Incrustar presentación
Descargar para leer sin conexión


































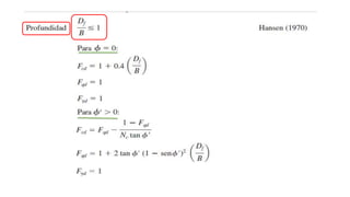
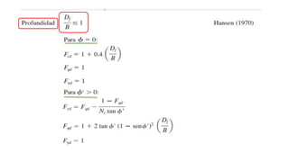
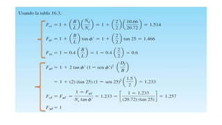
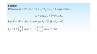
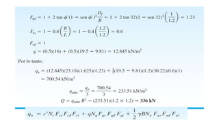
El documento habla sobre la capacidad de carga para cimentaciones. Explica los principales requerimientos y métodos para determinar la capacidad de carga, incluyendo la ecuación general de Meyerhof. También cubre factores de forma, la influencia del factor de seguridad en la capacidad de carga, y las teorías de Terzaghi y Meyerhof sobre este tema.

































