REPUBLICA BOLIVARIAN A DE VENEZUELA 
INTITUTO UNIVERSITARIO DE TECNOLOGIA 
“ANTONIO JOSE DE SUCREZ” 
EXTENCION-BARQUISIMETO 
Trabajo de matemática 
INTEGRANTES: 
DARWIN BRAVO 
C.L: 22.326.326 
SAIA
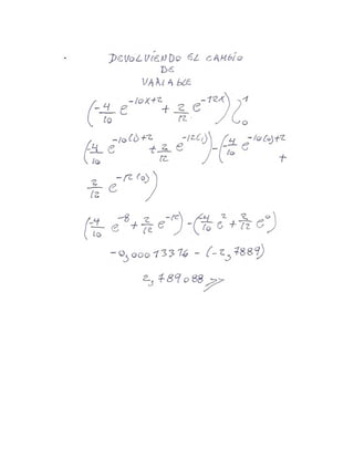
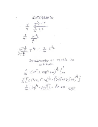
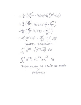
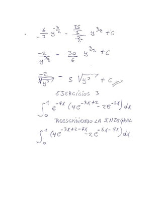
EJERCICIOS PROPUESTO UNIDAD III
EJERCICIOS PROPUESTO UNIDAD III
EJERCICIOS PROPUESTO UNIDAD III
EJERCICIOS PROPUESTO UNIDAD III
EJERCICIOS PROPUESTO UNIDAD III
EJERCICIOS PROPUESTO UNIDAD III
EJERCICIOS PROPUESTO UNIDAD III
EJERCICIOS PROPUESTO UNIDAD III
EJERCICIOS PROPUESTO UNIDAD III
EJERCICIOS PROPUESTO UNIDAD III
EJERCICIOS PROPUESTO UNIDAD III
EJERCICIOS PROPUESTO UNIDAD III
EJERCICIOS PROPUESTO UNIDAD III
EJERCICIOS PROPUESTO UNIDAD III
EJERCICIOS PROPUESTO UNIDAD III

EJERCICIOS PROPUESTO UNIDAD III

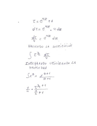
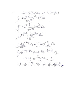
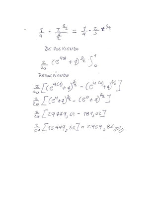
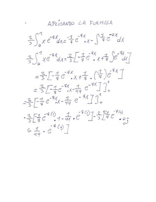
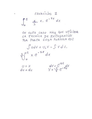
  • 1.
    REPUBLICA BOLIVARIAN ADE VENEZUELA INTITUTO UNIVERSITARIO DE TECNOLOGIA “ANTONIO JOSE DE SUCREZ” EXTENCION-BARQUISIMETO Trabajo de matemática INTEGRANTES: DARWIN BRAVO C.L: 22.326.326 SAIA