Descarga gratis durante 30 días
Iniciar sesión
Cargar
Idioma (ES)
Atención al cliente
Empresariales
Móvil
Redes sociales
Marketing
Tecnología
Arte y fotografía
Empleo
Diseño
Educación
Presentaciones y charlas públicas
Gobierno y org. sin ánimo de lucro
Atención sanitaria
Internet
Derecho
Liderazgo y gestión
Motor
Ingeniería
Software
Reclutamiento y RR. HH.
Venta al por menor
Ventas
Servicios
Ciencias
PYMES y liderazgo
Alimentación
Medio ambiente
Economía y finanzas
Datos y análisis
Relaciones con inversores
Deportes
Meditación
Noticias y política
Viajes
Desarrollo personal
Sector inmobiliario
Entretenimiento y humor
Salud y medicina
Dispositivos y hardware
Estilo de vida
Cambiar idioma
Idioma
English
Español
Português
Français
Deutsche
Cancelar
Guardar
Enviar búsqueda
ES
Subido por
quififluna
3,640 vistas
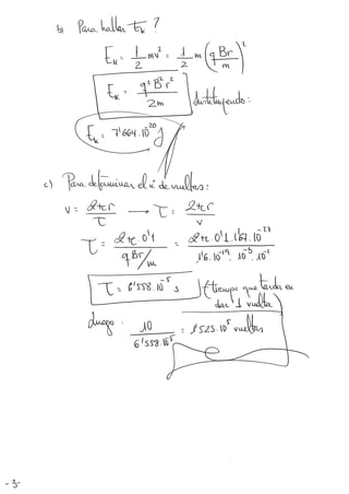
Campo magnético.ejercicios (parte1)
Leer más
0
Guardar
Compartir
Insertar
Incrustar presentación
Descargar
Descargado 21 veces
1
/ 42
2
/ 42
3
/ 42
4
/ 42
5
/ 42
6
/ 42
7
/ 42
8
/ 42
9
/ 42
10
/ 42
11
/ 42
12
/ 42
13
/ 42
14
/ 42
15
/ 42
16
/ 42
17
/ 42
18
/ 42
19
/ 42
20
/ 42
21
/ 42
22
/ 42
23
/ 42
24
/ 42
25
/ 42
26
/ 42
27
/ 42
28
/ 42
29
/ 42
30
/ 42
31
/ 42
32
/ 42
33
/ 42
34
/ 42
35
/ 42
36
/ 42
37
/ 42
38
/ 42
39
/ 42
40
/ 42
41
/ 42
42
/ 42
Más contenido relacionado
PDF
Relatividad y física nuclear
por
quififluna
PDF
Física cuántica
por
quififluna
PDF
Inducción electromagnética
por
quififluna
PDF
Campo eléctrico (parte2)
por
quififluna
PDF
Interacción electrostática
por
quififluna
PDF
Problemas T2 (1ª parte)
por
quififluna
PDF
Ejercicios campo magnético (parte 2)
por
quififluna
PDF
Movimiento ondulatorio
por
quififluna
Relatividad y física nuclear
por
quififluna
Física cuántica
por
quififluna
Inducción electromagnética
por
quififluna
Campo eléctrico (parte2)
por
quififluna
Interacción electrostática
por
quififluna
Problemas T2 (1ª parte)
por
quififluna
Ejercicios campo magnético (parte 2)
por
quififluna
Movimiento ondulatorio
por
quififluna
Destacado
PDF
Induccion electromagnetica
por
quififluna
PDF
Luz.óptica geométrica
por
quififluna
PDF
Campo electrico (parte1)
por
quififluna
PDF
Mis soluciones t1 santillana.2ºbach.fisica
por
quififluna
PDF
Electromagnetismo
por
quififluna
PDF
Selectividad fraccionada.enunciados problemas gravitacion
por
quififluna
PDF
Campo gravitatorio
por
quififluna
PDF
2ºbachillerato. soluciones mas
por
quififluna
PDF
Física cuántica
por
quififluna
PDF
Ejercicios t12. trabajo y energía.
por
quififluna
PDF
Ejercicios t11.fuerzas
por
quififluna
PDF
Leyes de newton
por
quififluna
PDF
Física cuántica.pulgas
por
quififluna
PDF
Tema5.2ºbachillerato.física.ejercicios selectividad resueltos
por
quififluna
PDF
Writing & reading for 2 eso.Extension activities
por
mariluzr73
DOCX
2º ESO - Tema 7. el movimiento (mru) (12 13)
por
Víctor M. Jiménez Suárez
PPT
RELATIVE CLAUSES
por
Anabel Ponce
PDF
EJERCICIOS RESUELTOS PROBLEMARIO DE VELOCIDAD Y ACELERACIÓN
por
Yokain
Induccion electromagnetica
por
quififluna
Luz.óptica geométrica
por
quififluna
Campo electrico (parte1)
por
quififluna
Mis soluciones t1 santillana.2ºbach.fisica
por
quififluna
Electromagnetismo
por
quififluna
Selectividad fraccionada.enunciados problemas gravitacion
por
quififluna
Campo gravitatorio
por
quififluna
2ºbachillerato. soluciones mas
por
quififluna
Física cuántica
por
quififluna
Ejercicios t12. trabajo y energía.
por
quififluna
Ejercicios t11.fuerzas
por
quififluna
Leyes de newton
por
quififluna
Física cuántica.pulgas
por
quififluna
Tema5.2ºbachillerato.física.ejercicios selectividad resueltos
por
quififluna
Writing & reading for 2 eso.Extension activities
por
mariluzr73
2º ESO - Tema 7. el movimiento (mru) (12 13)
por
Víctor M. Jiménez Suárez
RELATIVE CLAUSES
por
Anabel Ponce
EJERCICIOS RESUELTOS PROBLEMARIO DE VELOCIDAD Y ACELERACIÓN
por
Yokain
Más de quififluna
PPTX
3 eso.t2.la naturaleza de la materia
por
quififluna
PPTX
2 eso.t2.estados de la materia
por
quififluna
PDF
Física cuántica. Soluciones santillana
por
quififluna
PDF
Dinámica.pulgas
por
quififluna
PDF
Sobre la naturaleza de la luz
por
quififluna
PDF
Cinemática.pulgas
por
quififluna
PDF
Reacción química
por
quififluna
PDF
Campo magnético
por
quififluna
PDF
Campo electrico
por
quififluna
PDF
Campo gravitatorio
por
quififluna
PDF
Enfermedades infecciosas
por
quififluna
PPTX
Movimiento ondulatorio (Pulgas)
por
quififluna
PPTX
Movimiento armónico simple
por
quififluna
PDF
tabla configuraciones electrónicas
por
quififluna
PDF
Tabla configuraciones electrónicas
por
quififluna
PPT
Programa navidad
por
quififluna
PPT
Programanavidad
por
quififluna
PDF
Fuerzas
por
quififluna
PDF
Fisica nuclear
por
quififluna
PDF
Ejercicios. leyes de la dinámica
por
quififluna
3 eso.t2.la naturaleza de la materia
por
quififluna
2 eso.t2.estados de la materia
por
quififluna
Física cuántica. Soluciones santillana
por
quififluna
Dinámica.pulgas
por
quififluna
Sobre la naturaleza de la luz
por
quififluna
Cinemática.pulgas
por
quififluna
Reacción química
por
quififluna
Campo magnético
por
quififluna
Campo electrico
por
quififluna
Campo gravitatorio
por
quififluna
Enfermedades infecciosas
por
quififluna
Movimiento ondulatorio (Pulgas)
por
quififluna
Movimiento armónico simple
por
quififluna
tabla configuraciones electrónicas
por
quififluna
Tabla configuraciones electrónicas
por
quififluna
Programa navidad
por
quififluna
Programanavidad
por
quififluna
Fuerzas
por
quififluna
Fisica nuclear
por
quififluna
Ejercicios. leyes de la dinámica
por
quififluna
Descargar