CLASES DE REDES

A lo largo de la historia y como ha venido evolucionando la tecnologia y que el mundo

necesita estar en constante comunicacion, se observa un gran avance en cuanto a las
tecnologia de redes, y sus diferentes tipos de configuraciones y los modos como se
trasmite informacion y la consante comunicacion de las personas mediante voz, audio y
video,

Redes de Área Local (LAN)

Son privadas y se usan para conectar computadores personales y estaciones de trabajo
de una oficina, fábricas, otro objetivo intercambian información.

Las LAN están restringidas en tamaño porque el tiempo de transmisión esta limitado,
opera a una velocidad de 10 a 100 mega bites por segundo

El material para una conexión puede ser cable coaxial un cable de dos hilos, fibra óptica o
cable U T P, se pueden efectuar conexiones inalámbricas empleando transmisiones de
infrarrojos.

Las redes emplean protocolos o reglas para intercambiar información, impidiendo una
colisión de datos, se emplean protocolos como ethernet o token Ring




Redes de Área Amplia (WAN)

Es extensa geográficamente en un país o continente, utiliza maquinas Hosts conectadas
por una subred de comunicaciones para conducir mensajes de una hosts a otra, en redes
amplias la subred tiene dos componentes las líneas de transmisión y los elementos de
conmutación que son computadoras especializadas que conectan dos o mas líneas de
transmisión.

Las WAN contienen numerosos cables y hacen uso de enrutadores, en el caso de no
compartir cables y desean comunicarse lo hacen por medio de otros enrutadores
intermedios hasta que la línea de salida este libre y se reenvía y una subred basado en
este principio se llama punto a punto.

Algunas posibles topologías diseñadas de interconexión de enrutador tienen topologías
irregulares como son de anillo, árbol, completa, intersección de anillos, irregular, estrella.



Red de Área Metropolitana (MAN)
Para extenderse a lo largo de una ciudad se puede conectar un cierto numero de LAN en
una red mayor de manera que se puedan compartir recursos de una LAN a otra haciendo
uso de una MAN se conectan todas las LAN de oficinas dispersas.



REDES PUNTO A PUNTO

Conexiones directas entre terminales y computadoras, tienen alta velocidad de
transmisión, seguras, inconveniente costo, proporciona mas flexibilidad que una red con
servidor ya que permite que cualquier computadora comparta sus recursos.



REDES DE DIFUCION

Poseen un solo canal de comunicaciones compartido por todas las maquinas de la red,
cuando el mensaje es enviado se recibe por todas las demás verifican el campo de
dirección si es para ella se procesa de lo contrario se ignora. Pero este tipo de red permite
mediante un código la posibilidad de dirigir un paquete a todos los destinos permitiendo
que todas las maquinas lo reciban y procesen.



REDES CONMUTADAS

Los datos provienen de dispositivos finales que desean comunicarse conmutando de nodo
a nodo objetivo facilitar la comunicación.



PROTOCOLO Y ARQUITECTURAS DE RED

PROTOCOLOS: conjunto de reglas o convenios para llevar a cabo una tarea. Define qué
se comunica, cómo se comunica y cuándo se comunica. Los elementos claves del
protocolo son:

Sintaxis, formato de los datos orden en el cual se presentan.

Semántica, significado de cada sección de bits.

Temporizador, define cuando se envía y con que rapidez.



FUNCIONES DE LOS PROTOCOLOS

Se agrupan en las siguientes categorías
Segmentación y ensamblado: envían mensajes en una secuencia continua, se dividen los
datos en bloques de menor tamaño y se denominan (P D U) Protocol Data Unit,
intercambiándose entre dos entidades a través de un protocolo.

Encapsulado: cada P D U consta no solo de datos sino también de información de control,
cuando solo tienen de control se clasifican en Dirección, Código, Control.

Control de conexión: al transmitir datos cada PDU se trata independientemente de las
PDU anteriores, se conoce como transferencia de datos no orientadas a conexión.

Envío ordenado: cuando las PDU no reciben en el mismo orden porque siguen diferentes
caminos a través de la red se necesita que se mantenga un orden de las PDU para que la
información llegue tal como se envió.

Control de flujo: limitar la cantidad o tasa de datos que envía la entidad emisora se hace
uso de un procedimiento de parada y espera (stop-and-wait) en que cada PDU debe ser
confirmada antes de ser enviada.

Control de errores: se incluyen detección de errores basadas en el uso de secuencia de
comprobación de trama y de transmisión de PDU.



Direccionamiento:

Múltiplexación: relacionado con el conceptote direccionamiento

Servicios de transmisión: un protocolo ofrece una gran variedad de servicios adicionales a
las entidades que hagan uso de el.

PROTOCOLO TCP / IP

Protocolo de control de transmisiones / protocolo de Internet usados para el control de la
transmisión en Internet permite que diferentes tipos de ordenadores se comuniquen a
través de redes heterogéneas.

Una Internet bajo TCP / IP opera como una única red que conecta muchas computadoras
de cualquier tamaño y forma

El protocolo TCP fue desarrollado antes que el modelo OSI por lo tanto TCP / IP no
coinciden con los modelos O S I, T C P / I P consta de cinco niveles físico, enlace de
datos, de red, de transporte y de aplicación.

Físico: soporta protocolos estándar (LAN) (MAN) (WAN)

Transporte: define TCP y (UDP)

TCP / IP: protocolo jerárquico compuesto por módulos interactivos que proporcionan
funcionalidad específica.
ARQUITECTURA DE REDES

Conmutación de circuitos

Crea una línea directa entre dos dispositivos como teléfonos y computadoras, un
conmutador es un dispositivo con N entradas y M salidas que crea una conexión temporal
entre un enlace de entrada y otro de salida.

Conmutador plegado n por n conectar n líneas en modo full-duplex

CONMUTACION DE PAQUETES: datos transmitidos en unidades discretas formados por
bloques de longitud. La red establece la longitud máxima del paquete.

CONMUTACIÓN DE PAQUETES EN DATAGRAMAS: cada paquete es tratado en forma
independiente de los otros

CONMUTACION DE PAQUETES EN CIRCUITOS VIRTUALES: se mantiene la relación
que existe entre todos los paquetes que pertenecen a un mismo mensaje, se implementan
de dos formas

Circuitos virtuales conmutados (SVC)

Circuitos virtuales permanentes (PVC)

Proyecto 802 para definir estándares que permitan la intercomunicación entre equipos de
distintos fabricantes, el modelo 802 no busca remplazar nada del modelo OSI busca
especificaciones del nivel físico, el nivel de enlace de datos y en menos extensión el nivel
de red permitiendo conectividad en protocolos LAN y WAN

El LLC no especifico para cada arquitectura, es el mismo para todas las LAN definidas por
la IEEE

El proyecto 802 esta en modularidad y se subdivide para la gestión de la LAN

802.1 dedicada a los aspectos de comunicación entre redes LAN y WAN aunque no esta
completo trata de resolver las incompatibilidades entre arquitectura de redes.

802.2 (LLC) toma la estructura de una trama HDLC control de enlace de datos de alto
nivel, el LLC es la capa superior del nivel de enlace de datos del IEEE 802 común en
todos los protocolos LAN

IEEE 802.3 ETHERNET define banda base y banda ancha

Método Acceso CSMD / CD siempre que múltiples usuarios tienen acceso incontrolado a
una única línea existe el peligro de que las señales se solapen y se destruyan entre si. La
solución se denomina acceso múltiple con detección de colisiones (CSMD) estandarizado
en el IEEE 802.3
IEEE 802.4 Bus con paso de testigo: combina la característica de la ethernet y red de
anillo con paso de testigo es un bus físico que opera como un anillo lógico usando
testigos.

IEEE 802.5 red anillo con paso testigo: exige a las estaciones que envíen los datos por
turnos, envía solo una trama en cada turno coordinado por el paso de testigo. Un testigo
es una trama contenedor sencilla que se pasa de estación en estación alrededor del
anillo.

LA X – 25: por costos elevados de líneas alquiladas se introdujeron las redes de paquetes
conmutados donde las líneas compartidas reducen el costo. El primer grupo fue el grupo
de protocolo X. 25 con baja tasa de bits y que puede ser conmutada. Poseen canales
preestablecidos proporcionando un PVC (Circuito Virtual Permanente)

Resulta económico ya que las tarifas se basan en la cantidad de datos entregados y no en
el tiempo de conexión.

FRAME RELAY: es una tecnología de conmutación rápida de tramas basada en
estándares internacionales y que se utilizan como protocolo de transporte y de acceso a
redes publicas. Ha evolucionado proporcionando la integración de una única línea de los
distintos tipos de tráfico de datos y voz y transporte por una única red. Se adoptó
estándares como:

ATM (Modo de Transferencia Asincronomo) protocolo de retransmisión de celdas capaz
de transferir voz, video y datos a través de redes privadas y publicas basada en una
arquitectura de celdas ya que son adecuadas para transportar voz y video porque es
intolerante con el retardo.

Escrito por nelalexrojas el 06/10/2006 23:47 | Comentarios (114)


Dirección IP
De Wikipedia, la enciclopedia libre
Saltar a: navegación, búsqueda
Este artículo trata sobre el número de identificación de red. Para otros usos de este
término, véase IP.

Una dirección IP es una etiqueta numérica que identifica, de manera lógica y jerárquica, a
un interfaz (elemento de comunicación/conexión) de un dispositivo (habitualmente una
computadora) dentro de una red que utilice el protocolo IP (Internet Protocol), que
corresponde al nivel de red del protocolo TCP/IP. Dicho número no se ha de confundir con
la dirección MAC que es un identificador de 48bits para identificar de forma única a la
tarjeta de red y no depende del protocolo de conexión utilizado ni de la red. La dirección IP
puede cambiar muy a menudo por cambios en la red o porque el dispositivo encargado
dentro de la red de asignar las direcciones IP, decida asignar otra IP (por ejemplo, con el
protocolo DHCP), a esta forma de asignación de dirección IP se denomina dirección IP
dinámica (normalmente abreviado como IP dinámica).
Los sitios de Internet que por su naturaleza necesitan estar permanentemente conectados,
generalmente tienen una dirección IP fija (comúnmente, IP fija o IP estática), esta, no
cambia con el tiempo. Los servidores de correo, DNS, FTP públicos y servidores de
páginas web necesariamente deben contar con una dirección IP fija o estática, ya que de
esta forma se permite su localización en la red.

Los ordenadores se conectan entre sí mediante sus respectivas direcciones IP. Sin embargo,
a los seres humanos nos es más cómodo utilizar otra notación más fácil de recordar, como
los nombres de dominio; la traducción entre unos y otros se resuelve mediante los
servidores de nombres de dominio DNS, que a su vez, facilita el trabajo en caso de cambio
de dirección IP, ya que basta con actualizar la información en el servidor DNS y el resto de
las personas no se enterarán ya que seguirán accediendo por el nombre de dominio.

Contenido
[ocultar]

        1 Direcciones IPv4
           o 1.1 Direcciones privadas
           o 1.2 Máscara de subred
           o 1.3 Creación de subredes
           o 1.4 IP dinámica
                    1.4.1 Ventajas
                    1.4.2 Desventajas
                    1.4.3 Asignación de direcciones IP
           o 1.5 IP fija
        2 Direcciones IPv6
        3 Enlaces externos
        4 Referencias



[editar] Direcciones IPv4
Artículo principal: IPv4.

Las direcciones IPv4 se expresan por un número binario de 32 bits permitiendo un espacio
de direcciones de hasta 4.294.967.296 (232) direcciones posibles. Las direcciones IP se
pueden expresar como números de notación decimal: se dividen los 32 bits de la dirección
en cuatro octetos. El valor decimal de cada octeto está comprendido en el rango de 0 a 255
[el número binario de 8 bits más alto es 11111111 y esos bits, de derecha a izquierda,
tienen valores decimales de 1, 2, 4, 8, 16, 32, 64 y 128, lo que suma 255].

En la expresión de direcciones IPv4 en decimal se separa cada octeto por un carácter único
".". Cada uno de estos octetos puede estar comprendido entre 0 y 255, salvo algunas
excepciones. Los ceros iniciales, si los hubiera, se pueden obviar.
Ejemplo de representación de dirección IPv4: 10.128.001.255 o 10.128.1.255

En las primeras etapas del desarrollo del Protocolo de Internet,1 los administradores de
Internet interpretaban las direcciones IP en dos partes, los primeros 8 bits para designar la
dirección de red y el resto para individualizar la computadora dentro de la red. Este método
pronto probó ser inadecuado, cuando se comenzaron a agregar nuevas redes a las ya
asignadas. En 1981 el direccionamiento internet fue revisado y se introdujo la arquitectura
de clases (classful network architecture).2 En esta arquitectura hay tres clases de
direcciones IP que una organización puede recibir de parte de la Internet Corporation for
Assigned Names and Numbers (ICANN): clase A, clase B y clase C.

        En una red de clase A, se asigna el primer octeto para identificar la red, reservando
        los tres últimos octetos (24 bits) para que sean asignados a los hosts, de modo que la
        cantidad máxima de hosts es 224 - 2 (se excluyen la dirección reservada para
        broadcast (últimos octetos en 255) y de red (últimos octetos en 0)), es decir,
        16.777.214 hosts.
        En una red de clase B, se asignan los dos primeros octetos para identificar la red,
        reservando los dos octetos finales (16 bits) para que sean asignados a los hosts, de
        modo que la cantidad máxima de hosts es 216 - 2, o 65.534 hosts.
        En una red de clase C, se asignan los tres primeros octetos para identificar la red,
        reservando el octeto final (8 bits) para que sea asignado a los hosts, de modo que la
        cantidad máxima de hosts es 28 - 2, ó 254 hosts.

                                   N° de      N° de Host Por      Máscara de
Clase          Rango                                                              Broadcast ID
                                   Redes           Red              Red
        1.0.0.0 -
A                               128          16.777.214         255.0.0.0         x.255.255.255
        127.255.255.255
        128.0.0.0 -
B                               16.384       65.534             255.255.0.0       x.x.255.255
        191.255.255.255
        192.0.0.0 -
C                               2.097.152    254                255.255.255.0     x.x.x.255
        223.255.255.255
        224.0.0.0 -
(D)                             histórico
        239.255.255.255
        240.0.0.0 -
(E)                             histórico
        255.255.255.255

        La dirección 0.0.0.0 es reservada por la IANA para identificación local.
        La dirección que tiene los bits de host iguales a cero sirve para definir la red en la
        que se ubica. Se denomina dirección de red.
        La dirección que tiene los bits correspondientes a host iguales a uno, sirve para
        enviar paquetes a todos los hosts de la red en la que se ubica. Se denomina
        dirección de broadcast.
Las direcciones 127.x.x.x se reservan para designar la propia máquina. Se denomina
       dirección de bucle local o loopback.

El diseño de redes de clases (classful) sirvió durante la expansión de internet, sin embargo
este diseño no era escalable y frente a una gran expansión de las redes en la década de los
noventa, el sistema de espacio de direcciones de clases fue reemplazado por una
arquitectura de redes sin clases Classless Inter-Domain Routing (CIDR)3 en el año 1993.
CIDR está basada en redes de longitud de máscara de subred variable (variable-length
subnet masking VLSM) que permite asignar redes de longitud de prefijo arbitrario.
Permitiendo una distribución de direcciones más fina y granulada, calculando las
direcciones necesarias y "desperdiciando" las mínimas posibles.

[editar] Direcciones privadas

Hay ciertas direcciones en cada clase de dirección IP que no están asignadas y que se
denominan direcciones privadas. Las direcciones privadas pueden ser utilizadas por los
hosts que usan traducción de dirección de red (NAT) para conectarse a una red pública o
por los hosts que no se conectan a Internet. En una misma red no pueden existir dos
direcciones iguales, pero sí se pueden repetir en dos redes privadas que no tengan conexión
entre sí o que se conecten mediante el protocolo NAT. Las direcciones privadas son:

       Clase A: 10.0.0.0 a 10.255.255.255 (8 bits red, 24 bits hosts).
       Clase B: 172.16.0.0 a 172.31.255.255 (16 bits red, 16 bits hosts). 16 redes clase B
       contiguas, uso en universidades y grandes compañías.
       Clase C: 192.168.0.0 a 192.168.255.255 (24 bits red, 8 bits hosts). 256 redes clase C
       contiguas, uso de compañías medias y pequeñas además de pequeños proveedores
       de internet (ISP).



Muchas aplicaciones requieren conectividad dentro de una sola red, y no necesitan
conectividad externa. En las redes de gran tamaño a menudo se usa TCP/IP. Por ejemplo,
los bancos pueden utilizar TCP/IP para conectar los cajeros automáticos que no se conectan
a la red pública, de manera que las direcciones privadas son ideales para estas
circunstancias. Las direcciones privadas también se pueden utilizar en una red en la que no
hay suficientes direcciones públicas disponibles.

Las direcciones privadas se pueden utilizar junto con un servidor de traducción de
direcciones de red (NAT) para suministrar conectividad a todos los hosts de una red que
tiene relativamente pocas direcciones públicas disponibles. Según lo acordado, cualquier
tráfico que posea una dirección destino dentro de uno de los intervalos de direcciones
privadas no se enrutará a través de Internet.

[editar] Máscara de subred
La máscara permite distinguir los bits que identifican la red y los que identifican el host de
una dirección IP. Dada la dirección de clase A 10.2.1.2 sabemos que pertenece a la red
10.0.0.0 y el host al que se refiere es el 2.1.2 dentro de la misma. La máscara se forma
poniendo a 1 los bits que identifican la red y a 0 los bits que identifican el host. De esta
forma una dirección de clase A tendrá como máscara 255.0.0.0, una de clase B 255.255.0.0
y una de clase C 255.255.255.0. Los dispositivos de red realizan un AND entre la dirección
IP y la máscara para obtener la dirección de red a la que pertenece el host identificado por
la dirección IP dada. Por ejemplo un router necesita saber cuál es la red a la que pertenece
la dirección IP del datagrama destino para poder consultar la tabla de encaminamiento y
poder enviar el datagrama por la interfaz de salida. Para esto se necesita tener cables
directos. La máscara también puede ser representada de la siguiente forma 10.2.1.2/8 donde
el /8 indica que los 8 bits más significativos de máscara están destinados a redes, es decir /8
= 255.0.0.0. Análogamente (/16 = 255.255.0.0) y (/24 = 255.255.255.0).

[editar] Creación de subredes

El espacio de direcciones de una red puede ser subdividido a su vez creando subredes
autónomas separadas. Un ejemplo de uso es cuando necesitamos agrupar todos los
empleados pertenecientes a un departamento de una empresa. En este caso crearíamos una
subred que englobara las direcciones IP de éstos. Para conseguirlo hay que reservar bits del
campo host para identificar la subred estableciendo a uno los bits de red-subred en la
máscara. Por ejemplo la dirección 172.16.1.1 con máscara 255.255.255.0 nos indica que los
dos primeros octetos identifican la red (por ser una dirección de clase B), el tercer octeto
identifica la subred (a 1 los bits en la máscara) y el cuarto identifica el host (a 0 los bits
correspondientes dentro de la máscara). Hay dos direcciones de cada subred que quedan
reservadas: aquella que identifica la subred (campo host a 0) y la dirección para realizar
broadcast en la subred (todos los bits del campo host en 1).

[editar] IP dinámica

Una dirección IP dinámica es una IP asignada mediante un servidor DHCP (Dynamic
Host Configuration Protocol) al usuario. La IP que se obtiene tiene una duración máxima
determinada. El servidor DHCP provee parámetros de configuración específicos para cada
cliente que desee participar en la red IP. Entre estos parámetros se encuentra la dirección IP
del cliente.

DHCP apareció como protocolo estándar en octubre de 1993. El estándar RFC 2131
especifica la última definición de DHCP (marzo de 1997). DHCP sustituye al protocolo
BOOTP, que es más antiguo. Debido a la compatibilidad retroactiva de DHCP, muy pocas
redes continúan usando BOOTP puro.

Las IP dinámicas son las que actualmente ofrecen la mayoría de operadores. El servidor del
servicio DHCP puede ser configurado para que renueve las direcciones asignadas cada
tiempo determinado.

[editar] Ventajas
Reduce los costos de operación a los proveedores de servicios de Internet (ISP).
       Reduce la cantidad de IP asignadas (de forma fija) inactivas.

[editar] Desventajas

       Obliga a depender de servicios que redirigen un host a una IP.

[editar] Asignación de direcciones IP

Dependiendo de la implementación concreta, el servidor DHCP tiene tres métodos para
asignar las direcciones IP:

       manualmente, cuando el servidor tiene a su disposición una tabla que empareja
       direcciones MAC con direcciones IP, creada manualmente por el administrador de
       la red. Sólo clientes con una dirección MAC válida recibirán una dirección IP del
       servidor.
       automáticamente, donde el servidor DHCP asigna permanentemente una dirección
       IP libre, tomada de un rango prefijado por el administrador, a cualquier cliente que
       solicite una.
       dinámicamente, el único método que permite la reutilización de direcciones IP. El
       administrador de la red asigna un rango de direcciones IP para el DHCP y cada
       ordenador cliente de la LAN tiene su software de comunicación TCP/IP
       configurado para solicitar una dirección IP del servidor DHCP cuando su tarjeta de
       interfaz de red se inicie. El proceso es transparente para el usuario y tiene un
       periodo de validez limitado.

[editar] IP fija

Una dirección IP fija es una dirección IP asignada por el usuario de manera manual (Que
en algunos casos el ISP o servidor de la red no lo permite), o por el servidor de la red (ISP
en el caso de internet, router o switch en caso de LAN) con base en la Dirección MAC del
cliente. Mucha gente confunde IP Fija con IP Pública e IP Dinámica con IP Privada.

Una IP puede ser Privada ya sea dinámica o fija como puede ser IP Pública Dinámica o
Fija.

Una IP Pública se utiliza generalmente para montar servidores en internet y necesariamente
se desea que la IP no cambie por eso siempre la IP Pública se la configura de manera Fija y
no Dinámica, aunque si se podría.

En el caso de la IP Privada generalmente es dinámica asignada por un servidor DHCP, pero
en algunos casos se configura IP Privada Fija para poder controlar el acceso a internet o a la
red local, otorgando ciertos privilegios dependiendo del número de IP que tenemos, si esta
cambiara (fuera dinámica) sería más complicado controlar estos privilegios (pero no
imposible).
Las IP Públicas fijas actualmente en el mercado de acceso a Internet tienen un costo
adicional mensual. Estas IP son asignadas por el usuario después de haber recibido la
información del proveedor o bien asignadas por el proveedor en el momento de la primera
conexión.

Esto permite al usuario montar servidores web, correo, FTP, etc. y dirigir un nombre de
dominio a esta IP sin tener que mantener actualizado el servidor DNS cada vez que cambie
la IP como ocurre con las IP Públicas dinámicas.

[editar] Direcciones IPv6
Artículo principal: IPv6.
Véase también: Dirección IPv6

La función de la dirección IPv6 es exactamente la misma a su predecesor IPv4, pero dentro
del protocolo IPv6. Está compuesta por 128 bits y se expresa en una notación hexadecimal
de 32 dígitos. IPv6 permite actualmente que cada persona en la tierra tenga asignada varios
millones de IPs, ya que puede implementarse con 2128 (3.4×1038 hosts direccionables). La
ventaja con respecto a la dirección IPv4 es obvia en cuanto a su capacidad de
direccionamiento.

Su representación suele ser hexadecimal y para la separación de cada par de octetos se
emplea el símbolo ":". Un bloque abarca desde 0000 hasta FFFF. Algunas reglas de
notación acerca de la representación de direcciones IPv6 son:

       Los ceros iniciales, como en IPv4, se pueden obviar.

Ejemplo: 2001:0123:0004:00ab:0cde:3403:0001:0063 -> 2001:123:4:ab:cde:3403:1:63

       Los bloques contiguos de ceros se pueden comprimir empleando "::". Esta
       operación sólo se puede hacer una vez.

Ejemplo: 2001:0:0:0:0:0:0:4 -> 2001::4.

Ejemplo no válido: 2001:0:0:0:2:0:0:1 -> 2001::2::1 (debería ser 2001::2:0:0:1 ó
2001:0:0:0:2::1).

[editar] Enlaces externos
          Wikcionario tiene definiciones para dirección IP.
¿Qué son las redes?


Autor: Jonathan
Curso:




9,08/10 (137 opiniones) |70906 alumnos|Fecha publicación: 25/11/2004

Envía un mensaje al autor




Capítulo 14:

 Clases de red
Enlaces patrocinadosNetworking     Equipment
Huge Selection and Low Prices. Net 30 Terms with No Annual Fees!
NeweggBusiness.com




       Para una mejor organización en el reparto de rangos las redes se han agrupado
en cuatro clases, de manera que según el tamaño de la red se optará por un tipo u otro.

         Las direcciones de clase A

         Corresponden a redes que pueden direccionar hasta 16.777.214 máquinas cada
una.

         Las direcciones de red de clase A tienen siempre el primer bit a 0.

         0 + Red (7 bits) + Máquina (24 bits)

         Solo existen 124 direcciones de red de clase A.

         Ejemplo:

                  R            M
        ed            áquina
B         0            0       0        0
inario   0001010       0001111 0010000 0001011

         D         1            1       1        1
ecimal   0             5            6       1


         Rangos (notación decimal):

         1.xxx.xxx.xxx - 126.xxx.xxx.xxx

         Las direcciones de clase B

         Las direcciones de red de clase B permiten direccionar 65.534 máquinas cada
una.

         Los dos primeros bits de una dirección de red de clase B son siempre 01.

         01 + Red (14 bits) + Máquina (16 bits)

         Existen 16.382 direcciones de red de clase B.

         Ejemplo:

                   R            M
         ed            áquina

         B         0            0       0        0
inario   1 000001 0001010 0000010 0000011

         D         1            1
                                        2        3
ecimal   29            0


         Rangos (notación decimal) :

         128.001.xxx.xxx - 191.254.xxx.xxx

         Las direcciones de clase C

         Las direcciones de clase C permiten direccionar 254 máquinas.

         Las direcciones de clase C empiezan con los bits 110

         110 + Red (21 bits) + Máquina (8 bits)

         Existen 2.097.152 direcciones de red de clase C.
Ejemplo:

                R            M
         ed         áquina

         B      1            0       0       0
inario   10 01010 0001111 0010111 0001011

         D      2            1       2       1
ecimal   02         5            3       1


         Rangos (notación decimal):

         192.000.001.xxx - 223.255.254..xxx

         Las direcciones de clase D

       Las direcciones de clase D son un grupo especial que se utiliza para dirigirse a
grupos de máquinas. Estas direcciones son muy poco utilizadas. Los cuatro primeros bits
de una dirección de clase D son 1110.

         Direcciones de red reservadas

         Existen una serie de direcciones IP con significados especiales.

         ·    Direcciones de subredes reservadas:

         000.xxx.xxx.xxx (1)

         127.xxx.xxx.xxx (reservada como la propia máquina)

         128.000.xxx.xxx (1)

         191.255.xxx.xxx (2)

         192.168.xxx.xxx (reservada para intranets)

         223.255.255.xxx (2)

         ·    Direcciones de máquinas reservadas:

         xxx.000.000.000 (1)

         xxx.255.255.255 (2)
xxx.xxx.000.000 (1)

        xxx.xxx.255.255 (2)

        xxx.xxx.xxx.000 (1)

        xxx.xxx.xxx.255 (2)

        (1) Se utilizan para identificar a la red.

        (2) Se usa para enmascarar.


Clases de red
         Clase                Dirección de Red    Dirección de Host   Cantidad de Hosts
         Clase A              a                   b.c.d               16777214
         Clase B              a.b                 c.d                 65534
         Clase C              a.b.c               d                   254


Clase     Tamaño de la dirección de              Primer número        Número de
          red (en octetos)                                            direcciones locales
A         1                                      0 -127               16.777.216
B         2                                      128 -191             65.536
C         3                                      192 -223             256


    Dada una dirección IP, puede determinarse a que clase pertenece examinando el valor
    de su primer número:
                              Clase               Rango de a
                              Clase A             1 - 126
                              Clase B             128 - 191
                              Clase C             192 - 224




Para una mejor organización en el reparto de rangos las redes se han agrupado en cuatro
clases, de manera que según el tamaño de la red se optará por un tipo u otro.

Las direcciones de clase A

La clase A comprende redes desde 1.0.0.0 hasta 127.0.0.0. El número de red está en el
primer octeto, con lo que sólo hay 127 redes de este tipo, pero cada una tiene 24 bits
disponibles para identificar a los nodos, lo que se corresponde con poder distinguir en la red
unos 1.6 millones de nodos distintos.
Corresponden a redes que pueden direccionar hasta 16.777.214 máquinas cada una.

Las direcciones de red de clase A tienen siempre el primer bit a 0.

0 + Red (7 bits) + Máquina (24 bits)

Solo existen 124 direcciones de red de clase A.

Ejemplo:

                     Red          Máquina
           Binario   0 0001010     00001111         00010000          00001011

           Decimal 10              15               16                11


Rangos(notación decimal):

1.xxx.xxx.xxx - 126.xxx.xxx.xxx

Las direcciones de clase B

La clase B comprende redes desde 128.0.0.0 hasta 191.255.0.0; siendo el número de red
de 16 bits (los dos primeros octetos. Esto permite 16320 redes de 65024 nodos cada una.

Las direcciones de red de clase B permiten direccionar 65.534 máquinas cada una.

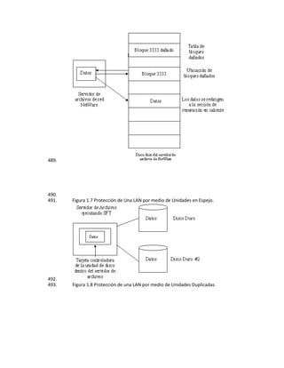
Los dos primeros bits de una dirección de red de clase B son siempre 01.

01 + Red (14 bits) + Máquina (16 bits)

Existen 16.382 direcciones de red de clase B.

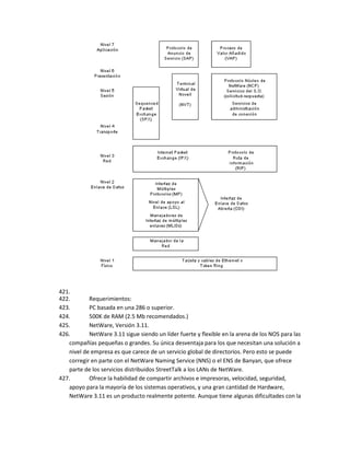
Ejemplo:

                           Red                           Máquina
                Binario    10 000001     00001010        00000010 00000011

                Decimal    129           10              2         3


Rangos(notación decimal):
128.001.xxx.xxx - 191.254.xxx.xxx

Las direcciones de clase C

Las redes de clase C tienen el rango de direcciones desde 192.0.0.0 hasta
223.255.255.0, contando con tres octetos para identificar la red. Por lo tanto, hay cerca de
2 millones de redes de este tipo con un máximo de 254 nodos cada una.

Las direcciones de clase C permiten direccionar 254 máquinas.

Las direcciones de clase C empiezan con los bits 110

110 + Red (21 bits) + Máquina (8 bits)

Existen 2.097.152 direcciones de red de clase C.

Ejemplo:

                            Red                                   Máquina
                 Binario    110 01010     00001111 00010111 00001011

                 Decimal    202           15           23         11


Rangos(notación decimal):

192.000.001.xxx - 223.255.254..xxx

Las direcciones de clase D

Las direcciones de clase D son un grupo especial que se utiliza para dirigirse a grupos de
máquinas. Estas direcciones son muy poco utilizadas. Los cuatro primeros bits de una
dirección de clase D son 1110.

Comprenden las direcciones entre 224.0.0.0 y 254.0.0.0, y están reservadas para uso
futuro, o con fines experimentales. No especifican, pues, ninguna red de Internet.



Direcciones de red reservadas

Cuando se creó Internet y se definió el protocolo IP, al desarrollar los conceptos de clases
A, B y C se reservaron una red clase A (10.X.X.X), quince clases B (172.16.X.X a
172.31.X.X) y 255 clases C (192.168.0.X a 192.168.255.X) para su uso privado. Este uso
privado consiste en que el órgano competente en la asignación de direcciones no concede
estas clases, y se reservan para que las redes privadas sin conexión con el mundo exterior
hagan uso de ellas de tal manera de no provocar colisiones si en el futuro estas redes se
conectan a redes públicas.
De esta forma se definen dos tipos de direcciones IP, direcciones IP públicas, que son
aquellas que conceden los organismos internacionales competentes en esta materia y que
van a ser usadas en Redes IP Globales, y direcciones IP privadas, definidas como aquellas
que van a identificar a los equipos cuando se hable de Redes IP Privadas.



Existen una serie de direcciones IP con significados especiales.

       Direcciones de subredes reservadas:

000.xxx.xxx.xxx (1)

127.xxx.xxx.xxx (reservada como la propia máquina)

128.000.xxx.xxx (1)

191.255.xxx.xxx (2)

192.168.xxx.xxx (reservada para intranets)

223.255.255.xxx (2)

       Direcciones de máquinas reservadas:

xxx.000.000.000 (1)

xxx.255.255.255 (2)

xxx.xxx.000.000 (1)

xxx.xxx.255.255 (2)

xxx.xxx.xxx.000 (1)

xxx.xxx.xxx.255 (2)



   1. Se utilizan para identificar a la red.
   2. Se usa para enmascarar.

   3.Sistema operativo de red
4. De Wikipedia, la enciclopedia libre
5. Saltar a: navegación, búsqueda
6. El sistema operativo de red permite la interconexión de ordenadores para poder
    acceder a los servicios y recursos. Al igual que un equipo no puede trabajar sin un
    sistema operativo, una red de equipos no puede funcionar sin un sistema operativo
    de red. Si no se dispone de ningún sistema operativo de red, los equipos no pueden
    compartir recursos y los usuarios no pueden utilizar estos recursos.
7. Dependiendo del fabricante del sistema operativo de red, tenemos que el software
    de red para un equipo personal se puede añadir al propio sistema operativo del
    equipo o integrarse con él.
8. NetWare de Novell es el ejemplo más familiar y famoso de sistema operativo de red
    donde el software de red del equipo cliente se incorpora en el sistema operativo del
    equipo. El equipo personal necesita ambos sistema operativos para gestionar
    conjuntamente las funciones de red y las funciones individuales.
9. El software del sistema operativo de red se integra en un número importante de
    sistemas operativos conocidos, incluyendo Windows 2000 Server/Professional,
    Windows NT Server/Workstation, Windows 95/98/ME y Apple Talk.
10. Cada configuración (sistemas operativos de red y del equipo separados, o sistema
    operativo combinando las funciones de ambos) tiene sus ventajas e inconvenientes.
    Por tanto, nuestro trabajo como especialistas en redes es determinar la configuración
    que mejor se adapte a las necesidades de nuestra red.
11. Es un componente software de una computadora que tiene como objetivo coordinar
    y manejar las actividades de los recursos del ordenador en una red de equipos.
    Consiste en un software que posibilita la comunicación de un sistema informático
    con otros equipos en el ámbito de una red.
12. Sistemas operativos de Redes
13. Enviado por felcos
14. Anuncios Google
15. XFINITY® Internet
    Está Lento tu Internet? Descargas hasta 20 Mbps con PowerBoost®. www.Comcast.com
16. Estudia En Línea
    Programas Universitarios Online. Título Profesional en USA. www.UNAD.us
17. United Edu Institute
    Prepare For A Career at UEI College 10 Programs to Choose From! www.ueicollege.com
18.
19. SISTEMA OPERATIVO UNIX
20. Introducción.
21. Los sistemas operativos UNIX desarrollados en los Laboratorios Bell se cuentan entre los
    éxitos más notables en el campo de los sistemas operativos. Los sistemas UNIX ofrecen un
    ambiente amable para el desarrollo de programas y el procesamiento de textos. Brindan
    facilidad para combinar unos programas con otros, lo cual sirve para fomentar un enfoque
    modular, de piezas de construcción y orientado a las herramientas, para el diseño de
    programas. Una vez transportado un sistema operativo UNIX a otra máquina, un enorme
    acervo de programas de utilidad general queda disponible en la máquina de destino.
22. El sistema operativo UNIX de 1981 era un sistema de tecleo intensivo que requería una
    larga lista de mandatos con diversas sintaxis. La generación más reciente de sistemas UNIX
    ofrece en muchos casos interfaces amab les con el usuario, orientadas al uso de ratón y de
    ventanas tales como X Window System de MIT, NeWS de Sun Microsystem y Open Look
    de AT&T.
23. Los sistemas UNIX se han convertido en los sistemas operativos para computadora
    personal preferidos por los usuarios de potencia, y es probable que lo mismo suceda con
    millones de usuarios más.
24. Casi todos los fabricantes importantes de computadoras ofrecen en la actualidad alguna
    forma de sistemas UNIX. Muchas compañías que habían estado ofreciendo sistemas UNIX
    además de sus propios sistemas, ahora promueven los sistemas UNIX dándoles por lo
    menos igual importancia. (3) y (14).
25. Historia.
26. Entre 1965 y 1969, los Laboratorios Bell participaron con General Electric (Más tarde
    Honeywell) y Project MAC (Del Massachusetts Institute of Technology) en el desarrollo del
    sistema Multics. Este sistema diseña do para la macrocomputadora GE-645, era
    demasiado grande y complejo. Los diseñadores de Multics tenían en mente un programa
    de utilidad general que pudiera ser en esencia "todo para el mundo".
27. Al avanzar los trabajos se hizo evidente que aunque Multics proporcionaría con toda
    probabilidad la diversidad de servicios requerida, sería un sistema enorme, costoso y
    torpe. Por estas y muchas otras razones, los L aboratorios Bell se retiraron del proyecto en
    1969. Algunos de los miembros de investigación de Bell comenzaron a trabajar en un
    sistema mucho menos ambicioso. El grupo, dirigido por Ken Thompson, buscaba crear un
    ambiente de computación sen cillo para investigación y desarrollo de programas potentes.
    La primera versión de un sistema UNIX se creó para un DEC PDP-7 y se escribió en lenguaje
    ensamblador.
28. Thompson llevó a la práctica un sistema de archivos, un mecanismo de control de
    procesos, programas para el manejo general de archivos y un intérprete de mandatos
    (Comandos). En 1970 Brian Kernighan acuñ ;ó el nombre "UNIX" haciendo un juego de
    palabras con Multics; de hecho, en el sentido en que Multics era "multi", los sistemas
    UNIX eran sin duda servicios de computación "uni", limitados.
29. Cuando apareció la PDP-11, su atractivo precio permitió al grupo adquirir la máquina. No
    contaba con apoyo para la multiprogramación; la computadora tenía sólo 24K y el sistema
    ocupaba 16K ; por tanto quedaban 8K reservados para el usuario. El tamaño máximo de
    archivo era de 64Kbytes. La aplicación principal era el procesamiento de textos. No había
    protección del almacenamiento, de modo que el sistema pod& iacute;a caerse con
    facilidad durante la prueba de un programa nuevo. El disco era pequeño, apenas ½
    Megabyte.
30. Dennis Ritchie se unió a la labor de desarrollo y ayudó a reescribir los sistemas UNIX en C
    en 1973. Esto ayudó a que los programas de los sistemas UNIX se volvieran más portátiles
    y comprensible s.
31. Las contribuciones de Thompson y Ritchie recibieron como reconocimiento el premio
    Turing, el de más prestigio en la comunidad de computación.
32. Antes de la liberalización, AT&T no tenía permiso para competir en la industria de la
    informática, por lo que ofreció los sistemas UNIX a las universidades por una cuota
    nominal. Además de di stribuir el código fuente, fomentando así el desarrollo adicional y
    las innovaciones.
33. En 1975 los sistemas UNIX se habían popularizado muchísimo en las universidades y así
    apareció una organización de usuarios que evolucionó hasta convertirse en el grupo
    llamado USENIX.
34. Los sistemas UNIX satisfacen necesidades de los programadores que crean software y de
    los administradores que deben controlar las labores de desarrollo de programas. Sin
    embargo, no estaban diseñados para sustituir los sist emas operativos comerciales "de
    trabajo pesado" que dan apoyo a un procesamiento masivo de datos.
35. El sistema de tiempo compartido UNIX, séptima edición, editado en 1979, hizo que los
    sistemas UNIX estuvieran más cerca de convertirse en productos comerciales válidos. Los
    archivos podían llegar a un tamaño de mil millones de bytes. El sistema se hizo todavía
    más portátil y se amplió el lenguaje C. Se llevó a la práctica un shell (Intérprete de los
    mandatos del usuario) más potente q ue incluía variables de cadena, programación
    estructurada, manejo de trampas y otras características. Se añadió la capacidad de añadir
    archivos entre una máquina y otra.
36. Reconociendo el valor de los sistemas UNIX, Microsoft anunció en 1980 que ofrecería
    XENIX, una versión comercial de sistema UNIX, en microporcesadores de 16 bits. Para
    mejorar la viabilidad, Microsoft agreg&oa cute; recuperación de errores por hardware,
    reparación automática de archivos después de caídas, detección de fallas en el suministro
    de energía y errores de paridad, segmentos compartidos de datos y una me jor
    comunicación entre procesos.
37. En 1980, la Universidad de California en Berkeley recibió fondos del Departamento de
    Defensa para evolucionar los sistemas UNIX de sistemas operativos pequeños de tiempo
    compartido a sistemas apropiados para estudiar ambientes de computación distribuida.
    Esto redundó en el desarrollo del sistema 4.1 BSD, después AT&T comercializó el sistema
    UNIX System III en 1982, este evolucionó hasta convertirse en System V.
38. Concepto
39. Es un sistema operativo de tiempo compartido, controla los recursos de una computadora
    y los asigna entre los usuarios. Permite a los usuarios correr sus programas. Controla los
    dispositivos de periféricos conectados a la máquina.
40. Posee las siguientes características:




41.
42. El Shell.
43. El shell es el mecanismo de los sistemas UNIX para lograr la comunicación entre los
    usuarios y el sistema. Es un intérprete de comandos que lee líneas tecleadas por el usuario
    y hace que se ejecuten las fu nciones del sistema solicitadas. Es un programa de aplicación
    como cualquier otro; no es parte del núcleo. Es frecuente que los sistemas UNIX manejen
    varios shells diferentes. El shell no reside permanentemente en la memoria principal como
    e l núcleo; puede intercambiarse cuando se necesite.
44. Tres de los shells más populares son el shell Bourne (Almacenado en el archivo de
    programa sh), el shell Berkeley C (Almacenado en csh), y el shell Korn (Almacenado en
    ksh). El shell Bourne ha sido el shell primordial en lo s sistemas UNIX de AT&T. El shell C
    (Cuya sintaxis se asemeja a la del lenguaje de programación C) fue desarrollado por Bill Joy
    de Sun Microsystems. El shell Korn de AT&T ofrece muchas mejoras con respecto al shell
    Bourne, incluyendo diver sas características del shell C. Estos shells no tienen una
    orientación gráfica, pero siguen siendo populares entre los usuarios experimentados.
45. El Núcleo.
46. Los sistemas UNIX contienen un núcleo, uno o más shells y diversos programas de utilidad
    general. El núcleo es la parte central de los sistemas operativos UNIX; encapsula el equipo
    y ofrece servicios de si stemas UNIX a los programas de aplicaciones. El núcleo se encarga
    de la administración de procesos, de memoria, de E/S y del reloj. Así como el shell
    proporciona servicios a los usuarios, el núcleo proporciona servicios a los p rogramas de
    aplicación, incluyendo al shell.
47. El núcleo administra la memoria real y asigna el procesador en forma automática Otras
    funciones del núcleo se ejecutan en respuesta a solicitudes, denominadas llamadas al
    sistema, de los procesos de aplicaci&o acute;n.
48. Los sistemas UNIX administran muchos procesos concurrentes. Cada proceso tiene su
    propio espacio de direcciones como protección, pero los procesos pueden compartir la
    misma copia de un programa reentrante.
49. El Sistema de Archivos.
50. Los sistemas UNIX utilizan un sistema de archivos jerárquicos con su origen en el nodo raíz
    (Root). Los nombres de archivos aparecen en directorios que son a su vez archivos UNIX.
    Cada entrada de directorio conti ene el nombre del archivo y un apuntador al inodo del
    archivo; el inodo contiene apuntadores a los bloques del archivo en disco. El núcleo se
    encarga de mantener la estructura de directorios del sistema de archivo. Desde el punto
    de vista del siste ma, un directorio es idéntico a un archivo ordinario excepto por la
    restricción de que los usuarios no pueden escribir en los directorios, aunque sí pueden
    leerlos.
51. Características Generales.
52. Fue desarrollado por los Laboratorios Bell en 1969.
53. El sistema operativo UNIX era, en 1981, un sistema de comando por línea, con varias
    opciones de sintaxis.
54. El sistema operativo, ahora soporta ratón e interfaz de ventanas como X-Window System
    de MIT, News de Sun Microsystem y Open Look de AT&T.
55. Surgimiento de varios UNIX:
56.
57.   XENIX de Microsoft (1980).
58.   Reparación de errores por Hardware.
59.   Reparación de archivos por caídas del sistema.
60.   Una mejor comunicación entre procesos.
61.   UNIX 4.1 BSD de la Universidad de California en Berkely (1980).
62.   Soporta memoria virtual.
63.   Sistema de archivos más rápido y potente.
64.   Comunicación entre procesos.
65.   Apoyo para redes de área local.
66.   Editor de pantalla completo.
67.   UNIX System III de AT&T (1982), evolucionó hasta convertirse en System V.
68.   Captura remota de trabajos.
69.   Mejor sistema de archivos.
70.   Mejores recursos para la comunicación entre procesos.
71.   Sun OS de Sun Microsystem.
72.   Tomó como base al sistema 4.2 BSD como modelo.
73.   Proporcionaba apoyo a una red de estación de trabajo.
74.   Manejo de una interfaz gráfica con ventanas y orientado al ratón.
75.   UNIX se ha implementado en:
76.
77.   Supercomputadoras.
78.   Macros.
79.   Minis.
80.   Estaciones de trabajo.
81.   PCs.
82.   Componentes de UNIX:
83.
84. Shell, intérprete de comandos.
85. Núcleo, se encarga de la administración de Procesos, Memoria, Entrada/Salida y Ciclos de
    Reloj.
86. El Sistema de archivos es jerárquico, con origen en un nodo raíz.
87. Contiene 4 aportaciones importantes que han aumentado la viabilidad de los sistemas
    UNIX como base para los sistemas distribuidos.
88. Conectores Berkely.
89.
90. Los Streams de AT&T.
91. El sistema de archivos de red NFS.
92. El sistema de archivos remoto RFS de AT&T.
93. Características Especificas.
94. - Es un sistrema operativo multiusuario, con capacidad de simular multiprocesamiento y
    procesamiento no interactivo.
95. - Está escrito en un lenguaje de alto nivel : C.
96. - Dispone de un lenguaje de control programable llamado SHELL.
97. - Ofrece facilidades para la creación de programas y sistemas y el ambiente adecuado para
    las tareas de diseños de software.
98. - Emplea manejo dinámico de memoria por intercambio o paginación.
99. - Tiene capacidad de interconexión de procesos.
100.         - Permite comunicación entre procesos.
101.         - Emplea un sistema jerárquico de archivos, con facilidades de protección de
    archivos, cuentas y procesos.
102.         - Tiene facilidad para redireccionamiento de Entradas/Salidas.
103.         Garantiza un alto grado de portabilidad.
104.         El sistema se basa en un Núcleo llamado Kernel, que reside permanentemente en
    la memoria, y que atiende a todas las llamadas del sistema, administra el acceso a los
    archivos y el inicio o la suspención de las tareas de los usuarios.
105.         La comunación con el sistema UNIX se da mediante un programa de control
    llamado SHELL. Este es un lenguaje de control, un intérprete, y un lenguaje de
    programación, cuyas características lo hacen sumamente flexible para las tareas de un
    centro de cómputo. Como lenguaje de programación abarca los siguientes aspectos:
106.         - Ofrece las estructuras de control normales: secuenciación, iteración condicional,
    selección y otras.
107.         - Paso de parámetros.
108.         - Sustitución textual de variables y Cadenas.
109.         - Comunicación bidireccional entre órdenes de shell.
110.         El shell permite modificar en forma dinámica las características con que se
    ejecutan los programas en UNIX:
111.         Las entradas y salidas pueden ser redireccionadas o redirigidas hacia archivos,
    procesos y dispositivos;
112.         Es posible interconectar procesos entre sí.
113.         Diferentes usuarios pueden "ver" versiones distintas del sistema operativo debido
    a la capacidad del shell para configurar diversos ambientes de ejecución. Por ejemplo, se
    puede hacer que un usuario entre directamente a su sección, ejecute un programa en
    particular y salga automáticamente del sistema al terminar de usarlo.
114.
115.         Evaluación.
116.         Ventajas de Linux.
117.         Multiusuario.
118.         Multitarea.
119.         Soporta acceso remoto.
120.         Soporte nativo de TCP/IP (Fácil conexión a Internet y otras redes)
121.         Contiene xFree86, que es una interfaz gráfica de usuario basada en los estándares
   de X-Window, y también es gratuita.
122.         Al instalar el sistema operativo, también se tiene la posibilidad de instalar varios
   programas, tales como: hojas de cálculo, bases de datos, procesadores de texto, varios
   lenguajes de programación, paquetes de telecomunicaciones y juegos.
123.         Cumple los estándares POSIX y de Sistemas Abiertos, esto es que tiene la
   capacidad de comunicarse con sistemas distintos a él.
124.         Existe mucha documentación sobre éste.
125.         Desventajas de Linux.
126.         Carencia de soporte técnico.
127.         No ofrece mucha seguridad.
128.         Problemas de hardware, no soporta todas las plataformas, y no es compatible con
   algunas marcas específicas.
129.         No existe un control de calidad al momento de elaborar software para Linux, pues
   muchas veces las aplicaciones se hacen y se liberan sin control alguno.
130.         Es poco probable que aplicaciones para DOS y OS/2, se ejecuten correctamente
   bajo Linux.
131.         No hay forma segura de instalarlo sin reparticionar el disco duro.
132.         El reparticionar el disco duro, implica borrar toda la información del mismo y
   después restablecerla.
133.         Se requiere experiencia y conocimiento del sistema para administrarlo, pues como
   es un sistema por línea de comandos, estos poseen muchas opciones y en ocasiones es
   difícil realizar algunas tareas, que en otros sistemas operativos de red son triviales.
134.         Sistema Operativo Windows NT.
135.         La Nueva Tecnología de Microsoft Windows NT.
136.       Windows NT es un sistema operativo que ayuda a organizar la forma de trabajar a
   diario con la PC. Las letras NT significan Nueva Tecnología. Fue diseñado para uso de
   compañías grandes, por lo tanto realiza muy bien algunas tareas tales como la protección
   por contraseñas
137.       Windows actúa como su ejecutivo personal, personal de archivo, mensajeros,
   guardias de seguridad, asistentes administrativos y mantenimiento de tiempo completo.
138.       Quiere dar la impresión de ser su escritorio, de manera que encuentre en pantalla
   todo lo que necesite, gracias a su interfaz gráfica con iconos de colores y dibujos.
139.       Lo que Windows NT no hace bien son los juegos y la multimedia, ya que no ha sido
   creado para tales usos.
140.       Arquitectura De Windows NT Con Advanced Server.
141.       Figura 1.10 Arquitectura de Windows NT.




142.
143.       Instalación, Configuración y Evaluación de Windows NT.
144.       Instalación y Configuración del Sistema Operativo en el Servidor.
145.       Procedimiento para la versión 4.0 (Windows NT Server), (11):
146.       1.- Arrancar con el disco 1/3 de Windows NT Server (Posteriormente se solicitarán
   los otros dos discos), o bien desde el directorio i386 del CD-ROM usando la opción WINNT
   /B.
147.       2.- Elegir el tipo de instalación Rápida (Express) o Personalizada (Custom). Para
   mayor flexibilidad elegir la opción Personalizada.
148.       3.- Seleccionar la fuente de los dispositivos de instalación. Para plataformas Intel ,
   uno puede seleccionar instalar desde discos, o bien desde el CD-ROM. Si el setup reconoce
   la unidad de CD-ROM, es recomendable usarla.
149.       4.- Verificar y si es necesario cambiar los componentes de hardware y software
   reconocidos por el setup.
150.       5.- Seleccionar la partición donde será instalado Windows NT. Uno puede elegir
   entre: FAT (Nativa de DOS), HPFS (Nativa de OS/2) o bien NTFS (Nativa de Windows NT), es
   conveniente seleccionar NTFS.
151.       6.- (Opcional) formatear la partición seleccionada.
152.       7.- Seleccionar el directorio default en el cual serán instalados los archivos de
   Windows NT.
153.       8.-Introducir Nombre y Compañía.
154.       9.- Introducir número de identificación del producto.
155.       10.- Decidir el nivel de seguridad del servidor. Las opciones son: 1.-Controlador de
   Dominio Primario, 4.-Controlador de Dominio Secundario o 3.-Servidor Ordinario, se
   sugiere, la opción 1.
156.       11.- Introducir un nombre único para la computadora.
157.       12.- Seleccionar el lenguaje.
158.       13.- Si se eligió la instalación Personalizada, seleccionar las tareas
   adicionales/opcionales de instalación. Si se seleccionó la instalación Rápida, dichas tareas
   serán realizadas.
159.       14.- Seleccionar Autodetección al momento de elegir los adaptadores de red. En
   caso de un adaptador no muy conocido elegir la detección Manual
160.       15.- Verificar/Modificar los parámetros de la tarjeta de red, tales como IRQ,
   puertos de entrada/salida, dirección básica de memoria, línea DMA, etc.
161.       16.- Seleccionar los protocolos de red que usará la tarjeta de red (IPX/SPX, TCP/IP,
   NetBEUI, etc.).
162.       17.- Si seleccionó IPX/SPX o TCP/IP, se deben configurar algunos parámetros.
163.       18.- Introducir el password de administrador.
164.       19.- Seleccionar los parámetros para la memoria virtual.
165.       20.- Introducir fecha, hora y zona horaria.
166.       21.- Elegir adaptador de vídeo para finalizar instalación.
167.       Instalación y Configuración del Sistema Operativo en una Estación de Trabajo.
168.       Procedimiento para la versión 4.0 (Windows NT Workstation):
169.       1.- La instalación consta de dos fases para iniciar la primera se debe introducir el
   disco 1/3 de instalación y el CD-ROM de Windows NT Workstation, e iniciar el sistema.
170.        2.- Introducir el disco 2/3 de instalación y presionar Enter. Entonces se despliega
   un menú con cuatro opciones:
171.        Saber más de Windows NT, presionar F1.
172.        Instalar Windows NT, presionar Enter.
173.        Reparar instalación, presionar R.
174.        Salir, presionar F3.
175.        Se presiona Enter para instalar el Sistema Operativo. Entonces se presenta un
   siguiente menú con dos opciones:
176.        Detectar adaptadores SCSI, presionar Enter.
177.        Ignorar detección, presionar I.
178.        Se presiona Enter.
179.        3.- Introducir el disco 3/3 de instalación y presionar Enter. Entonces se detectan
   automáticamente los dispositivos del sistema. Después se muestra un menú con dos
   opciones:
180.        Configurar otros adaptadores, presionar S.
181.        No configurar, presionar Enter.
182.        Como los adaptadores existentes ya han sido localizados se presiona Enter, en
   seguida se obtiene una lista de los controladores necesarios, que se instalarán
   posteriormente, junto con los demás archivos del sistema. Si alg ún controlador no existe,
   se usa la opción "Utilizar Disco", se elige la unidad A: o la unidad de CD-ROM, se selecciona
   el archivo deseado y automáticamente se instalan los controladores correspondientes.
183.        4.- A continuación se presenta el contrato de licencia de Windows NT, se presiona
   la tecla AvPag (Avanzar Página), hasta el final del documento, y luego se presiona F8 para
   aceptar. Entonces se muestra la configuración de Hardware y Software y se presiona Enter
   para proseguir. A continuación se debe seleccionar la partición NTFS con Enter, para así
   formataear dicha partición y preparar el disco para la instalación. Después se selecciona el
   directorio WINNT, para ahí instalar el sistema operativo, y se presiona Enter para
   continuar.
184.        5.- Si se encuentra una instalación anterior se debe presionar Enter para continuar
   de lo contrario continuar en el paso 6.
185.        6.- Se presenta el siguiente menú:
186.        Reconocimiento del disco duro, presionar Enter.
187.        Omitir reconocimiento, presionar Esc.
188.        Se presiona Enter, para saber el estado del disco duro.
189.        7.- Entonces se copian automáticamente al disco duro los archivos necesarios para
   la instalación, y se va mostrando el porcentaje de avance. Al finalizar la copia de archivos
   se inicializa Windows NT.
190.        8.- Para finalizar la primera fase de la instalación se retira el disco y el CD-ROM de
   las unidades y se presiona Enter, así se reinicia el sistema.
191.        9.- Al iniciar la segunda fase de la instalación se carga el sistema Windows NT, y se
   termina de configurar el sistema. Después siguen tres pasos muy importantes:
192.        Obtener información.
193.       Instalar la red de Windows NT.
194.       Finalizar la instalación.
195.       Se debe presionar <Siguiente>, para que los pasos se desarrollen en la secuencia
   mostrada.
196.       10.- A continuación se debe elegir instalación típica y presionar <Siguiente>,
   entonces debemos:
197.       Escribir el Nombre y la Organización para personalizar la instalación y se presiona
   <Siguiente>.
198.       Dar la clave del CD-ROM y <Siguiente>.
199.       Escribir el nombre que se le dará a la máquina y <Siguiente>.
200.       Escribir la contraseña de Administrador y <Siguiente>.
201.       Elegir la opción de crear disco de arranque y <Siguiente>, y seguir instrucciones.
202.       Elegir la opción de instalar los componentes de uso más frecuente y <Siguiente>.
203.       11.- A continuación se procede a instalar la red de Windows NT, presionando
   <Siguiente>. Ahí se debe elegir la opción de conectar a red y presionar <Siguiente>.
   Entonces debemos:
204.       Seleccionar el adaptador de red adecuado de la lista mostrada, y <Siguiente>.
205.       Elegir todos los protocolos de red, y presionar <Siguiente>.
206.       Presionar <Siguiente>. Para instalar todos los componentes previamente
   seleccionados.
207.       Elegir conexión Autosense (para el tipo de cable).
208.       No elegir servidor DHCP.
209.       Dar número de red para el protocolo TCP/IP.
210.       Presionar <Siguiente>. para iniciar la red.
211.       Elegir la opción grupo de trabajo y poner nombre, presionar <Siguiente>.
212.       12.- Para finalizar la instalación presionar <Siguiente>, entonces se debe:
213.       13.- Elegir la zona horaria de acuerdo al país.
214.       14.- Elegir la configuración deseada para el monitor.
215.       15.- Posteriormente se copian automáticamente los archivos finales de Windows
   NT.
216.       16.- Se crean los íconos de los programas, se establece la seguridad del sistema, y
   se guarda la configuración establecida.
217.       17.- Se reinicia el equipo para finalizar por completo la instalación.
218.       Evaluacion.
219.       Ventajas de Windows NT.
220.       La instalación es muy sencilla y no requiere de mucha experiencia.
221.       Multitarea.
222.       Multiusuario.
223.       Apoya el uso de múltiples procesadores.
224.       Soporta diferentes arquitecturas.
225.       Permite el uso de servidores no dedicados.
226.       Soporta acceso remoto.
227.       Ofrece mucha seguridad en sesiones remotas.
228.       Brinda apoyo a la MAC.
229.       Apoyo para archivos de DOS y MAC en el servidor.
230.       El sistema está protegido del acceso ilegal a las aplicaciones en las diferentes
   configuraciones.
231.       Ofrece la detección de intrusos.
232.       Permite cambiar periódicamente las contraseñas.
233.       Soporta múltiples protocolos.
234.       Carga automáticamente manejadores en las estaciones de trabajo.
235.       Trabaja con impresoras de estaciones remotas.
236.       Soporta múltiples impresoras y asigna prioridades a las colas de impresión.
237.       Muestra estadísticas de Errores del sistema, Caché, Información Del disco duro,
   Información de Manejadores, No. de archivos abiertos, Porcentaje de uso del CPU,
   Información general del servidor y de las estaciones de trabajo, etc.
238.       Brinda la posibilidad de asignar diferentes permisos a los diferentes tipos de
   usuarios.
239.       Permite realizar diferentes tipos de auditorías, tales como del acceso a archivos,
   conexión y desconexión, encendido y apagado del sistema, errores del sistema,
   información de archivos y directorios, etc.
240.       No permite criptografía de llave pública ni privada.
241.       No permite realizar algunas tareas en sesiones remotas, como instalación y
   actualización.
242.       Desventajas de Windows NT.
243.       Tiene ciertas limitaciones por RAM, como; No. Máximo de archivos abiertos y
   almacenamiento de disco total.
244.       Requiere como mínimo 16 Mb en RAM, y procesador Pentium a 133 MHz o
   superior.
245.       El usuario no puede limitar la cantidad de espacio en el disco duro.
246.       No soporta archivos de NFS.
247.       No ofrece el bloqueo de intrusos.
248.       No soporta la ejecución de algunas aplicaciones para DOS.
249.       Vision General.
250.       Seguridad.
251.       Windows NT ofrece gran seguridad por medio del acceso por cuentas y
   contraseñas. Es decir un usuario debe tener su cuenta asignada y una contraseña para
   poder tener acceso al sistema.
252.       Contiene protecciones para directorios, archivos, y periféricos, es decir que todo
   esto se encuentra con una contraseña para poder ser utilizados.
253.       CONCEPTO DE DERECHOS.- Permite a un grupo de usuarios efectuar determinadas
   operaciones.
254.       CUENTA ADMINISTRADOR.- Controla todos los permisos y con ellas se puede:
255.       Dar de alta
256.       Asignar cuentas
257.       Cancelar derechos
258.       Comunicación.
259.       Permite acceder y compartir discos en red.
260.       Permite compartir limitadamente ciertos equipos de sólo lectura.
261.       Permite compartir archivos, directorios y periféricos.
262.       Sistemas de Archivos.
263.       Tiene 3 diferentes tipos y uno nuevo desarrollado por NT. Los primeros 3 son para
   compatibilidad:
264.       FAT para DOS.
265.       HPFS para OS/2.
266.       CDFS se usa para acceder discos compactos.
267.       NTFS es el sistema de archivos propio de Windows NT, el cual está basado en un
   sistema de transacciones, es decir que tiene la capacidad de almacenar una gran cantidad
   de operaciones a disco para que en el caso de alguna f alla este elemento pueda ser usado
   para la reconstrucción del sistema de archivos del disco.
268.       Multitarea.
269.       Para la ejecución simultánea de múltiples tareas NT utiliza:
270.       Manager.
271.       Scheduler.
272.       Manejador de excepciones e interrupciones.
273.       Mecanismos de sincronización.
274.       El usuario puede dejar ejecutando alguna tarea en una ventana y seguir
   trabajando en otra.
275.       Memoria Virtual.
276.       NT tiene un manejador de memoria virtual que permite el uso de un espacio de
   direccionamiento de 2 GB. Este espacio de direccionamiento esta protegido de otros
   procesos del sistema. Traduce direcciones virtuales a direcciones físicas. Y también se
   encarga del problema de traer y llevar páginas de disco a memoria y de memoria a disco.
277.       Redes.
278.       Soporta servicios básicos de redes de trabajo:
279.       Manejadores de impresión.
280.       Manejo de mensajes.
281.       Seguridad directa.
282.       Tienen soporte para sistemas distribuidos y concurrencia real.
283.       Advanced Server.
284.       Permite designar a uno de los equipos de la red para que en el se almacenen los
   archivos de autorización y que sea éste, el que consulte y actualice cuando se entre a
   cualquiera de los equipos de la red.
285.       ARCHIVO DE AUTORIZACION.- Contiene los nombres de las cuentas y las
   contraseñas. A este equipo se le llama Domain Server, además se usa como servidor de
   discos para los demás equipos.
286.        FILE MANAGER .- Es la ventana por medio de la cual comparte archivos y
   directorios. Contiene:
287.        Arbol de discos.
288.        Arbol de directorios .
289.        Arbol de archivos.
290.        Se seleccionan los archivos o directorios por menús para hacerlos compartidos.
291.        La Conexión con Internet.
292.        Windows NT también hace uso del FTP que es nativo del WEB. Este le permite
   introducir los nuevos rasgos punto a punto que están relacionados con Internet, al igual
   que con el protocolo PTPP y el TCP / IP esto puede ayu dar a consolidar la posición de NT
   como la plataforma del servidor de Internet.
293.        Microsoft adopta finalmente el estilo de UNIX referente a los dominios y lo
   implanta como una norma. Es sencillo hacer uso de éste, únicamente basta con nombrar
   el servicio DNS.
294.        Puede teclear ahora en DNS el nombre del dominio y se conseguirá que el IP se
   direccione automáticamente, además se reconocerán los nombres válidos, aunque el
   funcionamiento del DNS es un poco arrogant e, el organizador lo tiene disponible.
295.        La autorización para el uso de Windows NT.
296.        Las versiones nuevas que conservan las características del Servidor 3.51 muestran
   dos tipos de autorización:
297.        Por usuario
298.        De conexión concurrente
299.        Esto es que cada usuario requiere de autorización para tener acceso al sistema que
   conectará, pero la licencia del sistema deja libre la conexión a cualquier número de
   sistemas.
300.        Las últimas licencias que se han otorgado de un servidor es por un número
   específico de usuarios.
301.        Un rasgo aplicable tanto a las versiones de Workstation y Server es la facilidad de
   conectar una red de computadoras servidores y administradores.
302.        Por primera vez, Microsoft proporciona un conjunto de herramientas que
   permiten que un sistema NT se encuentre completamente preconfigurado sin la
   intervención de un ser humano, sino, que es por medio de vídeo y escenas pr egrabadas
   de diferentes aplicaciones de la red.
303.        Perfeccionamientos de la Ejecución.
304.        En una Workstation al igual que en la versión Server 4.0, se realizaron pruebas de
   ejecución para poner a punto totalmente. De nuevo, se puede confirmar mejoras en
   ejecución del vídeo, aunque éste sea de valor cuestionable en un servidor. Más allá de ese,
   Microsoft exige dichas mejoras de la interfaz de transporte de la red que ha llevado a la
   ejecución en Ethernet significativamente más rápida.
305.        Fallas.
306.        Aparte de los problemas con los manejadores de hilos y otras aplicaciones,
   encontramos que es particularmente frustrante la falta de una documentación adecuada
   que pueda prevenir totalmente una falla.
307.        Podríamos hacer una conexión y utilizar el IP bajo un modo nivelado con utilidades
   "Ping" al igual que " FTP ", pero cualquier intento por ver archivos compartidos e
   impresores fallaron. Encontramos documentación pa ra muchos nuevos rasgos en
   particular, para la asignación "Built-In" que es para la asignación de ruta del
   multiprotocolo y la garantía de IP está completamente inadecuada.
308.        Los cambios que presenta la versión revisada de Windows NT son significativos en
   cuanto a las diferencias que presentan con las versiones anteriores. Las combinaciones de
   Windows NT nos proporcionan mejoras en cuanto a la ejecuci ón, proporcionan rasgos
   nuevos y los usuarios cuentan con la versión revisada de Windows NT 3.x.
309.        Windows NT 4.0 Workstation.
310.        Esta nueva versión incorpora la misma interfaz que ha hecho tan famoso a
   Windows 95. La instalación, el botón de Inicio y las barras desplegables, recuerdan mucho
   al sistema operativo que acercó tanto la info rmática al mercado doméstico. Con esto
   Microsoft ha conseguido que no existan grandes diferencias de uso y presentación entre
   sus sistemas operativos, lo cual es una de sus preocupaciones principales.
311.        Su aspecto es igual al de Windows 95 y actúa del mismo modo; pero desde el
   punto de vista técnico ofrece mayor seguridad, ejecuta aplicaciones de 16 bits sin
   problema alguno, además la gestión y manipulaci&oa cute;n de archivos es más rápida,
   eficiente y potente que la de Windows 95.
312.        La instalación de NT 4.0 es muy sencilla y se puede realizar a partir de una versión
   anterior de Windows o desde el mismo DOS.
313.        En primera instancia, se ofrece la posibilidad de elegir entre un sistema de
   asignación de archivos tipo FAT, o de tipo NTFS (Propia y exclusiva de NT). Esta última
   permite la recuperación del sistema de archivos, e l uso de medios de almacenamiento
   extremadamente grandes, nombres de archivos largos y otras características para el
   subsistema Posix, programación orientada a objetos. Después de la elección de la
   partición donde se va a realizar el volcado de archivos, Windows NT examina la máquina
   detectando todo el Hardware instalado.
314.        Una vez concluido el proceso de instalación, se presenta una interfaz gráfica
   prácticamente idéntica a la utilizada por Windows 95. Incluye algunas mejoras aparecidas
   en Microsoft Plus!, como son, temas de es critorio, protectores de pantalla, juegos, etc…
   Pero las diferencias empiezan a apreciarse cuando se pulsa sobre el clásico botón de
   Inicio.
315.        En la opción de los programas, aparece un apartado de herramientas
   administrativas desde el que se puede acceder a diferentes utilidades, las cuales permiten
   obtener un completo control del sistema. Existen los apartados para adm inistrar discos, el
   acceso remoto y los usuarios, desde los cuales se pueden configurar las opciones de red, si
   estas han sido previamente instaladas.
316.        Existen diferencias muy marcadas entre las utilidades que incluía la versión 3.51, y
   las que incorpora esta nueva 4.0. El terminal se ha hecho más potente y vistoso, y en esta
   nueva versión se incluye una ser ie de iconos definidos para poder conectarse
   directamente con CompuServe, Microsoft BBS, etc.
317.        Windows NT 5.0.
318.        El hecho es que cada vez hay más gente que quiere o necesita algo más que DOS,
   Windows 3.1 y Windows 95 y se plantea el salto a Windows NT con los menores traumas
   posibles. Esta situación poco a poco está siendo asimilada por Microsoft. El gigante del
   software intensifica cada vez más la promoción de Windows NT entre los pequeños
   empresarios y los usuarios finales; es decir, entre los usuarios para los que fue diseñado
   Windows 95. Los argumentos de Microsoft tienen peso. En un sistema Pentium con 32Mb
   de memoria, NT Workstation funciona cerca del 20% más rápido que Windows 95, tanto si
   es utilizado por un ingeniero, un programador o un estudiante. Hay muchas y bue nas
   razones para que gran parte de los actuales usuarios de Windows 95 se cambien a
   Windows NT. Si todavía no se ha producido el cambio es por algunos inconvenientes de
   este sistema operativo, los cuales Microsoft pretende resolver con la versi&oac ute;n 5.0
   de NT.
319.        La propuesta de cambiarse ahora desde Windows 95 a NT 4.0 Workstation y así
   preparar el terreno al futuro NT 5.0 Workstation tiene varias ventajas. La primera ventaja
   de NT Workstation frente a Windows 9x es que es un sistema ope rativo más estable y
   predecible. Esta es la cualidad más importante para quienes la computadora es su
   principal herramienta de trabajo. Un error, cualquier caída inesperada, significan pérdidas
   de tiempo y dinero. Pero la estab ilidad es también uno de los requisitos cada vez más
   valorados por muchos usuarios ocasionales que utilizan Windows para entretenerse o
   hacer trabajos menores semiprofesionales. Cada vez hay más gente de todos los niveles
   que est&aacu te; harta de los colapsos y amnesias de Windows 95. A pesar de sus
   deficiencias, NT ofrece más estabilidad a cualquier nivel de uso. Aunque se opere con
   aplicaciones de extraño comportamiento, es decir son mucho muy inestables, sin embargo
   e s difícil que la computadora se quede colgada o que se planteen problemas críticos e
   irreparables de colisión con otras aplicaciones. En caso de existir conflictos, NT 4.0 permite
   casi siempre guardar los datos, cerrar las aplicacione s que choquen con la actividad
   principal y seguir trabajando. Otra ventaja que hace aconsejable el cambio a NT es que el
   hardware exigido por este sistema operativo es cada vez más asequible a los más
   modestos presupuestos, incluidos los de usuarios finales que compran una PC para
   trabajar en casa. Hoy, la mayoría de las máquinas que se venden en el mercado tienen 32
   Mb de memoria, un disco duro con más de 1Gb de capacidad y un procesador Pentium de,
   por lo menos 166MHz. Esta capacidad normal de las actuales PCs es suficiente para
   obtener un rendimiento aceptable con NT 4.0 Workstation, y no exigirá mayores
   desembolsos cuando llegue NT 5.0. En una máquina como la que se ha descrito, está más
   q ue demostrado que las aplicaciones normales rinden al menos un 25% más con NT
   Workstation 4.0 que con Windows 95 o 98. En NT no corren bien algunas aplicaciones que
   parecen exclusivas de Windows 9x, pero en la mayoría de los casos, siempre q ue se
trabaje en un sistema con esos 32 Mb de RAM, funcionan sin errores las aplicaciones
   descritas para la plataforma Win32 y Windows 9x. Por tanto, todas las aplicaciones de 16
   bits escritas para Windows 3.1 o camufladas para Windows 95 funcionan tambi& eacute;n
   igual o mejor con Windows Workstation NT 4.0, y mantendrán o aumentarán su
   rendimiento cuando funcionen en NT 5.0. Los únicos programas que no trabajan con NT
   son los que acceden a bajo nivel y directamente contra el hardware , como ciertos juegos
   diseñados originariamente para DOS, como Duke Nukem 3D o Quake. Pero ni siquiera en
   estos caso hay que renunciar a operar en modo óptimo con nuestros programas favoritos,
   ya que el NT 4.0 y 5.0 admiten configuraciones d e arranque dual. Otro tipo de software
   vedado para NT son los antivirus que no estén diseñados específicamente para esta
   plataforma. La última ventaja evidente de migrar ahora a NT 4.0 y luego a NT 5.
   Workstation desde Windows 95 es que su entorno de usuario es similar, se puede
   empezar a trabajar sin realizar un cursillo, sin siquiera repasar los manuales.
320.        Las tres desventajas principales de Windows NT 4.0 respecto a Windows 9x son
   sus mayores exigencias de hardware, su defectuosa configuración automática y su interfaz
   un poco menos amistosa. Parte de estas carencias se han resuelto con el abaratamiento
   drástico del hardware necesario, con los dos servicios de revisión que ha experimentado
   NT desde mediados de 1996 y la actualización de su interfaz gráfica al modo de página
   web, comú n a Windows 95 con Internet Explorer 4.0, a Windows 98 y a NT 5.0
   Workstation. En cualquier caso, NT 5.0 no exige una máquina tan cara como antes, y
   hereda la interfaz de usuario y el sistema de configuración automática de Windows 9x.
321.        Pues bien el objetivo principal de NT 5.0 es convertirse en un sistema universal
   para redes de cualquier envergadura, (18) y (19).
322.        Principales Características.
323.        Es nueva tecnología para el mundo de las PC y es diferente por su ambiente
   gráfico, pero realmente no es nueva tecnología.
324.        Está basado en variaciones del kernel de Mac de UNIX.
325.        La arquitectura del microkernel soporta aplicaciones no diseñadas para Windows
   NT.
326.        Operaciones básicas de sistemas y otras capas sobre ella.
327.        Soporta 5 subsistemas:
328.
329.        Windows 32 bits.
330.        Windows 16 bits.
331.        DOS.
332.        POSIX.
333.        OS/2.
334.        Funciona como Cliente – Servidor en un ambiente de red.
335.        Permite desarrollar servicios de redireccionamiento para LAN Manager de Mips,
   RISC y Digital Alpha.
336.        Soporta sistemas de multiproceso.
337.        Cada aplicación se encuentra ejecutando en un hilo tratado como una caja
   multiprocesadora.
338.        Al igual que OS/2 ejecuta aplicaciones con errores de codificación, principalmente
   al ejecutarse en procesadores 386 y 486.
339.        Cada aplicación es limitada a un espacio de memoria (Esquema de
   direccionamiento de 32 bits real).
340.        Ejecuta aplicaciones de 16 y 32 bits y de otros Sistemas Operativos y para RISC de
   64 bits.
341.        Existe una versión para Laptop.
342.        Soporta la tecnología Plug-in para sistemas API y sistemas de archivos instalables.
343.        También cuenta con servicios básicos de redes y APIs para archivos, manejadores
   de impresión, manejo de mensajes y seguridad directa.
344.        Aplicaciones para redes digitales que pueden ejecutarse en diferentes
   plataformas.
345.        Implanta facilidades para el uso de OSF, DCE y RPCs.
346.        Para facilitar los puertos de aplicación aísla el kernel del Hardware (Tipo de
   interfaz para el Sistema Operativo), con lo que se logra la portabilidad o compatibilidad a
   nivel de código.
347.        Provee datos, aplicaciones y protección del sistema contra accesos inadvertidos.
348.        Permite a los usuarios un acceso seguro a más información sin comprometer la
   seguridad del sistema.
349.        Conserva las principales características del servidor 3.51 incluso el protocolo
   nativo NetBEUI, IPX y TCP/IP.
350.        Soporta hasta 256 usuarios, administración de multidominio y replicación de
   directorio.
351.        Nuevas o mejoradas herramientas de administración y perfeccionamiento en la
   ejecución.
352.        El servidor NT relacionado con Internet, envía la información con el servidor de
   Internet IIS versión 2.0.
353.        También hace uso del FTP.
354.        Relaciona nuevos rasgos punto a punto con el protocolo PPTP y TCP/IP.
355.        Ayuda a consolidar la posición de NT como la plataforma del servidor en
   escenarios de Internet.
356.        Adopta el estilo de Unix de servicio de dominio DNS como norma.
357.        Incluye herramientas basadas en el Web referentes a la administración.
358.        Permite los siguientes modos de autorización.
359.
360.        Por usuario.
361.        Autorización de la conexión concurrente.
362.        Características de Windows NT Server.
363.        Soporta Sistemas Intel y los basados en RISC.
364.        Incorpora un NOS de 32 bits.
365.       Ofrece una solución de red punto a punto.
366.       Requiere un mínimo de 16Mb en RAM, por lo que es más caro de instalar que la
   mayor parte de los NOS.
367.       Soporta multitarea simétrica.
368.       Puede usar hasta 4 procesadores concurrentes.
369.       Además de ser multitarea, el Windows NT Server también es de lectura múltiple o
   multilectura.
370.       Soporta administración centralizada y control de cuenta de usuarios individuales.
371.       Las multitareas, priorizadas permiten que se ejecute simultáneamente varias
   aplicaciones.
372.       Las operaciones de red adquieren prioridad sobre otros procesos menos críticos.
373.       Incluye extensos servicios para Mac.
374.       Una computadora Mac puede acceder a Windows NT Server, como si accesara al
   servidor Appleshare.
375.       Los archivos se traducen automáticamente de un formato a otro.
376.       Los usuarios de PC y Mac tienen acceso a las mismas impresoras.
377.       Incluso una Mac puede imprimir trabajos Postscript en una impresora PC que no
   sea Postscript.
378.       Windows NT Server soporta integración con otras redes (Con Software adicional),
   que incluyen: NetWare, VINES, Lan Manager OS/2, UNIX, VMS y redes SNA.
379.       Es tolerante a fallas. Posee el reflejado a sistema espejo y separación de discos.
380.       Proporciona utilerías para administración y control fácil de usar.
381.       Proporciona acceso remoto por marcación telefónica.
382.       Algo importante para los administradores en cuanto a la interfaz del usuario es
   que no cambia significativamente la manera en que trabaja. NT Server todavía tiene las
   mismas herramientas de administración bási cas.
383.       SNA Server.
384.       El SNA Server (Servidor SNA) para NT ofrece conectividad con macrocomputadoras
   IBM a través de Comunicaciones avanzadas, de programa a programa 3270 (APPC) y
   NetView. También ofrece conectividad con la AS/400 de IBM, SNA Server emplea una
   arquitectura cliente/servidor para distribuir el procesamiento de comunicaciones y cada
   PC emplea protocolos LAN estándar para conectarse al servidor SNA.
385.       El Servidor de administración de Sistemas.
386.       El System Management Server (Servidor de administración de sistemas) le permite
   centralizar la administración de hardware y software de su LAN. Puede manejar las PC´s
   como activos y distribuir nuevos prog ramas y partes entre ellos desde este servidor. El
   servidor de administración también le permite realizar análisis de protocolos de red y
   hacer diagnósticos de PC individuales. Esto nos permite afirmar que el servidor de admini
   stración es una herramienta muy valiosa para el NT Server en una red empresarial.
387.       Protocolos que Soporta.
388.       NetBEUI.
389.       TCP/IP.
390.        IPX/SPX.
391.        Banyan
392.        DECnet.
393.        Apple Talk.
394.        Requerimientos.
395.        Para una estación de trabajo:
396.        PC 80386 – DX – 25 MHz mínimo.
397.        16 Mb RAM.
398.        90 Mb de espacio en disco.
399.        Unidad de CD-ROM.
400.        Además de lo anterior, para un Servidor debemos considerar:
401.        32 Mb de RAM.
402.        120 Mb de espacio en disco.
403.        Sistema Operativo NetWare de Novell.
404.        Introducción al uso de la Red NetWare.
405.        El sistema de redes más popular en el mundo de las PCs es NetWare de Novell.
   Este sistema se diseñó con la finalidad de que lo usarán grandes compañías que deseaban
   sustituir s us enormes máquinas conocidas como mainframe por una red de PCs que
   resultara más económica y fácil de manejar.
406.        NetWare es una pila de protocolos patentada que se ilustra en la Figura 1.2 y que
   se basa en el antiguo Xerox Network System, XNS Ô pero con varias modificaciones.
   NetWare de Novell es previo a OSI y no se basa en él, si acaso se parece más a TCP/IP que
   a OSI.
407.        Las capas física y de enlace de datos se pueden escoger de entre varios estándares
   de la industria, lo que incluye Ethernet, el token ring de IBM y ARCnet. La capa de red
   utiliza un protocolo de interred poco confiable, si n conexión llamado IPX. Este protocolo
   transfiere paquetes de origen al destino en forma transparente, aun si la fuente y el
   destino se encuentran en redes diferentes. En lo funcional IPX es similar a IP, excepto que
   usa direcciones de 10 bytes en lugar de direcciones de 4 bytes, (9) y (10).
408.        Por encima de IPX está un protocolo de transporte orientado a la conexión que se
   llama NCP (Network Core Protocol, Protocolo Central de Red). El NCP proporciona otros
   servicios además del de transporte de datos de u suario y en realidad es el corazón de
   NetWare. También está disponible un segundo protocolo, SPX, el cual solo proporciona
   transporte. Otra opción es TCP. Las aplicaciones pueden seleccionar cualquiera de ellos.
   Por ejemplo, el sistema de archivos usa NCP y Lotus NotesÒ usa SPX. Las capas de sesión y
   de presentación no existen. En la capa de aplicación están presentes varios protocolos de
   aplicación.
409.        La clave de toda la arquitectura es el paquete de datagrama de interred sobre el
   cual se construye todo lo demás. En la Figura 1.3 se muestra el formato de un paquete IPX.
   El campo Suma de verificación pocas veces s e usa puesto que la capa de enlace
   subyacente también proporciona una suma de verificación. El campo Longitud del paquete
   indica qué tan grande es el paquete, es decir suma el encabezado más datos y el resultado
se guarda en 2 bytes. El campo Control de transporte cuenta cuántas redes ha atravesado
   el paquete; cuando se excede un máximo, el paquete se descarta. El campo Tipo de
   paquete sirve para marcar varios paquetes de control. Cada una de las dos direcciones c
   ontiene un número de red de 32 bits, un número de máquina de 48 bits (La dirección 802
   LAN) y la dirección local (Socket) de 16 bits en esa máquina. Por último se tienen los datos
   que ocupan el resto del pa quete, cuyo tamaño máximo está determinado por la capa
   subyacente.
410.       Figura 1.3 Datagrama de Interred.




411.
412.        NetWare, Versión 2.2.
413.        La adaptabilidad de las características de NetWare 2.2 a las necesidades al
   mercado de hoy se queda corto cuando comienza a listar los asuntos de conectividad a
   que se enfrentan las compañías de hoy, administrac ión y apoyo para múltiples protocolos,
   conexiones de área amplia, flexibilidad y facilidad de uso al administrador del NOS bajo
   escenarios de conectividad que cambian constantemente.
414.        El NetWare 2.2 no pudo mantener el ritmo de los demás en las pruebas de
   ejecución que representaban tareas de redes mayores. Esto se puede comprender si se
   tiene en cuenta que NetWare 2.2 de 16 bits todavía se puede ejecutar en una máquina de
   clase AT. Comprensible, sí, pero no aceptable como una solución para toda una compañía.
415.        NetWare 386 inicialmente sólo estaba disponible como una versión de 250
   usuarios, e incluso para cuando NetWare 2.2 salió al mercado, la versión básica de
   NetWare 3.x era una licencia de 20 usuarios de US$3.495. Hoy en día las cosas son
   completamente distintas. Una versión de 5 usuarios de NetWare 3.11 tiene un precio de
   lista de US$1.095 comparado con NetWare 2.2 que cuesta US$895. Incluso el nivel de 100
   usuarios solamente muestra una diferencia de mil dólares entre los US$5.995 de NetWare
   2.2 y los US$6.995 de NetWare 3.11.
416.        Aunque la instalación y la configuración de NetWare 2.2 son mejores que las de
   sus predecesores, estás ya son demasiado lentas comparándolas con las de las versiones
   3.11 y 4.0.
417.       La documentación de NetWare 2.2 está extremadamente bien escrita, organizada
   y repleta de fotos útiles de pantalla. Durante la instalación hay ayuda en línea disponible
   para cada pantalla, como es el c aso del resto de los servicios de NetWare.
418.       NetWare 2.2 es la novena generación de la línea NetWare 286, una madurez
   evidente en los servicios de administración para usuarios y archivos. Configurar los
   usuarios, establecer los derechos de cuentas y administra r la estructura de directorios son
   tareas que se realizan con una serie de servicios de menús bien diseñados o de línea de
   comandos. Sin embargo, hasta que salió NetWare 4.0, Novell no ofreció un servicio de
   directorios globales como parte inherente de NetWare. NetWare 2.2 recibe ayuda de
   Banyan, en la forma de su Enterprise Network Services for NetWare (ENS), que
   esencialmente ofrece parte del servicio de nombres globales StreetTalk de Banyan a las
   redes de NetWare. Net Ware 2.2 también carece de una opción de consola remota que ya
   tienen las versiones 3.11 y 4.0.
419.       En su arquitectura, NetWare 2.2 es familiar, pero antiguo como lo muestra la
   Figura 1.4. No tiene la capacidad de procesar múltiples hilos de NetWare 3.11 y 4.0,
   aunque puede ejecutar aplicaciones basadas en el servidor de llamadas a procesos de
   valor añadido (VAPs). Pero los VAPs se consideran como difíciles de escribir y hay pocos
   disponibles. Por otro lado, NetWare 3.11 tiene disponibilidad de miles de aplicaciones
   basadas en el servidor de llamadas a M&oa cute;dulos Cargables de NetWare (NLMs). Que
   varían desde las aplicaciones de administración de la red a servidores de SQL.
420.       Figura 1.4 Arquitectura de NetWare 2.2.
421.
422.       Requerimientos:
423.       PC basada en una 286 o superior.
424.       500K de RAM (2.5 Mb recomendados.)
425.       NetWare, Versión 3.11.
426.       NetWare 3.11 sigue siendo un líder fuerte y flexible en la arena de los NOS para las
   compañías pequeñas o grandes. Su única desventaja para los que necesitan una solución a
   nivel de empresa es que carece de un servicio global de directorios. Pero esto se puede
   corregir en parte con el NetWare Naming Service (NNS) o el ENS de Banyan, que ofrece
   parte de los servicios distribuidos StreetTalk a los LANs de NetWare.
427.       Ofrece la habilidad de compartir archivos e impresoras, velocidad, seguridad,
   apoyo para la mayoría de los sistemas operativos, y una gran cantidad de Hardware,
   NetWare 3.11 es un producto realmente potente. Aunque tiene algunas dificultades con la
administración de memoria, todavía vale la pena, pues tiene algunas otras características
   que lo hacen importante.
428.       La principal atracción de un NOS de 32 bits como el que introdujo Novell, fue su
   diseño modular, como lo muestra la Figura 1.5. Los NLMs se pueden actualizar sin tener
   que reconstruir el NOS completo, y se pueden ca rgar sobre la marcha. Además,
   solamente los módulos necesarios se cargan en el NOS, reservando la memoria para otras
   funciones como el caching de discos. Una desventaja de este diseño es el uso de memoria.
   Los NLMs se cargan en el ani llo 0 y pueden trabar el servidor si el NLM no está escrito
   correctamente o si entran en conflicto con el NLM de otro fabricante. Por otra parte
   algunos de los módulos no desocupan la memoria cuando se descargan (Estos problemas
   de administr ación de memoria ya han sido resueltos en NetWare 4.x).
429.       Figura 1.5 Arquitectura de NetWare 3.11.




430.
431.        NetWare 3.11 está diseñado en su mayoría para redes desde pequeñas a
   moderadamente grandes que consisten en servidores individuales, principalmente porque
   sus servicios de directorios no integran a la red en su totalidad. Cada uno de los servidores
   mantiene una base de datos centralizada de verificación individual llamada el Bindery. El
   Bindery del servidor mantiene la información como los nombres de conexión, las
   contraseñas, los derechos de acceso y la información de impresión. Si los usuarios
   necesitan conectarse a más de un servidor para compartir recursos, deben hacerlo
   manualmente con cada servidor.
432.        Requerimientos:
433.        PC basada en una 386 o superior.
434.        4Mb de RAM.
435.        50Mb de espacio en Disco Duro.
436.        NetWare, Versión 4.0.
437.        NetWare 4.0 ofrece la conexión simplificada de múltiples servidores, la capacidad
   de compartir recursos en la red y la administración centralizada en un producto coherente
   lleno de características.
438.        La arquitectura de NetWare 4.0, es similar a la de la versión 3.11, como se mostró
   en la Figura 1.5, pero se han corregido y aumentado sus capacidades.
439.        NetWare 4.0 no es para todo el mundo. Determinar si en realidad se necesita un
   NOS tan potente depende del tamaño, la configuración y la complejidad de la LAN que se
   quiera formar y, con precios de US$1.395 (5 usuarios) a US$47.995 (1000 usuarios), del
   presupuesto. NetWare 4.0 aumenta las capacidades de NetWare 3.11, añadiendo muchas
   características nuevas. Algunas de las más atractivas son el NetWare Directory Services
   (NDS), la compresión de a rchivos, la subasignación de bloques, la distribución de archivos
   y la administración basada en Microsoft Windows.
440.        NDS está en el núcleo de NetWare 4.0. Basado en el estándar X.500, NDS es una
   base de datos diseñada jerárquicamente que reemplaza el Bindery en versiones anteriores
   de NetWare. Toda la informaci&oacut e;n de la red se guarda en el NDS. NDS considera
   todas las entidades de la red como objetos, cada uno de los cuales es un puntero a un
   usuario, un grupo de usuarios, servidores de impresoras, o un volumen en el servidor. Con
   este cambio Novell no abandona a los usuarios del Bindery, NDS puede emular a un
   Bindery, facilitando la actualización a las compañías que tengan un entorno mixto de
   servidores 2.x, 3.x y 4.x.
441.        Lo bueno del NDS es la tolerancia a fallos que proporciona. Si el servidor que
   contiene la información se daña, NDS busca en su base de datos en los otros servidores
   para recopilar la información para una conexi&oac ute;n y permitirle conectarse a la red.
   Esto es posible porque la base de datos de NDS está duplicada en todos los servidores en
   la red en particiones, que mantienen toda la información de la red. En contraste,
   StreetTalk de Banyan mantiene la información de un usuario en un solo servidor: Si ese
   servidor sufre algún tipo de avería, el usuario no se podrá conectar a la red.
442.        La subasignación de bloques, la compresión de archivos y la migración de archivos
   son algunas de las características atractivas en la versión 4.0. La subasignación de bloques
interviene cuando, por ejemplo, un archivo, de 2Kb se guarda en un servidor que tiene
   bloques de 4Kb. Normalmente, los 2Kb adicionales de espacio en el disco que no se usaron
   serían desperdiciados, pero con la subasignación de bloques activada, ese espacio pue de
   ser utilizado por otros archivos para rellenar el resto del bloque. Usando una razón de 2:1,
   la compresión de archivos también puede hacer una gran diferencia en el espacio del disco
   duro.
443.        La distribución de archivos es una característica que ha sido ofrecida en algunos
   paquetes de resguardo en cinta. Novell ha incorporado, el High Capacity Storage Systems
   (Sistema de Almacenamiento de Alta Capacidad o HCSS) , en NetWare 4.0 HCSS permite
   fijar indicadores en archivos que muestran la frecuencia con que se utilizan y además
   permite moverlos a otros medios que incluso no tienen que estar en el disco del servidor.
   Un marcador fantasma permanece en los vol& uacute;menes para que si un usuario trata
   de abrir el archivo, el sistema lo recupera de su lugar de almacenamiento alterno y la
   copia se hace transparentemente.
444.        Con NetWare 4.0, Novell también añade un programa de administración basado
   en Microsoft Windows uniendo características de configuración nuevas y viejas en
   programas familiares tales como SYSCON, PCONS OLE y PRINTDEF. Los atributos del GUI
   facilitan el añadir, mover, borrar y modificar objetos de la red.
445.        El proceso de instalación del servidor bajo esta nueva versión es un procedimiento
   totalmente basado en menús. Un CD-ROM que contiene todos los archivos de instalación
   significa que no se tendrá que ca mbiar discos flexibles. Después de instalar el primer
   servidor, se puede copiar el contenido del CD-ROM al volumen del servidor para poder
   instalar otros servidores en la red con mayor velocidad.
446.        Novell ha cambiado totalmente el entorno, reemplazando 2 archivos IPX y NET,
   con módulos. Los Módulos Cargables Virtuales (VLMs), que ofrecen una solución más
   flexible a la estación de trabajo, son car gados en memoria por el VLM Manager. El VLM
   Manager aprovecha automáticamente la memoria alta disponible, conservando la
   memoria convencional. Los VLMs ocupan menos memoria convencional que sus
   predecesores, y con la habilidad de ráfagas de paquetes incorporada, ocupan menos
   memoria que incluso BNETX (El entorno de modo de ráfaga usado en una estación).
447.        Como son módulos, los VLMs se pueden añadir o eliminar con rapidez. Además de
   los nuevos entornos, un mejor apoyo para Microsoft Windows añade una interfaz gráfica
   para aliviar el problema de conectars e, desconectarse, analizar un disco y conectarse a
   una cola de impresión.
448.        Hay tres rutas de transferencia para actualizar desde NetWare 3.11:
449.        A través de una conexión a un servidor 4.0 es el procedimiento más seguro, pero
   puede ser el más caro. Hay que instalar un servidor separado con NetWare 4.0 y colocarlo
   en la red. Si se tiene un servidor adicional disponibl e, se puede instalar de un servidor a
   otro, actualizando cada uno en cada paso.
450.
451.        A través de una conexión en el mismo servidor requiere un riesgo a la integridad
   de los datos. Es necesario tener un cliente con un disco duro o un sistema de resguardo en
cinta lo suficientemente grande para contener toda la informaci&o acute;n del servidor
   temporalmente mientras se configura el servidor para NetWare 4.0.
452.        Una actualización en el lugar también requiere cierto riesgo, en su mayoría debido
   a los posibles fallos durante la actualización. Simplemente se debe asegurar de tener un
   resguardo completo de la red antes de comenzar el p roceso. Este procedimiento no está
   disponible en los servidores 3.0; primero se tiene que actualizar a NetWare 3.1 o superior.
453.        Requerimientos:
454.        PC basada en una 386 o superior.
455.        6Mb de RAM
456.        12Mb-60Mb de espacio en Disco Duro.
457.        Servidor de Archivos de NetWare.
458.        NetWare está diseñado para ofrecer un verdadero soporte de servidor de archivos
   de red. En el modelo OSI, el software de servidor de archivos de Novell reside en la capa
   de aplicaciones, mientras que el software operat ivo de disco (DOS) reside en la capa de
   presentación. El software de servidores de archivos forma una cubierta alrededor de los
   sistemas operativos, como el DOS, y es capaz de interceptar comandos de programas de
   aplicaciones antes de que lleguen a l procesador de comandos del sistema operativo. El
   usuario de las estaciones de trabajo no se da cuenta de este fenómeno, simplemente pide
   un archivo de datos o un programa sin preocuparse acerca de dónde está ubicado.
459.        Administración de Archivos en NetWare.
460.        Ciertos usuarios quizás deseen ejecutar aplicaciones individuales en un ambiente
   de usuarios múltiples. El administrador del sistema puede determinar que un programa o
   archivo sea compartible (Capaz de ser compartid o) o no compartible (Restringido a un
   usuario a la vez). NetWare también contiene una función predeterminada de bloqueo de
   archivos, lo cual significa que los programas de un solo usuario pueden ser utilizados por
   diferentes usuarios, pero uno a la vez.
461.        Seguridad del Sistema.
462.        Aunque los fabricantes que se dedican exclusivamente a los sistemas de seguridad
   de redes pueden ofrecer sistemas más elaborados, NetWare de Novell ofrece los sistemas
   de seguridad integrados más importantes del mercad o. NetWare proporciona seguridad
   de servidores de archivos en cuatro formas diferentes:
463.        1.- Procedimiento de registro de entrada
464.        2.- Derechos encomendados
465.        3.- Derechos de directorio
466.        4.- Atributos de archivo
467.        Utilerias de Red.
468.        Los cuatro niveles de seguridad de la red se manejan con una poderosa serie de
   programas de utilería de NetWare. Los dos programas de utilerías que se usan en unión
   con la seguridad de la red son: SYSCON y FILER .
469.        La utilería SYSCON se emplea para la configuración del sistema. Maneja muchas de
   las funciones de seguridad que hemos estudiado (Como el establecimiento de
contraseñas, grupos de trabajo, acceso a servidores de arch ivos, derechos encomendados
   y equivalencias).
470.        Debido a que algunas de sus funciones pueden realizarlas personas diferentes al
   supervisor, SYSCON se carga en el directorio SYS:PUBLIC. SYSCON es un programa de
   menús. Desde DOS, al escribir SYSCON y presionar ENTER se presenta el menú de Temas
   Disponibles (Available Topics).
471.        Aunque un usuario no sea un supervisor de la red, también puede ver información
   con respecto a su propio estado en la red. Los temas disponibles para usuarios, incluyen
   cambiar el servidor actual, información del se rvidor de archivos, información de grupos,
   opciones del supervisor e información de usuario.
472.        NetWare de Novell permite que los usuarios examinen sus propias equivalencias
   de seguridad y asignaciones de derechos encomendados. Este sistema facilita la adición de
   usuarios nuevos y duplicación de derechos encomendados , sin tener que hacer una lista
   de las docenas de archivos que un usuario deberá poder recuperar.
473.        SYSCON contiene varias funciones de restricción de cuentas que permiten que un
   supervisor controle el grado de acceso del usuarios a la red. Un supervisor puede designar
   las horas en que un empleado puede usar la red. El supervis or puede limitar el número de
   intentos de entrada de contraseñas incorrectas y cancelar una cuenta que haya excedido
   el límite. Otras restricciones de cuentas permiten que un supervisor establezca una fecha
   de expiración de la cuenta para un empleado temporal. Los supervisores también pueden
   requerir que los usuarios cambien sus contraseñas a intervalos regulares y pedirles que
   usen contraseñas de cierta longitud. Por último, las opciones de cuentas permiten que un
   supervisor administre el almacenamiento en disco y el tiempo de procesamiento a los
   usuarios. Incluso se puede cobrar más durante las horas pico de computación para
   desanimar transferencias de archivos e impresiones de report es innecesarios.
474.        Utilerias de Impresión.
475.        NetWare ofrece la utilería PRINTDEF para definir dispositivos y modos de
   impresión y tipos de formas. La utilería CAPTURE/ENDCAP está diseñada para redirigir los
   puertos de una estación de t rabajo, mientras que la utilería PRINTCON se usa para
   establecer configuraciones de trabajos de impresión.
476.        Puentes, Ruteadores y Compuertas de NetWare hacia otras Redes.
477.        NetWare hace posible que las redes se comuniquen con otras redes, así como con
   macrocomputadoras. Un ruteador conecta redes que usan hardware diferente. Una red
   puede usar las tarjetas de interfaz y el cableado de ARCnet, mientra s que otra red utiliza
   las tarjetas de interfaz y el cableado de Token Ring de IBM. NetWare proporciona el
   software de ruteador, el cual permite que estas dos redes compartan información.
478.        El software puede residir en una estación de trabajo dedicada (ROUTER.EXE) pero
   ahora está integrado en el sistema operativo de NetWare y, por tanto, es otro proceso que
   el servidor de archivos puede manejar. Para manejar internamente el enrutamiento, debe
   haber al menos dos ranuras de expansión disponibles, una para cada tarjeta de interfaz de
   red en cada red respectiva. El ruteador permanece invisible a los usuarios cuando opera
en una estación de trabajo P C dedicada o como un proceso en el servidor de archivos de
   NetWare.
479.        Sistema Tolerante a Fallas de NetWare.
480.        Toda compañía que dependa por completo en las computadoras para el
   procesamiento de su información teme que ocurra una falla del sistema. Novell ha
   desarrollado System Fault Tolerant NetWare (NetWAre con toleran cia a fallas de sistema)
   para superar este desastre potencial. Existen tres niveles diferentes de tolerancia a fallas
   del sistema, dependiendo del grado de protección requerido.
481.        Lo que hace que el método de Novell sea tan poco frecuente es que aunque
   proporciona las herramientas de software para duplicación de hardware (Para prevenir la
   interrupción del sistema), el usuario puede comprar ha rdware especial para lograr
   ahorros significativos.
482.        El Nivel 1 protege contra la destrucción parcial de un servidor de archivos
   proporcionando estructuras redundantes de directorios. Para cada volumen de la red, el
   servidor de archivos mantiene copias adicionales de las tablas de asignación de archivos y
   de las entradas de directorios en cilindros diferentes del disco. Si falla un sector del
   directorio, el servidor de archivos se desplaza de inmediato al directorio redundante. El
   usuario, para su conveniencia, no está ; consciente de este procedimiento automático.
483.        Cuando se activa un sistema de Nivel 1, realiza una revisión de autoconsistencia
   completa en cada directorio redundante y en cada tabla de asignación de archivos. Realiza
   una verificación de lectura-después-d e-escritura después de cada lectura de disco para
   asegurar que los datos escritos en el servidor de archivos puedan volverse a leer.
484.        La función de reparación en caliente del software del Nivel I revisa un sector antes
   de intentar escribir datos en él. Si una área de disco está dañada, el controlador de la
   unidad de dis co escribe sus datos en un área especial para la reparación en caliente. La
   característica de arreglo de emergencia, añade los bloques dañados a la tabla de bloques
   dañados; de esta manera no existe posibilidad de perder datos al escribirlos en estos
   bloques dañados en el futuro. Esto se muestra en la Figura 1.6.
485.        El software del Nivel II incluye la protección que se ofrece en el Nivel I, más
   algunas características adicionales. En este nivel, Novell ofrece dos opciones para proteger
   a la LAN contra la falla total de un servi dor de archivos. La primera opción son las
   unidades en espejo, lo cual implica el manejo de dos unidades de disco duro duplicadas
   con un solo controlador de disco duro. Esto se muestra en la Figura 1.7.
486.        Cada vez que el servidor de archivos realiza una función de escritura a disco,
   refleja esta imagen en su disco duro duplicado. También verifica ambas unidades de disco
   duro para asegurar la exactitud plena. Si hay una falla de disco duro, el sistema conmuta a
   la unidad reflejada y continúa las operaciones sin inconvenientes para el usuario.
487.        La segunda opción en el Nivel II son las unidades duplicadas: se duplica todo el
   hardware, incluida la interfaz y el controlador de disco duro. Esto se muestra en la Figura
   1.8.
488.        Figura 1.6 Reparación en Caliente del Software de Nivel I.
489.




490.
491.   Figura 1.7 Protección de Una LAN por medio de Unidades en Espejo.




492.
493.   Figura 1.8 Protección de una LAN por medio de Unidades Duplicadas.
494.




495.
496.        Si un controlador o unidad de disco falla, el sistema conmuta automáticamente a
   la alternativa duplicada y registra esto en una bitácora. El desempeño de un sistema
   duplicado es bastante superior al de un sist ema individual debido a que las búsquedas se
   dividen. Si se solicita un determinado archivo, el sistema revisa el sistema de disco que
   puede responder más rápido. Si ocurren dos solicitudes al mismo tiempo, cada unidad
   maneja una de l as lecturas de disco. En realidad, esta técnica mejora mucho el
   desempeño del servidor de archivos.
497.        El Nivel II también incluye una característica de Novell conocida como Sistema de
   Rastreo de Transacciones (Transaction Tracking System, TTS), el cual está diseñado para
   asegurar la integridad de los datos de las bases de datos de usuarios múltiples. El sistema
   considera a cada cambio de una base de datos como una transacción que es ya sea
   completa o incompleta. Si un usuario está a la mitad de una transacción de la ba se de
   datos cuando falla el sistema, el TTS hace retroceder a la base de datos al estado anterior
   al inicio de la transacción. Esta acción se conoce como retorno automático. Un segundo
   procedimiento que realiza el TTS es la rec uperación de continuidad: el sistema mantiene
   un registro completo de todas las transacciones para asegurar que todo se puede
   recuperar en el caso de una falla total del sistema.
498.        El software del Nivel III incorpora todas las características del Nivel II y añade un
   servidor de archivos duplicado conectado por un bus de alta velocidad. Si un servidor de
   archivos falla, el segundo servidor de ar chivos de inmediato asume el control de las
   operaciones de la red. Este es por supuesto el sistema más resistente que se puede tener,
   sin embargo, también es el más costoso.
499.        La Interfaz de Enlace de Datos Abierta de Novell.
500.        El software de Interfaz de Enlace de Datos Abierta (Open Data Link Interface, ODI)
   ofrece una interfaz entre las tarjetas adaptadoras de LAN y diferentes protocolos. Las ODI
   sirven como una respuesta a Novell a la Especific ación de Interfaz de Dispositivos de Red
   de Microsoft (Network Device Interface Specification, NDIS). ODI puede manejar hasta 32
   protocolos y 16 adaptadores diferentes al mismo tiempo. Una sola red es capaz de
   manejar protocolos múltiples y tipos diferentes de tarjetas adaptadoras.
501.        La Interfaz de enlace de datos abierta está compuesta de una capa de manejo de
   enlace (Link Support Layer, LSL) la cual contiene dos interfaces de programación: la
   Interfaz de enlace múltiple (Multiple Link In terface, MLI) para unidades de dispositivos
   adaptadores de LAN, y la Interfaz de protocolos múltiples (Multiple Protocol Interface,
   MPI) para los protocolos de LAN: La capa de manejo de enlace coordina el envío y la
   recepción de paque tes mediante la ordenación de los paquetes que recibe en la pila del
   protocolo correcto
502.        Novell, NetWare y el Futuro.
503.        Novell cree que la industria de las computadoras está ahora en una segunda etapa
   de conectividad de LAN, en la cual las LAN se conectan a computadoras de rango medio y
   macrocomputadoras mediante compuertas o interfaces directas. Durante los últimos
   años, Novell ha planeado una arquitectura que sea consistente con un futuro
   caracterizado por una creciente conectividad, flujo de información entre computadoras
   grandes y pequeñas y compatibilidad entre múltiples fabricantes. El plan de Novell,
   conocido como Arquitectura Universal de Red (Universal Networking Architecture, UNA),
   es dirigirse hacia una arquitectura que abarque cualquier plataforma.
504.        El énfasis principal en muchas empresas grandes, está todavía en las
   computadoras anfitrionas o macrocomputadoras. El usuario de LAN se preocupa del
   acceso a aplicaciones de macrocomputadoras y no de las comun icaciones directas de
   punto a punto entre un programa de microcomputadora y un programa de
   macrocomputadora. Conceptos tales como comunicaciones de punto a punto, facilidad de
   uso, transparencia para usuarios finales, serán característicos d e la siguiente etapa (La
   tercera) de la conectividad de LAN.
505.        Novell ve a esta tercera etapa como una época en la cual, un registro individual de
   una base de datos se puede actualizar con información de varios programas que se
   ejecutan en computadoras de diferentes tamañ os, que utilizan protocolos y sistemas
   operativos diferentes. NetWare resolverá todas estas diferencias, en una forma que sea
   transparente para el usuario final.
506.        En la Figura 1.9 se muestra el manejo de OS/2 que incluye el manejo de los
   llamados Canales Etiquetados (Named Pipes) de Microsoft y de APPC de IBM.
507.        Figura 1.9 La Visión de Novell.
508.




509.        NetWare para Unix.
510.        Novell ha otorgado licencia de la versión 3.12 de NetWare a varios fabricantes,
   incluyendo a Data General, IBM y HP. Estos fabricantes transportaron a NetWare para que
   funcione en sus propios ambientes UNIX. Este producto fue conocido como NetWare
   Portátil y ahora se conoce como NetWare para UNIX.
511.        Novell está planeando una versión de NetWare Portátil que es independiente del
   procesador. NetWare Independiente del Procesador (Processor Independent NetWare,
   PIN) nombre con el que se dará a conocer, operará en una variedad de máquinas basadas
   en procesadores diferentes. En esta forma, NetWare puede aprovechar la fortaleza de los
   tipos de chips individuales como Intel, RISC, mainframe, etc.
512.        Novell está trabajando con algunos fabricantes tradicionales de
   microcomputadoras, incluyendo a HP, Digital Equipment Corporation (DEC) y Sun
   Microsystems para desarrollar versiones nativas de NetWare que operarán co n sistemas
   basados en chips de computadora RISC, máquinas poderosas basadas en el chip HP-PA, el
   chip Alpha de DEC, y el chip SPARC de Sun. La ventaja para los usuarios al ejecutar
   NetWare nativa (En contraste con la NetWare portátil) en una computadora basada en
   RISC, es que el desempeño del sistema operativo de la red estará optimizado para esa
   computadora particular.
513.        Unixware.
514.        La intención de Novell de ser socio de las empresas importantes con LAN
   empresariales vastas, ha llevado a la adición de un producto basado en UNIX a su
   portafolio de redes. Unixware es un sistema operativo de re des que añade al protocolo
   nativo SPX/IPX de NetWare para el Sistema V versión 4 de Unix 5 (VR4.2). Este incluye el
   manejo de X Windows, así como la capacidad de instalar volúmenes de NetWare.
515.       Se cuenta con una interfaz de manejo de escritorio orientado a gráficas en ambas
   versiones, llamada Servidor de aplicaciones (Server Application), en la versión de
   servidores de usuarios ilimitados y en la versi&oacu te;n de Unixware personal. La interfaz
   gráfica del usuario (GUI) se puede configurar para que luzca como las interfaces estándar
   de la industria Openview de HP, Motif u OpenLook. Unixware es ideal para compañías que
   ya ejecutan NetWare en LAN y en UNIX. Esto hace posible examinar y tener acceso tanto a
   los archivos de NetWare como a los de UNIX mediante la interfaz gráfica del usuario.
516.       El movimiento de NetWare hacia la transparencia de Protocolos.
517.       Una plataforma virtualmente universal de NetWare sería capaz de manejar
   múltiples protocolos, y esto es precisamente lo que NetWare está intentando lograr. Esto
   permitiría que un usuario tuviera acc eso transparente a varios recursos de computación.
   Estos incluirían múltiples protocolos cliente/servidor y a varios protocolos de subredes.
518.       Novell ve al futuro como una época en la que las microcomputadoras serán el
   centro de la computación, y no un mero apéndice de las macrocomputadoras. Las
   diferencias entre los protocolos crean incompati bilidades en las minicomputadoras
   basadas en UNIX, en las computadoras DEC que ejecutan VMS, en las computadoras de
   IBM basadas en SNA, y en otros recursos de cómputo (Como las estaciones de trabajo de
   Sun que ejecutan el protocolo NFS). Novell ima gina un tiempo en el que su software
   ayudará a romper las barreras que dificultan la comunicación entre estas distintas
   plataformas.
519.       NetWare Lite (Sistema Punto a Punto).
520.       NetWare lite es un sistema operativo de red que brinda una solución punto a
   punto, pero no funciona bien en ambiente Microsoft Windows por lo que surge Personal
   NetWare. Con la llegada de NetWare 4.x, Novell tuvo la bas e para funcionar en un
   ambiente Windows con mayor facilidad.
521.       Aplicaciones de Red que se incluyen en Personal Netware:
522.       Herramientas de Administración.
523.       Administración de Archivos.
524.       Panel de control de impresoras.
525.       Diagnóstico de la red.
526.       Display
527.       Nodo.
528.
529.       Información de configuración.
530.       Tipo de Sistema Operativo.
531.       CPU.
532.       Memoria.
533.       Puertos.
534.       Graph.
535.
536.       Tráfico de Grupo de Trabajo.
537.       Tráfico de Nodo.
538.       Espacio de Disco en Nodo.
539.       Utilización del Servidor.
540.       Test de todos los puntos.
541.       Instalación, Configuración y Evaluación de NetWare.
542.       Instalación y Configuración del Sistema Operativo en el Servidor.
543.       Procedimiento para las versiones 3.11 y 3.12, (10):
544.       1.- Revisar en las tarjetas de red los requerimientos del sistema y anotarlos (IRQ,
   DMA, etc.).
545.       2.- Preparar el Disco Duro
546.       Crear partición para DOS (25 Mb mínimo, para poder crecer a versiones 4.x), que
   servirá de arranque, usando la utilería fdisk.
547.       Formatear partición de DOS e instalar el sistema operativo MS-DOS, y dejar la
   partición activa usando la utilería fdisk.
548.       3.- Copiar los discos de NetWare; system1, system2 y system3 en un directorio (de
   preferencia).
549.       4.- Ejecutar SERVER.EXE.
550.       5.- Asignar nombre al servidor (Cadena de 12 posiciones).
551.       6.- Asignar IPX Internal Network (No. Hexadecimal de 8 posiciones).
552.       7.- Cargar manejador de disco.
553.       : load ISADISK.DSK (para IDE y EIDE).
554.       * Responder a los requerimientos de configuración de parámetros.
555.       8.- Cargar manejador de tarjeta de red.
556.       : load NE2000.LAN
557.       Nota: El tipo de estructura predeterminado es:
558.       Para 3.11 Ethernet_802.3.
559.       Para 3.12 Ethernet_802.2.
560.       9.- Ejecutar el módulo de instalación.
561.       : load INSTALL
562.       En la opción para discos;
563.       Crear y formatear la partición de Novell.
564.       En la opción para volúmenes;
565.       Crear y montar (SYS:)
566.       En la opción de sistema;
567.       Instalar los discos del sistema operativo NetWare, después salir y ;
568.       10.- Enlazar o asignar un protocolo a la interfaz de red.
569.       : bind ipx to [ nombre del controlador ]
570.       Responder al requerimiento Network Number: dirección hexadecimal de 8 bytes.
571.       11.- Regresar a instalar.
572.       En opciones del sistema;
573.       Crear el archivo AUTOEXEC.NCF, que indica como está el servidor (nombre,
   dirección, lazo).
574.       Crear el archivo STARTUP.NCF.
575.        12.- Dar de baja.
576.        13.- :down, para desmontar volúmenes.
577.        14.- :exit, para finalizar y salir de la instalación.
578.        15.- Reiniciar la máquina.
579.        Instalación y Configuración del Sistema Operativo en una Estación de Trabajo.
580.        Procedimiento para las versiones 3.11 y 3.12:
581.        Para dar de alta una estación de trabajo DOS-IPX/SPX (protocolo monolítico), es
   necesario contar con los siguientes programas:
582.
583.        IPX.COM.- Se ejecuta como tal y sirve para cargar el protocolo de comunicación y
   parámetros de control a la interfaz de red.
584.        NETX.EXE.- Es el programa intérprete o shell.
585.        Para generar IPX:
586.
587.        Obtener los requerimientos de la tarjeta y anotarlos.
588.        Ejecutar el programa WSGEN.- El cual genera una versión final ejecutable de
   IPX.COM.
589.        Dentro de este programa seleccionar el tipo de tarjeta y asignar parámetros.
590.        Para dar de alta una estación de trabajo DOS-ODI, es necesario contar con los
   siguientes programas y su ejecución en el siguiente orden:
591.
592.        LSL.COM (Link Support Layer).
593.        XXXXX.COM (Manejador de tarjeta compatible con NE2000).
594.        IPXODI.COM (Internetwork Packet Exchange Open Data Interface).
595.        NETX.EXE (Intérprete).
596.        Observaciones:
597.        El manejador ya viene configurado con ciertos valores que pueden crear conflictos
   en el sistema.
598.        Para cambiar / asignar valores al manejador es necesario crear el archivo de
   control NET.CFG.
599.        Archivo NET.CFG (En general):
600.        Link Support
601.        Buffers
602.        Mempool
603.        Protocol [ nombre del protocolo ]
604.        Bind
605.        Sessions
606.        Link Driver [ nombre del manejador ]
607.        DMA
608.        INT
609.        MEM
610.        PORT
611.        SLOT
    612.        Frame (Tipo de estructura)
    613.        Link Station.
    614.        Alternate
    615.        Max Frame.
    616.        Archivo NET.CFG (Para las versiones 3.11 y 3.12).
    617.        Ejemplo del contenido de un archivo NET.CFG:
    618.        Link Driver 3C503 // Controlador de Tarjeta de Red.
    619.        INT 5 // Número de IRQ.
    620.        MEM D8000 // Dirección de Memoria.
    621.        PORT 300 // Puerto de Entrada / Salida.
    622.        Frame Ethernet_802.3 IPX // Estándar para el protocolo IPX (Ver. 3.11).
    623.        Frame Ethernet_11 TCP/IP // Estándar para el protocolo TCP/IP.
    624.        Frame Ethernet_802.2 IPX // Estándar para el protocolo IPX (Ver. 3.12).
    625.        Frame Ethernet_Snap Token-Ring // Estándar para el protocolo Token-Ring..

Tipo de Estructura     Manejador DOS-IPX Monolítico Manejador DOS-ODI

Frame Ethernet_802.3 SI                                  SI

Frame Ethernet_802.2 NO                                  SI

Frame Ethernet_11      SI                                SI

Frame Ethernet_Snap NO                                   SI



    626.       Instalación y Configuración del Sistema Operativo en el Servidor.
    627.       Procedimiento para la versión 4.11, (8):
    628.       1.- Verificar en las tarjetas de red los requerimientos del sistema y anotarlos (IRQ,
       DMA, etc.).
    629.       2.- Preparar disco
    630.       Crear partición para DOS (25 Mb mínimo, para poder crecer a versiones 4.x), que
       servirá de arranque, usando la utilería fdisk.
    631.       Formatear partición de DOS e instalar el sistema operativo MS-DOS, y dejar la
       partición activa usando la utilería fdisk.
    632.       3.- Desde el CD-ROM de NetWare 4.11 (Instalación), escribir Install y Enter.
    633.       4.- Seleccionar el idioma en el que se desea que se instale el servidor y pulsar
       Enter.
    634.       5.- Seleccionar "Instalación del servidor" y Enter.
    635.       6.- Posteriormente hay que dar el nombre al servidor y copiar los archivos de
       arranque.
636.        Una vez seleccionado el idioma y tipo de instalación, se muestra otro menú, que
   contiene 3 opciones: "NetWare 4.11, NetWare 4.11 SFT III y Ver archivo de información
   (LEAME)", del cual hay que elegir la primera "NetWare 4.11" y pu lsar Enter.
637.        Después hay que seleccionar "Instalación simple de NetWare 4.11"y pulsar Enter.
638.        Escribir el nombre del servidor en el campo correspondiente y pulsar Enter.
   Después de esto se copian automáticamente los archivos de arranque en el servidor.
639.        7.- Instalación de NetWare SMP (Opcional).
640.        El Multiprocesamiento Simétrico (SMP) permite que los módulos cargables de
   NetWare (NLM) habilitados para el multiproceso puedan ejecutarse en varios
   procesadores y aprovechar así la mayor capacidad de procesamiento que proporciona.
641.        Cuando se instala el SMP, se añaden tres líneas al archivo STARTUP.NCF:
642.        Load nombre del módulo de soporte de plataforma (.PSM).
643.        Load SMP.NLM.
644.        Load MPDRIVER.NLM ALL.
645.        Si se tienen multiprocesadores simétricos y se desea ejecutar el programa de
   instalación con la detección automática habilitada, el programa detecta los procesadores y
   muestra el siguiente mensaje:
646.        "Desea instalar Symetrical Multi-Processing NetWare (SMP)"
647.        Seleccionar Sí o No y Enter.
648.        Si se selecciona No, se podrá instalar SMP más adelante.
649.        Si se selecciona Sí, el programa busca los módulos de plataforma existentes y los
   muestra.
650.        Después hay que seleccionar un controlador de PSM para el tipo de computadora
   que se tenga, de la lista mostrada, algunos son:
651.        COMPAQ.PSM Módulo para máquinas Compaq.
652.        MPS14.PSM Módulo genérico para máquinas con procesador Intel, Etc.
653.        8.- Después se debe elegir la opción de cargar automáticamente los controladores
   de dispositivos de hardware y pulsar Enter.
654.        9.- Si los controladores se seleccionan automáticamente, aparece una pantalla que
   muestra los controladores de LAN y de disco seleccionados, el sistema solicita si se desea
   instalar otros controladores, modificar los existentes o continuar con l a instalación. Es
   necesario asegurarse de que exista un controlador por disco físico existente y un
   controlador por tarjeta de red instalada, de no ser así, elegir la opción para añadir
   controladores hasta completarlos t odos.
655.        10.- Seguir adelante sin cargar controladores adicionales, en el menú "Acciones del
   controlador", hay que seleccionar la opción "Continuar con la instalación"
656.        11.- El sistema solicita si se desea suprimir las particiones no arrancables, y así
   aumentar el espacio de la partición nativa de NetWare. Si se selecciona Sí se eliminan las
   otras particiones y si se selecciona No, se procede con la instalación sin realizar cambios
   en las particiones existentes.
657.        12.- A continuación se muestra un menú, en el que se pregunta ¿Es este el primer
   servidor de NetWare 4.11?, se puede elegir Sí o No pulsando Enter.
658.       13.- Al elegir la opción Sí.
659.       Seleccionar la zona horaria en que se instalará el servidor.
660.       Introducir el nombre de la organización y pulsar Enter.
661.       Introducir la contraseña del administrador y pulsar Enter.
662.       Confirmar la contraseña y pulsar Enter.
663.       Al elegir No, además de lo anterior, se cubren otros requisitos menores.
664.       Una vez terminado esto se instalan los Servicios de Directorio.
665.       14.- El sistema pide el disco de Licencia de la unidad A:. Después aparece un
   mensaje que indica que la licencia se ha instalado correctamente.
666.       15.- Retirar el disco de Licencia y guardarlo en un lugar seguro.
667.       16.- Una vez que se han instalado los Servicios del directorio de NetWare,
   NetWare empieza a copiar el resto de los archivos, hasta finalizar la instalación.
668.       17.- Ya finalizada la instalación del servidor, para volver a la consola del servidor
   hay que pulsar Enter en la opción de salir.
669.       Instalación y Configuración del Sistema Operativo en una Estación de Trabajo.
670.       Procedimiento para la versión 4.11:
671.       1.- Desde el CD-ROM de NetWare 4.11 (Instalación), escribir Install y Enter.
672.       2.- Seleccionar el idioma en el que se desea que se instale la estación de trabajo y
   pulsar Enter.
673.       3.- Después hay que seleccionar el tipo de instalación deseado, en este caso, se
   escoge "Instalación de clientes" y Enter.
674.       4.- Después de esto hay que contestar algunos requisitos, siguiendo las
   indicaciones de la pantalla, hasta finalizar con la instalación.
675.       Evaluación.
676.       Ventajas de NetWare.
677.       Multitarea
678.       Multiusuario.
679.       No requiere demasiada memoria RAM, y por poca que tenga el sistema no se ve
   limitado.
680.       Brinda soporte y apoyo a la MAC.
681.       Apoyo para archivos de DOS y MAC en el servidor.
682.       El usuario puede limitar la cantidad de espacio en el disco duro.
683.       Permite detectar y bloquear intrusos.
684.       Soporta múltiples protocolos.
685.       Soporta acceso remoto.
686.       Permite instalación y actualización remota.
687.       Muestra estadísticas generales del uso del sistema.
688.       Brinda la posibilidad de asignar diferentes permisos a los diferentes tipos de
   usuarios.
689.       Permite realizar auditorías de acceso a archivos, conexión y desconexión,
   encendido y apagado del sistema, etc.
690.       Soporta diferentes arquitecturas.
691.       Desventajas de NetWare.
       692.       No cuenta con listas de control de acceso (ACLs) administradas en base a cada
          archivo.
       693.       Algunas versiones no permiten criptografía de llave pública ni privada.
       694.       No carga automáticamente algunos manejadores en las estaciones de trabajo.
       695.       No ofrece mucha seguridad en sesiones remotas.
       696.       No permite el uso de múltiples procesadores.
       697.       No permite el uso de servidores no dedicados.
       698.       Para su instalación se requiere un poco de experiencia.

    SISTEMA OPERATIVO DE LA RED
      BLOQUEO DE ARCHIVOS Y REGISTROS
    Una de las grandes diferencias entre un sistema operativo monousuario y un sistema
    operativo de red, es que un mismo archivo o un registro de un archivo puede ser usado por
    mas de un usuario y, por tanto, es necesario establecer un mecanismo para que dos usuarios
    no efectúen una modificación en el registro o en el archivo al mismo tiempo.
    La diferencia entre un bloqueo de archivo o de registro reside en que:
     En el bloqueo de un archivo se impide que mientras esta siendo utilizado por otro.
     En el bloqueo de registros se impide que mientras un usuario esta utilizando una ficha
     determinada de un archivo, esta pueda ser modificada por otro usuario pero si pueda
     modificar, borrar o insertar nuevas fichas dentro de este archivo.
      DISTRUBUCION DE ESPACIO ENTRE LOS DISCOS DUROS
    En una red local el disco o los discos duros pueden ser utilizados de tres maneras distintas: de
    forma privada, compartida o pública.
o    En una utilización privada, de los archivos que se encuentran en ellos son personales y
     únicamente tiene acceso su propietario para operaciones de lectura, escritura, borrado y
     creación de nuevos archivos.
o    En una utilización compartida, los archivos que se encuentran en ellos tienen niveles de
     acceso dist6intos en función de las autorizaciones dadas por el administrador de la red. Por
     tanto, puede haber archivos que pueden ser utilizados totalmente por todos los usuarios,
     archivos que pueden ser utilizados parcialmente por todos los usuarios y archivos que solo
     pueden ser utilizados por un usuario o un grupo de usuarios.
o    En una utilización publica, los archivos pueden ser leídos, modificados o borrados por todos
     los usuarios.
      COMPARTICION DE PERIFERICOS
    Dentro de las ventajas de una red se encuentra la posibilidad de compartir los periféricos que
    se encuentran en ella y, en especial, las impresoras.
    Para poder compartir una impresora, esta ha de estar conectada al servidor de archivos de la
    red o a un servidor especifico denominado servidor de impresión.
    El servidor de impresión y/o el servidor de archivos disponen de un programa que controla los
    trabajos de impresión mandados por los usuarios. Este programa crea una zona de
    almacenamiento temporal de datos en el disco donde se guardan todos los trabajos
    pendientes de imprimir hasta que la impresora queda libre y son dirigidos a ella para ser
    impresos.
Se puede especificar el orden en que se van a imprimir, el numero de copias, la impresora a
usar, el formato de impresión que se va a utilizar, si se coloca una primer pagina identificativa
del trabajo (banner).
4. SISTEMAS OPERATIVOS DE RED
Los sistemas operativos de red se dividen en dos grupos:
 Sistemas que utilizan el modelo cliente /servidor, estos funcionan siguiendo el esquema de
 un servidor principal que proporciona soporte a las estaciones de la red. Entre ellos destacan:
 Microsoft LAN Manager, Microsoft Windows NT 4, Microsoft Windows 2000, NetWare 3.2,
 NetWare 4.2, NetWare 5.1 y Vines.
 Sistemas que utilizan el modelo punto a punto, en ellos no existe un servidor principal sino
 que todas la s estaciones comparten sus recursos de igual a igual. Entre ellos destacan:
 Invisible LAN, LANtastic, Windows 95/98, NetWare Lite y 10NET.
  MODELOS BASADOS EN CLIENTE / SERVIDOR
Estos sistemas operativos destacan en general por las grandes posibilidades de que disponen
y su uso abarca desde una red pequeña hasta una gran red corporativa.
5. SEGURIDAD FISICA DEL SERVIDOR
El lugar donde este colocado el servidor es sumamente importante para su estabilidad. El
servidor necesita estar protegido contra distintos factores externos que pueden alterar el
funcionamiento de la red.
Estos factores externos son: la electricidad estática, el calor, los ruidos eléctricos, los altibajos
de tensión y los cortes de corriente.
  LA PROTECCION CONTRA LA ELECTRICIDAD ESTATICA Y EL CALOR.
Se han de tomar algunas precauciones para proteger al servidor de las cargas estáticas, ya
que el rendimiento de este afecta a toda la red.
Entre las precauciones que se han de tomar esta la de tratar regularmente las alfombras y
moquetas con productos antiestáticos, utilizar fundas protectoras para ambas e instalar el
servidor sobre una superficie conectada a una toma de tierra.
No utilizar plásticos ni material sintético, ya que generan electricidad estática.
El calor y el frió excesivos son riesgos potenciales para el buen funcionamiento del servidor.
Se ha de mantener la temperatura de la habitación del servidor entre 18° y 26° C, y asegurar
una buena aeración.
  LA PROTECCION CONTRA LOS RUIDOS ELECTRICOS, LOS ALTIBAJOS DE TENSION
Y LOS CORTES DE CORRIENTE.
Los ruidos eléctricos son causados por las inconsistencias del suministro de la corriente del
ordenador. Para proteger al servidor contra los ruidos eléctricos, puede recurrirse a la
instalación de una línea dedicada de suministro eléctrico.
No hay que conectar otros dispositivos a este suministro de corriente, porque pueden generar
ruidos que anulen las ventajas de la protección ofrecida por la fuente de corriente dedicada.
La conexión a la fuente de energía se ha de hacer con cable estándar de tres hilos, con el hilo
de masa conectado a tierra.
Debe prevenirse contra los altibajos de tensión y contra el corte de la corriente. Para esto lo
mejor es completar la instalación con un sistema de alimentación interrumpida o SAI. El SAI
permite al servidor continuar activo durante cierto tiempo ante un eventual corte de la
corriente.
Puede también tomarse la precaución de instalar un SAI en cada una de las estaciones que
trabajen con aplicaciones críticas, para protegerse de los daños producidos por la perdida de
datos durante un corte de energía.
Además, cada dispositivo de la red podría tener un filtro de energía eléctrica como protección
de las sobre tensiones.
Si se dispone de un sistema de alimentación interrumpida (SAI) podrá configurarse, para su
uso con Windows 2000 ejecutando el icono opciones de energía del panel de control.
  PROTECCION CONTRA SUCIEDAD
Aquí interviene tanto la suciedad de la sala donde se encuentra el servidor como la suciedad
que pueden generar los propios usuarios.
Hay que mantener la sala en un estado de perfecta limpieza para que evitar que el polvo
pueda concentrarse dentro del servidor y altere su correcto funcionamiento.
Referente a los usuarios y administradores se ha de tener en cuenta que cualquier vertido de
líquidos o de restos de alimentos sobre la pantalla y/o el teclado del servidor pueden producir
distintos daños potenciales en el servidor. También, se ha de tener precaución con la ceniza
de los cigarros tanto entro del teclado como en la pantalla y la CPU porque puede producir
daños importantes.
  SEGURIDAD CONTRA INCENDIOS Y AGUA
De que sirve tener bien protegido el servidor si no se cuenta con una buena protección contra
incendios. En la sala donde se encuentre instalado el servidor debe haber detectores de humo
de alta sensibilidad y un sistema contra incendios a base de gas halon a presión. Este sistema
debe producir un aviso previo a su utilización porque provoca el apagado del incendio de
forma inmediata por consumo del oxigeno de la sala y, por tanto, todas las personas deberán
salir de dicha sala porque podrían correr riesgo de asfixia.
También deberá estar protegido el servidor contra peligros de inundaciones y goteras que
podrían provocar cortocircuitos.
  PROTECCION CONTRA ROBO Y DESTRUCCION
Es muy importante que en la sala donde se encuentra el servidor haya una protección efectiva
que imposibilite tanto el robo del equipo o de alguno de sus componentes como la posibilidad
de algún atentado que provoque la destrucción de todo, o de alguna parte importante, del
servidor.
La sala deberá estar protegida con un sistema antirrobo, las puertas que conducen a la sala
deberán permanecer cerradas y se deberá identificar a cualquier persona que tenga acceso al
servidor.
La información y el software han de estar guardados en otras habitaciones cerradas y los
disquetes se han de encontrar cerrados con llave en los cajones de los archivos o de las
mesas.
6. SEGURIDAD DE LOS DATOS O DE LA INFORMACION.
  SEGURIDAD DE ALMACENAMIENTO EN EL DISCO DURO
La unidad básica de almacenamiento de la información es el disco duro. Su capacidad esta en
constante incremento (de 8 GB en adelante).
La forma más común de organizar el almacenamiento de la información es a través de un
único disco duro, aunque dependiendo del tamaño de empresa, se debe considerar la
posibilidad de trabajar con más de un disco duro asociado.
Cada disco duro del sistema tiene asignado un número y se asignan de forma diferente en
función de tipo de disco:
 SCI. En una controladora primaria de este tipo, los números van del cero al seis. Cuando
 esta controladora se completa puede recurrirse a una controladora secundaria y así
 sucesivamente hasta un total de cuatro (lo que podría permitiría disponer hasta de un total de
 28 unidades)
 IDE y ESDI. En una controladora primaria de estos dos tipos, los números van del cero al
 uno. Cuando esta controladora se completa puede recurrirse a una segunda controladora (lo
 que permitiría disponer hasta de un total de cuatro discos).
Todos los discos duros deben estar formateados a bajo nivel para poder utilizarse con
Windows 2000.
7. PROTECCION DE ACCESO AL ORDENADOR
  PROTECCION DE CONTRASEÑA CMOS
La protección por contraseña en la CMOS (es una pequeña memoria RAM en la que se
encuentra almacenada la configuración del ordenador y se mantiene por una pila recargable
por lo que no se pierde cuando el ordenador se apaga) se ejecuta cuando se arranca el
ordenador y se ha realizado el chequeo correspondiente. Si no se conoce esta contraseña, no
se cargara el sistema operativo (ni del disco duro ni del disco flexible) y el ordenador quedara
bloqueado. Para indicar la contraseña se ha de hacer desde el SETUP correspondiente.
  PROTECCION POR CONTRASEÑA POR SECTOR DE ARRANQUE.
La protección por contraseña en el sector de arranque permite que el ordenador solicite una
contraseña del mismo modo que la opción descrita. Esta opción se ha de realizar por software
y solo se ha de utilizar cuando el ordenador no incorpore una opción para hacerlo desde el
SETUP correspondiente.
  PROTECCION POR CONTRASEÑA EN ARCHIVOS DE ARRANQUE.
La protección por contraseña de arranque se ha de hacer con programas instalados y que se
ejecuten al procesar los archivos CONFIG.SYS o AUTOEXEC.BAT.
Este método prácticamente no sirve para nada ya que la ejecución de estos archivos puede
ser bloqueada fácilmente por cualquier usuario.
NETWARE
El sistema operativo NetWare de Novell es, todavía, el más extendido dentro de las redes
locales porque puede utilizarse en cualquier topología y cableado, funciona con la mayoría de
los ordenadores personales. Novell posee actualmente tres versiones para el modelo
cliente/servidor que son:
 NetWare 3.2
Diseñado para redes pequeñas y medianas de servidores individuales que permite el soporte
de múltiples protocolos y sistemas operativos en un solo servidor.
Cuenta con un diseño modular y puede ser actualizado sin necesidad de reconstruir el sistema
operativo completo.
Los requerimientos necesarios para su funcionamiento son:
 Procesador 386 o superior
 6 MB de memoria RAM mínima para el servidor
 640 KB de memoria mínima para la estación de trabajo
Una unidad de disco duro con suficiente capacidad de almacenamiento para el tamaño de la
 red. La capacidad mínima de 50 MB
 Una tarjeta de red
 Cableado de red
 (Recomendado) una unidad de cinta u otro dispositivo de respaldo.
Detalles de la versión:
 Solo se ofrece para servidor delicado
 Se presenta en discos de alta densidad (hd) o CD-ROM
 32 unidades lógicas por volumen
 64 volúmenes por servidor
 8 volúmenes por disco duro
 2.097.152 entradas de directorio por volumen
 32 TB de máxima capacidad de almacenamiento en disco
 4 GB como tamaño máximo de un archivo
 100.000 archivos abiertos como máximo
 4 GB de RAM máxima direccionable
 Soporte de espacio de nombres (DOS, Windows, Macintosh, UNIX, OS/2)
 Distintos tamaños de bloques de disco
 NetWare 4.2
Esta versión cuenta con las capacidades de netware 3.2. Cuenta con un diseño modular y
puede ser utilizado sin necesidad de reconstruir el sistema operativo completo y se ha
mejorado notablemente su instalación.
Los requerimientos necesarios para su funcionamiento son:
 Procesador 386 o superior
 16 MB de memoria RAM mínima para el servidor
 Una unidad de disco duro con suficiente capacidad de almacenamiento para el tamaño de la
 red. La capacidad mínima es de 70 MB
 Una tarjeta de red
 Cableado de red
 Una unidad de CD-ROM
 (recomendado) Una unidad de cinta u otro dispositivo de respaldo
Detalles de la versión;
 Solo se ofrece para servidor dedicado
 Se presenta en CD-ROM
 1.024 unidades lógicas por volumen
 64 volúmenes por servidor
 16.000.000 entradas de directorio por volumen
32 TB de máxima capacidad de almacenamiento en disco
 4 GB como tamaño máximo de un archivo
 100.000 archivos abiertos como máximo
 Soporte de espacio de nombres
 Soporte de espacio de nombres (DOS, Windows, Macintosh, UNIX, OS/2)
 Distintos tamaños de bloques de disco
 Integra un servidor Web y un servidor FTP
 NetWare 5.1
Cuenta con las capacidades de NetWare 5.1
Los requerimientos necesarios para su funcionamiento son:
 Procesador Pentium 2 o superior
 64 MB de memoria RAM mínima para el servidor
 Una unidad de disco duro con suficiente capacidad de almacenamiento para el tamaño de la
 red. La capacidad mínima es de 300 MB
 Una tarjeta de red
 Cableado de red
 Una unidad de CD-ROM
 (recomendado) Una unidad de cinta u otro dispositivo de respaldo
Detalles de la versión:
 Solo se ofrece para servidor delicado
 Control y gestión de red
 Mejoras en el NDS, que ofrecen compatibilidad LDAPV3, WAN Traffic Manager, para mejorar
 la sincronización del NDS a través de WAN y servicios de catalogo para mayor facilidad de
 acceso a nombres
 Utilidades DNS/DHCP entregadas con el NDS, permitiendo un ahorro de tiempo y mayor
 facilidad en su utilización
 Nuevos módulos NLM que permiten a cualquier consola SNMP gestionar el sistema
 operativo.
 SERVICIOS INTERNET
 Ofrece IP puro para aquellas empresas que necesitan mayor ancho de banda y utilizar un
 único protocolo
 Nestscape Fasttrack Server para la creación y publicación de documentos en la Web
 LDAP Services for NDS que proporciona acceso a la información en el NDS, a través de
 Intranet e Internet de forma sencilla
 DESARROLLO DE APLICACIONES
 Incluye Java virtual machine sobre de la que se podría desarrollar aplicaciones de red
 utilizando java y javascript netware 5 soporta y ofrece nuevas herramientas tales como
 CORBA (common objetct resquets broker architecture), VBScript compatible interprete net
 basic, JavaBeans for netware, JavaScript y Perl 5
Nuevo Kernel mejorado que proporciona soporte multiprocesador protección de memoria
 para mayor tolerancia a fallos memoria virtual para un mejor rendimiento y un debugger
 integrado
 Servicios criptográficos que ahorran a los desarrolladores el tener que incluir código
 criptográfico en sus productos
 Fiabilidad, estabilidad, rendimiento y seguridad
 Novell Storage Services basado en un sistema indexado de 64 bits que elimina las
 limitaciones en archivos, reduce el tiempo de montado y simplifica el proceso de reparación
 de los volúmenes
 Novell Distributed Print Serves que proporciona una comunicación inteligente bidireccional
 entre usuarios, administradores e impresoras
 Secure Authentication Services que integrado al NDS simplifica la administración y ofrece
 nuevos niveles de control de acceso, añadiendo tecnologías de seguridad en Internet para
 mayor integridad de datos y privacidad
 Hot Plug PCI y soporte inteligente I/O (120) para mayor rendimiento y fiabilidad
 Incluye Oracle 8 para netware que reduce los costes de propiedad optimiza el ancho de
 banda y consolida protocolos y sistemas operativos
 MICROSOFT
 Lan Manager
Conecta equipos que ejecutan MS-DOS, OS/2 y UNIX
Los requerimientos necesarios para su funcionamiento son:
 Una configuración mínima de memoria RAM de 8 MB
 Soporta procesadores 386, 486 y Pentium
 Una unidad de disco duro con suficiente capacidad de almacenamiento para el tamaño de la
 red. La capacidad mínima es de 30 MB
 Una tarjeta de red
 Cableado de red
 (recomendado) Una unidad de cinta u otro dispositivo de respaldo
Detalles de versión:
 Posibilidad de tener varios servidores de archivos
 Se ofrece para servidor delicado y no delicado
 7,8 GB de máxima capacidad de almacenamiento en disco
 2 GB como tamaño máxima de un archivo
 8.192 archivos abiertos simultáneamente como máximo
 Hasta 16 MB de tamaño máxima de RAM
 50 como numero máximo de conexiones por servidor
 WINDOWS NT
Soporta multiprocesamiento simétrico, servicios globales de directorio y gestión centralizada
de usuarios y grupos.
Los requerimientos necesarios para su funcionamiento son:
 Sistemas intel y compatibles:
 Procesador 486/33 o superior Pentium o Pentium pro
 125 MB de espacio en disco duro disponible
 Sistemas RISC:
 Procesador RISC compatible con la versión
 160 MB de espacio en el disco duro disponible
 Mínimo de 16 MB de memoria RAM
 Unidad de CD-ROM a ser posible SCSI
 Una tarjeta de red
 Cableado de red
 (recomendado) Una unidad de cinta u otro dispositivo de respaldo
Detalles de loa versión:
 Soporte de múltiples procesadores
 Soporta procesadores 386, 486, Pentium, Alpha y MIPS
 Se ofrece para servidor no delicado
 Sistema operativo de 32 bits
 402 millones de TB de máxima capacidad de almacenamiento en discos
 Hasta 4 GB de tamaño máximo de RAM
 2 GB de memoria virtual por aplicación
 Permite hasta 256 conexiones simultaneas por acceso remoto
 Soporte de nombres de archivo de hasta 256 caracteres (NTFS)
 Integra un servidor Web un servidor Gopher y un servidor FTP
 Proporciona PPTP ( Point to Point Tunneling Protocol)
 Soporta los protocolos y transportes siguientes: TCP/IP, IPX/SPX, NetBIOS/NetBEUI, DLC y
 AppleTalk.
 Seguridad certificada C2
 WINDOWS 2000
Esta formada por tres versiones:
 SERVER. Esta versión permite utilizar hasta 4 procesadores, hasta 4 GB de memoria RAM e
 incorpora directorio activo herramientas de gestión de Windows, infraestructura de seguridad
 Kerberos y PKI, servicios de terminales, servicios de componentes y servicios de Internet.
 ADVANCED. Esta versión permite utilizar hasta 8 procesadores, hasta 8 GB de memoria
 RAM e incorpora directorio activo, herramientas de gestión de Windows, infraestructura de la
 seguridad Kerberos y PKI, servicios de terminales, servicios de componentes, servicios de
 Internet, balanceo de la carga de la red y servicios de cluster.
DATACENTER. Esta versión permite utilizar hasta 32 procesadores, hasta 64 GB de
 memoria RAM e incorpora directorio activo, herramientas d gestión de Windows,
 infraestructura de seguridad Kerberos y PKI
servicios de terminales, servicios de componentes, servicios de Internet, balanceo de la carga
de la red y servicios de cluster avanzados.
Los requerimientos necesarios para su funcionamiento son:
 Procesador Pentium 133 Mhz o superior
 Una configuración mínima de memoria RAM de 64 MB
 Una unidad de disco duro con suficiente capacidad de almacenamiento para el tamaño de la
 red. La capacidad mínima es de 1 GB
 Una tarjeta de red
 Cableado de red
 Unidad de CD-ROM a ser posible SCSI
 (recomendado) Una unidad de cinta u otro dispositivo de respaldo
La recomendación que se realiza para la configuración del servidor esta en la función del
tamaño de la red y el servicio que va a realizar en donde se va a instalar:
 SERVIDORES DE PEQUEÑAS EMPRESAS. Para un servidor de una empresa que tenga
 hasta 50 usuarios y 25 equipos, se recomienda que cuente con uno o dos procesadores
 Pentium 2 de 350 Mhz o superior, 128 MB de RAM, controladora SCSI-2 ultra rápida, dos
 discos de 40 GB cada uno y adaptador Ethernet de 10/ 100 Mbps.
 SERVIDORES DEPARTAMENTALES. Para un servidor departamental que tenga hasta 200
 usuarios o para incorporarlo a un entorno de varios servidores con un numero mayor de
 usuarios, se recomienda que cuente con varios procesadores Pentium 3 de 500Mhz, 512 MB
 de RAM, sistema RAID con controladora SCSI-2 o SCSI-3 ultra rápida, cinco discos de entre
 6 y 8 GB cada uno, adaptador Ethernet de 10/100 Mbps y controladores inteligentes 120.
 SERVIDORES EMPRESARIALES. Para un servidor empresarial que tenga hasta 1.000
 usuarios se recomienda que cuente con varios procesadores Pentium 3 de 550 Mhz entre 1 y
 4 GB de RAM, sistema RAID con controladora SCSI-2 o SCSI-3 ultra rápida, cinco discos de
 entre 10 y 16 GB cada uno, adaptador Ethernet de 10/100 Mbps y controladores inteligentes
 120.
 VINES
Incorpora un potente servicio distribuido de directorio propio de vines, servicios de correo, un
buen servicio de impresión, multiprocesamiento simétrico y unas excelentes herramientas de
administración.
La instalación es fácil y se puede construir una red de tiempo o información.
Los requerimientos necesarios para su funcionamiento son:
 Una configuración mínima de memoria RAM de 16 MB
 Una unidad de disco duro con suficiente capacidad de almacenamiento para el tamaño de la
 red. La capacidad mínima es de 250 MB
 Una tarjeta de red
 Cableado de red
 (recomendado) Una unidad de cinta u otro dispositivo de respaldo
Detalles de la versión:
 Se ofrece para servidor delicado
 Posibilidad de tener varios servidores de archivos
 Soporta procesadores 386, 486 y Pentium
 Soporte de múltiples procesadores
 206 GB como máxima capacidad de almacenamiento en disco
 El tamaño máximo de un archivo es ilimitado
 250 como numero de archivos abiertos simultáneamente
 20 es el numero máximo de impresoras compartidas por servidor
 El numero máximo de conexiones por servidor esta limitado por la RAM.
  MODELOS BASADOS EN SISTEMAS PUNTO A PUNTO
Están diseñados para redes que cuentan con 10-20 estaciones de trabajo
 INVISIBLE LAN
Este sistema operativo en desuso cuenta con una velocidad de proceso alta, sobretodo si se
instala Ultra Server que consiste en incorporar un servidor dedicado con capacidad multitarea
y proceso a 32 bits, sencillez en su instalación y capacidades para correo electrónico.
Los requerimientos necesarios para su funcionamiento son:
 Una configuración mínima de memoria RAM muy baja
 Una unidad de disco duro con suficiente capacidad de almacenamiento para el tamaño de la
 red. La capacidad mínima es de 10MB
 Una tarjeta de red
 Cableado de red
 Microsoft Windows 3.11
Detalles de la versión:
 Se ofrecen para servidor dedicado con ultra Server
 250 como numero máximo de usuarios
 El hardware va incluido o se puede adquirir por separado
 Soporta lectores de CD-ROM
 Soporta sistema de alimentación interrumpida (SAI)
 Se puede cargar en memoria extendida, expandida o alta
 Incorpora gestor de memoria
 LANTASTIC
Proporciona una pasarela para conectarse a un servidor de archivos Net Ware y acceder a
todos los archivos a través del servidor LANtastic. También permite compartir archivos que se
encuentren en equipos que ejecutan: Windows NT 4, Windows 95/98, Windows 3.x y MS-DOS
La instalación es simple y de una forma sencilla se puede crear usuarios y grupos, así como
darles derecho de acceso.
Los requerimientos necesarios para su funcionamiento son:
 Una configuración mínima de memoria RAM baja
 Una unidad de disco duro con suficiente capacidad de almacenamiento para el tamaño de la
 red. La capacidad mínima es de 10 MB
 Una tarjeta de red
 Cableado de red
Detalles de la versión:
 10 como numero máximo de usuarios
 El hardware va incluido o se puede adquirir por separado
 Soporta lectores CD-ROM
 Soporta sistema de alimentación interrumpida (SAI)
 Se puede cargar en memoria alta
 Incorpora gestor de memoria alta
 WINDOWS 95/98
Proporciona una buena integración entre Microsoft Windows y una red punto a punto,
proporcionando una pasarela para conectarse a un servidor de archivos NetWare y acceder a
todos sus archivos.
Los menús y funciones de la red están integradas en el propio Windows y la administración y
gestión de la red se realizan con varias utilidades: panel de control, explorador de Windows y
entorno de red.
Los requerimientos necesarios para su funcionamiento son:
 Una configuración mínima de memoria RAM de 8 MB
 Una unidad de disco duro con suficiente capacidad de almacenamiento para el tamaño de la
 red
 Una tarjeta de red
 Cableado de red
Detalles de la versión:
 Soporta lectores de CD-ROM
 Soporta sistema de alimentación interrumpida (SAI)
 NETWARE LITE
Se puede acceder fácilmente a netware y los comandos que proporcionan son similares a
netware 3.2 pero para entrar en dichas redes, es necesario cargar IPX y NETX.
No tiene correo electrónico pero soporta cualquier correo basado en MHS.
Los requerimientos necesarios para su funcionamiento son.
 Una configuración mínima de memoria RAM baja
 Una unidad de disco duro con suficiente capacidad de almacenamiento para el tamaño de la
 red. La capacidad mínima es de 10MB
 Una tarjeta de red
Cableado de red
 Microsoft Windows 3.0 o posterior
Detalles de la versión:
 Soporta lectores de CD-ROM
 No soporta sistema de alimentación interrumpida (SAI)
 Se pueden cargar en memoria extendida, expandida o alta
 Incorpora gestos de memoria
 10NET
Ofrece funciones de seguridad, velocidad, y gestión de impresión así como, conexión de redes
netware.
No ofrece correo electrónico y soporta los paquetes que hay en el mercado, en la gestión de
impresoras permite que varias colas trabajen con una impresora o que varias impresoras
compartan la misma cola de impresión, permite el control del disco con umbrales es decir los
administradores pueden establecer limites para mantener la cantidad de espacio libre
disponible en el servidor.
Los requerimientos necesarios para su funcionamiento son:
 Una configuración mínima de memoria RAM muy baja
 Una unidad de disco duro con suficiente capacidad de almacenamiento para el tamaño de la
 red. La capacidad mínima es de 10 MB
 Una tarjeta de red
 Cableado de la red
 Microsoft Windows 3.0 o posterior
Detalles de la versión:
 El hardware va incluido o se puede adquirir por separado
 Soporta lectores CD-ROM
 Soporta sistema de alimentación interrumpida (SAI)
 Se puede cargar en forma alta
 Incorpora gestor de memoria
Introducción a los Sistemas Operativos de
Red
   Al igual que un equipo no puede trabajar sin un sistema operativo, una red de equipos no puede funcionar
sin un sistema operativo de red. Si no se dispone de ningún sistema operativo de red, los equipos no pueden
compartir recursos y los usuarios no pueden utilizar estos recursos.

  Dependiendo del fabricante del sistema operativo de red, tenemos que el software de red para un equipo
personal se puede añadir al propio sistema operativo del equipo o integrarse con él.

   NetWare de Novell es el ejemplo más familiar y famoso de sistema operativo de red donde el software de
red del equipo cliente se incorpora en el sistema operativo del equipo. El equipo personal necesita ambos
sistema operativos para gestionar conjuntamente las funciones de red y las funciones individuales.

  El software del sistema operativo de red se integra en un número importante de sistemas operativos
conocidos, incluyendo Windows 2000 Server/Professional, Windows NT Server/Workstation, Windows
95/98/ME y Apple Talk.

   Cada configuración (sistemas operativos de red y del equipo separados, o sistema operativo combinando
las funciones de ambos) tiene sus ventajas e inconvenientes. Por tanto, nuestro trabajo como especialistas
en redes es determinar la configuración que mejor se adapte a las necesidades de nuestra red.


Coordinación del software y del hardware

  El sistema operativo de un equipo coordina la interacción entre el equipo y los programas (o aplicaciones)
que está ejecutando. Controla la asignación y utilización de los recursos hardware tales como:

                 Memoria.
                 Tiempo de CPU.
                 Espacio de disco.
                 Dispositivos periféricos.

    En un entorno de red, los servidores proporcionan recursos a los clientes de la red y el software de red del
cliente permite que estos recursos estén disponibles para los equipos clientes. La red y el sistema operativo
del cliente están coordinados de forma que todos los elementos de la red funcionen correctamente.


Multitarea

   Un sistema operativo multitarea, como su nombre indica, proporciona el medio que permite a un equipo
procesar más de una tarea a la vez. Un sistema operativo multitarea real puede ejecutar tantas tareas como
procesadores tenga. Si el número de tareas es superior al número de procesadores, el equipo debe ordenar
los procesadores disponibles para dedicar una cierta cantidad de tiempo a cada tarea, alternándolos hasta
que se completen las citadas tareas. Con este sistema, el equipo parece que está trabajando sobre varias
tareas a la vez.

  Existen dos métodos básicos de multitarea:

                   Con prioridad. En una multitarea con prioridad, el sistema operativo puede tomar el
         control del procesador sin la cooperación de la propia tarea.
                   Sin prioridad (cooperativo). En una multitarea sin prioridad, la propia tarea decide
         cuándo deja el procesador. Los programa escritos para sistemas de multitarea sin prioridad deben
         incluir algún tipo de previsión que permita ejercer el control del procesador. No se puede ejecutar
         ningún otro programa hasta que el programa sin prioridad haya abandonado el control del
         procesador.
El sistema multitarea con prioridad puede proporcionar ciertas ventajas dada la interacción entre el
sistema operativo individual y el Sistema Operativo de Red (sistema operativo de red). Por ejemplo, cuando
la situación lo requiera, el sistema con prioridad puede conmutar la actividad de la CPU de una tarea local a
una tarea de red.


Componentes software
   El software cliente de red debe instalarse sobre el sistema operativo existente, en aquellos sistemas
operativos de equipo que no incluyan funciones propias de red. Otros sistemas operativos, como Windows
NT/2000, integran el sistema operativo de red y sistema operativo del equipo. A pesar de que estos sistema
integrados tienen algunas ventajas, no evitan la utilización de otros Sistema Operativo de Red. Es
importante considerar la propiedad de interoperabilidad cuando se configuran entornos de red
multiplataforma. Se dice que los elementos o componentes de los sistemas operativos «interoperan» cuando
pueden funcionar en diferentes entornos de trabajo. Por ejemplo, un servidor NetWare puede interoperar (es
decir, acceder a los recursos) con servidores NetWare y servidores Windows NT/2000.

  Un sistema operativo de red:

                  Conecta todos los equipos y periféricos.
                  Coordina las funciones de todos los periféricos y equipos.
                  Proporciona seguridad controlando el acceso a los datos y periféricos.

  Las dos componentes principales del software de red son:

                  El software de red que se instala en los clientes.
                  El software de red que se instala en los servidores.


Software de cliente

   En un sistema autónomo, cuando un usuario escribe un comando que solicita el equipo para realizar una
tarea, la petición circula a través del bus local del equipo hasta la CPU del mismo. Por ejemplo, si quiere ver
un listado de directorios de uno de los discos duros locales, la CPU interpreta y ejecuta la petición y, a
continuación, muestra el resultado del listado de directorios en una ventana.

   Sin embargo, en un entorno de red, cuando un usuario inicia una petición para utilizar un recurso que
está en un servidor en otra parte de la red, el comportamiento es distinto. La petición se tiene que enviar, o
redirigir, desde el bus local a la red y desde allí al servidor que tiene el recurso solicitado. Este envío es
realizado por el redirector.


Redirector

  Un redirector procesa el envío de peticiones. Dependiendo del software de red, este redirector se conoce
como «Shell» o «generador de peticiones». El redirector es una pequeña sección del código de un Sistema
Operativo de Red que:

                 Intercepta peticiones en el equipo.
                 Determina si la peticiones deben continuar en el bus del equipo local o deben redirigirse a
         través de la red a otro servidor

   La actividad del redirector se inicia en un equipo cliente cuando el usuario genera la petición de un
recurso o servicio de red. El equipo del usuario se identifica como cliente, puesto que está realizando una
petición a un servidor. El redirector intercepta la petición y la envía a la red.

   El servidor procesa la conexión solicitada por los redirectores del cliente y les proporciona acceso a los
recursos solicitados. En otras palabras, los servicios del servidor solicitados por el cliente.
Designadores

   Normalmente, el sistema operativo proporcionará diferentes opciones para acceder al directorio cuando
necesite acceder a un directorio compartido y tenga los correspondientes permisos para realizarlo. Por
ejemplo, con Windows NT/2000, podría utilizar el icono Conectar a unidad de red del Explorador de Windows
NT/2000 para conectarse a la unidad de red. También, puede asignar una unidad. La asignación de unidades
consiste en asignar una letra o nombre a una unidad de disco, de forma que el sistema operativo o el
servidor de la red puede identificarla y localizarla. El redirector también realiza un seguimiento de los
designadores de unidades asociados a recursos de red.


Periféricos

  Los redirectores pueden enviar peticiones a los periféricos, al igual que se envían a los directorios
compartidos. La petición se redirige desde el equipo origen y se envía a través de la red al correspondiente
destino. En este caso, el destino es el servidor de impresión para la impresora solicitada.

   Con el redirector, podemos referenciar como LPT1 o COM1 impresoras de red en lugar de impresoras
locales. El redirector intercepta cualquier trabajo de impresión dirigido a LPT1 y lo envía a la impresora de
red especificada.

   La utilización del redirector permite a los usuarios no preocuparse ni de la ubicación actual de los datos o
periféricos ni de la complejidad del proceso de conexión o entrada. Por ejemplo, para acceder a los datos de
un ordenador de red, el usuario sólo necesita escribir el designador de la unidad asignado a la localización
del recurso y el redirector determina el encaminamiento actual.


Software de servidor

  El software de servidor permite a los usuarios en otras máquinas, y a los equipos clientes, poder
compartir los datos y periféricos del servidor incluyendo impresoras, trazadores y directorios.

  Si un usuario solicita un listado de directorios de un disco duro remoto compartido. El redirector envía la
petición por la red, se pasa al servidor de archivos que contiene el directorio compartido. Se concede la
petición y se proporciona el listado de directorios.


Compartir recursos

  Compartir es el término utilizado para describir los recursos que públicamente están disponibles para
cualquier usuario de la red. La mayoría de los sistemas operativos de red no sólo permiten compartir, sino
también determinar el grado de compartición. Las opciones para la compartición de recursos incluyen:

                 Permitir diferentes usuarios con diferentes niveles de acceso a los recursos.
                 Coordinación en el acceso a los recursos asegurando que dos usuarios no utilizan el mismo
         recurso en el mismo instante.

  Por ejemplo, un administrador de una oficina quiere que una persona de la red se familiarice con un cierto
documento (archivo), de forma que permite compartir el documento. Sin embargo, se controla el acceso al
documento compartiéndolo de forma que:

                  Algunos usuarios sólo podrán leerlo.
                  Algunos usuarios podrán leerlo y realizar modificaciones en él.


Gestión de usuarios

   Los sistemas operativos de red permiten al administrador de la red determinar las personas, o grupos de
personas, que tendrán la posibilidad de acceder a los recursos de la red. El administrador de una red puede
utilizar el Sistema Operativo de Red para:
Crear permisos de usuario, controlados por el sistema operativo de red, que indican quién
         puede utilizar la red.
                 Asignar o denegar permisos de usuario en la red.
                 Eliminar usuarios de la lista de usuarios que controla el sistema operativo de red.

   Para simplificar la tarea de la gestión de usuarios en una gran red, el sistema operativo de red permite la
creación de grupos de usuarios. Mediante la clasificación de los individuos en grupos, el administrador puede
asignar permisos al grupo. Todos los miembros de un grupo tendrán los mismos permisos, asignados al
grupo como una unidad. Cuando se une a la red un nuevo usuario, el administrador puede asignar el nuevo
usuario al grupo apropiado, con sus correspondientes permisos y derechos.


Gestión de la red

   Algunos sistemas operativos de red avanzados incluyen herramientas de gestión que ayudan a los
administradores a controlar el comportamiento de la red. Cuando se produce un problema en la red, estas
herramientas de gestión permiten detectar síntomas de la presencia del problema y presentar estos
síntomas en un gráfico o en otro formato. Con estas herramientas, el administrador de la red puede tomar la
decisión correcta antes de que el problema suponga la caída de la red.


Selección de un sistema operativo de red
   El sistema operativo de red determina estos recursos, así como la forma de compartirlos y acceder a
ellos.

   En la planificación de una red, la selección del sistema operativo de red se puede simplificar de forma
significativa, si primero se determina la arquitectura de red (cliente/servidor o Trabajo en Grupo) que mejor
se ajusta a nuestras necesidades. A menudo, esta decisión se basa en los tipos de seguridad que se
consideran más adecuados. La redes basadas en servidor le permiten incluir más posibilidades relativas a la
seguridad que las disponibles en una red Trabajo en Grupo. Por otro lado, cuando la seguridad no es una
propiedad a considerar, puede resultar más apropiado un entorno de red Trabajo en Grupo.

   Después de identificar las necesidades de seguridad de la red, el siguiente paso es determinar los tipos de
interoperabilidad necesaria en la red para que se comporte como una unidad. Cada sistema operativo de red
considera la interoperabilidad de forma diferente y, por ello, resulta muy importante recordar nuestras
propias necesidades de interoperabilidad cuando se evalúe cada Sistema Operativo de Red. Si la opción es
Trabajo en Grupo, disminuirán las opciones de seguridad e interoperabilidad debida a las limitaciones propias
de esta arquitectura. Si la opción seleccionada se basa en la utilización de un servidor, es necesario realizar
estimaciones futuras para determinar si la interoperabilidad va a ser considerada como un servicio en el
servidor de la red o como una aplicación cliente en cada equipo conectado a la red. La interoperabilidad
basada en servidor es más sencilla de gestionar puesto que, al igual que otros servicios, se localiza de forma
centralizada. La interoperabilidad basada en cliente requiere la instalación y configuración en cada equipo.
Esto implica que la interoperabilidad sea mucho más difícil de gestionar.

  No es raro encontrar ambos métodos (un servicio de red en el servidor y aplicaciones cliente en cada
equipo) en una misma red. Por ejemplo, un servidor NetWare, a menudo, se implementa con un servicio
para los equipos Apple, mientras que la interoperabilidad de las redes de Microsoft Windows se consigue con
una aplicación cliente de red en cada equipo personal.

   Cuando se selecciona un sistema operativo de red, primero se determinan los servicios de red que se
requieren. Los servicios estándares incluyen seguridad, compartición de archivos, impresión y mensajería;
los servicios adicionales incluyen soporte de interoperabilidad para conexiones con otros sistemas
operativos. Para cualquier Sistema Operativo de Red, es necesario determinar los servicios de
interoperabilidad o clientes de red a implementar para adecuarse mejor a las necesidades.

  Los sistemas operativos de red basados en servidor más importantes son Microsoft Windows NT 4,
Windows 2000 Server y Novell NetWare 3.x, 4.x y 5.x. Los sistemas operativos de red Trabajo en Grupo más
importantes son AppleTalk, Windows 95 y 98 y UNIX (incluyendo Linux y Solaris).



  Sistemas operativos de Novell
Introducción a NetWare
    El sistema operativo de red NetWare está formado por aplicaciones de servidor y cliente. La aplicación
cliente se diseña para ejecutarse sobre una variedad importante de los sistemas operativos que residen en
los clientes. Los usuarios clientes pueden acceder a la aplicación servidor a partir de ordenadores que
ejecuten MS-DOS, Microsoft Windows (versiones 3.x, 95 y 98 y Windows NT), OS/2, Apple Talk o UNIX. A
menudo, NetWare es la opción que se utiliza como sistema operativo en entornos de múltiples sistemas
operativos mezclados.

   La versión 3.2 de NetWare es un Sistema Operativo de Red de 32 bits que admite entornos Windows
(versiones 3.x, 95 y 98 y Windows NT), UNIX, Mac OS y MS-DOS. Con la versión NetWare 4.11, también
denominada IntranetWare, Novell introdujo su nuevo Sistema Operativo de Red, los Servicios de directorios
de Novell (NDS). La versión 5, última versión distribuida, se centra en la integración de LAN, WAN,
aplicaciones de red, intranets e Internet en una única red global.

   Los Servicios de directorios de Novell (NDS) proporcionan servicios de nombre y seguridad,
encaminamiento, mensajería, publicación Web y servicios de impresión y de archivos. Mediante la utilización
de la arquitectura de directorios X.500, organiza todos los recursos de red, incluyendo usuarios, grupos,
impresoras, servidores y volúmenes. NDS también proporciona una entrada única para el usuario, que
permite a éste poder entrar en cualquier servidor de la red y tener acceso a todos sus permisos y derechos
habituales.

  Otros Sistema Operativo de Red proporcionan software de cliente para la interoperabilidad con servidores
NetWare. Por ejemplo, Windows NT proporciona Servicios de enlace para NetWare (Gateway Services
GSNW). Con este servicio, un servidor Windows NT puede obtener acceso a servicios de archivo e impresión
NetWare.


Servicios NetWare
   Con el Cliente NetWare instalado, cualquier estación cliente puede obtener todas las ventajas de los
recursos proporcionados por un servidor NetWare. Algunos de los servicios más importantes que
proporciona, son:


Servicios de archivos

   Los servicios de archivos de NetWare forman parte de la base de datos NDS. NDS proporciona un único
punto de entrada para los usuarios y permite a los usuarios y administradores ver de la misma forma los
recursos de la red. Dependiendo del software de cliente instalado, podrá ver la red completa en un formato
conocido para el sistema operativo de la estación de trabajo. Por ejemplo, un cliente Microsoft Windows
puede asignar una unidad lógica a cualquier volumen o directorio de un servidor de archivos de NetWare, de
forma que los recursos de NetWare aparecerán como unidades lógicas en sus equipos. Estas unidades
lógicas funcionan igual que cualquier otra unidad en sus equipos.


Seguridad

  NetWare proporciona seguridad de gran alcance, incluyendo:

                  Seguridad de entrada. Proporciona verificación de autenticación basada en el nombre de
         usuario, contraseña y restricciones de cuentas y de tiempo.
                  Derechos de Trustee. Controla los directorios y archivos a los que puede acceder un
         usuario y lo que puede realizar el usuario con ellos.
                  Atributos de archivos y directorios. Identifica los tipos de acciones que se pueden llevar
         a cabo en un archivo (visualizarlo, escribir en él, copiarlo, buscarlo u ocultarlo o suprimirlo).


Servicios de impresión

  Los servicios de impresión son transparentes (invisibles) al usuario de un equipo cliente. Cualquier
petición de impresión por parte de un cliente es redirigida al servidor de archivos, donde se envía al servidor
de impresión y, finalmente, a la impresora. El mismo equipo puede actuar como servidor de archivos y
servidor de impresión. Permite compartir dispositivos de impresión que se conectan al servidor, a la estación
de trabajo o, directamente, a la red por medio de las propias tarjetas de red (NIC) de los dispositivos. Los
servicios de impresión de NetWare pueden admitir hasta 256 impresoras.


Envío de mensajes a otros

   Por medio de algunos comandos sencillos, los usuarios pueden enviar un breve mensaje a otros usuarios
de la red. Los mensajes se pueden enviar a grupos o de forma individual. Si todos los receptores pertenecen
al mismo grupo, es conveniente enviar el mensaje al grupo en lugar de enviarlo de forma individual. Los
usuarios también pueden activar o desactivar este comando para sus estaciones de trabajo. Cuando un
usuario desactiva este comando, no recibirá ningún mensaje enviado.

   Los mensaje también se pueden controlar a través del Servicio de control de mensajes (Message Handling
Service – MHS). MHS se puede instalar en cualquier servidor y configurarse como una infraestructura de
mensajes completamente interconectada para una distribución de correo electrónico. MHS admite los
programas más habituales de correo electrónico.


Interoperabilidad
   No siempre se puede conseguir la interoperabilidad completa de un Sistema Operativo de Red. Es
especialmente cierta cuando se conectan dos redes diferentes, como NetWare y Windows NT. Un entorno
NetWare, caracterizado por sus servicios de directorio y Windows NT que trabaja sobre la base de un modelo
de dominio, son esencialmente incompatibles. Para solucionar este problema, Windows NT desarrolló NWLink
y GSNW que le permiten interoperar. Estos servicios permiten a un servidor en una red Windows NT actuar
como un enlace a la red NetWare. Cualquier estación en la red Windows NT puede solicitar recursos o
servicios disponibles en la red NetWare, pero deben realizar la petición a través del servidor Windows NT. A
continuación, el servidor actuará como cliente en la red NetWare, pasando las peticiones entre las dos redes.



  Sistemas operativos de red de Microsoft
Introducción a Windows NT
   A diferencia del sistema operativo NetWare, Windows NT combina el sistema operativo del equipo y de
red en un mismo sistema. Windows NT Server configura un equipo para proporcionar funciones y recursos
de servidor a una red, y Windows NT Workstation proporciona las funciones de cliente de la red.

   Windows NT trabaja sobre un modelo de dominio. Un dominio es una colección de equipos que comparten
una política de seguridad y una base de datos común. Cada dominio tiene un nombre único. Dentro de cada
dominio, se debe designar un servidor como Controlador principal de dominio (PDC, Primary Domain
Controller). Este servidor mantiene los servicios de directorios y autentifica cualquier usuario que quiera
entrar en el sistema. Los servicios de directorios de Windows NT se pueden implementar de varias formas
utilizando la base de datos de seguridad y de las cuentas.

  Existen cuatro modelos de dominio diferentes.

                   Dominio único. Un único servidor mantiene la base de datos de seguridad y de las
        cuentas.
                Maestro único. Una red con maestro único puede tener diferentes dominios, pero se
        designa uno como el maestro y mantiene la base de datos de las cuentas de usuario.
                Maestro múltiple. Una red con maestro múltiple incluye diferentes dominios, pero la base
        de datos de las cuentas se mantiene en más de un servidor. Este modelo se diseña para
        organizaciones muy grandes.
                Confianza-completa. «Confianza completa» significa que existen varios dominios, pero
        ninguno está designado como maestro. Todos los dominios confían completamente en el resto.


Servicios de Windows NT
Los servicios más importantes que Windows NT Server y Workstation proporcionan a una red:


Servicios de archivos

   Existen dos mecanismos que permiten compartir archivos en una red Windows NT. El primero se basa en
un proceso sencillo de compartición de archivos, como puede ser una red Trabajo en Grupo. Cualquier
estación o servidor puede publicar un directorio compartido en la red y especificar los atributos de los datos
(sin acceso, lectura, agregar, cambio, control total). La gran diferencia entra los sistemas operativos
Windows NT y Windows 95 /98 es que para compartir un recurso de Windows NT debe tener permisos de
administrador. El siguiente nivel de compartición obtiene las ventajas completas de las características de
seguridad de Windows NT. Puede asignar permisos a nivel de directorio y a nivel de archivos. Esto le permite
restringir el acceso a grupos o usuarios determinados. Para poder obtener las ventajas de un proceso de
compartición de archivos más avanzado, es necesario utilizar el sistema de archivos de Windows NT (NTFS).
Durante la instalación de Windows NT, puede seleccionar entre un sistema de archivos NTFS o un sistema
FAT-16 bits (MS-DOS). Puede instalar ambos sistemas sobre unidades fijas diferentes o sobre particiones
distintas de un mismo disco duro, pero cuando el equipo esté trabajando en modo MS-DOS, no estarán
disponibles los directorios de NTFS. Cualquier cliente que no utilice NTFS puede compartir la red, pero está
limitado para publicar recursos compartidos y no puede utilizar las ventajas de las utilidades de seguridad de
NTFS.


Seguridad

   Al igual que los Sistema Operativo de Red más importantes, Windows NT proporciona seguridad para
cualquier recurso de la red. El servidor de dominio en una red Windows NT mantiene todos los registros de
las cuentas y gestiona los permisos y derechos de usuario. Para acceder a cualquier recurso de la red, el
usuario debe tener los derechos necesarios para realizar la tarea y los permisos adecuados para utilizar el
recurso.


Impresión

   En una red Windows NT, cualquier servidor o cliente puede funcionar como servidor de impresión.
Compartir una impresora de red implica que esté disponible para cualquier usuario de red (sujeto a las
reglas de compartición). Cuando se instala una impresora, primero se pregunta si la impresora está
designada como impresora local (Mi PC) o como impresora de red. Si se selecciona como impresora de red,
aparece un cuadro de diálogo mostrando todas las impresoras de red disponibles. Todo lo que tiene que
hacer es seleccionar aquella que desea utilizar. Recuerde que puede instalar más de una impresora en una
máquina.

  Además, si está instalando una impresora local, se preguntará si quiere compartir la impresora con otros
usuarios de la red.


Servicios de red

   Windows NT proporciona diferentes servicios de red que ayudan a facilitar una red de ejecución uniforme.
Algunos servicios son:

                 Servicio de mensajería. Monitoriza la red y recibe mensajes emergentes para el usuario.
                 Servicio de alarma. Envía las notificaciones recibidas por el servicio de mensajería.
                 Servicio de exploración. Proporciona una lista de servidores disponibles en los dominios
        y en los grupos de trabajo.
                 Servicio de estación. Se ejecuta sobre una estación de trabajo y es responsable de las
        conexiones con el servidor. Además, se conoce como el redirector.
                 Servicio de Servidor. Proporciona acceso de red a los recursos de un equipo.


Interoperabilidad
   El protocolo de red NWLink se diseña para que Windows NT sea compatible con NetWare. Los servicios
disponibles son:
Servicios de enlace para NetWare (Gateway Services for NetWare GSNW). Todos
        los clientes de Windows NT, dentro de un dominio, deben conectarse con un servidor NetWare a
        través de una única fuente. GSNW proporciona la conexión basada en gateway entre un dominio de
        Windows NT y un servidor NetWare. Esto funciona correctamente en condiciones de bajo volumen,
        pero provocará una bajada en el rendimiento cuando se incremente el número de peticiones.
                  Servicios de cliente para NetWare (Client Services for NetWare CSNW). Este
        servicio activa una estación Windows NT para acceder a los servicios de archivo e impresión de un
        servidor NetWare. Se incluye como parte de GSNW.
                  Servicios de archivos e impresión para NetWare (File and Print Services for
        NetWare FPNW). Esta utilidad permite a los clientes de NetWare acceder a los servicios de archivo
        e impresión de Windows NT. No forma parte del paquete de Windows NT y debe adquirirse por
        separado.
                  Gestor de los servicios de directorio para NetWare (Directory Service Manager for
        NetWare DSMN). Esta utilidad adicional integra la información de cuentas de los grupos y de
        usuarios de Windows NT y NetWare. No forma parte del paquete de Windows NT y debe adquirirse
        por separado.
                  Herramienta de migración para NetWare. Esta herramienta la utilizan los
        administradores que están convirtiendo NetWare en Windows NT. Envía la información de las
        cuentas de un servidor NetWare a un controlador de dominio de Windows NT.



  Otros sistemas operativos de red
  Aunque Windows NT y NetWare constituyen los sistemas operativos de red más habituales del mercado,
no son los únicos disponibles. Incluir también algunos de los sistemas operativos menos conocidos como
AppleTalk, Unix y Banyan Vines. Además, veremos la utilización de Windows para Grupos de trabajo,
Windows 95 y Windows 98 para configurar redes Trabajo en Grupo, o como clientes en otras redes.

   Muchas compañías de software han desarrollado software LAN Trabajo en Grupo. Realizar una búsqueda
en Internet le ayudará a localizar estas posibles opciones.


Sistema operativo de red AppleTalk
   El sistema operativo de red AppleTalk está completamente integrado en el sistema operativo de cada
equipo que ejecuta el Mac OS. Su primera versión, denominada LocalTalk, era lenta en comparación con los
estándares de hoy en día, pero trajo consigo la interconexión de los usuarios que rápidamente hicieron uso
de ella. Todavía forma parte del Apple Sistema Operativo de Red una forma de interconexión por el puerto
de serie de LocalTalk.

   La implementación actual de AppleTalk permite posibilidades de interconexión Trabajo en Grupo de alta
velocidad entre equipos Apple, así como interoperabilidad con otros equipos y sistemas operativos de red.
No obstante, esta interoperabilidad no forma parte, obviamente, del sistema operativo de Apple; En su
lugar, los usuarios de equipos distintos de Apple pueden conectar más fácilmente sus recursos a un sistema
operativo de red de Apple mediante Apple IP, la implementación Apple del protocolo de red TCP/IP. Apple IP
permite a usuarios no Apple acceder a los recursos de Apple, como pueden ser archivos de bases de datos.

   Los equipos que forman parte del sistema operativo en red de Apple pueden conectarse a otras redes
utilizando servicios proporcionados por los fabricantes de los Sistema Operativo de Red que se están
ejecutando en los correspondientes servidores de red. Toda la comunidad Windows NT Server, Novell
NetWare y Linux proporcionan servicios de interoperabilidad Apple para sus respectivas plataformas. Esto
permite a los usuarios de Apple, conectados en red, hacer uso de los recursos disponibles en estos
servidores de red.

   El formato de los servicios de directorio de AppleTalk se basa en las características denominadas «zonas».
Se trata de grupos lógicos de redes y recursos (una red Apple Talk Fase 1 está formada por no más de una
zona, mientras que una red de Fase 2 puede tener hasta 255 zonas. Sin embargo, las dos son incompatibles
y no resulta sencillo mantenerlas en la misma estructura de cableado de red). Estas zonas proporcionan un
medio de agrupamiento de los recursos de una red en unidades funcionales.

   En el entorno actual de escritorio, los usuarios de Windows y Apple pueden beneficiarse de un alto grado
de interoperabilidad presente en el software de aplicaciones. Las colecciones de productividad (aplicaciones
estándar, por ejemplo, hojas de cálculo, bases de datos, tratamiento de textos y correo electrónico) pueden,
a menudo, intercambiar información directamente. AppleShare permite a los usuarios de un equipo Apple
compartir con otros usuarios Apple aquellos recursos para los que tienen asignados los permisos apropiados
para permitir su acceso. Con la interoperabilidad a nivel de sistema operativo y a nivel de aplicación, el
Sistema Operativo de Red de Apple puede proporcionar a los clientes, y a otros Sistema Operativo de Red,
una gama completa de posibilidades de interconexión.


Redes UNIX
   UNIX es un sistema operativo de propósito general, multiusuario y multitarea. La dos versiones más
conocidas son Linux y Solaris de Sun Microsystem. Normalmente, un sistema UNIX está constituido por un
equipo central y múltiples terminales para los usuarios. Este sistema operativo incluye las prestaciones de
red, diseñado específicamente para grandes redes, pero también presenta algunas aplicaciones para equipos
personales. UNIX trabaja bien sobre un equipo autónomo y, como consecuencia de sus posibilidades de
multitarea, también lo hace perfectamente en un entorno de red.

   UNIX es altamente adaptable al entorno cliente/servidor. Se puede transformar en un servidor de archivos
instalando el correspondiente software del servidor de archivos. A continuación, como host UNIX, puede
responder a peticiones realizadas en las estaciones de trabajo. El software del servidor de archivos es,
simplemente, una aplicación más que se está ejecutando en el equipo multitarea.

   Un cliente de un host UNIX puede ser otro equipo UNIX o cualquier otro equipo que ejecute MS-DOS,
OS/2, Microsoft Windows o Macintosh (System 7 u 8). Un redirector de archivos activará la estación para
almacenar y recuperar archivos UNIX cuando éstos están en su formato original.


Servicios virtuales de red integrados Banyan (Vines)
  Otro sistema de conexión es el Servicio virtual de red integrados Banyan (Vines). Vines es un Sistema
Operativo de Red basado en una arquitectura cliente/servidor derivado de los protocolos Xerox Network
System (XNS) de la Corporación Xerox.

   En la versión actual de Banyan Vines destaca la mensajería mediante la integración con el software
Intelligent Messaging (Mensajería inteligente) y BeyondMail de Banyan. La creación y gestión de los servicios
de red se realizan a través de la última versión de StreetTalk Explorer de Banyan. Esta interfaz trabaja con
los perfiles de usuario de Windows, aceptando las configuraciones de los usuarios en cualquier parte de la
red. Algunas características presentes en Vines:

                 Soporte cliente para Windows NT y Windows 95 y 98.
                 Banyan Intranet Connect, que proporciona acceso a cliente remoto con un navegador Web
        estándar.
                 Software servidor a servidor TCP/IP (Protocolo de control de transmisión/Protocolo de
        Internet).
                 Banyan Networker, una familia de productos de almacenamiento en red.
                 Soporte multiprocesador de hasta cuatro procesadores.


Redes locales Trabajo en Grupo
   En muchas oficinas y pequeñas empresas existe la necesidad de crear una red Trabajo en Grupo sencilla.
Una red Trabajo en Grupo podría ser la opción más económica cuando la seguridad no es importante y el
número de equipos dentro de un área relativamente pequeña es 10 o un número menor. En estas redes
todas las estaciones son iguales y cada una de ellas actúa como servidor o cliente. En muchos casos, estas
redes compartirán sólo los archivos e impresoras. La mayoría de los sistemas operativos de red incluyen el
software necesario para configurar una red Trabajo en Grupo.


Windows para Grupos de trabajo

   Windows para Grupos de trabajo (Windows 3.11) funciona de forma muy similar a su predecesor,
Windows 3.1, pero incluye un Sistema Operativo de Red Trabajo en Grupo, una aplicación de correo
electrónico y una aplicación de anotaciones. Un grupo de equipos conectados a través de una red pueden
compartir impresoras y archivos. Sólo se pueden enviar a otros miembros aquellos elementos que aparezcan
designados como compartidos. Todos los archivos e impresoras aparecen ocultos para todos los usuarios,
excepto para el equipo local. Cuando se comparte un directorio del disco o una impresora de una estación de
trabajo, se le asigna un nombre al recurso compartido que pueden utilizar el resto de usuarios para
referenciarlo. Durante el proceso de conexión se asigna una letra de unidad al directorio compartido y el
redirector redirige el puerto LPT a través de la LAN a la impresora correcta.

   Aunque todavía se utiliza Windows para Grupos de trabajo, resulta prácticamente imposible que se
requieran sus servicios para instalar una nueva red utilizando este sistema operativo.


Windows 95/98/ME

  Los sistemas operativos Windows 95/98/ME incluyen el software necesario para crear una red Trabajo en
Grupo y activar la compartición de archivos e impresoras.

   Los equipos que ejecutan Windows 95 y 98 también trabajarán como clientes en una LAN Windows NT o
NetWare. Tendrá que instalar el software de cliente (generador de peticiones) correspondiente. Los usuarios
de Windows 95 y 98 no pueden utilizar las ventajas completas que proporciona Windows NT con respecto a
las características de seguridad. Estas características requieren la utilización del formato de archivos NTFS
que no es compatible con Windows 95 y 98.


Warp Connect

   Warp Connect combina OS/2 Warp y las posibilidades de interconexión Trabajo en Grupo de WIN-OS/2.
Proporciona posibilidades de interconexión a nivel de cliente y Trabajo en Grupo similares a las que
proporciona Windows para Grupos de trabajo. Con la utilidad predefinida de conexión Trabajo en Grupo
incluida en Warp Connect, puede compartir aplicaciones, impresoras, módems y archivos, sin necesidad de
instalar hardware especial.



  Sistemas operativos de red en entornos multiplataforma
   Normalmente, los Sistema Operativo de Red tienen que integrar los productos hardware y software
fabricados por diferentes fabricantes. Las propiedades y problemas a tener en cuenta en una red
multiplataforma, son:


El entorno multiplataforma
   Hoy en día, la mayoría de la redes se encuentran un entornos multiplataforma. A pesar de que pueden
plantear retos importantes, funcionan correctamente cuando se implementan y se planifican de forma
apropiada.

  El carácter de una red cambia cuando los componentes software de diferentes plataformas deben operar
en la misma red. Los problemas pueden aumentar cuando la red está ejecutando más de un tipo de sistema
operativo de red.

  Para que una red funcione de forma apropiada en un entorno de trabajo heterogéneo, deben ser
compatibles el redirector, el sistema operativo del servidor y del cliente. En un entorno multiplataforma, es
necesario encontrar un lenguaje común que permita a todos los equipos comunicarse.


Implementación de soluciones multiplataforma
   Garantizar la interoperabilidad en entornos multiplataforma se puede conseguir a nivel de servidor
(también conocido como el «final de regreso») o a nivel de cliente (también conocido como el «final de
inicio»). La opción depende de los fabricantes que se estén utilizando.


Interoperabilidad de cliente
En las situaciones que se incluyen múltiples Sistema Operativo de Red, el redirector se convierte en la
clave de la interoperabilidad. Sólo cuando se utiliza más de un proveedor de servicios telefónicos para
comunicarse con diferente gente, se tiene que el equipo puede tener más de un redirector para comunicarse
a través de la red con servidores de red distintos.

   Cada redirector maneja sólo los paquetes enviados en el lenguaje o protocolo que puede entender. Si
conoce el destino y el recurso al que se quiere acceder, puede implementar el redirector apropiado y éste
reenviará su petición al destino adecuado.

   Si un cliente Windows NT necesita acceder al servidor Novell, para conseguirlo, el administrador de la red
carga el redirector de Microsoft, instalado en el cliente, sobre Windows NT para el acceso a los servidores
Novel.


lnteroperabilidad del servidor

   La segunda forma de implementar la comunicación entre un cliente y un servidor es instalar los servicios
de comunicaciones en el servidor, enfoque utilizado para incluir un Apple Macintosh en un entorno Windows
NT. Microsoft suministra los Servicios para Macintosh. Este software permite a un servidor Windows NT
Server comunicarse con el cliente Apple.

  Gracias a esta interoperabilidad, un usuario Macintosh puede seguir el procedimiento estándar de un
Macintosh y visualizar los iconos propios del sistema, como puede ser Chooser and Finder, incluso cuando el
usuario está accediendo a los recursos de Windows NT Server.


Opciones de fabricantes

  Los tres fabricantes más importantes de productos de redes son:

                 Microsoft.
                 Novell.
                 Apple.

  Cada una de estas plataformas proporcionan utilidades que:

                 Hacen posible que sus sistemas operativos se puedan comunicar con servidores de las
         otras dos plataformas.
                 Ayudan a sus servidores a reconocer clientes de las otras dos plataformas.


Microsoft

  Microsoft ha desarrollado un redirector que reconoce redes Microsoft dentro de los siguientes sistemas
operativos de Microsoft:

                 Windows NT/2000
                 Windows 95/98/ME.
                 Windows para Grupos de trabajo.

   Los redirectorios se implementan, de forma automática, durante la instalación del sistema operativo. Una
utilidad de instalación carga los controladores requeridos y, a continuación, edita los archivos de inicio, de
forma que el redirector se active la próxima vez que el usuario encienda el equipo.

   El software redirector de Microsoft no sólo permite a los clientes acceder a los recursos, sino también
proporciona cada cliente Windows para Grupos de trabajo y Windows NT con la posibilidad de compartir sus
propios recursos.

  Microsoft en un entorno Novell. Los productos Microsoft y Novell pueden trabajar juntos.
Para conectar un cliente con Windows NT Workstation a una red Novell NetWare 3.x o 4.x
         se requiere NWLink y Servicio de Cliente para NetWare (CSNW) o el Cliente NetWare de Novell para
         Windows NT.
                  Para conectar un servidor Windows NT Server a una red NetWare se requiere NWLink y el
         Servicio de Enlace para NetWare (GSNW). NWLink es la implementación de Microsoft del protocolo
         de intercambio de paquetes entre redes/Intercambio de paquetes secuenciados (IPX/SPX). CSNW
         es la implementación en Microsoft de un generador de peticiones de NetWare (terminología para el
         redirector en Novell).
                  Para conectar un cliente Windows 95 o 98 a una red NetWare se requiere IPX/SPX y redes
         CSNW de Microsoft.

   El Servicio de Microsoft para los Servicios de directorios de Novell (NDS) es el software de cliente para
NetWare que incorpora soporte para Novell Network 4.x y Servicios de Directorios 5.x. Microsoft NDS
proporciona a los usuarios con entrada y exploración soporte para servicios de enlace en NetWare 3.x y
NetWare 4.x como servidores NDS NetWare 4.x y 5.x.

   Clientes basados en MS-DOS. Los fabricantes de los sistemas operativos de servidor ofrecen utilidades
que permiten a los clientes que utilizan MS-DOS, acceder a los servidores de estos tres fabricantes. Todas
estas utilidades pueden residir en una máquina, de forma que el cliente con MS-DOS puede acceder a los
servidores correspondientes de los tres entornos.


Novell

    Los servidores Novell reconocen los siguientes clientes para los servicios de archivos e impresión. Los
clientes NetWare que ejecutan MS-DOS pueden conectarse a:

                 Servidores NetWare de Novell.
                 Equipos con Windows NT Server.

  Los clientes Windows NT que ejecutan el generador de peticiones de NetWare y el redirector de Windows
NT pueden conectarse a:

                 Servidores NetWare de Novell.
                 Equipos con Windows NT Server y Windows NT Workstation.

  Novell proporciona generadores de peticiones para sistemas operativos de clientes incluyendo:

                 MS-DOS.
                 OS/2.
                 Cliente NetWare para Windows NT.


Apple

   En el entorno de Macintosh, el redirector para la conexión AppleShare se incluye con el sistema operativo
AppleTalk y proporciona la función de compartir archivos. El software de cliente se incluye con cada copia del
sistema operativo de Apple. Además, se incluye un servidor de impresión de AppleShare, que gestiona las
colas de impresión. Por tanto, tenemos que los Macintosh están equipados para formar parte de la redes
Apple.

   Cliente basado en MS-DOS. El software de conexión AppleShare ofrece a los clientes que utilizan MS-
DOS acceso a los servidores de archivos e impresión de AppleShare. Con el software de ordenador personal
LocalTalk y una tarjeta de equipo personal LocalTalk instalada en los equipos, los usuarios pueden acceder a
los volúmenes (almacenamiento de archivos) del servidor de archivos e impresoras de una red AppleTalk. La
tarjeta de equipo personal LocalTalk controla el enlace entre la red AppleTalk y el equipo personal. El
software del controlador LocalTalk para el equipo personal implementa muchos de los protocolos de
AppleTalk e interactúa con la tarjeta para enviar y recibir paquetes.

   Servicios para Macintosh. A través de los Servicios para Macintosh, un servidor Windows NT puede
estar disponible para los clientes Macintosh. Este producto hace posible que los clientes de MS-DOS y
Macintosh puedan compartir archivos e impresoras. Los Servicios para Macintosh incluyen las versiones 2.0 y
2.1 de Apple Talk Protocol, LocalTalk, Ether Talk, Token Talk y FDDITalk. Además, los Servicios para
Macintosh admiten la impresora LaserWriter versión 5.2 o posterior.


        SISTEMAS OPERATIVOS DE RED



        Los sistemas operativos de red, además de incorporar herramientas
        propias de un sistema operativo como son por ejemplo las herramientas
        para manejo de ficheros y directorios, incluyen otras para el uso, gestión y
        mantenimiento de la red, así como herramientas destinadas a correo
        electrónico, envío de emnsajes, copia de ficheros entre nodos, ejecución
        de aplicaciones contenidas en otras máquinas, compartición de recursos
        hardware etc. Existen muchos sistemas operativos capaces de gestionar
        una red dependiente de las arquitecturas de las máquinas que se utilicen.
        Los más comunes son : Novell, Lantastic, Windows 3.11 para trabajo en
        grupo, Unix, Linux, Windows 95, Windows NT, OS/2... Cada sistema
        operativo ofrece una forma diferente de manejar la red y utiliza diferentes
        protocolos para la comunicación.



        Sin el software una computadora es en esencia una masa metálica sin
        utilidad. Con el software, una computadora puede almacenar, procesar y
        recuperar información, encontrar errores de ortografía e intervenir en
        muchas otras valiosas actividades para ganar el sustento. El software para
        computadoras puede clasificarse en general, en 2 clases: los programas
        de sistema, que controlan la operación de la computadora en sí y los
        programas de aplicación, los cuales resuelven problemas para sus
        usuarios. El programa fundamental de todos los programas de sistema, es
        el Sistema Operativo, que controla todos los recursos de la computadora y
        proporciona la base sobre la cual pueden escribirse los programas de
        aplicación.

        Servicios de los sistemas operativos

        Tipos de servicios

        ·         Ejecución de programas. El sistema tiene que ser capaz de
        cargar un programa en memoria y ejecutarlo.

        ·            Operaciones de entrada/salida. Como un programa no puede
        acceder directamente a un dispositivo de E/S el sistema operativo debe
        facilitarle algunos medios para realizarlo.
·           Manipulación del sistema de archivos. El sistema operativo
     debe facilitar las herramientas necesarias para que los programas puedan
     leer, escribir y eliminar archivos.

     ·         Detección de errores. El sistema operativo necesita
     constantemente detectar posibles errores. Los errores pueden producirse
     en la CPU y en el hardware de la memoria, en los dispositivos de E/S o
     bien en el programa de usuario. Para cada tipo de error, el sistema
     operativo debe adoptar la iniciativa apropiada que garantice una
     computación correcta y consistente.

     Funciones de Manejo


     Uno de los módulos más importantes de un sistema operativo es la de
     administrar los procesos y tareas del sistema de cómputo. Para realizar
     esto el sistema operativo ocupa la multiprogramación, este es un método
     para incrementar el empleo de la CPU disponiendo en todo momento de
     algo que la CPU pueda ejecutar. El trabajo que se realiza es el siguiente,
     cuando un proceso deja libre la CPU para realizar una E/S, el sistema
     operativo cambia a otro trabajo y lo ejecuta. Cuando este último deba
     esperar.




CÓMO FUNCIONA UNA RED


     Se puede pensar por un momento en el servicio de correos. Cuando
     alguien desea mandar una carta a otra persona, la escribe, la mete en un
     sobre con el formato impuesto por correos, le pone un sello y la introduce
     en un buzón; la carta es recogida por el cartero, clasificada por el personal
     de correos, según su destino y enviada a través de medios de transporte
     hacia la ciudad destino; una vez allí otro cartero irá a llevarla a la dirección
     indicada en el sobre; si la dirección no existe, al cabo del tiempo la carta
     devolverá al origen por los mismos cauces que llegó al supuesto destino.



     Más o menos, esta es la forma en que funciona una red : la carta escrita
     es la información que se quiere transmitir; el sobre y sello es el paquete
     con el formato impuesto por el protocolo que se utiliza en la transmisión; la
     dirección del destinatario es la dirección del nodo destino y la dirección del
     remitente, será la dirección del nodo origen, los medios de transporte que
     llevan la carta cerca del destino es el medio de transmisión (cable coaxial,
fibra óptica …); las normas del servicio de correos, carteros y demás
      personal son los protocolos de comunicaciones establecidos.



      Si se supone que se está utilizando el modelo OSI de la ISO. Este modelo
      tiene 7 niveles, es como decir que la carta escrita pasa por 7 filtros
      diferentes (trabajadores con diferentes cargos) desde que la ponemos en
      el buzón hasta que llega al destino. Cada nivel de esta torre se encarga de
      realizar funciones diferentes en la información a transmitir. Cada nivel por
      el que pasa la información a transmitir que se ha insertado en un paquete,
      añade información de control, que el mismo nivel en el nodo destino irá
      eliminando. Además se encarga de cosas muy distintas: desde el control
      de errores, hasta la reorganización de la información transmitida cuando
      esta se ha fragmentado en tramas.



      Si la información va dirigida a una red diferente (otra ciudad en el caso de
      la carta), la trama debe llegar a un dispositivo de interconexión de redes
      (router, gateway, bridges), que decidirá, dependiendo de su capacidad, el
      camino que debe seguir la trama. Por eso es imprescindible que el
      paquete lleve la dirección destino y que esta contenga, además de la
      dirección que identifica al nodo, la dirección que identifica la red a la que
      pertenece el nodo.



TOPOLOGÍA DE UNA RED


      La topología de una red define únicamente la distribución del cable que
      interconecta los diferentes ordenadores, es decir, es el mapa de
      distribución del cable que forma la intranet. Define cómo se organiza el
      cable de las estaciones de trabajo. A la hora de instalar una red, es
      importante seleccionar la topología más adecuada a las necesidades
      existentes. Hay una serie de factores a tener en cuenta a la hora de
      decidirse por una topología de red concreta y son :



      ·   La distribución de los equipos a interconectar.

      ·   El tipo de aplicaciones que se van a ejecutar.

      ·   La inversión que se quiere hacer.
·    El coste que se quiere dedicar al mantenimiento y actualización de la
red local.

·   El tráfico que va a soportar la red local.

·   La capacidad de expansión. Se debe diseñar una intranet teniendo en
cuenta la escalabilidad.



No se debe confundir el término topología con el de arquitectura. La
arquitectura de una red engloba :



·   La topología.

·   El método de acceso al cable.

·   Protocolos de comunicaciones.



Actualmente la topología está directamente relacionada con el método de
acceso al cable, puesto que éste depende casi directamente de la tarjeta
de red y ésta depende de la topología elegida.



FUNCIONAMIENTO DE TCP/IP


Una red TCP/IP transfiere datos mediante el ensamblaje de bloques de
datos en paquetess conteniendo :



·   La información a transmitir.

·   La dirección IP del destinatario.

·   La dirección IP del remitente.

·   Otros datos de control.




PROTOCOLO IP
Se trata de un protocolo a nivel de red cuyas principales caraterísticas son:



      ·    Ofrece un servicio no orientado a la conexión; esto significa que cada
      trama en la que ha sido dividido un paquete es tratado por independiente.
      Las tramas que componen un paquete pueden ser enviadas por caminos
      distintos e incluso llegar desordenadas.

      ·    Ofrece un servicio no muy fiable porque a veces los paquetes se
      pierden, duplican o estropean y este nivel no informa de ello pues no es
      consciente del problema.




DIRECCIONAMIENTO IP


      Cada máquina con TCP/IP tiene asociado un número de 32 bits al que se
      llama dirección IP, y que está dividido en dos partes:



      ·    Una parte que identifica la dirección de la red (NETID). Esta parte
      es asignada por el NIC (Network Information Center). En España se
      encarga de asignar estas direcciones REDIRIS. Si la red local no va a
      conectarse con otras redes, no es necesario solicitar a ese organismo una
      dirección. El número de bits que ocupa esta parte depende del tamaño de
      la red y puede ser 8, 16 ó 24.

      ·   Una parte que identifica la dirección de la máquina dentro de la
      red (HOSTID). Las direcciones de los hosts son asignadas por el
      administrador de la red.



      Una dirección se representa por cuatro valores decimales separados por
      puntos, para que sea más fácil su escritura y memorización.



      [0..255] . [0..255] . [0..255] . [0..255]
MÁSCARA DE SUBRED


Cuando una red aparece segmentada (dividida en subredes), se debe
utilizar un dispositivo que interconecte los segmentos y se hace necesario
identificar de algún modo cada uno de los segmentos. Si todos los
segmentos tienen la misma dirección IP, se hace necesaria la existencia
de algún mecanismo que diferencia los segmentos. Este mecanismo es la
máscara de la subred.



A cada dirección IP de red, es decir, a cada red física, se le asocia una
máscara que tiene 32 bits. La máscara sirve para dividir la parte de la
dirección IP destinada a identificar el host en dos partes : la primera
identificará el segmento, y la segunda el host dentro de este segmento. En
esta máscara los bits a 1 significan que el bit correspondiente de la
dirección IP será tratado como bit correspondiente a la dirección de la
subred, mientras que los bits a 0 en la máscara, indican que los bits
correspondientes de la dirección IP serán interpretados como
identificadores del host. Así con una misma dirección de red se pueden
direccionar muchas subredes.



CLASES DE REDES



El tipo depende de el número de máquinas que forman la red;
atendiendo esto se pueden distinguir tres clases de redes :


Redes de clase A : Las principales características son :



Se tratan de redes de mayor tamaño, redes que tengan más de 216 hosts.

El espacio reservado para la dirección de red es más pequeño por dos
motivos:

- Porque existen menos redes de este tipo.

- Porque al tener más hots necesitamos dejar más espacios para
direccionar a estos.
La parte que identifica la red consta de



·   un cero (0)

·   7 bits más.



Se podrán direccionar por tanto 27 redes que hace un total de 128 redes
diferentes. Cada una de estas redes podrá tener 224 posibles hosts. La
dirección 127 no se utiliza.



1…………………                            8……………………………………………
………..7                              …………..32

Dirección de la                     Identificador de la máquina
red

0…..




Redes de clase B: Son redes de tamaño mediano que tienen entre 28 y
216 hosts. La parte que identifica la red consta de



·   La secuencia uno-cero (10).

·   14 bits con cualquier valor.



Por tanto, el rango de valores para el primer byte de los dos asignados a la
red es de :128-191.



Estas redes pueden tener 216=65536 hosts cada una de ellas. El formato
de las direcciones es:



1………………………………                                 17……..………………………
…..……16                                       ………..32

Dirección de la red                           Identificador de la máquina

10…..




Redes de clase C: Son redes menor tamaño que pueden tener hasta 28
hosts. La parte que identifica la red consta de



·   La secuencia uno-uno-cero (110).

·   21 bits con cualquier valor.



Por tanto, el rango de valores para el primer byte de los dos asignados a la
red es de :192-223.



Estas redes pueden tener 28=256 hosts cada una de ellas. El formato de
las direcciones es:



0……………………………………………                                       24…………………
……..….…23                                                ……..31

Dirección de la red                                      Identificador de la
                                                         máquina
110…..


TABLA ESQUEMÁTICA DE LOS FORMATOS DE DIRECCIONES



                 By                  B                  B                   B
                 te                  y                  y                   y
                 1                   t                  t                   t
                                     e                  e                   e
                                     2                  3                   3

C                0                   0                  0                   0
l                …                    …                 …                    …
a                12                   2                 2                    2
s                6                    5                 5                    5
e                                     5                 5                    5

A

C                12                   0                 0                    0
l                8                    …                 …                    …
a                …                    2                 2                    2
s                19                   5                 5                    5
e                1                    5                 5                    5

B

C                19                   0                 0                    0
l                2                    …                 …                    …
a                …                    2                 2                    2
s                22                   5                 5                    5
e                3                    5                 5                    5

C




Existen más clases de redes, como la D, E y F cuyo rango de direcciones
oscila entre 224.0.0.0 y 254.0.0.0 . Este tipo de redes son experimentales
o se reservan para un uso futuro.



Ejemplo: la dirección 156.35.41.20 identifica el host 41.20 de la red
156.35.



CONVENCIONES DE DIRECCIONES ESPECIALES



Existen algunas direcciones (combinaciones de unos y ceros) que no se
asignan con direcciones IP, sin que tienen un significado especial. Estas
combinaciones son:
dirección de la red                            Todo unos



Esta dirección se llama difusión dirigida y permite direccionar a todas las
máquinas dentro de la red especificada. Es un direccionamiento muy útil,
ya que con un solo paquete podemos enviar el mismo mensaje a todas las
máquinas de una red.



127                                            Cualquier combinación
                                               (normalmente 1)



Esta dirección se denomina loopback y se utiliza para realizar pruebas y
comunicaciones entre procesos dentro de una misma máquina. Si un
programa envía un mensaje a esta dirección, TCP/IP le devolverá los
datos sin enviar nada a la red, aunque se comporta como si lo hubiera
hecho.



Parte de la red a ceros                        dirección de host



Esta dirección permite direccionar a un host interno de la red.



Todos unos                                     Todos unos



Esta dirección se denomina difusión limitada; realiza un direccionamiento a
todos los host de la propia red.



Todos ceros                                    Todos ceros



Esta dirección, direcciona al propio host.
Una dirección Internet no identifica a un host, sino a una conexión a red.
Un ejemplo : si se dispone de un gateway que conecta una red con otra,
¿qué dirección de Internet se le da a esta estación ?, ya que tiene dos
posibles direcciones, una por cada red a la que esté concectada. En
realidad, se le asigna a cada estación tantas direcciones IP como
conexiones a redes tenga la estación.



                              WINDOWS NT.

Microsoft Windows NT Server es un sistema operativo diseñado para su
uso en servidores de red de área local (LAN). Ofrece la potencia, la
manejabilidad y la capacidad de ampliación de Windows NT en una
plataforma de servidor e incluye características, como la administración
centralizada de la seguridad y tolerancia a fallos más avanzada, que hacen
de él un sistema operativo idóneo para servidores de red.



Windows NT Server es a la vez un sistema operativo para computadoras
(ordenadores) personales y un sistema operativo para red. Puesto que
incorpora funciones de red, las redes de Windows NT Server se integran
de forma óptima con el sistema operativo básico, facilitando el uso y la
administración de las funciones.

Este capítulo ofrece un breve resumen de las funciones de Windows NT
Server y explica su funcionamiento en relación con otros productos de
software para red fabricados por Microsoft.




NOS – NETWORK OPERATING SYSTEM

Debe ofrecer los siguientes servicio :

              Los propios de un SO.
              Soporte de Sistemas de Archivos Remotos.
              Ejecución de aplicaciones compartidas.
              Impresión remota.
              Seguridad en la red.

En una red WNT utilizan como SO el WINDOWS NT SERVER y los
clientes MS-DOS , WINDOWS 3.11 ( WFN ) , WINDOWS 95 y
WINDOWS NT WORK STATION , también se puede utilizar el OS/2
o el de los MACINTOSH , OS/2 LAN MANAGER , UNIX .

Características del WNT

              Multiplataforma – Admite :

* CISC – 486 , 386 completo ( 200 o 300 instrucciones ).

* RISC – reducido , más barato , más veloces . Tipos :

- MIPS : R400

- DEC : Alpha

- POWERPC

              Multihilo ( Multitherding )

El proceso lo divide en varios hilo ( theread ) ; cada hilo lo procesa la
CPU de forma independiente , se podrán ejecutar partes del
programa a la vez ( simultáneamente ) .

Cada proceso tiene al menos un hilo , dependiendo del diseño del
programador . Un procesador atiende a un solo hilo y un
multiprocesador vario hilo.

              Multitarea

En W.3x o WFW la multitarea era cooperativa ( cada programa o
subproceso ( hilo ) debe ceder el control a los demás , cosas que
muchas veces el HW no quería hacer ).

En WNT utiliza multitarea apropiativa . Los métodos apropiativos
asignan a cada programa un tiempo de CPU y después lo cederá al
siguiente.

Todos los subprocesos o hilos obtienen el mismo tiempo del
sistema.

En la multitarea apropiativa el SO controla cuando y cuanto de
procesador recibe un proceso o hilo en el sistema.

En WNT utiliza prioridades . Hay dos tipos :

* Tiempo real
* Tiempo variable

Cada clase tiene 16 niveles de prioridad.

En un nivel de una clase , el SO opera bajo el modelo turno rotatorio
, cada hilo obtiene un quantum de tiempo . Un hilo continua
ejecutándose hasta que ocurre uno de estos dos procesos :

* Hasta que acabe el tiempo de CPU.

* Hasta que surga una interrupción y crea un hilo de prioridad más
alta.

El hilo es expropiado a favor del hilo con prioridad más alta.

La multitarea apropiativa se la llama multitarea precedente
aprecentiva.

De esta forma es resuelto el hilo.




Funcionamiento de Windows NT Server con otro software de red



Windows NT Server está diseñado para su uso en servidores de grandes
redes. Funciona de forma óptima con otros sistemas operativos de red
fabricados por Microsoft.



Windows NT Workstation es el sistema operativo más adecuado
para los clientes que
Precisen altos rendimientos de la red. Windows NT Workstation está
diseñado para usuarios

Avanzados, desarrolladores de software y para aplicaciones críticas;
además, traslada al escritorio muchas de las funciones de seguridad
de Windows NT Server. Al igual que ocurre en Windows NT Server,
tanto la seguridad como las funciones de red están integradas en él
sistema operativo.

                            Versiones NT
* Workstation : SO de estaciones de trabajo que ejercen el papel de clientes de la
red . Admite los modos de trabajos en red . Si trabaja como Trabajo en Grupo se
comporta como Win Trabajo en Grupo ( 3.11 ) . Si participa en un dominio se
desentiende de la administración de los usuarios que lo hará el controlador del
dominio.

* NT Server : máquinas cuyo SO ejercen el papel de servidores . Puede participar
en un Grupo de Trabajo o en un dominio siendo lo normal el dominio . Puede
instalarse en un dominio ejerciendo uno de los siguientes papeles :

1.- como servidor de dominio : se comporta como servidor de recursos ( archivos ,
etc. ) . No guarda copia de la BD del SAM por lo que no validará los usuarios.

2.- como controlador de dominio : valida las conexiones de usuarios teniendo
copia de la BD del SAM . Hay dos tipos de controladores de dominio :

a ) PDC ( primary domain controller ) : controlador principal

b ) BDC ( backup d. c. ) : de reserva

El principal guarda la copia maestra de la BD del SAM y los transfiere cada cierto
tiempo a las BDC para que estas puedan también validar conexiones.

Al instalar NT Server se elige la opción que va a ejercer el servidor ( servidor o
controlador ) . Para cambiar su función hay que volver a instalar.


                                LINUX RED HAT.


Linux es un sistema operativo completo con multitarea y multiusuario
(como cualquier otra versión de UNIX). Esto significa que pueden trabajar
varios usuarios simultáneamente en él, y que cada uno de ellos puede
tener varios programas en ejecución.

El sistema Linux es compatible con ciertos estándares de UNIX a nivel de
código fuente, incluyendo el IEEE POSIX.1, System V y BSD. Fue
desarrollado buscando la portabilidad de los fuentes: encontrará que casi
todo el software gratuito desarrollado para UNIX se compila en Linux sin
problemas. Y todo lo que se hace para Linux (código del núcleo, drivers,
librerías y programas de usuario) es de libre distribución.

En Linux también se implementa el control de trabajos POSIX (que se usa
en los shells csh y bash), las pseudoterminales (dispositivos pty), y
teclados nacionales mediante administradores de teclado cargables
dinámicamente. Además, soporta consolas virtuales, lo que permite tener
más de una sesión abierta en la consola de texto y conmutar entre ellas
fácilmente. A los usuarios del programa “screen” les resultará familiar esto.

El núcleo es capaz de emular por su cuenta las instrucciones del
coprocesador 387, con lo que en cualquier 386 con coprocesador o sin él
se podrán ejecutar aplicaciones que lo requieran.

  Linux soporta diversos sistemas de ficheros para guardar los datos.
Algunos de ellos, como el ext2fs, han sido desarrollados específicamente
para Linux. Otros sistemas de ficheros, como el Minix-1 o el de Xenix
también están soportados. Y con el de MS-DOS se podrán acceder desde
Linux a los disquetes y particiones en discos duros formateados con MS-
DOS. Además, también soporta el ISO-9660, que es el estándar en el
formato de los CD-ROMs.

Linux dispone de los dos principales protocolos de red para sistemas
UNIX: TCP/IP y UUCP. TCP/IP (para los aficionados a los acrónimos,
Transmission Control Protocol/Internet Protocol) es un conjunto de
protocolos de red que permite a sistemas de todo el mundo comunicarse
en una única red conocida como Internet. Con Linux, TCP/IP y una
conexión a la red, puede comunicarse con usuarios y máquinas por toda
Internet mediante correo electrónico, noticias (USENET news),
transferencias de ficheros con FTP y mucho más. Actualmente hay
muchos sistemas Linux conectados a Internet.

La mayoría de las redes TCP/IP usan Ethernet como tipo de red física de
transporte. Linux da soporte a muchas tarjetas de red Ethernet e interfaces
para ordenadores personales, incluyendo el adaptador Ethernet D-Link de
bolsillo para ordenadores portátiles.

Pero dado que no todo el mundo tiene una conexión Ethernet en casa,
Linux también proporciona SLIP (Serial Line Internet Protocol), el cual
permite conectarse a Internet a través de un módem. Para poder usar
SLIP, necesitará tener acceso a un servidor de SLIP, una máquina
conectada a la red que permite acceso de entrada por teléfono. Muchas
empresas y universidades tienen servidores SLIP disponibles. De hecho, si
su sistema Linux dispone de conexión Ethernet y de módem, puede
configurarlo como servidor de SLIP para otros usuarios.

NFS (Network File System) permite fácilmente compartir ficheros con otras
máquinas de la red. FTP (File Transfer Protocol) permite la transferencia
de ficheros entre máquinas.

Si tiene experiencia con aplicaciones TCP/IP en otros sistemas UNIX,
Linux le será muy familiar. El sistema proporciona la interface estándar de
programación por “sockets”, lo que virtualmente permite que cualquier
programa que use TCP/IP pueda ser llevado a Linux. El servidor Linux de
X también soporta TCP/IP, permitiendo ver aplicaciones que están
corriendo en otros sistemas sobre su pantalla.

UUCP (UNIX-to-UNIX Copy) es un viejo mecanismo usado para transferir
ficheros, correo electrónico y noticias entre máquinas UNIX. Clásicamente
las máquinas UUCP conectan entre ellas mediante líneas telefónicas y
módem, pero UUCP es capaz de funcionar también sobre una red TCP/IP.
Si no tiene acceso a una red TCP/IP o a un servidor SLIP, puede
configurar su sistema para enviar y recibir ficheros y correo electrónico
usando UUCP.




                            REDES CON LINUX

El Net-1, es un trabajo sobre redes basadas en TCP/IP.

Se creo una nueva implementación del UUCP, reescribiendo grandes
partes del código. Esto se conoce como Net-2. Tras una dura corrección y
numerosas mejoras en el código, cambió su nombre a Net-3 después de
que saliese Linux 1.0. Esta es la versión del código de red que se incluye
actualmente en las versiones oficiales del Kernel.

                        Xerox, Novell, e Historia

Primero veamos de dónde salieron los protocolos y cómo son. A
finales de los 70, Xerox Corporation desarrolló y publicó un estándar
abierto llamado Especificación de Red Xerox (Xerox Network
Specification, XNS). La Especificación de Red Xerox definía una
serie de protocolos designados para la interconexión de propósito
general, con un gran énfasis en el uso de redes de área local. Había
dos protocolos de red principales implicados: el Protocolo de
Datagramas de Internet (Internet Datagram Protocol, IDP), que
proporcionaba un transporte de datagramas sin conexión y no fiable
de un nodo a otro, y el Protocolo de Paquetes Secuenciados
(Sequenced Packet Protocol, SPP), que era una forma modificada
del IDP basada en la conexión y fiable. Los datagramas de una red
XNS eran direccionados individualmente. El esquema de
direccionamiento utilizaba una combinación de una dirección de red
IDP de 4 bytes (que era asignada unívocamente a cada segmento
de la LAN Ethernet), y la dirección de nodo de 6 bytes (la dirección
de la tarjeta NIC). Los enrutadores eran dispositivos que desviaban
datagramas entre dos o más redes IDP separadas. En IDP no existe
el concepto de subred; cualquier colección nueva de nodos requiere
la asignación de otra dirección de red. Las direcciones de red se
escogen de manera que sean únicas en la interred en cuestión. A
veces, los administradores desarrollan convenciones haciendo que
cada byte codifique algún tipo de información, como la situación
geográfica, de manera que las direcciones de red se reservan de
manera sistématica; sin embargo, no es un requisito del protocolo.

La Novell Corporation eligió basar su propio juego de red en el juego
XNS. Novell realizó pequeñas mejoras al IDP y al SPP y los
renombró como IPX (Internet Packet eXchange, Intercambio de
Paquetes de Internet) y SPX (Sequenced Packet eXchange,
Intercambio de Paquetes Secuenciados). Novell añadió dos
protocolos nuevos: el Protocolo Central de NetWare (NetWare Core
Protocol, NCP), que proporcionaba funciones para compartir
ficheros e impresoras sobre IPX, y el Protocolo de Anuncio de
Servicios (Service Advertisement Protocol, SAP), que permitía a los
nodos de una red Novell saber qué nodos proporcionaban qué
servicios.

La Tabla relaciona los juegos de protocolos XNS, Novell y TCP/IP
en términos de la función que realizan. Las relaciones son sólo una
aproximación, pero pueden ayudarle a comprender qué sucede
cuando nos refiramos a estos protocolos más adelante.




Relaciones entre los Protocolos de XNS, Novell, y TCP/IP

X                Nov                TCP/                Característi
N                ell                IP                  cas
S

ID               IPX                UDP                 Transporte
P                                   /IP                 sin conexión
                                                        ni fiabilidad

S                SPX                TCP                 Transporte
P                                                       basado en la
P                                                       conexión y
                                                        fiable

                 NC                 NFS                 Servicios de
X                    Nov                   TCP/                   Característi
       N                    ell                   IP                     cas
       S

                            P                                            fichero

                            RIP                   RIP                    Intercambio
                                                                         de
                                                                         información
                                                                         de
                                                                         encaminamie
                                                                         nto

                            SAP                                          Intercambio
                                                                         de
                                                                         información
                                                                         sobre        la
                                                                         disponibilida
                                                                         d           de
                                                                         servicios




       Creado por: Manuel Trejo Cortes

       Comentarios: bibog_G@hotmail.com



Introducción
Sin el software, una computadora no es más que una masa metálica sin utilidad. Con el
software, una computadora puede almacenar, procesar y recuperar información, encontrar
errores de ortografía en manuscritos, tener aventuras e intervenir en muchas otras valiosas
actividades para ganar el sustento. El software para computadoras puede clasificarse en
general en dos clases: los programas de sistema, que controlan la operación de la
computadora en si y los programas de aplicación, los cuales resuelven problemas para sus
usuarios. El programa fundamental de todos los programas de sistema es el sistema operativo
(SO), que controla todos los recursos de la computadora y proporciona la base sobre la cual
pueden escribirse los programas de aplicación.
¿ Qué es un Sistema Operativo ?.
Desde su creación, las computadoras digitales han utilizado un sistema de codificación de
instrucciones en sistema de numeración binaria, es decir con los 0S. Esto se debe a que los
circuitos integrados funcionan con este principio, es decir, hay corriente o no hay corriente.
En el origen de la historia de las computadoras ( hace unos cuarenta años), los sistemas
operativos no existían y la introducción de un programa para ser ejecutado se convertía en un
increíble esfuerzo que solo podía ser llevado a cabo por muy pocos expertos. Esto hacia que
las computadoras fueran muy complicadas de usar y que se requiriera tener altos
conocimientos técnicos para operarlas. Era tan complejo su manejo, que en algunos casos el
resultado llegaba a ser desastroso.
Además, el tiempo requerido para introducir un programa en aquellas grandes máquinas de
lento proceso superaba por mucho el de ejecución y resultaba poco provechosa la utilización
de computadoras para resolución de problemas prácticos.
Se buscaron medios más elaborados para manipular la computadora, pero que a su vez
simplificaran la labor del operador o el usuario. Es entonces cuando surge la idea de crear un
medio para que el usuario pueda operar la computadora con un entorno, lenguaje y operación
bien definido para hacer un verdadero uso y explotación de esta. Surgen los sistemas
operativos.
Un sistema operativo es el encargado de brindar al usuario una forma amigable y sencilla de
operar, interpretar, codificar y emitir las ordenes al procesador central para que este realice las
tareas necesarias y especificas para completar una orden.
El sistema operativo, es el instrumento indispensable para hacer de la computadora un objeto
útil. Bajo este nombre se agrupan todos aquellos programas que permiten a los usuarios la
utilización de este enredo de cables y circuitos, que de otra manera serian difíciles de
controlar. Un sistema operativo se define como un conjunto de procedimientos manuales y
automáticos, que permiten a un grupo de usuarios compartir una instalación de computadora
eficazmente.
Interfaz de Línea de Comandos.
La forma de interfaz entre el sistema operativo y el usuario en la que este escribe los
comandos utilizando un lenguaje de comandos especial. Los sistemas con interfaces de líneas
de comandos se consideran más difíciles de aprender y utilizar que los de las interfaces
gráficas. Sin embargo, los sistemas basados en comandos son por lo general programables,
lo que les otorga una flexibilidad que no tienen los sistemas basados en gráficos carentes de
una interfaz de programación.
Interfaz Gráfica del Usuario.
Es el tipo de visualización que permite al usuario elegir comandos, iniciar programas y ver
listas de archivos y otras opciones utilizando las representaciones visuales (iconos) y las listas
de elementos del menú. Las selecciones pueden activarse bien a través del teclado o con el
mouse.
Para los autores de aplicaciones, las interfaces gráficas de usuario ofrecen un entorno que se
encarga de la comunicación con el ordenador o computadora. Esto hace que el programador
pueda concentrarse en la funcionalidad, ya que no esta sujeto a los detalles de la visualización
ni a la entrada a través del mouse o el teclado. También permite a los programadores crear
programas que realicen de la misma forma las tareas más frecuentes, como guardar un
archivo, porque la interfaz proporciona mecanismos estándar de control como ventanas y
cuadros de diálogo. Otra ventaja es que las aplicaciones escritas para una interfaz gráfica de
usuario son independientes de los dispositivos: a medida que la interfaz cambia para permitir
el uso de nuevos dispositivos de entrada y salida, como un monitor de pantalla grande o un
dispositivo óptico de almacenamiento, las aplicaciones pueden utilizarlos sin necesidad de
cambios.
Funciones de los Sistemas Operativos.
 Interpreta los comandos que permiten al usuario comunicarse con el ordenador.
Coordina y manipula el hardware de la computadora, como la memoria, las impresoras, las
 unidades de disco, el teclado o el mouse.
 Organiza los archivos en diversos dispositivos de almacenamiento, como discos flexibles,
 discos duros, discos compactos o cintas magnéticas.
 Gestiona los errores de hardware y la pérdida de datos.
 Servir de base para la creación del software logrando que equipos de marcas distintas
 funcionen de manera análoga, salvando las diferencias existentes entre ambos.
 Configura el entorno para el uso del software y los periféricos; dependiendo del tipo de
 máquina que se emplea, debe establecerse en forma lógica la disposición y características
 del equipo. Como por ejemplo, una microcomputadora tiene físicamente dos unidades de
 disco, puede simular el uso de otras unidades de disco, que pueden ser virtuales utilizando
 parte de la memoria principal para tal fin. En caso de estar conectado a una red, el sistema
 operativo se convierte en la plataforma de trabajo de los usuarios y es este quien controla los
 elementos o recursos que comparten. De igual forma, provee de protección a la información
 que almacena.
Clasificación de los Sistemas Operativos.
Con el paso del tiempo, los Sistemas Operativos fueron clasificándose de diferentes maneras,
dependiendo del uso o de la aplicación que se les daba. A continuación se mostrarán diversos
tipos de Sistemas Operativos que existen en la actualidad, con algunas de sus características:
Sistemas Operativos de multiprogramación (o Sistemas Operativos de multitarea).
Es el modo de funcionamiento disponible en algunos sistemas operativos, mediante el cual
una computadora procesa varias tareas al mismo tiempo. Existen varios tipos de multitareas.
La conmutación de contextos (context Switching) es un tipo muy simple de multitarea en el
que dos o más aplicaciones se cargan al mismo tiempo, pero en el que solo se esta
procesando la aplicación que se encuentra en primer plano (la que ve el usuario). Para activar
otra tarea que se encuentre en segundo plano, el usuario debe traer al primer plano la ventana
o pantalla que contenga esa aplicación. En la multitarea cooperativa, la que se utiliza en el
sistema operativo Macintosh, las tareas en segundo plano reciben tiempo de procesado
durante los tiempos muertos de la tarea que se encuentra en primer plano (por ejemplo,
cuando esta aplicación esta esperando información del usuario), y siempre que esta aplicación
lo permita. En los sistemas multitarea de tiempo compartido, como OS/2, cada tarea recibe la
atención del microprocesador durante una fracción de segundo. Para mantener el sistema en
orden, cada tarea recibe un nivel de prioridad o se procesa en orden secuencial. Dado que el
sentido temporal del usuario es mucho más lento que la velocidad de procesamiento del
ordenador, las operaciones de multitarea en tiempo compartido parecen ser simultáneas.
Se distinguen por sus habilidades para poder soportar la ejecución de dos o más trabajos
activos (que se están ejecutado) al mismo tiempo. Esto trae como resultado que la Unidad
Central de Procesamiento (UCP) siempre tenga alguna tarea que ejecutar, aprovechando al
máximo su utilización.
Su objetivo es tener a varias tareas en la memoria principal, de manera que cada uno está
usando el procesador, o un procesador distinto, es decir, involucra máquinas con más de una
UCP.
Sistemas Operativos como UNIX, Windows 95, Windows 98, Windows NT, MAC-OS, OS/2,
soportan la multitarea.
Las características de un Sistema Operativo de multiprogramación o multitarea son las
siguientes:
 Mejora productividad del sistema y utilización de recursos.
Multiplexa recursos entre varios programas.
 Generalmente soportan múltiples usuarios (multiusuarios).
 Proporcionan facilidades para mantener el entorno de usuarios individuales.
 Requieren validación de usuario para seguridad y protección.
 Proporcionan contabilidad del uso de los recursos por parte de los usuarios.
 Multitarea sin soporte multiusuario se encuentra en algunos computadores personales o en
 sistemas de tiempo real.
 Sistemas multiprocesadores son sistemas multitareas por definición ya que soportan la
 ejecución simultánea de múltiples tareas sobre diferentes procesadores.
 En general, los sistemas de multiprogramación se caracterizan por tener múltiples programas
 activos compitiendo por los recursos del sistema: procesador, memoria, dispositivos
 periféricos.
Sistema Operativo Monotareas.
Los sistemas operativos monotareas son más primitivos y es todo lo contrario al visto
anteriormente, es decir, solo pueden manejar un proceso en cada momento o que solo puede
ejecutar las tareas de una en una. Por ejemplo cuando la computadora esta imprimiendo un
documento, no puede iniciar otro proceso ni responder a nuevas instrucciones hasta que se
termine la impresión.
Sistema Operativo Monousuario.
Los sistemas monousuarios son aquellos que nada más puede atender a un solo usuario,
gracias a las limitaciones creadas por el hardware, los programas o el tipo de aplicación que
se este ejecutando.
Estos tipos de sistemas son muy simples, porque todos los dispositivos de entrada, salida y
control dependen de la tarea que se esta utilizando, esto quiere decir, que las instrucciones
que se dan, son procesadas de inmediato; ya que existe un solo usuario. Y están orientados
principalmente por los microcomputadores.
Sistema Operativo Multiusuario.
Es todo lo contrario a monousuario; y en esta categoría se encuentran todos los sistemas que
cumplen simultáneamente las necesidades de dos o más usuarios, que comparten mismos
recursos. Este tipo de sistemas se emplean especialmente en redes.
En otras palabras consiste en el fraccionamiento del tiempo (timesharing).
Sistemas Operativos por lotes.
Los Sistemas Operativos por lotes, procesan una gran cantidad de trabajos con poca o
ninguna interacción entre los usuarios y los programas en ejecución. Se reúnen todos los
trabajos comunes para realizarlos al mismo tiempo, evitando la espera de dos o más trabajos
como sucede en el procesamiento en serie. Estos sistemas son de los más tradicionales y
antiguos, y fueron introducidos alrededor de 1956 para aumentar la capacidad de
procesamiento de los programas.
Cuando estos sistemas son bien planeados, pueden tener un tiempo de ejecución muy alto,
porque el procesador es mejor utilizado y los Sistemas Operativos pueden ser simples, debido
a la secuenciabilidad de la ejecución de los trabajos.
Algunos ejemplos de Sistemas Operativos por lotes exitosos son el SCOPE, del DC6600, el
cual está orientado a procesamiento científico pesado, y el EXEC II para el UNIVAC 1107,
orientado a procesamiento académico.
Algunas otras características con que cuentan los Sistemas Operativos por lotes son:
 Requiere que el programa, datos y órdenes al sistema sean remitidos todos juntos en forma
 de lote.
 Permiten poca o ninguna interacción usuario/programa en ejecución.
 Mayor potencial de utilización de recursos que procesamiento serial simple en sistemas
 multiusuarios.
 No conveniente para desarrollo de programas por bajo tiempo de retorno y depuración fuera
 de línea.
 Conveniente para programas de largos tiempos de ejecución (ej, análisis estadísticos,
 nóminas de personal, etc.).
 Se encuentra en muchos computadores personales combinados con procesamiento serial.
 Planificación del procesador sencilla, típicamente procesados en orden de llegada.
 Planificación de memoria sencilla, generalmente se divide en dos: parte residente del S.O. y
 programas transitorios.
 No requieren gestión crítica de dispositivos en el tiempo.
 Suelen proporcionar gestión sencilla de manejo de archivos: se requiere poca protección y
 ningún control de concurrencia para el acceso.
Sistemas Operativos de tiempo real.
Los Sistemas Operativos de tiempo real son aquellos en los cuales no tiene importancia el
usuario, sino los procesos. Por lo general, están subutilizados sus recursos con la finalidad de
prestar atención a los procesos en el momento que lo requieran. se utilizan en entornos donde
son procesados un gran número de sucesos o eventos.
Muchos Sistemas Operativos de tiempo real son construidos para aplicaciones muy
específicas como control de tráfico aéreo, bolsas de valores, control de refinerías, control de
laminadores. También en el ramo automovilístico y de la electrónica de consumo, las
aplicaciones de tiempo real están creciendo muy rápidamente. Otros campos de aplicación de
los Sistemas Operativos de tiempo real son los siguientes:
 Control de trenes.
 Telecomunicaciones.
 Sistemas de fabricación integrada.
 Producción y distribución de energía eléctrica.
 Control de edificios.
 Sistemas multimedia.
Algunos ejemplos de Sistemas Operativos de tiempo real son: VxWorks, Solaris, Lyns OS y
Spectra. Los Sistemas Operativos de tiempo real, cuentan con las siguientes características:
 Se dan en entornos en donde deben ser aceptados y procesados gran cantidad de sucesos,
 la mayoría externos al sistema computacional, en breve tiempo o dentro de ciertos plazos.
 Se utilizan en control industrial, conmutación telefónica, control de vuelo, simulaciones en
 tiempo real., aplicaciones militares, etc.
 Objetivo es proporcionar rápidos tiempos de respuesta.
 Procesa ráfagas de miles de interrupciones por segundo sin perder un solo suceso.
Proceso se activa tras ocurrencia de suceso, mediante interrupción.
 Proceso de mayor prioridad expropia recursos.
 Por tanto generalmente se utiliza planificación expropiativa basada en prioridades.
 Gestión de memoria menos exigente que tiempo compartido, usualmente procesos son
 residentes permanentes en memoria.
 Población de procesos estática en gran medida.
 Poco movimiento de programas entre almacenamiento secundario y memoria.
 Gestión de archivos se orienta más a velocidad de acceso que a utilización eficiente del
 recurso.
Sistemas Operativos de tiempo compartido.
Permiten la simulación de que el sistema y sus recursos son todos para cada usuario. El
usuario hace una petición a la computadora, esta la procesa tan pronto como le es posible, y
la respuesta aparecerá en la terminal del usuario.
Los principales recursos del sistema, el procesador, la memoria, dispositivos de E/S, son
continuamente utilizados entre los diversos usuarios, dando a cada usuario la ilusión de que
tiene el sistema dedicado para sí mismo. Esto trae como consecuencia una gran carga de
trabajo al Sistema Operativo, principalmente en la administración de memoria principal y
secundaria.
Ejemplos de Sistemas Operativos de tiempo compartido son Multics, OS/360 y DEC-10.
Características de los Sistemas Operativos de tiempo compartido:
 Populares representantes de sistemas multiprogramados multiusuario, ej: sistemas de diseño
 asistido por computador, procesamiento de texto, etc.
 Dan la ilusión de que cada usuario tiene una máquina para sí.
 Mayoría utilizan algoritmo de reparto circular.
 Programas se ejecutan con prioridad rotatoria que se incrementa con la espera y disminuye
 después de concedido el servicio.
 Evitan monopolización del sistema asignando tiempos de procesador (time slot).
 Gestión de memoria proporciona protección a programas residentes.
 Gestión de archivo debe proporcionar protección y control de acceso debido a que pueden
 existir múltiples usuarios accesando un mismo archivos.
Sistemas Operativos distribuidos.
Permiten distribuir trabajos, tareas o procesos, entre un conjunto de procesadores. Puede ser
que este conjunto de procesadores esté en un equipo o en diferentes, en este caso es
trasparente para el usuario. Existen dos esquemas básicos de éstos. Un sistema fuertemente
acoplado es a es aquel que comparte la memoria y un reloj global, cuyos tiempos de acceso
son similares para todos los procesadores. En un sistema débilmente acoplado los
procesadores no comparten ni memoria ni reloj, ya que cada uno cuenta con su memoria
local.
Los sistemas distribuidos deben de ser muy confiables, ya que si un componente del sistema
se compone otro componente debe de ser capaz de reemplazarlo.
Entre los diferentes Sistemas Operativos distribuidos que existen tenemos los siguientes:
Sprite, Solaris-MC, Mach, Chorus, Spring, Amoeba, Taos, etc.
Características de los Sistemas Operativos distribuidos:
 Colección de sistemas autónomos capaces de comunicación y cooperación mediante
 interconexiones hardware y software .
 Gobierna operación de un S.C. y proporciona abstracción de máquina virtual a los usuarios.
 Objetivo clave es la transparencia.
 Generalmente proporcionan medios para la compartición global de recursos.
 Servicios añadidos: denominación global, sistemas de archivos distribuidos, facilidades para
 distribución de cálculos (a través de comunicación de procesos internodos, llamadas a
 procedimientos remotos, etc.).
Sistemas Operativos de red.
Son aquellos sistemas que mantienen a dos o más computadoras unidas através de algún
medio de comunicación (físico o no), con el objetivo primordial de poder compartir los
diferentes recursos y la información del sistema.
El primer Sistema Operativo de red estaba enfocado a equipos con un procesador Motorola
68000, pasando posteriormente a procesadores Intel como Novell Netware.
Los Sistemas Operativos de red mas ampliamente usados son: Novell Netware, Personal
Netware, LAN Manager, Windows NT Server, UNIX, LANtastic.
Sistemas Operativos paralelos.
En estos tipos de Sistemas Operativos se pretende que cuando existan dos o más procesos
que compitan por algún recurso se puedan realizar o ejecutar al mismo tiempo.
En UNIX existe también la posibilidad de ejecutar programas sin tener que atenderlos en
forma interactiva, simulando paralelismo (es decir, atender de manera concurrente varios
procesos de un mismo usuario). Así, en lugar de esperar a que el proceso termine de
ejecutarse (como lo haría normalmente), regresa a atender al usuario inmediatamente
después de haber creado el proceso.
Ejemplos de estos tipos de Sistemas Operativos están: Alpha, PVM, la serie AIX, que es
utilizado en los sistemas RS/6000 de IBM.


Conclusión:
Luego de haber investigado y analizado se puede ver que se han desarrollado varios tipos de
sistemas operativos con diferentes interfaces y categorías. Pero hemos podido observar que
todos los sistemas operativos han sufrido cambios por parte de los programadores, y siguen
evolucionando.
Los sistemas operativos empleados normalmente son UNIX, Macintosh OS, MS-DOS, OS/2,
Windows 95 y Windows NT. El UNIX y sus clones permiten múltiples tareas y múltiples
usuarios. Otros SO multiusuario y multitarea son OS/2, desarrollado inicialmente por Microsoft
e IBM, Windows NT y Win95 desarrollados por Microsoft. El SO multitarea de Apple se
denomina Macintosh OS. El MS-DOS es un SO popular entre los usuarios de PCs pero solo
permite un usuario y una tarea.
Los sistemas operativos han ido evolucionando a medida de las necesidades que se fueron
generando, cada sistema operativo tiene un fin determinado que es la de realizar tareas según
el objetivo a lograr, dependiendo de lo que necesite el o los usuarios. La mayoría de los
sistemas operativos de ultima generación tienden a, atender un gran numero de usuarios, y
que los procesos a realizar demoren en un mínimo de tiempo.
Compartir una impresora bajo Windows
XP y Vista
Existen varias maneras de compartir una impresora, lo que dependerá del tipo de red y de la
impresora. A continuación veremos los dos métodos más comunes:

I- Compartir una impresora conectada mediante cable a
una de las PCs

Es el método más simple, pero requiere que la PC a la que está conectada la impresora esté
funcionando y que todas las PCs que componen la red se vean unas a otras y sobre todo
vean a la PC que tiene conectada la impresora.
Este método consta de dos etapas: primero configurar la PC a la que está conectada la
impresora para poder compartir la impresora y segundo declarar la impresora en las
otras PCs de la red para que puedan utilizarla.

Para ello, vas al Panel de control de la PC que tiene conectada la impresora
(Bajo Windows Vista, escoges Vista clásica) y haces doble clic en Impresoras:

       Bajo Windows Vista:
          o En la ventana que aparece, haces clic derecho sobre la impresora a compartir
             y seleccionas Compartir.
          o Ingresas un nombre para la impresora (por ejemplo: HP LaserJet).
          o Marcas las dos casillas y haces clic en Aceptar.
          o Luego en el Panel de control abres “Centro de redes y recursos compartidos”
             y marcas “uso compartido de carpetas” y “Uso compartido de impresoras”.
       Bajo Windows XP:
          o Haces clic derecho sobre la impresora y seleccionas “Compartir”
          o Marcas “Compartir esta impresora” e ingresas un nombre (por ejemplo: HP
             LaserJet) y haces clic en Aceptar.



Como en el caso de carpetas compartidas, aparecerá una mano en el icono de la impresora
(bajo Windows XP) o un icono cuadrado (bajo Vista).
A veces esto es suficiente para que la impresora aparezca en las otras PCs de la red. Si no
fuera así, entonces debemos declararla en las otras PCs.

Para ello, en las otras PCs, vas al Panel de control, luego a Impresoras y haces clic en
“Agregar una impresora”:

       Bajo Windows XP:
o  se abrirá el asistente haces clic en Siguiente, luego marcas la casilla “Una
             impresora de red o una impresora conectada a otro equipo” y haces clic en
             Siguiente.
          o En la ventana que aparece para buscar la impresora, marcas la casilla
             “Buscar una impresora” y haces clic en Siguiente.
          o Seleccionas la impresora que aparece en el grupo de trabajo, junta al nombre
             de la PC que tiene conectada la impresora y haces clic en Siguiente luego en
             Terminar.
          o Si la impresora no es encontrada en la búsqueda automática, entonces habrá
             que marcar la otra opción “Conexión a esta impresora” y hacer clic en
             Siguiente. En la ventana que aparece, hay dos posibilidades, las impresoras
             disponibles están visibles, o es necesario navegar por el árbol de directorios
             de la PC para encontrar la impresora buscada. Selecciónala, luego haz clic
             en Siguiente y responde Si por defecto.
          o Luego instala los drivers de la impresora que se encuentran en el CD de
             instalación de la impresora.
       Bajo Vista:
          o Haces clic en “Agregar una impresora de red”, lo que iniciara
             automáticamente una búsqueda de las impresoras disponibles. Selecciona la
             impresora que buscas.
          o Si la búsqueda automática no da resultados, entonces haces clic en la flecha
             verde “La impresora deseada no esta en la lista”. En la nueva ventana
             marcas la casilla “Seleccionar una impresora compartida por nombre” luego
             haces clic en “Examinar”. En la ventana que aparece, seleccionas la
             impresora que deseas usar.
          o Haces clic en la impresora que buscas y luego haces clic en Siguiente,
             aparecerá una nueva ventana. Puede aparecer un mensaje al final: “Instalar
             el controlador”, entonces haces clic en el botón correspondiente para que
             Windows instale el controlador. Si no lo encuentra, entonces puede pedirte
             que insertes el CD que viene con la impresora.
          o Finalmente, se te solicitará que definas la nueva impresora por defecto y que
             imprimas una página de prueba.
          o Una vez hecho esto, abres el “Centro de redes y recursos compartidos” y
             haces clic en “Ver el mapa completo”, en la parte superior derecha de la
             ventana.
          o La impresora deberá aparecer (con el nombre que le habías dado) ya sea en
             el mapa completo, o abajo en la sección de dispositivos detectado pero que
             no pueden figurar en el mapa completo.




II- Instalar en la red inalámbrica WiFi una impresora
equipada de una tarjeta WiFi

Actualmente podemos encontrar impresoras (por lo general multifunción) equipadas con
una tarjeta WiFi integrada.

Una impresora WiFi se conecta a la red como cualquier PC portátil o dispositivo equipado
de una tarjeta WiFi. Las formas de conectarlas vienen indicadas detalladamente en el
manual de la impresora.

La tarjeta WiFi de la impresora detecta las redes disponibles, tan solo debemos seleccionar
nuestra red y seleccionar “Conexión infraestructura”, e ingresar la clave WEP o WPA.

La siguiente etapa consiste en instalar el programa que viene con la impresora en cada una
de las PCs de la red.

En la red, la impresora no aparecerá como si fuera compartida por una PC en particular sino
como si estuviera conectada directamente a cada una de las PCs.

Clases de redes

  • 1.
    CLASES DE REDES Alo largo de la historia y como ha venido evolucionando la tecnologia y que el mundo necesita estar en constante comunicacion, se observa un gran avance en cuanto a las tecnologia de redes, y sus diferentes tipos de configuraciones y los modos como se trasmite informacion y la consante comunicacion de las personas mediante voz, audio y video, Redes de Área Local (LAN) Son privadas y se usan para conectar computadores personales y estaciones de trabajo de una oficina, fábricas, otro objetivo intercambian información. Las LAN están restringidas en tamaño porque el tiempo de transmisión esta limitado, opera a una velocidad de 10 a 100 mega bites por segundo El material para una conexión puede ser cable coaxial un cable de dos hilos, fibra óptica o cable U T P, se pueden efectuar conexiones inalámbricas empleando transmisiones de infrarrojos. Las redes emplean protocolos o reglas para intercambiar información, impidiendo una colisión de datos, se emplean protocolos como ethernet o token Ring Redes de Área Amplia (WAN) Es extensa geográficamente en un país o continente, utiliza maquinas Hosts conectadas por una subred de comunicaciones para conducir mensajes de una hosts a otra, en redes amplias la subred tiene dos componentes las líneas de transmisión y los elementos de conmutación que son computadoras especializadas que conectan dos o mas líneas de transmisión. Las WAN contienen numerosos cables y hacen uso de enrutadores, en el caso de no compartir cables y desean comunicarse lo hacen por medio de otros enrutadores intermedios hasta que la línea de salida este libre y se reenvía y una subred basado en este principio se llama punto a punto. Algunas posibles topologías diseñadas de interconexión de enrutador tienen topologías irregulares como son de anillo, árbol, completa, intersección de anillos, irregular, estrella. Red de Área Metropolitana (MAN)
  • 2.
    Para extenderse alo largo de una ciudad se puede conectar un cierto numero de LAN en una red mayor de manera que se puedan compartir recursos de una LAN a otra haciendo uso de una MAN se conectan todas las LAN de oficinas dispersas. REDES PUNTO A PUNTO Conexiones directas entre terminales y computadoras, tienen alta velocidad de transmisión, seguras, inconveniente costo, proporciona mas flexibilidad que una red con servidor ya que permite que cualquier computadora comparta sus recursos. REDES DE DIFUCION Poseen un solo canal de comunicaciones compartido por todas las maquinas de la red, cuando el mensaje es enviado se recibe por todas las demás verifican el campo de dirección si es para ella se procesa de lo contrario se ignora. Pero este tipo de red permite mediante un código la posibilidad de dirigir un paquete a todos los destinos permitiendo que todas las maquinas lo reciban y procesen. REDES CONMUTADAS Los datos provienen de dispositivos finales que desean comunicarse conmutando de nodo a nodo objetivo facilitar la comunicación. PROTOCOLO Y ARQUITECTURAS DE RED PROTOCOLOS: conjunto de reglas o convenios para llevar a cabo una tarea. Define qué se comunica, cómo se comunica y cuándo se comunica. Los elementos claves del protocolo son: Sintaxis, formato de los datos orden en el cual se presentan. Semántica, significado de cada sección de bits. Temporizador, define cuando se envía y con que rapidez. FUNCIONES DE LOS PROTOCOLOS Se agrupan en las siguientes categorías
  • 3.
    Segmentación y ensamblado:envían mensajes en una secuencia continua, se dividen los datos en bloques de menor tamaño y se denominan (P D U) Protocol Data Unit, intercambiándose entre dos entidades a través de un protocolo. Encapsulado: cada P D U consta no solo de datos sino también de información de control, cuando solo tienen de control se clasifican en Dirección, Código, Control. Control de conexión: al transmitir datos cada PDU se trata independientemente de las PDU anteriores, se conoce como transferencia de datos no orientadas a conexión. Envío ordenado: cuando las PDU no reciben en el mismo orden porque siguen diferentes caminos a través de la red se necesita que se mantenga un orden de las PDU para que la información llegue tal como se envió. Control de flujo: limitar la cantidad o tasa de datos que envía la entidad emisora se hace uso de un procedimiento de parada y espera (stop-and-wait) en que cada PDU debe ser confirmada antes de ser enviada. Control de errores: se incluyen detección de errores basadas en el uso de secuencia de comprobación de trama y de transmisión de PDU. Direccionamiento: Múltiplexación: relacionado con el conceptote direccionamiento Servicios de transmisión: un protocolo ofrece una gran variedad de servicios adicionales a las entidades que hagan uso de el. PROTOCOLO TCP / IP Protocolo de control de transmisiones / protocolo de Internet usados para el control de la transmisión en Internet permite que diferentes tipos de ordenadores se comuniquen a través de redes heterogéneas. Una Internet bajo TCP / IP opera como una única red que conecta muchas computadoras de cualquier tamaño y forma El protocolo TCP fue desarrollado antes que el modelo OSI por lo tanto TCP / IP no coinciden con los modelos O S I, T C P / I P consta de cinco niveles físico, enlace de datos, de red, de transporte y de aplicación. Físico: soporta protocolos estándar (LAN) (MAN) (WAN) Transporte: define TCP y (UDP) TCP / IP: protocolo jerárquico compuesto por módulos interactivos que proporcionan funcionalidad específica.
  • 4.
    ARQUITECTURA DE REDES Conmutaciónde circuitos Crea una línea directa entre dos dispositivos como teléfonos y computadoras, un conmutador es un dispositivo con N entradas y M salidas que crea una conexión temporal entre un enlace de entrada y otro de salida. Conmutador plegado n por n conectar n líneas en modo full-duplex CONMUTACION DE PAQUETES: datos transmitidos en unidades discretas formados por bloques de longitud. La red establece la longitud máxima del paquete. CONMUTACIÓN DE PAQUETES EN DATAGRAMAS: cada paquete es tratado en forma independiente de los otros CONMUTACION DE PAQUETES EN CIRCUITOS VIRTUALES: se mantiene la relación que existe entre todos los paquetes que pertenecen a un mismo mensaje, se implementan de dos formas Circuitos virtuales conmutados (SVC) Circuitos virtuales permanentes (PVC) Proyecto 802 para definir estándares que permitan la intercomunicación entre equipos de distintos fabricantes, el modelo 802 no busca remplazar nada del modelo OSI busca especificaciones del nivel físico, el nivel de enlace de datos y en menos extensión el nivel de red permitiendo conectividad en protocolos LAN y WAN El LLC no especifico para cada arquitectura, es el mismo para todas las LAN definidas por la IEEE El proyecto 802 esta en modularidad y se subdivide para la gestión de la LAN 802.1 dedicada a los aspectos de comunicación entre redes LAN y WAN aunque no esta completo trata de resolver las incompatibilidades entre arquitectura de redes. 802.2 (LLC) toma la estructura de una trama HDLC control de enlace de datos de alto nivel, el LLC es la capa superior del nivel de enlace de datos del IEEE 802 común en todos los protocolos LAN IEEE 802.3 ETHERNET define banda base y banda ancha Método Acceso CSMD / CD siempre que múltiples usuarios tienen acceso incontrolado a una única línea existe el peligro de que las señales se solapen y se destruyan entre si. La solución se denomina acceso múltiple con detección de colisiones (CSMD) estandarizado en el IEEE 802.3
  • 5.
    IEEE 802.4 Buscon paso de testigo: combina la característica de la ethernet y red de anillo con paso de testigo es un bus físico que opera como un anillo lógico usando testigos. IEEE 802.5 red anillo con paso testigo: exige a las estaciones que envíen los datos por turnos, envía solo una trama en cada turno coordinado por el paso de testigo. Un testigo es una trama contenedor sencilla que se pasa de estación en estación alrededor del anillo. LA X – 25: por costos elevados de líneas alquiladas se introdujeron las redes de paquetes conmutados donde las líneas compartidas reducen el costo. El primer grupo fue el grupo de protocolo X. 25 con baja tasa de bits y que puede ser conmutada. Poseen canales preestablecidos proporcionando un PVC (Circuito Virtual Permanente) Resulta económico ya que las tarifas se basan en la cantidad de datos entregados y no en el tiempo de conexión. FRAME RELAY: es una tecnología de conmutación rápida de tramas basada en estándares internacionales y que se utilizan como protocolo de transporte y de acceso a redes publicas. Ha evolucionado proporcionando la integración de una única línea de los distintos tipos de tráfico de datos y voz y transporte por una única red. Se adoptó estándares como: ATM (Modo de Transferencia Asincronomo) protocolo de retransmisión de celdas capaz de transferir voz, video y datos a través de redes privadas y publicas basada en una arquitectura de celdas ya que son adecuadas para transportar voz y video porque es intolerante con el retardo. Escrito por nelalexrojas el 06/10/2006 23:47 | Comentarios (114) Dirección IP De Wikipedia, la enciclopedia libre Saltar a: navegación, búsqueda Este artículo trata sobre el número de identificación de red. Para otros usos de este término, véase IP. Una dirección IP es una etiqueta numérica que identifica, de manera lógica y jerárquica, a un interfaz (elemento de comunicación/conexión) de un dispositivo (habitualmente una computadora) dentro de una red que utilice el protocolo IP (Internet Protocol), que corresponde al nivel de red del protocolo TCP/IP. Dicho número no se ha de confundir con la dirección MAC que es un identificador de 48bits para identificar de forma única a la tarjeta de red y no depende del protocolo de conexión utilizado ni de la red. La dirección IP puede cambiar muy a menudo por cambios en la red o porque el dispositivo encargado dentro de la red de asignar las direcciones IP, decida asignar otra IP (por ejemplo, con el protocolo DHCP), a esta forma de asignación de dirección IP se denomina dirección IP dinámica (normalmente abreviado como IP dinámica).
  • 6.
    Los sitios deInternet que por su naturaleza necesitan estar permanentemente conectados, generalmente tienen una dirección IP fija (comúnmente, IP fija o IP estática), esta, no cambia con el tiempo. Los servidores de correo, DNS, FTP públicos y servidores de páginas web necesariamente deben contar con una dirección IP fija o estática, ya que de esta forma se permite su localización en la red. Los ordenadores se conectan entre sí mediante sus respectivas direcciones IP. Sin embargo, a los seres humanos nos es más cómodo utilizar otra notación más fácil de recordar, como los nombres de dominio; la traducción entre unos y otros se resuelve mediante los servidores de nombres de dominio DNS, que a su vez, facilita el trabajo en caso de cambio de dirección IP, ya que basta con actualizar la información en el servidor DNS y el resto de las personas no se enterarán ya que seguirán accediendo por el nombre de dominio. Contenido [ocultar] 1 Direcciones IPv4 o 1.1 Direcciones privadas o 1.2 Máscara de subred o 1.3 Creación de subredes o 1.4 IP dinámica  1.4.1 Ventajas  1.4.2 Desventajas  1.4.3 Asignación de direcciones IP o 1.5 IP fija 2 Direcciones IPv6 3 Enlaces externos 4 Referencias [editar] Direcciones IPv4 Artículo principal: IPv4. Las direcciones IPv4 se expresan por un número binario de 32 bits permitiendo un espacio de direcciones de hasta 4.294.967.296 (232) direcciones posibles. Las direcciones IP se pueden expresar como números de notación decimal: se dividen los 32 bits de la dirección en cuatro octetos. El valor decimal de cada octeto está comprendido en el rango de 0 a 255 [el número binario de 8 bits más alto es 11111111 y esos bits, de derecha a izquierda, tienen valores decimales de 1, 2, 4, 8, 16, 32, 64 y 128, lo que suma 255]. En la expresión de direcciones IPv4 en decimal se separa cada octeto por un carácter único ".". Cada uno de estos octetos puede estar comprendido entre 0 y 255, salvo algunas excepciones. Los ceros iniciales, si los hubiera, se pueden obviar.
  • 7.
    Ejemplo de representaciónde dirección IPv4: 10.128.001.255 o 10.128.1.255 En las primeras etapas del desarrollo del Protocolo de Internet,1 los administradores de Internet interpretaban las direcciones IP en dos partes, los primeros 8 bits para designar la dirección de red y el resto para individualizar la computadora dentro de la red. Este método pronto probó ser inadecuado, cuando se comenzaron a agregar nuevas redes a las ya asignadas. En 1981 el direccionamiento internet fue revisado y se introdujo la arquitectura de clases (classful network architecture).2 En esta arquitectura hay tres clases de direcciones IP que una organización puede recibir de parte de la Internet Corporation for Assigned Names and Numbers (ICANN): clase A, clase B y clase C. En una red de clase A, se asigna el primer octeto para identificar la red, reservando los tres últimos octetos (24 bits) para que sean asignados a los hosts, de modo que la cantidad máxima de hosts es 224 - 2 (se excluyen la dirección reservada para broadcast (últimos octetos en 255) y de red (últimos octetos en 0)), es decir, 16.777.214 hosts. En una red de clase B, se asignan los dos primeros octetos para identificar la red, reservando los dos octetos finales (16 bits) para que sean asignados a los hosts, de modo que la cantidad máxima de hosts es 216 - 2, o 65.534 hosts. En una red de clase C, se asignan los tres primeros octetos para identificar la red, reservando el octeto final (8 bits) para que sea asignado a los hosts, de modo que la cantidad máxima de hosts es 28 - 2, ó 254 hosts. N° de N° de Host Por Máscara de Clase Rango Broadcast ID Redes Red Red 1.0.0.0 - A 128 16.777.214 255.0.0.0 x.255.255.255 127.255.255.255 128.0.0.0 - B 16.384 65.534 255.255.0.0 x.x.255.255 191.255.255.255 192.0.0.0 - C 2.097.152 254 255.255.255.0 x.x.x.255 223.255.255.255 224.0.0.0 - (D) histórico 239.255.255.255 240.0.0.0 - (E) histórico 255.255.255.255 La dirección 0.0.0.0 es reservada por la IANA para identificación local. La dirección que tiene los bits de host iguales a cero sirve para definir la red en la que se ubica. Se denomina dirección de red. La dirección que tiene los bits correspondientes a host iguales a uno, sirve para enviar paquetes a todos los hosts de la red en la que se ubica. Se denomina dirección de broadcast.
  • 8.
    Las direcciones 127.x.x.xse reservan para designar la propia máquina. Se denomina dirección de bucle local o loopback. El diseño de redes de clases (classful) sirvió durante la expansión de internet, sin embargo este diseño no era escalable y frente a una gran expansión de las redes en la década de los noventa, el sistema de espacio de direcciones de clases fue reemplazado por una arquitectura de redes sin clases Classless Inter-Domain Routing (CIDR)3 en el año 1993. CIDR está basada en redes de longitud de máscara de subred variable (variable-length subnet masking VLSM) que permite asignar redes de longitud de prefijo arbitrario. Permitiendo una distribución de direcciones más fina y granulada, calculando las direcciones necesarias y "desperdiciando" las mínimas posibles. [editar] Direcciones privadas Hay ciertas direcciones en cada clase de dirección IP que no están asignadas y que se denominan direcciones privadas. Las direcciones privadas pueden ser utilizadas por los hosts que usan traducción de dirección de red (NAT) para conectarse a una red pública o por los hosts que no se conectan a Internet. En una misma red no pueden existir dos direcciones iguales, pero sí se pueden repetir en dos redes privadas que no tengan conexión entre sí o que se conecten mediante el protocolo NAT. Las direcciones privadas son: Clase A: 10.0.0.0 a 10.255.255.255 (8 bits red, 24 bits hosts). Clase B: 172.16.0.0 a 172.31.255.255 (16 bits red, 16 bits hosts). 16 redes clase B contiguas, uso en universidades y grandes compañías. Clase C: 192.168.0.0 a 192.168.255.255 (24 bits red, 8 bits hosts). 256 redes clase C contiguas, uso de compañías medias y pequeñas además de pequeños proveedores de internet (ISP). Muchas aplicaciones requieren conectividad dentro de una sola red, y no necesitan conectividad externa. En las redes de gran tamaño a menudo se usa TCP/IP. Por ejemplo, los bancos pueden utilizar TCP/IP para conectar los cajeros automáticos que no se conectan a la red pública, de manera que las direcciones privadas son ideales para estas circunstancias. Las direcciones privadas también se pueden utilizar en una red en la que no hay suficientes direcciones públicas disponibles. Las direcciones privadas se pueden utilizar junto con un servidor de traducción de direcciones de red (NAT) para suministrar conectividad a todos los hosts de una red que tiene relativamente pocas direcciones públicas disponibles. Según lo acordado, cualquier tráfico que posea una dirección destino dentro de uno de los intervalos de direcciones privadas no se enrutará a través de Internet. [editar] Máscara de subred
  • 9.
    La máscara permitedistinguir los bits que identifican la red y los que identifican el host de una dirección IP. Dada la dirección de clase A 10.2.1.2 sabemos que pertenece a la red 10.0.0.0 y el host al que se refiere es el 2.1.2 dentro de la misma. La máscara se forma poniendo a 1 los bits que identifican la red y a 0 los bits que identifican el host. De esta forma una dirección de clase A tendrá como máscara 255.0.0.0, una de clase B 255.255.0.0 y una de clase C 255.255.255.0. Los dispositivos de red realizan un AND entre la dirección IP y la máscara para obtener la dirección de red a la que pertenece el host identificado por la dirección IP dada. Por ejemplo un router necesita saber cuál es la red a la que pertenece la dirección IP del datagrama destino para poder consultar la tabla de encaminamiento y poder enviar el datagrama por la interfaz de salida. Para esto se necesita tener cables directos. La máscara también puede ser representada de la siguiente forma 10.2.1.2/8 donde el /8 indica que los 8 bits más significativos de máscara están destinados a redes, es decir /8 = 255.0.0.0. Análogamente (/16 = 255.255.0.0) y (/24 = 255.255.255.0). [editar] Creación de subredes El espacio de direcciones de una red puede ser subdividido a su vez creando subredes autónomas separadas. Un ejemplo de uso es cuando necesitamos agrupar todos los empleados pertenecientes a un departamento de una empresa. En este caso crearíamos una subred que englobara las direcciones IP de éstos. Para conseguirlo hay que reservar bits del campo host para identificar la subred estableciendo a uno los bits de red-subred en la máscara. Por ejemplo la dirección 172.16.1.1 con máscara 255.255.255.0 nos indica que los dos primeros octetos identifican la red (por ser una dirección de clase B), el tercer octeto identifica la subred (a 1 los bits en la máscara) y el cuarto identifica el host (a 0 los bits correspondientes dentro de la máscara). Hay dos direcciones de cada subred que quedan reservadas: aquella que identifica la subred (campo host a 0) y la dirección para realizar broadcast en la subred (todos los bits del campo host en 1). [editar] IP dinámica Una dirección IP dinámica es una IP asignada mediante un servidor DHCP (Dynamic Host Configuration Protocol) al usuario. La IP que se obtiene tiene una duración máxima determinada. El servidor DHCP provee parámetros de configuración específicos para cada cliente que desee participar en la red IP. Entre estos parámetros se encuentra la dirección IP del cliente. DHCP apareció como protocolo estándar en octubre de 1993. El estándar RFC 2131 especifica la última definición de DHCP (marzo de 1997). DHCP sustituye al protocolo BOOTP, que es más antiguo. Debido a la compatibilidad retroactiva de DHCP, muy pocas redes continúan usando BOOTP puro. Las IP dinámicas son las que actualmente ofrecen la mayoría de operadores. El servidor del servicio DHCP puede ser configurado para que renueve las direcciones asignadas cada tiempo determinado. [editar] Ventajas
  • 10.
    Reduce los costosde operación a los proveedores de servicios de Internet (ISP). Reduce la cantidad de IP asignadas (de forma fija) inactivas. [editar] Desventajas Obliga a depender de servicios que redirigen un host a una IP. [editar] Asignación de direcciones IP Dependiendo de la implementación concreta, el servidor DHCP tiene tres métodos para asignar las direcciones IP: manualmente, cuando el servidor tiene a su disposición una tabla que empareja direcciones MAC con direcciones IP, creada manualmente por el administrador de la red. Sólo clientes con una dirección MAC válida recibirán una dirección IP del servidor. automáticamente, donde el servidor DHCP asigna permanentemente una dirección IP libre, tomada de un rango prefijado por el administrador, a cualquier cliente que solicite una. dinámicamente, el único método que permite la reutilización de direcciones IP. El administrador de la red asigna un rango de direcciones IP para el DHCP y cada ordenador cliente de la LAN tiene su software de comunicación TCP/IP configurado para solicitar una dirección IP del servidor DHCP cuando su tarjeta de interfaz de red se inicie. El proceso es transparente para el usuario y tiene un periodo de validez limitado. [editar] IP fija Una dirección IP fija es una dirección IP asignada por el usuario de manera manual (Que en algunos casos el ISP o servidor de la red no lo permite), o por el servidor de la red (ISP en el caso de internet, router o switch en caso de LAN) con base en la Dirección MAC del cliente. Mucha gente confunde IP Fija con IP Pública e IP Dinámica con IP Privada. Una IP puede ser Privada ya sea dinámica o fija como puede ser IP Pública Dinámica o Fija. Una IP Pública se utiliza generalmente para montar servidores en internet y necesariamente se desea que la IP no cambie por eso siempre la IP Pública se la configura de manera Fija y no Dinámica, aunque si se podría. En el caso de la IP Privada generalmente es dinámica asignada por un servidor DHCP, pero en algunos casos se configura IP Privada Fija para poder controlar el acceso a internet o a la red local, otorgando ciertos privilegios dependiendo del número de IP que tenemos, si esta cambiara (fuera dinámica) sería más complicado controlar estos privilegios (pero no imposible).
  • 11.
    Las IP Públicasfijas actualmente en el mercado de acceso a Internet tienen un costo adicional mensual. Estas IP son asignadas por el usuario después de haber recibido la información del proveedor o bien asignadas por el proveedor en el momento de la primera conexión. Esto permite al usuario montar servidores web, correo, FTP, etc. y dirigir un nombre de dominio a esta IP sin tener que mantener actualizado el servidor DNS cada vez que cambie la IP como ocurre con las IP Públicas dinámicas. [editar] Direcciones IPv6 Artículo principal: IPv6. Véase también: Dirección IPv6 La función de la dirección IPv6 es exactamente la misma a su predecesor IPv4, pero dentro del protocolo IPv6. Está compuesta por 128 bits y se expresa en una notación hexadecimal de 32 dígitos. IPv6 permite actualmente que cada persona en la tierra tenga asignada varios millones de IPs, ya que puede implementarse con 2128 (3.4×1038 hosts direccionables). La ventaja con respecto a la dirección IPv4 es obvia en cuanto a su capacidad de direccionamiento. Su representación suele ser hexadecimal y para la separación de cada par de octetos se emplea el símbolo ":". Un bloque abarca desde 0000 hasta FFFF. Algunas reglas de notación acerca de la representación de direcciones IPv6 son: Los ceros iniciales, como en IPv4, se pueden obviar. Ejemplo: 2001:0123:0004:00ab:0cde:3403:0001:0063 -> 2001:123:4:ab:cde:3403:1:63 Los bloques contiguos de ceros se pueden comprimir empleando "::". Esta operación sólo se puede hacer una vez. Ejemplo: 2001:0:0:0:0:0:0:4 -> 2001::4. Ejemplo no válido: 2001:0:0:0:2:0:0:1 -> 2001::2::1 (debería ser 2001::2:0:0:1 ó 2001:0:0:0:2::1). [editar] Enlaces externos Wikcionario tiene definiciones para dirección IP.
  • 12.
    ¿Qué son lasredes? Autor: Jonathan Curso: 9,08/10 (137 opiniones) |70906 alumnos|Fecha publicación: 25/11/2004 Envía un mensaje al autor Capítulo 14: Clases de red Enlaces patrocinadosNetworking Equipment Huge Selection and Low Prices. Net 30 Terms with No Annual Fees! NeweggBusiness.com Para una mejor organización en el reparto de rangos las redes se han agrupado en cuatro clases, de manera que según el tamaño de la red se optará por un tipo u otro. Las direcciones de clase A Corresponden a redes que pueden direccionar hasta 16.777.214 máquinas cada una. Las direcciones de red de clase A tienen siempre el primer bit a 0. 0 + Red (7 bits) + Máquina (24 bits) Solo existen 124 direcciones de red de clase A. Ejemplo: R M ed áquina
  • 13.
    B 0 0 0 0 inario 0001010 0001111 0010000 0001011 D 1 1 1 1 ecimal 0 5 6 1 Rangos (notación decimal): 1.xxx.xxx.xxx - 126.xxx.xxx.xxx Las direcciones de clase B Las direcciones de red de clase B permiten direccionar 65.534 máquinas cada una. Los dos primeros bits de una dirección de red de clase B son siempre 01. 01 + Red (14 bits) + Máquina (16 bits) Existen 16.382 direcciones de red de clase B. Ejemplo: R M ed áquina B 0 0 0 0 inario 1 000001 0001010 0000010 0000011 D 1 1 2 3 ecimal 29 0 Rangos (notación decimal) : 128.001.xxx.xxx - 191.254.xxx.xxx Las direcciones de clase C Las direcciones de clase C permiten direccionar 254 máquinas. Las direcciones de clase C empiezan con los bits 110 110 + Red (21 bits) + Máquina (8 bits) Existen 2.097.152 direcciones de red de clase C.
  • 14.
    Ejemplo: R M ed áquina B 1 0 0 0 inario 10 01010 0001111 0010111 0001011 D 2 1 2 1 ecimal 02 5 3 1 Rangos (notación decimal): 192.000.001.xxx - 223.255.254..xxx Las direcciones de clase D Las direcciones de clase D son un grupo especial que se utiliza para dirigirse a grupos de máquinas. Estas direcciones son muy poco utilizadas. Los cuatro primeros bits de una dirección de clase D son 1110. Direcciones de red reservadas Existen una serie de direcciones IP con significados especiales. · Direcciones de subredes reservadas: 000.xxx.xxx.xxx (1) 127.xxx.xxx.xxx (reservada como la propia máquina) 128.000.xxx.xxx (1) 191.255.xxx.xxx (2) 192.168.xxx.xxx (reservada para intranets) 223.255.255.xxx (2) · Direcciones de máquinas reservadas: xxx.000.000.000 (1) xxx.255.255.255 (2)
  • 15.
    xxx.xxx.000.000 (1) xxx.xxx.255.255 (2) xxx.xxx.xxx.000 (1) xxx.xxx.xxx.255 (2) (1) Se utilizan para identificar a la red. (2) Se usa para enmascarar. Clases de red Clase Dirección de Red Dirección de Host Cantidad de Hosts Clase A a b.c.d 16777214 Clase B a.b c.d 65534 Clase C a.b.c d 254 Clase Tamaño de la dirección de Primer número Número de red (en octetos) direcciones locales A 1 0 -127 16.777.216 B 2 128 -191 65.536 C 3 192 -223 256 Dada una dirección IP, puede determinarse a que clase pertenece examinando el valor de su primer número: Clase Rango de a Clase A 1 - 126 Clase B 128 - 191 Clase C 192 - 224 Para una mejor organización en el reparto de rangos las redes se han agrupado en cuatro clases, de manera que según el tamaño de la red se optará por un tipo u otro. Las direcciones de clase A La clase A comprende redes desde 1.0.0.0 hasta 127.0.0.0. El número de red está en el primer octeto, con lo que sólo hay 127 redes de este tipo, pero cada una tiene 24 bits disponibles para identificar a los nodos, lo que se corresponde con poder distinguir en la red unos 1.6 millones de nodos distintos.
  • 16.
    Corresponden a redesque pueden direccionar hasta 16.777.214 máquinas cada una. Las direcciones de red de clase A tienen siempre el primer bit a 0. 0 + Red (7 bits) + Máquina (24 bits) Solo existen 124 direcciones de red de clase A. Ejemplo: Red Máquina Binario 0 0001010 00001111 00010000 00001011 Decimal 10 15 16 11 Rangos(notación decimal): 1.xxx.xxx.xxx - 126.xxx.xxx.xxx Las direcciones de clase B La clase B comprende redes desde 128.0.0.0 hasta 191.255.0.0; siendo el número de red de 16 bits (los dos primeros octetos. Esto permite 16320 redes de 65024 nodos cada una. Las direcciones de red de clase B permiten direccionar 65.534 máquinas cada una. Los dos primeros bits de una dirección de red de clase B son siempre 01. 01 + Red (14 bits) + Máquina (16 bits) Existen 16.382 direcciones de red de clase B. Ejemplo: Red Máquina Binario 10 000001 00001010 00000010 00000011 Decimal 129 10 2 3 Rangos(notación decimal):
  • 17.
    128.001.xxx.xxx - 191.254.xxx.xxx Lasdirecciones de clase C Las redes de clase C tienen el rango de direcciones desde 192.0.0.0 hasta 223.255.255.0, contando con tres octetos para identificar la red. Por lo tanto, hay cerca de 2 millones de redes de este tipo con un máximo de 254 nodos cada una. Las direcciones de clase C permiten direccionar 254 máquinas. Las direcciones de clase C empiezan con los bits 110 110 + Red (21 bits) + Máquina (8 bits) Existen 2.097.152 direcciones de red de clase C. Ejemplo: Red Máquina Binario 110 01010 00001111 00010111 00001011 Decimal 202 15 23 11 Rangos(notación decimal): 192.000.001.xxx - 223.255.254..xxx Las direcciones de clase D Las direcciones de clase D son un grupo especial que se utiliza para dirigirse a grupos de máquinas. Estas direcciones son muy poco utilizadas. Los cuatro primeros bits de una dirección de clase D son 1110. Comprenden las direcciones entre 224.0.0.0 y 254.0.0.0, y están reservadas para uso futuro, o con fines experimentales. No especifican, pues, ninguna red de Internet. Direcciones de red reservadas Cuando se creó Internet y se definió el protocolo IP, al desarrollar los conceptos de clases A, B y C se reservaron una red clase A (10.X.X.X), quince clases B (172.16.X.X a 172.31.X.X) y 255 clases C (192.168.0.X a 192.168.255.X) para su uso privado. Este uso privado consiste en que el órgano competente en la asignación de direcciones no concede
  • 18.
    estas clases, yse reservan para que las redes privadas sin conexión con el mundo exterior hagan uso de ellas de tal manera de no provocar colisiones si en el futuro estas redes se conectan a redes públicas. De esta forma se definen dos tipos de direcciones IP, direcciones IP públicas, que son aquellas que conceden los organismos internacionales competentes en esta materia y que van a ser usadas en Redes IP Globales, y direcciones IP privadas, definidas como aquellas que van a identificar a los equipos cuando se hable de Redes IP Privadas. Existen una serie de direcciones IP con significados especiales. Direcciones de subredes reservadas: 000.xxx.xxx.xxx (1) 127.xxx.xxx.xxx (reservada como la propia máquina) 128.000.xxx.xxx (1) 191.255.xxx.xxx (2) 192.168.xxx.xxx (reservada para intranets) 223.255.255.xxx (2) Direcciones de máquinas reservadas: xxx.000.000.000 (1) xxx.255.255.255 (2) xxx.xxx.000.000 (1) xxx.xxx.255.255 (2) xxx.xxx.xxx.000 (1) xxx.xxx.xxx.255 (2) 1. Se utilizan para identificar a la red. 2. Se usa para enmascarar. 3.Sistema operativo de red
  • 19.
    4. De Wikipedia,la enciclopedia libre 5. Saltar a: navegación, búsqueda 6. El sistema operativo de red permite la interconexión de ordenadores para poder acceder a los servicios y recursos. Al igual que un equipo no puede trabajar sin un sistema operativo, una red de equipos no puede funcionar sin un sistema operativo de red. Si no se dispone de ningún sistema operativo de red, los equipos no pueden compartir recursos y los usuarios no pueden utilizar estos recursos. 7. Dependiendo del fabricante del sistema operativo de red, tenemos que el software de red para un equipo personal se puede añadir al propio sistema operativo del equipo o integrarse con él. 8. NetWare de Novell es el ejemplo más familiar y famoso de sistema operativo de red donde el software de red del equipo cliente se incorpora en el sistema operativo del equipo. El equipo personal necesita ambos sistema operativos para gestionar conjuntamente las funciones de red y las funciones individuales. 9. El software del sistema operativo de red se integra en un número importante de sistemas operativos conocidos, incluyendo Windows 2000 Server/Professional, Windows NT Server/Workstation, Windows 95/98/ME y Apple Talk. 10. Cada configuración (sistemas operativos de red y del equipo separados, o sistema operativo combinando las funciones de ambos) tiene sus ventajas e inconvenientes. Por tanto, nuestro trabajo como especialistas en redes es determinar la configuración que mejor se adapte a las necesidades de nuestra red. 11. Es un componente software de una computadora que tiene como objetivo coordinar y manejar las actividades de los recursos del ordenador en una red de equipos. Consiste en un software que posibilita la comunicación de un sistema informático con otros equipos en el ámbito de una red. 12. Sistemas operativos de Redes 13. Enviado por felcos 14. Anuncios Google 15. XFINITY® Internet Está Lento tu Internet? Descargas hasta 20 Mbps con PowerBoost®. www.Comcast.com 16. Estudia En Línea Programas Universitarios Online. Título Profesional en USA. www.UNAD.us 17. United Edu Institute Prepare For A Career at UEI College 10 Programs to Choose From! www.ueicollege.com 18. 19. SISTEMA OPERATIVO UNIX 20. Introducción. 21. Los sistemas operativos UNIX desarrollados en los Laboratorios Bell se cuentan entre los éxitos más notables en el campo de los sistemas operativos. Los sistemas UNIX ofrecen un ambiente amable para el desarrollo de programas y el procesamiento de textos. Brindan facilidad para combinar unos programas con otros, lo cual sirve para fomentar un enfoque modular, de piezas de construcción y orientado a las herramientas, para el diseño de programas. Una vez transportado un sistema operativo UNIX a otra máquina, un enorme acervo de programas de utilidad general queda disponible en la máquina de destino.
  • 20.
    22. El sistemaoperativo UNIX de 1981 era un sistema de tecleo intensivo que requería una larga lista de mandatos con diversas sintaxis. La generación más reciente de sistemas UNIX ofrece en muchos casos interfaces amab les con el usuario, orientadas al uso de ratón y de ventanas tales como X Window System de MIT, NeWS de Sun Microsystem y Open Look de AT&T. 23. Los sistemas UNIX se han convertido en los sistemas operativos para computadora personal preferidos por los usuarios de potencia, y es probable que lo mismo suceda con millones de usuarios más. 24. Casi todos los fabricantes importantes de computadoras ofrecen en la actualidad alguna forma de sistemas UNIX. Muchas compañías que habían estado ofreciendo sistemas UNIX además de sus propios sistemas, ahora promueven los sistemas UNIX dándoles por lo menos igual importancia. (3) y (14). 25. Historia. 26. Entre 1965 y 1969, los Laboratorios Bell participaron con General Electric (Más tarde Honeywell) y Project MAC (Del Massachusetts Institute of Technology) en el desarrollo del sistema Multics. Este sistema diseña do para la macrocomputadora GE-645, era demasiado grande y complejo. Los diseñadores de Multics tenían en mente un programa de utilidad general que pudiera ser en esencia "todo para el mundo". 27. Al avanzar los trabajos se hizo evidente que aunque Multics proporcionaría con toda probabilidad la diversidad de servicios requerida, sería un sistema enorme, costoso y torpe. Por estas y muchas otras razones, los L aboratorios Bell se retiraron del proyecto en 1969. Algunos de los miembros de investigación de Bell comenzaron a trabajar en un sistema mucho menos ambicioso. El grupo, dirigido por Ken Thompson, buscaba crear un ambiente de computación sen cillo para investigación y desarrollo de programas potentes. La primera versión de un sistema UNIX se creó para un DEC PDP-7 y se escribió en lenguaje ensamblador. 28. Thompson llevó a la práctica un sistema de archivos, un mecanismo de control de procesos, programas para el manejo general de archivos y un intérprete de mandatos (Comandos). En 1970 Brian Kernighan acuñ ;ó el nombre "UNIX" haciendo un juego de palabras con Multics; de hecho, en el sentido en que Multics era "multi", los sistemas UNIX eran sin duda servicios de computación "uni", limitados. 29. Cuando apareció la PDP-11, su atractivo precio permitió al grupo adquirir la máquina. No contaba con apoyo para la multiprogramación; la computadora tenía sólo 24K y el sistema ocupaba 16K ; por tanto quedaban 8K reservados para el usuario. El tamaño máximo de archivo era de 64Kbytes. La aplicación principal era el procesamiento de textos. No había protección del almacenamiento, de modo que el sistema pod& iacute;a caerse con facilidad durante la prueba de un programa nuevo. El disco era pequeño, apenas ½ Megabyte. 30. Dennis Ritchie se unió a la labor de desarrollo y ayudó a reescribir los sistemas UNIX en C en 1973. Esto ayudó a que los programas de los sistemas UNIX se volvieran más portátiles y comprensible s.
  • 21.
    31. Las contribucionesde Thompson y Ritchie recibieron como reconocimiento el premio Turing, el de más prestigio en la comunidad de computación. 32. Antes de la liberalización, AT&T no tenía permiso para competir en la industria de la informática, por lo que ofreció los sistemas UNIX a las universidades por una cuota nominal. Además de di stribuir el código fuente, fomentando así el desarrollo adicional y las innovaciones. 33. En 1975 los sistemas UNIX se habían popularizado muchísimo en las universidades y así apareció una organización de usuarios que evolucionó hasta convertirse en el grupo llamado USENIX. 34. Los sistemas UNIX satisfacen necesidades de los programadores que crean software y de los administradores que deben controlar las labores de desarrollo de programas. Sin embargo, no estaban diseñados para sustituir los sist emas operativos comerciales "de trabajo pesado" que dan apoyo a un procesamiento masivo de datos. 35. El sistema de tiempo compartido UNIX, séptima edición, editado en 1979, hizo que los sistemas UNIX estuvieran más cerca de convertirse en productos comerciales válidos. Los archivos podían llegar a un tamaño de mil millones de bytes. El sistema se hizo todavía más portátil y se amplió el lenguaje C. Se llevó a la práctica un shell (Intérprete de los mandatos del usuario) más potente q ue incluía variables de cadena, programación estructurada, manejo de trampas y otras características. Se añadió la capacidad de añadir archivos entre una máquina y otra. 36. Reconociendo el valor de los sistemas UNIX, Microsoft anunció en 1980 que ofrecería XENIX, una versión comercial de sistema UNIX, en microporcesadores de 16 bits. Para mejorar la viabilidad, Microsoft agreg&oa cute; recuperación de errores por hardware, reparación automática de archivos después de caídas, detección de fallas en el suministro de energía y errores de paridad, segmentos compartidos de datos y una me jor comunicación entre procesos. 37. En 1980, la Universidad de California en Berkeley recibió fondos del Departamento de Defensa para evolucionar los sistemas UNIX de sistemas operativos pequeños de tiempo compartido a sistemas apropiados para estudiar ambientes de computación distribuida. Esto redundó en el desarrollo del sistema 4.1 BSD, después AT&T comercializó el sistema UNIX System III en 1982, este evolucionó hasta convertirse en System V. 38. Concepto 39. Es un sistema operativo de tiempo compartido, controla los recursos de una computadora y los asigna entre los usuarios. Permite a los usuarios correr sus programas. Controla los dispositivos de periféricos conectados a la máquina. 40. Posee las siguientes características: 41. 42. El Shell.
  • 22.
    43. El shelles el mecanismo de los sistemas UNIX para lograr la comunicación entre los usuarios y el sistema. Es un intérprete de comandos que lee líneas tecleadas por el usuario y hace que se ejecuten las fu nciones del sistema solicitadas. Es un programa de aplicación como cualquier otro; no es parte del núcleo. Es frecuente que los sistemas UNIX manejen varios shells diferentes. El shell no reside permanentemente en la memoria principal como e l núcleo; puede intercambiarse cuando se necesite. 44. Tres de los shells más populares son el shell Bourne (Almacenado en el archivo de programa sh), el shell Berkeley C (Almacenado en csh), y el shell Korn (Almacenado en ksh). El shell Bourne ha sido el shell primordial en lo s sistemas UNIX de AT&T. El shell C (Cuya sintaxis se asemeja a la del lenguaje de programación C) fue desarrollado por Bill Joy de Sun Microsystems. El shell Korn de AT&T ofrece muchas mejoras con respecto al shell Bourne, incluyendo diver sas características del shell C. Estos shells no tienen una orientación gráfica, pero siguen siendo populares entre los usuarios experimentados. 45. El Núcleo. 46. Los sistemas UNIX contienen un núcleo, uno o más shells y diversos programas de utilidad general. El núcleo es la parte central de los sistemas operativos UNIX; encapsula el equipo y ofrece servicios de si stemas UNIX a los programas de aplicaciones. El núcleo se encarga de la administración de procesos, de memoria, de E/S y del reloj. Así como el shell proporciona servicios a los usuarios, el núcleo proporciona servicios a los p rogramas de aplicación, incluyendo al shell. 47. El núcleo administra la memoria real y asigna el procesador en forma automática Otras funciones del núcleo se ejecutan en respuesta a solicitudes, denominadas llamadas al sistema, de los procesos de aplicaci&o acute;n. 48. Los sistemas UNIX administran muchos procesos concurrentes. Cada proceso tiene su propio espacio de direcciones como protección, pero los procesos pueden compartir la misma copia de un programa reentrante. 49. El Sistema de Archivos. 50. Los sistemas UNIX utilizan un sistema de archivos jerárquicos con su origen en el nodo raíz (Root). Los nombres de archivos aparecen en directorios que son a su vez archivos UNIX. Cada entrada de directorio conti ene el nombre del archivo y un apuntador al inodo del archivo; el inodo contiene apuntadores a los bloques del archivo en disco. El núcleo se encarga de mantener la estructura de directorios del sistema de archivo. Desde el punto de vista del siste ma, un directorio es idéntico a un archivo ordinario excepto por la restricción de que los usuarios no pueden escribir en los directorios, aunque sí pueden leerlos. 51. Características Generales. 52. Fue desarrollado por los Laboratorios Bell en 1969. 53. El sistema operativo UNIX era, en 1981, un sistema de comando por línea, con varias opciones de sintaxis. 54. El sistema operativo, ahora soporta ratón e interfaz de ventanas como X-Window System de MIT, News de Sun Microsystem y Open Look de AT&T. 55. Surgimiento de varios UNIX:
  • 23.
    56. 57. XENIX de Microsoft (1980). 58. Reparación de errores por Hardware. 59. Reparación de archivos por caídas del sistema. 60. Una mejor comunicación entre procesos. 61. UNIX 4.1 BSD de la Universidad de California en Berkely (1980). 62. Soporta memoria virtual. 63. Sistema de archivos más rápido y potente. 64. Comunicación entre procesos. 65. Apoyo para redes de área local. 66. Editor de pantalla completo. 67. UNIX System III de AT&T (1982), evolucionó hasta convertirse en System V. 68. Captura remota de trabajos. 69. Mejor sistema de archivos. 70. Mejores recursos para la comunicación entre procesos. 71. Sun OS de Sun Microsystem. 72. Tomó como base al sistema 4.2 BSD como modelo. 73. Proporcionaba apoyo a una red de estación de trabajo. 74. Manejo de una interfaz gráfica con ventanas y orientado al ratón. 75. UNIX se ha implementado en: 76. 77. Supercomputadoras. 78. Macros. 79. Minis. 80. Estaciones de trabajo. 81. PCs. 82. Componentes de UNIX: 83. 84. Shell, intérprete de comandos. 85. Núcleo, se encarga de la administración de Procesos, Memoria, Entrada/Salida y Ciclos de Reloj. 86. El Sistema de archivos es jerárquico, con origen en un nodo raíz. 87. Contiene 4 aportaciones importantes que han aumentado la viabilidad de los sistemas UNIX como base para los sistemas distribuidos. 88. Conectores Berkely. 89. 90. Los Streams de AT&T. 91. El sistema de archivos de red NFS. 92. El sistema de archivos remoto RFS de AT&T. 93. Características Especificas. 94. - Es un sistrema operativo multiusuario, con capacidad de simular multiprocesamiento y procesamiento no interactivo.
  • 24.
    95. - Estáescrito en un lenguaje de alto nivel : C. 96. - Dispone de un lenguaje de control programable llamado SHELL. 97. - Ofrece facilidades para la creación de programas y sistemas y el ambiente adecuado para las tareas de diseños de software. 98. - Emplea manejo dinámico de memoria por intercambio o paginación. 99. - Tiene capacidad de interconexión de procesos. 100. - Permite comunicación entre procesos. 101. - Emplea un sistema jerárquico de archivos, con facilidades de protección de archivos, cuentas y procesos. 102. - Tiene facilidad para redireccionamiento de Entradas/Salidas. 103. Garantiza un alto grado de portabilidad. 104. El sistema se basa en un Núcleo llamado Kernel, que reside permanentemente en la memoria, y que atiende a todas las llamadas del sistema, administra el acceso a los archivos y el inicio o la suspención de las tareas de los usuarios. 105. La comunación con el sistema UNIX se da mediante un programa de control llamado SHELL. Este es un lenguaje de control, un intérprete, y un lenguaje de programación, cuyas características lo hacen sumamente flexible para las tareas de un centro de cómputo. Como lenguaje de programación abarca los siguientes aspectos: 106. - Ofrece las estructuras de control normales: secuenciación, iteración condicional, selección y otras. 107. - Paso de parámetros. 108. - Sustitución textual de variables y Cadenas. 109. - Comunicación bidireccional entre órdenes de shell. 110. El shell permite modificar en forma dinámica las características con que se ejecutan los programas en UNIX: 111. Las entradas y salidas pueden ser redireccionadas o redirigidas hacia archivos, procesos y dispositivos; 112. Es posible interconectar procesos entre sí. 113. Diferentes usuarios pueden "ver" versiones distintas del sistema operativo debido a la capacidad del shell para configurar diversos ambientes de ejecución. Por ejemplo, se puede hacer que un usuario entre directamente a su sección, ejecute un programa en particular y salga automáticamente del sistema al terminar de usarlo.
  • 25.
    114. 115. Evaluación. 116. Ventajas de Linux. 117. Multiusuario. 118. Multitarea. 119. Soporta acceso remoto. 120. Soporte nativo de TCP/IP (Fácil conexión a Internet y otras redes) 121. Contiene xFree86, que es una interfaz gráfica de usuario basada en los estándares de X-Window, y también es gratuita. 122. Al instalar el sistema operativo, también se tiene la posibilidad de instalar varios programas, tales como: hojas de cálculo, bases de datos, procesadores de texto, varios lenguajes de programación, paquetes de telecomunicaciones y juegos. 123. Cumple los estándares POSIX y de Sistemas Abiertos, esto es que tiene la capacidad de comunicarse con sistemas distintos a él. 124. Existe mucha documentación sobre éste. 125. Desventajas de Linux. 126. Carencia de soporte técnico. 127. No ofrece mucha seguridad. 128. Problemas de hardware, no soporta todas las plataformas, y no es compatible con algunas marcas específicas. 129. No existe un control de calidad al momento de elaborar software para Linux, pues muchas veces las aplicaciones se hacen y se liberan sin control alguno. 130. Es poco probable que aplicaciones para DOS y OS/2, se ejecuten correctamente bajo Linux. 131. No hay forma segura de instalarlo sin reparticionar el disco duro. 132. El reparticionar el disco duro, implica borrar toda la información del mismo y después restablecerla. 133. Se requiere experiencia y conocimiento del sistema para administrarlo, pues como es un sistema por línea de comandos, estos poseen muchas opciones y en ocasiones es difícil realizar algunas tareas, que en otros sistemas operativos de red son triviales. 134. Sistema Operativo Windows NT. 135. La Nueva Tecnología de Microsoft Windows NT.
  • 26.
    136. Windows NT es un sistema operativo que ayuda a organizar la forma de trabajar a diario con la PC. Las letras NT significan Nueva Tecnología. Fue diseñado para uso de compañías grandes, por lo tanto realiza muy bien algunas tareas tales como la protección por contraseñas 137. Windows actúa como su ejecutivo personal, personal de archivo, mensajeros, guardias de seguridad, asistentes administrativos y mantenimiento de tiempo completo. 138. Quiere dar la impresión de ser su escritorio, de manera que encuentre en pantalla todo lo que necesite, gracias a su interfaz gráfica con iconos de colores y dibujos. 139. Lo que Windows NT no hace bien son los juegos y la multimedia, ya que no ha sido creado para tales usos. 140. Arquitectura De Windows NT Con Advanced Server. 141. Figura 1.10 Arquitectura de Windows NT. 142. 143. Instalación, Configuración y Evaluación de Windows NT. 144. Instalación y Configuración del Sistema Operativo en el Servidor. 145. Procedimiento para la versión 4.0 (Windows NT Server), (11):
  • 27.
    146. 1.- Arrancar con el disco 1/3 de Windows NT Server (Posteriormente se solicitarán los otros dos discos), o bien desde el directorio i386 del CD-ROM usando la opción WINNT /B. 147. 2.- Elegir el tipo de instalación Rápida (Express) o Personalizada (Custom). Para mayor flexibilidad elegir la opción Personalizada. 148. 3.- Seleccionar la fuente de los dispositivos de instalación. Para plataformas Intel , uno puede seleccionar instalar desde discos, o bien desde el CD-ROM. Si el setup reconoce la unidad de CD-ROM, es recomendable usarla. 149. 4.- Verificar y si es necesario cambiar los componentes de hardware y software reconocidos por el setup. 150. 5.- Seleccionar la partición donde será instalado Windows NT. Uno puede elegir entre: FAT (Nativa de DOS), HPFS (Nativa de OS/2) o bien NTFS (Nativa de Windows NT), es conveniente seleccionar NTFS. 151. 6.- (Opcional) formatear la partición seleccionada. 152. 7.- Seleccionar el directorio default en el cual serán instalados los archivos de Windows NT. 153. 8.-Introducir Nombre y Compañía. 154. 9.- Introducir número de identificación del producto. 155. 10.- Decidir el nivel de seguridad del servidor. Las opciones son: 1.-Controlador de Dominio Primario, 4.-Controlador de Dominio Secundario o 3.-Servidor Ordinario, se sugiere, la opción 1. 156. 11.- Introducir un nombre único para la computadora. 157. 12.- Seleccionar el lenguaje. 158. 13.- Si se eligió la instalación Personalizada, seleccionar las tareas adicionales/opcionales de instalación. Si se seleccionó la instalación Rápida, dichas tareas serán realizadas. 159. 14.- Seleccionar Autodetección al momento de elegir los adaptadores de red. En caso de un adaptador no muy conocido elegir la detección Manual 160. 15.- Verificar/Modificar los parámetros de la tarjeta de red, tales como IRQ, puertos de entrada/salida, dirección básica de memoria, línea DMA, etc. 161. 16.- Seleccionar los protocolos de red que usará la tarjeta de red (IPX/SPX, TCP/IP, NetBEUI, etc.). 162. 17.- Si seleccionó IPX/SPX o TCP/IP, se deben configurar algunos parámetros. 163. 18.- Introducir el password de administrador. 164. 19.- Seleccionar los parámetros para la memoria virtual. 165. 20.- Introducir fecha, hora y zona horaria. 166. 21.- Elegir adaptador de vídeo para finalizar instalación. 167. Instalación y Configuración del Sistema Operativo en una Estación de Trabajo. 168. Procedimiento para la versión 4.0 (Windows NT Workstation): 169. 1.- La instalación consta de dos fases para iniciar la primera se debe introducir el disco 1/3 de instalación y el CD-ROM de Windows NT Workstation, e iniciar el sistema.
  • 28.
    170. 2.- Introducir el disco 2/3 de instalación y presionar Enter. Entonces se despliega un menú con cuatro opciones: 171. Saber más de Windows NT, presionar F1. 172. Instalar Windows NT, presionar Enter. 173. Reparar instalación, presionar R. 174. Salir, presionar F3. 175. Se presiona Enter para instalar el Sistema Operativo. Entonces se presenta un siguiente menú con dos opciones: 176. Detectar adaptadores SCSI, presionar Enter. 177. Ignorar detección, presionar I. 178. Se presiona Enter. 179. 3.- Introducir el disco 3/3 de instalación y presionar Enter. Entonces se detectan automáticamente los dispositivos del sistema. Después se muestra un menú con dos opciones: 180. Configurar otros adaptadores, presionar S. 181. No configurar, presionar Enter. 182. Como los adaptadores existentes ya han sido localizados se presiona Enter, en seguida se obtiene una lista de los controladores necesarios, que se instalarán posteriormente, junto con los demás archivos del sistema. Si alg ún controlador no existe, se usa la opción "Utilizar Disco", se elige la unidad A: o la unidad de CD-ROM, se selecciona el archivo deseado y automáticamente se instalan los controladores correspondientes. 183. 4.- A continuación se presenta el contrato de licencia de Windows NT, se presiona la tecla AvPag (Avanzar Página), hasta el final del documento, y luego se presiona F8 para aceptar. Entonces se muestra la configuración de Hardware y Software y se presiona Enter para proseguir. A continuación se debe seleccionar la partición NTFS con Enter, para así formataear dicha partición y preparar el disco para la instalación. Después se selecciona el directorio WINNT, para ahí instalar el sistema operativo, y se presiona Enter para continuar. 184. 5.- Si se encuentra una instalación anterior se debe presionar Enter para continuar de lo contrario continuar en el paso 6. 185. 6.- Se presenta el siguiente menú: 186. Reconocimiento del disco duro, presionar Enter. 187. Omitir reconocimiento, presionar Esc. 188. Se presiona Enter, para saber el estado del disco duro. 189. 7.- Entonces se copian automáticamente al disco duro los archivos necesarios para la instalación, y se va mostrando el porcentaje de avance. Al finalizar la copia de archivos se inicializa Windows NT. 190. 8.- Para finalizar la primera fase de la instalación se retira el disco y el CD-ROM de las unidades y se presiona Enter, así se reinicia el sistema. 191. 9.- Al iniciar la segunda fase de la instalación se carga el sistema Windows NT, y se termina de configurar el sistema. Después siguen tres pasos muy importantes: 192. Obtener información.
  • 29.
    193. Instalar la red de Windows NT. 194. Finalizar la instalación. 195. Se debe presionar <Siguiente>, para que los pasos se desarrollen en la secuencia mostrada. 196. 10.- A continuación se debe elegir instalación típica y presionar <Siguiente>, entonces debemos: 197. Escribir el Nombre y la Organización para personalizar la instalación y se presiona <Siguiente>. 198. Dar la clave del CD-ROM y <Siguiente>. 199. Escribir el nombre que se le dará a la máquina y <Siguiente>. 200. Escribir la contraseña de Administrador y <Siguiente>. 201. Elegir la opción de crear disco de arranque y <Siguiente>, y seguir instrucciones. 202. Elegir la opción de instalar los componentes de uso más frecuente y <Siguiente>. 203. 11.- A continuación se procede a instalar la red de Windows NT, presionando <Siguiente>. Ahí se debe elegir la opción de conectar a red y presionar <Siguiente>. Entonces debemos: 204. Seleccionar el adaptador de red adecuado de la lista mostrada, y <Siguiente>. 205. Elegir todos los protocolos de red, y presionar <Siguiente>. 206. Presionar <Siguiente>. Para instalar todos los componentes previamente seleccionados. 207. Elegir conexión Autosense (para el tipo de cable). 208. No elegir servidor DHCP. 209. Dar número de red para el protocolo TCP/IP. 210. Presionar <Siguiente>. para iniciar la red. 211. Elegir la opción grupo de trabajo y poner nombre, presionar <Siguiente>. 212. 12.- Para finalizar la instalación presionar <Siguiente>, entonces se debe: 213. 13.- Elegir la zona horaria de acuerdo al país. 214. 14.- Elegir la configuración deseada para el monitor. 215. 15.- Posteriormente se copian automáticamente los archivos finales de Windows NT. 216. 16.- Se crean los íconos de los programas, se establece la seguridad del sistema, y se guarda la configuración establecida. 217. 17.- Se reinicia el equipo para finalizar por completo la instalación. 218. Evaluacion. 219. Ventajas de Windows NT. 220. La instalación es muy sencilla y no requiere de mucha experiencia. 221. Multitarea. 222. Multiusuario. 223. Apoya el uso de múltiples procesadores. 224. Soporta diferentes arquitecturas. 225. Permite el uso de servidores no dedicados. 226. Soporta acceso remoto.
  • 30.
    227. Ofrece mucha seguridad en sesiones remotas. 228. Brinda apoyo a la MAC. 229. Apoyo para archivos de DOS y MAC en el servidor. 230. El sistema está protegido del acceso ilegal a las aplicaciones en las diferentes configuraciones. 231. Ofrece la detección de intrusos. 232. Permite cambiar periódicamente las contraseñas. 233. Soporta múltiples protocolos. 234. Carga automáticamente manejadores en las estaciones de trabajo. 235. Trabaja con impresoras de estaciones remotas. 236. Soporta múltiples impresoras y asigna prioridades a las colas de impresión. 237. Muestra estadísticas de Errores del sistema, Caché, Información Del disco duro, Información de Manejadores, No. de archivos abiertos, Porcentaje de uso del CPU, Información general del servidor y de las estaciones de trabajo, etc. 238. Brinda la posibilidad de asignar diferentes permisos a los diferentes tipos de usuarios. 239. Permite realizar diferentes tipos de auditorías, tales como del acceso a archivos, conexión y desconexión, encendido y apagado del sistema, errores del sistema, información de archivos y directorios, etc. 240. No permite criptografía de llave pública ni privada. 241. No permite realizar algunas tareas en sesiones remotas, como instalación y actualización. 242. Desventajas de Windows NT. 243. Tiene ciertas limitaciones por RAM, como; No. Máximo de archivos abiertos y almacenamiento de disco total. 244. Requiere como mínimo 16 Mb en RAM, y procesador Pentium a 133 MHz o superior. 245. El usuario no puede limitar la cantidad de espacio en el disco duro. 246. No soporta archivos de NFS. 247. No ofrece el bloqueo de intrusos. 248. No soporta la ejecución de algunas aplicaciones para DOS. 249. Vision General. 250. Seguridad. 251. Windows NT ofrece gran seguridad por medio del acceso por cuentas y contraseñas. Es decir un usuario debe tener su cuenta asignada y una contraseña para poder tener acceso al sistema. 252. Contiene protecciones para directorios, archivos, y periféricos, es decir que todo esto se encuentra con una contraseña para poder ser utilizados. 253. CONCEPTO DE DERECHOS.- Permite a un grupo de usuarios efectuar determinadas operaciones. 254. CUENTA ADMINISTRADOR.- Controla todos los permisos y con ellas se puede: 255. Dar de alta
  • 31.
    256. Asignar cuentas 257. Cancelar derechos 258. Comunicación. 259. Permite acceder y compartir discos en red. 260. Permite compartir limitadamente ciertos equipos de sólo lectura. 261. Permite compartir archivos, directorios y periféricos. 262. Sistemas de Archivos. 263. Tiene 3 diferentes tipos y uno nuevo desarrollado por NT. Los primeros 3 son para compatibilidad: 264. FAT para DOS. 265. HPFS para OS/2. 266. CDFS se usa para acceder discos compactos. 267. NTFS es el sistema de archivos propio de Windows NT, el cual está basado en un sistema de transacciones, es decir que tiene la capacidad de almacenar una gran cantidad de operaciones a disco para que en el caso de alguna f alla este elemento pueda ser usado para la reconstrucción del sistema de archivos del disco. 268. Multitarea. 269. Para la ejecución simultánea de múltiples tareas NT utiliza: 270. Manager. 271. Scheduler. 272. Manejador de excepciones e interrupciones. 273. Mecanismos de sincronización. 274. El usuario puede dejar ejecutando alguna tarea en una ventana y seguir trabajando en otra. 275. Memoria Virtual. 276. NT tiene un manejador de memoria virtual que permite el uso de un espacio de direccionamiento de 2 GB. Este espacio de direccionamiento esta protegido de otros procesos del sistema. Traduce direcciones virtuales a direcciones físicas. Y también se encarga del problema de traer y llevar páginas de disco a memoria y de memoria a disco. 277. Redes. 278. Soporta servicios básicos de redes de trabajo: 279. Manejadores de impresión. 280. Manejo de mensajes. 281. Seguridad directa. 282. Tienen soporte para sistemas distribuidos y concurrencia real. 283. Advanced Server. 284. Permite designar a uno de los equipos de la red para que en el se almacenen los archivos de autorización y que sea éste, el que consulte y actualice cuando se entre a cualquiera de los equipos de la red. 285. ARCHIVO DE AUTORIZACION.- Contiene los nombres de las cuentas y las contraseñas. A este equipo se le llama Domain Server, además se usa como servidor de discos para los demás equipos.
  • 32.
    286. FILE MANAGER .- Es la ventana por medio de la cual comparte archivos y directorios. Contiene: 287. Arbol de discos. 288. Arbol de directorios . 289. Arbol de archivos. 290. Se seleccionan los archivos o directorios por menús para hacerlos compartidos. 291. La Conexión con Internet. 292. Windows NT también hace uso del FTP que es nativo del WEB. Este le permite introducir los nuevos rasgos punto a punto que están relacionados con Internet, al igual que con el protocolo PTPP y el TCP / IP esto puede ayu dar a consolidar la posición de NT como la plataforma del servidor de Internet. 293. Microsoft adopta finalmente el estilo de UNIX referente a los dominios y lo implanta como una norma. Es sencillo hacer uso de éste, únicamente basta con nombrar el servicio DNS. 294. Puede teclear ahora en DNS el nombre del dominio y se conseguirá que el IP se direccione automáticamente, además se reconocerán los nombres válidos, aunque el funcionamiento del DNS es un poco arrogant e, el organizador lo tiene disponible. 295. La autorización para el uso de Windows NT. 296. Las versiones nuevas que conservan las características del Servidor 3.51 muestran dos tipos de autorización: 297. Por usuario 298. De conexión concurrente 299. Esto es que cada usuario requiere de autorización para tener acceso al sistema que conectará, pero la licencia del sistema deja libre la conexión a cualquier número de sistemas. 300. Las últimas licencias que se han otorgado de un servidor es por un número específico de usuarios. 301. Un rasgo aplicable tanto a las versiones de Workstation y Server es la facilidad de conectar una red de computadoras servidores y administradores. 302. Por primera vez, Microsoft proporciona un conjunto de herramientas que permiten que un sistema NT se encuentre completamente preconfigurado sin la intervención de un ser humano, sino, que es por medio de vídeo y escenas pr egrabadas de diferentes aplicaciones de la red. 303. Perfeccionamientos de la Ejecución. 304. En una Workstation al igual que en la versión Server 4.0, se realizaron pruebas de ejecución para poner a punto totalmente. De nuevo, se puede confirmar mejoras en ejecución del vídeo, aunque éste sea de valor cuestionable en un servidor. Más allá de ese, Microsoft exige dichas mejoras de la interfaz de transporte de la red que ha llevado a la ejecución en Ethernet significativamente más rápida. 305. Fallas.
  • 33.
    306. Aparte de los problemas con los manejadores de hilos y otras aplicaciones, encontramos que es particularmente frustrante la falta de una documentación adecuada que pueda prevenir totalmente una falla. 307. Podríamos hacer una conexión y utilizar el IP bajo un modo nivelado con utilidades "Ping" al igual que " FTP ", pero cualquier intento por ver archivos compartidos e impresores fallaron. Encontramos documentación pa ra muchos nuevos rasgos en particular, para la asignación "Built-In" que es para la asignación de ruta del multiprotocolo y la garantía de IP está completamente inadecuada. 308. Los cambios que presenta la versión revisada de Windows NT son significativos en cuanto a las diferencias que presentan con las versiones anteriores. Las combinaciones de Windows NT nos proporcionan mejoras en cuanto a la ejecuci ón, proporcionan rasgos nuevos y los usuarios cuentan con la versión revisada de Windows NT 3.x. 309. Windows NT 4.0 Workstation. 310. Esta nueva versión incorpora la misma interfaz que ha hecho tan famoso a Windows 95. La instalación, el botón de Inicio y las barras desplegables, recuerdan mucho al sistema operativo que acercó tanto la info rmática al mercado doméstico. Con esto Microsoft ha conseguido que no existan grandes diferencias de uso y presentación entre sus sistemas operativos, lo cual es una de sus preocupaciones principales. 311. Su aspecto es igual al de Windows 95 y actúa del mismo modo; pero desde el punto de vista técnico ofrece mayor seguridad, ejecuta aplicaciones de 16 bits sin problema alguno, además la gestión y manipulaci&oa cute;n de archivos es más rápida, eficiente y potente que la de Windows 95. 312. La instalación de NT 4.0 es muy sencilla y se puede realizar a partir de una versión anterior de Windows o desde el mismo DOS. 313. En primera instancia, se ofrece la posibilidad de elegir entre un sistema de asignación de archivos tipo FAT, o de tipo NTFS (Propia y exclusiva de NT). Esta última permite la recuperación del sistema de archivos, e l uso de medios de almacenamiento extremadamente grandes, nombres de archivos largos y otras características para el subsistema Posix, programación orientada a objetos. Después de la elección de la partición donde se va a realizar el volcado de archivos, Windows NT examina la máquina detectando todo el Hardware instalado. 314. Una vez concluido el proceso de instalación, se presenta una interfaz gráfica prácticamente idéntica a la utilizada por Windows 95. Incluye algunas mejoras aparecidas en Microsoft Plus!, como son, temas de es critorio, protectores de pantalla, juegos, etc… Pero las diferencias empiezan a apreciarse cuando se pulsa sobre el clásico botón de Inicio. 315. En la opción de los programas, aparece un apartado de herramientas administrativas desde el que se puede acceder a diferentes utilidades, las cuales permiten obtener un completo control del sistema. Existen los apartados para adm inistrar discos, el acceso remoto y los usuarios, desde los cuales se pueden configurar las opciones de red, si estas han sido previamente instaladas.
  • 34.
    316. Existen diferencias muy marcadas entre las utilidades que incluía la versión 3.51, y las que incorpora esta nueva 4.0. El terminal se ha hecho más potente y vistoso, y en esta nueva versión se incluye una ser ie de iconos definidos para poder conectarse directamente con CompuServe, Microsoft BBS, etc. 317. Windows NT 5.0. 318. El hecho es que cada vez hay más gente que quiere o necesita algo más que DOS, Windows 3.1 y Windows 95 y se plantea el salto a Windows NT con los menores traumas posibles. Esta situación poco a poco está siendo asimilada por Microsoft. El gigante del software intensifica cada vez más la promoción de Windows NT entre los pequeños empresarios y los usuarios finales; es decir, entre los usuarios para los que fue diseñado Windows 95. Los argumentos de Microsoft tienen peso. En un sistema Pentium con 32Mb de memoria, NT Workstation funciona cerca del 20% más rápido que Windows 95, tanto si es utilizado por un ingeniero, un programador o un estudiante. Hay muchas y bue nas razones para que gran parte de los actuales usuarios de Windows 95 se cambien a Windows NT. Si todavía no se ha producido el cambio es por algunos inconvenientes de este sistema operativo, los cuales Microsoft pretende resolver con la versi&oac ute;n 5.0 de NT. 319. La propuesta de cambiarse ahora desde Windows 95 a NT 4.0 Workstation y así preparar el terreno al futuro NT 5.0 Workstation tiene varias ventajas. La primera ventaja de NT Workstation frente a Windows 9x es que es un sistema ope rativo más estable y predecible. Esta es la cualidad más importante para quienes la computadora es su principal herramienta de trabajo. Un error, cualquier caída inesperada, significan pérdidas de tiempo y dinero. Pero la estab ilidad es también uno de los requisitos cada vez más valorados por muchos usuarios ocasionales que utilizan Windows para entretenerse o hacer trabajos menores semiprofesionales. Cada vez hay más gente de todos los niveles que est&aacu te; harta de los colapsos y amnesias de Windows 95. A pesar de sus deficiencias, NT ofrece más estabilidad a cualquier nivel de uso. Aunque se opere con aplicaciones de extraño comportamiento, es decir son mucho muy inestables, sin embargo e s difícil que la computadora se quede colgada o que se planteen problemas críticos e irreparables de colisión con otras aplicaciones. En caso de existir conflictos, NT 4.0 permite casi siempre guardar los datos, cerrar las aplicacione s que choquen con la actividad principal y seguir trabajando. Otra ventaja que hace aconsejable el cambio a NT es que el hardware exigido por este sistema operativo es cada vez más asequible a los más modestos presupuestos, incluidos los de usuarios finales que compran una PC para trabajar en casa. Hoy, la mayoría de las máquinas que se venden en el mercado tienen 32 Mb de memoria, un disco duro con más de 1Gb de capacidad y un procesador Pentium de, por lo menos 166MHz. Esta capacidad normal de las actuales PCs es suficiente para obtener un rendimiento aceptable con NT 4.0 Workstation, y no exigirá mayores desembolsos cuando llegue NT 5.0. En una máquina como la que se ha descrito, está más q ue demostrado que las aplicaciones normales rinden al menos un 25% más con NT Workstation 4.0 que con Windows 95 o 98. En NT no corren bien algunas aplicaciones que parecen exclusivas de Windows 9x, pero en la mayoría de los casos, siempre q ue se
  • 35.
    trabaje en unsistema con esos 32 Mb de RAM, funcionan sin errores las aplicaciones descritas para la plataforma Win32 y Windows 9x. Por tanto, todas las aplicaciones de 16 bits escritas para Windows 3.1 o camufladas para Windows 95 funcionan tambi& eacute;n igual o mejor con Windows Workstation NT 4.0, y mantendrán o aumentarán su rendimiento cuando funcionen en NT 5.0. Los únicos programas que no trabajan con NT son los que acceden a bajo nivel y directamente contra el hardware , como ciertos juegos diseñados originariamente para DOS, como Duke Nukem 3D o Quake. Pero ni siquiera en estos caso hay que renunciar a operar en modo óptimo con nuestros programas favoritos, ya que el NT 4.0 y 5.0 admiten configuraciones d e arranque dual. Otro tipo de software vedado para NT son los antivirus que no estén diseñados específicamente para esta plataforma. La última ventaja evidente de migrar ahora a NT 4.0 y luego a NT 5. Workstation desde Windows 95 es que su entorno de usuario es similar, se puede empezar a trabajar sin realizar un cursillo, sin siquiera repasar los manuales. 320. Las tres desventajas principales de Windows NT 4.0 respecto a Windows 9x son sus mayores exigencias de hardware, su defectuosa configuración automática y su interfaz un poco menos amistosa. Parte de estas carencias se han resuelto con el abaratamiento drástico del hardware necesario, con los dos servicios de revisión que ha experimentado NT desde mediados de 1996 y la actualización de su interfaz gráfica al modo de página web, comú n a Windows 95 con Internet Explorer 4.0, a Windows 98 y a NT 5.0 Workstation. En cualquier caso, NT 5.0 no exige una máquina tan cara como antes, y hereda la interfaz de usuario y el sistema de configuración automática de Windows 9x. 321. Pues bien el objetivo principal de NT 5.0 es convertirse en un sistema universal para redes de cualquier envergadura, (18) y (19). 322. Principales Características. 323. Es nueva tecnología para el mundo de las PC y es diferente por su ambiente gráfico, pero realmente no es nueva tecnología. 324. Está basado en variaciones del kernel de Mac de UNIX. 325. La arquitectura del microkernel soporta aplicaciones no diseñadas para Windows NT. 326. Operaciones básicas de sistemas y otras capas sobre ella. 327. Soporta 5 subsistemas: 328. 329. Windows 32 bits. 330. Windows 16 bits. 331. DOS. 332. POSIX. 333. OS/2. 334. Funciona como Cliente – Servidor en un ambiente de red. 335. Permite desarrollar servicios de redireccionamiento para LAN Manager de Mips, RISC y Digital Alpha. 336. Soporta sistemas de multiproceso.
  • 36.
    337. Cada aplicación se encuentra ejecutando en un hilo tratado como una caja multiprocesadora. 338. Al igual que OS/2 ejecuta aplicaciones con errores de codificación, principalmente al ejecutarse en procesadores 386 y 486. 339. Cada aplicación es limitada a un espacio de memoria (Esquema de direccionamiento de 32 bits real). 340. Ejecuta aplicaciones de 16 y 32 bits y de otros Sistemas Operativos y para RISC de 64 bits. 341. Existe una versión para Laptop. 342. Soporta la tecnología Plug-in para sistemas API y sistemas de archivos instalables. 343. También cuenta con servicios básicos de redes y APIs para archivos, manejadores de impresión, manejo de mensajes y seguridad directa. 344. Aplicaciones para redes digitales que pueden ejecutarse en diferentes plataformas. 345. Implanta facilidades para el uso de OSF, DCE y RPCs. 346. Para facilitar los puertos de aplicación aísla el kernel del Hardware (Tipo de interfaz para el Sistema Operativo), con lo que se logra la portabilidad o compatibilidad a nivel de código. 347. Provee datos, aplicaciones y protección del sistema contra accesos inadvertidos. 348. Permite a los usuarios un acceso seguro a más información sin comprometer la seguridad del sistema. 349. Conserva las principales características del servidor 3.51 incluso el protocolo nativo NetBEUI, IPX y TCP/IP. 350. Soporta hasta 256 usuarios, administración de multidominio y replicación de directorio. 351. Nuevas o mejoradas herramientas de administración y perfeccionamiento en la ejecución. 352. El servidor NT relacionado con Internet, envía la información con el servidor de Internet IIS versión 2.0. 353. También hace uso del FTP. 354. Relaciona nuevos rasgos punto a punto con el protocolo PPTP y TCP/IP. 355. Ayuda a consolidar la posición de NT como la plataforma del servidor en escenarios de Internet. 356. Adopta el estilo de Unix de servicio de dominio DNS como norma. 357. Incluye herramientas basadas en el Web referentes a la administración. 358. Permite los siguientes modos de autorización. 359. 360. Por usuario. 361. Autorización de la conexión concurrente. 362. Características de Windows NT Server. 363. Soporta Sistemas Intel y los basados en RISC. 364. Incorpora un NOS de 32 bits.
  • 37.
    365. Ofrece una solución de red punto a punto. 366. Requiere un mínimo de 16Mb en RAM, por lo que es más caro de instalar que la mayor parte de los NOS. 367. Soporta multitarea simétrica. 368. Puede usar hasta 4 procesadores concurrentes. 369. Además de ser multitarea, el Windows NT Server también es de lectura múltiple o multilectura. 370. Soporta administración centralizada y control de cuenta de usuarios individuales. 371. Las multitareas, priorizadas permiten que se ejecute simultáneamente varias aplicaciones. 372. Las operaciones de red adquieren prioridad sobre otros procesos menos críticos. 373. Incluye extensos servicios para Mac. 374. Una computadora Mac puede acceder a Windows NT Server, como si accesara al servidor Appleshare. 375. Los archivos se traducen automáticamente de un formato a otro. 376. Los usuarios de PC y Mac tienen acceso a las mismas impresoras. 377. Incluso una Mac puede imprimir trabajos Postscript en una impresora PC que no sea Postscript. 378. Windows NT Server soporta integración con otras redes (Con Software adicional), que incluyen: NetWare, VINES, Lan Manager OS/2, UNIX, VMS y redes SNA. 379. Es tolerante a fallas. Posee el reflejado a sistema espejo y separación de discos. 380. Proporciona utilerías para administración y control fácil de usar. 381. Proporciona acceso remoto por marcación telefónica. 382. Algo importante para los administradores en cuanto a la interfaz del usuario es que no cambia significativamente la manera en que trabaja. NT Server todavía tiene las mismas herramientas de administración bási cas. 383. SNA Server. 384. El SNA Server (Servidor SNA) para NT ofrece conectividad con macrocomputadoras IBM a través de Comunicaciones avanzadas, de programa a programa 3270 (APPC) y NetView. También ofrece conectividad con la AS/400 de IBM, SNA Server emplea una arquitectura cliente/servidor para distribuir el procesamiento de comunicaciones y cada PC emplea protocolos LAN estándar para conectarse al servidor SNA. 385. El Servidor de administración de Sistemas. 386. El System Management Server (Servidor de administración de sistemas) le permite centralizar la administración de hardware y software de su LAN. Puede manejar las PC´s como activos y distribuir nuevos prog ramas y partes entre ellos desde este servidor. El servidor de administración también le permite realizar análisis de protocolos de red y hacer diagnósticos de PC individuales. Esto nos permite afirmar que el servidor de admini stración es una herramienta muy valiosa para el NT Server en una red empresarial. 387. Protocolos que Soporta. 388. NetBEUI. 389. TCP/IP.
  • 38.
    390. IPX/SPX. 391. Banyan 392. DECnet. 393. Apple Talk. 394. Requerimientos. 395. Para una estación de trabajo: 396. PC 80386 – DX – 25 MHz mínimo. 397. 16 Mb RAM. 398. 90 Mb de espacio en disco. 399. Unidad de CD-ROM. 400. Además de lo anterior, para un Servidor debemos considerar: 401. 32 Mb de RAM. 402. 120 Mb de espacio en disco. 403. Sistema Operativo NetWare de Novell. 404. Introducción al uso de la Red NetWare. 405. El sistema de redes más popular en el mundo de las PCs es NetWare de Novell. Este sistema se diseñó con la finalidad de que lo usarán grandes compañías que deseaban sustituir s us enormes máquinas conocidas como mainframe por una red de PCs que resultara más económica y fácil de manejar. 406. NetWare es una pila de protocolos patentada que se ilustra en la Figura 1.2 y que se basa en el antiguo Xerox Network System, XNS Ô pero con varias modificaciones. NetWare de Novell es previo a OSI y no se basa en él, si acaso se parece más a TCP/IP que a OSI. 407. Las capas física y de enlace de datos se pueden escoger de entre varios estándares de la industria, lo que incluye Ethernet, el token ring de IBM y ARCnet. La capa de red utiliza un protocolo de interred poco confiable, si n conexión llamado IPX. Este protocolo transfiere paquetes de origen al destino en forma transparente, aun si la fuente y el destino se encuentran en redes diferentes. En lo funcional IPX es similar a IP, excepto que usa direcciones de 10 bytes en lugar de direcciones de 4 bytes, (9) y (10). 408. Por encima de IPX está un protocolo de transporte orientado a la conexión que se llama NCP (Network Core Protocol, Protocolo Central de Red). El NCP proporciona otros servicios además del de transporte de datos de u suario y en realidad es el corazón de NetWare. También está disponible un segundo protocolo, SPX, el cual solo proporciona transporte. Otra opción es TCP. Las aplicaciones pueden seleccionar cualquiera de ellos. Por ejemplo, el sistema de archivos usa NCP y Lotus NotesÒ usa SPX. Las capas de sesión y de presentación no existen. En la capa de aplicación están presentes varios protocolos de aplicación. 409. La clave de toda la arquitectura es el paquete de datagrama de interred sobre el cual se construye todo lo demás. En la Figura 1.3 se muestra el formato de un paquete IPX. El campo Suma de verificación pocas veces s e usa puesto que la capa de enlace subyacente también proporciona una suma de verificación. El campo Longitud del paquete indica qué tan grande es el paquete, es decir suma el encabezado más datos y el resultado
  • 39.
    se guarda en2 bytes. El campo Control de transporte cuenta cuántas redes ha atravesado el paquete; cuando se excede un máximo, el paquete se descarta. El campo Tipo de paquete sirve para marcar varios paquetes de control. Cada una de las dos direcciones c ontiene un número de red de 32 bits, un número de máquina de 48 bits (La dirección 802 LAN) y la dirección local (Socket) de 16 bits en esa máquina. Por último se tienen los datos que ocupan el resto del pa quete, cuyo tamaño máximo está determinado por la capa subyacente. 410. Figura 1.3 Datagrama de Interred. 411. 412. NetWare, Versión 2.2. 413. La adaptabilidad de las características de NetWare 2.2 a las necesidades al mercado de hoy se queda corto cuando comienza a listar los asuntos de conectividad a que se enfrentan las compañías de hoy, administrac ión y apoyo para múltiples protocolos, conexiones de área amplia, flexibilidad y facilidad de uso al administrador del NOS bajo escenarios de conectividad que cambian constantemente. 414. El NetWare 2.2 no pudo mantener el ritmo de los demás en las pruebas de ejecución que representaban tareas de redes mayores. Esto se puede comprender si se tiene en cuenta que NetWare 2.2 de 16 bits todavía se puede ejecutar en una máquina de clase AT. Comprensible, sí, pero no aceptable como una solución para toda una compañía. 415. NetWare 386 inicialmente sólo estaba disponible como una versión de 250 usuarios, e incluso para cuando NetWare 2.2 salió al mercado, la versión básica de NetWare 3.x era una licencia de 20 usuarios de US$3.495. Hoy en día las cosas son completamente distintas. Una versión de 5 usuarios de NetWare 3.11 tiene un precio de lista de US$1.095 comparado con NetWare 2.2 que cuesta US$895. Incluso el nivel de 100 usuarios solamente muestra una diferencia de mil dólares entre los US$5.995 de NetWare 2.2 y los US$6.995 de NetWare 3.11. 416. Aunque la instalación y la configuración de NetWare 2.2 son mejores que las de sus predecesores, estás ya son demasiado lentas comparándolas con las de las versiones 3.11 y 4.0.
  • 40.
    417. La documentación de NetWare 2.2 está extremadamente bien escrita, organizada y repleta de fotos útiles de pantalla. Durante la instalación hay ayuda en línea disponible para cada pantalla, como es el c aso del resto de los servicios de NetWare. 418. NetWare 2.2 es la novena generación de la línea NetWare 286, una madurez evidente en los servicios de administración para usuarios y archivos. Configurar los usuarios, establecer los derechos de cuentas y administra r la estructura de directorios son tareas que se realizan con una serie de servicios de menús bien diseñados o de línea de comandos. Sin embargo, hasta que salió NetWare 4.0, Novell no ofreció un servicio de directorios globales como parte inherente de NetWare. NetWare 2.2 recibe ayuda de Banyan, en la forma de su Enterprise Network Services for NetWare (ENS), que esencialmente ofrece parte del servicio de nombres globales StreetTalk de Banyan a las redes de NetWare. Net Ware 2.2 también carece de una opción de consola remota que ya tienen las versiones 3.11 y 4.0. 419. En su arquitectura, NetWare 2.2 es familiar, pero antiguo como lo muestra la Figura 1.4. No tiene la capacidad de procesar múltiples hilos de NetWare 3.11 y 4.0, aunque puede ejecutar aplicaciones basadas en el servidor de llamadas a procesos de valor añadido (VAPs). Pero los VAPs se consideran como difíciles de escribir y hay pocos disponibles. Por otro lado, NetWare 3.11 tiene disponibilidad de miles de aplicaciones basadas en el servidor de llamadas a M&oa cute;dulos Cargables de NetWare (NLMs). Que varían desde las aplicaciones de administración de la red a servidores de SQL. 420. Figura 1.4 Arquitectura de NetWare 2.2.
  • 41.
    421. 422. Requerimientos: 423. PC basada en una 286 o superior. 424. 500K de RAM (2.5 Mb recomendados.) 425. NetWare, Versión 3.11. 426. NetWare 3.11 sigue siendo un líder fuerte y flexible en la arena de los NOS para las compañías pequeñas o grandes. Su única desventaja para los que necesitan una solución a nivel de empresa es que carece de un servicio global de directorios. Pero esto se puede corregir en parte con el NetWare Naming Service (NNS) o el ENS de Banyan, que ofrece parte de los servicios distribuidos StreetTalk a los LANs de NetWare. 427. Ofrece la habilidad de compartir archivos e impresoras, velocidad, seguridad, apoyo para la mayoría de los sistemas operativos, y una gran cantidad de Hardware, NetWare 3.11 es un producto realmente potente. Aunque tiene algunas dificultades con la
  • 42.
    administración de memoria,todavía vale la pena, pues tiene algunas otras características que lo hacen importante. 428. La principal atracción de un NOS de 32 bits como el que introdujo Novell, fue su diseño modular, como lo muestra la Figura 1.5. Los NLMs se pueden actualizar sin tener que reconstruir el NOS completo, y se pueden ca rgar sobre la marcha. Además, solamente los módulos necesarios se cargan en el NOS, reservando la memoria para otras funciones como el caching de discos. Una desventaja de este diseño es el uso de memoria. Los NLMs se cargan en el ani llo 0 y pueden trabar el servidor si el NLM no está escrito correctamente o si entran en conflicto con el NLM de otro fabricante. Por otra parte algunos de los módulos no desocupan la memoria cuando se descargan (Estos problemas de administr ación de memoria ya han sido resueltos en NetWare 4.x). 429. Figura 1.5 Arquitectura de NetWare 3.11. 430.
  • 43.
    431. NetWare 3.11 está diseñado en su mayoría para redes desde pequeñas a moderadamente grandes que consisten en servidores individuales, principalmente porque sus servicios de directorios no integran a la red en su totalidad. Cada uno de los servidores mantiene una base de datos centralizada de verificación individual llamada el Bindery. El Bindery del servidor mantiene la información como los nombres de conexión, las contraseñas, los derechos de acceso y la información de impresión. Si los usuarios necesitan conectarse a más de un servidor para compartir recursos, deben hacerlo manualmente con cada servidor. 432. Requerimientos: 433. PC basada en una 386 o superior. 434. 4Mb de RAM. 435. 50Mb de espacio en Disco Duro. 436. NetWare, Versión 4.0. 437. NetWare 4.0 ofrece la conexión simplificada de múltiples servidores, la capacidad de compartir recursos en la red y la administración centralizada en un producto coherente lleno de características. 438. La arquitectura de NetWare 4.0, es similar a la de la versión 3.11, como se mostró en la Figura 1.5, pero se han corregido y aumentado sus capacidades. 439. NetWare 4.0 no es para todo el mundo. Determinar si en realidad se necesita un NOS tan potente depende del tamaño, la configuración y la complejidad de la LAN que se quiera formar y, con precios de US$1.395 (5 usuarios) a US$47.995 (1000 usuarios), del presupuesto. NetWare 4.0 aumenta las capacidades de NetWare 3.11, añadiendo muchas características nuevas. Algunas de las más atractivas son el NetWare Directory Services (NDS), la compresión de a rchivos, la subasignación de bloques, la distribución de archivos y la administración basada en Microsoft Windows. 440. NDS está en el núcleo de NetWare 4.0. Basado en el estándar X.500, NDS es una base de datos diseñada jerárquicamente que reemplaza el Bindery en versiones anteriores de NetWare. Toda la informaci&oacut e;n de la red se guarda en el NDS. NDS considera todas las entidades de la red como objetos, cada uno de los cuales es un puntero a un usuario, un grupo de usuarios, servidores de impresoras, o un volumen en el servidor. Con este cambio Novell no abandona a los usuarios del Bindery, NDS puede emular a un Bindery, facilitando la actualización a las compañías que tengan un entorno mixto de servidores 2.x, 3.x y 4.x. 441. Lo bueno del NDS es la tolerancia a fallos que proporciona. Si el servidor que contiene la información se daña, NDS busca en su base de datos en los otros servidores para recopilar la información para una conexi&oac ute;n y permitirle conectarse a la red. Esto es posible porque la base de datos de NDS está duplicada en todos los servidores en la red en particiones, que mantienen toda la información de la red. En contraste, StreetTalk de Banyan mantiene la información de un usuario en un solo servidor: Si ese servidor sufre algún tipo de avería, el usuario no se podrá conectar a la red. 442. La subasignación de bloques, la compresión de archivos y la migración de archivos son algunas de las características atractivas en la versión 4.0. La subasignación de bloques
  • 44.
    interviene cuando, porejemplo, un archivo, de 2Kb se guarda en un servidor que tiene bloques de 4Kb. Normalmente, los 2Kb adicionales de espacio en el disco que no se usaron serían desperdiciados, pero con la subasignación de bloques activada, ese espacio pue de ser utilizado por otros archivos para rellenar el resto del bloque. Usando una razón de 2:1, la compresión de archivos también puede hacer una gran diferencia en el espacio del disco duro. 443. La distribución de archivos es una característica que ha sido ofrecida en algunos paquetes de resguardo en cinta. Novell ha incorporado, el High Capacity Storage Systems (Sistema de Almacenamiento de Alta Capacidad o HCSS) , en NetWare 4.0 HCSS permite fijar indicadores en archivos que muestran la frecuencia con que se utilizan y además permite moverlos a otros medios que incluso no tienen que estar en el disco del servidor. Un marcador fantasma permanece en los vol& uacute;menes para que si un usuario trata de abrir el archivo, el sistema lo recupera de su lugar de almacenamiento alterno y la copia se hace transparentemente. 444. Con NetWare 4.0, Novell también añade un programa de administración basado en Microsoft Windows uniendo características de configuración nuevas y viejas en programas familiares tales como SYSCON, PCONS OLE y PRINTDEF. Los atributos del GUI facilitan el añadir, mover, borrar y modificar objetos de la red. 445. El proceso de instalación del servidor bajo esta nueva versión es un procedimiento totalmente basado en menús. Un CD-ROM que contiene todos los archivos de instalación significa que no se tendrá que ca mbiar discos flexibles. Después de instalar el primer servidor, se puede copiar el contenido del CD-ROM al volumen del servidor para poder instalar otros servidores en la red con mayor velocidad. 446. Novell ha cambiado totalmente el entorno, reemplazando 2 archivos IPX y NET, con módulos. Los Módulos Cargables Virtuales (VLMs), que ofrecen una solución más flexible a la estación de trabajo, son car gados en memoria por el VLM Manager. El VLM Manager aprovecha automáticamente la memoria alta disponible, conservando la memoria convencional. Los VLMs ocupan menos memoria convencional que sus predecesores, y con la habilidad de ráfagas de paquetes incorporada, ocupan menos memoria que incluso BNETX (El entorno de modo de ráfaga usado en una estación). 447. Como son módulos, los VLMs se pueden añadir o eliminar con rapidez. Además de los nuevos entornos, un mejor apoyo para Microsoft Windows añade una interfaz gráfica para aliviar el problema de conectars e, desconectarse, analizar un disco y conectarse a una cola de impresión. 448. Hay tres rutas de transferencia para actualizar desde NetWare 3.11: 449. A través de una conexión a un servidor 4.0 es el procedimiento más seguro, pero puede ser el más caro. Hay que instalar un servidor separado con NetWare 4.0 y colocarlo en la red. Si se tiene un servidor adicional disponibl e, se puede instalar de un servidor a otro, actualizando cada uno en cada paso. 450. 451. A través de una conexión en el mismo servidor requiere un riesgo a la integridad de los datos. Es necesario tener un cliente con un disco duro o un sistema de resguardo en
  • 45.
    cinta lo suficientementegrande para contener toda la informaci&o acute;n del servidor temporalmente mientras se configura el servidor para NetWare 4.0. 452. Una actualización en el lugar también requiere cierto riesgo, en su mayoría debido a los posibles fallos durante la actualización. Simplemente se debe asegurar de tener un resguardo completo de la red antes de comenzar el p roceso. Este procedimiento no está disponible en los servidores 3.0; primero se tiene que actualizar a NetWare 3.1 o superior. 453. Requerimientos: 454. PC basada en una 386 o superior. 455. 6Mb de RAM 456. 12Mb-60Mb de espacio en Disco Duro. 457. Servidor de Archivos de NetWare. 458. NetWare está diseñado para ofrecer un verdadero soporte de servidor de archivos de red. En el modelo OSI, el software de servidor de archivos de Novell reside en la capa de aplicaciones, mientras que el software operat ivo de disco (DOS) reside en la capa de presentación. El software de servidores de archivos forma una cubierta alrededor de los sistemas operativos, como el DOS, y es capaz de interceptar comandos de programas de aplicaciones antes de que lleguen a l procesador de comandos del sistema operativo. El usuario de las estaciones de trabajo no se da cuenta de este fenómeno, simplemente pide un archivo de datos o un programa sin preocuparse acerca de dónde está ubicado. 459. Administración de Archivos en NetWare. 460. Ciertos usuarios quizás deseen ejecutar aplicaciones individuales en un ambiente de usuarios múltiples. El administrador del sistema puede determinar que un programa o archivo sea compartible (Capaz de ser compartid o) o no compartible (Restringido a un usuario a la vez). NetWare también contiene una función predeterminada de bloqueo de archivos, lo cual significa que los programas de un solo usuario pueden ser utilizados por diferentes usuarios, pero uno a la vez. 461. Seguridad del Sistema. 462. Aunque los fabricantes que se dedican exclusivamente a los sistemas de seguridad de redes pueden ofrecer sistemas más elaborados, NetWare de Novell ofrece los sistemas de seguridad integrados más importantes del mercad o. NetWare proporciona seguridad de servidores de archivos en cuatro formas diferentes: 463. 1.- Procedimiento de registro de entrada 464. 2.- Derechos encomendados 465. 3.- Derechos de directorio 466. 4.- Atributos de archivo 467. Utilerias de Red. 468. Los cuatro niveles de seguridad de la red se manejan con una poderosa serie de programas de utilería de NetWare. Los dos programas de utilerías que se usan en unión con la seguridad de la red son: SYSCON y FILER . 469. La utilería SYSCON se emplea para la configuración del sistema. Maneja muchas de las funciones de seguridad que hemos estudiado (Como el establecimiento de
  • 46.
    contraseñas, grupos detrabajo, acceso a servidores de arch ivos, derechos encomendados y equivalencias). 470. Debido a que algunas de sus funciones pueden realizarlas personas diferentes al supervisor, SYSCON se carga en el directorio SYS:PUBLIC. SYSCON es un programa de menús. Desde DOS, al escribir SYSCON y presionar ENTER se presenta el menú de Temas Disponibles (Available Topics). 471. Aunque un usuario no sea un supervisor de la red, también puede ver información con respecto a su propio estado en la red. Los temas disponibles para usuarios, incluyen cambiar el servidor actual, información del se rvidor de archivos, información de grupos, opciones del supervisor e información de usuario. 472. NetWare de Novell permite que los usuarios examinen sus propias equivalencias de seguridad y asignaciones de derechos encomendados. Este sistema facilita la adición de usuarios nuevos y duplicación de derechos encomendados , sin tener que hacer una lista de las docenas de archivos que un usuario deberá poder recuperar. 473. SYSCON contiene varias funciones de restricción de cuentas que permiten que un supervisor controle el grado de acceso del usuarios a la red. Un supervisor puede designar las horas en que un empleado puede usar la red. El supervis or puede limitar el número de intentos de entrada de contraseñas incorrectas y cancelar una cuenta que haya excedido el límite. Otras restricciones de cuentas permiten que un supervisor establezca una fecha de expiración de la cuenta para un empleado temporal. Los supervisores también pueden requerir que los usuarios cambien sus contraseñas a intervalos regulares y pedirles que usen contraseñas de cierta longitud. Por último, las opciones de cuentas permiten que un supervisor administre el almacenamiento en disco y el tiempo de procesamiento a los usuarios. Incluso se puede cobrar más durante las horas pico de computación para desanimar transferencias de archivos e impresiones de report es innecesarios. 474. Utilerias de Impresión. 475. NetWare ofrece la utilería PRINTDEF para definir dispositivos y modos de impresión y tipos de formas. La utilería CAPTURE/ENDCAP está diseñada para redirigir los puertos de una estación de t rabajo, mientras que la utilería PRINTCON se usa para establecer configuraciones de trabajos de impresión. 476. Puentes, Ruteadores y Compuertas de NetWare hacia otras Redes. 477. NetWare hace posible que las redes se comuniquen con otras redes, así como con macrocomputadoras. Un ruteador conecta redes que usan hardware diferente. Una red puede usar las tarjetas de interfaz y el cableado de ARCnet, mientra s que otra red utiliza las tarjetas de interfaz y el cableado de Token Ring de IBM. NetWare proporciona el software de ruteador, el cual permite que estas dos redes compartan información. 478. El software puede residir en una estación de trabajo dedicada (ROUTER.EXE) pero ahora está integrado en el sistema operativo de NetWare y, por tanto, es otro proceso que el servidor de archivos puede manejar. Para manejar internamente el enrutamiento, debe haber al menos dos ranuras de expansión disponibles, una para cada tarjeta de interfaz de red en cada red respectiva. El ruteador permanece invisible a los usuarios cuando opera
  • 47.
    en una estaciónde trabajo P C dedicada o como un proceso en el servidor de archivos de NetWare. 479. Sistema Tolerante a Fallas de NetWare. 480. Toda compañía que dependa por completo en las computadoras para el procesamiento de su información teme que ocurra una falla del sistema. Novell ha desarrollado System Fault Tolerant NetWare (NetWAre con toleran cia a fallas de sistema) para superar este desastre potencial. Existen tres niveles diferentes de tolerancia a fallas del sistema, dependiendo del grado de protección requerido. 481. Lo que hace que el método de Novell sea tan poco frecuente es que aunque proporciona las herramientas de software para duplicación de hardware (Para prevenir la interrupción del sistema), el usuario puede comprar ha rdware especial para lograr ahorros significativos. 482. El Nivel 1 protege contra la destrucción parcial de un servidor de archivos proporcionando estructuras redundantes de directorios. Para cada volumen de la red, el servidor de archivos mantiene copias adicionales de las tablas de asignación de archivos y de las entradas de directorios en cilindros diferentes del disco. Si falla un sector del directorio, el servidor de archivos se desplaza de inmediato al directorio redundante. El usuario, para su conveniencia, no está ; consciente de este procedimiento automático. 483. Cuando se activa un sistema de Nivel 1, realiza una revisión de autoconsistencia completa en cada directorio redundante y en cada tabla de asignación de archivos. Realiza una verificación de lectura-después-d e-escritura después de cada lectura de disco para asegurar que los datos escritos en el servidor de archivos puedan volverse a leer. 484. La función de reparación en caliente del software del Nivel I revisa un sector antes de intentar escribir datos en él. Si una área de disco está dañada, el controlador de la unidad de dis co escribe sus datos en un área especial para la reparación en caliente. La característica de arreglo de emergencia, añade los bloques dañados a la tabla de bloques dañados; de esta manera no existe posibilidad de perder datos al escribirlos en estos bloques dañados en el futuro. Esto se muestra en la Figura 1.6. 485. El software del Nivel II incluye la protección que se ofrece en el Nivel I, más algunas características adicionales. En este nivel, Novell ofrece dos opciones para proteger a la LAN contra la falla total de un servi dor de archivos. La primera opción son las unidades en espejo, lo cual implica el manejo de dos unidades de disco duro duplicadas con un solo controlador de disco duro. Esto se muestra en la Figura 1.7. 486. Cada vez que el servidor de archivos realiza una función de escritura a disco, refleja esta imagen en su disco duro duplicado. También verifica ambas unidades de disco duro para asegurar la exactitud plena. Si hay una falla de disco duro, el sistema conmuta a la unidad reflejada y continúa las operaciones sin inconvenientes para el usuario. 487. La segunda opción en el Nivel II son las unidades duplicadas: se duplica todo el hardware, incluida la interfaz y el controlador de disco duro. Esto se muestra en la Figura 1.8. 488. Figura 1.6 Reparación en Caliente del Software de Nivel I.
  • 48.
    489. 490. 491. Figura 1.7 Protección de Una LAN por medio de Unidades en Espejo. 492. 493. Figura 1.8 Protección de una LAN por medio de Unidades Duplicadas.
  • 49.
    494. 495. 496. Si un controlador o unidad de disco falla, el sistema conmuta automáticamente a la alternativa duplicada y registra esto en una bitácora. El desempeño de un sistema duplicado es bastante superior al de un sist ema individual debido a que las búsquedas se dividen. Si se solicita un determinado archivo, el sistema revisa el sistema de disco que puede responder más rápido. Si ocurren dos solicitudes al mismo tiempo, cada unidad maneja una de l as lecturas de disco. En realidad, esta técnica mejora mucho el desempeño del servidor de archivos. 497. El Nivel II también incluye una característica de Novell conocida como Sistema de Rastreo de Transacciones (Transaction Tracking System, TTS), el cual está diseñado para asegurar la integridad de los datos de las bases de datos de usuarios múltiples. El sistema considera a cada cambio de una base de datos como una transacción que es ya sea completa o incompleta. Si un usuario está a la mitad de una transacción de la ba se de datos cuando falla el sistema, el TTS hace retroceder a la base de datos al estado anterior al inicio de la transacción. Esta acción se conoce como retorno automático. Un segundo procedimiento que realiza el TTS es la rec uperación de continuidad: el sistema mantiene un registro completo de todas las transacciones para asegurar que todo se puede recuperar en el caso de una falla total del sistema. 498. El software del Nivel III incorpora todas las características del Nivel II y añade un servidor de archivos duplicado conectado por un bus de alta velocidad. Si un servidor de archivos falla, el segundo servidor de ar chivos de inmediato asume el control de las operaciones de la red. Este es por supuesto el sistema más resistente que se puede tener, sin embargo, también es el más costoso. 499. La Interfaz de Enlace de Datos Abierta de Novell.
  • 50.
    500. El software de Interfaz de Enlace de Datos Abierta (Open Data Link Interface, ODI) ofrece una interfaz entre las tarjetas adaptadoras de LAN y diferentes protocolos. Las ODI sirven como una respuesta a Novell a la Especific ación de Interfaz de Dispositivos de Red de Microsoft (Network Device Interface Specification, NDIS). ODI puede manejar hasta 32 protocolos y 16 adaptadores diferentes al mismo tiempo. Una sola red es capaz de manejar protocolos múltiples y tipos diferentes de tarjetas adaptadoras. 501. La Interfaz de enlace de datos abierta está compuesta de una capa de manejo de enlace (Link Support Layer, LSL) la cual contiene dos interfaces de programación: la Interfaz de enlace múltiple (Multiple Link In terface, MLI) para unidades de dispositivos adaptadores de LAN, y la Interfaz de protocolos múltiples (Multiple Protocol Interface, MPI) para los protocolos de LAN: La capa de manejo de enlace coordina el envío y la recepción de paque tes mediante la ordenación de los paquetes que recibe en la pila del protocolo correcto 502. Novell, NetWare y el Futuro. 503. Novell cree que la industria de las computadoras está ahora en una segunda etapa de conectividad de LAN, en la cual las LAN se conectan a computadoras de rango medio y macrocomputadoras mediante compuertas o interfaces directas. Durante los últimos años, Novell ha planeado una arquitectura que sea consistente con un futuro caracterizado por una creciente conectividad, flujo de información entre computadoras grandes y pequeñas y compatibilidad entre múltiples fabricantes. El plan de Novell, conocido como Arquitectura Universal de Red (Universal Networking Architecture, UNA), es dirigirse hacia una arquitectura que abarque cualquier plataforma. 504. El énfasis principal en muchas empresas grandes, está todavía en las computadoras anfitrionas o macrocomputadoras. El usuario de LAN se preocupa del acceso a aplicaciones de macrocomputadoras y no de las comun icaciones directas de punto a punto entre un programa de microcomputadora y un programa de macrocomputadora. Conceptos tales como comunicaciones de punto a punto, facilidad de uso, transparencia para usuarios finales, serán característicos d e la siguiente etapa (La tercera) de la conectividad de LAN. 505. Novell ve a esta tercera etapa como una época en la cual, un registro individual de una base de datos se puede actualizar con información de varios programas que se ejecutan en computadoras de diferentes tamañ os, que utilizan protocolos y sistemas operativos diferentes. NetWare resolverá todas estas diferencias, en una forma que sea transparente para el usuario final. 506. En la Figura 1.9 se muestra el manejo de OS/2 que incluye el manejo de los llamados Canales Etiquetados (Named Pipes) de Microsoft y de APPC de IBM. 507. Figura 1.9 La Visión de Novell.
  • 51.
    508. 509. NetWare para Unix. 510. Novell ha otorgado licencia de la versión 3.12 de NetWare a varios fabricantes, incluyendo a Data General, IBM y HP. Estos fabricantes transportaron a NetWare para que funcione en sus propios ambientes UNIX. Este producto fue conocido como NetWare Portátil y ahora se conoce como NetWare para UNIX. 511. Novell está planeando una versión de NetWare Portátil que es independiente del procesador. NetWare Independiente del Procesador (Processor Independent NetWare, PIN) nombre con el que se dará a conocer, operará en una variedad de máquinas basadas en procesadores diferentes. En esta forma, NetWare puede aprovechar la fortaleza de los tipos de chips individuales como Intel, RISC, mainframe, etc. 512. Novell está trabajando con algunos fabricantes tradicionales de microcomputadoras, incluyendo a HP, Digital Equipment Corporation (DEC) y Sun Microsystems para desarrollar versiones nativas de NetWare que operarán co n sistemas basados en chips de computadora RISC, máquinas poderosas basadas en el chip HP-PA, el chip Alpha de DEC, y el chip SPARC de Sun. La ventaja para los usuarios al ejecutar NetWare nativa (En contraste con la NetWare portátil) en una computadora basada en RISC, es que el desempeño del sistema operativo de la red estará optimizado para esa computadora particular. 513. Unixware. 514. La intención de Novell de ser socio de las empresas importantes con LAN empresariales vastas, ha llevado a la adición de un producto basado en UNIX a su portafolio de redes. Unixware es un sistema operativo de re des que añade al protocolo nativo SPX/IPX de NetWare para el Sistema V versión 4 de Unix 5 (VR4.2). Este incluye el manejo de X Windows, así como la capacidad de instalar volúmenes de NetWare.
  • 52.
    515. Se cuenta con una interfaz de manejo de escritorio orientado a gráficas en ambas versiones, llamada Servidor de aplicaciones (Server Application), en la versión de servidores de usuarios ilimitados y en la versi&oacu te;n de Unixware personal. La interfaz gráfica del usuario (GUI) se puede configurar para que luzca como las interfaces estándar de la industria Openview de HP, Motif u OpenLook. Unixware es ideal para compañías que ya ejecutan NetWare en LAN y en UNIX. Esto hace posible examinar y tener acceso tanto a los archivos de NetWare como a los de UNIX mediante la interfaz gráfica del usuario. 516. El movimiento de NetWare hacia la transparencia de Protocolos. 517. Una plataforma virtualmente universal de NetWare sería capaz de manejar múltiples protocolos, y esto es precisamente lo que NetWare está intentando lograr. Esto permitiría que un usuario tuviera acc eso transparente a varios recursos de computación. Estos incluirían múltiples protocolos cliente/servidor y a varios protocolos de subredes. 518. Novell ve al futuro como una época en la que las microcomputadoras serán el centro de la computación, y no un mero apéndice de las macrocomputadoras. Las diferencias entre los protocolos crean incompati bilidades en las minicomputadoras basadas en UNIX, en las computadoras DEC que ejecutan VMS, en las computadoras de IBM basadas en SNA, y en otros recursos de cómputo (Como las estaciones de trabajo de Sun que ejecutan el protocolo NFS). Novell ima gina un tiempo en el que su software ayudará a romper las barreras que dificultan la comunicación entre estas distintas plataformas. 519. NetWare Lite (Sistema Punto a Punto). 520. NetWare lite es un sistema operativo de red que brinda una solución punto a punto, pero no funciona bien en ambiente Microsoft Windows por lo que surge Personal NetWare. Con la llegada de NetWare 4.x, Novell tuvo la bas e para funcionar en un ambiente Windows con mayor facilidad. 521. Aplicaciones de Red que se incluyen en Personal Netware: 522. Herramientas de Administración. 523. Administración de Archivos. 524. Panel de control de impresoras. 525. Diagnóstico de la red. 526. Display 527. Nodo. 528. 529. Información de configuración. 530. Tipo de Sistema Operativo. 531. CPU. 532. Memoria. 533. Puertos. 534. Graph. 535. 536. Tráfico de Grupo de Trabajo. 537. Tráfico de Nodo.
  • 53.
    538. Espacio de Disco en Nodo. 539. Utilización del Servidor. 540. Test de todos los puntos. 541. Instalación, Configuración y Evaluación de NetWare. 542. Instalación y Configuración del Sistema Operativo en el Servidor. 543. Procedimiento para las versiones 3.11 y 3.12, (10): 544. 1.- Revisar en las tarjetas de red los requerimientos del sistema y anotarlos (IRQ, DMA, etc.). 545. 2.- Preparar el Disco Duro 546. Crear partición para DOS (25 Mb mínimo, para poder crecer a versiones 4.x), que servirá de arranque, usando la utilería fdisk. 547. Formatear partición de DOS e instalar el sistema operativo MS-DOS, y dejar la partición activa usando la utilería fdisk. 548. 3.- Copiar los discos de NetWare; system1, system2 y system3 en un directorio (de preferencia). 549. 4.- Ejecutar SERVER.EXE. 550. 5.- Asignar nombre al servidor (Cadena de 12 posiciones). 551. 6.- Asignar IPX Internal Network (No. Hexadecimal de 8 posiciones). 552. 7.- Cargar manejador de disco. 553. : load ISADISK.DSK (para IDE y EIDE). 554. * Responder a los requerimientos de configuración de parámetros. 555. 8.- Cargar manejador de tarjeta de red. 556. : load NE2000.LAN 557. Nota: El tipo de estructura predeterminado es: 558. Para 3.11 Ethernet_802.3. 559. Para 3.12 Ethernet_802.2. 560. 9.- Ejecutar el módulo de instalación. 561. : load INSTALL 562. En la opción para discos; 563. Crear y formatear la partición de Novell. 564. En la opción para volúmenes; 565. Crear y montar (SYS:) 566. En la opción de sistema; 567. Instalar los discos del sistema operativo NetWare, después salir y ; 568. 10.- Enlazar o asignar un protocolo a la interfaz de red. 569. : bind ipx to [ nombre del controlador ] 570. Responder al requerimiento Network Number: dirección hexadecimal de 8 bytes. 571. 11.- Regresar a instalar. 572. En opciones del sistema; 573. Crear el archivo AUTOEXEC.NCF, que indica como está el servidor (nombre, dirección, lazo). 574. Crear el archivo STARTUP.NCF.
  • 54.
    575. 12.- Dar de baja. 576. 13.- :down, para desmontar volúmenes. 577. 14.- :exit, para finalizar y salir de la instalación. 578. 15.- Reiniciar la máquina. 579. Instalación y Configuración del Sistema Operativo en una Estación de Trabajo. 580. Procedimiento para las versiones 3.11 y 3.12: 581. Para dar de alta una estación de trabajo DOS-IPX/SPX (protocolo monolítico), es necesario contar con los siguientes programas: 582. 583. IPX.COM.- Se ejecuta como tal y sirve para cargar el protocolo de comunicación y parámetros de control a la interfaz de red. 584. NETX.EXE.- Es el programa intérprete o shell. 585. Para generar IPX: 586. 587. Obtener los requerimientos de la tarjeta y anotarlos. 588. Ejecutar el programa WSGEN.- El cual genera una versión final ejecutable de IPX.COM. 589. Dentro de este programa seleccionar el tipo de tarjeta y asignar parámetros. 590. Para dar de alta una estación de trabajo DOS-ODI, es necesario contar con los siguientes programas y su ejecución en el siguiente orden: 591. 592. LSL.COM (Link Support Layer). 593. XXXXX.COM (Manejador de tarjeta compatible con NE2000). 594. IPXODI.COM (Internetwork Packet Exchange Open Data Interface). 595. NETX.EXE (Intérprete). 596. Observaciones: 597. El manejador ya viene configurado con ciertos valores que pueden crear conflictos en el sistema. 598. Para cambiar / asignar valores al manejador es necesario crear el archivo de control NET.CFG. 599. Archivo NET.CFG (En general): 600. Link Support 601. Buffers 602. Mempool 603. Protocol [ nombre del protocolo ] 604. Bind 605. Sessions 606. Link Driver [ nombre del manejador ] 607. DMA 608. INT 609. MEM 610. PORT
  • 55.
    611. SLOT 612. Frame (Tipo de estructura) 613. Link Station. 614. Alternate 615. Max Frame. 616. Archivo NET.CFG (Para las versiones 3.11 y 3.12). 617. Ejemplo del contenido de un archivo NET.CFG: 618. Link Driver 3C503 // Controlador de Tarjeta de Red. 619. INT 5 // Número de IRQ. 620. MEM D8000 // Dirección de Memoria. 621. PORT 300 // Puerto de Entrada / Salida. 622. Frame Ethernet_802.3 IPX // Estándar para el protocolo IPX (Ver. 3.11). 623. Frame Ethernet_11 TCP/IP // Estándar para el protocolo TCP/IP. 624. Frame Ethernet_802.2 IPX // Estándar para el protocolo IPX (Ver. 3.12). 625. Frame Ethernet_Snap Token-Ring // Estándar para el protocolo Token-Ring.. Tipo de Estructura Manejador DOS-IPX Monolítico Manejador DOS-ODI Frame Ethernet_802.3 SI SI Frame Ethernet_802.2 NO SI Frame Ethernet_11 SI SI Frame Ethernet_Snap NO SI 626. Instalación y Configuración del Sistema Operativo en el Servidor. 627. Procedimiento para la versión 4.11, (8): 628. 1.- Verificar en las tarjetas de red los requerimientos del sistema y anotarlos (IRQ, DMA, etc.). 629. 2.- Preparar disco 630. Crear partición para DOS (25 Mb mínimo, para poder crecer a versiones 4.x), que servirá de arranque, usando la utilería fdisk. 631. Formatear partición de DOS e instalar el sistema operativo MS-DOS, y dejar la partición activa usando la utilería fdisk. 632. 3.- Desde el CD-ROM de NetWare 4.11 (Instalación), escribir Install y Enter. 633. 4.- Seleccionar el idioma en el que se desea que se instale el servidor y pulsar Enter. 634. 5.- Seleccionar "Instalación del servidor" y Enter. 635. 6.- Posteriormente hay que dar el nombre al servidor y copiar los archivos de arranque.
  • 56.
    636. Una vez seleccionado el idioma y tipo de instalación, se muestra otro menú, que contiene 3 opciones: "NetWare 4.11, NetWare 4.11 SFT III y Ver archivo de información (LEAME)", del cual hay que elegir la primera "NetWare 4.11" y pu lsar Enter. 637. Después hay que seleccionar "Instalación simple de NetWare 4.11"y pulsar Enter. 638. Escribir el nombre del servidor en el campo correspondiente y pulsar Enter. Después de esto se copian automáticamente los archivos de arranque en el servidor. 639. 7.- Instalación de NetWare SMP (Opcional). 640. El Multiprocesamiento Simétrico (SMP) permite que los módulos cargables de NetWare (NLM) habilitados para el multiproceso puedan ejecutarse en varios procesadores y aprovechar así la mayor capacidad de procesamiento que proporciona. 641. Cuando se instala el SMP, se añaden tres líneas al archivo STARTUP.NCF: 642. Load nombre del módulo de soporte de plataforma (.PSM). 643. Load SMP.NLM. 644. Load MPDRIVER.NLM ALL. 645. Si se tienen multiprocesadores simétricos y se desea ejecutar el programa de instalación con la detección automática habilitada, el programa detecta los procesadores y muestra el siguiente mensaje: 646. "Desea instalar Symetrical Multi-Processing NetWare (SMP)" 647. Seleccionar Sí o No y Enter. 648. Si se selecciona No, se podrá instalar SMP más adelante. 649. Si se selecciona Sí, el programa busca los módulos de plataforma existentes y los muestra. 650. Después hay que seleccionar un controlador de PSM para el tipo de computadora que se tenga, de la lista mostrada, algunos son: 651. COMPAQ.PSM Módulo para máquinas Compaq. 652. MPS14.PSM Módulo genérico para máquinas con procesador Intel, Etc. 653. 8.- Después se debe elegir la opción de cargar automáticamente los controladores de dispositivos de hardware y pulsar Enter. 654. 9.- Si los controladores se seleccionan automáticamente, aparece una pantalla que muestra los controladores de LAN y de disco seleccionados, el sistema solicita si se desea instalar otros controladores, modificar los existentes o continuar con l a instalación. Es necesario asegurarse de que exista un controlador por disco físico existente y un controlador por tarjeta de red instalada, de no ser así, elegir la opción para añadir controladores hasta completarlos t odos. 655. 10.- Seguir adelante sin cargar controladores adicionales, en el menú "Acciones del controlador", hay que seleccionar la opción "Continuar con la instalación" 656. 11.- El sistema solicita si se desea suprimir las particiones no arrancables, y así aumentar el espacio de la partición nativa de NetWare. Si se selecciona Sí se eliminan las otras particiones y si se selecciona No, se procede con la instalación sin realizar cambios en las particiones existentes. 657. 12.- A continuación se muestra un menú, en el que se pregunta ¿Es este el primer servidor de NetWare 4.11?, se puede elegir Sí o No pulsando Enter.
  • 57.
    658. 13.- Al elegir la opción Sí. 659. Seleccionar la zona horaria en que se instalará el servidor. 660. Introducir el nombre de la organización y pulsar Enter. 661. Introducir la contraseña del administrador y pulsar Enter. 662. Confirmar la contraseña y pulsar Enter. 663. Al elegir No, además de lo anterior, se cubren otros requisitos menores. 664. Una vez terminado esto se instalan los Servicios de Directorio. 665. 14.- El sistema pide el disco de Licencia de la unidad A:. Después aparece un mensaje que indica que la licencia se ha instalado correctamente. 666. 15.- Retirar el disco de Licencia y guardarlo en un lugar seguro. 667. 16.- Una vez que se han instalado los Servicios del directorio de NetWare, NetWare empieza a copiar el resto de los archivos, hasta finalizar la instalación. 668. 17.- Ya finalizada la instalación del servidor, para volver a la consola del servidor hay que pulsar Enter en la opción de salir. 669. Instalación y Configuración del Sistema Operativo en una Estación de Trabajo. 670. Procedimiento para la versión 4.11: 671. 1.- Desde el CD-ROM de NetWare 4.11 (Instalación), escribir Install y Enter. 672. 2.- Seleccionar el idioma en el que se desea que se instale la estación de trabajo y pulsar Enter. 673. 3.- Después hay que seleccionar el tipo de instalación deseado, en este caso, se escoge "Instalación de clientes" y Enter. 674. 4.- Después de esto hay que contestar algunos requisitos, siguiendo las indicaciones de la pantalla, hasta finalizar con la instalación. 675. Evaluación. 676. Ventajas de NetWare. 677. Multitarea 678. Multiusuario. 679. No requiere demasiada memoria RAM, y por poca que tenga el sistema no se ve limitado. 680. Brinda soporte y apoyo a la MAC. 681. Apoyo para archivos de DOS y MAC en el servidor. 682. El usuario puede limitar la cantidad de espacio en el disco duro. 683. Permite detectar y bloquear intrusos. 684. Soporta múltiples protocolos. 685. Soporta acceso remoto. 686. Permite instalación y actualización remota. 687. Muestra estadísticas generales del uso del sistema. 688. Brinda la posibilidad de asignar diferentes permisos a los diferentes tipos de usuarios. 689. Permite realizar auditorías de acceso a archivos, conexión y desconexión, encendido y apagado del sistema, etc. 690. Soporta diferentes arquitecturas.
  • 58.
    691. Desventajas de NetWare. 692. No cuenta con listas de control de acceso (ACLs) administradas en base a cada archivo. 693. Algunas versiones no permiten criptografía de llave pública ni privada. 694. No carga automáticamente algunos manejadores en las estaciones de trabajo. 695. No ofrece mucha seguridad en sesiones remotas. 696. No permite el uso de múltiples procesadores. 697. No permite el uso de servidores no dedicados. 698. Para su instalación se requiere un poco de experiencia. SISTEMA OPERATIVO DE LA RED BLOQUEO DE ARCHIVOS Y REGISTROS Una de las grandes diferencias entre un sistema operativo monousuario y un sistema operativo de red, es que un mismo archivo o un registro de un archivo puede ser usado por mas de un usuario y, por tanto, es necesario establecer un mecanismo para que dos usuarios no efectúen una modificación en el registro o en el archivo al mismo tiempo. La diferencia entre un bloqueo de archivo o de registro reside en que: En el bloqueo de un archivo se impide que mientras esta siendo utilizado por otro. En el bloqueo de registros se impide que mientras un usuario esta utilizando una ficha determinada de un archivo, esta pueda ser modificada por otro usuario pero si pueda modificar, borrar o insertar nuevas fichas dentro de este archivo. DISTRUBUCION DE ESPACIO ENTRE LOS DISCOS DUROS En una red local el disco o los discos duros pueden ser utilizados de tres maneras distintas: de forma privada, compartida o pública. o En una utilización privada, de los archivos que se encuentran en ellos son personales y únicamente tiene acceso su propietario para operaciones de lectura, escritura, borrado y creación de nuevos archivos. o En una utilización compartida, los archivos que se encuentran en ellos tienen niveles de acceso dist6intos en función de las autorizaciones dadas por el administrador de la red. Por tanto, puede haber archivos que pueden ser utilizados totalmente por todos los usuarios, archivos que pueden ser utilizados parcialmente por todos los usuarios y archivos que solo pueden ser utilizados por un usuario o un grupo de usuarios. o En una utilización publica, los archivos pueden ser leídos, modificados o borrados por todos los usuarios. COMPARTICION DE PERIFERICOS Dentro de las ventajas de una red se encuentra la posibilidad de compartir los periféricos que se encuentran en ella y, en especial, las impresoras. Para poder compartir una impresora, esta ha de estar conectada al servidor de archivos de la red o a un servidor especifico denominado servidor de impresión. El servidor de impresión y/o el servidor de archivos disponen de un programa que controla los trabajos de impresión mandados por los usuarios. Este programa crea una zona de almacenamiento temporal de datos en el disco donde se guardan todos los trabajos pendientes de imprimir hasta que la impresora queda libre y son dirigidos a ella para ser impresos.
  • 59.
    Se puede especificarel orden en que se van a imprimir, el numero de copias, la impresora a usar, el formato de impresión que se va a utilizar, si se coloca una primer pagina identificativa del trabajo (banner). 4. SISTEMAS OPERATIVOS DE RED Los sistemas operativos de red se dividen en dos grupos: Sistemas que utilizan el modelo cliente /servidor, estos funcionan siguiendo el esquema de un servidor principal que proporciona soporte a las estaciones de la red. Entre ellos destacan: Microsoft LAN Manager, Microsoft Windows NT 4, Microsoft Windows 2000, NetWare 3.2, NetWare 4.2, NetWare 5.1 y Vines. Sistemas que utilizan el modelo punto a punto, en ellos no existe un servidor principal sino que todas la s estaciones comparten sus recursos de igual a igual. Entre ellos destacan: Invisible LAN, LANtastic, Windows 95/98, NetWare Lite y 10NET. MODELOS BASADOS EN CLIENTE / SERVIDOR Estos sistemas operativos destacan en general por las grandes posibilidades de que disponen y su uso abarca desde una red pequeña hasta una gran red corporativa. 5. SEGURIDAD FISICA DEL SERVIDOR El lugar donde este colocado el servidor es sumamente importante para su estabilidad. El servidor necesita estar protegido contra distintos factores externos que pueden alterar el funcionamiento de la red. Estos factores externos son: la electricidad estática, el calor, los ruidos eléctricos, los altibajos de tensión y los cortes de corriente. LA PROTECCION CONTRA LA ELECTRICIDAD ESTATICA Y EL CALOR. Se han de tomar algunas precauciones para proteger al servidor de las cargas estáticas, ya que el rendimiento de este afecta a toda la red. Entre las precauciones que se han de tomar esta la de tratar regularmente las alfombras y moquetas con productos antiestáticos, utilizar fundas protectoras para ambas e instalar el servidor sobre una superficie conectada a una toma de tierra. No utilizar plásticos ni material sintético, ya que generan electricidad estática. El calor y el frió excesivos son riesgos potenciales para el buen funcionamiento del servidor. Se ha de mantener la temperatura de la habitación del servidor entre 18° y 26° C, y asegurar una buena aeración. LA PROTECCION CONTRA LOS RUIDOS ELECTRICOS, LOS ALTIBAJOS DE TENSION Y LOS CORTES DE CORRIENTE. Los ruidos eléctricos son causados por las inconsistencias del suministro de la corriente del ordenador. Para proteger al servidor contra los ruidos eléctricos, puede recurrirse a la instalación de una línea dedicada de suministro eléctrico. No hay que conectar otros dispositivos a este suministro de corriente, porque pueden generar ruidos que anulen las ventajas de la protección ofrecida por la fuente de corriente dedicada. La conexión a la fuente de energía se ha de hacer con cable estándar de tres hilos, con el hilo de masa conectado a tierra. Debe prevenirse contra los altibajos de tensión y contra el corte de la corriente. Para esto lo mejor es completar la instalación con un sistema de alimentación interrumpida o SAI. El SAI permite al servidor continuar activo durante cierto tiempo ante un eventual corte de la corriente.
  • 60.
    Puede también tomarsela precaución de instalar un SAI en cada una de las estaciones que trabajen con aplicaciones críticas, para protegerse de los daños producidos por la perdida de datos durante un corte de energía. Además, cada dispositivo de la red podría tener un filtro de energía eléctrica como protección de las sobre tensiones. Si se dispone de un sistema de alimentación interrumpida (SAI) podrá configurarse, para su uso con Windows 2000 ejecutando el icono opciones de energía del panel de control. PROTECCION CONTRA SUCIEDAD Aquí interviene tanto la suciedad de la sala donde se encuentra el servidor como la suciedad que pueden generar los propios usuarios. Hay que mantener la sala en un estado de perfecta limpieza para que evitar que el polvo pueda concentrarse dentro del servidor y altere su correcto funcionamiento. Referente a los usuarios y administradores se ha de tener en cuenta que cualquier vertido de líquidos o de restos de alimentos sobre la pantalla y/o el teclado del servidor pueden producir distintos daños potenciales en el servidor. También, se ha de tener precaución con la ceniza de los cigarros tanto entro del teclado como en la pantalla y la CPU porque puede producir daños importantes. SEGURIDAD CONTRA INCENDIOS Y AGUA De que sirve tener bien protegido el servidor si no se cuenta con una buena protección contra incendios. En la sala donde se encuentre instalado el servidor debe haber detectores de humo de alta sensibilidad y un sistema contra incendios a base de gas halon a presión. Este sistema debe producir un aviso previo a su utilización porque provoca el apagado del incendio de forma inmediata por consumo del oxigeno de la sala y, por tanto, todas las personas deberán salir de dicha sala porque podrían correr riesgo de asfixia. También deberá estar protegido el servidor contra peligros de inundaciones y goteras que podrían provocar cortocircuitos. PROTECCION CONTRA ROBO Y DESTRUCCION Es muy importante que en la sala donde se encuentra el servidor haya una protección efectiva que imposibilite tanto el robo del equipo o de alguno de sus componentes como la posibilidad de algún atentado que provoque la destrucción de todo, o de alguna parte importante, del servidor. La sala deberá estar protegida con un sistema antirrobo, las puertas que conducen a la sala deberán permanecer cerradas y se deberá identificar a cualquier persona que tenga acceso al servidor. La información y el software han de estar guardados en otras habitaciones cerradas y los disquetes se han de encontrar cerrados con llave en los cajones de los archivos o de las mesas. 6. SEGURIDAD DE LOS DATOS O DE LA INFORMACION. SEGURIDAD DE ALMACENAMIENTO EN EL DISCO DURO La unidad básica de almacenamiento de la información es el disco duro. Su capacidad esta en constante incremento (de 8 GB en adelante). La forma más común de organizar el almacenamiento de la información es a través de un único disco duro, aunque dependiendo del tamaño de empresa, se debe considerar la posibilidad de trabajar con más de un disco duro asociado.
  • 61.
    Cada disco durodel sistema tiene asignado un número y se asignan de forma diferente en función de tipo de disco: SCI. En una controladora primaria de este tipo, los números van del cero al seis. Cuando esta controladora se completa puede recurrirse a una controladora secundaria y así sucesivamente hasta un total de cuatro (lo que podría permitiría disponer hasta de un total de 28 unidades) IDE y ESDI. En una controladora primaria de estos dos tipos, los números van del cero al uno. Cuando esta controladora se completa puede recurrirse a una segunda controladora (lo que permitiría disponer hasta de un total de cuatro discos). Todos los discos duros deben estar formateados a bajo nivel para poder utilizarse con Windows 2000. 7. PROTECCION DE ACCESO AL ORDENADOR PROTECCION DE CONTRASEÑA CMOS La protección por contraseña en la CMOS (es una pequeña memoria RAM en la que se encuentra almacenada la configuración del ordenador y se mantiene por una pila recargable por lo que no se pierde cuando el ordenador se apaga) se ejecuta cuando se arranca el ordenador y se ha realizado el chequeo correspondiente. Si no se conoce esta contraseña, no se cargara el sistema operativo (ni del disco duro ni del disco flexible) y el ordenador quedara bloqueado. Para indicar la contraseña se ha de hacer desde el SETUP correspondiente. PROTECCION POR CONTRASEÑA POR SECTOR DE ARRANQUE. La protección por contraseña en el sector de arranque permite que el ordenador solicite una contraseña del mismo modo que la opción descrita. Esta opción se ha de realizar por software y solo se ha de utilizar cuando el ordenador no incorpore una opción para hacerlo desde el SETUP correspondiente. PROTECCION POR CONTRASEÑA EN ARCHIVOS DE ARRANQUE. La protección por contraseña de arranque se ha de hacer con programas instalados y que se ejecuten al procesar los archivos CONFIG.SYS o AUTOEXEC.BAT. Este método prácticamente no sirve para nada ya que la ejecución de estos archivos puede ser bloqueada fácilmente por cualquier usuario. NETWARE El sistema operativo NetWare de Novell es, todavía, el más extendido dentro de las redes locales porque puede utilizarse en cualquier topología y cableado, funciona con la mayoría de los ordenadores personales. Novell posee actualmente tres versiones para el modelo cliente/servidor que son: NetWare 3.2 Diseñado para redes pequeñas y medianas de servidores individuales que permite el soporte de múltiples protocolos y sistemas operativos en un solo servidor. Cuenta con un diseño modular y puede ser actualizado sin necesidad de reconstruir el sistema operativo completo. Los requerimientos necesarios para su funcionamiento son: Procesador 386 o superior 6 MB de memoria RAM mínima para el servidor 640 KB de memoria mínima para la estación de trabajo
  • 62.
    Una unidad dedisco duro con suficiente capacidad de almacenamiento para el tamaño de la red. La capacidad mínima de 50 MB Una tarjeta de red Cableado de red (Recomendado) una unidad de cinta u otro dispositivo de respaldo. Detalles de la versión: Solo se ofrece para servidor delicado Se presenta en discos de alta densidad (hd) o CD-ROM 32 unidades lógicas por volumen 64 volúmenes por servidor 8 volúmenes por disco duro 2.097.152 entradas de directorio por volumen 32 TB de máxima capacidad de almacenamiento en disco 4 GB como tamaño máximo de un archivo 100.000 archivos abiertos como máximo 4 GB de RAM máxima direccionable Soporte de espacio de nombres (DOS, Windows, Macintosh, UNIX, OS/2) Distintos tamaños de bloques de disco NetWare 4.2 Esta versión cuenta con las capacidades de netware 3.2. Cuenta con un diseño modular y puede ser utilizado sin necesidad de reconstruir el sistema operativo completo y se ha mejorado notablemente su instalación. Los requerimientos necesarios para su funcionamiento son: Procesador 386 o superior 16 MB de memoria RAM mínima para el servidor Una unidad de disco duro con suficiente capacidad de almacenamiento para el tamaño de la red. La capacidad mínima es de 70 MB Una tarjeta de red Cableado de red Una unidad de CD-ROM (recomendado) Una unidad de cinta u otro dispositivo de respaldo Detalles de la versión; Solo se ofrece para servidor dedicado Se presenta en CD-ROM 1.024 unidades lógicas por volumen 64 volúmenes por servidor 16.000.000 entradas de directorio por volumen
  • 63.
    32 TB demáxima capacidad de almacenamiento en disco 4 GB como tamaño máximo de un archivo 100.000 archivos abiertos como máximo Soporte de espacio de nombres Soporte de espacio de nombres (DOS, Windows, Macintosh, UNIX, OS/2) Distintos tamaños de bloques de disco Integra un servidor Web y un servidor FTP NetWare 5.1 Cuenta con las capacidades de NetWare 5.1 Los requerimientos necesarios para su funcionamiento son: Procesador Pentium 2 o superior 64 MB de memoria RAM mínima para el servidor Una unidad de disco duro con suficiente capacidad de almacenamiento para el tamaño de la red. La capacidad mínima es de 300 MB Una tarjeta de red Cableado de red Una unidad de CD-ROM (recomendado) Una unidad de cinta u otro dispositivo de respaldo Detalles de la versión: Solo se ofrece para servidor delicado Control y gestión de red Mejoras en el NDS, que ofrecen compatibilidad LDAPV3, WAN Traffic Manager, para mejorar la sincronización del NDS a través de WAN y servicios de catalogo para mayor facilidad de acceso a nombres Utilidades DNS/DHCP entregadas con el NDS, permitiendo un ahorro de tiempo y mayor facilidad en su utilización Nuevos módulos NLM que permiten a cualquier consola SNMP gestionar el sistema operativo. SERVICIOS INTERNET Ofrece IP puro para aquellas empresas que necesitan mayor ancho de banda y utilizar un único protocolo Nestscape Fasttrack Server para la creación y publicación de documentos en la Web LDAP Services for NDS que proporciona acceso a la información en el NDS, a través de Intranet e Internet de forma sencilla DESARROLLO DE APLICACIONES Incluye Java virtual machine sobre de la que se podría desarrollar aplicaciones de red utilizando java y javascript netware 5 soporta y ofrece nuevas herramientas tales como CORBA (common objetct resquets broker architecture), VBScript compatible interprete net basic, JavaBeans for netware, JavaScript y Perl 5
  • 64.
    Nuevo Kernel mejoradoque proporciona soporte multiprocesador protección de memoria para mayor tolerancia a fallos memoria virtual para un mejor rendimiento y un debugger integrado Servicios criptográficos que ahorran a los desarrolladores el tener que incluir código criptográfico en sus productos Fiabilidad, estabilidad, rendimiento y seguridad Novell Storage Services basado en un sistema indexado de 64 bits que elimina las limitaciones en archivos, reduce el tiempo de montado y simplifica el proceso de reparación de los volúmenes Novell Distributed Print Serves que proporciona una comunicación inteligente bidireccional entre usuarios, administradores e impresoras Secure Authentication Services que integrado al NDS simplifica la administración y ofrece nuevos niveles de control de acceso, añadiendo tecnologías de seguridad en Internet para mayor integridad de datos y privacidad Hot Plug PCI y soporte inteligente I/O (120) para mayor rendimiento y fiabilidad Incluye Oracle 8 para netware que reduce los costes de propiedad optimiza el ancho de banda y consolida protocolos y sistemas operativos MICROSOFT Lan Manager Conecta equipos que ejecutan MS-DOS, OS/2 y UNIX Los requerimientos necesarios para su funcionamiento son: Una configuración mínima de memoria RAM de 8 MB Soporta procesadores 386, 486 y Pentium Una unidad de disco duro con suficiente capacidad de almacenamiento para el tamaño de la red. La capacidad mínima es de 30 MB Una tarjeta de red Cableado de red (recomendado) Una unidad de cinta u otro dispositivo de respaldo Detalles de versión: Posibilidad de tener varios servidores de archivos Se ofrece para servidor delicado y no delicado 7,8 GB de máxima capacidad de almacenamiento en disco 2 GB como tamaño máxima de un archivo 8.192 archivos abiertos simultáneamente como máximo Hasta 16 MB de tamaño máxima de RAM 50 como numero máximo de conexiones por servidor WINDOWS NT Soporta multiprocesamiento simétrico, servicios globales de directorio y gestión centralizada de usuarios y grupos.
  • 65.
    Los requerimientos necesariospara su funcionamiento son: Sistemas intel y compatibles: Procesador 486/33 o superior Pentium o Pentium pro 125 MB de espacio en disco duro disponible Sistemas RISC: Procesador RISC compatible con la versión 160 MB de espacio en el disco duro disponible Mínimo de 16 MB de memoria RAM Unidad de CD-ROM a ser posible SCSI Una tarjeta de red Cableado de red (recomendado) Una unidad de cinta u otro dispositivo de respaldo Detalles de loa versión: Soporte de múltiples procesadores Soporta procesadores 386, 486, Pentium, Alpha y MIPS Se ofrece para servidor no delicado Sistema operativo de 32 bits 402 millones de TB de máxima capacidad de almacenamiento en discos Hasta 4 GB de tamaño máximo de RAM 2 GB de memoria virtual por aplicación Permite hasta 256 conexiones simultaneas por acceso remoto Soporte de nombres de archivo de hasta 256 caracteres (NTFS) Integra un servidor Web un servidor Gopher y un servidor FTP Proporciona PPTP ( Point to Point Tunneling Protocol) Soporta los protocolos y transportes siguientes: TCP/IP, IPX/SPX, NetBIOS/NetBEUI, DLC y AppleTalk. Seguridad certificada C2 WINDOWS 2000 Esta formada por tres versiones: SERVER. Esta versión permite utilizar hasta 4 procesadores, hasta 4 GB de memoria RAM e incorpora directorio activo herramientas de gestión de Windows, infraestructura de seguridad Kerberos y PKI, servicios de terminales, servicios de componentes y servicios de Internet. ADVANCED. Esta versión permite utilizar hasta 8 procesadores, hasta 8 GB de memoria RAM e incorpora directorio activo, herramientas de gestión de Windows, infraestructura de la seguridad Kerberos y PKI, servicios de terminales, servicios de componentes, servicios de Internet, balanceo de la carga de la red y servicios de cluster.
  • 66.
    DATACENTER. Esta versiónpermite utilizar hasta 32 procesadores, hasta 64 GB de memoria RAM e incorpora directorio activo, herramientas d gestión de Windows, infraestructura de seguridad Kerberos y PKI servicios de terminales, servicios de componentes, servicios de Internet, balanceo de la carga de la red y servicios de cluster avanzados. Los requerimientos necesarios para su funcionamiento son: Procesador Pentium 133 Mhz o superior Una configuración mínima de memoria RAM de 64 MB Una unidad de disco duro con suficiente capacidad de almacenamiento para el tamaño de la red. La capacidad mínima es de 1 GB Una tarjeta de red Cableado de red Unidad de CD-ROM a ser posible SCSI (recomendado) Una unidad de cinta u otro dispositivo de respaldo La recomendación que se realiza para la configuración del servidor esta en la función del tamaño de la red y el servicio que va a realizar en donde se va a instalar: SERVIDORES DE PEQUEÑAS EMPRESAS. Para un servidor de una empresa que tenga hasta 50 usuarios y 25 equipos, se recomienda que cuente con uno o dos procesadores Pentium 2 de 350 Mhz o superior, 128 MB de RAM, controladora SCSI-2 ultra rápida, dos discos de 40 GB cada uno y adaptador Ethernet de 10/ 100 Mbps. SERVIDORES DEPARTAMENTALES. Para un servidor departamental que tenga hasta 200 usuarios o para incorporarlo a un entorno de varios servidores con un numero mayor de usuarios, se recomienda que cuente con varios procesadores Pentium 3 de 500Mhz, 512 MB de RAM, sistema RAID con controladora SCSI-2 o SCSI-3 ultra rápida, cinco discos de entre 6 y 8 GB cada uno, adaptador Ethernet de 10/100 Mbps y controladores inteligentes 120. SERVIDORES EMPRESARIALES. Para un servidor empresarial que tenga hasta 1.000 usuarios se recomienda que cuente con varios procesadores Pentium 3 de 550 Mhz entre 1 y 4 GB de RAM, sistema RAID con controladora SCSI-2 o SCSI-3 ultra rápida, cinco discos de entre 10 y 16 GB cada uno, adaptador Ethernet de 10/100 Mbps y controladores inteligentes 120. VINES Incorpora un potente servicio distribuido de directorio propio de vines, servicios de correo, un buen servicio de impresión, multiprocesamiento simétrico y unas excelentes herramientas de administración. La instalación es fácil y se puede construir una red de tiempo o información. Los requerimientos necesarios para su funcionamiento son: Una configuración mínima de memoria RAM de 16 MB Una unidad de disco duro con suficiente capacidad de almacenamiento para el tamaño de la red. La capacidad mínima es de 250 MB Una tarjeta de red Cableado de red (recomendado) Una unidad de cinta u otro dispositivo de respaldo
  • 67.
    Detalles de laversión: Se ofrece para servidor delicado Posibilidad de tener varios servidores de archivos Soporta procesadores 386, 486 y Pentium Soporte de múltiples procesadores 206 GB como máxima capacidad de almacenamiento en disco El tamaño máximo de un archivo es ilimitado 250 como numero de archivos abiertos simultáneamente 20 es el numero máximo de impresoras compartidas por servidor El numero máximo de conexiones por servidor esta limitado por la RAM. MODELOS BASADOS EN SISTEMAS PUNTO A PUNTO Están diseñados para redes que cuentan con 10-20 estaciones de trabajo INVISIBLE LAN Este sistema operativo en desuso cuenta con una velocidad de proceso alta, sobretodo si se instala Ultra Server que consiste en incorporar un servidor dedicado con capacidad multitarea y proceso a 32 bits, sencillez en su instalación y capacidades para correo electrónico. Los requerimientos necesarios para su funcionamiento son: Una configuración mínima de memoria RAM muy baja Una unidad de disco duro con suficiente capacidad de almacenamiento para el tamaño de la red. La capacidad mínima es de 10MB Una tarjeta de red Cableado de red Microsoft Windows 3.11 Detalles de la versión: Se ofrecen para servidor dedicado con ultra Server 250 como numero máximo de usuarios El hardware va incluido o se puede adquirir por separado Soporta lectores de CD-ROM Soporta sistema de alimentación interrumpida (SAI) Se puede cargar en memoria extendida, expandida o alta Incorpora gestor de memoria LANTASTIC Proporciona una pasarela para conectarse a un servidor de archivos Net Ware y acceder a todos los archivos a través del servidor LANtastic. También permite compartir archivos que se encuentren en equipos que ejecutan: Windows NT 4, Windows 95/98, Windows 3.x y MS-DOS La instalación es simple y de una forma sencilla se puede crear usuarios y grupos, así como darles derecho de acceso.
  • 68.
    Los requerimientos necesariospara su funcionamiento son: Una configuración mínima de memoria RAM baja Una unidad de disco duro con suficiente capacidad de almacenamiento para el tamaño de la red. La capacidad mínima es de 10 MB Una tarjeta de red Cableado de red Detalles de la versión: 10 como numero máximo de usuarios El hardware va incluido o se puede adquirir por separado Soporta lectores CD-ROM Soporta sistema de alimentación interrumpida (SAI) Se puede cargar en memoria alta Incorpora gestor de memoria alta WINDOWS 95/98 Proporciona una buena integración entre Microsoft Windows y una red punto a punto, proporcionando una pasarela para conectarse a un servidor de archivos NetWare y acceder a todos sus archivos. Los menús y funciones de la red están integradas en el propio Windows y la administración y gestión de la red se realizan con varias utilidades: panel de control, explorador de Windows y entorno de red. Los requerimientos necesarios para su funcionamiento son: Una configuración mínima de memoria RAM de 8 MB Una unidad de disco duro con suficiente capacidad de almacenamiento para el tamaño de la red Una tarjeta de red Cableado de red Detalles de la versión: Soporta lectores de CD-ROM Soporta sistema de alimentación interrumpida (SAI) NETWARE LITE Se puede acceder fácilmente a netware y los comandos que proporcionan son similares a netware 3.2 pero para entrar en dichas redes, es necesario cargar IPX y NETX. No tiene correo electrónico pero soporta cualquier correo basado en MHS. Los requerimientos necesarios para su funcionamiento son. Una configuración mínima de memoria RAM baja Una unidad de disco duro con suficiente capacidad de almacenamiento para el tamaño de la red. La capacidad mínima es de 10MB Una tarjeta de red
  • 69.
    Cableado de red Microsoft Windows 3.0 o posterior Detalles de la versión: Soporta lectores de CD-ROM No soporta sistema de alimentación interrumpida (SAI) Se pueden cargar en memoria extendida, expandida o alta Incorpora gestos de memoria 10NET Ofrece funciones de seguridad, velocidad, y gestión de impresión así como, conexión de redes netware. No ofrece correo electrónico y soporta los paquetes que hay en el mercado, en la gestión de impresoras permite que varias colas trabajen con una impresora o que varias impresoras compartan la misma cola de impresión, permite el control del disco con umbrales es decir los administradores pueden establecer limites para mantener la cantidad de espacio libre disponible en el servidor. Los requerimientos necesarios para su funcionamiento son: Una configuración mínima de memoria RAM muy baja Una unidad de disco duro con suficiente capacidad de almacenamiento para el tamaño de la red. La capacidad mínima es de 10 MB Una tarjeta de red Cableado de la red Microsoft Windows 3.0 o posterior Detalles de la versión: El hardware va incluido o se puede adquirir por separado Soporta lectores CD-ROM Soporta sistema de alimentación interrumpida (SAI) Se puede cargar en forma alta Incorpora gestor de memoria
  • 70.
    Introducción a losSistemas Operativos de Red Al igual que un equipo no puede trabajar sin un sistema operativo, una red de equipos no puede funcionar sin un sistema operativo de red. Si no se dispone de ningún sistema operativo de red, los equipos no pueden compartir recursos y los usuarios no pueden utilizar estos recursos. Dependiendo del fabricante del sistema operativo de red, tenemos que el software de red para un equipo personal se puede añadir al propio sistema operativo del equipo o integrarse con él. NetWare de Novell es el ejemplo más familiar y famoso de sistema operativo de red donde el software de red del equipo cliente se incorpora en el sistema operativo del equipo. El equipo personal necesita ambos sistema operativos para gestionar conjuntamente las funciones de red y las funciones individuales. El software del sistema operativo de red se integra en un número importante de sistemas operativos conocidos, incluyendo Windows 2000 Server/Professional, Windows NT Server/Workstation, Windows 95/98/ME y Apple Talk. Cada configuración (sistemas operativos de red y del equipo separados, o sistema operativo combinando las funciones de ambos) tiene sus ventajas e inconvenientes. Por tanto, nuestro trabajo como especialistas en redes es determinar la configuración que mejor se adapte a las necesidades de nuestra red. Coordinación del software y del hardware El sistema operativo de un equipo coordina la interacción entre el equipo y los programas (o aplicaciones) que está ejecutando. Controla la asignación y utilización de los recursos hardware tales como: Memoria. Tiempo de CPU. Espacio de disco. Dispositivos periféricos. En un entorno de red, los servidores proporcionan recursos a los clientes de la red y el software de red del cliente permite que estos recursos estén disponibles para los equipos clientes. La red y el sistema operativo del cliente están coordinados de forma que todos los elementos de la red funcionen correctamente. Multitarea Un sistema operativo multitarea, como su nombre indica, proporciona el medio que permite a un equipo procesar más de una tarea a la vez. Un sistema operativo multitarea real puede ejecutar tantas tareas como procesadores tenga. Si el número de tareas es superior al número de procesadores, el equipo debe ordenar los procesadores disponibles para dedicar una cierta cantidad de tiempo a cada tarea, alternándolos hasta que se completen las citadas tareas. Con este sistema, el equipo parece que está trabajando sobre varias tareas a la vez. Existen dos métodos básicos de multitarea: Con prioridad. En una multitarea con prioridad, el sistema operativo puede tomar el control del procesador sin la cooperación de la propia tarea. Sin prioridad (cooperativo). En una multitarea sin prioridad, la propia tarea decide cuándo deja el procesador. Los programa escritos para sistemas de multitarea sin prioridad deben incluir algún tipo de previsión que permita ejercer el control del procesador. No se puede ejecutar ningún otro programa hasta que el programa sin prioridad haya abandonado el control del procesador.
  • 71.
    El sistema multitareacon prioridad puede proporcionar ciertas ventajas dada la interacción entre el sistema operativo individual y el Sistema Operativo de Red (sistema operativo de red). Por ejemplo, cuando la situación lo requiera, el sistema con prioridad puede conmutar la actividad de la CPU de una tarea local a una tarea de red. Componentes software El software cliente de red debe instalarse sobre el sistema operativo existente, en aquellos sistemas operativos de equipo que no incluyan funciones propias de red. Otros sistemas operativos, como Windows NT/2000, integran el sistema operativo de red y sistema operativo del equipo. A pesar de que estos sistema integrados tienen algunas ventajas, no evitan la utilización de otros Sistema Operativo de Red. Es importante considerar la propiedad de interoperabilidad cuando se configuran entornos de red multiplataforma. Se dice que los elementos o componentes de los sistemas operativos «interoperan» cuando pueden funcionar en diferentes entornos de trabajo. Por ejemplo, un servidor NetWare puede interoperar (es decir, acceder a los recursos) con servidores NetWare y servidores Windows NT/2000. Un sistema operativo de red: Conecta todos los equipos y periféricos. Coordina las funciones de todos los periféricos y equipos. Proporciona seguridad controlando el acceso a los datos y periféricos. Las dos componentes principales del software de red son: El software de red que se instala en los clientes. El software de red que se instala en los servidores. Software de cliente En un sistema autónomo, cuando un usuario escribe un comando que solicita el equipo para realizar una tarea, la petición circula a través del bus local del equipo hasta la CPU del mismo. Por ejemplo, si quiere ver un listado de directorios de uno de los discos duros locales, la CPU interpreta y ejecuta la petición y, a continuación, muestra el resultado del listado de directorios en una ventana. Sin embargo, en un entorno de red, cuando un usuario inicia una petición para utilizar un recurso que está en un servidor en otra parte de la red, el comportamiento es distinto. La petición se tiene que enviar, o redirigir, desde el bus local a la red y desde allí al servidor que tiene el recurso solicitado. Este envío es realizado por el redirector. Redirector Un redirector procesa el envío de peticiones. Dependiendo del software de red, este redirector se conoce como «Shell» o «generador de peticiones». El redirector es una pequeña sección del código de un Sistema Operativo de Red que: Intercepta peticiones en el equipo. Determina si la peticiones deben continuar en el bus del equipo local o deben redirigirse a través de la red a otro servidor La actividad del redirector se inicia en un equipo cliente cuando el usuario genera la petición de un recurso o servicio de red. El equipo del usuario se identifica como cliente, puesto que está realizando una petición a un servidor. El redirector intercepta la petición y la envía a la red. El servidor procesa la conexión solicitada por los redirectores del cliente y les proporciona acceso a los recursos solicitados. En otras palabras, los servicios del servidor solicitados por el cliente.
  • 72.
    Designadores Normalmente, el sistema operativo proporcionará diferentes opciones para acceder al directorio cuando necesite acceder a un directorio compartido y tenga los correspondientes permisos para realizarlo. Por ejemplo, con Windows NT/2000, podría utilizar el icono Conectar a unidad de red del Explorador de Windows NT/2000 para conectarse a la unidad de red. También, puede asignar una unidad. La asignación de unidades consiste en asignar una letra o nombre a una unidad de disco, de forma que el sistema operativo o el servidor de la red puede identificarla y localizarla. El redirector también realiza un seguimiento de los designadores de unidades asociados a recursos de red. Periféricos Los redirectores pueden enviar peticiones a los periféricos, al igual que se envían a los directorios compartidos. La petición se redirige desde el equipo origen y se envía a través de la red al correspondiente destino. En este caso, el destino es el servidor de impresión para la impresora solicitada. Con el redirector, podemos referenciar como LPT1 o COM1 impresoras de red en lugar de impresoras locales. El redirector intercepta cualquier trabajo de impresión dirigido a LPT1 y lo envía a la impresora de red especificada. La utilización del redirector permite a los usuarios no preocuparse ni de la ubicación actual de los datos o periféricos ni de la complejidad del proceso de conexión o entrada. Por ejemplo, para acceder a los datos de un ordenador de red, el usuario sólo necesita escribir el designador de la unidad asignado a la localización del recurso y el redirector determina el encaminamiento actual. Software de servidor El software de servidor permite a los usuarios en otras máquinas, y a los equipos clientes, poder compartir los datos y periféricos del servidor incluyendo impresoras, trazadores y directorios. Si un usuario solicita un listado de directorios de un disco duro remoto compartido. El redirector envía la petición por la red, se pasa al servidor de archivos que contiene el directorio compartido. Se concede la petición y se proporciona el listado de directorios. Compartir recursos Compartir es el término utilizado para describir los recursos que públicamente están disponibles para cualquier usuario de la red. La mayoría de los sistemas operativos de red no sólo permiten compartir, sino también determinar el grado de compartición. Las opciones para la compartición de recursos incluyen: Permitir diferentes usuarios con diferentes niveles de acceso a los recursos. Coordinación en el acceso a los recursos asegurando que dos usuarios no utilizan el mismo recurso en el mismo instante. Por ejemplo, un administrador de una oficina quiere que una persona de la red se familiarice con un cierto documento (archivo), de forma que permite compartir el documento. Sin embargo, se controla el acceso al documento compartiéndolo de forma que: Algunos usuarios sólo podrán leerlo. Algunos usuarios podrán leerlo y realizar modificaciones en él. Gestión de usuarios Los sistemas operativos de red permiten al administrador de la red determinar las personas, o grupos de personas, que tendrán la posibilidad de acceder a los recursos de la red. El administrador de una red puede utilizar el Sistema Operativo de Red para:
  • 73.
    Crear permisos deusuario, controlados por el sistema operativo de red, que indican quién puede utilizar la red. Asignar o denegar permisos de usuario en la red. Eliminar usuarios de la lista de usuarios que controla el sistema operativo de red. Para simplificar la tarea de la gestión de usuarios en una gran red, el sistema operativo de red permite la creación de grupos de usuarios. Mediante la clasificación de los individuos en grupos, el administrador puede asignar permisos al grupo. Todos los miembros de un grupo tendrán los mismos permisos, asignados al grupo como una unidad. Cuando se une a la red un nuevo usuario, el administrador puede asignar el nuevo usuario al grupo apropiado, con sus correspondientes permisos y derechos. Gestión de la red Algunos sistemas operativos de red avanzados incluyen herramientas de gestión que ayudan a los administradores a controlar el comportamiento de la red. Cuando se produce un problema en la red, estas herramientas de gestión permiten detectar síntomas de la presencia del problema y presentar estos síntomas en un gráfico o en otro formato. Con estas herramientas, el administrador de la red puede tomar la decisión correcta antes de que el problema suponga la caída de la red. Selección de un sistema operativo de red El sistema operativo de red determina estos recursos, así como la forma de compartirlos y acceder a ellos. En la planificación de una red, la selección del sistema operativo de red se puede simplificar de forma significativa, si primero se determina la arquitectura de red (cliente/servidor o Trabajo en Grupo) que mejor se ajusta a nuestras necesidades. A menudo, esta decisión se basa en los tipos de seguridad que se consideran más adecuados. La redes basadas en servidor le permiten incluir más posibilidades relativas a la seguridad que las disponibles en una red Trabajo en Grupo. Por otro lado, cuando la seguridad no es una propiedad a considerar, puede resultar más apropiado un entorno de red Trabajo en Grupo. Después de identificar las necesidades de seguridad de la red, el siguiente paso es determinar los tipos de interoperabilidad necesaria en la red para que se comporte como una unidad. Cada sistema operativo de red considera la interoperabilidad de forma diferente y, por ello, resulta muy importante recordar nuestras propias necesidades de interoperabilidad cuando se evalúe cada Sistema Operativo de Red. Si la opción es Trabajo en Grupo, disminuirán las opciones de seguridad e interoperabilidad debida a las limitaciones propias de esta arquitectura. Si la opción seleccionada se basa en la utilización de un servidor, es necesario realizar estimaciones futuras para determinar si la interoperabilidad va a ser considerada como un servicio en el servidor de la red o como una aplicación cliente en cada equipo conectado a la red. La interoperabilidad basada en servidor es más sencilla de gestionar puesto que, al igual que otros servicios, se localiza de forma centralizada. La interoperabilidad basada en cliente requiere la instalación y configuración en cada equipo. Esto implica que la interoperabilidad sea mucho más difícil de gestionar. No es raro encontrar ambos métodos (un servicio de red en el servidor y aplicaciones cliente en cada equipo) en una misma red. Por ejemplo, un servidor NetWare, a menudo, se implementa con un servicio para los equipos Apple, mientras que la interoperabilidad de las redes de Microsoft Windows se consigue con una aplicación cliente de red en cada equipo personal. Cuando se selecciona un sistema operativo de red, primero se determinan los servicios de red que se requieren. Los servicios estándares incluyen seguridad, compartición de archivos, impresión y mensajería; los servicios adicionales incluyen soporte de interoperabilidad para conexiones con otros sistemas operativos. Para cualquier Sistema Operativo de Red, es necesario determinar los servicios de interoperabilidad o clientes de red a implementar para adecuarse mejor a las necesidades. Los sistemas operativos de red basados en servidor más importantes son Microsoft Windows NT 4, Windows 2000 Server y Novell NetWare 3.x, 4.x y 5.x. Los sistemas operativos de red Trabajo en Grupo más importantes son AppleTalk, Windows 95 y 98 y UNIX (incluyendo Linux y Solaris). Sistemas operativos de Novell
  • 74.
    Introducción a NetWare El sistema operativo de red NetWare está formado por aplicaciones de servidor y cliente. La aplicación cliente se diseña para ejecutarse sobre una variedad importante de los sistemas operativos que residen en los clientes. Los usuarios clientes pueden acceder a la aplicación servidor a partir de ordenadores que ejecuten MS-DOS, Microsoft Windows (versiones 3.x, 95 y 98 y Windows NT), OS/2, Apple Talk o UNIX. A menudo, NetWare es la opción que se utiliza como sistema operativo en entornos de múltiples sistemas operativos mezclados. La versión 3.2 de NetWare es un Sistema Operativo de Red de 32 bits que admite entornos Windows (versiones 3.x, 95 y 98 y Windows NT), UNIX, Mac OS y MS-DOS. Con la versión NetWare 4.11, también denominada IntranetWare, Novell introdujo su nuevo Sistema Operativo de Red, los Servicios de directorios de Novell (NDS). La versión 5, última versión distribuida, se centra en la integración de LAN, WAN, aplicaciones de red, intranets e Internet en una única red global. Los Servicios de directorios de Novell (NDS) proporcionan servicios de nombre y seguridad, encaminamiento, mensajería, publicación Web y servicios de impresión y de archivos. Mediante la utilización de la arquitectura de directorios X.500, organiza todos los recursos de red, incluyendo usuarios, grupos, impresoras, servidores y volúmenes. NDS también proporciona una entrada única para el usuario, que permite a éste poder entrar en cualquier servidor de la red y tener acceso a todos sus permisos y derechos habituales. Otros Sistema Operativo de Red proporcionan software de cliente para la interoperabilidad con servidores NetWare. Por ejemplo, Windows NT proporciona Servicios de enlace para NetWare (Gateway Services GSNW). Con este servicio, un servidor Windows NT puede obtener acceso a servicios de archivo e impresión NetWare. Servicios NetWare Con el Cliente NetWare instalado, cualquier estación cliente puede obtener todas las ventajas de los recursos proporcionados por un servidor NetWare. Algunos de los servicios más importantes que proporciona, son: Servicios de archivos Los servicios de archivos de NetWare forman parte de la base de datos NDS. NDS proporciona un único punto de entrada para los usuarios y permite a los usuarios y administradores ver de la misma forma los recursos de la red. Dependiendo del software de cliente instalado, podrá ver la red completa en un formato conocido para el sistema operativo de la estación de trabajo. Por ejemplo, un cliente Microsoft Windows puede asignar una unidad lógica a cualquier volumen o directorio de un servidor de archivos de NetWare, de forma que los recursos de NetWare aparecerán como unidades lógicas en sus equipos. Estas unidades lógicas funcionan igual que cualquier otra unidad en sus equipos. Seguridad NetWare proporciona seguridad de gran alcance, incluyendo: Seguridad de entrada. Proporciona verificación de autenticación basada en el nombre de usuario, contraseña y restricciones de cuentas y de tiempo. Derechos de Trustee. Controla los directorios y archivos a los que puede acceder un usuario y lo que puede realizar el usuario con ellos. Atributos de archivos y directorios. Identifica los tipos de acciones que se pueden llevar a cabo en un archivo (visualizarlo, escribir en él, copiarlo, buscarlo u ocultarlo o suprimirlo). Servicios de impresión Los servicios de impresión son transparentes (invisibles) al usuario de un equipo cliente. Cualquier petición de impresión por parte de un cliente es redirigida al servidor de archivos, donde se envía al servidor
  • 75.
    de impresión y,finalmente, a la impresora. El mismo equipo puede actuar como servidor de archivos y servidor de impresión. Permite compartir dispositivos de impresión que se conectan al servidor, a la estación de trabajo o, directamente, a la red por medio de las propias tarjetas de red (NIC) de los dispositivos. Los servicios de impresión de NetWare pueden admitir hasta 256 impresoras. Envío de mensajes a otros Por medio de algunos comandos sencillos, los usuarios pueden enviar un breve mensaje a otros usuarios de la red. Los mensajes se pueden enviar a grupos o de forma individual. Si todos los receptores pertenecen al mismo grupo, es conveniente enviar el mensaje al grupo en lugar de enviarlo de forma individual. Los usuarios también pueden activar o desactivar este comando para sus estaciones de trabajo. Cuando un usuario desactiva este comando, no recibirá ningún mensaje enviado. Los mensaje también se pueden controlar a través del Servicio de control de mensajes (Message Handling Service – MHS). MHS se puede instalar en cualquier servidor y configurarse como una infraestructura de mensajes completamente interconectada para una distribución de correo electrónico. MHS admite los programas más habituales de correo electrónico. Interoperabilidad No siempre se puede conseguir la interoperabilidad completa de un Sistema Operativo de Red. Es especialmente cierta cuando se conectan dos redes diferentes, como NetWare y Windows NT. Un entorno NetWare, caracterizado por sus servicios de directorio y Windows NT que trabaja sobre la base de un modelo de dominio, son esencialmente incompatibles. Para solucionar este problema, Windows NT desarrolló NWLink y GSNW que le permiten interoperar. Estos servicios permiten a un servidor en una red Windows NT actuar como un enlace a la red NetWare. Cualquier estación en la red Windows NT puede solicitar recursos o servicios disponibles en la red NetWare, pero deben realizar la petición a través del servidor Windows NT. A continuación, el servidor actuará como cliente en la red NetWare, pasando las peticiones entre las dos redes. Sistemas operativos de red de Microsoft Introducción a Windows NT A diferencia del sistema operativo NetWare, Windows NT combina el sistema operativo del equipo y de red en un mismo sistema. Windows NT Server configura un equipo para proporcionar funciones y recursos de servidor a una red, y Windows NT Workstation proporciona las funciones de cliente de la red. Windows NT trabaja sobre un modelo de dominio. Un dominio es una colección de equipos que comparten una política de seguridad y una base de datos común. Cada dominio tiene un nombre único. Dentro de cada dominio, se debe designar un servidor como Controlador principal de dominio (PDC, Primary Domain Controller). Este servidor mantiene los servicios de directorios y autentifica cualquier usuario que quiera entrar en el sistema. Los servicios de directorios de Windows NT se pueden implementar de varias formas utilizando la base de datos de seguridad y de las cuentas. Existen cuatro modelos de dominio diferentes. Dominio único. Un único servidor mantiene la base de datos de seguridad y de las cuentas. Maestro único. Una red con maestro único puede tener diferentes dominios, pero se designa uno como el maestro y mantiene la base de datos de las cuentas de usuario. Maestro múltiple. Una red con maestro múltiple incluye diferentes dominios, pero la base de datos de las cuentas se mantiene en más de un servidor. Este modelo se diseña para organizaciones muy grandes. Confianza-completa. «Confianza completa» significa que existen varios dominios, pero ninguno está designado como maestro. Todos los dominios confían completamente en el resto. Servicios de Windows NT
  • 76.
    Los servicios másimportantes que Windows NT Server y Workstation proporcionan a una red: Servicios de archivos Existen dos mecanismos que permiten compartir archivos en una red Windows NT. El primero se basa en un proceso sencillo de compartición de archivos, como puede ser una red Trabajo en Grupo. Cualquier estación o servidor puede publicar un directorio compartido en la red y especificar los atributos de los datos (sin acceso, lectura, agregar, cambio, control total). La gran diferencia entra los sistemas operativos Windows NT y Windows 95 /98 es que para compartir un recurso de Windows NT debe tener permisos de administrador. El siguiente nivel de compartición obtiene las ventajas completas de las características de seguridad de Windows NT. Puede asignar permisos a nivel de directorio y a nivel de archivos. Esto le permite restringir el acceso a grupos o usuarios determinados. Para poder obtener las ventajas de un proceso de compartición de archivos más avanzado, es necesario utilizar el sistema de archivos de Windows NT (NTFS). Durante la instalación de Windows NT, puede seleccionar entre un sistema de archivos NTFS o un sistema FAT-16 bits (MS-DOS). Puede instalar ambos sistemas sobre unidades fijas diferentes o sobre particiones distintas de un mismo disco duro, pero cuando el equipo esté trabajando en modo MS-DOS, no estarán disponibles los directorios de NTFS. Cualquier cliente que no utilice NTFS puede compartir la red, pero está limitado para publicar recursos compartidos y no puede utilizar las ventajas de las utilidades de seguridad de NTFS. Seguridad Al igual que los Sistema Operativo de Red más importantes, Windows NT proporciona seguridad para cualquier recurso de la red. El servidor de dominio en una red Windows NT mantiene todos los registros de las cuentas y gestiona los permisos y derechos de usuario. Para acceder a cualquier recurso de la red, el usuario debe tener los derechos necesarios para realizar la tarea y los permisos adecuados para utilizar el recurso. Impresión En una red Windows NT, cualquier servidor o cliente puede funcionar como servidor de impresión. Compartir una impresora de red implica que esté disponible para cualquier usuario de red (sujeto a las reglas de compartición). Cuando se instala una impresora, primero se pregunta si la impresora está designada como impresora local (Mi PC) o como impresora de red. Si se selecciona como impresora de red, aparece un cuadro de diálogo mostrando todas las impresoras de red disponibles. Todo lo que tiene que hacer es seleccionar aquella que desea utilizar. Recuerde que puede instalar más de una impresora en una máquina. Además, si está instalando una impresora local, se preguntará si quiere compartir la impresora con otros usuarios de la red. Servicios de red Windows NT proporciona diferentes servicios de red que ayudan a facilitar una red de ejecución uniforme. Algunos servicios son: Servicio de mensajería. Monitoriza la red y recibe mensajes emergentes para el usuario. Servicio de alarma. Envía las notificaciones recibidas por el servicio de mensajería. Servicio de exploración. Proporciona una lista de servidores disponibles en los dominios y en los grupos de trabajo. Servicio de estación. Se ejecuta sobre una estación de trabajo y es responsable de las conexiones con el servidor. Además, se conoce como el redirector. Servicio de Servidor. Proporciona acceso de red a los recursos de un equipo. Interoperabilidad El protocolo de red NWLink se diseña para que Windows NT sea compatible con NetWare. Los servicios disponibles son:
  • 77.
    Servicios de enlacepara NetWare (Gateway Services for NetWare GSNW). Todos los clientes de Windows NT, dentro de un dominio, deben conectarse con un servidor NetWare a través de una única fuente. GSNW proporciona la conexión basada en gateway entre un dominio de Windows NT y un servidor NetWare. Esto funciona correctamente en condiciones de bajo volumen, pero provocará una bajada en el rendimiento cuando se incremente el número de peticiones. Servicios de cliente para NetWare (Client Services for NetWare CSNW). Este servicio activa una estación Windows NT para acceder a los servicios de archivo e impresión de un servidor NetWare. Se incluye como parte de GSNW. Servicios de archivos e impresión para NetWare (File and Print Services for NetWare FPNW). Esta utilidad permite a los clientes de NetWare acceder a los servicios de archivo e impresión de Windows NT. No forma parte del paquete de Windows NT y debe adquirirse por separado. Gestor de los servicios de directorio para NetWare (Directory Service Manager for NetWare DSMN). Esta utilidad adicional integra la información de cuentas de los grupos y de usuarios de Windows NT y NetWare. No forma parte del paquete de Windows NT y debe adquirirse por separado. Herramienta de migración para NetWare. Esta herramienta la utilizan los administradores que están convirtiendo NetWare en Windows NT. Envía la información de las cuentas de un servidor NetWare a un controlador de dominio de Windows NT. Otros sistemas operativos de red Aunque Windows NT y NetWare constituyen los sistemas operativos de red más habituales del mercado, no son los únicos disponibles. Incluir también algunos de los sistemas operativos menos conocidos como AppleTalk, Unix y Banyan Vines. Además, veremos la utilización de Windows para Grupos de trabajo, Windows 95 y Windows 98 para configurar redes Trabajo en Grupo, o como clientes en otras redes. Muchas compañías de software han desarrollado software LAN Trabajo en Grupo. Realizar una búsqueda en Internet le ayudará a localizar estas posibles opciones. Sistema operativo de red AppleTalk El sistema operativo de red AppleTalk está completamente integrado en el sistema operativo de cada equipo que ejecuta el Mac OS. Su primera versión, denominada LocalTalk, era lenta en comparación con los estándares de hoy en día, pero trajo consigo la interconexión de los usuarios que rápidamente hicieron uso de ella. Todavía forma parte del Apple Sistema Operativo de Red una forma de interconexión por el puerto de serie de LocalTalk. La implementación actual de AppleTalk permite posibilidades de interconexión Trabajo en Grupo de alta velocidad entre equipos Apple, así como interoperabilidad con otros equipos y sistemas operativos de red. No obstante, esta interoperabilidad no forma parte, obviamente, del sistema operativo de Apple; En su lugar, los usuarios de equipos distintos de Apple pueden conectar más fácilmente sus recursos a un sistema operativo de red de Apple mediante Apple IP, la implementación Apple del protocolo de red TCP/IP. Apple IP permite a usuarios no Apple acceder a los recursos de Apple, como pueden ser archivos de bases de datos. Los equipos que forman parte del sistema operativo en red de Apple pueden conectarse a otras redes utilizando servicios proporcionados por los fabricantes de los Sistema Operativo de Red que se están ejecutando en los correspondientes servidores de red. Toda la comunidad Windows NT Server, Novell NetWare y Linux proporcionan servicios de interoperabilidad Apple para sus respectivas plataformas. Esto permite a los usuarios de Apple, conectados en red, hacer uso de los recursos disponibles en estos servidores de red. El formato de los servicios de directorio de AppleTalk se basa en las características denominadas «zonas». Se trata de grupos lógicos de redes y recursos (una red Apple Talk Fase 1 está formada por no más de una zona, mientras que una red de Fase 2 puede tener hasta 255 zonas. Sin embargo, las dos son incompatibles y no resulta sencillo mantenerlas en la misma estructura de cableado de red). Estas zonas proporcionan un medio de agrupamiento de los recursos de una red en unidades funcionales. En el entorno actual de escritorio, los usuarios de Windows y Apple pueden beneficiarse de un alto grado de interoperabilidad presente en el software de aplicaciones. Las colecciones de productividad (aplicaciones estándar, por ejemplo, hojas de cálculo, bases de datos, tratamiento de textos y correo electrónico) pueden,
  • 78.
    a menudo, intercambiarinformación directamente. AppleShare permite a los usuarios de un equipo Apple compartir con otros usuarios Apple aquellos recursos para los que tienen asignados los permisos apropiados para permitir su acceso. Con la interoperabilidad a nivel de sistema operativo y a nivel de aplicación, el Sistema Operativo de Red de Apple puede proporcionar a los clientes, y a otros Sistema Operativo de Red, una gama completa de posibilidades de interconexión. Redes UNIX UNIX es un sistema operativo de propósito general, multiusuario y multitarea. La dos versiones más conocidas son Linux y Solaris de Sun Microsystem. Normalmente, un sistema UNIX está constituido por un equipo central y múltiples terminales para los usuarios. Este sistema operativo incluye las prestaciones de red, diseñado específicamente para grandes redes, pero también presenta algunas aplicaciones para equipos personales. UNIX trabaja bien sobre un equipo autónomo y, como consecuencia de sus posibilidades de multitarea, también lo hace perfectamente en un entorno de red. UNIX es altamente adaptable al entorno cliente/servidor. Se puede transformar en un servidor de archivos instalando el correspondiente software del servidor de archivos. A continuación, como host UNIX, puede responder a peticiones realizadas en las estaciones de trabajo. El software del servidor de archivos es, simplemente, una aplicación más que se está ejecutando en el equipo multitarea. Un cliente de un host UNIX puede ser otro equipo UNIX o cualquier otro equipo que ejecute MS-DOS, OS/2, Microsoft Windows o Macintosh (System 7 u 8). Un redirector de archivos activará la estación para almacenar y recuperar archivos UNIX cuando éstos están en su formato original. Servicios virtuales de red integrados Banyan (Vines) Otro sistema de conexión es el Servicio virtual de red integrados Banyan (Vines). Vines es un Sistema Operativo de Red basado en una arquitectura cliente/servidor derivado de los protocolos Xerox Network System (XNS) de la Corporación Xerox. En la versión actual de Banyan Vines destaca la mensajería mediante la integración con el software Intelligent Messaging (Mensajería inteligente) y BeyondMail de Banyan. La creación y gestión de los servicios de red se realizan a través de la última versión de StreetTalk Explorer de Banyan. Esta interfaz trabaja con los perfiles de usuario de Windows, aceptando las configuraciones de los usuarios en cualquier parte de la red. Algunas características presentes en Vines: Soporte cliente para Windows NT y Windows 95 y 98. Banyan Intranet Connect, que proporciona acceso a cliente remoto con un navegador Web estándar. Software servidor a servidor TCP/IP (Protocolo de control de transmisión/Protocolo de Internet). Banyan Networker, una familia de productos de almacenamiento en red. Soporte multiprocesador de hasta cuatro procesadores. Redes locales Trabajo en Grupo En muchas oficinas y pequeñas empresas existe la necesidad de crear una red Trabajo en Grupo sencilla. Una red Trabajo en Grupo podría ser la opción más económica cuando la seguridad no es importante y el número de equipos dentro de un área relativamente pequeña es 10 o un número menor. En estas redes todas las estaciones son iguales y cada una de ellas actúa como servidor o cliente. En muchos casos, estas redes compartirán sólo los archivos e impresoras. La mayoría de los sistemas operativos de red incluyen el software necesario para configurar una red Trabajo en Grupo. Windows para Grupos de trabajo Windows para Grupos de trabajo (Windows 3.11) funciona de forma muy similar a su predecesor, Windows 3.1, pero incluye un Sistema Operativo de Red Trabajo en Grupo, una aplicación de correo electrónico y una aplicación de anotaciones. Un grupo de equipos conectados a través de una red pueden compartir impresoras y archivos. Sólo se pueden enviar a otros miembros aquellos elementos que aparezcan
  • 79.
    designados como compartidos.Todos los archivos e impresoras aparecen ocultos para todos los usuarios, excepto para el equipo local. Cuando se comparte un directorio del disco o una impresora de una estación de trabajo, se le asigna un nombre al recurso compartido que pueden utilizar el resto de usuarios para referenciarlo. Durante el proceso de conexión se asigna una letra de unidad al directorio compartido y el redirector redirige el puerto LPT a través de la LAN a la impresora correcta. Aunque todavía se utiliza Windows para Grupos de trabajo, resulta prácticamente imposible que se requieran sus servicios para instalar una nueva red utilizando este sistema operativo. Windows 95/98/ME Los sistemas operativos Windows 95/98/ME incluyen el software necesario para crear una red Trabajo en Grupo y activar la compartición de archivos e impresoras. Los equipos que ejecutan Windows 95 y 98 también trabajarán como clientes en una LAN Windows NT o NetWare. Tendrá que instalar el software de cliente (generador de peticiones) correspondiente. Los usuarios de Windows 95 y 98 no pueden utilizar las ventajas completas que proporciona Windows NT con respecto a las características de seguridad. Estas características requieren la utilización del formato de archivos NTFS que no es compatible con Windows 95 y 98. Warp Connect Warp Connect combina OS/2 Warp y las posibilidades de interconexión Trabajo en Grupo de WIN-OS/2. Proporciona posibilidades de interconexión a nivel de cliente y Trabajo en Grupo similares a las que proporciona Windows para Grupos de trabajo. Con la utilidad predefinida de conexión Trabajo en Grupo incluida en Warp Connect, puede compartir aplicaciones, impresoras, módems y archivos, sin necesidad de instalar hardware especial. Sistemas operativos de red en entornos multiplataforma Normalmente, los Sistema Operativo de Red tienen que integrar los productos hardware y software fabricados por diferentes fabricantes. Las propiedades y problemas a tener en cuenta en una red multiplataforma, son: El entorno multiplataforma Hoy en día, la mayoría de la redes se encuentran un entornos multiplataforma. A pesar de que pueden plantear retos importantes, funcionan correctamente cuando se implementan y se planifican de forma apropiada. El carácter de una red cambia cuando los componentes software de diferentes plataformas deben operar en la misma red. Los problemas pueden aumentar cuando la red está ejecutando más de un tipo de sistema operativo de red. Para que una red funcione de forma apropiada en un entorno de trabajo heterogéneo, deben ser compatibles el redirector, el sistema operativo del servidor y del cliente. En un entorno multiplataforma, es necesario encontrar un lenguaje común que permita a todos los equipos comunicarse. Implementación de soluciones multiplataforma Garantizar la interoperabilidad en entornos multiplataforma se puede conseguir a nivel de servidor (también conocido como el «final de regreso») o a nivel de cliente (también conocido como el «final de inicio»). La opción depende de los fabricantes que se estén utilizando. Interoperabilidad de cliente
  • 80.
    En las situacionesque se incluyen múltiples Sistema Operativo de Red, el redirector se convierte en la clave de la interoperabilidad. Sólo cuando se utiliza más de un proveedor de servicios telefónicos para comunicarse con diferente gente, se tiene que el equipo puede tener más de un redirector para comunicarse a través de la red con servidores de red distintos. Cada redirector maneja sólo los paquetes enviados en el lenguaje o protocolo que puede entender. Si conoce el destino y el recurso al que se quiere acceder, puede implementar el redirector apropiado y éste reenviará su petición al destino adecuado. Si un cliente Windows NT necesita acceder al servidor Novell, para conseguirlo, el administrador de la red carga el redirector de Microsoft, instalado en el cliente, sobre Windows NT para el acceso a los servidores Novel. lnteroperabilidad del servidor La segunda forma de implementar la comunicación entre un cliente y un servidor es instalar los servicios de comunicaciones en el servidor, enfoque utilizado para incluir un Apple Macintosh en un entorno Windows NT. Microsoft suministra los Servicios para Macintosh. Este software permite a un servidor Windows NT Server comunicarse con el cliente Apple. Gracias a esta interoperabilidad, un usuario Macintosh puede seguir el procedimiento estándar de un Macintosh y visualizar los iconos propios del sistema, como puede ser Chooser and Finder, incluso cuando el usuario está accediendo a los recursos de Windows NT Server. Opciones de fabricantes Los tres fabricantes más importantes de productos de redes son: Microsoft. Novell. Apple. Cada una de estas plataformas proporcionan utilidades que: Hacen posible que sus sistemas operativos se puedan comunicar con servidores de las otras dos plataformas. Ayudan a sus servidores a reconocer clientes de las otras dos plataformas. Microsoft Microsoft ha desarrollado un redirector que reconoce redes Microsoft dentro de los siguientes sistemas operativos de Microsoft: Windows NT/2000 Windows 95/98/ME. Windows para Grupos de trabajo. Los redirectorios se implementan, de forma automática, durante la instalación del sistema operativo. Una utilidad de instalación carga los controladores requeridos y, a continuación, edita los archivos de inicio, de forma que el redirector se active la próxima vez que el usuario encienda el equipo. El software redirector de Microsoft no sólo permite a los clientes acceder a los recursos, sino también proporciona cada cliente Windows para Grupos de trabajo y Windows NT con la posibilidad de compartir sus propios recursos. Microsoft en un entorno Novell. Los productos Microsoft y Novell pueden trabajar juntos.
  • 81.
    Para conectar uncliente con Windows NT Workstation a una red Novell NetWare 3.x o 4.x se requiere NWLink y Servicio de Cliente para NetWare (CSNW) o el Cliente NetWare de Novell para Windows NT. Para conectar un servidor Windows NT Server a una red NetWare se requiere NWLink y el Servicio de Enlace para NetWare (GSNW). NWLink es la implementación de Microsoft del protocolo de intercambio de paquetes entre redes/Intercambio de paquetes secuenciados (IPX/SPX). CSNW es la implementación en Microsoft de un generador de peticiones de NetWare (terminología para el redirector en Novell). Para conectar un cliente Windows 95 o 98 a una red NetWare se requiere IPX/SPX y redes CSNW de Microsoft. El Servicio de Microsoft para los Servicios de directorios de Novell (NDS) es el software de cliente para NetWare que incorpora soporte para Novell Network 4.x y Servicios de Directorios 5.x. Microsoft NDS proporciona a los usuarios con entrada y exploración soporte para servicios de enlace en NetWare 3.x y NetWare 4.x como servidores NDS NetWare 4.x y 5.x. Clientes basados en MS-DOS. Los fabricantes de los sistemas operativos de servidor ofrecen utilidades que permiten a los clientes que utilizan MS-DOS, acceder a los servidores de estos tres fabricantes. Todas estas utilidades pueden residir en una máquina, de forma que el cliente con MS-DOS puede acceder a los servidores correspondientes de los tres entornos. Novell Los servidores Novell reconocen los siguientes clientes para los servicios de archivos e impresión. Los clientes NetWare que ejecutan MS-DOS pueden conectarse a: Servidores NetWare de Novell. Equipos con Windows NT Server. Los clientes Windows NT que ejecutan el generador de peticiones de NetWare y el redirector de Windows NT pueden conectarse a: Servidores NetWare de Novell. Equipos con Windows NT Server y Windows NT Workstation. Novell proporciona generadores de peticiones para sistemas operativos de clientes incluyendo: MS-DOS. OS/2. Cliente NetWare para Windows NT. Apple En el entorno de Macintosh, el redirector para la conexión AppleShare se incluye con el sistema operativo AppleTalk y proporciona la función de compartir archivos. El software de cliente se incluye con cada copia del sistema operativo de Apple. Además, se incluye un servidor de impresión de AppleShare, que gestiona las colas de impresión. Por tanto, tenemos que los Macintosh están equipados para formar parte de la redes Apple. Cliente basado en MS-DOS. El software de conexión AppleShare ofrece a los clientes que utilizan MS- DOS acceso a los servidores de archivos e impresión de AppleShare. Con el software de ordenador personal LocalTalk y una tarjeta de equipo personal LocalTalk instalada en los equipos, los usuarios pueden acceder a los volúmenes (almacenamiento de archivos) del servidor de archivos e impresoras de una red AppleTalk. La tarjeta de equipo personal LocalTalk controla el enlace entre la red AppleTalk y el equipo personal. El software del controlador LocalTalk para el equipo personal implementa muchos de los protocolos de AppleTalk e interactúa con la tarjeta para enviar y recibir paquetes. Servicios para Macintosh. A través de los Servicios para Macintosh, un servidor Windows NT puede estar disponible para los clientes Macintosh. Este producto hace posible que los clientes de MS-DOS y Macintosh puedan compartir archivos e impresoras. Los Servicios para Macintosh incluyen las versiones 2.0 y
  • 82.
    2.1 de AppleTalk Protocol, LocalTalk, Ether Talk, Token Talk y FDDITalk. Además, los Servicios para Macintosh admiten la impresora LaserWriter versión 5.2 o posterior. SISTEMAS OPERATIVOS DE RED Los sistemas operativos de red, además de incorporar herramientas propias de un sistema operativo como son por ejemplo las herramientas para manejo de ficheros y directorios, incluyen otras para el uso, gestión y mantenimiento de la red, así como herramientas destinadas a correo electrónico, envío de emnsajes, copia de ficheros entre nodos, ejecución de aplicaciones contenidas en otras máquinas, compartición de recursos hardware etc. Existen muchos sistemas operativos capaces de gestionar una red dependiente de las arquitecturas de las máquinas que se utilicen. Los más comunes son : Novell, Lantastic, Windows 3.11 para trabajo en grupo, Unix, Linux, Windows 95, Windows NT, OS/2... Cada sistema operativo ofrece una forma diferente de manejar la red y utiliza diferentes protocolos para la comunicación. Sin el software una computadora es en esencia una masa metálica sin utilidad. Con el software, una computadora puede almacenar, procesar y recuperar información, encontrar errores de ortografía e intervenir en muchas otras valiosas actividades para ganar el sustento. El software para computadoras puede clasificarse en general, en 2 clases: los programas de sistema, que controlan la operación de la computadora en sí y los programas de aplicación, los cuales resuelven problemas para sus usuarios. El programa fundamental de todos los programas de sistema, es el Sistema Operativo, que controla todos los recursos de la computadora y proporciona la base sobre la cual pueden escribirse los programas de aplicación. Servicios de los sistemas operativos Tipos de servicios · Ejecución de programas. El sistema tiene que ser capaz de cargar un programa en memoria y ejecutarlo. · Operaciones de entrada/salida. Como un programa no puede acceder directamente a un dispositivo de E/S el sistema operativo debe facilitarle algunos medios para realizarlo.
  • 83.
    · Manipulación del sistema de archivos. El sistema operativo debe facilitar las herramientas necesarias para que los programas puedan leer, escribir y eliminar archivos. · Detección de errores. El sistema operativo necesita constantemente detectar posibles errores. Los errores pueden producirse en la CPU y en el hardware de la memoria, en los dispositivos de E/S o bien en el programa de usuario. Para cada tipo de error, el sistema operativo debe adoptar la iniciativa apropiada que garantice una computación correcta y consistente. Funciones de Manejo Uno de los módulos más importantes de un sistema operativo es la de administrar los procesos y tareas del sistema de cómputo. Para realizar esto el sistema operativo ocupa la multiprogramación, este es un método para incrementar el empleo de la CPU disponiendo en todo momento de algo que la CPU pueda ejecutar. El trabajo que se realiza es el siguiente, cuando un proceso deja libre la CPU para realizar una E/S, el sistema operativo cambia a otro trabajo y lo ejecuta. Cuando este último deba esperar. CÓMO FUNCIONA UNA RED Se puede pensar por un momento en el servicio de correos. Cuando alguien desea mandar una carta a otra persona, la escribe, la mete en un sobre con el formato impuesto por correos, le pone un sello y la introduce en un buzón; la carta es recogida por el cartero, clasificada por el personal de correos, según su destino y enviada a través de medios de transporte hacia la ciudad destino; una vez allí otro cartero irá a llevarla a la dirección indicada en el sobre; si la dirección no existe, al cabo del tiempo la carta devolverá al origen por los mismos cauces que llegó al supuesto destino. Más o menos, esta es la forma en que funciona una red : la carta escrita es la información que se quiere transmitir; el sobre y sello es el paquete con el formato impuesto por el protocolo que se utiliza en la transmisión; la dirección del destinatario es la dirección del nodo destino y la dirección del remitente, será la dirección del nodo origen, los medios de transporte que llevan la carta cerca del destino es el medio de transmisión (cable coaxial,
  • 84.
    fibra óptica …);las normas del servicio de correos, carteros y demás personal son los protocolos de comunicaciones establecidos. Si se supone que se está utilizando el modelo OSI de la ISO. Este modelo tiene 7 niveles, es como decir que la carta escrita pasa por 7 filtros diferentes (trabajadores con diferentes cargos) desde que la ponemos en el buzón hasta que llega al destino. Cada nivel de esta torre se encarga de realizar funciones diferentes en la información a transmitir. Cada nivel por el que pasa la información a transmitir que se ha insertado en un paquete, añade información de control, que el mismo nivel en el nodo destino irá eliminando. Además se encarga de cosas muy distintas: desde el control de errores, hasta la reorganización de la información transmitida cuando esta se ha fragmentado en tramas. Si la información va dirigida a una red diferente (otra ciudad en el caso de la carta), la trama debe llegar a un dispositivo de interconexión de redes (router, gateway, bridges), que decidirá, dependiendo de su capacidad, el camino que debe seguir la trama. Por eso es imprescindible que el paquete lleve la dirección destino y que esta contenga, además de la dirección que identifica al nodo, la dirección que identifica la red a la que pertenece el nodo. TOPOLOGÍA DE UNA RED La topología de una red define únicamente la distribución del cable que interconecta los diferentes ordenadores, es decir, es el mapa de distribución del cable que forma la intranet. Define cómo se organiza el cable de las estaciones de trabajo. A la hora de instalar una red, es importante seleccionar la topología más adecuada a las necesidades existentes. Hay una serie de factores a tener en cuenta a la hora de decidirse por una topología de red concreta y son : · La distribución de los equipos a interconectar. · El tipo de aplicaciones que se van a ejecutar. · La inversión que se quiere hacer.
  • 85.
    · El coste que se quiere dedicar al mantenimiento y actualización de la red local. · El tráfico que va a soportar la red local. · La capacidad de expansión. Se debe diseñar una intranet teniendo en cuenta la escalabilidad. No se debe confundir el término topología con el de arquitectura. La arquitectura de una red engloba : · La topología. · El método de acceso al cable. · Protocolos de comunicaciones. Actualmente la topología está directamente relacionada con el método de acceso al cable, puesto que éste depende casi directamente de la tarjeta de red y ésta depende de la topología elegida. FUNCIONAMIENTO DE TCP/IP Una red TCP/IP transfiere datos mediante el ensamblaje de bloques de datos en paquetess conteniendo : · La información a transmitir. · La dirección IP del destinatario. · La dirección IP del remitente. · Otros datos de control. PROTOCOLO IP
  • 86.
    Se trata deun protocolo a nivel de red cuyas principales caraterísticas son: · Ofrece un servicio no orientado a la conexión; esto significa que cada trama en la que ha sido dividido un paquete es tratado por independiente. Las tramas que componen un paquete pueden ser enviadas por caminos distintos e incluso llegar desordenadas. · Ofrece un servicio no muy fiable porque a veces los paquetes se pierden, duplican o estropean y este nivel no informa de ello pues no es consciente del problema. DIRECCIONAMIENTO IP Cada máquina con TCP/IP tiene asociado un número de 32 bits al que se llama dirección IP, y que está dividido en dos partes: · Una parte que identifica la dirección de la red (NETID). Esta parte es asignada por el NIC (Network Information Center). En España se encarga de asignar estas direcciones REDIRIS. Si la red local no va a conectarse con otras redes, no es necesario solicitar a ese organismo una dirección. El número de bits que ocupa esta parte depende del tamaño de la red y puede ser 8, 16 ó 24. · Una parte que identifica la dirección de la máquina dentro de la red (HOSTID). Las direcciones de los hosts son asignadas por el administrador de la red. Una dirección se representa por cuatro valores decimales separados por puntos, para que sea más fácil su escritura y memorización. [0..255] . [0..255] . [0..255] . [0..255]
  • 87.
    MÁSCARA DE SUBRED Cuandouna red aparece segmentada (dividida en subredes), se debe utilizar un dispositivo que interconecte los segmentos y se hace necesario identificar de algún modo cada uno de los segmentos. Si todos los segmentos tienen la misma dirección IP, se hace necesaria la existencia de algún mecanismo que diferencia los segmentos. Este mecanismo es la máscara de la subred. A cada dirección IP de red, es decir, a cada red física, se le asocia una máscara que tiene 32 bits. La máscara sirve para dividir la parte de la dirección IP destinada a identificar el host en dos partes : la primera identificará el segmento, y la segunda el host dentro de este segmento. En esta máscara los bits a 1 significan que el bit correspondiente de la dirección IP será tratado como bit correspondiente a la dirección de la subred, mientras que los bits a 0 en la máscara, indican que los bits correspondientes de la dirección IP serán interpretados como identificadores del host. Así con una misma dirección de red se pueden direccionar muchas subredes. CLASES DE REDES El tipo depende de el número de máquinas que forman la red; atendiendo esto se pueden distinguir tres clases de redes : Redes de clase A : Las principales características son : Se tratan de redes de mayor tamaño, redes que tengan más de 216 hosts. El espacio reservado para la dirección de red es más pequeño por dos motivos: - Porque existen menos redes de este tipo. - Porque al tener más hots necesitamos dejar más espacios para direccionar a estos.
  • 88.
    La parte queidentifica la red consta de · un cero (0) · 7 bits más. Se podrán direccionar por tanto 27 redes que hace un total de 128 redes diferentes. Cada una de estas redes podrá tener 224 posibles hosts. La dirección 127 no se utiliza. 1………………… 8…………………………………………… ………..7 …………..32 Dirección de la Identificador de la máquina red 0….. Redes de clase B: Son redes de tamaño mediano que tienen entre 28 y 216 hosts. La parte que identifica la red consta de · La secuencia uno-cero (10). · 14 bits con cualquier valor. Por tanto, el rango de valores para el primer byte de los dos asignados a la red es de :128-191. Estas redes pueden tener 216=65536 hosts cada una de ellas. El formato de las direcciones es: 1……………………………… 17……..………………………
  • 89.
    …..……16 ………..32 Dirección de la red Identificador de la máquina 10….. Redes de clase C: Son redes menor tamaño que pueden tener hasta 28 hosts. La parte que identifica la red consta de · La secuencia uno-uno-cero (110). · 21 bits con cualquier valor. Por tanto, el rango de valores para el primer byte de los dos asignados a la red es de :192-223. Estas redes pueden tener 28=256 hosts cada una de ellas. El formato de las direcciones es: 0…………………………………………… 24………………… ……..….…23 ……..31 Dirección de la red Identificador de la máquina 110….. TABLA ESQUEMÁTICA DE LOS FORMATOS DE DIRECCIONES By B B B te y y y 1 t t t e e e 2 3 3 C 0 0 0 0
  • 90.
    l … … … … a 12 2 2 2 s 6 5 5 5 e 5 5 5 A C 12 0 0 0 l 8 … … … a … 2 2 2 s 19 5 5 5 e 1 5 5 5 B C 19 0 0 0 l 2 … … … a … 2 2 2 s 22 5 5 5 e 3 5 5 5 C Existen más clases de redes, como la D, E y F cuyo rango de direcciones oscila entre 224.0.0.0 y 254.0.0.0 . Este tipo de redes son experimentales o se reservan para un uso futuro. Ejemplo: la dirección 156.35.41.20 identifica el host 41.20 de la red 156.35. CONVENCIONES DE DIRECCIONES ESPECIALES Existen algunas direcciones (combinaciones de unos y ceros) que no se asignan con direcciones IP, sin que tienen un significado especial. Estas combinaciones son:
  • 91.
    dirección de lared Todo unos Esta dirección se llama difusión dirigida y permite direccionar a todas las máquinas dentro de la red especificada. Es un direccionamiento muy útil, ya que con un solo paquete podemos enviar el mismo mensaje a todas las máquinas de una red. 127 Cualquier combinación (normalmente 1) Esta dirección se denomina loopback y se utiliza para realizar pruebas y comunicaciones entre procesos dentro de una misma máquina. Si un programa envía un mensaje a esta dirección, TCP/IP le devolverá los datos sin enviar nada a la red, aunque se comporta como si lo hubiera hecho. Parte de la red a ceros dirección de host Esta dirección permite direccionar a un host interno de la red. Todos unos Todos unos Esta dirección se denomina difusión limitada; realiza un direccionamiento a todos los host de la propia red. Todos ceros Todos ceros Esta dirección, direcciona al propio host.
  • 92.
    Una dirección Internetno identifica a un host, sino a una conexión a red. Un ejemplo : si se dispone de un gateway que conecta una red con otra, ¿qué dirección de Internet se le da a esta estación ?, ya que tiene dos posibles direcciones, una por cada red a la que esté concectada. En realidad, se le asigna a cada estación tantas direcciones IP como conexiones a redes tenga la estación. WINDOWS NT. Microsoft Windows NT Server es un sistema operativo diseñado para su uso en servidores de red de área local (LAN). Ofrece la potencia, la manejabilidad y la capacidad de ampliación de Windows NT en una plataforma de servidor e incluye características, como la administración centralizada de la seguridad y tolerancia a fallos más avanzada, que hacen de él un sistema operativo idóneo para servidores de red. Windows NT Server es a la vez un sistema operativo para computadoras (ordenadores) personales y un sistema operativo para red. Puesto que incorpora funciones de red, las redes de Windows NT Server se integran de forma óptima con el sistema operativo básico, facilitando el uso y la administración de las funciones. Este capítulo ofrece un breve resumen de las funciones de Windows NT Server y explica su funcionamiento en relación con otros productos de software para red fabricados por Microsoft. NOS – NETWORK OPERATING SYSTEM Debe ofrecer los siguientes servicio : Los propios de un SO. Soporte de Sistemas de Archivos Remotos. Ejecución de aplicaciones compartidas. Impresión remota. Seguridad en la red. En una red WNT utilizan como SO el WINDOWS NT SERVER y los clientes MS-DOS , WINDOWS 3.11 ( WFN ) , WINDOWS 95 y
  • 93.
    WINDOWS NT WORKSTATION , también se puede utilizar el OS/2 o el de los MACINTOSH , OS/2 LAN MANAGER , UNIX . Características del WNT Multiplataforma – Admite : * CISC – 486 , 386 completo ( 200 o 300 instrucciones ). * RISC – reducido , más barato , más veloces . Tipos : - MIPS : R400 - DEC : Alpha - POWERPC Multihilo ( Multitherding ) El proceso lo divide en varios hilo ( theread ) ; cada hilo lo procesa la CPU de forma independiente , se podrán ejecutar partes del programa a la vez ( simultáneamente ) . Cada proceso tiene al menos un hilo , dependiendo del diseño del programador . Un procesador atiende a un solo hilo y un multiprocesador vario hilo. Multitarea En W.3x o WFW la multitarea era cooperativa ( cada programa o subproceso ( hilo ) debe ceder el control a los demás , cosas que muchas veces el HW no quería hacer ). En WNT utiliza multitarea apropiativa . Los métodos apropiativos asignan a cada programa un tiempo de CPU y después lo cederá al siguiente. Todos los subprocesos o hilos obtienen el mismo tiempo del sistema. En la multitarea apropiativa el SO controla cuando y cuanto de procesador recibe un proceso o hilo en el sistema. En WNT utiliza prioridades . Hay dos tipos : * Tiempo real
  • 94.
    * Tiempo variable Cadaclase tiene 16 niveles de prioridad. En un nivel de una clase , el SO opera bajo el modelo turno rotatorio , cada hilo obtiene un quantum de tiempo . Un hilo continua ejecutándose hasta que ocurre uno de estos dos procesos : * Hasta que acabe el tiempo de CPU. * Hasta que surga una interrupción y crea un hilo de prioridad más alta. El hilo es expropiado a favor del hilo con prioridad más alta. La multitarea apropiativa se la llama multitarea precedente aprecentiva. De esta forma es resuelto el hilo. Funcionamiento de Windows NT Server con otro software de red Windows NT Server está diseñado para su uso en servidores de grandes redes. Funciona de forma óptima con otros sistemas operativos de red fabricados por Microsoft. Windows NT Workstation es el sistema operativo más adecuado para los clientes que Precisen altos rendimientos de la red. Windows NT Workstation está diseñado para usuarios Avanzados, desarrolladores de software y para aplicaciones críticas; además, traslada al escritorio muchas de las funciones de seguridad de Windows NT Server. Al igual que ocurre en Windows NT Server, tanto la seguridad como las funciones de red están integradas en él sistema operativo. Versiones NT
  • 95.
    * Workstation :SO de estaciones de trabajo que ejercen el papel de clientes de la red . Admite los modos de trabajos en red . Si trabaja como Trabajo en Grupo se comporta como Win Trabajo en Grupo ( 3.11 ) . Si participa en un dominio se desentiende de la administración de los usuarios que lo hará el controlador del dominio. * NT Server : máquinas cuyo SO ejercen el papel de servidores . Puede participar en un Grupo de Trabajo o en un dominio siendo lo normal el dominio . Puede instalarse en un dominio ejerciendo uno de los siguientes papeles : 1.- como servidor de dominio : se comporta como servidor de recursos ( archivos , etc. ) . No guarda copia de la BD del SAM por lo que no validará los usuarios. 2.- como controlador de dominio : valida las conexiones de usuarios teniendo copia de la BD del SAM . Hay dos tipos de controladores de dominio : a ) PDC ( primary domain controller ) : controlador principal b ) BDC ( backup d. c. ) : de reserva El principal guarda la copia maestra de la BD del SAM y los transfiere cada cierto tiempo a las BDC para que estas puedan también validar conexiones. Al instalar NT Server se elige la opción que va a ejercer el servidor ( servidor o controlador ) . Para cambiar su función hay que volver a instalar. LINUX RED HAT. Linux es un sistema operativo completo con multitarea y multiusuario (como cualquier otra versión de UNIX). Esto significa que pueden trabajar varios usuarios simultáneamente en él, y que cada uno de ellos puede tener varios programas en ejecución. El sistema Linux es compatible con ciertos estándares de UNIX a nivel de código fuente, incluyendo el IEEE POSIX.1, System V y BSD. Fue desarrollado buscando la portabilidad de los fuentes: encontrará que casi todo el software gratuito desarrollado para UNIX se compila en Linux sin problemas. Y todo lo que se hace para Linux (código del núcleo, drivers, librerías y programas de usuario) es de libre distribución. En Linux también se implementa el control de trabajos POSIX (que se usa en los shells csh y bash), las pseudoterminales (dispositivos pty), y teclados nacionales mediante administradores de teclado cargables
  • 96.
    dinámicamente. Además, soportaconsolas virtuales, lo que permite tener más de una sesión abierta en la consola de texto y conmutar entre ellas fácilmente. A los usuarios del programa “screen” les resultará familiar esto. El núcleo es capaz de emular por su cuenta las instrucciones del coprocesador 387, con lo que en cualquier 386 con coprocesador o sin él se podrán ejecutar aplicaciones que lo requieran. Linux soporta diversos sistemas de ficheros para guardar los datos. Algunos de ellos, como el ext2fs, han sido desarrollados específicamente para Linux. Otros sistemas de ficheros, como el Minix-1 o el de Xenix también están soportados. Y con el de MS-DOS se podrán acceder desde Linux a los disquetes y particiones en discos duros formateados con MS- DOS. Además, también soporta el ISO-9660, que es el estándar en el formato de los CD-ROMs. Linux dispone de los dos principales protocolos de red para sistemas UNIX: TCP/IP y UUCP. TCP/IP (para los aficionados a los acrónimos, Transmission Control Protocol/Internet Protocol) es un conjunto de protocolos de red que permite a sistemas de todo el mundo comunicarse en una única red conocida como Internet. Con Linux, TCP/IP y una conexión a la red, puede comunicarse con usuarios y máquinas por toda Internet mediante correo electrónico, noticias (USENET news), transferencias de ficheros con FTP y mucho más. Actualmente hay muchos sistemas Linux conectados a Internet. La mayoría de las redes TCP/IP usan Ethernet como tipo de red física de transporte. Linux da soporte a muchas tarjetas de red Ethernet e interfaces para ordenadores personales, incluyendo el adaptador Ethernet D-Link de bolsillo para ordenadores portátiles. Pero dado que no todo el mundo tiene una conexión Ethernet en casa, Linux también proporciona SLIP (Serial Line Internet Protocol), el cual permite conectarse a Internet a través de un módem. Para poder usar SLIP, necesitará tener acceso a un servidor de SLIP, una máquina conectada a la red que permite acceso de entrada por teléfono. Muchas empresas y universidades tienen servidores SLIP disponibles. De hecho, si su sistema Linux dispone de conexión Ethernet y de módem, puede configurarlo como servidor de SLIP para otros usuarios. NFS (Network File System) permite fácilmente compartir ficheros con otras máquinas de la red. FTP (File Transfer Protocol) permite la transferencia de ficheros entre máquinas. Si tiene experiencia con aplicaciones TCP/IP en otros sistemas UNIX, Linux le será muy familiar. El sistema proporciona la interface estándar de programación por “sockets”, lo que virtualmente permite que cualquier
  • 97.
    programa que useTCP/IP pueda ser llevado a Linux. El servidor Linux de X también soporta TCP/IP, permitiendo ver aplicaciones que están corriendo en otros sistemas sobre su pantalla. UUCP (UNIX-to-UNIX Copy) es un viejo mecanismo usado para transferir ficheros, correo electrónico y noticias entre máquinas UNIX. Clásicamente las máquinas UUCP conectan entre ellas mediante líneas telefónicas y módem, pero UUCP es capaz de funcionar también sobre una red TCP/IP. Si no tiene acceso a una red TCP/IP o a un servidor SLIP, puede configurar su sistema para enviar y recibir ficheros y correo electrónico usando UUCP. REDES CON LINUX El Net-1, es un trabajo sobre redes basadas en TCP/IP. Se creo una nueva implementación del UUCP, reescribiendo grandes partes del código. Esto se conoce como Net-2. Tras una dura corrección y numerosas mejoras en el código, cambió su nombre a Net-3 después de que saliese Linux 1.0. Esta es la versión del código de red que se incluye actualmente en las versiones oficiales del Kernel. Xerox, Novell, e Historia Primero veamos de dónde salieron los protocolos y cómo son. A finales de los 70, Xerox Corporation desarrolló y publicó un estándar abierto llamado Especificación de Red Xerox (Xerox Network Specification, XNS). La Especificación de Red Xerox definía una serie de protocolos designados para la interconexión de propósito general, con un gran énfasis en el uso de redes de área local. Había dos protocolos de red principales implicados: el Protocolo de Datagramas de Internet (Internet Datagram Protocol, IDP), que proporcionaba un transporte de datagramas sin conexión y no fiable de un nodo a otro, y el Protocolo de Paquetes Secuenciados (Sequenced Packet Protocol, SPP), que era una forma modificada del IDP basada en la conexión y fiable. Los datagramas de una red XNS eran direccionados individualmente. El esquema de direccionamiento utilizaba una combinación de una dirección de red IDP de 4 bytes (que era asignada unívocamente a cada segmento de la LAN Ethernet), y la dirección de nodo de 6 bytes (la dirección de la tarjeta NIC). Los enrutadores eran dispositivos que desviaban datagramas entre dos o más redes IDP separadas. En IDP no existe el concepto de subred; cualquier colección nueva de nodos requiere la asignación de otra dirección de red. Las direcciones de red se
  • 98.
    escogen de maneraque sean únicas en la interred en cuestión. A veces, los administradores desarrollan convenciones haciendo que cada byte codifique algún tipo de información, como la situación geográfica, de manera que las direcciones de red se reservan de manera sistématica; sin embargo, no es un requisito del protocolo. La Novell Corporation eligió basar su propio juego de red en el juego XNS. Novell realizó pequeñas mejoras al IDP y al SPP y los renombró como IPX (Internet Packet eXchange, Intercambio de Paquetes de Internet) y SPX (Sequenced Packet eXchange, Intercambio de Paquetes Secuenciados). Novell añadió dos protocolos nuevos: el Protocolo Central de NetWare (NetWare Core Protocol, NCP), que proporcionaba funciones para compartir ficheros e impresoras sobre IPX, y el Protocolo de Anuncio de Servicios (Service Advertisement Protocol, SAP), que permitía a los nodos de una red Novell saber qué nodos proporcionaban qué servicios. La Tabla relaciona los juegos de protocolos XNS, Novell y TCP/IP en términos de la función que realizan. Las relaciones son sólo una aproximación, pero pueden ayudarle a comprender qué sucede cuando nos refiramos a estos protocolos más adelante. Relaciones entre los Protocolos de XNS, Novell, y TCP/IP X Nov TCP/ Característi N ell IP cas S ID IPX UDP Transporte P /IP sin conexión ni fiabilidad S SPX TCP Transporte P basado en la P conexión y fiable NC NFS Servicios de
  • 99.
    X Nov TCP/ Característi N ell IP cas S P fichero RIP RIP Intercambio de información de encaminamie nto SAP Intercambio de información sobre la disponibilida d de servicios Creado por: Manuel Trejo Cortes Comentarios: bibog_G@hotmail.com Introducción Sin el software, una computadora no es más que una masa metálica sin utilidad. Con el software, una computadora puede almacenar, procesar y recuperar información, encontrar errores de ortografía en manuscritos, tener aventuras e intervenir en muchas otras valiosas actividades para ganar el sustento. El software para computadoras puede clasificarse en general en dos clases: los programas de sistema, que controlan la operación de la computadora en si y los programas de aplicación, los cuales resuelven problemas para sus usuarios. El programa fundamental de todos los programas de sistema es el sistema operativo (SO), que controla todos los recursos de la computadora y proporciona la base sobre la cual pueden escribirse los programas de aplicación. ¿ Qué es un Sistema Operativo ?. Desde su creación, las computadoras digitales han utilizado un sistema de codificación de instrucciones en sistema de numeración binaria, es decir con los 0S. Esto se debe a que los circuitos integrados funcionan con este principio, es decir, hay corriente o no hay corriente.
  • 100.
    En el origende la historia de las computadoras ( hace unos cuarenta años), los sistemas operativos no existían y la introducción de un programa para ser ejecutado se convertía en un increíble esfuerzo que solo podía ser llevado a cabo por muy pocos expertos. Esto hacia que las computadoras fueran muy complicadas de usar y que se requiriera tener altos conocimientos técnicos para operarlas. Era tan complejo su manejo, que en algunos casos el resultado llegaba a ser desastroso. Además, el tiempo requerido para introducir un programa en aquellas grandes máquinas de lento proceso superaba por mucho el de ejecución y resultaba poco provechosa la utilización de computadoras para resolución de problemas prácticos. Se buscaron medios más elaborados para manipular la computadora, pero que a su vez simplificaran la labor del operador o el usuario. Es entonces cuando surge la idea de crear un medio para que el usuario pueda operar la computadora con un entorno, lenguaje y operación bien definido para hacer un verdadero uso y explotación de esta. Surgen los sistemas operativos. Un sistema operativo es el encargado de brindar al usuario una forma amigable y sencilla de operar, interpretar, codificar y emitir las ordenes al procesador central para que este realice las tareas necesarias y especificas para completar una orden. El sistema operativo, es el instrumento indispensable para hacer de la computadora un objeto útil. Bajo este nombre se agrupan todos aquellos programas que permiten a los usuarios la utilización de este enredo de cables y circuitos, que de otra manera serian difíciles de controlar. Un sistema operativo se define como un conjunto de procedimientos manuales y automáticos, que permiten a un grupo de usuarios compartir una instalación de computadora eficazmente. Interfaz de Línea de Comandos. La forma de interfaz entre el sistema operativo y el usuario en la que este escribe los comandos utilizando un lenguaje de comandos especial. Los sistemas con interfaces de líneas de comandos se consideran más difíciles de aprender y utilizar que los de las interfaces gráficas. Sin embargo, los sistemas basados en comandos son por lo general programables, lo que les otorga una flexibilidad que no tienen los sistemas basados en gráficos carentes de una interfaz de programación. Interfaz Gráfica del Usuario. Es el tipo de visualización que permite al usuario elegir comandos, iniciar programas y ver listas de archivos y otras opciones utilizando las representaciones visuales (iconos) y las listas de elementos del menú. Las selecciones pueden activarse bien a través del teclado o con el mouse. Para los autores de aplicaciones, las interfaces gráficas de usuario ofrecen un entorno que se encarga de la comunicación con el ordenador o computadora. Esto hace que el programador pueda concentrarse en la funcionalidad, ya que no esta sujeto a los detalles de la visualización ni a la entrada a través del mouse o el teclado. También permite a los programadores crear programas que realicen de la misma forma las tareas más frecuentes, como guardar un archivo, porque la interfaz proporciona mecanismos estándar de control como ventanas y cuadros de diálogo. Otra ventaja es que las aplicaciones escritas para una interfaz gráfica de usuario son independientes de los dispositivos: a medida que la interfaz cambia para permitir el uso de nuevos dispositivos de entrada y salida, como un monitor de pantalla grande o un dispositivo óptico de almacenamiento, las aplicaciones pueden utilizarlos sin necesidad de cambios. Funciones de los Sistemas Operativos. Interpreta los comandos que permiten al usuario comunicarse con el ordenador.
  • 101.
    Coordina y manipulael hardware de la computadora, como la memoria, las impresoras, las unidades de disco, el teclado o el mouse. Organiza los archivos en diversos dispositivos de almacenamiento, como discos flexibles, discos duros, discos compactos o cintas magnéticas. Gestiona los errores de hardware y la pérdida de datos. Servir de base para la creación del software logrando que equipos de marcas distintas funcionen de manera análoga, salvando las diferencias existentes entre ambos. Configura el entorno para el uso del software y los periféricos; dependiendo del tipo de máquina que se emplea, debe establecerse en forma lógica la disposición y características del equipo. Como por ejemplo, una microcomputadora tiene físicamente dos unidades de disco, puede simular el uso de otras unidades de disco, que pueden ser virtuales utilizando parte de la memoria principal para tal fin. En caso de estar conectado a una red, el sistema operativo se convierte en la plataforma de trabajo de los usuarios y es este quien controla los elementos o recursos que comparten. De igual forma, provee de protección a la información que almacena. Clasificación de los Sistemas Operativos. Con el paso del tiempo, los Sistemas Operativos fueron clasificándose de diferentes maneras, dependiendo del uso o de la aplicación que se les daba. A continuación se mostrarán diversos tipos de Sistemas Operativos que existen en la actualidad, con algunas de sus características: Sistemas Operativos de multiprogramación (o Sistemas Operativos de multitarea). Es el modo de funcionamiento disponible en algunos sistemas operativos, mediante el cual una computadora procesa varias tareas al mismo tiempo. Existen varios tipos de multitareas. La conmutación de contextos (context Switching) es un tipo muy simple de multitarea en el que dos o más aplicaciones se cargan al mismo tiempo, pero en el que solo se esta procesando la aplicación que se encuentra en primer plano (la que ve el usuario). Para activar otra tarea que se encuentre en segundo plano, el usuario debe traer al primer plano la ventana o pantalla que contenga esa aplicación. En la multitarea cooperativa, la que se utiliza en el sistema operativo Macintosh, las tareas en segundo plano reciben tiempo de procesado durante los tiempos muertos de la tarea que se encuentra en primer plano (por ejemplo, cuando esta aplicación esta esperando información del usuario), y siempre que esta aplicación lo permita. En los sistemas multitarea de tiempo compartido, como OS/2, cada tarea recibe la atención del microprocesador durante una fracción de segundo. Para mantener el sistema en orden, cada tarea recibe un nivel de prioridad o se procesa en orden secuencial. Dado que el sentido temporal del usuario es mucho más lento que la velocidad de procesamiento del ordenador, las operaciones de multitarea en tiempo compartido parecen ser simultáneas. Se distinguen por sus habilidades para poder soportar la ejecución de dos o más trabajos activos (que se están ejecutado) al mismo tiempo. Esto trae como resultado que la Unidad Central de Procesamiento (UCP) siempre tenga alguna tarea que ejecutar, aprovechando al máximo su utilización. Su objetivo es tener a varias tareas en la memoria principal, de manera que cada uno está usando el procesador, o un procesador distinto, es decir, involucra máquinas con más de una UCP. Sistemas Operativos como UNIX, Windows 95, Windows 98, Windows NT, MAC-OS, OS/2, soportan la multitarea. Las características de un Sistema Operativo de multiprogramación o multitarea son las siguientes: Mejora productividad del sistema y utilización de recursos.
  • 102.
    Multiplexa recursos entrevarios programas. Generalmente soportan múltiples usuarios (multiusuarios). Proporcionan facilidades para mantener el entorno de usuarios individuales. Requieren validación de usuario para seguridad y protección. Proporcionan contabilidad del uso de los recursos por parte de los usuarios. Multitarea sin soporte multiusuario se encuentra en algunos computadores personales o en sistemas de tiempo real. Sistemas multiprocesadores son sistemas multitareas por definición ya que soportan la ejecución simultánea de múltiples tareas sobre diferentes procesadores. En general, los sistemas de multiprogramación se caracterizan por tener múltiples programas activos compitiendo por los recursos del sistema: procesador, memoria, dispositivos periféricos. Sistema Operativo Monotareas. Los sistemas operativos monotareas son más primitivos y es todo lo contrario al visto anteriormente, es decir, solo pueden manejar un proceso en cada momento o que solo puede ejecutar las tareas de una en una. Por ejemplo cuando la computadora esta imprimiendo un documento, no puede iniciar otro proceso ni responder a nuevas instrucciones hasta que se termine la impresión. Sistema Operativo Monousuario. Los sistemas monousuarios son aquellos que nada más puede atender a un solo usuario, gracias a las limitaciones creadas por el hardware, los programas o el tipo de aplicación que se este ejecutando. Estos tipos de sistemas son muy simples, porque todos los dispositivos de entrada, salida y control dependen de la tarea que se esta utilizando, esto quiere decir, que las instrucciones que se dan, son procesadas de inmediato; ya que existe un solo usuario. Y están orientados principalmente por los microcomputadores. Sistema Operativo Multiusuario. Es todo lo contrario a monousuario; y en esta categoría se encuentran todos los sistemas que cumplen simultáneamente las necesidades de dos o más usuarios, que comparten mismos recursos. Este tipo de sistemas se emplean especialmente en redes. En otras palabras consiste en el fraccionamiento del tiempo (timesharing). Sistemas Operativos por lotes. Los Sistemas Operativos por lotes, procesan una gran cantidad de trabajos con poca o ninguna interacción entre los usuarios y los programas en ejecución. Se reúnen todos los trabajos comunes para realizarlos al mismo tiempo, evitando la espera de dos o más trabajos como sucede en el procesamiento en serie. Estos sistemas son de los más tradicionales y antiguos, y fueron introducidos alrededor de 1956 para aumentar la capacidad de procesamiento de los programas. Cuando estos sistemas son bien planeados, pueden tener un tiempo de ejecución muy alto, porque el procesador es mejor utilizado y los Sistemas Operativos pueden ser simples, debido a la secuenciabilidad de la ejecución de los trabajos. Algunos ejemplos de Sistemas Operativos por lotes exitosos son el SCOPE, del DC6600, el cual está orientado a procesamiento científico pesado, y el EXEC II para el UNIVAC 1107, orientado a procesamiento académico.
  • 103.
    Algunas otras característicascon que cuentan los Sistemas Operativos por lotes son: Requiere que el programa, datos y órdenes al sistema sean remitidos todos juntos en forma de lote. Permiten poca o ninguna interacción usuario/programa en ejecución. Mayor potencial de utilización de recursos que procesamiento serial simple en sistemas multiusuarios. No conveniente para desarrollo de programas por bajo tiempo de retorno y depuración fuera de línea. Conveniente para programas de largos tiempos de ejecución (ej, análisis estadísticos, nóminas de personal, etc.). Se encuentra en muchos computadores personales combinados con procesamiento serial. Planificación del procesador sencilla, típicamente procesados en orden de llegada. Planificación de memoria sencilla, generalmente se divide en dos: parte residente del S.O. y programas transitorios. No requieren gestión crítica de dispositivos en el tiempo. Suelen proporcionar gestión sencilla de manejo de archivos: se requiere poca protección y ningún control de concurrencia para el acceso. Sistemas Operativos de tiempo real. Los Sistemas Operativos de tiempo real son aquellos en los cuales no tiene importancia el usuario, sino los procesos. Por lo general, están subutilizados sus recursos con la finalidad de prestar atención a los procesos en el momento que lo requieran. se utilizan en entornos donde son procesados un gran número de sucesos o eventos. Muchos Sistemas Operativos de tiempo real son construidos para aplicaciones muy específicas como control de tráfico aéreo, bolsas de valores, control de refinerías, control de laminadores. También en el ramo automovilístico y de la electrónica de consumo, las aplicaciones de tiempo real están creciendo muy rápidamente. Otros campos de aplicación de los Sistemas Operativos de tiempo real son los siguientes: Control de trenes. Telecomunicaciones. Sistemas de fabricación integrada. Producción y distribución de energía eléctrica. Control de edificios. Sistemas multimedia. Algunos ejemplos de Sistemas Operativos de tiempo real son: VxWorks, Solaris, Lyns OS y Spectra. Los Sistemas Operativos de tiempo real, cuentan con las siguientes características: Se dan en entornos en donde deben ser aceptados y procesados gran cantidad de sucesos, la mayoría externos al sistema computacional, en breve tiempo o dentro de ciertos plazos. Se utilizan en control industrial, conmutación telefónica, control de vuelo, simulaciones en tiempo real., aplicaciones militares, etc. Objetivo es proporcionar rápidos tiempos de respuesta. Procesa ráfagas de miles de interrupciones por segundo sin perder un solo suceso.
  • 104.
    Proceso se activatras ocurrencia de suceso, mediante interrupción. Proceso de mayor prioridad expropia recursos. Por tanto generalmente se utiliza planificación expropiativa basada en prioridades. Gestión de memoria menos exigente que tiempo compartido, usualmente procesos son residentes permanentes en memoria. Población de procesos estática en gran medida. Poco movimiento de programas entre almacenamiento secundario y memoria. Gestión de archivos se orienta más a velocidad de acceso que a utilización eficiente del recurso. Sistemas Operativos de tiempo compartido. Permiten la simulación de que el sistema y sus recursos son todos para cada usuario. El usuario hace una petición a la computadora, esta la procesa tan pronto como le es posible, y la respuesta aparecerá en la terminal del usuario. Los principales recursos del sistema, el procesador, la memoria, dispositivos de E/S, son continuamente utilizados entre los diversos usuarios, dando a cada usuario la ilusión de que tiene el sistema dedicado para sí mismo. Esto trae como consecuencia una gran carga de trabajo al Sistema Operativo, principalmente en la administración de memoria principal y secundaria. Ejemplos de Sistemas Operativos de tiempo compartido son Multics, OS/360 y DEC-10. Características de los Sistemas Operativos de tiempo compartido: Populares representantes de sistemas multiprogramados multiusuario, ej: sistemas de diseño asistido por computador, procesamiento de texto, etc. Dan la ilusión de que cada usuario tiene una máquina para sí. Mayoría utilizan algoritmo de reparto circular. Programas se ejecutan con prioridad rotatoria que se incrementa con la espera y disminuye después de concedido el servicio. Evitan monopolización del sistema asignando tiempos de procesador (time slot). Gestión de memoria proporciona protección a programas residentes. Gestión de archivo debe proporcionar protección y control de acceso debido a que pueden existir múltiples usuarios accesando un mismo archivos. Sistemas Operativos distribuidos. Permiten distribuir trabajos, tareas o procesos, entre un conjunto de procesadores. Puede ser que este conjunto de procesadores esté en un equipo o en diferentes, en este caso es trasparente para el usuario. Existen dos esquemas básicos de éstos. Un sistema fuertemente acoplado es a es aquel que comparte la memoria y un reloj global, cuyos tiempos de acceso son similares para todos los procesadores. En un sistema débilmente acoplado los procesadores no comparten ni memoria ni reloj, ya que cada uno cuenta con su memoria local. Los sistemas distribuidos deben de ser muy confiables, ya que si un componente del sistema se compone otro componente debe de ser capaz de reemplazarlo. Entre los diferentes Sistemas Operativos distribuidos que existen tenemos los siguientes: Sprite, Solaris-MC, Mach, Chorus, Spring, Amoeba, Taos, etc.
  • 105.
    Características de losSistemas Operativos distribuidos: Colección de sistemas autónomos capaces de comunicación y cooperación mediante interconexiones hardware y software . Gobierna operación de un S.C. y proporciona abstracción de máquina virtual a los usuarios. Objetivo clave es la transparencia. Generalmente proporcionan medios para la compartición global de recursos. Servicios añadidos: denominación global, sistemas de archivos distribuidos, facilidades para distribución de cálculos (a través de comunicación de procesos internodos, llamadas a procedimientos remotos, etc.). Sistemas Operativos de red. Son aquellos sistemas que mantienen a dos o más computadoras unidas através de algún medio de comunicación (físico o no), con el objetivo primordial de poder compartir los diferentes recursos y la información del sistema. El primer Sistema Operativo de red estaba enfocado a equipos con un procesador Motorola 68000, pasando posteriormente a procesadores Intel como Novell Netware. Los Sistemas Operativos de red mas ampliamente usados son: Novell Netware, Personal Netware, LAN Manager, Windows NT Server, UNIX, LANtastic. Sistemas Operativos paralelos. En estos tipos de Sistemas Operativos se pretende que cuando existan dos o más procesos que compitan por algún recurso se puedan realizar o ejecutar al mismo tiempo. En UNIX existe también la posibilidad de ejecutar programas sin tener que atenderlos en forma interactiva, simulando paralelismo (es decir, atender de manera concurrente varios procesos de un mismo usuario). Así, en lugar de esperar a que el proceso termine de ejecutarse (como lo haría normalmente), regresa a atender al usuario inmediatamente después de haber creado el proceso. Ejemplos de estos tipos de Sistemas Operativos están: Alpha, PVM, la serie AIX, que es utilizado en los sistemas RS/6000 de IBM. Conclusión: Luego de haber investigado y analizado se puede ver que se han desarrollado varios tipos de sistemas operativos con diferentes interfaces y categorías. Pero hemos podido observar que todos los sistemas operativos han sufrido cambios por parte de los programadores, y siguen evolucionando. Los sistemas operativos empleados normalmente son UNIX, Macintosh OS, MS-DOS, OS/2, Windows 95 y Windows NT. El UNIX y sus clones permiten múltiples tareas y múltiples usuarios. Otros SO multiusuario y multitarea son OS/2, desarrollado inicialmente por Microsoft e IBM, Windows NT y Win95 desarrollados por Microsoft. El SO multitarea de Apple se denomina Macintosh OS. El MS-DOS es un SO popular entre los usuarios de PCs pero solo permite un usuario y una tarea. Los sistemas operativos han ido evolucionando a medida de las necesidades que se fueron generando, cada sistema operativo tiene un fin determinado que es la de realizar tareas según el objetivo a lograr, dependiendo de lo que necesite el o los usuarios. La mayoría de los sistemas operativos de ultima generación tienden a, atender un gran numero de usuarios, y que los procesos a realizar demoren en un mínimo de tiempo.
  • 106.
    Compartir una impresorabajo Windows XP y Vista Existen varias maneras de compartir una impresora, lo que dependerá del tipo de red y de la impresora. A continuación veremos los dos métodos más comunes: I- Compartir una impresora conectada mediante cable a una de las PCs Es el método más simple, pero requiere que la PC a la que está conectada la impresora esté funcionando y que todas las PCs que componen la red se vean unas a otras y sobre todo vean a la PC que tiene conectada la impresora. Este método consta de dos etapas: primero configurar la PC a la que está conectada la impresora para poder compartir la impresora y segundo declarar la impresora en las otras PCs de la red para que puedan utilizarla. Para ello, vas al Panel de control de la PC que tiene conectada la impresora (Bajo Windows Vista, escoges Vista clásica) y haces doble clic en Impresoras: Bajo Windows Vista: o En la ventana que aparece, haces clic derecho sobre la impresora a compartir y seleccionas Compartir. o Ingresas un nombre para la impresora (por ejemplo: HP LaserJet). o Marcas las dos casillas y haces clic en Aceptar. o Luego en el Panel de control abres “Centro de redes y recursos compartidos” y marcas “uso compartido de carpetas” y “Uso compartido de impresoras”. Bajo Windows XP: o Haces clic derecho sobre la impresora y seleccionas “Compartir” o Marcas “Compartir esta impresora” e ingresas un nombre (por ejemplo: HP LaserJet) y haces clic en Aceptar. Como en el caso de carpetas compartidas, aparecerá una mano en el icono de la impresora (bajo Windows XP) o un icono cuadrado (bajo Vista). A veces esto es suficiente para que la impresora aparezca en las otras PCs de la red. Si no fuera así, entonces debemos declararla en las otras PCs. Para ello, en las otras PCs, vas al Panel de control, luego a Impresoras y haces clic en “Agregar una impresora”: Bajo Windows XP:
  • 107.
    o seabrirá el asistente haces clic en Siguiente, luego marcas la casilla “Una impresora de red o una impresora conectada a otro equipo” y haces clic en Siguiente. o En la ventana que aparece para buscar la impresora, marcas la casilla “Buscar una impresora” y haces clic en Siguiente. o Seleccionas la impresora que aparece en el grupo de trabajo, junta al nombre de la PC que tiene conectada la impresora y haces clic en Siguiente luego en Terminar. o Si la impresora no es encontrada en la búsqueda automática, entonces habrá que marcar la otra opción “Conexión a esta impresora” y hacer clic en Siguiente. En la ventana que aparece, hay dos posibilidades, las impresoras disponibles están visibles, o es necesario navegar por el árbol de directorios de la PC para encontrar la impresora buscada. Selecciónala, luego haz clic en Siguiente y responde Si por defecto. o Luego instala los drivers de la impresora que se encuentran en el CD de instalación de la impresora. Bajo Vista: o Haces clic en “Agregar una impresora de red”, lo que iniciara automáticamente una búsqueda de las impresoras disponibles. Selecciona la impresora que buscas. o Si la búsqueda automática no da resultados, entonces haces clic en la flecha verde “La impresora deseada no esta en la lista”. En la nueva ventana marcas la casilla “Seleccionar una impresora compartida por nombre” luego haces clic en “Examinar”. En la ventana que aparece, seleccionas la impresora que deseas usar. o Haces clic en la impresora que buscas y luego haces clic en Siguiente, aparecerá una nueva ventana. Puede aparecer un mensaje al final: “Instalar el controlador”, entonces haces clic en el botón correspondiente para que Windows instale el controlador. Si no lo encuentra, entonces puede pedirte que insertes el CD que viene con la impresora. o Finalmente, se te solicitará que definas la nueva impresora por defecto y que imprimas una página de prueba. o Una vez hecho esto, abres el “Centro de redes y recursos compartidos” y haces clic en “Ver el mapa completo”, en la parte superior derecha de la ventana. o La impresora deberá aparecer (con el nombre que le habías dado) ya sea en el mapa completo, o abajo en la sección de dispositivos detectado pero que no pueden figurar en el mapa completo. II- Instalar en la red inalámbrica WiFi una impresora equipada de una tarjeta WiFi Actualmente podemos encontrar impresoras (por lo general multifunción) equipadas con
  • 108.
    una tarjeta WiFiintegrada. Una impresora WiFi se conecta a la red como cualquier PC portátil o dispositivo equipado de una tarjeta WiFi. Las formas de conectarlas vienen indicadas detalladamente en el manual de la impresora. La tarjeta WiFi de la impresora detecta las redes disponibles, tan solo debemos seleccionar nuestra red y seleccionar “Conexión infraestructura”, e ingresar la clave WEP o WPA. La siguiente etapa consiste en instalar el programa que viene con la impresora en cada una de las PCs de la red. En la red, la impresora no aparecerá como si fuera compartida por una PC en particular sino como si estuviera conectada directamente a cada una de las PCs.