visitas no programadas a los servicios de salud para
    el tratamiento del asma.

Si el tratamiento es de buena calidad, fallecerán pocos pacientes, y la frecuencia
de las visitas no programadas a los servicios de salud (especialmente a los
servicios de urgencias y al hospital) disminuirá considerablemente.

3.4  ¿Cuál es el sistema de información recomendado?
En el nivel de la estructura de salud de primer nivel de referencia, se
recomiendan los siguientes documentos para el registro y la notificación de
casos:

–   Tarjeta del paciente (Documento 1), tarjeta personal a entregar al paciente;



                                       58
–   Tarjetas de tratamiento (Documento 2), conservadas en el centro de salud;
–   Registro de nuevos casos de asma persistente del distrito (Documento
    3), conservado en el centro de salud;
–   Informe trimestral de los nuevos casos (Documento 4), a llenar por el
    responsable del centro de salud y a enviar al coordinador nacional;
–   Informe anual sobre los resultados del tratamiento (Documento 5), a llenar
    por el responsable del centro de salud y a enviar al coordinador nacional;
–   Formulario de pedido de medicamentos (Documento 6), a llenar por el
    responsable del centro de salud y a enviar al coordinador nacional.

4.  Suministros: cómo asegurarlos a escala nacional
Uno de los aspectos más importantes para el éxito en el tratamiento de una
enfermedad crónica como el asma consiste en asegurar suministros regulares
de medicación y de material diagnóstico. Para determinar las necesidades
habituales y de una reserva de seguridad, hay que basarse en la estimación
de los requerimientos registrados en los informes regulares de los enfermos
atendidos en cada región. Es necesario conocer el número de pacientes
nuevos y las tasas de mortalidad y abandono del tratamiento. Asimismo, será
preciso hacer algunas extrapolaciones ya que la información rutinariamente
recopilada se basa en el trabajo del primer nivel de referencia y no aporta
información sobre la situación en las estructuras periféricas.

Para calcular las necesidades de medicación habituales, se utilizarán las
siguientes hipótesis:
–   en la colectividad, por cada caso de asma persistente grave, existen 2
    casos de asma persistente moderada, 5 casos de asma persistente leve y
    25 casos de asma intermitente;
–   el tratamiento de un caso de asma persistente grave requiere, por término
    medio, 5 mg de prednisona, 8 inhalaciones de beclometasona y 4 de
    salbutamol al día;
–   el tratamiento de los casos persistentes moderados consistirá, por término
    medio, en 4 inhalaciones de beclometasona y 4 de salbutamol al día;
–   el tratamiento de los casos persistentes leves consistirá, por término
    medio, en 2 inhalaciones de beclometasona y 4 de salbutamol al día;
–   el tratamiento de los casos intermitentes consistirá, por término medio,
    en  inhalación de salbutamol al día.



                                     59
Para niños de 5 años o más, se puede igualmente calcular las necesidades
de medicación del mismo modo que para los adultos: son equivalentes en
el caso del salbutamol inhalado y se reducen más o menos a la mitad en el
caso de la beclometasona inhalada.

Puesto que cada inhalador contiene 200 dosis de beclometasona y de
salbutamol, es posible calcular las necesidades -incluida una reserva de
seguridad- para cada período.

Las crisis de asma que requieren visitas a los servicios de urgencias se calculan
del siguiente modo: para los casos graves, 5 veces al año; para los moderados,
2 veces al año; para los casos leves, una sola vez al año.

El formulario de pedido de medicamentos (Documento 6) se basa en el
número de casos de asma persistente registrados en un sector. Ha sido
diseñado para los adultos a partir de las hipótesis precedentes.

5.  Formación: cómo organizarla
5.1  En las escuelas de ciencias médicas
Todas las escuelas de medicina o de enfermería del país deberían dispensar
una formación adecuada que permita a los profesionales de salud asumir
la responsabilidad del cuidado de los pacientes asmáticos. El programa de
estudios debe desarrollarse previa consulta con el Coordinador Nacional y
debe respetar las directrices nacionales para el manejo del asma.

5.2  Mediante la formación continua
La formación continua del personal de salud implicado en el manejo del asma
es fundamental a la hora de asegurar un manejo correcto de los pacientes. Una
vez introducido un programa nacional en un país, es útil seleccionar varios
distritos como “áreas piloto” para lanzar el programa. Ese lanzamiento debe
comenzar por un curso de formación de varias semanas que incluirá:
– las bases científicas del programa nacional;
– los aspectos técnicos y organizativos;
– el sistema de información utilizado: documentos individuales del paciente,
    registros e informes.
Desde el inicio del programa, el componente más importante de la formación
continua son las visitas de supervisión regulares, efectuadas a los diferentes

                                       0
niveles de intervención para asegurarse del adecuado manejo de los pacientes,
así como de la recopilación de información y de la calidad de los suministros
de medicamentos y equipamientos.

Deben organizarse reuniones regulares (como mínimo anuales) de los
profesionales de salud involucrados en el manejo de pacientes con asma en
cada nivel de intervención del sistema de salud para discutir acerca de los
informes referentes a nuevos casos y de los resultados del manejo, y para
encontrar soluciones a los problemas planteados.

6.  Adaptación a la situación local y puesta en marcha de la 
    intervención
La intervención y los formularios de registro y notificación necesarios
para implementar el manejo de los pacientes asmáticos deben adaptarse a
la situación local de cada país. Habrá que tener en cuenta, en particular, la
organización de los servicios de salud y los consensos o recomendaciones
nacionales. La adopción de un sistema de registro y notificación es
fundamental para evaluar permanentemente los resultados de la intervención
implementada.

El procedimiento de implementación de la intervención debe hacerse por
etapas:
– Implementación en algunas zonas de salud piloto;
– Evaluación de los resultados;
– Modificaciones eventuales de la intervención en función de los
    resultados;
– Generalización progresiva de la intervención en las demás zonas con
    evaluación permanente de los resultados.

7.  Investigación: ¿Cuál es su papel?
La investigación es un componente fundamental de todos los programas
de intervención en los servicios de salud. Sólo mediante una investigación
rigurosa y sistemática puede comprenderse las enfermedades y la forma
de controlarlas, y pueden mejorarse los sistemas para dispensar cuidados.
La investigación en el contexto de un programa se realiza habitualmente
mediante el componente de evaluación del programa, utilizando a menudo la
información recogida de forma rutinaria como punto de partida para plantear
las preguntas a las que la investigación debe esforzarse por responder.
La Comisión Internacional para el Desarrollo de la Investigación en Salud
ha establecido que un porcentaje fijo (5%) del presupuesto de cualquier
programa de salud debe reservarse para la investigación. La razón de esta
recomendación es que la investigación genera conocimientos nuevos que
constituyen una potente herramienta para el cambio.

En consecuencia, el tipo de investigación más apropiado para este fin es
la investigación operativa. Este tipo de investigación implica al personal
responsable del manejo de los pacientes, les proporciona conocimientos
nuevos y les ayuda a resolver los problemas que deben afrontar habitualmente.
Los temas más apropiados para este tipo de investigación incluyen la
distribución del asma en la comunidad, sus determinantes y la relación costo-
efectividad de las distintas intervenciones.




                                     2
Apéndices
	

Apéndice	1:		 Cuestionario	de	investigación	de	la		
              	UICTER	sobre	síntomas	bronquiales	(1984)	         64

Apéndice 2: Técnica de medición del flujo espiratorio	
            máximo	(FEM)	                                        67

	            –	Tabla	de	referencia	del	FEM	para	los	adultos	     69

	            –	Tabla	de	referencia	del	FEM	para	los	niños	de		
             	 	5	años	o	más	                                    70


Apéndice 3: Cómo confirmar el diagnóstico de asma 	
            	y	medir	su	gravedad		                               71


Apéndice	4:	 Cómo	utilizar	un	inhalador	de	dosis	medida		        73


Apéndice	5:	 Cómo	utilizar	y	fabricar	una	cámara	espaciadora	    74




                                 63
Apéndice 1

       Cuestionario de investigación de la UICTER
          sobre síntomas bronquiales (1984)

Sírvase contestar a las preguntas con un “sí” o un “no”. Si no
está seguro, elija “no”.
Sibilancias y opresión en el pecho
1.   ¿Ha tenido alguna vez en los últimos 12 meses           No      Sí
     pitidos o silbidos en el pecho?                         [ ]     [ ]

2.   ¿Ha tenido alguna vez en los últimos 12
     meses sensación de opresión en el pecho al              No      Sí
     levantarse por la mañana?                               [ ]     [ ]

Dificultad para respirar
3.   ¿Ha tenido alguna vez en los últimos 12 meses
	    dificultad	repentina para respirar en algún momento     No      Sí
     del día sin estar realizando ningún esfuerzo?           [ ]     [ ]

4.   ¿Ha tenido alguna vez en los últimos 12 meses
	    dificultad	repentina para respirar después de haber     No      Sí
     realizado algún esfuerzo?                               [ ]     [ ]

5.   ¿Se ha despertado por la noche alguna vez durante       No      Sí
     los últimos 12 meses	por	dificultad	repentina	          [		]	   [		]	
     para respirar?

Tos y flemas procedentes del pecho
6.   ¿Se ha despertado por la noche alguna vez durante       No      Sí
     los últimos 12 meses debido a un acceso de tos?         [ ]     [ ]

7.   ¿Tose habitualmente al levantarse por la mañana?        No      Sí
                                                             [ ]     [ ]

8.   ¿Habitualmente	expulsa	flemas	procedentes	              No	     Sí	
     del pecho al levantarse por la mañana?                  [ ]     [ ]

9.		 ¿Expulsa	usted	flemas	la	mayoría de las mañanas         No      Sí
     durante al menos 3 meses al año?                        [ ]     [ ]


                                   64
Respiración
10.	 ¿Cuál	de	las	siguientes	afirmaciones	describe	mejor su respiración?
                                            (marque sólo una castilla)
     a. No tengo problemas con mi respiración                     [ ]
        nunca o en contadas ocasiones

     b. Tengo problemas frecuentes con mi respiración,            [ ]
        pero siempre se solucionan totalmente

     c. Mi respiración nunca es normal                            [ ]

Animales, polvo, plumas
11. ¿Cuando está usted en un lugar polvoriento de su casa o cerca
    de animales (perros, gatos, pájaros, caballos, etc.) o plumas
    (almohadas, cojines, edredones, etc.), siente siempre:
     a. una sensación de opresión en el pecho?                    No       Sí
                                                                  [ ]      [ ]

	    b.	 dificultades	para	respirar	?	                            No	      Sí
                                                                  [ ]      [ ]

Asma
12. ¿Ha tenido asma alguna vez?                                   No       Sí
                                                                  [ ]      [ ]

13. ¿En algún momento durante los últimos 12 meses                No       Sí
    ha tenido una crisis de asma?                                 [ ]      [ ]

14. ¿Toma habitualmente medicamentos (inhaladores,                No       Sí
    aerosoles, pastillas) para el asma?                           [ ]      [ ]

Tabaquismo
15. ¿Ha fumado durante un año seguido?                            No       Sí
                                                                  [ ]      [ ]
     [Se entiende al menos un cigarrillo o más al día
     (o un puro o más por semana, o 30 gramos
     de tabaco al mes) durante al menos un año]




                                     65
SI CONTESTA “NO”, VAYA A LA PREGUNTA 20
SI CONTESTA “SÍ”:
16. ¿Fuma (o fumaba) habitualmente :
    – cigarrillos manufacturados?                                                             [ ]
    – cigarrillos liados a mano?                                                              [ ]
    – pipa?                                                                                   [ ]
    – puros?                                                                                  [ ]
	   –	otros?	(Especifique,	por	favor)	                                                   	    [		]

17. ¿Cuántos cigarrillos fuma (fumaba) usted al día?
    ..................................................................... c/día

18. En la actualidad:                                           (marque sólo una castilla)
       ¿continúa fumando?                                                                     [ ]
       ¿ha dejado de fumar totalmente hace menos de 1 mes?                                    [ ]
       ¿ha dejado de fumar totalmente hace 1 mes
       como mínimo?                                                                           [ ]

19. ¿Cuánto tiempo hace que fuma o -si lo ha dejado-
    durante cuánto tiempo fumó? .............................. años

Más información sobre usted

20. Fecha de nacimiento
                                                                día                mes        año
21. Sexo
                                                                                  hombre     mujer

22. Fecha actual
                                                                día               mes         año

23. Edad
                                                                                  años
Referencia
Burney PG, Laitinen LA, Perdrizet S, Huckauf H, Tattersfield AE, Chinn S, et al. Validity and repeat-
ability of the IUATLD (1984) bronchial questionnaire: an international comparison. Eur Respir J
1989; 2: 940-945.




                                                    66
Apéndice 2

Medición del flujo espiratorio máximo (FEM)




Material
Flujómetro y boquillas de cartón (desechables) o de plástico (a limpiar tras
cada utilización).

Medición del FEM de un paciente en l/min
1.	 Ajuste	una	boquilla	en	el	extremo	del	flujómetro	y	coloque	el	indicador	
    de medida a cero.
2.	 Póngase	 de	 pie	 y	 agarre	 el	 flujómetro	 en	 posición	 horizontal	 por	 la	
    extremidad opuesta a la de la boquilla, teniendo cuidado de no impedir
    el movimiento del indicador.
3. Inspire profundamente, apriete bien los labios alrededor de la boquilla
    y espire lo más rápidamente posible (de un golpe seco, como si fuera a
    apagar una vela). El indicador ascenderá hasta un determinado nivel:
    anote el resultado marcado por la posición del indicador en l/min.
4. Repita la maniobra dos veces más: de los tres resultados obtenidos,
    retenga y anote el más elevado.

                                       67
Evaluación de la función pulmonar: FEM del paciente en % de su valor
predicho
El FEM en litros/min debe expresarse en % del valor predicho para poder
hacer una evaluación de la función pulmonar del paciente. Existen tablas
de referencia que indican los valores del FEM predicho para niños menores
de 15 años y para adultos, según el sexo y la altura. El cálculo del FEM
del paciente en % de su valor predicho se expresa mediante la fórmula
siguiente:

   FEM del paciente en % del valor predicho = FEM en l/min observado /
                      FEM predicho en l/min x 100

Ejemplo del cálculo del FEM en porcentaje del FEM predicho en un hombre
de 40 años de 1m 67cm de altura:
FEM predicho = 620 l/m
FEM observado = 500 l/min
FEM % predicho = 500/620 x 100 = 81%




                                   68
Apéndice 2 (continuación)
Tabla de referencia del FEM para adultos




                                                            AGE IN YEARS
 WRIGHT. B.M., and MCKERROW, CB. (1959), Brit. Med. J. 2.1041. Maximum forced expiratory flow rate as a measure of ventilatory capacity.
     With a description of a new portable instrument for measuring it.
 NAIRN. J.R. BENNETT. A.J., ANDREW. J.D., and MACARTHUR. P (1961), Arch. Dis. Childh. 36.253. A study of respiratory function in normal
     school children; the peak flow rate.
 SHEPHARD, R.J. (1962). Thorax. 17.39. Some observations on peak expiratory flow.
 FAIRBAIRN, A.S., FLETCHER, C.M., TINKER, C.M., and WOOD. C.H. (1962). Thorax. 17.168. A comparison of spirometric and peak expiratory
     flow measurements in men with and without chronic bronchitis.
 LEINER, G.C., ABRAMOWITZ, S., SMALL, M.J., STENBY, V.B., and LEWIS, W.A. (1963), Amer. Rev. Resp. Dis. 88.644. Expiratory peak flow
     rate. Standard values for normal subjects. Use as a clinical test of ventilatory function.
 GREGG, I (1964), J. Coll. Gen. Pract 7 199 and 215. The measurement of pack expiratory flow rate and its application in general practice.
 ANDERSON, A.K. (1966), Brit. J. Clin, Pract 20.635. The low-rate flow meter used by school entrants.
 LEONARDS, A.K. (1966) ACTA Allergy. 21.99. Der Maximale Exspirationsstorm.
 CHAI. H. PURCELL. K, BRADY.K., and FALLIERS, C.J. (1968), J. Allergy 41.23. Therapeutic and investigational evaluation of asthmatic
     children.
 EPSTEIN, S.W. FLETCHER, C.M., and OPPENHEIMER, E.A. (1969), Brit. Med. J. 1.223. Daily peak flow measurements in the assessment
     of steroid therapy for airway obstruction
 WILLIAMS. M.H. (1979), Chest. 76.34. Evaluation of Asthma.


                                                                   69
Tabla de referencia del FEM para niños de 5 años o más




                             70
Apéndice 3
Cómo confirmar el diagnóstico de asma y evaluar su
gravedad

1.     Confirmación del diagnóstico de asma
Prueba de broncodilatación con salbutamol
FEM antes del salbutamol (en litros/minuto): medir el FEM antes de la
inhalación de salbutamol.
–     Pedirle al paciente que efectúe dos inhalaciones de salbutamol
      – con un inhalador de dosis medida,
      – o con una cámara espaciadora (industrial o artesanal).
–     Retirar el inhalador y pedirle al paciente que retenga la respiración
      durante 10 segundos (para facilitar la difusión del salbutamol).
–     Esperar 10 minutos; a continuación, medir el FEM tras el salbutamol
      (en l/min).
Prueba de reversibilidad con corticoides
La misma prueba puede efectuarse en un paciente midiendo su FEM antes
y después de la administración de prednisona a razón de 0.5 mg/kg durante
8 días.
Medición del FEM en diferentes momentos
El FEM también puede ser medido en diferentes momentos: antes y después
del tratamiento, durante una crisis y después de ella, en las diferentes
consultas, en diferentes momentos del día.

     Variabilidad del FEM = mejor FEM en l/min – FEM mínimo en l/min /
                         FEM mínimo en l/min x 100

La	medición	de	la	variabilidad	del	FEM	permite	confirmar	el	diagnóstico	de	
asma en un gran número de casos.

     Confirmación del diagnóstico de asma
     Una	 variabilidad	 del	 FEM	 ≥	 20%	 observada	 tras	 una	 prueba	 de	
     broncodilatación, o tras una prueba con corticoides, o entre mediciones
     del	FEM	realizadas	en	diferentes	ocasiones,	confirma	el	diagnóstico	
     de asma.




                                      71
2.     Evaluación de la gravedad funcional de la enfermedad
Medición del mejor FEM del paciente (FEM más elevado)
Esta medición debe realizarse en un paciente estabilizado que no presente
ningún síntoma, tras un tratamiento sintomático con salbutamol inhalado y
un ciclo corto de corticoides orales. El mejor FEM, expresado en porcentaje
del valor predicho del paciente, permite una evaluación de la función
pulmonar que ayudará a estimar la gravedad de la enfermedad asmática
en el momento en que se registre al paciente.

     Evaluación de la gravedad funcional del asma
     El mejor FEM en % del valor predicho cuando el paciente está en
     estado estable permite la evaluación de la gravedad funcional de la
     enfermedad durante su manejo inicial. Este FEM debe anotarse en la
     tarjeta del paciente y en su tarjeta de tratamiento.

3.     Clasificación de la gravedad del asma
A	partir	de	la	evaluación	clínica	y	funcional	del	paciente,	la	clasificación	de	
la gravedad del asma será la siguiente:
Asma persistente grave            FEM  60% independientemente de la
                                  gravedad de los síntomas, o síntomas
                                  persistentes independientemente del nivel
                                  del FEM.
Asma persistente moderada FEM 60-79% y gravedad de los síntomas
                          menor que los síntomas persistentes
                          graves, o síntomas persistentes moderados
                          y FEM  60%.
Asma persistente leve	            FEM	 ≥	 80%	 y síntomas persistentes
                                  leves.




                                      72
Apéndice 4
Cómo utilizar un inhalador de dosis medida (IDM)




1. Retire la tapa.
2. Agite bien el inhalador.
3. Sople a fondo para vaciar los pulmones.
4. Coloque la boquilla del inhalador en su boca y apriete bien los labios
   alrededor de la boquilla.
5. Aspire a fondo mientras presiona sobre la base del frasco para que el
   aerosol penetre profundamente en los bronquios.
6. Retire el inhalador y contenga la respiración durante 10 segundos, sin
   espirar.
7. Espire y luego respire normalmente.

                                   73
Apéndice 5
Cómo fabricar y utilizar una cámara espaciadora
Fabricación de la “botella de inhalación”
1. Retire la tapa del inhalador y coloque la boquilla del inhalador en el
    fondo de una botella de plástico de un litro, limpia y vacía (la boquilla
    del inhalador debe estar justo enfrente de la boquilla de la botella).
2. Dibuje la forma de la boquilla del inhalador en la base de la botella.
3. Recorte la base de la botella exactamente según la forma de la boquilla
    (el	orificio	debe	ser	sólo	un	poco	más	grande:	lo	justo	para	introducir	
    por él la boquilla del inhalador evitando todo riesgo de fuga durante la
    utilización).
Si el fondo de la botella es demasiado duro, puede perforarlo utilizando un
instrumento calentado al rojo vivo; de este modo, podrá introducir la boquilla
en el plástico reblandecido.
Utilización de la botella de inhalación
1. Agite el inhalador e introduzca su boquilla en la abertura realizada en
    la base de la botella.
2. Espire a fondo para vaciar los pulmones.
3. Coloque la boquilla de la botella en su boca.
4. Presione sobre la base del inhalador para liberar la dosis del producto
    en la botella (1 a 15 inhalaciones, según la prescripción).
5.	 Respire	 por	 la	 boca el aire y el producto contenido en la botella:
    respire a su ritmo, lo más profundamente que pueda, durante unos diez
    segundos.
6. Retire la botella de la boca, espire a fondo y respire luego normalmente.




                                     74
Documentos

1. Documento 1                  Tarjeta del paciente

2. Documento 2                  Tarjeta de tratamiento del asma

3.	 Documento	3	                Registro	de	distrito	de	los	nuevos	
	 	                             casos	de	asma	persistente	
                                manejados en el centro de salud

4.	 Documento	4	                Informe	trimestral	de	los	casos	de	
	 	                             asma	persistente	recientemente	
                                manejados

5.	 Documento	5	                Informe	anual	sobre	los	resultados	
	 	                             del	tratamiento	de	casos	de	asma	
	 	                             persistente	registrados	en	el	año	
                                finalizado 12 meses antes

6.	 Documento	6	                Formulario	de	pedido	trimestral		
	 	                             de	medicamentos

7. Apéndice del documento 2     Cómo llenar la tarjeta de 	
	 	                             tratamiento

8.	 Apéndice	del	documento	3	   Cómo	llenar	el	registro




                                75
$                                                                  Documento 1

        Plan	de	tratamiento	                 Distrito:
                                             Número	de	registro:
                  Estable
                                             Nombre	y	apellido:	
    	   Seguir con el mismo tratamiento
                                             Dirección:	   	
               Agravación
    	         (necesita	más	salbutamol)
    	      Prednisona ...... comprimidos
                   durante ...... días	
    	      Duplicar la dosis habitual del
             tratamiento hasta mejoría
                                                     Tarjeta del paciente

                   Crisis
    	   (síntomas	graves	y/o	no	mejorados	
    	                tras	el	salbutamol)	
                                             Centro	de	tratamiento:
    	       Iniciar el plan de emergencia
                       inmediatamente




        Plan	de	tratamiento	                 Distrito:
                                             Número	de	registro:
                  Estable
                                             Nombre	y	apellido:	
    	   Seguir con el mismo tratamiento
                                             Dirección:	   	
               Agravación
    	         (necesita	más	salbutamol)
    	      Prednisona ...... comprimidos
                   durante ...... días	
    	      Duplicar la dosis habitual del
             tratamiento hasta mejoría
                                                     Tarjeta del paciente

                   Crisis
    	   (síntomas	graves	y/o	no	mejorados	
    	                tras	el	salbutamol)	
                                             Centro	de	tratamiento:
    	       Iniciar el plan de emergencia
                       inmediatamente
Reverso de la tarjeta




                                                                          $
Cómo utilizar el inhalador:
                              Gravedad	del	asma:
                              FEM	predicho:	…….........….	l/min
                              Mejor	FEM:	.......…	l/min	.........	%		
                              predicho

                              Tratamiento	habitual:



                              ¿Qué	hacer	en	caso	de	emergencia?
                              1.	Tratamiento	a	tomar:	

                              2.	Si	no	hay	mejoría	inmediata,	ir	al	
                              	 servicio	de	urgencias		
                              Citas	periódicas	anuales:	
                              Primera:
                              Segunda:
                              Tercera:
                              Cuarta:



Cómo utilizar el inhalador:   Gravedad	del	asma:
                              FEM	predicho:	…….........….	l/min
                              Mejor	FEM:	.......…	l/min	.........	%		
                              predicho

                              Tratamiento	habitual:



                              ¿Qué	hacer	en	caso	de	emergencia?
                              1.	Tratamiento	a	tomar:	

                              2.	Si	no	hay	mejoría	inmediata,	ir	al		 	
                              	 servicio	de	urgencias		
                              Citas	periódicas	anuales:	
                              Primera:
                              Segunda:
                              Tercera:
                              Cuarta:
Tarjeta de tratamiento del asma	                                                                           Documento 2
Nombre	del	centro.....................................................................................................................................	     Número:	...................................
Nombre	y	apellido:	.....................................................	Sexo:	F/M		Edad:..............	años	 Altura:	........	cm	                          Ocupación:	...............................
Dirección	y	teléfono:	..................................................................................................................................	   Lugar	de	trabajo:	......................	
Primera	evaluación	continua	hasta	estabilización	e	inicio	del	tratamiento	a	largo	plazo:
	                        Historia	clínica	                                     Síntomas	durante	el	año	anterior	                                 Diagnóstico	y	gravedad	funcional		
	 Antigüedad	del	diagnóstico	                                 Sí	 No       De	día:	si	“sí”,	anotar	cuántas	veces	por	         1.	FEM	predicho	 .............................l/min
  	 –	 Caso	nuevo	                                           [		]	[		]     día,	semana	o	mes,	por	término	medio:              2.	FEM	antes	de	broncodilatación	......l/min
  	 Si	la	respuesta	es	“no”:	                                              																						Sí	 No																
  	 –	 Caso	tratado	desde	hace:............(años)	                         Tos	                  [		]		[		]		……		veces	por	…… 3.	FEM	tras	broncodilatación	.............l/min
  	 Otra	enfermedad	alérgica:	                                             Disnea	               [		]		[		]		……		veces	por	…… 4.	FEM	tras	tratamiento	inicial	y/o	
  	 –	 Rinitis	                                              [		]	[		]	    Sibilancias	 [		]		[		]		……		veces	por	……          tras		 prueba	de	corticoides	 .....................
  	 –	 Eczema/urticaria	                                     [		]	[		]     Opresión	 [		]		[		]		……		veces	por	……             l/min	
  	 Tabaquismo	(marcar	una	casilla):	                                                                                         5.	Mejor	FEM	en	%	del	predicho	=
  	 –	 No	fumador	                                           [		]			       De	noche:	si	“sí”,	anotar	cuántas	veces	por	
  	 –	 Fumador	actualmente	                                  [		]	                                                            	 Mejor	FEM	l/min	(4)	/	FEM	
                                                                           día,	semana	o	mes,	por	término	medio:
  	 –	 Ex	fumador	                                           [		]                                                             predicho		 (1)	x	100	              ................%
                                                                           																						Sí	 No																
  	 Historia	familiar	de	alergias:	 					Sí		No	                           Tos	                  [		]		[		]		……		veces	por	…… 6.	Variabilidad	del	FEM	en	%		
  	 –	 Asma	                                                 [		]	[		]	    Disnea	               [		]		[		]		……		veces	por	…… 	 Mejor	FEM	l/min	-	FEM	mínimo	l/min	/
  	 –	 Rinitis	                                              [		]	[		]
                                                                           Sibilancias				[		]		[		]		……		veces	por	…… 	 FEM	mínimo	l/min	x	100	 ...........…%	
  Principales	factores	desencadenantes:	
                                                                           Opresión	 [		]		[		]		……		veces	por	……
  ......................................................................
  ......................................................................
  Número	de	veces	que	ha	acudido	a	                                        Gravedad	de	los	síntomas	durante	el	año	
  urgencias	durante	el	año	anterior		                                      anterior	(marcar una casilla):                                 Gravedad	funcional	en	función	del	mejor	
  (completar todas)		                                          	 n         –	 Intermitentes	                     [		]                     FEM	(en	%	del	predicho)
  –		 Servicio	de	urgencias	                                   	 [			]	    –	 Leves	                             [		]                     	     ≥	80%	             [		]	
  –	 Hospitalizaciones	                                        	 [			]     –	 Moderados	                         [		]                     	     60	a	79%	          [		]	
  –	 Cuidados	intensivos	                                      	 [			]     –	 Graves	                           	[		]                     	     	60%	             [		]	
    Conclusión:	Asma	confirmada	(variabilidad	≥	20%)	[			]	                 Asma	probable	(síntomas	sugestivos	de	asma	y	variabilidad	20%)	 [			]
    Gravedad	del	asma:	Intermitente	[			]	           Persistente	leve	[			]	 Persistente	moderada	[			]	                                Persistente	grave	 [			]
    Fecha	de	inicio	del	tratamiento	a	largo	plazo:		.................................	 Tratamiento	a	largo	plazo:	.........................................................
                                                   .
Tarjeta de seguimiento del tratamiento	
                                  (reverso de la tarjeta de tratamiento y tarjetas adicionales si necesario)
	                          	                           	
             	                     	           	           	      Visitas	a	los	               Observaciones	(fallecimiento	y	causa	
    Fecha	de	evaluación	           	      FEM	(%	del	      	      servicios	de	                 transferencia,	cumplimiento,	efectos	
      (día,	mes,	año)          Síntomas    predicho) Medicamentos  urgencias               secundarios,	problemas	sociales,	tabaquismo...)




 	
Definiciones:	             Síntomas	                  Tratamiento	diario	                Visitas	a	los	servicios	de	urgencias	
	                          Asintomática	              B	=	beclometasona	(500,	1000..)	   desde	la	última	consulta		
	                          Intermitentes	             P	=	prednisona		(5,	10,	20...)	    U	=	visita	al	servicio	de	urgencias	
	                          Persistentes	leves	        (p.	ej.	:	B1000,	P5)	              H	=	hospitalización	en	un	servicio	médico		
	                          Persistentes	moderados	    	                                  I	=	hospitalización	en	cuidados	intensivos		 	
	                          Persistentes	graves	       	                                  	 		(p.	ej.	:	U3,	H1)
Ficha	de	balance	anual	durante	el	seguimiento	del	tratamiento
                                              Seguimiento	anual	durante	varios	años

		Fecha	de		                	                 FEM		          Gravedad	del		               	       Visitas	a	los	servicios	
		evaluación	           Síntomas	          (%	predicho)	        asma	               Medicamentos	     	de	urgencias	                    No	seguido	ya	

	 Primer	año:	                 	                   	                     	                        	                       	                    	
		Segundo	año:	                	                   	                     	                        	                       	                    	
		Tercer	año:
1	
	 2	                           	
3
4
5



	                   Síntomas                               Gravedad del asma       Tratamiento diario     Visitas a los servicios     Ya no está bajo 	
	                   Asintomática	                          Intermitente	           B	=	beclometasona	     de	urgencias	desde	         seguimiento			 	
	                   Intermitentes	                         Persistente	leve	       (500,	1000..)	         la	última	consulta		        F	=	fallecido	
	                   Persistentes	leves	                    Persistente	moderada	   P	=	prednisona		       U	=	visita	al	servicio		    T	=	transferido	
	                   Persistentes		                         Persistente	grave	      (5,	10,	20...)		       de	urgencias	               PDV	=	perdido	de		
	                   	 moderados	                           	                       (p.	ej.:	B1000,	P5)	   H	=	hospitalización	        vista		 	         	
	                   Persistentes	graves	                   	                       	                      en	servicio	de	medicina		
	                   	                                      	                       	                      I	=	hospitalización	
	                   	                                      	                       	                      en	cuidados	intensivos		
	                   	                                      	                       	                      (p.	ej.:	U2,	H1)	
Observaciones:	     	
1
1
Blank
Registro	de	distrito	de	los	nuevos	casos	de	asma	persistente
Registro	en	el	momento	de	la	decisión	del	tratamiento	a	largo	plazo


	       	            	              	               	               	            	                   	                 	             	 ejor FEM
                                                                                                                                     M                                                            Visitas a	
	       	            	              	               	               	            	                   	                 	             	     	                                                     urgencias                    Corticoides
    Fecha de    Número de                                                      Sexo                                              Nivel en    En % del                   Gravedad               durante el año                 prescritos a
     registro    registro   Nombre y apellido   Dirección        Edad          (M/F)        Tabaquismo Síntomas                   I/min      predicho                   del asma                  anterior                    largo plazo




                                                                          Definiciones:  Tabaquismo:      Síntomas:            Mejor FEM tras estabilización:      Gravedad del                Visitas al servicio           Corticoides:	
                                                                                                                                                                   asma:                       de urgencias:
                                                                                         N = no fumador   I = intermitentes    Nivel FEM en l/min y FEM en % del   PL = persistente leve       U = servicio de urgencias     B = beclometasona
                                                                                         F = fumador      PL = persistentese   FEM predicho                        PM = persistente moderada   H = hospitalización en           (B500, B1000...)
                                                                                         E = ex fumador        leves                                               PG = persistente grave          un servicio de medicina   P = prednisona
                                                                                            desde hace    PM = persistentes                                                                    I = hospitalización en            (P5, P10...)
                                                                                            un mes             moderados                                                                           cuidados intensivos
                                                                                                          PG = persistentes                                                                        (p. ej.: U5, H2, I1)
                                                                                                               graves
Manejados en el centro de salud                                                                                                                                                                                                   Documento	3

Evolución después del tratamiento

                                          Evolución al cabo de un año                                                                                            Evolución al cabo de 2 años
        Pacientes bajo seguimiento                                          Todos los pacientes registrados                                      Pacientes bajo seguimiento                       Todos los pacientes registrados
                  Visitas de                                                                                                                          Visitas de
    Gravedad      urgencia        Hospitalizaciones	             Bajo                                    Perdido                             Gravedad urgencia Hospitalizaciones            Bajo                     Perdido
    del asma           n	                 n	             Éxito	 control           Fracaso Fallecido      de vista        Transferido         del asma      n	          n	            Éxito control Fracaso Fallecido de vista Transferido




	




Evolución de los pacientes aún bajo  	     Visitas de urgencia:                                       Número de hospitalizaciones                                          Evolución de todos los pacientes: marque una sola casilla según la evolución
seguimiento: apunte el resultado en	       Número de visitas a los servicios de                       Número total de hospitalizaciones por                                de cada paciente registrado:
las	3	columnas                             urgencias durante el año anterior                          asma en un servicio de urgencias, sea                                Perdido	de	vista
                                                                                                      cual sea el tipo de servicio, durante el                             Transferido
Gravedad del asma:                                                                                    año anterior.                                                        Fallecido
I = intermitente                                                                                                                                                           Éxito: disminución de la gravedad de la enfermedad y ninguna
PL = persistente leve                                                                                                                                                      visita a los servicios de urgencias
PM = persistente moderada                                                                                                                                                  Bajo control: gravedad de la enfermedad estable sin ninguna visita a urgencias
PG = persistente grave                                                                                                                                                     o disminución de la gravedad y del número de visitas a los servicios de urgencias
A = asintomática                                                                                                                                                           Fracaso: el resto de los pacientes
Documento 4

Informe trimestral de los           Nombre del centro: ______________________________
nuevos casos de asma
persistente recientemente
manejados                           Casos registrados el ______ trimestre de 20___________

Nombre del coordinador del centro______________________________________________
Firma________________________________ Fecha ______________________________



         Casos de asma persistente registrados durante el trimestre

                                     Grupo de edad (años)                         TOTAL

                       15     15-24       25-34    35-44   45-54     55+
 Tipo de caso        M    F    M      F    M   F   M    F   M    F   M   F    M    F   Total
 Persistente
 grave

 Persistente
 moderado

 Persistente leve

 Total



Definiciones a utilizar para llenar el formulario:
Trimestres          1er trimestre         — 1 de enero al 31 de marzo
                    2º trimestre          — 1 de abril al 30 de junio
                    3º trimestre          — 1 de julio al 30 de septiembre
                    4º trimestre          — 1 de octubre al 31 de diciembre

Persistente grave                     FEM  60% sea cual sea la gravedad de los síntomas
                                      o síntomas persistentes graves sea cual sea el nivel
                                      del FEM
Persistente moderada                  FEM 60-79% y gravedad de los síntomas  persistente
                                      grave o síntomas persistentes moderados y FEM  60%
Persistente	leve	                     FEM	≥	80%	y síntomas persistentes leves
Documento 5

 Informe anual sobre los resultados del tratamiento
 de casos de asma persistente registrados durante
          el año finalizado 12 meses antes

Ejemplo: En enero de 2006, dar los resultados del tratamiento de los pacientes
registrados durante el año 2004 (del 1 de enero de 2004 al 31 de diciembre
de 2004)

 Nombre                                        Coordinador
 del centro _______________________            del centro__________________________
 Pacientes registrados en 20___________ Firma____________ Fecha_____________

Evolución de todos los casos de asma persistente registrados durante el año
finalizado 12 meses antes

 Distribución
 de los casos
 según la
 gravedad en    Número de
 el momento        casos                                           Perdidos
 del registro   registrados Éxitos Controlados Fracasos Fallecidos de vista Transferidos
 Leves           ……… a
 Moderados       ……… b
 Graves          ……… c
 Total casos     ……… d

Éxitos: disminución de la gravedad de la enfermedad y ninguna visita a los servicios de
urgencias.
Controlados: gravedad de la enfermedad estable y ninguna visita a los servicios de urgencias
o disminución de la gravedad de la enfermedad y disminución del número de visitas a los
servicios de urgencias.
Fallecidos: sea cual sea la causa del fallecimiento.
Perdidos de vista: no se han presentado a su visita anual de control al menos durante los
2 meses siguientes a la cita.
Transferidos: han sido transferidos para su seguimiento a otro centro.
Fracasos: los demás tipos de evolución

(a, b, c, d) Suma de las cifras extraídas de los cuatro “Informes trimestrales sobre los nuevos
casos de asma persistente” del año finalizado 12 meses antes.
Documento 6

                           Formulario de pedido trimestral de medicamentos
                                                                                                                        Pedido para              Pedido para
                                                                Grave      Moderada       Leve      Intermitente    necesidades actuales         una reserva          Total
     Medicamentos                                                (A)         (B)           (C)           (D)           (E= A+B+C+D)                F=(E/2)           (E + F)

     Salbutamol, inhalador 100 µg                              ….x 2 =      …x 2 =       ….x 1 =      (C) x 5 =

     Beclometasona, inhalador 250 µg                           …x 4 =       …x 2 =      …..x 1 =         =0

     Prednisona, comprimido 5 mg                              …x 800 =         =0          =0            =0

     Hidrocortisona, ampolla IV 100 mg

     Salbutamol, ampolla IV, 0,5 mg/ml

     Salbutamol, solución para nebulización 5 mg/ml


1)      Número de inhaladores necesitados cada trimestre para cada grado de gravedad del asma persistente: Multiplicar el número de casos de cada grado de gravedad
        registrados durante el trimestre precedente por un factor del modo siguiente:
Factores a utilizar para calcular el número de inhaladores de salbutamol
      –     Asma persistente grave o moderada: 4 inhalaciones/día x 90 días = 360 inhalaciones/trimestre, o sea, una media de 2 inhaladores de 200 inhalaciones
            por trimestre; el factor utilizado es 2, que representa el número de inhaladores necesitados por término medio para cada paciente.
      –     Asma persistente leve: 2 inhalaciones/día, o sea, una media de 1 inhalador por trimestre; el factor utilizado es 1.
Factores a utilizar para calcular el número de inhaladores de beclometasona
      –     Asma persistente grave: 8 inhalaciones/día x 90 días= 720 inhalaciones/ trimestre, o sea, una media de 4 inhaladores; el factor utilizado es 4.
      –     Asma persistente moderada: 4 inhalaciones/día, o sea, una media de 2 inhaladores de 200 inhalaciones por trimestre; el factor utilizado es 2.
      –     Asma persistente leve: 2 inhalaciones/día, o sea, una media de 1 inhalador de 200 inhalaciones por trimestre; el factor utilizado es 1.
2)      Número de inhaladores de salbutamol a encargar por trimestre para los casos de asma intermitente: 1 inhalación/día por enfermo, o sea, 1 inhalador por trimestre.
        Teniendo en cuenta que en la comunidad hay aproximadamente 5 veces más de casos asma intermitente que de casos de asma persistente leve, habrá que multiplicar
        el número de casos de asma persistente leve por el factor 5.
3)      Número de comprimidos de prednisona: el número medio de comprimidos necesarios por trimestre para cada caso de asma persistente grave es de 90 comprimidos, pero
        puesto que este medicamento también se utiliza en los ciclos cortos de corticoides orales y en los tratamientos de emergencia, se ha utilizado el factor 800 basándose
        en las hipótesis del número previsible de urgencias presentadas en la guía.
4)      Para los demás medicamentos, que se utilizan mucho menos, el pedido se basará en el consumo registrado durante el trimestre anterior.
Apéndice	al	Documento	2

Cómo llenar la tarjeta de tratamiento
Deberá	llenarse	una	tarjeta	de	tratamiento	por	cada	paciente	tratado	por	primera	vez	
por	asma	probable	en	un	centro	de	salud.

                 Anverso de la tarjeta de tratamiento

1. Parte superior de la tarjeta, encima del cuadro	
Nombre	del	centro:	Anote	el	nombre	del	centro.
Número:	El	número	de	la	tarjeta	se	anotará	una	vez	que	el	paciente	esté	estabilizado	
y	cuando	se	haya	establecido	el	diagnóstico	de	la	gravedad	de	su	asma.	Cada	vez	que	
se	diagnostique	un	caso	de	asma	persistente,	se	atribuirá	al	paciente	un	número	de	
identificación	que	incluirá	el	año	seguido	del	número	de	serie.	Y	así,	a	todos	los	casos	
de	asma	persistente	se	les	asignarán	números	consecutivos	en	orden	cronológico	
(p.	ej.,	a	los	tres	primeros	pacientes	con	asma	persistente	tratados	en	2004,	se	les	
atribuirán	los	siguientes	números:	2004/1,	2004/2,	2004/3).	Estos	pacientes	serán	
registrados	con	los	mismos	números	en	el	registro	de	los	casos	de	asma	persistente	
del	centro	de	salud.
Para	casos	de	asma	intermitente,	los	pacientes	tendrán	la	misma	tarjeta,	pero	no	serán	
registrados	en	el	registro	del	centro.	Si	se	desea,	se	puede	utilizar	otro	sistema	de	
numeración	que	permita	identificar	fácilmente	las	tarjetas	de	los	pacientes	con	asma	
intermitente,	las	cuales	deberán	archivarse	en	otro	lugar	(p.	ej.,	puede	anotarse	la	letra	
b	tras	el	número	cronológico;	y	así,	los	tres	primeros	pacientes	con	asma	intermitente	
en	2004	recibirán	los	siguiente	números:	2004/1b	;	2004/2b,	2004/3b).
Las	 tarjetas	 sólo	 podrán	 ser	 numeradas	 cuando	 el	 estado	 del	 paciente	 se	 haya	
estabilizado	y	se	haya	estimado	la	gravedad	de	su	enfermedad.
Nombre	y	apellido:	Anote	el	nombre	y	el	apellido	del	paciente.
Sexo:	Anote	M	para	masculino	y	F	para	femenino.
Edad:	Anote	la	edad	del	paciente	en	años.
Altura:	Anote	la	altura	del	paciente	en	centímetros.
Profesión:	Anote	la	profesión	del	paciente.
Lugar de trabajo: Anote	 el	 tipo	 de	 industria	 en	 que	 trabaja	 el	 paciente,	 si	 lo	
considera	relevante.
Dirección	y	teléfono:	Anote	una	dirección	completa	y	lo	bastante	precisa	como	para	
que	se	pueda	localizar	al	paciente	en	caso	de	necesidad;	anote	también	el	número	
de	teléfono	si	el	paciente	posee	uno.

2.	 Primera	columna	del	cuadro
2.1	 Sección	superior	(historia	clínica):	marque	la	casilla	correspondiente	a	Sí	o	
No	en	cada	punto.
Antigüedad	del	diagnóstico:	Marque	la	casilla	“sí”	tras	Caso	nuevo	si	el	paciente	
no	ha	sido	tratado	por	asma	con	anterioridad.	Para	un	enfermo	ya	tratado	por	asma,	
anote	el	número	de	años	desde	el	inicio	de	la	enfermedad:	Tratado	desde	hace	
........................	años.
Otra	enfermedad	alérgica:	Marque	la	o	las	casillas	correspondientes	si	el	paciente	
sufre	también	de	una	o	varias	enfermedades	alérgicas:	rinitis, eczema/urticaria.	
Tabaquismo:	Marque	una	de	las	tres	casillas	correspondientes	al	hábito	tabáquico	
del	paciente:	No	fumador	si	el	paciente	no	ha	fumado	jamás,	Fumador	actual	si	
el	enfermo	fuma	actualmente	o	Ex	fumador	si	el	paciente	ha	fumado	ya,	pero	ha	
dejado	de	fumar	desde	hace	por	lo	menos	un	mes.
Historia	familiar	de	alergias:	Si	existen	antecedentes	familiares,	marque	la	casilla	
correspondiente.
Principales	 factores	 desencadenantes:	 Anote	 los	 principales	 factores	
desencadenantes	reportados	por	el	paciente.	No	se	olvide	de	investigar	si	puede	
haber	un	factor	desencadenante	de	naturaleza	ocupacional	o	si	existe	intolerancia	a	
la	aspirina.	Si no existen factores desencadenantes, escriba “ninguno”.
2.2	 Sección	inferior:
Anote	el	número	de	veces	que	el	paciente	ha	tenido	que	recurrir	a	los	servicios	
de	urgencias	durante	el	año	anterior	a	ser	registrado	en	el	centro	para	ser	tratado.	
Estas	informaciones	deben	ser	lo	más	precisas	posible,	ya	que	servirán	de	indicadores	
para	la	evolución	del	paciente	bajo	tratamiento:
Servicio	de	urgencias:	Número	de	visitas	a	los	servicios	de	urgencias.	
Hospitalizaciones:	Número	de	hospitalizaciones	en	un	servicio	médico.	
Cuidados	 intensivos:	 Número	 de	 hospitalizaciones	 en	 una	 unidad	 de	 cuidados	
intensivos	(o	servicio	especializado	equivalente).
Si el paciente no ha debido recurrir a los servicios de urgencia, anote “0” en
las	casillas	correspondientes.
3.	 Segunda	columna	del	cuadro
3.1	 Sección	superior	(síntomas	del	asma	durante	el	año	anterior).	
Marque	Sí	o	No	para	cada	uno	de	los	síntomas;	si	su	respuesta	es	“sí”,	anote	la	
frecuencia	media.
De	 día:	 Junto	 a	 cada	 síntoma,	 anote	 la	 frecuencia	 media	 de	 los	 síntomas	 y	 la	
regularidad	con	que	sobrevienen.	Por	ejemplo,	si	un	paciente	tose	casi	todos	los	días	
y	sufre	de	disnea	con	sibilancias	más	o	menos	dos	veces	por	semana,	complete	del	
siguiente	modo:	Tos	1	por	día,	Disnea	2	por	semana,	Sibilancias	2	por	semana.
De	noche:	Proceda	del	mismo	modo.
3.2	 Sección	inferior	(gravedad	de	los	síntomas).	Marque	una	sola	casilla.
A	partir	de	la	frecuencia	de	los	síntomas	anotados	en	la	sección	superior,	estime	
la	gravedad	de	los	síntomas	durante	el	año	anterior	tal	como	se	define	en	la	guía	y	
marque	la	casilla	correspondiente.
Intermitentes:	Síntomas		una	vez	por	semana,	síntomas	nocturnos		2	veces	por	
semana.
Persistentes:	Síntomas		una	vez	por	semana
	   –	 persistentes leves:	 síntomas	 	 una	 vez	 al	 día,	 pero	 varias	 veces	 por	
    	 semana;	los	síntomas	nocturnos		2	veces	al	mes;
	   –	 persistentes moderados:	 síntomas	 cotidianos	 que	 afectan	 a	 la	
    	 actividad	y	al	sueño		una	vez	por	semana;
	   –	 persistentes graves:	 síntomas	 continuos,	 crisis	 frecuentes	 durante	 la	
    	 noche	y	limitación	de	la	actividad	física.	

4.	 Tercera	columna	del	cuadro
4.1	 	Sección	superior
FEM	 predicho:	Anote	 el	 FEM	 predicho	 del	 paciente	 en	 l/min,	 siguiendo	 las	
indicaciones	de	la	tabla	de	referencia.
FEM	antes	de	broncodilatación:	Anote	el	FEM	del	paciente	en	l/min	en	el	momento	
de	la	primera	consulta.
FEM	tras	broncodilatación:	Anote	el	FEM	del	paciente	en	l/min	tras	la	prueba	
de	broncodilatación.
Mejor FEM en l/min (tras tratamiento inicial y/o tras prueba de corticoides):
Anote	el	mejor	FEM	del	paciente	en	l/min	tras	la	estabilización	del	paciente	después	
de	un	tratamiento	inicial	y/o	después	de	una	prueba	con	corticoides.	Este	FEM	debe	
ser	el	mejor	FEM	(el	más	elevado)	del	paciente	obtenido	desde	su	primera	consulta	
y	medido	tras	la	prueba	de	broncodilatación.
Mejor FEM en % del predicho: Calcule	el	mejor	FEM	en	%	del	valor	predicho	
del	paciente	tras	estabilización	según	la	fórmula:
Mejor	FEM	del	paciente	en	l/min	/	FEM	predicho	del	paciente	x	100
Variabilidad del FEM en %: Calcule	y	luego	anote	la	variabilidad	del	FEM	en	
%	según	la	fórmula:
Mejor	FEM	en	l/min	-	FEM	mínimo	en	l/min	/	FEM	mínimo	en	l/min	x	100
El FEM mínimo l/min	es	el	FEM	menos	elevado	del	paciente	obtenido	desde	la	
primera	consulta	y	medido	tras	la	prueba	de	broncodilatación.
4.2	 Sección	inferior
Gravedad	funcional	del	FEM:	Marque	una	de	las	tres	casillas	correspondientes	
al	nivel	del	mejor	FEM	en	%	del	FEM	predicho	obtenido	tras	la	estabilización	del	
paciente.

5.   Parte inferior de la tarjeta, debajo del cuadro (conclusión)
Esta	parte	es	la	conclusión	de	la	evaluación	clínica	y	funcional.
Asma confirmada:	Marque	esta	casilla	si	la	variabilidad	del	FEM	es	≥	20%.
Asma	probable:	Marque	esta	casilla	si	la	variabilidad	del	FEM	es		20%.
Gravedad	del	asma:	Marque	la	casilla	correspondiente	al	grado	de	gravedad	del	
asma	del	paciente.
Intermitente:	Mejor	FEM	≥	80%	y	síntomas	intermitentes	(menos	de	una	vez	por	
semana).	
Persistente	leve:	Mejor	FEM	≥	80%	y	síntomas	persistentes	leves.
Persistente	moderada:	Mejor	FEM	entre	60	y	79%,	y	síntomas	menos	importantes	
que	graves	o	síntomas	persistentes	moderados	y	FEM		60%.
Persistente	grave:	Mejor	FEM		60%	sea	cual	sea	la	gravedad	de	los	síntomas	o	
síntomas	persistentes	graves	sea	cual	sea	el	FEM.
Fecha	de	inicio	del	tratamiento	a	largo	plazo:	Anote	la	fecha	en	que	se	prescribió	
el	tratamiento	a	largo	plazo	(p.	ej.:	12/03/2003).
Tratamiento	a	largo	plazo:	Anote	el	tratamiento	diario	prescrito	para	el	paciente	
con	la	posología	(p.	ej.:	beclometasona	1000	µg,	salbutamol	100	µg	en	caso	de	
necesidad).
Reverso de la tarjeta de tratamiento	
                        Seguimiento	periódico
El	reverso	de	la	tarjeta	es	utilizado	para	registrar	las	informaciones	sobre	la	evolución	
del	estado	del	paciente	bajo	tratamiento	en	cada	consulta	durante	el	primer	año.	Se	
añadirá	una	nueva	tarjeta	con	sólo	un	reverso	en	caso	de	necesidad	para	el	primer	
año	y	para	los	demás	años	de	seguimiento.

1.	 Primera	columna
Fecha	de	evaluación:	Anote	la	fecha	de	cada	visita	precisando	el	día,	el	mes	y	el	
año.

2.	 Segunda	columna
Síntomas:	Anote	 la	gravedad	media	de	 los	 síntomas	desde	 la	visita	precedente:	
asintomática,	intermitentes,	persistentes	leves,	persistentes	moderados,	persistentes	
graves.

3.	 Tercera	columna
FEM % del predicho:	Anote	el	FEM	en	%	del	FEM	predicho	del	paciente	el	día	
de	la	consulta.

4.	 Cuarta	columna
Medicamentos:	Anote	únicamente	el	tratamiento	con	corticoides	diario	realmente	
tomado	por	el	paciente	desde	su	última	consulta	utilizando	las	mayúsculas	iniciales	
del	 nombre	 de	 los	 medicamentos,	 seguidas	 de	 la	 dosis:	 B	 =	 beclometasona	  	
(500,	1000,	etc.);	P	=	prednisona	(5,	10,	20,	etc.).	Por	ejemplo,	si	el	paciente	toma	
1000	µg	de	beclometasona	inhalada	y	5	mg	de	prednisona	todos	los	días,	anote:	
B1000,	P5).	

5.	 Quinta	columna
Visitas	a	los	servicios	de	urgencias:	Anote	el	número	de	visitas	a	los	servicios	
de	 urgencias	 de	 un	 centro	 de	 salud	 desde	 la	 evaluación	 precedente.	 Utilice	 las	
abreviaturas	 siguientes:	 U	 =	 visita	 al	 servicio	 de	 urgencias,	 H	 =	 hospitalización	
en	un	servicio	médico,	I	=	hospitalización	en	cuidados	intensivos	(p.	ej.,	para	un	
paciente	que	ha	acudido	2	veces	a	un	servicio	de	urgencias,	que	ha	sido	hospitalizado	
una	vez	en	un	servicio	médico	y	otra	en	una	unidad	de	cuidados	intensivo,	anote:	           	
U2,	H1,	I1).
6.	 Sexta	columna
Observaciones:	Para	aquellos	pacientes	que	no	se	hayan	presentado	a	su	evaluación	
periódica,	anote	la	evolución	del	paciente	desde	la	última	consulta	si	la	conoce:	F	
=	fallecido	(anote	la	causa	si	posible),	T	=	transferido.
Para	los	demás,	anote	observaciones	que	puedan	ser	útiles	para	entender	la	evolución	
del	paciente	bajo	tratamiento:	cumplimiento	del	tratamiento,	técnica	de	inhalación,	
efectos	secundarios,	problemas	sociales,	evolución	del	tabaquismo,	etc.


  Ficha	de	balance	anual	durante	el	seguimiento	del	trata-
                          miento
Esta	ficha	permite	hacer	una	recapitulación	de	la	evaluación	del	paciente	al	final	
de	 cada	 año	 de	 tratamiento.	 Una	 línea	 para	 cada	 año	 de	 tratamiento	 (para	 los	
pacientes	seguidos	durante	varios	años,	se	añadirán	líneas	suplementarias	o	tarjetas	
adicionales).

1.	 Las	5	primeras	columnas
Para	los	pacientes	que	están	aún	bajo	seguimiento.	Estas	columnas	son	las	mismas	
que	las	del	reverso	de	la	tarjeta	de	tratamiento	y	se	llenan	del	mismo	modo.

2.	 La	sexta	columna
Anote	la	evolución	de	los	pacientes	que	ya	no	se	presentan	a	las	consultas	periódicas	
utilizando	las	siguientes	letras	mayúsculas:	F	=	fallecido;	T	=	transferido;		PDV	=	
perdido	de	vista.	Si	se	conoce	la	causa	del	fallecimiento,	anótese.
Apéndice	al	Documento	3:
                         Cómo	llenar	el	Registro


Registre	cada	nuevo	paciente	tratado	en	el	centro	de	salud	por	asma	persistente.	El	
paciente	será	registrado	una	vez	que	su	enfermedad	se	haya	estabilizado	y	cuando	se	
haya	decidido	ya	su	tratamiento	regular	a	largo	plazo.	Toda	la	información	contenida	
en	el	registro	coincidirá	con	la	de	la	tarjeta	de	tratamiento.

                        Primera	página	del	Registro
Fecha:	Fecha	de	registro.	Precise	el	día,	el	mes	y	el	año.
Número: El	 número	 de	 identificación	 del	 primer	 enfermo	 con	 asma	 persistente	
tratado	en	el	centro	de	salud	comprenderá	los	4	dígitos	del	año,	seguidos	del	número	
1	(2004/1).	Los	siguientes	pacientes	registrados	recibirán	números	sucesivos.	Este	
número	coincidirá	con	el	que	figura	en	la	tarjeta	de	tratamiento.
Nombre	y	apellido:	Nombre	y	apellido	del	paciente.
Dirección:	Dirección	completa	del	paciente	de	modo	que	pueda	ser	localizado.
Edad:	Edad	del	paciente	en	años.
Sexo:	M	para	los	hombres	y	F	para	las	mujeres.
Tabaquismo:	F	para	los	fumadores, E para	los	pacientes	que	han	dejado	de	fumar	
como	mínimo	un	mes	antes	de	ser	registrados	en	el	centro	y	N	para	los	que	no	han	
fumado	nunca.
Síntomas:	Anote	la	gravedad	de	los	síntomas,	evaluada	según	la	frecuencia	media	
durante	un	largo	período	de	tiempo	(un	año	o	varios	meses)	antes	del	registro	del	
paciente.	Esta	gravedad	está	registrada	en	la	sección	inferior	del	cuadro	de	la	tarjeta	
de	tratamiento	del	paciente.
Utilice	los	códigos	siguientes:	I	=	síntomas	intermitentes;	PL	=	síntomas	persistentes	
leves;	PM	=	síntomas	persistentes	moderados;	PG	=	síntomas	persistentes	graves.
Mejor FEM:	Anote	el	mejor	FEM	tras	la	estabilización	del	estado	del	paciente	y	
antes	de	la	prescripción	del	tratamiento	a	largo	plazo	en	l/min	en	la	primera	columna	
y	en	%	del	FEM	predicho	en	la	segunda	columna	(tal	como	aparece	en	la	tarjeta	
de	tratamiento).
Gravedad	del	asma:	Anote	en	esta	columna	la	gravedad	de	la	enfermedad	según	
sus	estimaciones	utilizando	los	códigos	siguientes:	I	=	asma	intermitente;	PL	=	asma	
persistente	leve;	PM	=	asma	persistente	moderada;	PG	=	asma	persistente	grave.
La	evaluación	de	la	gravedad	del	asma	está	basada	en	la	gravedad	de	los	síntomas	
y	en	el	nivel	del	mejor	FEM	del	paciente,	tal	como	se	explica	en	esta	guía.
Visitas	a	urgencias	durante	el	año	anterior: Anote	en	esta	columna	el	número	de	
visitas	del	paciente	a	los	servicios	de	urgencias	durante el año anterior	siguiendo	
los	códigos	siguientes:	U	=	servicio	de	urgencias;	H	=	hospitalización	en	un	servicio	
médico;	 I	 =	 hospitalización	 en	 una	 unidad	 de	 cuidados	 intensivos	 (p.	 ej.:	 U5,	
                                                                                         	
H2,	I1).
Corticoides	prescritos	a	largo	plazo:	Esta	columna	se	utilizará	para	anotar	los	
medicamentos	prescritos	a	largo	plazo,	únicamente	para	los	corticoides	prescritos	
en	 tratamiento	 regular	 diario	 (los	 demás	 medicamentos	 prescritos	 son	 anotados	
en	la	tarjeta	de	tratamiento,	no	en	el	registro).	Utilice	los	códigos	siguientes:	para	
los	corticoides	inhalados,	por	ser	la	beclometasona	la	más	comúnmente	prescrita,	
escriba	la	letra	B	seguida	de	la	dosis	cotidiana.	Para	los	corticoides	orales,	por	ser	
la	prednisona	la	más	comúnmente	prescrita,	escriba	la	letra	P	seguida	de	la	dosis	
en	mg	(p.	ej.,	si	un	paciente	recibe	2000	µg	diarios	de	beclometasona	inhalada	y	5	
mg	diarios	de	prednisona,	escriba	en	esta	columna:	B2000	P5).


                            Segunda	página	del	Registro
Esta	página	es	utilizada	para	el	seguimiento	del	paciente	cada	año	durante	varios	
años.	Para	cada	año	de	evaluación,	hay	previstas	dos	grandes	columnas.
1.   Primera columna: Pacientes todavía bajo seguimiento
Para	los	pacientes	bajo	seguimiento	después	de	un	año	de	manejo.	Esta	columna	
está	dividida	en	3	sub-columnas	que	permiten	evaluar	la	evolución	del	paciente.
Gravedad	del	asma:	Anote	la	gravedad	actual	de	la	enfermedad	después	de	un	año	
de	manejo	utilizando	los	códigos	siguientes:	I	=	intermitente;	PL	=	persistente	leve;	
PM	=		persistente	moderada;	PG	=	persistente	grave;	A	=	asintomática.
Número	de	visitas	de	urgencia:	Anote	del	número	total	de	visitas	a	los	servicios	
de	urgencias	durante el año de seguimiento	excluyendo	las	citas	periódicas	del	
paciente.	Escriba “0” si el paciente no ha acudido a urgencias.
Número	 de	 hospitalizaciones:	Anote	 el	 número	 total	 de	 hospitalizaciones	 del	
paciente	por	asma	durante el año de seguimiento, sea	cual	sea	el	servicio	en	que	
ha	sido	hospitalizado	(servicio	médico,	unidad	de	cuidados	intensivos).	Escriba	
“0” si el enfermo no ha sido hospitalizado durante el año anterior.
2.	 Segunda	 columna:	 Todos	 los	 pacientes	 registrados	 al	 inicio	 del	
tratamiento
Para	los	enfermos	que	ya	no	se	presentan	en	el	centro	de	salud	para	su	seguimiento,	
marque	 SÓLO	 UNA	 de	 las	 6	 sub-columnas	 correspondientes	 a	 su	 evolución	 al	
cabo	de	un	año.
Fallecido:	Todo	paciente	fallecido	durante	el	año	de	seguimiento,	independientemente	
de	la	causa	del	fallecimiento.
Transferido:	Todo	paciente	para	el	cual	no	se	conocen	los	resultados	del	manejo	
de	su	enfermedad	y	que	ha	sido	enviado	a	otro	centro	de	salud	para	continuar	en	
él	su	tratamiento.
Perdido	de	vista:	Todo	paciente	que	no	se	ha	presentado	en	el	centro	para	su	visita	
de	control	anual,	al	menos	durante	los	2	meses	siguientes	a	la	cita.
Éxito:	 Todo	 paciente	 cuya	 asma	 ha	 disminuido	 en	 gravedad	 desde	 el	 inicio	 del	
tratamiento	y	que	no ha recurrido a	los	servicios	de	urgencias	durante	el	año	de	
seguimiento.
Bajo control: Todo	paciente	en	quien	la	gravedad	de	la	enfermedad	permanece	
estable	y	que	no	ha	recurrido	a	los	servicios	de	urgencias	o	en	quien	la	gravedad	ha	
disminuido	paralelamente	al	número	de	visitas	a	urgencias.
Fracaso:	Todo	paciente	cuyo	caso	no	corresponde	a	los	demás	tipos	de	evolución

Asthma guide spanish_aug2007

  • 1.
    GUÍA PARA ELMANEJO DEL ASMA Medidas estandarizadas esenciales Segunda edición 2005 Unión Internacional Contra la Tuberculosis y las Enfermedades Respiratorias
  • 2.
    GUÍA PARA ELMANEJO DEL ASMA Medidas estandarizadas esenciales Segunda edición 2005 Nadia Aït-Khaled, Donald A Enarson Unión Internacional Contra la Tuberculosis y las Enfermedades Respiratorias 68 Boulevard Saint-Michel, 75006 Paris, Francia
  • 3.
    Editor: Unión Internacional Contrala Tuberculosis y las Enfermedades Respiratorias (La Unión) 68 Boulevard Saint-Michel, 75006 Paris, Francia Autores: Nadia Aït-Khaled, Donald A. Enarson Título original: Management of asthma: a guide to the essentials of good clinical practice © Unión Internacional Contra la Tuberculosis y las Enfermedades Respiratorias (La Unión), 2005 Publicatión: Agosto de 2007 Reservados todos los derechos. No es permitido reproducir ninguna parte de esa publicación sin obtener la permisión de los autores y de los editores. ISBN 2-914365-26-8 II
  • 4.
    Prólogo Durante la últimadécada se han realizado avances considerables en el manejo del asma. La información en esta materia se ha difundido ampliamente a escala mundial gracias al informe publicado en 1995 - “Global Strategy for Asthma Management and Prevention”.1 En 1996, la Unión Contra la Tuberculosis y las Enfermedades Respiratorias (La Unión) publicó una guía sobre el manejo del asma en adultos en países con escasos recursos económicos,2 basada en los conocimientos modernos sobre el manejo del asma, pero adaptada al contexto de los países menos industrializados. Tras la publicación de esta guía, se llevaron a cabo estudios destinados a evaluar la factibilidad y la eficacia de las medidas recomendadas. Dichos estudios se realizaron en áreas piloto de varios países con ingresos medios y bajos. Sus resultados fueron presentados en un taller sobre asma, organizado por la División Asma de La Unión y desarrollado en París en diciembre de 2000,3 que reunió a los médicos que habían realizado los estudios de evaluación y a varios expertos internacionales. Las principales conclusiones del taller fueron las siguientes: las medidas técnicas establecidas en la guía pueden ser aplicadas por los profesionales de salud, son eficaces y conducen a una disminución de la gravedad del asma en la mayoría de los casos, así como a la casi total desaparición de las visitas al servicio de urgencias y de las hospitalizaciones. Estas medidas son costo-efectivas ya que esa necesidad menor de recurrir a los servicios de urgencia se traduce en una importante reducción de los costos de salud. Pero el precio todavía elevado de los corticoides inhalados constituía, en varios países, un obstáculo principal para el acceso de los pacientes al tratamiento.4 Este obstáculo puede ser superado: una encuesta realizada por La Unión mostró que, para los medicamentos esenciales contra el asma recomendados en esta Guía, hoy existen medicamentos genéricos de buena calidad a precios mucho más bajos que los fármacos de marca. Su disponibilidad puede volver accesible el tratamiento esencial del asma a todos los enfermos del mundo entero. Las principales recomendaciones del taller de La Unión sobre el asma3 constituyen la base de esta segunda edición de la guía: extender las recomendaciones técnicas al manejo del asma en niños de 5 años o más, tener en cuenta los resultados de la evaluación de la primera guía para mejorar la segunda edición, cambiar el título de la guía, puesto que las medidas técnicas propuestas pueden considerarse medidas esenciales de salud pública para el manejo de los asmáticos en cualquier país. Como en su primera edición, esta guía propone que el modelo adoptado para el manejo de la tuberculosis en los servicios de salud sea aplicado en la implementación del “paquete de medidas técnicas” para el manejo del asma. Como base organizativa III
  • 5.
    para el manejode pacientes con asma, se han elegido las estructuras de salud de primer nivel de referencia, y el cuidado de los pacientes es dispensado en el contexto de los servicios generales de salud. Las medidas de manejo se dirigen a adultos y a niños de 5 años o más. A la vista de las insuficiencias detectadas en la primera edición, en ésta se ha mejorado la parte concerniente al diagnóstico del asma y se ha simplificado la tarjeta de tratamiento y el registro del asma. Los médicos implicados en la elaboración y/o la evaluación de la primera edición de la guía, que han sido consultados para esta segunda edición son los siguientes: Prof. N Behbehani, Kuwait; Dr. LM Camara, Guinea; Prof.ª R Chapela, México; Prof.ª A El Sony, Sudán; Prof. M Gninafon, Benin; Prof. B Keita, Malí; Prof.ª S Mahi, Argelia; Prof.ª M Yousser, Siria; Dr. JA Odhiambo, Kenia, Prof. O Tidjani, Togo; Prof.ª O Sow, Guinea; Dra. H Wembanyama Kasandji, República Democrática del Congo; Dr. N White, Suráfrica; Prof. N Zidouni, Argelia. Esta guía se ha beneficiado del asesoramiento de expertos de la «Sección de Enfermedades Respiratorias de la Unión»: Prof.ª Margaret Becklake, Canadá; Prof. Peter Burney, Inglaterra; Prof.ª Moira Chan-Yeung, Canadá. El grupo de expertos se ha ampliado con la participación de otros expertos internacionales: Prof. Jean Bousquet, Francia; Prof. Tim Clark, Inglaterra; Prof.ª Elif Dagli, Turquía. La revisión de la guía ha corrido a cargo de la Prof.ª Nadia Aït-Khaled y el Prof. Donald A Enarson. Esta edición de la guía está dedicada a la memoria de la Prof.ª Ann Woolcock, que consagró toda su vida a identificar las medidas de manejo más eficaces para aliviar los sufrimientos de los pacientes con asma del mundo entero. Esperamos que esta guía contribuya a ese fin. Referencias 1. Global strategy for asthma management and prevention. NHLBI/WHO workshop report. Bethesda, MD: National Institutes of Health. National Heart, Lung, and Blood Institute, Publication 95-3659, January 1995. 2. Aït-Khaled N, Enarson D. Management of asthma in adults. A guide for low-income countries. Paris, France: IUATLD, 1996. 3. Aït-Khaled N, Enarson D A, Behbehani N, Chan Yeung M, Irisen E. The Asthma Workshop. Report of a workshop organised by the International Union Against Tuberculosis and Lung Disease, Paris, 15-16 December 2000. Int J Tuberc Lung Dis 2001; 5: 973-977. 4. Aït-Khaled N, Auregan G, Bencharif N, Camara L M, Dagli E, Djankine K, Keita B, Ky C, Mahi S, Ngoran K, Pham DL, Sow O, Yousser M, Zidouni N, Enarson D. Affordability of inhaled corticosteroids as a potential barrier to treatment of asthma in some developing countries. Int J Tuberc Lung Dis 2000; 4: 268-271. IV
  • 6.
    Índice I Introducción ..................................................................................1 1. ¿Por qué una guía para el manejo del asma? ..............................1 2. Intención de la guía .....................................................................3 3. Objetivos de la guía ....................................................................4 II ¿Qué es el asma? ............................................................................5 1. Definiciones del asma .................................................................6 2. Factores de riesgo de desarrollo del asma...................................7 3. Factores desencadenantes de las crisis de asma ..........................8 4. Aspectos clínicos ........................................................................9 III Cómo diagnosticar el asma y evaluar su gravedad ...................12 1. Establecimiento del diagnóstico de asma .................................12 2. Determinación de la gravedad del asma ...................................17 IV ¿Cuál es el tratamiento esencial a largo plazo para el asma?.. 21 1. Objetivos del tratamiento ..........................................................21 2. Medidas preventivas .................................................................22 3. Fármacos esenciales para el tratamiento del asma ....................22 4. Inicio del tratamiento ................................................................25 5. Tratamiento de mantenimiento .................................................27 6. Ajuste del tratamiento durante el seguimiento..........................30 7. Cuándo prescribir ciclos cortos de corticoides orales ...............31 8. Algunos aspectos específicos en el manejo del asma ..............32 9. ¿Qué pacientes hay que transferir a un nivel más especializado? ...........................................................................33 V Cómo manejar las crisis de asma ...............................................34 1. ¿Cuál es el grado de gravedad de una crisis de asma? ..............34 2. Cómo manejar una crisis de asma .............................................37 3. Tratamiento de las crisis a domicilio ........................................43 V
  • 7.
    VI Cómo organizar los cuidados de los pacientes asmáticos ........45 1. Educación en salud: ¿Qué debe saber el paciente? ...................45 2. Implementación: ¿Cómo encaja el cuidado del asma en los servicios de salud? ..........................................................52 VII Proporcionar un servicio de calidad ......................................... 57 1. ¿Por qué hay que estandarizar los cuidados? .......................... 57 2. ¿Cómo se puede garantizar la calidad de los servicios de cuidados? Evaluación de las actividades ............. 57 3. ¿Qué elementos hay que vigilar? ............................................ 58 4. Suministros: cómo asegurarlos a escala nacional .................... 59 5. Formación: cómo organizarla .................................................. 60 6. Adaptación a la situación local y puesta en marcha de la intervención ..................................................................... 61 7. Investigación: ¿Cuál es su papel? ............................................ 61 Apéndices.................................................................................................. 63 Documentos .............................................................................................. 75 VI
  • 8.
    I  Introducción 1.  ¿Por qué una guía para el manejo del asma? 1.1 El asma es un problema frecuente Las encuestas internacionales recientes sobre asma y alergia en los niños, «International Study on Asthma and Allergy in Childhood» (ISAAC; Estudio Internacional sobre Asma y Alergia en Niños), han demostrado que el asma es una enfermedad frecuente en la mayoría de los países del mundo. La prevalencia declarada de los síntomas del asma en niños de 3 a 4 años varía de un país a otro: es más elevada en Nueva Zelanda (25%) y en los países más industrializados, pero también es alta en ciertas ciudades de África (0%) y de América Latina (3%). El asma afecta de manera prioritaria a niños y a adultos menores de 45 años, pero puede sobrevenir a cualquier edad. En los niños, la distribución por sexos es, por término medio, de dos niños por cada niña, mientras que en los adultos la prevalencia es mayor en mujeres que en hombres. En países con ingresos medios o bajos, se espera un incremento de la morbilidad asociada al asma debido a la juventud de la población, al crecimiento demográfico, a la disminución de la prevalencia de las enfermedades infecciosas, al incremento de la urbanización y de la industrialización, y al cambio progresivo de los estilos de vida. 1.2  El asma mata La falta de información en los países con escasos recursos económicos hace difícil la estimación de la mortalidad por asma. En los países industrializados, la tasa de mortalidad gira en torno a por cada 00.000 habitantes al año, pero puede alcanzar hasta 9 personas de cada 00.000. Pese a un mejor conocimiento de la enfermedad y a la disponibilidad de tratamientos más eficaces, se ha constatado un aumento del número de defunciones evitables durante los últimos treinta años. Esta mortalidad se registra sobre todo entre los jóvenes. En los países industrializados, es mucho más elevada entre la población más desfavorecida. La causa más evidente de la mortalidad por asma es un manejo a largo plazo incorrecto o insuficiente de los casos de asma.
  • 9.
    Asma en el mundo:  Más de 200 millones de casos Más de 100.000 muertes al año 1.3  El tratamiento suele ser inadecuado Cuando los cuidados dispensados a los pacientes asmáticos no se proporcionan de una forma correcta, aparecen efectos negativos: se multiplican las consultas no programadas al médico y a los servicios de urgencias. En consecuencia, las estancias prolongadas en el hospital se convierten en regla general y la mala terapéutica contribuye al riesgo de muerte entre los pacientes asmáticos. 1.4  El costo de la enfermedad es muy elevado El costo de la enfermedad comprende no sólo los costos directos de los medicamentos y del recurso a los servicios de salud, sino también los costos indirectos ligados a la pérdida de productividad y a los gastos inevitables para el enfermo y su familia, que suelen ser muy importantes pero difíciles de determinar. Los costos directos derivados del recurso a los servicios de urgencias y de las hospitalizaciones, así como los costos indirectos e intangibles, son más elevados cuando el manejo a largo plazo de los pacientes asmáticos no está bien organizado. El costo medio anual de los medicamentos varía considerablemente de un país a otro. En 2002, el costo anual mínimo de los medicamentos necesarios para tratar un caso de asma persistente moderada recurriendo al régimen de tratamiento estandarizado recomendado por la guía de la Unión, variaba según los países: 54 $US en Argelia, 288 $US en Sudán, 650 $US en Kuwait. El elevado precio de los medicamentos contra el asma es uno de los principales obstáculos para la organización del manejo a largo plazo de los pacientes asmáticos no sólo en países con escasos recursos económicos, sino en todos los países, especialmente en el caso de pacientes que pertenecen a los grupos de población más desfavorecidos. La mayoría de estos pacientes ganan sueldos insuficientes para adquirir los medicamentos con regularidad y en muchos países sus gastos de salud no están cubiertos (o lo están apenas) por un seguro de salud. En 2002, sin embargo, el uso de fármacos genéricos permitió tratar un caso de asma persistente moderada por unos 36 $US.2 El acceso de los pacientes a los medicamentos para el asma puede conducir a una evidente disminución de la carga de la enfermedad. Y así, el programa de manejo del asma implementado en Finlandia en 990 2
  • 10.
    mostró, a escalanacional, una importante disminución progresiva de la mortalidad y del número de días de hospitalización por asma, acompañada de un incremento del número de pacientes que, gracias al programa, han tenido acceso a un tratamiento correcto durante la última década. La necesidad de desarrollar una propuesta para la implementación de un manejo estandarizado del asma a un costo relativamente razonable y accesible para la mayoría de los enfermos del mundo está justificada por la frecuencia, la gravedad potencial y el costo de esta enfermedad. La primera etapa de la estandarización consiste en la elaboración de una guía que resuma los puntos clave del manejo del asma. 2.  Intención de la Guía El propósito de esta guía es proponer un método de manejo de los pacientes asmáticos aplicable a todos los países, incluidos los de escasos recursos económicos, e introducir un tratamiento estandarizado para mejorar el cuidado de los pacientes y reducir los costos de dicho cuidado. Esta guía no es un libro de medicina. Simplemente, propone las medidas esenciales para el manejo de la mayoría de los pacientes asmáticos. Otras medidas que puedan revelarse necesarias para el manejo de formas específicas de asma y de la minoría de pacientes cuya asma está mal controlada por el tratamiento recomendado, son de la incumbencia de los servicios especializados de referencia y no aparecen descritas en esta guía. 3
  • 11.
    3. Objetivos de la guía 3.1 Obtener un diagnóstico correcto y una clasificación de la gravedad del asma durante la evaluación inicial de los  pacientes. 3.2 Identificar la lista de medicamentos esenciales para el manejo del asma. 3.3  Introducir un plan de tratamiento para el manejo de los  pacientes con asma. 3.4 Adoptar un método para la clasificación de las crisis de asma. 3.5   Introducir un método adecuado para el manejo de las  crisis. 3.6 Definir el contenido, método y modalidad de la educación en salud. 3.7  Señalar  las  funciones  de  los  diferentes  niveles  de  los  servicios de salud en el manejo del asma. 3.8  Determinar las necesidades en materia de formación de  los  proveedores  de  atención  de  salud  implicados  en  el  manejo de los pacientes asmáticos. 3.9  Introducir un sistema de información que proporcione  las  bases  para  el  manejo  de  suministros  y  para  la  evaluación. Referencias . Beasley R, The International Study of Asthma and Allergies in Childhood ISAAC Steering Committee. Worldwide variations in prevalence of symptoms of asthma, allergic rhinoconjunctivitis and atopic eczema. Lancet 1998; 351:1225-1232. 2. Aït-Khaled N, Enarson DA, Bousquet J. Chronic respiratory diseases in developing countries the burden and strategies for prevention and management. Bull World Health Organ 2001; 79: 971-979. 4
  • 12.
    II  ¿Qué es el asma? El asmaes una enfermedad caracterizada por ataques espontáneos de disnea con sibilancias, predominantemente nocturnos. Esta enfermedad evoluciona más o menos gravemente durante varios años y, en ocasiones, durante toda la vida. Un manejo correcto de la enfermedad conduce a la disminución o casi total desaparición de los síntomas y permite al enfermo llevar una vida social y profesional normal. Al contrario, si el asma no es correctamente controlada puede: – volverse crónica desarrollando una limitación permanente al flujo aéreo; – conducir a una significativa discapacidad física y social; – causar la muerte debido a una crisis grave. La comprensión de los mecanismos a través de los cuales se desarrolla el asma proporciona la base para los métodos de tratamiento actualmente propuestos. El asma está provocada por múltiples factores ambientales en personas con una predisposición genética a desarrollar la enfermedad. Desarrollo del asma Factores de riesgo Herencia Factores causales Factores desencadenantes Inflamación de las vías aéreas Síntomas Hiperreactividad Limitación de las vías aéreas al flujo aéreo 5
  • 13.
    Algunos de estosfactores pueden provocar una inflamación crónica de las vías aéreas que pueden dar lugar a una hiperreactividad de las mismas. Esos factores se conocen bajo el nombre de factores causales. Pero existen otros factores que, al actuar sobre esas vías aéreas hiperreactivas, pueden provocar una limitación al flujo aéreo de intensidad variable dando origen a los síntomas del asma; son los denominados factores desencadenantes. La limitación al flujo aéreo y los síntomas agravan la inflamación de las vías aéreas, dando lugar a un auténtico círculo vicioso con riesgo de empeoramiento si la enfermedad no es tratada adecuadamente. 1. Definiciones del asma 1.1 Definición técnica El entendimiento fisiopatológico de esta afección constituye la base de la definición de asma propuesta por el Consenso Internacional y la «Global Strategy for Asthma Management and Prevention» (Estrategia Global para el Manejo y Prevención del Asma): “El asma es una enfermedad inflamatoria crónica de las vías aéreas en la que intervienen diversos tipos de células. Esta inflamación crónica provoca un aumento de la hiperreactividad de las vías aéreas, que conduce a episodios de sibilancias, disnea, opresión torácica y tos, especialmente de noche o en la madrugada. Estos episodios se asocian habitualmente a una obstrucción de las vías aéreas generalizada pero variable, que a menudo es reversible ya sea de forma espontánea o mediante tratamiento.” Esta inflamación crónica provoca modificaciones anatomopatológicas de las vías aéreas que pueden ser irreversibles: hipertrofia del músculo liso, formación de nuevos vasos sanguíneos y deposición de colágeno debajo del epitelio. Estudios recientes basados en autopsias de pacientes fallecidos por asma han mostrado una inflamación aguda y crónica de las vías aéreas, incluidos los bronquiolos de menos de 2 mm de diámetro, e incluso del parénquima. Estos resultados subrayan la importancia de utilizar corticoides inhalados. 1.2 Definición operativa Todo paciente que acude a un servicio de atención de salud aquejando síntomas respiratorios predominantemente nocturnos como tos, dificultades
  • 14.
    respiratorias y/o sibilancias,que aparecen y desaparecen, que varían de un día para otro y que provocan, sobre todo, la interrupción del sueño obligando al paciente a levantarse de la cama, debe considerarse sospechoso de padecer asma y debe ser cuidadosamente examinado. Si no se halla ninguna otra causa y la situación persiste durante algún tiempo, debe considerarse que el sujeto padece asma. 2.  Factores de riesgo de desarrollo del asma 2.1  Factores predisponentes La alergia es el factor predisponente más importante en el asma. Se refleja en la tendencia a producir niveles anormalmente elevados de inmunoglobulina E (IgE) en respuesta a la exposición a agentes ambientales. La herencia también desempeña un papel predisponente: en los pacientes asmáticos existe, con frecuencia, una historia familiar de asma. 2.2  Factores causales Algunas sustancias son capaces de estimular el sistema inmunológico para que reaccione produciendo anticuerpos IgE específicos. Cuando un individuo predispuesto se expone a tales alergenos, los linfocitos T del sistema inmunológico se vuelven linfocitos Th2, que producen cantidades anormales de IgE. De este modo, la persona puede resultar sensibilizada a tales alergenos. Cuando esa persona se expone de nuevo a la misma sustancia, se produce una reacción inmunológica que desencadena los síntomas. El proceso inflamatorio es provocado por mediadores celulares procedentes de los mastocitos activados por la reacción entre el alergeno y la IgE. Esos mediadores son producidos también por otras células: macrófagos, linfocitos y eosinófilos. Hay muchos factores causales. Generalmente, el asma es causada por una combinación de ellos: – los alergenos en el interior de las casas: los ácaros (el alergeno más común en el mundo entero), que se encuentran en el polvo casero - principalmente en la ropa de cama, las alfombras y las moquetas - , se reproducen fácilmente entre los 20o y los 22oC a un nivel de humedad superior al 55%; los animales (gatos, perros, ratas, cucarachas); y el moho, que prolifera en espacios húmedos, sombríos y mal ventilados;
  • 15.
    los alergenos fuera de las casas: el polen, el moho; – sustancias encontradas en el lugar de trabajo de origen químico o contenidas en el polvo (existe una lista actualizada permanentemente de las profesiones más expuestas en el sitio: http://asmanet.com); – medicamentos: aspirina y ciertos analgésicos antiinflamatorios no esteroides. 2.3  Factores contribuyentes Son factores que contribuyen al desarrollo del asma en individuos expuestos a factores causales. Entre ellos, figuran los siguientes: – El humo de tabaco ambiental: el tabaquismo pasivo es un factor de riesgo especialmente importante en el desarrollo del asma en los niños, y las madres que fuman durante el embarazo incrementan el riesgo de asma en sus hijos. – El papel de las infecciones respiratorias agudas en el desarrollo del asma es complejo. El hecho de sufrir una infección grave, en particular debida al virus sincitial respiratorio, antes de la edad de ó 2 años puede favorecer el desarrollo de asma. Por otro lado, las infecciones respiratorias agudas frecuentes a partir de esa edad pueden proteger al niño contra el desarrollo del asma. – Los agentes contaminantes del aire en el interior de las casas también influyen en el desencadenamiento de los síntomas, pero su papel en el desarrollo de asma no está demostrado. Al contrario, existen factores que pueden proteger contra el desarrollo del asma: – la vida rural en una granja, en contacto con animales (hipótesis “higiénica” del desarrollo del asma); – la exposición a animales domésticos durante los primeros años de vida; – el consumo de pescado y fruta fresca. 3.  Factores desencadenantes de las crisis de asma Los factores desencadenantes son fácilmente identificables dado que suelen ser los mismos para un enfermo determinado. Esa identificación es necesaria 8
  • 16.
    para poder proponermedidas preventivas adaptadas a cada paciente. Además de los factores causales que pueden desencadenar los ataques, existen otros factores con poco o ningún efecto en el desarrollo de asma, pero susceptibles de desencadenar ataques: – factores irritantes: humo de leña y de otras biomasas, aerosoles domésticos, aerocontaminantes de los vehículos; – las infecciones bacterianas o virales de las vías respiratorias superiores e inferiores, tanto en adultos como en niños; – el ejercicio puede desencadenar ataques breves debidos a la hiperventilación y a la inhalación de aire frío, sobre todo en niños y deportistas; – los cambios climáticos, como los descensos de temperatura, la humedad y la niebla; – el reflujo gastroesofágico; – el embarazo, los períodos menstruales y la menopausia pueden provocar un aumento del número de ataques de asma en algunas pacientes; – el estrés y las emociones fuertes; – los animales de compañía: gatos, perros, etc. 4.  Aspectos clínicos 4.1  Signos clínicos Los principales signos clínicos son: – opresión torácica; – disnea; – sibilancias. Ninguno de estos síntomas es exclusivo del asma y cualquiera de ellos pueden aparecer en otras enfermedades torácicas. De ahí que se puedan producir errores en el diagnóstico del asma y, como consecuencia de ello, tratamientos incompletos y inapropiados e incluso ausencia de tratamiento. Debe considerarse siempre el diagnóstico de asma cuando: – se producen episodios nocturnos de disnea, que interrumpen el sueño del paciente, especialmente de madrugada; – el paciente necesita sentarse en la cama para aliviar su dificultad respiratoria; 9
  • 17.
    los síntomas desaparecen espontáneamente o tomando medicación antiasmática (broncodilatadores); – los síntomas aparecen en ataques recurrentes; – el paciente tiene antecedentes personales de alergia (rinitis alérgica, eczema); o familiares (rinitis, eczema, asma); – el paciente presenta historia previa de padecer accesos de tos; – el paciente presenta afecciones alérgicas concomitantes: rinitis alérgica, eczema; – los síntomas son desencadenados por diversos factores, como la exposición al polvo, el aire frío o los cambios climáticos bruscos; – existen períodos de calma de los síntomas a lo largo de la enfermedad. 4.2  Cuadro clínico El cuadro típico de asma es más frecuente en adultos y niños de 5 años o más. Se caracteriza por frecuentes episodios de sibilancias, tos y dificultad respiratoria, fundamentalmente nocturnos y de duración e intensidad variables. Los períodos entre episodios varían y están acompañados por breves episodios sintomáticos que se resuelven espontáneamente cuando la enfermedad es benigna o moderada. En las formas más graves de la enfermedad, puede aparecer una disnea permanente debido a la evolución de la obstrucción del flujo aéreo de reversible a irreversible. Esta evolución grave de la enfermedad es poco común; está ligada al desarrollo de lesiones anatomopatológicas irreversibles. La aparición de esta forma grave de asma se debe generalmente a un tratamiento demasiado tardío y/o inadecuado. Existen cuadros clínicos menos típicos, observados fundamentalmente en los niños: – ataques recurrentes de tos, particularmente por la tarde y/o noche, que no responden a los antitusivos; – opresión torácica con sibilancias, surgida sólo tras el ejercicio físico; – cuadro clínico similar al de una infección respiratoria aguda: fiebre moderada acompañada de síntomas respiratorios con o sin disnea y sibilancias. Ante este cuadro clínico, el diagnóstico de asma sólo es evocado, en la mayoría de los casos, tras la recurrencia de episodios en un lapso de tiempo relativamente corto (más de tres veces en un año). 0
  • 18.
    Las formas específicas más raras deben seridentificadas, dado que a veces requieren tratamientos más específicos: manejo individual y, si es posible, remisión a un especialista. En el asma con alergia a la aspirina o a otros analgésicos antiinflamatorios no esteroides, los pacientes experimentan reacciones alérgicas cutáneas y ataques graves después de tomar aspirina u otro tipo de analgésico. Es muy importante para tales pacientes evitar una nueva exposición, ya que ésta podría conducir a ataques de asma muy graves, incluso mortales. Sin embargo, aun evitando la exposición a dichas sustancias, el asma sigue siendo generalmente grave y su control requiere cuidados especializados. El asma ocupacional deberá evocarse si los síntomas sobrevienen en el lugar de trabajo o inmediatamente después del trabajo y si desaparecen o mejoran durante las vacaciones. Si los pacientes con asma ocupacional son identificados precozmente, pueden curarse o mejorar de manera significativa evitando toda nueva exposición a la sustancia nociva. Los pacientes sospechosos de padecer asma ocupacional deberán recurrir a un especialista para la confirmación del diagnóstico y para la eventual adopción de medidas médico-legales (cambio de ocupación, indemnización, etc.). El asma estacional es una forma particular de asma más común. Los síntomas sobrevienen siempre en la misma estación durante varios años consecutivos. Este tipo de asma se debe, a menudo, a la sensibilización exclusiva al polen o al moho. El asma inducida por el polen suele ir precedida o acompañada de manifestaciones alérgicas, como la rinoconjuntivitis, que se producen siempre durante la misma estación. El asma estacional puede agravarse después de varios años y volverse crónica debido a la sensibilización progresiva a otros factores de riesgo. Referencias 1. Global strategy for asthma management and prevention. NHLBI/WHO workshop report. Bethesda, MD: National Institutes of Health. National Heart, Lung, and Blood Institute, Publication 95-3659. January 995. 2. Global strategy for asthma management and prevention. Bethesda, MD: National Institutes of Health, National Heart, Lung and Blood Institute, Revised 2004. www.ginasthma.com
  • 19.
    III  Cómo diagnosticar el asma y   evaluar su gravedad Antes de tratar a un paciente asmático es necesario: – establecer el diagnóstico de asma e identificar los posibles factores causales y desencadenantes; – determinar el grado de gravedad del asma. 1.  Establecimiento del diagnóstico de asma Si el paciente ha sido examinado durante una crisis de asma, el diagnóstico es evidente. Si no ha sido visto nunca durante un ataque, resulta mucho más difícil confirmar el diagnóstico. 1.1  ¿Cuándo hay que diagnosticar asma? El paciente asmático se queja de síntomas respiratorios, principalmente: – sibilancias; – opresión torácica; – disnea; – tos. Sin embargo, cualquier síntoma respiratorio puede ser debido al asma. La característica principal de los síntomas del asma es su variabilidad. En general, los síntomas aparecen por episodios, y su aparición y gravedad varían con el tiempo, incluso en el caso de pacientes con síntomas continuos: los síntomas varían a lo largo del día, de un día a otro, de una estación a otra y de un episodio al siguiente. El cuestionario estandarizado de la UICTER sobre los síntomas bronquiales, usado en las encuestas epidemiológicas sobre el asma, está basado en la investigación de estos síntomas y de su variabilidad (Apéndice ). La historia clínica Constituye la clave del diagnóstico. Durante la entrevista clínica, es importante utilizar palabras sencillas en un idioma que el paciente o los padres -si el paciente es un niño- entiendan perfectamente. La entrevista contiene una parte no dirigida que permite al paciente o a los padres contar 2
  • 20.
    la historia dela enfermedad, y una serie de preguntas específicas destinadas a obtener información sobre la existencia y las características de cada síntoma respiratorio, su variabilidad en el tiempo, los factores causales y desencadenantes de los ataques, así como los factores que pueden mejorar los síntomas. Los ataques recurrentes de disnea -fundamentalmente nocturnos y acompañados de sibilancias-, que despiertan al paciente y lo obligan a sentarse para poder respirar, son los síntomas más característicos de asma. Al final de la entrevista, el diagnóstico de asma se impone fuertemente en la mayoría de los casos. A veces la historia clínica es menos típica, siendo posible que el paciente padezca otra enfermedad de síntomas similares. En tal caso habrá que completar la entrevista clínica con preguntas que ayuden a excluir o a confirmar el diagnóstico de otras afecciones frecuentes sospechadas en un paciente que se queja de opresión torácica recurrente. El contexto local es especialmente importante, por lo que será preciso hablar en prioridad de las enfermedades más comunes en la región o país donde vive el enfermo. Las afecciones más frecuentes evocadas en el marco del diagnóstico diferencial varían según la edad de los pacientes. Los adultos con bronquitis crónica, bronquiectasia, síntomas respiratorios asociados a una cardiopatía o síndrome de hiperventilación, presentan síntomas que pueden confundirse con los del asma. Si el paciente tiene tos productiva diaria (especialmente, al levantarse por la mañana) con escasos cambios de un día para otro, lo más probable es que padezca una bronquitis crónica, especialmente causada por el hábito tabáquico. Si el paciente presenta una disnea de ejercicio que se agrava con el tiempo, deberá pensarse en una enfermedad pulmonar obstructiva crónica. Si el paciente tiene una tos productiva crónica con esputo purulento, que sobreviene en determinadas posturas, deberá considerarse el diagnóstico de bronquiectasia. Si el paciente tiene dolores u opresión torácica que aparecen con el ejercicio y se alivian con el reposo y/o dolores que se irradian desde el tórax hacia el cuello o el brazo izquierdo, los síntomas estarán probablemente ligados a una enfermedad cardíaca isquémica. 3
  • 21.
    Una disnea dedecúbito con edema en los miembros inferiores evoca, en primer lugar, una descompensación cardíaca. Si los síntomas consisten en una sensación de disnea sin otras molestias torácicas durante el día, acompañada de una sensación de entumecimiento y hormigueo en los dedos, pánico o miedo, podemos pensar en una hiperventilación ligada a un cuadro de ansiedad. Este tipo de disnea afecta de manera especial a mujeres jóvenes. En niños de 5 años o más, hay que considerar otros diagnósticos: Infección respiratoria aguda, sobre todo cuando el episodio respiratorio viene acompañado de fiebre. Ahora bien, si se producen más de 3 recaídas en un año, el diagnóstico más probable es el de asma. Inhalación de un cuerpo extraño con obstrucción parcial de los bronquios y sibilancias, sobre todo si las sibilancias son unilaterales. En caso de fuerte sospecha, deberá hacerse una radiografía de tórax y, si posible, una fibrobroncoscopía. Bronquiectasia, cuando el síntoma principal es una tos productiva crónica con esputo purulento, sobre todo si el paciente sufrió alguna infección grave en su infancia, por ejemplo, una neumonía post-sarampión. Tanto en adultos como en niños, se puede sospechar de tuberculosis -sobre todo en los países con tuberculosis endémica-, cuando están presentes uno o más signos típicos (adelgazamiento importante, tos y fiebre desde hace varias semanas, sudoración nocturna, historia de contagio en el caso de niños). El examen clínico Si el paciente es examinado durante un período libre de síntomas, el resultado del examen clínico no permitirá establecer el diagnóstico de asma. La presencia de sibilancias es propia del asma, pero la presencia de crepitantes sugerirá otras afecciones. Por otra parte, la ausencia de sibilancias no excluye la posibilidad de asma, ya que en períodos asintomáticos no hay ninguna anomalía evidente y la auscultación es normal. La radiografía de tórax Aunque la radiografía torácica resulta inútil para el diagnóstico del asma, sin embargo, se recurrirá a ella: 4
  • 22.
    si se sospechan otras afecciones diferentes del asma, susceptibles de provocar los síntomas señalados por el paciente, – si se teme una complicación del asma, como neumotórax o neumonía. 1.2 Cómo confirmar el diagnóstico de asma Toda persona sospechosa de padecer asma, deberá someterse a exámenes de la función pulmonar. En la mayoría de los casos, el diagnóstico es confirmado por las mediciones del flujo espiratorio máximo (FEM) mediante un simple medidor de flujo o flujómetro. El FEM permite medir la limitación al flujo aéreo. Existe una buena correlación entre el FEM y el volumen espiratorio máximo en un segundo (VEMS), medido mediante espirometría. En los servicios de salud especializados, la medición del FEM u otras pruebas de función pulmonar se pueden realizar con un espirómetro u otros aparatos de medida. Sin embargo, debido a la simplicidad de su utilización, el flujómetro es la herramienta más práctica para poner de manifiesto la variabilidad de FEM. Las mediciones del FEM deben efectuarse cuando el paciente presenta síntomas, pero también cuando los síntomas disminuyen o desaparecen. Estas mediciones podrán efectuarse también antes y después del tratamiento. La característica de la función pulmonar en los pacientes con asma es la variabilidad del FEM. Cuando se constata una variabilidad ≥ 20%, el diagnóstico de asma es prácticamente seguro y el paciente puede registrarse como paciente asmático. En caso de que esa variabilidad del FEM no se haya podido demostrar, el diagnóstico de asma probable puede, no obstante, ser valorado por el médico tras la eliminación de otros posibles diagnósticos. 1.3 Cómo medir el flujo espiratorio máximo El flujómetro es un dispositivo fiable, robusto, práctico y barato que se utiliza para detectar la presencia de limitación al flujo aéreo. El grado de limitación se evalúa comparando el nivel del FEM de un paciente con su FEM predicho (el correspondiente a un amplio grupo de personas de la misma edad, sexo y altura con una función pulmonar normal). El FEM predicho aparece clasificado en tablas de referencia en función de la edad, el sexo y la altura en el caso de los adultos y únicamente en función de la altura en el caso de los niños. 5
  • 23.
    Es útil repetiren un paciente asmático las mediciones del FEM durante varios días, tanto en el transcurso de las crisis, como tras la administración de los medicamentos para el asma. Dado que el rasgo más característico del asma es la variación de la limitación al flujo aéreo de un día para otro y en diferentes circunstancias (antes y después de la medicación, durante los períodos sintomáticos y fuera de ellos, cada mañana y cada noche antes de tomar el tratamiento), los resultados de la medición del FEM dependen en gran parte del modo como se realiza la prueba. Los aspectos técnicos para llevar a cabo la determinación del FEM figuran en el Apéndice 2. Esta medición puede resultar difícil en el caso de niños menores de 5 años y de ciertas personas mayores. Cuando el paciente acude al servicio de salud, hay que medir su FEM. Es preciso asegurarse sistemáticamente de que la prueba ha sido realizada correctamente y anotar el mejor resultado de las 3 pruebas sucesivas (Apéndice 2). Este FEM se expresará en l/min y deberá compararse con el FEM predicho para evaluar la función pulmonar del paciente con respecto a la normal. El FEM se expresa, pues, como un porcentaje del FEM predicho. FEM en porcentaje del valor predicho del paciente FEM % predicho = FEM l/min / FEM predicho en l/min x 00 Si la medición del FEM se ha efectuado correctamente, el diagnóstico de asma puede confirmarse evaluando la variabilidad del FEM del paciente medido en diferentes ocasiones: antes y después de la prueba de broncodilatación o de corticoides, antes y después del tratamiento y en las distintas consultas. Cálculo de la variabilidad del FEM entre dos mediciones Variabilidad del FEM % = FEM máximo en l/min - FEM mínimo en l/min/ FEM mínimo en l/min x 00 La variabilidad de los resultados de la prueba es característica del asma y permite confirmar el diagnóstico (Apéndice 3). Los valores por debajo de lo normal mejoran después del tratamiento y los valores normales disminuyen cuando aparecen los síntomas.
  • 24.
    ¿Qué otros exámenes son útiles para el diagnóstico? La espirometría esotro método utilizado para evaluar la función pulmonar. Es más precisa que las mediciones del flujo espiratorio máximo, pero menos accesible: en la mayoría de los países con escasos recursos económicos, esta prueba sólo está disponible en los grandes hospitales y en algunos centros de referencia especializados. Las demás pruebas (medición de la hiperreactividad de las vías aéreas, pruebas cutáneas de alergia, cuantificación de IgE total y específica, y de leucocitos eosinófilos en la sangre periférica) no suelen realizarse en la práctica de rutina ya que resultan inútiles para el manejo de la mayoría de los pacientes, además de muy costosos. Estas pruebas pueden utilizarse en los centros de referencia especializados para casos de diagnóstico difícil, para formas inusuales de asma o en el marco de la investigación. Se considerarán asmáticos y serán tratados como tales los casos siguientes: Asma confirmada: paciente con síntomas típicos del asma y una variabilidad del FEM ≥ 20%. Asma probable: paciente con síntomas típicos del asma y una historia de la enfermedad característica del asma, tras exclusión de otros diagnósticos. 2.  Determinación de la gravedad del asma La determinación de la gravedad del asma es una etapa importante en el manejo del paciente ya que permite proponer un tratamiento adecuado. Esta evaluación se realiza a partir de la historia de la enfermedad y de la medición del mejor FEM del paciente. Recurriendo únicamente a esos dos métodos, es posible determinar la gravedad clínica del asma basándose en las características de los síntomas, el nivel de función pulmonar y, en aquellos pacientes que se hallen bajo tratamiento, el tipo de medicamento y la cantidad habitualmente requerida. 2.1  Hacer una evaluación clínica La evaluación clínica está basada en la frecuencia media y en la gravedad de los síntomas clínicos durante un largo período previo a la evaluación. La recopilación de información sobre los síntomas es parcialmente fiable
  • 25.
    debido a susubjetividad, pues está basada en el juicio y memoria del paciente y, en cierta medida, en el criterio del personal de salud. La evaluación de la gravedad del asma deberá realizarse antes de que el paciente inicie el tratamiento a largo plazo. La manera más importante de juzgar la gravedad de la enfermedad consiste en determinar la frecuencia media de los síntomas durante un período largo. De este modo, se precisará si los síntomas son: – Intermitentes: los síntomas desaparecen durante largos períodos. Cuando reaparecen, lo hacen menos de una vez por semana. Los períodos de ataques sólo duran unas horas o unos días; cuando existen síntomas nocturnos, éstos aparecen menos de 2 veces al mes. – Persistentes: los síntomas nunca cesan más de una semana: cuando aparecen más de una vez por semana, son considerados persistentes: – persistentes leves: síntomas que surgen menos de una vez al día; los síntomas nocturnos aparecen más de dos veces al mes; – persistentes moderados: síntomas que surgen cotidianamente; las crisis afectan a la actividad habitual y al sueño más de una vez por semana; – persistentes graves: síntomas más o menos continuos con crisis frecuentes, que limitan la actividad física y aparecen frecuentemente durante la noche. En el caso específico del asma estacional, a menudo ligada a una alergia al polen, la gravedad de los síntomas se determinará según su frecuencia durante la estación para decidir el tratamiento a largo plazo que el paciente deberá seguir al menos durante esa estación. 2.2  Hacer una evaluación funcional (nivel de la función pulmonar) El nivel de la función pulmonar es un criterio objetivo para determinar la gravedad de la enfermedad, proporcionado por el mejor FEM del paciente. Debe determinarse en período estable (por ejemplo, tras un tratamiento de corticoides orales) y después de utilizar un broncodilatador. Debe expresarse en porcentaje del FEM predicho del paciente. Se distinguen tres niveles funcionales: – Ausencia de obstrucción: FEM superior o igual al 80% del FEM predicho. – Obstrucción moderada: FEM entre el 0 y el 9% del FEM predicho. – Obstrucción grave: FEM inferior al 0% del FEM predicho. 18
  • 26.
    2.3  Determinar el grado de gravedad del asma Durante lafase inicial del manejo, los pacientes asmáticos pueden ser clasificados según la gravedad de su enfermedad según los criterios descritos en el siguiente cuadro. Clasificación clínica y funcional durante  la fase inicial del manejo Evaluación de la gravedad  Frecuencia de  Nivel del mejor FEM    los síntomas  (% del predicho) Persistente grave Continuos 0 Persistente moderada Diarios 60-79 Persistente leve Semanales ≥ 80 Intermitente Semanales ≥ 80 El grado de gravedad más elevado de las 2 evaluaciones realizadas determinará el nivel de gravedad del asma; la clasificación de la enfermedad será la siguiente: Clasificación de la gravedad del asma Asma persistente grave FEM 0% sea cual sea la gravedad de los síntomas o síntomas persistentes graves sea cual sea el nivel del FEM Asma persistente moderada FEM 60-79% y gravedad de los síntomas síntomas persistentes graves o síntomas persistentes moderados y FEM 0% Asma persistente leve FEM ≥ 80% y síntomas persistentes leves Observaciones importantes – En la mayoría de los casos, existe una concordancia entre el nivel de la función pulmonar y la gravedad de los síntomas. – Cuando hay un desacuerdo entre el examen clínico y la prueba de función pulmonar, el grado más elevado de gravedad detectado en una de las 9
  • 27.
    2 evaluaciones determinaráel nivel de gravedad del asma. Es mejor sobrestimar que subestimar la gravedad (la subestimación tendría como consecuencia la instauración de un tratamiento inadecuado). – En los casos raros de niños o ancianos para los que no puede obtenerse los valores correctos del FEM, la clasificación de la enfermedad se basará únicamente en un examen clínico y en la respuesta al tratamiento. – En casos de asma estrictamente estacional, el grado de gravedad será determinado mediante la evaluación clínica y funcional durante la estación en que surgen los síntomas. – Si un paciente ya está recibiendo tratamiento regular, la gravedad de la enfermedad es más difícil de determinar. Se calculará según el nivel del FEM del paciente y el tratamiento a largo plazo mínimo necesario para controlar su asma (ver capítulo Tratamiento). 20
  • 28.
    IV  ¿Cuál es el tratamiento esencial   a largo plazo para el asma? El asma requiere un tratamiento a largo plazo, a menudo durante varios años, incluso durante toda la vida. En consecuencia, y al igual que ocurre con otras enfermedades crónicas, el tratamiento de los pacientes asmáticos plantea problemas de costo, cumplimiento, organización y manejo de los suministros de medicamentos. Las medidas preventivas que permiten evitar la exposición a los factores desencadenantes identificados pueden ayudar a prevenir o a reducir los síntomas. El tratamiento requiere siempre un broncodilatador para aliviar la limitación al flujo aéreo y un tratamiento continuado con medicamentos antiinflamatorios para controlar la enfermedad. Un tratamiento con una buena relación costo-efectividad será siempre el tratamiento de elección. 1.  Objetivos del tratamiento Los objetivos del tratamiento deben ser explicados al paciente y/o a su familia desde el inicio del mismo. El paciente debe saber que el tratamiento es a largo plazo y que no siempre es posible determinar inmediatamente el tiempo necesaria para alcanzar los objetivos. Se considera que el asma está bajo control cuando se han alcanzado los objetivos siguientes: Objetivos clínicos – Reducción o desaparición total de los síntomas, especialmente los nocturnos; – Ausencia de visitas a servicios de urgencias; – Ausencia de limitación de la actividad. Objetivo funcional – FEM normal o ≥ 80% del FEM predicho. 2
  • 29.
    Objetivo terapéutico – Ninguna necesidad,o sólo ocasionalmente, de usar broncodilatadores. En los casos de asma persistente más graves, es posible que estos objetivos no sean alcanzados como consecuencia de una inflamación irreversible de la mucosa bronquial. En tal caso, los objetivos del tratamiento deberán ser más modestos: mejoría clínica y funcional del paciente, tratando de obtener los mejores resultados posibles con un mínimo de efectos secundarios. 2.  Medidas preventivas Las medidas preventivas consisten en evitar o controlar la exposición tanto a los factores causales del asma (ácaros domésticos, animales domésticos, moho, exposición ocupacional, según el caso), como a los factores desencadenantes de los síntomas (tabaquismo, contaminación ambiental, aspirina, etc.). Los padres de niños asmáticos deben estar informados de que es nocivo exponer a sus hijos al tabaquismo pasivo. La desensibilización específica, costosa y de eficacia limitada, no tiene ningún papel en el tratamiento del asma en los países con ingresos medios o bajos., 2 3.  Fármacos esenciales para el tratamiento del asma Si se pretende que el asma sea tratada correctamente, hay que garantizar un suministro permanente de medicamentos. Para el tratamiento a largo plazo del asma, se necesita un número limitado de medicamentos; dichos medicamentos figuran en la lista de medicamentos esenciales de la OMS.3 22
  • 30.
    Medicamentos esenciales para el tratamiento del asma     Modo de      administración  Medicamentos  Nombre genérico  y dosis  Antiinflamatorios Corticoides Beclometasona Aerosol: 250 µg por inhalación Prednisona Comprimidos: 5 mg Broncodilatadores Beta-2 simpaticomiméticos Salbutamol Aerosol: 00 µg de acción corta y rápida por inhalación 3.1 Medicamentos antiinflamatorios Corticoides inhalados (beclometasona) Por su gran eficacia y baja tasa de efectos secundarios, la beclometasona inhalada en dosis altas, disponible bajo forma genérica, es el tratamiento de elección en los casos de asma persistente. Gracias a su acción antiinflamatoria, la beclometasona disminuye progresivamente la hiperreactividad bronquial y, consecuentemente, los síntomas del asma. Los efectos secundarios son mínimos; consisten casi exclusivamente en reacciones locales como ronquera, tos irritativa y, ocasionalmente, candidiasis bucal (o infección por hongos). Tales efectos, observados generalmente cuando la dosis diaria es igual o superior a 000 µg, pueden evitarse si se instruye al paciente para que haga uso de cámaras espaciadoras y para que se enjuague la boca tras la toma de corticoides inhalados. Los corticoides inhalados apenas tienen efectos secundarios nocivos. Su inocuidad (también con respecto al crecimiento) ha sido igualmente demostrada en niños que inhalaban dosis diarias inferiores o iguales a 800 µg. Corticoides sistémicos (prednisona oral) Estos medicamentos pueden ser utilizados en tratamientos a corto o a largo plazo: 23
  • 31.
    A corto plazo: se administran para tratar las exacerbaciones durante un breve período; una vez que éstas han remitido, se interrumpe dicha medicación. En este caso, no tienen efectos secundarios nocivos. – A largo plazo: debido a sus efectos nocivos, la prednisona sólo debe utilizarse en los casos más graves de asma que se resisten a cualquier otra terapia. Efectos nocivos tal como las infecciones oportunistas (especialmente la tuberculosis), la diabetes, la hipertensión arterial o la osteoporosis son complicaciones frecuentes derivadas de una corticoterapia oral a largo plazo. Por otra parte, la interrupción brusca de un tratamiento prolongado de corticoides orales de varios años de duración puede dar lugar a una insuficiencia suprarrenal aguda. 3.2  Broncodilatadores Los beta-2 simpaticomiméticos son los broncodilatadores más potentes. Relajan el músculo liso bronquial y contribuyen a despejar las vías respiratorias de las secreciones bronquiales. Los beta-2 simpaticomiméticos de acción corta y rápida constituyen el tratamiento de elección para los ataques de asma y para prevenir el asma inducido por el ejercicio. Son bien tolerados y sus efectos secundarios de tipo sistémico (taquicardia, temblor, hipokalemia) son poco frecuentes. La inhalación es el método preferente de administración debido a la eficacia de las pequeñas dosis, a su acción rápida (que alcanza su máximo en pocos segundos) y a la casi total ausencia de efectos secundarios. El salbutamol (que existe bajo forma genérica) es uno de los mejores beta-2 simpaticomiméticos de acción corta. 3.3  Otros medicamentos Los medicamentos esenciales para el tratamiento a largo plazo de los pacientes asmáticos figuran en la tabla de la página 23. Hay disponibles muchos otros tipos de medicación, pero su uso contribuye poco o nada al resultado del tratamiento de la mayoría de los casos de asma. Además, el aumento del número de medicamentos prescritos conduce a una disminución del cumplimiento del tratamiento y a un aumento de los costos. Algunos de esos medicamentos podrán utilizarse en los servicios especializados para casos de asma particularmente difíciles de controlar. 24
  • 32.
    En caso derinitis alérgica asociada, los antihistamínicos de primera generación y la beclometasona nasal pueden utilizarse según las recomendaciones de la iniciativa «Allergic Rhinitis and its Impact on Asthma» (ARIA2): antihístamínicos orales H1 para fiebres del heno leves y beclometasona nasal (100 - 400 µg/día), según el nivel de gravedad en las rinitis alérgicas moderadas o graves. Ciertos medicamentos como los antitusivos, los mucolíticos, los antihistamínicos (excepto en el caso de una rinitis alérgica o de otra afección alérgica asociada) y los antibióticos (excepto en el caso de una infección bacteriana evidente), representan una enorme pérdida de dinero, no producen ningún beneficio al paciente y, por tanto, no deben ser prescritos. 3.4  Modo de administración: vía inhalada Este modo de administración es el más eficaz y el menos dañino tanto en el caso de los broncodilatadores como en el de los corticoides. La técnica de inhalación de los medicamentos es el factor más importante para el éxito del tratamiento. Si ésta no es correcta, los beneficios obtenidos serán mínimos. Por esta razón, cuando se prescriben medicamentos inhalados, el paciente debe ser cuidadosamente instruido en cuanto a la forma correcta de utilizarlos. Estas instrucciones deben repetirse a menudo y conviene solicitar al paciente que efectúe la maniobra delante del personal de salud para asegurarse de que su técnica es correcta. En el Apéndice 4 se incluye una descripción detallada de la técnica de inhalación. A los pacientes que no logran controlar la técnica de inhalación directa pese a una formación adecuada (niños pequeños, ancianos) y a aquellos que reciben 000 µg o más de beclometasona, se les recomienda la utilización de una cámara espaciadora. Si el paciente no puede disponer de una cámara espaciadora industrial, puede utilizar una cámara de fabricación artesanal, cuyo buen funcionamiento es hoy ampliamente reconocido (Apéndice 5). 4.  Inicio del tratamiento Aparte de los pacientes que sufren de asma intermitente y sólo necesitan que se les administre salbutamol inhalado según necesidad, los demás deben recibir un tratamiento de corticoides inhalados a largo plazo, cuya posología dependerá del grado de gravedad de la enfermedad en cada caso. 25
  • 33.
    Enfoque del tratamiento escalonado de los pacientes con asma* Grado de gravedad        Persistente    Intermitente Grave Moderado Leve Prednisona • 0.5 mg/kg/día Beclometasona inhalada • 2000 µg/día Salbutamol inhalado • No más de 3-4 inhalaciones/día Beclometasona inhalada • 2000 µg/día durante semana • Reducir a 000 µg/día si hay mejoría Salbutamol inhalado • Según necesidad • No más de 3-4 inhalaciones/día Beclometasona inhalada • 000 µg/día durante semana • Reducir a 500 µg/día si hay mejoría Salbutamol inhalado • Según necesidad • No más de 3-4 inhalaciones/día Salbutamol inhalado • No más de 3-4 inhalaciones/semana y/o • tras ejercicio y/o exposición      Objetivos del tratamiento: Mejor control posible Control completo del asma • menor cantidad de síntomas • ningún síntoma o muy pocos • menor necesidad de • ninguna crisis salbutamol • ninguna visita a servicios de urgencias • menor limitación de la • uso mínimo de broncodilatadores ( 3 veces/semana) actividad • ninguna limitación de la actividad • mejor FEM • FEM normal o casi normal • pocos efectos secundarios • ningún efecto secundario o muy pocos * Las dosis de beclometasona son más pequeñas en el caso de los niños de 5 años o más que en el de los adultos. Aumento del tratamiento: si el asma no se llega a controlar con el tratamiento prescrito pese a un uso correcto del mismo, las dosis de los medicamentos se duplicarán en cada escalón. Disminución del tratamiento: si se han alcanzado los objetivos del tratamiento, el tratamiento se mantendrá durante varios meses y las dosis se reducirán a la mitad en cada escalón hasta que se determine el tratamiento mínimo necesario. 2
  • 34.
    Cuando el pacientepresenta asma persistente, el tratamiento debe iniciarse inmediatamente con un régimen capaz de reducir rápidamente la inflamación de las vías aéreas y aliviar los síntomas. En la mayoría de los casos, el tratamiento ideal será un ciclo corto de corticoides orales, administrado en las dosis siguientes: – En adultos, 20 mg prednisona oral, 2000 µg de beclometasona a 250 µg (8 inhalaciones) y 400 µg de salbutamol (4 inhalaciones) cada día. – En niños de 5 años o más, 0.5 mg/kg de prednisona y/o 750 µg de beclometasona y 400 µg de salbutamol. Transcurridos 8 días (a veces un poco más), el paciente está totalmente estabilizado y los síntomas han desaparecido o mejorado sensiblemente. Ya puede medirse el mejor FEM del paciente y evaluarse la gravedad de la enfermedad. Es entonces cuando se podrá instaurar un tratamiento a largo plazo adaptado al grado de gravedad del asma. 5.  Tratamiento de mantenimiento El tipo de tratamiento a largo plazo que debe administrarse a un paciente asmático viene determinado por la gravedad de su enfermedad. Debido a que el asma evoluciona de manera dinámica a lo largo del tiempo, el tratamiento debe adaptarse a la variabilidad intra e interindividual de los pacientes. Cuando el paciente ya se ha estabilizado mediante el tratamiento inicial a base de corticoides orales, puede evaluarse la gravedad de su enfermedad. El tratamiento puede entonces reducirse hasta el nivel recomendado para el grado de gravedad de su enfermedad, nivel que debe permitir el control de la misma. El tratamiento recomendado es un tratamiento escalonado, adaptado al nivel de gravedad de la enfermedad. Todos los pacientes que sufren de asma persistente seguirán recibiendo: – un tratamiento a largo plazo de corticoides inhalados, en las dosis recomendadas según el nivel de gravedad, – y salbutamol inhalado según necesidad en caso de síntomas. 5.1  Asma persistente grave El asma persistente grave requiere un tratamiento máximo con todos los fármacos disponibles: 2
  • 35.
    prednisona oral en dosis de de 0.5 mg/kg/día, – beclometasona inhalada en dosis de 2000 µg (8 inhalaciones) para adultos y de 50 a 000 µg (3 a 4 inhalaciones) para niños, – 1 a 2 inhalaciones de salbutamol según necesidad. Cuando el estado del paciente se haya estabilizado y el FEM se haya estancado, se podrá reducir progresivamente la dosis de prednisona. En un gran número de pacientes, la toma de prednisona podrá interrumpirse entonces, quedando el control del asma asegurado únicamente por elevadas dosis de beclometasona inhalada. Si el asma no está bajo control al cabo de 3 meses, pese a haberse administrado correctamente el tratamiento prescrito, se optará por un tratamiento a largo plazo de corticoides orales en la dosis mínima necesaria para lograr el mejor control posible del asma. 5.2  Asma persistente moderada Hay que comenzar por una fuerte dosis de beclometasona: 2000 µg/día (8 inhalaciones) para adultos y de 50 µg para niños. Cuando los síntomas del asma se hallen bajo control y el FEM haya mejorado durante un período de 2 semanas, se intentará reducir la dosis de beclometasona inhalada a 000 µg/día en adultos y a 500 µg en niños. Si de este modo no se logra controlar el asma, pese a haberse administrado correctamente el tratamiento prescrito, se prescribirá el escalón superior del tratamiento. 5.3  Asma persistente ligera Hay que llegar progresivamente a la dosis de beclometasona recomendada para controlar el asma persistente ligera: 500 µg para adultos y 250 µg para niños. Si así no se logra un control absoluto del asma, pese a haberse administrado correctamente el tratamiento prescrito, habrá que prescribir el escalón superior del tratamiento. 28
  • 36.
    Tratamiento diario recomendado según grado de gravedad Grado de  Adultos  Niños de 5 años o más  gravedad   Asma Beclometasona inhalada Beclometasona inhalada 50 a persistente 2000 µg 000 µg grave Salbutamol inhalado según Salbutamol inhalado según necesidad (menos de 4 necesidad (menos de 4 inhalaciones diarias) inhalaciones diarias) ± prednisona ± prednisona Asma Beclometasona inhalada Beclometasona inhalada 500 µg persistente 000 µg moderada Salbutamol inhalado según Salbutamol inhalado según necesidad (menos de 4 necesidad (menos de 4 inhalaciones diarias) inhalaciones diarias) Asma Beclometasona inhalada Beclometasona inhalada 250 µg persistente 500 µg leve Salbutamol inhalado según Salbutamol inhalado según necesidad (menos de 4 necesidad (menos de 4 inhalaciones diarias) inhalaciones diarias) Asma No beclometasona No beclometasona intermitente Salbutamol inhalado según Salbutamol inhalado según necesidad (menos de 4 necesidad (menos de inhalaciones diarias) 4 inhalaciones diarias) Sea cual sea la gravedad del asma, el tratamiento de los episodios sintomáticos (incluida el asma intermitente, para la cual es el único tratamiento) consistirá en ó 2 inhalaciones de salbutamol. Si el asma no llega a controlarse a pesar de aumentar el salbutamol a 3 administraciones diarias, deberá considerarse que el paciente padece la categoría superior de gravedad del asma y deberá tratarse en consecuencia. Una vez establecido, el tratamiento a largo plazo capaz de controlar el asma deberá ser mantenido durante al menos 3 meses antes de considerar la posibilidad de una disminución. 29
  • 37.
    Observación El tratamiento a largo plazo del asma propuesto en esta guía es un modelo que utiliza únicamente los dos medicamentos incluidos en la lista de medicamentos básicos de la OMS. Este tratamiento es uno de los más rentables actualmente existentes. Ahora bien, los responsables nacionales que deseen abordar el manejo del asma recurriendo a otros medicamentos pueden elegir un tratamiento eficaz recomendado por los consensos internacionales, teniendo en cuenta la disponibilidad de los medicamentos, su costo y su accesibilidad para la mayoría de los pacientes. En cualquier caso, deberá respetarse siempre los siguientes principios básicos: estandarización del tratamiento para todos los escalones de tratamiento según la gravedad de la enfermedad y prescripción diaria a largo plazo de un corticoide inhalado para todos los casos de asma persistente. 6.  Ajuste del tratamiento durante el seguimiento Una vez fijados los objetivos del tratamiento, el médico puede decidir adaptar el tratamiento a lo largo de las consultas de seguimiento. Para juzgar acerca del control del asma, se basará en la evaluación clínica desde la visita anterior y en la medición del flujo espiratorio máximo. 6.1  Aumento de la intensidad del tratamiento En caso de asma mal controlada, el escalón de tratamiento inicial elegido puede resultar insuficiente. En ese caso, el médico deberá pasar al escalón superior de tratamiento. Pero antes de tomar esta decisión es estrictamente necesario que se asegure de que: – el paciente ha tomado realmente la medicación prescrita; – la técnica de inhalación de los medicamentos es correcta; – no se trata de una simple agravación temporal de los síntomas ligada a una complicación transitoria (infección respiratoria aguda, cambio climático, exposición accidental a un alergeno); – se han evitado los factores evitables desencadenantes de los ataques de asma. 30
  • 38.
    6.2  Disminución de la intensidad del tratamiento Después de3 a 6 meses de tratamiento adecuado correctamente observado, el asma estará bajo control en la mayoría de los casos. La reducción de la medicación ha de efectuarse cuidadosamente. Cuando el asma esté bajo control, la reducción de la dosis de medicamentos se realizará por escalones y reduciendo a la mitad la dosis de beclometasona. Esta nueva dosis se mantendrá durante 3 a meses antes de considerar una nueva reducción del tratamiento. La dosis mínima de corticoides inhalados capaz de permitir el control del asma se mantendrá, generalmente, durante varios años. 7.  Cuándo prescribir ciclos cortos de corticoides orales Independientemente del tratamiento prescrito al paciente, puede resultar necesario añadir un ciclo corto de corticoides a su tratamiento habitual en razón de un empeoramiento transitorio de la enfermedad. Las indicaciones más frecuentes son las siguientes: – empeoramiento progresivo con reaparición de los síntomas en un paciente cuya asma estaba bajo control; – reaparición de crisis nocturnas; – caída del FEM por debajo del 0% del mejor FEM obtenido con anterioridad; – pérdida de la eficacia de los beta-2 con aumento de las dosis necesarias. El tratamiento consistirá en la prescripción de prednisona a razón de 0.5 mg/kg/día durante 8 días, tanto para adultos como para niños. Es importante investigar las causas de este agravamiento de la enfermedad, cuyo carácter transitorio puede evocarse: – el paciente no está tomando la medicación de forma regular; – complicación aguda: infección respiratoria, cambio climático brusco; – exposición accidental a un alergeno: pintura, animales o polvo; – cambio transitorio de residencia (por ejemplo, durante las vacaciones. Si la nueva casa está mal aireada y poco soleado durante una buena parte del año, existe una proliferación de alergenos -moho en particular- muy nocivos para el paciente, que queda bruscamente expuesto a este nuevo entorno). La identificación de la causa del deterioro permite, en cierto número de casos, preconizar medidas preventivas que permiten limitar o evitar las recaídas. 3
  • 39.
    8. Algunos aspectos específicos en el manejo del asma El ejerciciofísico regular es recomendable para la mayoría de los pacientes asmáticos, incluso si sufren de un asma inducida por el ejercicio. Ocasionalmente, el ejercicio puede desencadenar una crisis de asma o una simple molestia respiratoria. Si esto ocurre con frecuencia, es importante asegurarse de que el paciente está tomando regularmente su medicación; eventualmente, se le aumentará la dosis de corticoides inhalados. Si, aun así, el ejercicio sigue provocando ataques, éstos podrán prevenirse mediante un par de inhalaciones de salbutamol unos minutos antes de iniciar el ejercicio. Hay que recomendar el deporte a todos los pacientes asmáticos, incluso a aquellos que padecen de asma inducida por el ejercicio. Es preciso aconsejar a todos los pacientes que eviten el humo del tabaco. Se debe animar a los fumadores a dejar de fumar. La exposición de los pacientes al humo ambiental (tabaquismo pasivo) debe desaconsejarse rotundamente. Para los niños expuestos, la primera medida de prevención consiste en que sus padres dejen de fumar. Las repercusiones del embarazo en el asma son frecuentes (mejoría o agravación). La medicación antiasmática no tiene efectos nocivos para el feto. Hay que advertir a las mujeres embarazadas que el mayor riesgo para sus bebés está directamente relacionado con un mal control de su asma debido a un tratamiento insuficiente. El uso de un tratamiento betabloqueador en pacientes asmáticos debe evitarse en la medida de lo posible, ya que estos medicamentos pueden dar lugar al empeoramiento de su asma. Cuando un paciente asmático requiere cirugía, es importante asegurarse de que el asma está bien controlada antes de la intervención. Durante la operación e inmediatamente después, los pacientes pueden experimentar un aumento de su limitación al flujo aéreo y de las secreciones mucosas bronquiales. Antes de una intervención quirúrgica importante, suele ser útil aumentar de un escalón la dosis de corticoides inhalados. En el caso de los pacientes que reciben corticoides orales, deberá mantenerse la medicación y considerarse la posibilidad de un aumento de la dosis antes, durante y cierto tiempo después de la intervención. 32
  • 40.
    9.  ¿Qué pacientes hay que transferir a un nivel más espe- cializado?  Ciertos pacientes deben ser enviados a un nivel de referencia más especializado si en el primer nivel de referencia no se dispone de exámenes necesarios para confirmar un diagnóstico o para eliminar ciertos diagnósticos diferenciales, o debido a afecciones concomitantes. A veces, el objetivo es obtener una orientación terapéutica. Un paciente cuya asma no está bajo control tras un manejo adecuado, debe ser remitido a un nivel más especializado. Sin embargo, aplicando las medidas recomendadas en esta guía, es posible controlar el asma en la mayoría de los casos. Antes de transferir al paciente, es necesario comprobar que el tratamiento se ha seguido correctamente y que la técnica de inhalación es la adecuada. Si se identifica en un paciente un asma con intolerancia a la aspirina y/o a los antiinflamatorios no esteroides, dichos medicamentos serán interrumpidos obligatoriamente. A menudo, esos pacientes sufren de un asma grave e inestable, y, en la medida de lo posible, deberán ser remitidos a un nivel de referencia más elevado para la confirmación del diagnóstico y un asesoramiento terapéutico. Los pacientes en que el principal desencadenante de los síntomas parece situarse en el lugar de trabajo también deberán ser transferidos a un nivel de referencia superior para confirmar el diagnóstico de asma ocupacional y solicitar una eventual compensación médico-legal. Referencias 1. Sterk PJ, Buist SA, Woolcock AJ, Marks GB, Platts-Mills TAE, Von Mutius E, Bousquet J, Frew J, Pauwels R, Aït-Khaled N, Hill SL, Partridge MR. The message from the World Asthma Meeting. The working groups of the World Asthma Meeting, held in Barcelona, Spain, 9-13 December 1998. Eur Respir J 1999; 14: 1435- 453. 2. Bousquet J, Van Cauwenberg P, Khaltaev N: ARIA Workshop Group, World Health Organization. Allergic rhinitis and its impact on asthma. ARIA workshop report in collaboration with WHO. J Allergy Clin Immunol 2001; 108 (5 Part 2): S147-S334. 3. World Health Organization. Model List of Essential Medicines, 2th ed. Geneva, Switzerland: WHO, April 2002. 33
  • 41.
    V  Cómo manejar las crisis de asma Las crisisde asma son accesos paroxísticos de disnea aguda con sibilancias, ligados a una obstrucción al flujo aéreo. Estos ataques pueden ocurrir en todo momento, si bien sobrevienen fundamentalmente durante la noche, despertando al enfermo y obligándolo a sentarse para poder respirar. Pueden sobrevenir incluso en un paciente cuya asma está bien controlada si éste se expone a factores desencadenantes específicos, pero más a menudo son el reflejo de un fracaso en el manejo a largo plazo del paciente. 1.  ¿Cuál es el grado de gravedad de una crisis de asma? La gravedad de las crisis es variable: desde la crisis más anodina, reversible en unos minutos, hasta las crisis graves que ponen en juego el pronóstico vital. En este último caso, el empeoramiento se instala generalmente a lo largo de varias horas o varios días, pero, ocasionalmente, puede ocurrir de manera repentina y brutal en el espacio de unos minutos (crisis catastrófica súbita). El grado de gravedad de un ataque está determinado por la importancia de la limitación al flujo aéreo (si la obstrucción alcanza más del 50% de las vías aéreas, la vida del paciente está en peligro), por la mayor o menor reversibilidad de la obstrucción y por la rapidez de la reversibilidad de la obstrucción bajo tratamiento. Aunque los signos clínicos de un ataque de asma sean bastante característicos, a veces es indispensable considerar otros casos de disnea aguda, en particular, el neumotórax. 1.1  ¿Qué elementos se utilizan para evaluar la gravedad de una  crisis? La evaluación de la gravedad de las crisis puede realizarse mediante diferentes signos que reflejan las dificultades respiratorias y su repercusión funcional. Signos clínicos La rápida entrevista a que se somete al paciente, así como su examen físico, permiten determinar el grado de gravedad de una crisis de asma: 34
  • 42.
    Características de la disnea: – ¿está presente al caminar, al hablar o en posición de reposo? – ¿ha aumentado la frecuencia respiratoria? – ¿Se hallan presentes las sibilancias, moderadas o marcadas, o al contrario han desaparecido? – ¿Existe respiración paradójica o tiraje muscular intercostal o movimientos abdominales? – ¿Se ha producido una aceleración o ralentización del pulso? – ¿Cuál es el estado de conciencia del enfermo? ¿Está agitado? ¿Está somnoliento? ¿Está inconsciente? Cuantificación de la función pulmonar La medición del flujo espiratorio máximo (FEM) antes y después de la inhalación de salbutamol es el criterio más objetivo para evaluar la gravedad de la obstrucción y su reversibilidad. Para evaluar la gravedad de la obstrucción en el momento del ataque, el FEM tras inhalación de salbutamol debe ser expresado en porcentaje del mejor FEM conseguido por el paciente (o, en su defecto, del FEM predicho). Por esta razón es importante que el paciente conozca su “valor máximo” y que esta información sea anotada en su tarjeta individual. 1.2  ¿Cuál es la escala para estimar la gravedad de una crisis de  asma? El Consenso Internacional ha propuesto el uso de una tabla para evaluar el grado de gravedad de un ataque de asma. Esta tabla permite, a partir de los signos clínicos y de las medidas de la función pulmonar, distinguir cuatro grados de gravedad en las crisis de asma: leve, moderada, grave, paro respiratorio inminente. El FEM debe ser cuantificado, si posible, en cuanto el paciente llega al servicio de urgencias, pero sobre todo 0 ó 5 minutos después de la administración de salbutamol inhalado. 35
  • 43.
    Evaluación de la gravedad de una crisis de asma* según el Consenso Internacional Paro   Signos         respiratorio  clínicos  Leve  Moderada  Grave  inminente Disnea al caminar, al hablar, en situación de puede estar prefiere estar descanso, acostado sentado si está acostado Habla en frases trozos de frases palabras no puede hablar Nivel de agitado a generalmente siempre agitado somnoliento conciencia veces agitado o confuso Frecuencia aumentada aumentada a menudo respiratoria 30/min Tiraje no moderado intenso movimientos muscular paradójicos Sibilancias moderadas, fuertes muy fuertes ausentes al final de la espiración Pulso/minuto, 100 100-120 120 bradicardia adulto Niño de 5 años 120 120-130 130 bradicardia o más FEM tras 0% entre 50 y 0% 50% imposible inhalación o 00 l/min de medir de salbutamol (en % del mejor FEM o, en su defecto, en % del FEM pre- dicho del paciente) * La gravedad de una crisis viene indicada por la categoría más alta de gravedad, donde se hallan presentes varios signos (no necesariamente todos). Si la entrevista clínica revela un factor de alto riesgo de asma fatal y/o un tratamiento anterior ineficaz a domicilio, el nivel de gravedad superior se atribuye a la crisis. 3
  • 44.
    No todos loscriterios correspondientes a una misma categoría están necesariamente presentes en un determinado paciente. Cuando haya varios signos clínicos presentes, se tendrá en cuenta el grado de gravedad más elevado. La evaluación de la gravedad puede modificarse, pudiendo atribuirse a una crisis un grado de gravedad superior si en la anamnesis se encuentran factores de riesgo particulares. La rápida entrevista a que se somete al paciente o a su familia (si el paciente no puede responder a las preguntas) permite en ocasiones: – encontrar un factor de alto riesgo de asma fatal: – un tratamiento con corticoides muy reciente o en curso; – una hospitalización o visitas frecuentes a servicios de urgencias durante el año anterior; – una intubación previa por asma; – una enfermedad psiquiátrica grave; – y/o descubrir que el paciente ha emprendido sin éxito un tratamiento de urgencia antes de presentarse en el servicio de urgencias. 2.  Cómo manejar una crisis de asma 2.1  ¿Cuáles son los objetivos del tratamiento? – Evitar la muerte; – Restitutir el estado clínico y funcional a su mejor nivel lo antes posible, suprimiendo la obstrucción; – Mantener una función pulmonar óptima; – Prevenir la recaída precoz mediante el tratamiento de la inflamación. 2.2  ¿Qué medios terapéuticos se han de utilizar? Salbutamol Es la medicación más eficaz y la menos tóxica. Tiene varias presentaciones: – inhalador de dosis medida: se usa con o sin cámara espaciadora según la gravedad del ataque, la habilidad del paciente y su capacidad para inhalar. Las dosis varían entre 4 y 8 inhalaciones en cada toma. – nebulización: para cada nebulización, se mezcla ml de la solución para nebulizar con 3 ó 4 ml de solución isotónica. La nebulización se realiza mediante un nebulizador (eléctrico o bomba accionada con el pie) o conectando directamente el aparato a una fuente de oxígeno. 3
  • 45.
    Corticoides En situaciones deemergencia, los corticoides se administran siempre por vía sistémica. Por su acción antiinflamatoria, estos medicamentos aceleran la resolución de las crisis que no responden a los broncodilatadores únicamente y, por encima de todo, evitan el riesgo de recaída. La mejoría clínica producida por los corticoides, sea cual sea su forma de administración, requiere un mínimo de cuatro horas; la administración de corticoides por vía intravenosa no entraña, por tanto, ninguna ventaja. Esta vía se reserva a los pacientes con problemas de mala absorción o de intolerancia digestiva, o para las crisis muy graves en pacientes que ya tienen una vena cateterizada. Se administrará una dosis de prednisona oral de entre /2 y 2 mg/kg/día (una media 30 a 60 mg/día para los adultos) o, si es necesario, de 00 a 200 mg de hidrocortisona cada 4 ó horas por vía intravenosa. Medicamentos esenciales para el tratamiento del asma en urgencia     Modo de administración   Medicamentos  Nombre genérico    y dosis Broncodilatadores Simpaticomiméticos Salbutamol Aerosol: 00 µg por inhalación Solución para nebulizador: 5 mg/ml Antiinflamatorios Corticoides Hidrocortisona Ampolletas: 00 mg Prednisona (vía intravenosa) Comprimidos: 5 mg Oxígeno Si una crisis es clasificada como grave, habrá que administrar oxígeno al paciente. El oxígeno se humidificará y administrará a alto flujo (6 l/min) lo más concentradamente posible. En los países con escasos recursos económicos donde los servicios de urgencia no siempre disponen de oxígeno mural y botellas de oxígeno, se pueden utilizar utilizar extractores de oxígeno si hay electricidad disponible: para obtener un flujo de oxígeno de 6 l/min se necesitan dos extractores en paralelo. 38
  • 46.
    2.3  Manejo del asma en el servicio de urgencias En cuantoel paciente ingresa en la sala de urgencias, es necesario: – determinar la gravedad de la crisis; – utilizar el mejor tratamiento disponible en el centro; – organizar el seguimiento del paciente. El médico no debe abandonar al paciente durante los 5 primeros minutos, ya que el estado de éste puede agravarse bruscamente. Deberá controlar el estado del paciente cada 20 minutos durante la primera hora, y luego cada hora, con el fin de determinar la respuesta al tratamiento. La evaluación del FEM se hará en relación con el mejor FEM del paciente si se conoce; si no, en relación con el FEM predicho (cuando no se dispone del mejor FEM del paciente, la evaluación de la gravedad de la crisis y el control de su evolución pueden resultar difíciles, ya que en aquellos pacientes con asma persistente moderada o grave, el mejor FEM es, la mayoría de las veces, inferior a lo normal). La evolución de la crisis durante el tratamiento se juzgará según los criterios siguientes: – respuesta completa: desaparición casi total de los signos clínicos; FEM superior al 70% o al 80%; – respuesta incompleta: mejoría sin desaparición de los signos clínicos; incremento del FEM, que sigue siendo inferior al 0%; – ausencia de respuesta o deterioro: ausencia de mejoría o agravación de los signos clínicos; FEM inferior al 50%. El seguimiento clínico debe ser preciso y sistemático, revisándose con regularidad cada signo clínico y el FEM. Los resultados de la evaluación deben ser cuidadosamente registrados en una tarjeta de seguimiento. El paciente podrá abandonar la sala de urgencias sólo si la respuesta al tratamiento es completa y estable. Esa estabilidad debe constatarse dejando al paciente bajo observación durante una hora más después de la respuesta completa a la medicación y comprobando que su estado no varía. Esta vigilancia tiene por objetivo el de detectar riesgos de recaída inmediata, que, aunque poco frecuentes, son generalmente graves. Según la gravedad de las crisis, pueden proponerse diferentes esquemas de tratamiento. 39
  • 47.
    Crisis grave  Se iniciará deinmediato un tratamiento máximo que comportará: – Oxigenoterapia a fuerte concentración, a flujo elevado (6 l/min); – Salbutamol inhalado a dosis elevadas: 0 a 5 inhalaciones en cada administración. Esa misma dosis se administrará cada 20 minutos durante la primera hora mediante una cámara espaciadora. La nebulización no es más eficaz que la inhalación con cámara espaciadora. Sin embargo, en determinados casos, cuando el paciente está agotado y especialmente en el caso de los niños, se puede optar por una nebulización que contenga una solución de salbutamol de 5 mg/ml. La nebulización se administrará cada 20 minutos durante la primera hora, utilizándose en cada una de ellas entre un 20 y un 25% de la ampolla, o sea, entre 000 µg y 500 µg de salbutamol. (Pero también se puede proceder a una administración continua utilizando una ampolla que será nebulizada durante la primera hora). El salbutamol se puede nebulizar utilizando oxígeno en lugar de aire enchufando el nebulizador a la fuente de oxígeno; – Una inyección subcutánea de salbutamol, eventualmente; – Hidrocortisona intravenosa a razón de 100 a 200 mg (2 a 4 mg/kg). La administración de corticoides por vía intravenosa no es más eficaz que la administración por vía oral en dosis diarias de 60 a 80 mg de prednisona. Si se elige la administración oral, la dosis diaria será administrada en una sola toma. Tras la primera hora se proseguirá con el tratamiento del modo siguiente: – oxigenoterapia al mismo flujo y de manera continua; – corticoides intravenosos (si se ha optado por esta vía de administración), a la misma dosis y cada 4 horas; – salbutamol inhalado a la misma dosis y cada 4 horas. El seguimiento de las crisis graves se efectuará durante un mínimo de horas. La evaluación del estado del paciente al término de este período de vigilancia permitirá determinar si éste puede ser dado de alta o debe ingresar en un hospital: – en caso de ausencia de mejoría o en caso de agravación. Por ejemplo, si los signos clínicos de una crisis grave no mejoran, si aparecen signos de paro respiratorio inminente, o si el FEM es inferior al 30%), es imprescindible transferir al paciente a un centro de atención de salud donde haya un 40
  • 48.
    médico especialista competenteo donde se le pueda administrar cuidados intensivos y una ventilación mecánica; – en caso de respuesta incompleta (cuando los signos clínicos corresponden a una crisis moderada y el FEM se mantiene entre un 30% y un 0%), el paciente es hospitalizado en un servicio médico para proseguir con su tratamiento; – en caso de respuesta satisfactoria (cuando los signos clínicos desaparecen, el FEM es superior al 0%), el paciente puede ser dado de alta del hospital una vez que el médico haya constatado que su estado permanece estable una hora después de la última dosis de salbutamol. Paro respiratorio inminente Todos los pacientes con paro respiratorio inminente deben ser sometidos a un tratamiento (como mínimo el correspondiente a una crisis grave) en cuanto llegan al servicio de urgencias y transferidos, si posible, a otro servicio más adaptado: ya sea a una unidad de cuidados intensivos, o a un servicio que disponga de un especialista competente y donde sea posible efectuar una ventilación mecánica. Crisis moderada El tratamiento comporta la administración de: – salbutamol inhalado, a ser posible utilizando una cámara espaciadora. La dosis será de 4 a 8 inhalaciones por toma, repetidas cada 20 minutos durante la primera hora y seguidas eventualmente de dosis similares cada hora en caso de respuesta incompleta; – prednisona oral en una dosis única de 0.5 a 1 mg/kg. El seguimiento debe durar entre .5 y 2 horas. Si la respuesta es completa y estable, se puede dar de alta al paciente una hora después de la última dosis de salbutamol. En caso de ausencia de respuesta o de respuesta incompleta, se proseguirá el manejo como si se tratase de un caso de crisis grave. Crisis leve El tratamiento consiste en la administración de salbutamol inhalado en dosis de 4 a 8 inhalaciones por toma, ya sea directamente o utilizando una cámara espaciadora. En caso de respuesta incompleta, el tratamiento se renovará cada 20 minutos durante la primera hora. El paciente podrá ser dado de alta una hora después de que se haya obtenido una respuesta completa. La vigilancia 4
  • 49.
    debe prolongarse entre1.5 – 2 horas. En caso de no-respuesta o de respuesta incompleta, la crisis será tratada como una crisis moderada. 2.4  Indicaciones para la hospitalización La decisión de ingresar al paciente en un servicio de urgencias o en un hospital puede tomarse inmediatamente en razón de la gravedad de la crisis o tras un tratamiento que no haya conducido a su resolución completa. Hospitalización inmediata en un servicio especializado En los casos siguientes, los pacientes serán transferidos lo antes posible a una unidad de cuidados intensivos o, en su defecto, a un servicio especializado donde haya un especialista competente y/o donde sea posible efectuar una oxigenoterapia: – paro respiratorio inminente; – crisis grave con uno o varios factores de alto riesgo de asma fatal. Otros pacientes serán transferidos a los servicios especializados durante el seguimiento del tratamiento prescrito en el servicio de urgencias: – crisis grave que empeora aun bajo tratamiento, con signos de paro respiratorio inminente; – crisis grave que no mejora con el tratamiento al cabo de un tratamiento adecuado durante 2 horas. Permanencia en un servicio de urgencias durante 6 a 12 horas En razón de la gravedad de las crisis, ciertos pacientes deben ser hospitalizados en el servicio de urgencias durante un período mínimo de horas: – crisis grave con un FEM inferior al 50%; – crisis moderada que no responde al tratamiento inicial; – crisis moderada ocurrida en un paciente que presenta uno o varios factores de alto riesgo de asma fatal. Hospitalización  en  un  servicio  médico  a  partir  de  la  12ª  hora  de  seguimiento A partir de la 2ª hora de tratamiento y vigilancia en el servicio de urgencias, los pacientes que presentaban una crisis moderada o grave y cuyo estado ha empeorado o no ha mejorado con el tratamiento adecuado (FEM entre 30% y 0%) serán hospitalizados en un servicio médico. 42
  • 50.
    2.5  Condiciones básicas para el alta hospitalaria Los pacientesque mayores riesgos corren de morir a causa del asma son aquellos que acuden con frecuencia a los servicios de urgencias como consecuencia de crisis asmáticas. Ésta es la razón fundamental por la que el alta hospitalaria de los pacientes que han acudido a urgencias debe ir acompañada de una serie de medidas destinadas a prevenir la recaída precoz y mejorar su situación a largo plazo: – tratar de determinar las causas de las crisis de asma para poder remediarlas (incumplimiento del tratamiento, ausencia de manejo a largo plazo, infección bronquial, comorbilidad); – asegurarse de que la técnica de inhalación es correcta; – prescribir al paciente, además de los beta-2 simpaticomiméticos, un ciclo corto de corticoides para evitar la recaída; – el centro de salud donde está (o debería estar) registrado el paciente debe estar informada de los cuidados dispensados a éste, de la gravedad de la crisis y de los medicamentos utilizados para tratarla. 3.  Tratamiento de las crisis a domicilio Los pacientes y/o padres bien informados con respecto al manejo del asma son capaces de reconocer los signos de empeoramiento de la enfermedad y de iniciar un tratamiento en su casa en cuanto aparecen los primeros signos clínicos de la crisis. Para estos pacientes, sólo será necesario recurrir a los servicios de urgencias en caso de sufrir una crisis que, ya de entrada, parece más grave de lo normal o que no responde al tratamiento de emergencia recomendado en el plan de tratamiento explicado por el personal de salud al paciente o a sus padres. Referencia International Consensus Report on Diagnosis and Treatment of Asthma. Publication N° 92-3091, Bethesda, MD, USA: National Heart, Lung, and Blood Institute, National Institutes of Health. March 992. 43
  • 51.
    Tratamiento escalonado de las crisis de asma Medicina general  Servicio especializado   Hospitalización  FEM entre 30 y 0% Paro respiratorio tras tratamiento inminente o de emergencia FEM 30% tras tratamiento de emergencia ± Ventilación Aumento del tratamien- mecánica to en caso de ausencia  de mejoría Oxígeno con Oxígeno con mascarilla mascarilla Prednisona Hidrocortisona Hidrocortisona 0.5-1 mg/kg/día 100 mg cada 4 horas 100 mg cada 4 horas Salbutamol Salbutamol Salbutamol Salbutamol inhalado inhalado inhalado intravenoso 3 veces durante 3 veces durante la primera hora la primera hora, O O  luego una vez Salbutamol Salbutamol cada hora nebulizado nebulizado ± Salbutamol subcutáneo Evaluación  Leve  Moderada  Grave  Paro respiratorio    inicial FEM  70%  FEM 50-70%  FEM  50%   inminente   Seguimiento   1 1/2-2 horas  1 1/2-2 horas  6-12 horas                 Alta tras una recuperación casi total y: FEM ≥ 80% FEM 70% FEM 70% Condiciones para el alta tras una recuperación casi total: • prescribir salbutamol inhalado y un ciclo corto de corticoides orales; • asegurarse de que la técnica de inhalación del paciente es correcta; • escribir una carta para el médico o el servicio de salud que dispensa (o debería dispensar) los cuidados regulares de los pacientes asmáticos. 44
  • 52.
    VI  Cómo organizar los cuidados   de los pacientes asmáticos La educación en salud del paciente (o de su familia en el caso de los niños) es fundamental si se pretende que éste asuma responsabilidades en el manejo de la enfermedad. Esta educación debe permitir a los pacientes adherirse a un tratamiento regular, reconocer los signos de empeoramiento y modificar el tratamiento en caso de exacerbación. La educación en salud es el único medio que permite a un paciente (y/o a su familia) comprender la afección que padece y modificar así su comportamiento frente a la misma. Permite mejorar progresivamente las competencias y capacidades del paciente (o de los padres si el paciente es un niño) para participar activamente en el manejo racional de su enfermedad. 1.  Educación en salud: ¿Qué debe saber el paciente? El objetivo de la educación en salud consiste en favorecer las relaciones entre el paciente y su familia, por un lado, y el equipo de salud, por otro. De la calidad de esta relación dependerá en gran parte el cumplimiento del tratamiento y la capacidad del paciente (o de sus padres) para participar en el manejo y control de la enfermedad. Con el fin de lograr sus objetivos, la educación en salud debe ser permanente, regularmente evaluada, repetitiva y, sobre todo, adaptada al nivel sociocultural del paciente. 1.1  El contenido de la educación en salud La educación en salud de un paciente consiste en escuchar, informar, enseñar técnicas y favorecer la colaboración entre el paciente y el personal de salud. Escuchar al paciente La clave de toda educación en salud consiste en escuchar atentamente al paciente y establecer una relación cercana entre éste y el médico. Esta escucha permitirá al médico comprender: 45
  • 53.
    el modo como el paciente percibe su enfermedad; – los conocimientos del paciente acerca de la enfermedad y del tratamiento; – las repercusiones de la enfermedad y su impacto en la calidad de vida del paciente; – el nivel sociocultural del paciente; – lo que el paciente espera conseguir con el tratamiento. Informar al paciente Además de las informaciones solicitadas por el paciente y a las cuales el médico debe tratar de responder cuidadosamente, éste debe también proporcionar al paciente toda información que pueda ayudarle a mejorar el cumplimiento del tratamiento y que le permita desarrollar la capacidad de participar activamente en el manejo de su enfermedad. En relación con la enfermedad: – debe anunciarse al paciente el diagnóstico exacto de asma; – la enfermedad debe explicarse con un lenguaje sencillo, sin tecnicismos, con el fin de: – convencer al paciente de la necesidad de un tratamiento a largo plazo; – explicarle los resultados que puede alcanzar con ese tratamiento. En relación con el tratamiento: El médico debe asegurarse de que el paciente y/o su familia ha(n) comprendido bien las informaciones siguientes: – existen dos tipos de medicamentos para tratar el asma: los que permiten tratar los síntomas suprimiendo la limitación al flujo aéreo y los que actúan sobre la inflamación previniendo la aparición de síntomas y disminuyendo la gravedad de la enfermedad; – un tratamiento a largo plazo nunca debe interrumpirse y el paciente debe disponer en todo momento de medicamentos de reserva; – la vía inhalada es preferible a las demás vías de administración ya que los medicamentos llegan directamente a los bronquios; por eso los medicamentos inhalados son muy eficaces, actúan rápidamente a pequeñas dosis y no tienen (o apenas) efectos secundarios. El médico debe igualmente asegurarse de que el paciente y/o sus padres han entendido bien de qué modo pueden tomar parte activa en el manejo de la enfermedad enseñándoles: 4
  • 54.
    a reconocer los signos de empeoramiento del asma y a aumentar el tratamiento habitual antes de acudir al médico; – a reconocer las crisis que requieren la visita inmediata a un servicio de urgencias después de haber tomado el tratamiento recomendado por el personal de salud para este tipo de crisis; – cuándo y dónde consultar en razón de un empeoramiento de los síntomas. En relación con la higiene de vida: Se aconsejará al paciente: – evitar la exposición a los factores identificados como desencadenantes habituales de las crisis; – llevar una vida activa, que incluya la práctica de un deporte. El deporte ha de ser recomendado, incluso en el caso de asma inducida por el ejercicio físico. Ciertos pacientes aquejados de un asma persistente grave mal controlada se ven a veces incapacitados para practicar un deporte. Incluso en los casos más graves, siempre es útil hacer ejercicio con regularidad. Enseñar las técnicas al paciente  La técnica de inhalación con un inhalador de dosis medida: Hay que enseñar al paciente la técnica de utilización de los inhaladores de dosis medidas (Apéndice 4): – el aprendizaje no se logra en una sola sesión, de ahí la necesidad de verificar la calidad de la técnica en cada una de las consultas del paciente; – los fracasos terapéuticos están, muy a menudo, ligados a la mala utilización de los medicamentos inhalados; – si el paciente es incapaz de obtener una coordinación correcta entre la mano que presiona el aerosol y el movimiento de inhalación, se recomienda la utilización de una cámara espaciadora. Si no hay cámaras disponibles en el país en cuestión, se enseñará al paciente a fabricar una con una botella de plástico (Apéndice 5). La técnica de medición del flujo espiratorio máximo (FEM): – el paciente debe aprender a llevar a cabo de forma correcta la medición del flujo espiratorio máximo; – hay que realizar tres pruebas y registrar el mejor resultado obtenido; – la medición del FEM debe realizarse antes y después de la toma de salbutamol para que el paciente se percate de la eficacia de dicho medicamento. 4
  • 55.
    1.2  Fomento de la colaboración y organización del seguimiento a        largo plazo El cumplimiento de un tratamiento regular y su adaptación inmediata a los episodios evolutivos de la enfermedad son la clave del éxito en el tratamiento del asma. Para conseguirlo es necesario desarrollar una auténtica colaboración entre el médico y el paciente. Varios métodos permiten favorecer el desarrollo de esta colaboración: Elegir y prescribir el mejor tratamiento posible, el más eficaz y aplicable: – una terapéutica eficaz dará lugar a una adhesión inmediata al tratamiento. Por esta razón, no deberá subestimarse la gravedad de la enfermedad a la hora de elegir el mejor tratamiento; – la elección del tratamiento debe realizarse junto con el paciente, asegurándose de que éste podrá seguirlo (¿puede comprar los medicamentos?, ¿sabe inhalar los medicamentos?, ¿entiende para qué sirve cada uno de los medicamentos prescritos?); – es importante también que el paciente entienda el interés y las indicaciones de los ciclos cortos de corticoides orales. Limitar el número de medicamentos y de tomas: – el tratamiento a largo plazo requiere normalmente 2 medicamentos: salbutamol y beclometasona inhalados; – el número de tomas de los medicamentos deberá reducirse al mínimo, o sea, a ó 2 tomas al día en la mayoría de los casos. Explicar claramente la prescripción: – la prescripción debe redactarse de manera legible, de modo que el paciente o un miembro de su familia puedan leerla; – la prescripción se entregará acompañada de explicaciones muy claras, a ser posible mostrando los medicamentos (o incluso los frascos vacíos). De ahí la conveniencia de disponer de algunas muestras en la consulta. – Hay que prever un determinado número de cajas de cada medicamento hasta la próxima consulta, incluso un pequeño excedente con el fin de evitar la interrupción del tratamiento. La técnica para tomar los medicamentos deberá explicarse muy claramente; el paciente -o un miembro de su familia- debe ser capaz de recapitular su tratamiento al profesional de salud que le ha dado las explicaciones. 48
  • 56.
    Organizar el seguimiento a largo plazo El seguimiento alargo plazo contribuye a mejorar progresivamente la educación en salud del paciente, así como a ajustar el tratamiento en función de la evolución de la enfermedad. Además, tranquiliza al paciente y le proporciona el apoyo psicológico necesario en toda enfermedad crónica. El seguimiento comporta dos tipos de consulta: Consultas regulares previa cita: – Las primeras consultas para el manejo de un paciente asmático son a menudo bastante seguidas (cada semana). Tienen por objetivo el de determinar el mejor tratamiento a largo plazo para controlar el asma, evaluar la aceptación de la terapéutica por parte del paciente e iniciar su educación en salud. Las consultas siguientes, previa concertación de una cita, podrán ser más espaciadas (cada tres meses por término medio). – Durante estas visitas, el profesional de salud deberá determinar: – la situación clínica: número y gravedad de los episodios sintomáticos desde la última consulta, número de visitas al servicio de urgencias; – el FEM antes y después del broncodilatador; – los medicamentos realmente tomados por el paciente. – Si se constata un incumplimiento del tratamiento, hay que buscar la causa y tratar de remediarla. Consultas en urgencias: – Durante las consultas regulares, deberá explicarse al paciente cómo y dónde conseguir atención en situaciones de emergencia a cualquier hora del día o de la noche; – Los profesionales de salud que proporcionan los cuidados a largo plazo en clínicas deben trabajar en estrecha colaboración con los que trabajan en los servicios de urgencia con el fin de reducir la necesidad de acudir a urgencias y el riesgo de fallecimiento; – Sólo el profesional de salud que se ocupa del seguimiento regular del paciente puede tomar la decisión de introducir cambios en el tratamiento a largo plazo. Animar al paciente a participar en el manejo de su enfermedad: el plan  de tratamiento El objetivo final de la educación en salud consiste en implicar totalmente al paciente en el manejo a largo plazo de su enfermedad, permitirle entender 49
  • 57.
    bien su enfermedady los medicamentos requeridos para que pueda asumir la responsabilidad de modificar él mismo su tratamiento en caso de necesidad, siguiendo el plan de tratamiento que le haya sido recomendado. 1.3  Planes de tratamiento Existen ejemplos de “planes de tratamiento” propuestos en diferentes recomendaciones de consenso para guiar al paciente en el ajuste de su propio tratamiento. Estos planes definen 3 zonas de tratamiento según los elementos clínicos y los resultados del FEM del paciente. En la mayoría de los países con ingresos bajos o medios, los planes de tratamiento basados en el seguimiento individual de la evolución del flujo espiratorio máximo son raramente utilizables por parte de la mayoría de los pacientes (debido al elevado índice de analfabetismo y a la falta de disponibilidad de flujómetros). Además, se ha demostrado que los planes de automanejo basados exclusivamente en elementos clínicos dan resultados equivalentes a los proporcionados por las mediciones del FEM. Este plan, que distingue 3 zonas, debe registrarse en un documento personal que el médico proporcionará al paciente. Zona verde (estado estable): – el paciente no sufre ataques de asma; – no aparecen síntomas nocturnos; – el paciente realiza sus tareas habituales. Esta zona corresponde a la del asma que está bajo control: el tratamiento a largo plazo que controla el asma es anotado; es el tratamiento habitual del paciente. Zona amarilla (empeoramiento): – síntomas frecuentes consistentes en tos o dificultad respiratoria; – los síntomas alteran el sueño y/o las actividades del paciente; – los síntomas son más graves hoy que ayer. El tratamiento suplementario que debe seguir el paciente está escrito en su tarjeta y ha sido bien explicado. Generalmente, el médico recomendará al paciente un ciclo corto de corticoides orales y/o duplicar la dosis de beclometasona inhalada, y le pedirá que prevea una consulta inmediata en 50
  • 58.
    caso de queno se produzca una mejoría. En caso de mejoría, el paciente volverá a su tratamiento anterior al cabo de una semana. Zona roja (crisis): – crisis grave, disnea aguda con dificultades para hablar y caminar; – se ha tomado el tratamiento recomendado para la zona amarilla, pero sin resultados. El paciente debe acudir inmediatamente a un servicio de urgencias después de haber tomado el tratamiento recomendado por su médico. Este tratamiento comporta habitualmente varias inhalaciones de salbutamol con cámara espaciadora y un ciclo de corticoides orales (1 mg/kg) en una dosis única. ¿A qué pacientes hay que proporcionarles un plan de tratamiento? Los pacientes con asma persistente moderada o grave, que sufren exacerbaciones más frecuentemente y a menudo más graves, son los que más se beneficiarán de dicho plan. El médico tratante tiene la responsabilidad de proporcionar al paciente un plan de tratamiento cuando él lo considere oportuno y en el momento en que el paciente lo pueda entender. ¿Cuándo se debe dar al paciente un plan de tratamiento? Dar al paciente un plan de tratamiento representa el último estadio de la educación en salud. El médico no deberá confiar tal responsabilidad al paciente (o a sus padres si el paciente es un niño) hasta no estar seguro de que éste la puede asumir. Debe asegurarse de que el paciente (o sus padres) ha entendido perfectamente: – la importancia de su tratamiento a largo plazo; – el papel de cada medicamento; – la técnica para tomar los medicamentos; – los signos de empeoramiento. Durante las consultas de seguimiento, el médico debe comprobar igualmente que el paciente está respetando su tratamiento. En consecuencia, un paciente nunca debe recibir un plan de tratamiento durante su primera consulta; el momento en que lo reciba dependerá del tiempo que necesite para adquirir las nociones básicas de educación en salud. El plan de tratamiento se dará más rápidamente a los pacientes más graves 5
  • 59.
    que sufren deexacerbaciones frecuentes, con el fin de tratar de limitar la gravedad. ¿Cómo hay que dar el plan de tratamiento al paciente? Cada paciente dispondrá de una tarjeta individual, de la cual proponemos un ejemplo en el Documento 1. En esta tarjeta figuran: el diagnóstico, el plan de tratamiento y su mejor FEM. En ella se señalará también información personal acerca del paciente e información sobre la técnica de inhalación de los medicamentos y sobre los servicios de urgencias. Esta tarjeta será entregada al paciente durante la primera consulta. El médico registrará en ella el plan de tratamiento sólo tras haberse asegurado de que el paciente es capaz de adaptar él mismo su propio tratamiento. 1.4  Métodos de educación en salud Existen diferentes métodos para la educación en salud del paciente. Educación en salud individualizada: Es realizada por el médico que se halla a cargo del paciente. Pueden participar en ella los demás miembros del equipo de salud. Los mensajes deben ser sencillos y adaptarse al nivel cultural de cada paciente. El progreso de cada paciente será evaluado por el profesional de salud encargado de su cuidado, el cual determinará, además, el momento idóneo para introducir el plan de tratamiento. Educación en salud por grupos: Este tipo de educación puede ser impartida por el servicio de salud a un grupo de pacientes, si bien nunca debe reemplazar la educación en salud individual. 2.  Implementación: ¿Cómo encaja el cuidado del asma en  2.  los servicios de salud? El adecuado manejo de pacientes con asma corre a cargo tanto médicos generales como especialistas. Para ser mejorado y racionalizado, este manejo debe ser organizado y jerarquizado en los servicios generales de salud pública. 52
  • 60.
    Esto implica variosniveles de intervención, que se distinguen entre sí por el grado de especialización del personal de salud, el tipo de centro de salud y los equipamientos. El manejo del asma puede concebirse según tres niveles de cuidados diferentes, que están en comunicación permanente para asegurar una fácil transferencia de los pacientes y de la información médica de un centro a otro. 2.1.  Centros periféricos A este nivel, ejerce un médico general o, a veces, un(a) enfermero/a. Ambos pueden participar en el manejo de los pacientes asmáticos según su competencia y el equipamiento disponible en dichos centros. Tareas de los profesionales de salud en los centros periféricos – Identificar los casos sospechosos de asma; – Diagnosticar la mayoría de los casos de asma y evaluar su gravedad; – Manejar todos los casos de asma intermitente; – Remitir todos los casos de asma persistente al primer nivel de referencia; – Remitir al nivel superior a los pacientes que planteen un problema de diagnóstico o terapéutico. 2.2  Centro de primer nivel de referencia En un sector sanitario de 50.000 a 200.000 habitantes, existen diversos centros periféricos y un centro de referencia que se encuentra generalmente ubicado en la capital del distrito, dentro o fuera del hospital. El manejo de los pacientes asmáticos con enfermedad persistente debe desarrollarse en este centro de referencia de primer nivel, donde ejerce un especialista en neumología o un médico general especialmente formado en el manejo de enfermedades respiratorias. En este centro se encuentran agrupados diferentes servicios especializados (incluida la unidad de diagnóstico y de tratamiento del programa nacional contra la tuberculosis, en la mayoría de los países con ingresos medios o bajos). Estos servicios están integrados y forman el primer nivel de especialización. El médico o los médicos que ejercen en este centro tienen la responsabilidad de garantizar que todos los cuidados proporcionados a nivel periférico (nivel de atención primaria de salud) son correctos, incluidos 53
  • 61.
    los dispensados alos pacientes asmáticos. El hospital del distrito está generalmente bajo la responsabilidad de uno de los médicos del centro. Tareas  de  los  profesionales  de  salud  en  el  centro  de  primer  nivel  de  referencia – Asegurar el diagnóstico, la educación en salud, el tratamiento y el seguimiento de los pacientes asmáticos del distrito; – Manejar todos los casos de asma persistente del distrito; – Manejar los casos transferidos de asma infrecuente o complicada; – Remitir a los pacientes al nivel de referencia superior si necesario; – Asegurar una formación médica continua del personal de salud del distrito en materia de asma y de su manejo; – Emprender o participar en investigaciones operativas a nivel de distrito; – Registrar todos los nuevos casos de asma persistente identificados en el distrito; – Registrar con regularidad los resultados del tratamiento para todos los casos de asma persistente. Se puede designar a un miembro del equipo como responsable del mantenimiento del sistema de información y del suministro de medicamentos y equipamientos. A este nivel, los profesionales de salud disponen del sistema de información (registro, archivos) y del medidor del flujo espiratorio máximo o flujómetro. Deberán disponer también de un aparato de rayos X y de un servicio de urgencias capaz de manejar las crisis de asma graves. El servicio de urgencias debe disponer como mínimo de un medidor de flujo, de una cámara espaciadora y de oxígeno. 2.3  Centro especializado de segundo nivel de referencia El segundo nivel de referencia especializado está representado por los hospitales de tercer nivel/universitarios o por grandes hospitales bien equipados donde ejercen especialistas en neumología. Estos servicios aseguran las funciones de referencia para todos los demás niveles de los servicios de salud. Equipamiento necesario en el segundo nivel de referencia Estos servicios de referencia deben: – disponer de un espirómetro y, si posible, de un analizador de gases sanguíneos; – tener acceso a un servicio de radiología; 54
  • 62.
    tener acceso a una unidad de cuidados intensivos o a un servicio especializado capaz de proporcionar una ventilación mecánica. Tareas del personal en el segundo nivel de referencia Además de las tareas asumidas en el primer nivel de referencia, estos servicios especializados deben manejar casos más complicados remitidos por el primer nivel de referencia. Coordinación de los diferentes niveles de los servicios de salud Nivel  Centro  Personal  Material Periférico Centro de salud Médicos Flujómetro generales Primer nivel de Hospital o Especialistas Flujómetro referencia centro de salud Espirómetro (si posible) especializado Oxígeno Cámara espaciadora Nebulizador Segundo nivel Hospital Especialistas Espirómetro de referencia Gasómetro arterial Rayos X 2.4  Coordinación entre los diferentes niveles Sea cual sea el nivel de intervención en el que el paciente es atendido, deberán aplicarse los principios siguientes: – remitir al paciente a un nivel superior si la naturaleza de su asma excede las capacidades y/o los medios del nivel de atención en que es atendido; – reenviar al paciente al nivel de atención inicial una vez que el problema por el cual fue transferido a otro nivel ha sido adecuadamente resuelto; – la transferencia de un paciente de un nivel de atención de salud a otro debe ir acompañada de una carta donde se expliquen las razones de dicha transferencia, las intervenciones realizadas y su estado de salud actual. 55
  • 63.
    2.5.  Organización del manejo de los pacientes asmáticos a nivel  nacional Deberá nombrarse a un Coordinador Nacional, cuya responsabilidad será la de garantizar el seguimiento del número de casos y la calidad de los cuidados dispensados a todos los pacientes del país, así como la calidad y la regularidad de los suministros. Este coordinador debe apoyarse en un comité más amplio para cumplir las principales tareas siguientes: – desarrollar un plan nacional para el manejo estandarizado de los casos; – elaborar y participar en el programa de formación continua destinado a los profesionales de la salud implicados en el manejo de los pacientes asmáticos; – supervisar la evaluación regular de la epidemiología y del manejo del asma en el país; – promover y participar en la implementación de investigaciones que permitan mejorar el manejo de los pacientes asmáticos. Los médicos, tanto generales como especialistas, que ejercen en el sector privado participan en el manejo de los pacientes asmáticos. Estos profesionales deberían poder participar igualmente en las formaciones para así adherirse al plan general de manejo adoptado a nivel nacional. 5
  • 64.
    VII  Proporcionar un servicio de calidad 1.  ¿Por qué hay que estandarizar los cuidados? Dispensara los pacientes asmáticos cuidados estandarizados de calidad es importante por varias razones: – si los cuidados se proporcionan de manera no estandarizada, muchos pacientes no alcanzarán el estado de salud óptima que sería posible alcanzar; – se necesita un enfoque sistemático estandarizado debido a la naturaleza crónica de la enfermedad; – la ausencia de estandarización de los cuidados y de evaluación y registro de los resultados incrementa los costos de salud para el paciente, la familia y la colectividad. 2.  ¿Cómo se puede garantizar la calidad de los servicios de  salud? Evaluación de las actividades El único medio que permite controlar la calidad de los servicios es el registro y la evaluación de la información relativa a los cuidados de cada paciente. El registro del número de pacientes en una institución o colectividad y la evaluación de su evolución proporcionan las informaciones necesarias para poder analizar los resultados del tratamiento, planificar el modo de dispensar los cuidados de salud, determinar el análisis de la situación y revisar la estrategia de manejo si los resultados no son satisfactorios. Este registro debe ser sistemático y completo, y, por tanto, recurrir al enfoque de cohorte: todos los pacientes a quienes va dirigida la intervención de salud son registrados y evaluados, y ninguno es omitido o excluido de la evaluación. Por esta razón se recomienda registrar a todos los pacientes que sufren de asma persistente (confirmada o probable) y para los cuales se ha prescrito un tratamiento a largo plazo. Los pacientes que sufren de asma persistente constituyen el grupo específico seleccionado para el seguimiento regular de su evolución, ya que son los más enfermos; en caso de tratamiento deficiente, su enfermedad tendrá un mayor impacto en sus vidas y en las de sus familias; son ellos los que más recursos consumen y también los que mayores riesgos de morir corren. 5
  • 65.
    3.  ¿Qué elementos hay que vigilar? 3.1  La calidad de los cuidados clínicos dispensados a los pacientes Algunosindicadores de la calidad de los cuidados son: – la proporción de casos confirmados según la definición en relación con el conjunto de casos; – la concordancia entre los signos clínicos, el nivel del FEM y la gravedad atribuida a la enfermedad; – la concordancia entre el grado de gravedad de la enfermedad y el tratamiento prescrito. 3.2  La evolución de los pacientes bajo tratamiento La reevaluación periódica de los pacientes bajo tratamiento es un medio para determinar los beneficios y la eficacia del tratamiento. El registro de la variación del grado de gravedad de la enfermedad es un buen indicador de la eficacia del tratamiento. 3.3  El  impacto  del  conjunto  de  los  servicios  proporcionados  al    3.3  paciente Seguir la evolución de cada paciente permite registrar su enfermedad y saber si los servicios proporcionados han tenido algún impacto en ella. En este sentido, los indicadores más importantes son: – la proporción de pacientes fallecidos mientras estaban bajo tratamiento; – la frecuencia de las visitas no programadas a los servicios de salud para el tratamiento del asma. Si el tratamiento es de buena calidad, fallecerán pocos pacientes, y la frecuencia de las visitas no programadas a los servicios de salud (especialmente a los servicios de urgencias y al hospital) disminuirá considerablemente. 3.4  ¿Cuál es el sistema de información recomendado? En el nivel de la estructura de salud de primer nivel de referencia, se recomiendan los siguientes documentos para el registro y la notificación de casos: – Tarjeta del paciente (Documento 1), tarjeta personal a entregar al paciente; 58
  • 66.
    Tarjetas de tratamiento (Documento 2), conservadas en el centro de salud; – Registro de nuevos casos de asma persistente del distrito (Documento 3), conservado en el centro de salud; – Informe trimestral de los nuevos casos (Documento 4), a llenar por el responsable del centro de salud y a enviar al coordinador nacional; – Informe anual sobre los resultados del tratamiento (Documento 5), a llenar por el responsable del centro de salud y a enviar al coordinador nacional; – Formulario de pedido de medicamentos (Documento 6), a llenar por el responsable del centro de salud y a enviar al coordinador nacional. 4.  Suministros: cómo asegurarlos a escala nacional Uno de los aspectos más importantes para el éxito en el tratamiento de una enfermedad crónica como el asma consiste en asegurar suministros regulares de medicación y de material diagnóstico. Para determinar las necesidades habituales y de una reserva de seguridad, hay que basarse en la estimación de los requerimientos registrados en los informes regulares de los enfermos atendidos en cada región. Es necesario conocer el número de pacientes nuevos y las tasas de mortalidad y abandono del tratamiento. Asimismo, será preciso hacer algunas extrapolaciones ya que la información rutinariamente recopilada se basa en el trabajo del primer nivel de referencia y no aporta información sobre la situación en las estructuras periféricas. Para calcular las necesidades de medicación habituales, se utilizarán las siguientes hipótesis: – en la colectividad, por cada caso de asma persistente grave, existen 2 casos de asma persistente moderada, 5 casos de asma persistente leve y 25 casos de asma intermitente; – el tratamiento de un caso de asma persistente grave requiere, por término medio, 5 mg de prednisona, 8 inhalaciones de beclometasona y 4 de salbutamol al día; – el tratamiento de los casos persistentes moderados consistirá, por término medio, en 4 inhalaciones de beclometasona y 4 de salbutamol al día; – el tratamiento de los casos persistentes leves consistirá, por término medio, en 2 inhalaciones de beclometasona y 4 de salbutamol al día; – el tratamiento de los casos intermitentes consistirá, por término medio, en inhalación de salbutamol al día. 59
  • 67.
    Para niños de5 años o más, se puede igualmente calcular las necesidades de medicación del mismo modo que para los adultos: son equivalentes en el caso del salbutamol inhalado y se reducen más o menos a la mitad en el caso de la beclometasona inhalada. Puesto que cada inhalador contiene 200 dosis de beclometasona y de salbutamol, es posible calcular las necesidades -incluida una reserva de seguridad- para cada período. Las crisis de asma que requieren visitas a los servicios de urgencias se calculan del siguiente modo: para los casos graves, 5 veces al año; para los moderados, 2 veces al año; para los casos leves, una sola vez al año. El formulario de pedido de medicamentos (Documento 6) se basa en el número de casos de asma persistente registrados en un sector. Ha sido diseñado para los adultos a partir de las hipótesis precedentes. 5.  Formación: cómo organizarla 5.1  En las escuelas de ciencias médicas Todas las escuelas de medicina o de enfermería del país deberían dispensar una formación adecuada que permita a los profesionales de salud asumir la responsabilidad del cuidado de los pacientes asmáticos. El programa de estudios debe desarrollarse previa consulta con el Coordinador Nacional y debe respetar las directrices nacionales para el manejo del asma. 5.2  Mediante la formación continua La formación continua del personal de salud implicado en el manejo del asma es fundamental a la hora de asegurar un manejo correcto de los pacientes. Una vez introducido un programa nacional en un país, es útil seleccionar varios distritos como “áreas piloto” para lanzar el programa. Ese lanzamiento debe comenzar por un curso de formación de varias semanas que incluirá: – las bases científicas del programa nacional; – los aspectos técnicos y organizativos; – el sistema de información utilizado: documentos individuales del paciente, registros e informes. Desde el inicio del programa, el componente más importante de la formación continua son las visitas de supervisión regulares, efectuadas a los diferentes 0
  • 68.
    niveles de intervenciónpara asegurarse del adecuado manejo de los pacientes, así como de la recopilación de información y de la calidad de los suministros de medicamentos y equipamientos. Deben organizarse reuniones regulares (como mínimo anuales) de los profesionales de salud involucrados en el manejo de pacientes con asma en cada nivel de intervención del sistema de salud para discutir acerca de los informes referentes a nuevos casos y de los resultados del manejo, y para encontrar soluciones a los problemas planteados. 6.  Adaptación a la situación local y puesta en marcha de la  intervención La intervención y los formularios de registro y notificación necesarios para implementar el manejo de los pacientes asmáticos deben adaptarse a la situación local de cada país. Habrá que tener en cuenta, en particular, la organización de los servicios de salud y los consensos o recomendaciones nacionales. La adopción de un sistema de registro y notificación es fundamental para evaluar permanentemente los resultados de la intervención implementada. El procedimiento de implementación de la intervención debe hacerse por etapas: – Implementación en algunas zonas de salud piloto; – Evaluación de los resultados; – Modificaciones eventuales de la intervención en función de los resultados; – Generalización progresiva de la intervención en las demás zonas con evaluación permanente de los resultados. 7.  Investigación: ¿Cuál es su papel? La investigación es un componente fundamental de todos los programas de intervención en los servicios de salud. Sólo mediante una investigación rigurosa y sistemática puede comprenderse las enfermedades y la forma de controlarlas, y pueden mejorarse los sistemas para dispensar cuidados. La investigación en el contexto de un programa se realiza habitualmente mediante el componente de evaluación del programa, utilizando a menudo la información recogida de forma rutinaria como punto de partida para plantear las preguntas a las que la investigación debe esforzarse por responder.
  • 69.
    La Comisión Internacionalpara el Desarrollo de la Investigación en Salud ha establecido que un porcentaje fijo (5%) del presupuesto de cualquier programa de salud debe reservarse para la investigación. La razón de esta recomendación es que la investigación genera conocimientos nuevos que constituyen una potente herramienta para el cambio. En consecuencia, el tipo de investigación más apropiado para este fin es la investigación operativa. Este tipo de investigación implica al personal responsable del manejo de los pacientes, les proporciona conocimientos nuevos y les ayuda a resolver los problemas que deben afrontar habitualmente. Los temas más apropiados para este tipo de investigación incluyen la distribución del asma en la comunidad, sus determinantes y la relación costo- efectividad de las distintas intervenciones. 2
  • 70.
    Apéndices Apéndice 1: Cuestionario de investigación de la UICTER sobre síntomas bronquiales (1984) 64 Apéndice 2: Técnica de medición del flujo espiratorio máximo (FEM) 67 – Tabla de referencia del FEM para los adultos 69 – Tabla de referencia del FEM para los niños de 5 años o más 70 Apéndice 3: Cómo confirmar el diagnóstico de asma y medir su gravedad 71 Apéndice 4: Cómo utilizar un inhalador de dosis medida 73 Apéndice 5: Cómo utilizar y fabricar una cámara espaciadora 74 63
  • 71.
    Apéndice 1 Cuestionario de investigación de la UICTER sobre síntomas bronquiales (1984) Sírvase contestar a las preguntas con un “sí” o un “no”. Si no está seguro, elija “no”. Sibilancias y opresión en el pecho 1. ¿Ha tenido alguna vez en los últimos 12 meses No Sí pitidos o silbidos en el pecho? [ ] [ ] 2. ¿Ha tenido alguna vez en los últimos 12 meses sensación de opresión en el pecho al No Sí levantarse por la mañana? [ ] [ ] Dificultad para respirar 3. ¿Ha tenido alguna vez en los últimos 12 meses dificultad repentina para respirar en algún momento No Sí del día sin estar realizando ningún esfuerzo? [ ] [ ] 4. ¿Ha tenido alguna vez en los últimos 12 meses dificultad repentina para respirar después de haber No Sí realizado algún esfuerzo? [ ] [ ] 5. ¿Se ha despertado por la noche alguna vez durante No Sí los últimos 12 meses por dificultad repentina [ ] [ ] para respirar? Tos y flemas procedentes del pecho 6. ¿Se ha despertado por la noche alguna vez durante No Sí los últimos 12 meses debido a un acceso de tos? [ ] [ ] 7. ¿Tose habitualmente al levantarse por la mañana? No Sí [ ] [ ] 8. ¿Habitualmente expulsa flemas procedentes No Sí del pecho al levantarse por la mañana? [ ] [ ] 9. ¿Expulsa usted flemas la mayoría de las mañanas No Sí durante al menos 3 meses al año? [ ] [ ] 64
  • 72.
    Respiración 10. ¿Cuál de las siguientes afirmaciones describe mejor surespiración? (marque sólo una castilla) a. No tengo problemas con mi respiración [ ] nunca o en contadas ocasiones b. Tengo problemas frecuentes con mi respiración, [ ] pero siempre se solucionan totalmente c. Mi respiración nunca es normal [ ] Animales, polvo, plumas 11. ¿Cuando está usted en un lugar polvoriento de su casa o cerca de animales (perros, gatos, pájaros, caballos, etc.) o plumas (almohadas, cojines, edredones, etc.), siente siempre: a. una sensación de opresión en el pecho? No Sí [ ] [ ] b. dificultades para respirar ? No Sí [ ] [ ] Asma 12. ¿Ha tenido asma alguna vez? No Sí [ ] [ ] 13. ¿En algún momento durante los últimos 12 meses No Sí ha tenido una crisis de asma? [ ] [ ] 14. ¿Toma habitualmente medicamentos (inhaladores, No Sí aerosoles, pastillas) para el asma? [ ] [ ] Tabaquismo 15. ¿Ha fumado durante un año seguido? No Sí [ ] [ ] [Se entiende al menos un cigarrillo o más al día (o un puro o más por semana, o 30 gramos de tabaco al mes) durante al menos un año] 65
  • 73.
    SI CONTESTA “NO”,VAYA A LA PREGUNTA 20 SI CONTESTA “SÍ”: 16. ¿Fuma (o fumaba) habitualmente : – cigarrillos manufacturados? [ ] – cigarrillos liados a mano? [ ] – pipa? [ ] – puros? [ ] – otros? (Especifique, por favor) [ ] 17. ¿Cuántos cigarrillos fuma (fumaba) usted al día? ..................................................................... c/día 18. En la actualidad: (marque sólo una castilla) ¿continúa fumando? [ ] ¿ha dejado de fumar totalmente hace menos de 1 mes? [ ] ¿ha dejado de fumar totalmente hace 1 mes como mínimo? [ ] 19. ¿Cuánto tiempo hace que fuma o -si lo ha dejado- durante cuánto tiempo fumó? .............................. años Más información sobre usted 20. Fecha de nacimiento día mes año 21. Sexo hombre mujer 22. Fecha actual día mes año 23. Edad años Referencia Burney PG, Laitinen LA, Perdrizet S, Huckauf H, Tattersfield AE, Chinn S, et al. Validity and repeat- ability of the IUATLD (1984) bronchial questionnaire: an international comparison. Eur Respir J 1989; 2: 940-945. 66
  • 74.
    Apéndice 2 Medición delflujo espiratorio máximo (FEM) Material Flujómetro y boquillas de cartón (desechables) o de plástico (a limpiar tras cada utilización). Medición del FEM de un paciente en l/min 1. Ajuste una boquilla en el extremo del flujómetro y coloque el indicador de medida a cero. 2. Póngase de pie y agarre el flujómetro en posición horizontal por la extremidad opuesta a la de la boquilla, teniendo cuidado de no impedir el movimiento del indicador. 3. Inspire profundamente, apriete bien los labios alrededor de la boquilla y espire lo más rápidamente posible (de un golpe seco, como si fuera a apagar una vela). El indicador ascenderá hasta un determinado nivel: anote el resultado marcado por la posición del indicador en l/min. 4. Repita la maniobra dos veces más: de los tres resultados obtenidos, retenga y anote el más elevado. 67
  • 75.
    Evaluación de lafunción pulmonar: FEM del paciente en % de su valor predicho El FEM en litros/min debe expresarse en % del valor predicho para poder hacer una evaluación de la función pulmonar del paciente. Existen tablas de referencia que indican los valores del FEM predicho para niños menores de 15 años y para adultos, según el sexo y la altura. El cálculo del FEM del paciente en % de su valor predicho se expresa mediante la fórmula siguiente: FEM del paciente en % del valor predicho = FEM en l/min observado / FEM predicho en l/min x 100 Ejemplo del cálculo del FEM en porcentaje del FEM predicho en un hombre de 40 años de 1m 67cm de altura: FEM predicho = 620 l/m FEM observado = 500 l/min FEM % predicho = 500/620 x 100 = 81% 68
  • 76.
    Apéndice 2 (continuación) Tablade referencia del FEM para adultos AGE IN YEARS WRIGHT. B.M., and MCKERROW, CB. (1959), Brit. Med. J. 2.1041. Maximum forced expiratory flow rate as a measure of ventilatory capacity. With a description of a new portable instrument for measuring it. NAIRN. J.R. BENNETT. A.J., ANDREW. J.D., and MACARTHUR. P (1961), Arch. Dis. Childh. 36.253. A study of respiratory function in normal school children; the peak flow rate. SHEPHARD, R.J. (1962). Thorax. 17.39. Some observations on peak expiratory flow. FAIRBAIRN, A.S., FLETCHER, C.M., TINKER, C.M., and WOOD. C.H. (1962). Thorax. 17.168. A comparison of spirometric and peak expiratory flow measurements in men with and without chronic bronchitis. LEINER, G.C., ABRAMOWITZ, S., SMALL, M.J., STENBY, V.B., and LEWIS, W.A. (1963), Amer. Rev. Resp. Dis. 88.644. Expiratory peak flow rate. Standard values for normal subjects. Use as a clinical test of ventilatory function. GREGG, I (1964), J. Coll. Gen. Pract 7 199 and 215. The measurement of pack expiratory flow rate and its application in general practice. ANDERSON, A.K. (1966), Brit. J. Clin, Pract 20.635. The low-rate flow meter used by school entrants. LEONARDS, A.K. (1966) ACTA Allergy. 21.99. Der Maximale Exspirationsstorm. CHAI. H. PURCELL. K, BRADY.K., and FALLIERS, C.J. (1968), J. Allergy 41.23. Therapeutic and investigational evaluation of asthmatic children. EPSTEIN, S.W. FLETCHER, C.M., and OPPENHEIMER, E.A. (1969), Brit. Med. J. 1.223. Daily peak flow measurements in the assessment of steroid therapy for airway obstruction WILLIAMS. M.H. (1979), Chest. 76.34. Evaluation of Asthma. 69
  • 77.
    Tabla de referenciadel FEM para niños de 5 años o más 70
  • 78.
    Apéndice 3 Cómo confirmarel diagnóstico de asma y evaluar su gravedad 1. Confirmación del diagnóstico de asma Prueba de broncodilatación con salbutamol FEM antes del salbutamol (en litros/minuto): medir el FEM antes de la inhalación de salbutamol. – Pedirle al paciente que efectúe dos inhalaciones de salbutamol – con un inhalador de dosis medida, – o con una cámara espaciadora (industrial o artesanal). – Retirar el inhalador y pedirle al paciente que retenga la respiración durante 10 segundos (para facilitar la difusión del salbutamol). – Esperar 10 minutos; a continuación, medir el FEM tras el salbutamol (en l/min). Prueba de reversibilidad con corticoides La misma prueba puede efectuarse en un paciente midiendo su FEM antes y después de la administración de prednisona a razón de 0.5 mg/kg durante 8 días. Medición del FEM en diferentes momentos El FEM también puede ser medido en diferentes momentos: antes y después del tratamiento, durante una crisis y después de ella, en las diferentes consultas, en diferentes momentos del día. Variabilidad del FEM = mejor FEM en l/min – FEM mínimo en l/min / FEM mínimo en l/min x 100 La medición de la variabilidad del FEM permite confirmar el diagnóstico de asma en un gran número de casos. Confirmación del diagnóstico de asma Una variabilidad del FEM ≥ 20% observada tras una prueba de broncodilatación, o tras una prueba con corticoides, o entre mediciones del FEM realizadas en diferentes ocasiones, confirma el diagnóstico de asma. 71
  • 79.
    2. Evaluación de la gravedad funcional de la enfermedad Medición del mejor FEM del paciente (FEM más elevado) Esta medición debe realizarse en un paciente estabilizado que no presente ningún síntoma, tras un tratamiento sintomático con salbutamol inhalado y un ciclo corto de corticoides orales. El mejor FEM, expresado en porcentaje del valor predicho del paciente, permite una evaluación de la función pulmonar que ayudará a estimar la gravedad de la enfermedad asmática en el momento en que se registre al paciente. Evaluación de la gravedad funcional del asma El mejor FEM en % del valor predicho cuando el paciente está en estado estable permite la evaluación de la gravedad funcional de la enfermedad durante su manejo inicial. Este FEM debe anotarse en la tarjeta del paciente y en su tarjeta de tratamiento. 3. Clasificación de la gravedad del asma A partir de la evaluación clínica y funcional del paciente, la clasificación de la gravedad del asma será la siguiente: Asma persistente grave FEM 60% independientemente de la gravedad de los síntomas, o síntomas persistentes independientemente del nivel del FEM. Asma persistente moderada FEM 60-79% y gravedad de los síntomas menor que los síntomas persistentes graves, o síntomas persistentes moderados y FEM 60%. Asma persistente leve FEM ≥ 80% y síntomas persistentes leves. 72
  • 80.
    Apéndice 4 Cómo utilizarun inhalador de dosis medida (IDM) 1. Retire la tapa. 2. Agite bien el inhalador. 3. Sople a fondo para vaciar los pulmones. 4. Coloque la boquilla del inhalador en su boca y apriete bien los labios alrededor de la boquilla. 5. Aspire a fondo mientras presiona sobre la base del frasco para que el aerosol penetre profundamente en los bronquios. 6. Retire el inhalador y contenga la respiración durante 10 segundos, sin espirar. 7. Espire y luego respire normalmente. 73
  • 81.
    Apéndice 5 Cómo fabricary utilizar una cámara espaciadora Fabricación de la “botella de inhalación” 1. Retire la tapa del inhalador y coloque la boquilla del inhalador en el fondo de una botella de plástico de un litro, limpia y vacía (la boquilla del inhalador debe estar justo enfrente de la boquilla de la botella). 2. Dibuje la forma de la boquilla del inhalador en la base de la botella. 3. Recorte la base de la botella exactamente según la forma de la boquilla (el orificio debe ser sólo un poco más grande: lo justo para introducir por él la boquilla del inhalador evitando todo riesgo de fuga durante la utilización). Si el fondo de la botella es demasiado duro, puede perforarlo utilizando un instrumento calentado al rojo vivo; de este modo, podrá introducir la boquilla en el plástico reblandecido. Utilización de la botella de inhalación 1. Agite el inhalador e introduzca su boquilla en la abertura realizada en la base de la botella. 2. Espire a fondo para vaciar los pulmones. 3. Coloque la boquilla de la botella en su boca. 4. Presione sobre la base del inhalador para liberar la dosis del producto en la botella (1 a 15 inhalaciones, según la prescripción). 5. Respire por la boca el aire y el producto contenido en la botella: respire a su ritmo, lo más profundamente que pueda, durante unos diez segundos. 6. Retire la botella de la boca, espire a fondo y respire luego normalmente. 74
  • 82.
    Documentos 1. Documento 1 Tarjeta del paciente 2. Documento 2 Tarjeta de tratamiento del asma 3. Documento 3 Registro de distrito de los nuevos casos de asma persistente manejados en el centro de salud 4. Documento 4 Informe trimestral de los casos de asma persistente recientemente manejados 5. Documento 5 Informe anual sobre los resultados del tratamiento de casos de asma persistente registrados en el año finalizado 12 meses antes 6. Documento 6 Formulario de pedido trimestral de medicamentos 7. Apéndice del documento 2 Cómo llenar la tarjeta de tratamiento 8. Apéndice del documento 3 Cómo llenar el registro 75
  • 84.
    $ Documento 1 Plan de tratamiento Distrito: Número de registro: Estable Nombre y apellido: Seguir con el mismo tratamiento Dirección: Agravación (necesita más salbutamol) Prednisona ...... comprimidos durante ...... días Duplicar la dosis habitual del tratamiento hasta mejoría Tarjeta del paciente Crisis (síntomas graves y/o no mejorados tras el salbutamol) Centro de tratamiento: Iniciar el plan de emergencia inmediatamente Plan de tratamiento Distrito: Número de registro: Estable Nombre y apellido: Seguir con el mismo tratamiento Dirección: Agravación (necesita más salbutamol) Prednisona ...... comprimidos durante ...... días Duplicar la dosis habitual del tratamiento hasta mejoría Tarjeta del paciente Crisis (síntomas graves y/o no mejorados tras el salbutamol) Centro de tratamiento: Iniciar el plan de emergencia inmediatamente
  • 85.
    Reverso de latarjeta $ Cómo utilizar el inhalador: Gravedad del asma: FEM predicho: …….........…. l/min Mejor FEM: .......… l/min ......... % predicho Tratamiento habitual: ¿Qué hacer en caso de emergencia? 1. Tratamiento a tomar: 2. Si no hay mejoría inmediata, ir al servicio de urgencias Citas periódicas anuales: Primera: Segunda: Tercera: Cuarta: Cómo utilizar el inhalador: Gravedad del asma: FEM predicho: …….........…. l/min Mejor FEM: .......… l/min ......... % predicho Tratamiento habitual: ¿Qué hacer en caso de emergencia? 1. Tratamiento a tomar: 2. Si no hay mejoría inmediata, ir al servicio de urgencias Citas periódicas anuales: Primera: Segunda: Tercera: Cuarta:
  • 86.
    Tarjeta de tratamientodel asma Documento 2 Nombre del centro..................................................................................................................................... Número: ................................... Nombre y apellido: ..................................................... Sexo: F/M Edad:.............. años Altura: ........ cm Ocupación: ............................... Dirección y teléfono: .................................................................................................................................. Lugar de trabajo: ...................... Primera evaluación continua hasta estabilización e inicio del tratamiento a largo plazo: Historia clínica Síntomas durante el año anterior Diagnóstico y gravedad funcional Antigüedad del diagnóstico Sí No De día: si “sí”, anotar cuántas veces por 1. FEM predicho .............................l/min – Caso nuevo [ ] [ ] día, semana o mes, por término medio: 2. FEM antes de broncodilatación ......l/min Si la respuesta es “no”: Sí No – Caso tratado desde hace:............(años) Tos [ ] [ ] …… veces por …… 3. FEM tras broncodilatación .............l/min Otra enfermedad alérgica: Disnea [ ] [ ] …… veces por …… 4. FEM tras tratamiento inicial y/o – Rinitis [ ] [ ] Sibilancias [ ] [ ] …… veces por …… tras prueba de corticoides ..................... – Eczema/urticaria [ ] [ ] Opresión [ ] [ ] …… veces por …… l/min Tabaquismo (marcar una casilla): 5. Mejor FEM en % del predicho = – No fumador [ ] De noche: si “sí”, anotar cuántas veces por – Fumador actualmente [ ] Mejor FEM l/min (4) / FEM día, semana o mes, por término medio: – Ex fumador [ ] predicho (1) x 100 ................% Sí No Historia familiar de alergias: Sí No Tos [ ] [ ] …… veces por …… 6. Variabilidad del FEM en % – Asma [ ] [ ] Disnea [ ] [ ] …… veces por …… Mejor FEM l/min - FEM mínimo l/min / – Rinitis [ ] [ ] Sibilancias [ ] [ ] …… veces por …… FEM mínimo l/min x 100 ...........…% Principales factores desencadenantes: Opresión [ ] [ ] …… veces por …… ...................................................................... ...................................................................... Número de veces que ha acudido a Gravedad de los síntomas durante el año urgencias durante el año anterior anterior (marcar una casilla): Gravedad funcional en función del mejor (completar todas) n – Intermitentes [ ] FEM (en % del predicho) – Servicio de urgencias [ ] – Leves [ ] ≥ 80% [ ] – Hospitalizaciones [ ] – Moderados [ ] 60 a 79% [ ] – Cuidados intensivos [ ] – Graves [ ] 60% [ ] Conclusión: Asma confirmada (variabilidad ≥ 20%) [ ] Asma probable (síntomas sugestivos de asma y variabilidad 20%) [ ] Gravedad del asma: Intermitente [ ] Persistente leve [ ] Persistente moderada [ ] Persistente grave [ ] Fecha de inicio del tratamiento a largo plazo: ................................. Tratamiento a largo plazo: ......................................................... .
  • 87.
    Tarjeta de seguimientodel tratamiento (reverso de la tarjeta de tratamiento y tarjetas adicionales si necesario) Visitas a los Observaciones (fallecimiento y causa Fecha de evaluación FEM (% del servicios de transferencia, cumplimiento, efectos (día, mes, año) Síntomas predicho) Medicamentos urgencias secundarios, problemas sociales, tabaquismo...) Definiciones: Síntomas Tratamiento diario Visitas a los servicios de urgencias Asintomática B = beclometasona (500, 1000..) desde la última consulta Intermitentes P = prednisona (5, 10, 20...) U = visita al servicio de urgencias Persistentes leves (p. ej. : B1000, P5) H = hospitalización en un servicio médico Persistentes moderados I = hospitalización en cuidados intensivos Persistentes graves (p. ej. : U3, H1)
  • 88.
    Ficha de balance anual durante el seguimiento del tratamiento Seguimiento anual durante varios años Fecha de FEM Gravedad del Visitas a los servicios evaluación Síntomas (% predicho) asma Medicamentos de urgencias No seguido ya Primer año: Segundo año: Tercer año: 1 2 3 4 5 Síntomas Gravedad del asma Tratamiento diario Visitas a los servicios Ya no está bajo Asintomática Intermitente B = beclometasona de urgencias desde seguimiento Intermitentes Persistente leve (500, 1000..) la última consulta F = fallecido Persistentes leves Persistente moderada P = prednisona U = visita al servicio T = transferido Persistentes Persistente grave (5, 10, 20...) de urgencias PDV = perdido de moderados (p. ej.: B1000, P5) H = hospitalización vista Persistentes graves en servicio de medicina I = hospitalización en cuidados intensivos (p. ej.: U2, H1) Observaciones: 1 1
  • 89.
  • 90.
    Registro de distrito de los nuevos casos de asma persistente Registro en el momento de la decisión del tratamiento a largo plazo ejor FEM M Visitas a urgencias Corticoides Fecha de Número de Sexo Nivel en En % del Gravedad durante el año prescritos a registro registro Nombre y apellido Dirección Edad (M/F) Tabaquismo Síntomas I/min predicho del asma anterior largo plazo                   Definiciones:  Tabaquismo:  Síntomas:  Mejor FEM tras estabilización:  Gravedad del   Visitas al servicio  Corticoides:         asma:  de urgencias: N = no fumador I = intermitentes Nivel FEM en l/min y FEM en % del PL = persistente leve U = servicio de urgencias B = beclometasona F = fumador PL = persistentese FEM predicho PM = persistente moderada H = hospitalización en (B500, B1000...) E = ex fumador leves PG = persistente grave un servicio de medicina P = prednisona desde hace PM = persistentes I = hospitalización en (P5, P10...) un mes moderados cuidados intensivos PG = persistentes (p. ej.: U5, H2, I1) graves
  • 91.
    Manejados en el centro de salud Documento 3 Evolución después del tratamiento Evolución al cabo de un año Evolución al cabo de 2 años Pacientes bajo seguimiento Todos los pacientes registrados Pacientes bajo seguimiento Todos los pacientes registrados Visitas de Visitas de Gravedad urgencia Hospitalizaciones Bajo Perdido Gravedad urgencia Hospitalizaciones Bajo Perdido del asma n n Éxito control Fracaso Fallecido de vista Transferido del asma n n Éxito control Fracaso Fallecido de vista Transferido Evolución de los pacientes aún bajo   Visitas de urgencia: Número de hospitalizaciones Evolución de todos los pacientes: marque una sola casilla según la evolución seguimiento: apunte el resultado en Número de visitas a los servicios de Número total de hospitalizaciones por de cada paciente registrado: las 3 columnas urgencias durante el año anterior asma en un servicio de urgencias, sea Perdido de vista cual sea el tipo de servicio, durante el Transferido Gravedad del asma: año anterior. Fallecido I = intermitente Éxito: disminución de la gravedad de la enfermedad y ninguna PL = persistente leve visita a los servicios de urgencias PM = persistente moderada Bajo control: gravedad de la enfermedad estable sin ninguna visita a urgencias PG = persistente grave o disminución de la gravedad y del número de visitas a los servicios de urgencias A = asintomática Fracaso: el resto de los pacientes
  • 92.
    Documento 4 Informe trimestralde los Nombre del centro: ______________________________ nuevos casos de asma persistente recientemente manejados Casos registrados el ______ trimestre de 20___________ Nombre del coordinador del centro______________________________________________ Firma________________________________ Fecha ______________________________ Casos de asma persistente registrados durante el trimestre Grupo de edad (años) TOTAL 15 15-24 25-34 35-44 45-54 55+ Tipo de caso M F M F M F M F M F M F M F Total Persistente grave Persistente moderado Persistente leve Total Definiciones a utilizar para llenar el formulario: Trimestres 1er trimestre — 1 de enero al 31 de marzo 2º trimestre — 1 de abril al 30 de junio 3º trimestre — 1 de julio al 30 de septiembre 4º trimestre — 1 de octubre al 31 de diciembre Persistente grave FEM 60% sea cual sea la gravedad de los síntomas o síntomas persistentes graves sea cual sea el nivel del FEM Persistente moderada FEM 60-79% y gravedad de los síntomas persistente grave o síntomas persistentes moderados y FEM 60% Persistente leve FEM ≥ 80% y síntomas persistentes leves
  • 93.
    Documento 5 Informeanual sobre los resultados del tratamiento de casos de asma persistente registrados durante el año finalizado 12 meses antes Ejemplo: En enero de 2006, dar los resultados del tratamiento de los pacientes registrados durante el año 2004 (del 1 de enero de 2004 al 31 de diciembre de 2004) Nombre Coordinador del centro _______________________ del centro__________________________ Pacientes registrados en 20___________ Firma____________ Fecha_____________ Evolución de todos los casos de asma persistente registrados durante el año finalizado 12 meses antes Distribución de los casos según la gravedad en Número de el momento casos Perdidos del registro registrados Éxitos Controlados Fracasos Fallecidos de vista Transferidos Leves ……… a Moderados ……… b Graves ……… c Total casos ……… d Éxitos: disminución de la gravedad de la enfermedad y ninguna visita a los servicios de urgencias. Controlados: gravedad de la enfermedad estable y ninguna visita a los servicios de urgencias o disminución de la gravedad de la enfermedad y disminución del número de visitas a los servicios de urgencias. Fallecidos: sea cual sea la causa del fallecimiento. Perdidos de vista: no se han presentado a su visita anual de control al menos durante los 2 meses siguientes a la cita. Transferidos: han sido transferidos para su seguimiento a otro centro. Fracasos: los demás tipos de evolución (a, b, c, d) Suma de las cifras extraídas de los cuatro “Informes trimestrales sobre los nuevos casos de asma persistente” del año finalizado 12 meses antes.
  • 94.
    Documento 6 Formulario de pedido trimestral de medicamentos Pedido para Pedido para Grave Moderada Leve Intermitente necesidades actuales una reserva Total Medicamentos (A) (B) (C) (D) (E= A+B+C+D) F=(E/2) (E + F) Salbutamol, inhalador 100 µg ….x 2 = …x 2 = ….x 1 = (C) x 5 = Beclometasona, inhalador 250 µg …x 4 = …x 2 = …..x 1 = =0 Prednisona, comprimido 5 mg …x 800 = =0 =0 =0 Hidrocortisona, ampolla IV 100 mg Salbutamol, ampolla IV, 0,5 mg/ml Salbutamol, solución para nebulización 5 mg/ml 1) Número de inhaladores necesitados cada trimestre para cada grado de gravedad del asma persistente: Multiplicar el número de casos de cada grado de gravedad registrados durante el trimestre precedente por un factor del modo siguiente: Factores a utilizar para calcular el número de inhaladores de salbutamol – Asma persistente grave o moderada: 4 inhalaciones/día x 90 días = 360 inhalaciones/trimestre, o sea, una media de 2 inhaladores de 200 inhalaciones por trimestre; el factor utilizado es 2, que representa el número de inhaladores necesitados por término medio para cada paciente. – Asma persistente leve: 2 inhalaciones/día, o sea, una media de 1 inhalador por trimestre; el factor utilizado es 1. Factores a utilizar para calcular el número de inhaladores de beclometasona – Asma persistente grave: 8 inhalaciones/día x 90 días= 720 inhalaciones/ trimestre, o sea, una media de 4 inhaladores; el factor utilizado es 4. – Asma persistente moderada: 4 inhalaciones/día, o sea, una media de 2 inhaladores de 200 inhalaciones por trimestre; el factor utilizado es 2. – Asma persistente leve: 2 inhalaciones/día, o sea, una media de 1 inhalador de 200 inhalaciones por trimestre; el factor utilizado es 1. 2) Número de inhaladores de salbutamol a encargar por trimestre para los casos de asma intermitente: 1 inhalación/día por enfermo, o sea, 1 inhalador por trimestre. Teniendo en cuenta que en la comunidad hay aproximadamente 5 veces más de casos asma intermitente que de casos de asma persistente leve, habrá que multiplicar el número de casos de asma persistente leve por el factor 5. 3) Número de comprimidos de prednisona: el número medio de comprimidos necesarios por trimestre para cada caso de asma persistente grave es de 90 comprimidos, pero puesto que este medicamento también se utiliza en los ciclos cortos de corticoides orales y en los tratamientos de emergencia, se ha utilizado el factor 800 basándose en las hipótesis del número previsible de urgencias presentadas en la guía. 4) Para los demás medicamentos, que se utilizan mucho menos, el pedido se basará en el consumo registrado durante el trimestre anterior.
  • 96.
    Apéndice al Documento 2 Cómo llenar latarjeta de tratamiento Deberá llenarse una tarjeta de tratamiento por cada paciente tratado por primera vez por asma probable en un centro de salud. Anverso de la tarjeta de tratamiento 1. Parte superior de la tarjeta, encima del cuadro Nombre del centro: Anote el nombre del centro. Número: El número de la tarjeta se anotará una vez que el paciente esté estabilizado y cuando se haya establecido el diagnóstico de la gravedad de su asma. Cada vez que se diagnostique un caso de asma persistente, se atribuirá al paciente un número de identificación que incluirá el año seguido del número de serie. Y así, a todos los casos de asma persistente se les asignarán números consecutivos en orden cronológico (p. ej., a los tres primeros pacientes con asma persistente tratados en 2004, se les atribuirán los siguientes números: 2004/1, 2004/2, 2004/3). Estos pacientes serán registrados con los mismos números en el registro de los casos de asma persistente del centro de salud. Para casos de asma intermitente, los pacientes tendrán la misma tarjeta, pero no serán registrados en el registro del centro. Si se desea, se puede utilizar otro sistema de numeración que permita identificar fácilmente las tarjetas de los pacientes con asma intermitente, las cuales deberán archivarse en otro lugar (p. ej., puede anotarse la letra b tras el número cronológico; y así, los tres primeros pacientes con asma intermitente en 2004 recibirán los siguiente números: 2004/1b ; 2004/2b, 2004/3b). Las tarjetas sólo podrán ser numeradas cuando el estado del paciente se haya estabilizado y se haya estimado la gravedad de su enfermedad. Nombre y apellido: Anote el nombre y el apellido del paciente. Sexo: Anote M para masculino y F para femenino. Edad: Anote la edad del paciente en años. Altura: Anote la altura del paciente en centímetros. Profesión: Anote la profesión del paciente. Lugar de trabajo: Anote el tipo de industria en que trabaja el paciente, si lo considera relevante.
  • 97.
    Dirección y teléfono: Anote una dirección completa y lo bastante precisa como para que se pueda localizar al paciente en caso de necesidad; anote también el número de teléfono si el paciente posee uno. 2. Primera columna del cuadro 2.1 Sección superior (historia clínica): marque la casilla correspondiente a Sí o No en cada punto. Antigüedad del diagnóstico: Marque la casilla “sí” tras Caso nuevo si el paciente no ha sido tratado por asma con anterioridad. Para un enfermo ya tratado por asma, anote el número de años desde el inicio de la enfermedad: Tratado desde hace ........................ años. Otra enfermedad alérgica: Marque la o las casillas correspondientes si el paciente sufre también de una o varias enfermedades alérgicas: rinitis,eczema/urticaria. Tabaquismo: Marque una de las tres casillas correspondientes al hábito tabáquico del paciente: No fumador si el paciente no ha fumado jamás, Fumador actual si el enfermo fuma actualmente o Ex fumador si el paciente ha fumado ya, pero ha dejado de fumar desde hace por lo menos un mes. Historia familiar de alergias: Si existen antecedentes familiares, marque la casilla correspondiente. Principales factores desencadenantes: Anote los principales factores desencadenantes reportados por el paciente. No se olvide de investigar si puede haber un factor desencadenante de naturaleza ocupacional o si existe intolerancia a la aspirina. Si no existen factores desencadenantes, escriba “ninguno”. 2.2 Sección inferior: Anote el número de veces que el paciente ha tenido que recurrir a los servicios de urgencias durante el año anterior a ser registrado en el centro para ser tratado. Estas informaciones deben ser lo más precisas posible, ya que servirán de indicadores para la evolución del paciente bajo tratamiento: Servicio de urgencias: Número de visitas a los servicios de urgencias. Hospitalizaciones: Número de hospitalizaciones en un servicio médico. Cuidados intensivos: Número de hospitalizaciones en una unidad de cuidados intensivos (o servicio especializado equivalente). Si el paciente no ha debido recurrir a los servicios de urgencia, anote “0” en las casillas correspondientes.
  • 98.
    3. Segunda columna del cuadro 3.1 Sección superior (síntomas del asma durante el año anterior). Marque Sí o No para cada uno de los síntomas; si su respuesta es “sí”, anote la frecuencia media. De día: Junto a cada síntoma, anote la frecuencia media de los síntomas y la regularidad con que sobrevienen. Por ejemplo, si un paciente tose casi todos los días y sufre de disnea con sibilancias más o menos dos veces por semana, complete del siguiente modo: Tos 1 por día, Disnea 2 por semana, Sibilancias 2 por semana. De noche: Proceda del mismo modo. 3.2 Sección inferior (gravedad de los síntomas). Marque una sola casilla. A partir de la frecuencia de los síntomas anotados en la sección superior, estime la gravedad de los síntomas durante el año anterior tal como se define en la guía y marque la casilla correspondiente. Intermitentes: Síntomas una vez por semana, síntomas nocturnos 2 veces por semana. Persistentes: Síntomas una vez por semana – persistentes leves: síntomas una vez al día, pero varias veces por semana; los síntomas nocturnos 2 veces al mes; – persistentes moderados: síntomas cotidianos que afectan a la actividad y al sueño una vez por semana; – persistentes graves: síntomas continuos, crisis frecuentes durante la noche y limitación de la actividad física. 4. Tercera columna del cuadro 4.1 Sección superior FEM predicho: Anote el FEM predicho del paciente en l/min, siguiendo las indicaciones de la tabla de referencia. FEM antes de broncodilatación: Anote el FEM del paciente en l/min en el momento de la primera consulta. FEM tras broncodilatación: Anote el FEM del paciente en l/min tras la prueba de broncodilatación. Mejor FEM en l/min (tras tratamiento inicial y/o tras prueba de corticoides): Anote el mejor FEM del paciente en l/min tras la estabilización del paciente después de un tratamiento inicial y/o después de una prueba con corticoides. Este FEM debe ser el mejor FEM (el más elevado) del paciente obtenido desde su primera consulta y medido tras la prueba de broncodilatación.
  • 99.
    Mejor FEM en% del predicho: Calcule el mejor FEM en % del valor predicho del paciente tras estabilización según la fórmula: Mejor FEM del paciente en l/min / FEM predicho del paciente x 100 Variabilidad del FEM en %: Calcule y luego anote la variabilidad del FEM en % según la fórmula: Mejor FEM en l/min - FEM mínimo en l/min / FEM mínimo en l/min x 100 El FEM mínimo l/min es el FEM menos elevado del paciente obtenido desde la primera consulta y medido tras la prueba de broncodilatación. 4.2 Sección inferior Gravedad funcional del FEM: Marque una de las tres casillas correspondientes al nivel del mejor FEM en % del FEM predicho obtenido tras la estabilización del paciente. 5. Parte inferior de la tarjeta, debajo del cuadro (conclusión) Esta parte es la conclusión de la evaluación clínica y funcional. Asma confirmada: Marque esta casilla si la variabilidad del FEM es ≥ 20%. Asma probable: Marque esta casilla si la variabilidad del FEM es 20%. Gravedad del asma: Marque la casilla correspondiente al grado de gravedad del asma del paciente. Intermitente: Mejor FEM ≥ 80% y síntomas intermitentes (menos de una vez por semana). Persistente leve: Mejor FEM ≥ 80% y síntomas persistentes leves. Persistente moderada: Mejor FEM entre 60 y 79%, y síntomas menos importantes que graves o síntomas persistentes moderados y FEM 60%. Persistente grave: Mejor FEM 60% sea cual sea la gravedad de los síntomas o síntomas persistentes graves sea cual sea el FEM. Fecha de inicio del tratamiento a largo plazo: Anote la fecha en que se prescribió el tratamiento a largo plazo (p. ej.: 12/03/2003). Tratamiento a largo plazo: Anote el tratamiento diario prescrito para el paciente con la posología (p. ej.: beclometasona 1000 µg, salbutamol 100 µg en caso de necesidad).
  • 100.
    Reverso de latarjeta de tratamiento Seguimiento periódico El reverso de la tarjeta es utilizado para registrar las informaciones sobre la evolución del estado del paciente bajo tratamiento en cada consulta durante el primer año. Se añadirá una nueva tarjeta con sólo un reverso en caso de necesidad para el primer año y para los demás años de seguimiento. 1. Primera columna Fecha de evaluación: Anote la fecha de cada visita precisando el día, el mes y el año. 2. Segunda columna Síntomas: Anote la gravedad media de los síntomas desde la visita precedente: asintomática, intermitentes, persistentes leves, persistentes moderados, persistentes graves. 3. Tercera columna FEM % del predicho: Anote el FEM en % del FEM predicho del paciente el día de la consulta. 4. Cuarta columna Medicamentos: Anote únicamente el tratamiento con corticoides diario realmente tomado por el paciente desde su última consulta utilizando las mayúsculas iniciales del nombre de los medicamentos, seguidas de la dosis: B = beclometasona (500, 1000, etc.); P = prednisona (5, 10, 20, etc.). Por ejemplo, si el paciente toma 1000 µg de beclometasona inhalada y 5 mg de prednisona todos los días, anote: B1000, P5). 5. Quinta columna Visitas a los servicios de urgencias: Anote el número de visitas a los servicios de urgencias de un centro de salud desde la evaluación precedente. Utilice las abreviaturas siguientes: U = visita al servicio de urgencias, H = hospitalización en un servicio médico, I = hospitalización en cuidados intensivos (p. ej., para un paciente que ha acudido 2 veces a un servicio de urgencias, que ha sido hospitalizado una vez en un servicio médico y otra en una unidad de cuidados intensivo, anote: U2, H1, I1).
  • 101.
    6. Sexta columna Observaciones: Para aquellos pacientes que no se hayan presentado a su evaluación periódica, anote la evolución del paciente desde la última consulta si la conoce: F = fallecido (anote la causa si posible), T = transferido. Para los demás, anote observaciones que puedan ser útiles para entender la evolución del paciente bajo tratamiento: cumplimiento del tratamiento, técnica de inhalación, efectos secundarios, problemas sociales, evolución del tabaquismo, etc. Ficha de balance anual durante el seguimiento del trata- miento Esta ficha permite hacer una recapitulación de la evaluación del paciente al final de cada año de tratamiento. Una línea para cada año de tratamiento (para los pacientes seguidos durante varios años, se añadirán líneas suplementarias o tarjetas adicionales). 1. Las 5 primeras columnas Para los pacientes que están aún bajo seguimiento. Estas columnas son las mismas que las del reverso de la tarjeta de tratamiento y se llenan del mismo modo. 2. La sexta columna Anote la evolución de los pacientes que ya no se presentan a las consultas periódicas utilizando las siguientes letras mayúsculas: F = fallecido; T = transferido; PDV = perdido de vista. Si se conoce la causa del fallecimiento, anótese.
  • 102.
    Apéndice al Documento 3: Cómo llenar el Registro Registre cada nuevo paciente tratado en el centro de salud por asma persistente. El paciente será registrado una vez que su enfermedad se haya estabilizado y cuando se haya decidido ya su tratamiento regular a largo plazo. Toda la información contenida en el registro coincidirá con la de la tarjeta de tratamiento. Primera página del Registro Fecha: Fecha de registro. Precise el día, el mes y el año. Número: El número de identificación del primer enfermo con asma persistente tratado en el centro de salud comprenderá los 4 dígitos del año, seguidos del número 1 (2004/1). Los siguientes pacientes registrados recibirán números sucesivos. Este número coincidirá con el que figura en la tarjeta de tratamiento. Nombre y apellido: Nombre y apellido del paciente. Dirección: Dirección completa del paciente de modo que pueda ser localizado. Edad: Edad del paciente en años. Sexo: M para los hombres y F para las mujeres. Tabaquismo: F para los fumadores, E para los pacientes que han dejado de fumar como mínimo un mes antes de ser registrados en el centro y N para los que no han fumado nunca. Síntomas: Anote la gravedad de los síntomas, evaluada según la frecuencia media durante un largo período de tiempo (un año o varios meses) antes del registro del paciente. Esta gravedad está registrada en la sección inferior del cuadro de la tarjeta de tratamiento del paciente. Utilice los códigos siguientes: I = síntomas intermitentes; PL = síntomas persistentes leves; PM = síntomas persistentes moderados; PG = síntomas persistentes graves. Mejor FEM: Anote el mejor FEM tras la estabilización del estado del paciente y antes de la prescripción del tratamiento a largo plazo en l/min en la primera columna y en % del FEM predicho en la segunda columna (tal como aparece en la tarjeta de tratamiento). Gravedad del asma: Anote en esta columna la gravedad de la enfermedad según sus estimaciones utilizando los códigos siguientes: I = asma intermitente; PL = asma persistente leve; PM = asma persistente moderada; PG = asma persistente grave.
  • 103.
    La evaluación de la gravedad del asma está basada en la gravedad de los síntomas y en el nivel del mejor FEM del paciente, tal como se explica en esta guía. Visitas a urgencias durante el año anterior: Anote en esta columna el número de visitas del paciente a los servicios de urgencias durante elaño anterior siguiendo los códigos siguientes: U = servicio de urgencias; H = hospitalización en un servicio médico; I = hospitalización en una unidad de cuidados intensivos (p. ej.: U5, H2, I1). Corticoides prescritos a largo plazo: Esta columna se utilizará para anotar los medicamentos prescritos a largo plazo, únicamente para los corticoides prescritos en tratamiento regular diario (los demás medicamentos prescritos son anotados en la tarjeta de tratamiento, no en el registro). Utilice los códigos siguientes: para los corticoides inhalados, por ser la beclometasona la más comúnmente prescrita, escriba la letra B seguida de la dosis cotidiana. Para los corticoides orales, por ser la prednisona la más comúnmente prescrita, escriba la letra P seguida de la dosis en mg (p. ej., si un paciente recibe 2000 µg diarios de beclometasona inhalada y 5 mg diarios de prednisona, escriba en esta columna: B2000 P5). Segunda página del Registro Esta página es utilizada para el seguimiento del paciente cada año durante varios años. Para cada año de evaluación, hay previstas dos grandes columnas. 1. Primera columna: Pacientes todavía bajo seguimiento Para los pacientes bajo seguimiento después de un año de manejo. Esta columna está dividida en 3 sub-columnas que permiten evaluar la evolución del paciente. Gravedad del asma: Anote la gravedad actual de la enfermedad después de un año de manejo utilizando los códigos siguientes: I = intermitente; PL = persistente leve; PM = persistente moderada; PG = persistente grave; A = asintomática. Número de visitas de urgencia: Anote del número total de visitas a los servicios de urgencias durante el año de seguimiento excluyendo las citas periódicas del paciente. Escriba “0” si el paciente no ha acudido a urgencias. Número de hospitalizaciones: Anote el número total de hospitalizaciones del paciente por asma durante el año de seguimiento, sea cual sea el servicio en que ha sido hospitalizado (servicio médico, unidad de cuidados intensivos). Escriba “0” si el enfermo no ha sido hospitalizado durante el año anterior. 2. Segunda columna: Todos los pacientes registrados al inicio del tratamiento Para los enfermos que ya no se presentan en el centro de salud para su seguimiento, marque SÓLO UNA de las 6 sub-columnas correspondientes a su evolución al cabo de un año.
  • 104.
    Fallecido: Todo paciente fallecido durante el año de seguimiento, independientemente de la causa del fallecimiento. Transferido: Todo paciente para el cual no se conocen los resultados del manejo de su enfermedad y que ha sido enviado a otro centro de salud para continuar en él su tratamiento. Perdido de vista: Todo paciente que no se ha presentado en el centro para su visita de control anual, al menos durante los 2 meses siguientes a la cita. Éxito: Todo paciente cuya asma ha disminuido en gravedad desde el inicio del tratamiento y que no ha recurrido a los servicios de urgencias durante el año de seguimiento. Bajo control: Todo paciente en quien la gravedad de la enfermedad permanece estable y que no ha recurrido a los servicios de urgencias o en quien la gravedad ha disminuido paralelamente al número de visitas a urgencias. Fracaso: Todo paciente cuyo caso no corresponde a los demás tipos de evolución